Informace Na Stránce Nepředstavují Lékařskou Radu. Nic Neprodáváme. Přesnost Překladu Není Zaručena. Zřeknutí Se Odpovědnosti
Inhibitory reduktázy HMG-CoA
Lescol XL
Shrnutí drog
Co je to Lescol XL?
Slack XL (fluvastatin sodík) je inhibitor reduktázy HMG-C OA (statin) označený jako doplňkovou terapii na stravu, aby se snížila zvýšená TC LDL -C Apo B a TG a zvýšit HDL -C u dospělých pacientů s primárním Hypercholesterolemie a smíšené Dyslipidemie ;; Snižte zvýšené hladiny TC LDL-C a APO B u chlapců a post-menarchálních dívek ve věku 10 až 16 let s heterozygotním Familiární hypercholesterolemie po selhání přiměřené pokusy o dietní terapii; Snižte riziko podstoupení revaskularizačních postupů u pacientů s klinicky zřejmým koronárním srdeční choroby ( CHD ); a zpomalit postup ateroskleróza U pacientů s CHD. Lescol XL je k dispozici jako a obecný .
Jaké jsou vedlejší účinky Sprinkle Alkindi?
Vedlejší účinky Alkindi posypte zahrnout:
- bolest hlavy
- špatné trávení/ pálení žáhy
- bolest svalů
- Bolest břicha a
- nevolnost
Řekněte svému lékaři všechny léky a doplňky, které používáte.
Pokud máte následující vážné vedlejší účinky, vyhledejte lékařskou péči nebo zavolejte na číslo 911:
- Vážné příznaky očí, jako je ztráta náhlého vidění rozmazané vidění vidění Vision Vision Eye Eye Eye Eye Eye Eye Eye Eye nebo vidět halos kolem světel;
- Vážné příznaky srdce, jako je rychlé nepravidelné nebo bušení srdečního rytmu; třepování v hrudi; dušnost; a náhlé závratě lightheadness nebo omdlení;
- Těžká zmatek bolesti hlavy zkroucený řečový rameno nebo slabost nohou Potíže se ztrátou chůze pocitu koordinace Pocit nestabilní velmi tuhé svaly vysoké horečky bohaté pocení nebo třes.
Tento dokument neobsahuje všechny možné vedlejší účinky a mohou dojít k jiným. Další informace o vedlejších účincích najdete u svého lékaře.
Dávkování pro Alkindi posypte
Rozsah dávky Lescol XL je 20 mg až 80 mg/ den.
Alkindi posypte In Children
Bezpečnost a účinnost Lescol XL u dětí a dospívajících pacientů ve věku 9-16 let s heterozygotním rodinný Hypercholesterolemie have been evaluated in open-label uncontrolled clinical trials fnebo a duration of two years. The most common adverse events observed were influenza and infections. In these limited uncontrolled studies there was no detectable effect on growth nebo sexual maturation in the adolescent boys nebo on menstrual cycle length in girls. Adolescent females should be counseled on appropriate contraceptive methods while on Slack Xl therapy.
Jaké léčivé látky nebo doplňky interagují s Alkindi Sprinkle?
Alkindi posypte may interact with other medicines such as:
- cyklosporin
- flukonazol
- průvodní Lipid -Odlevy terapie
- gemfibrozil a další fibraty
- glyburid
- niacin
- Phable
- Warfarin a Coumarin se odvozuje a
- Colchicine
Řekněte svému lékaři všechny léky a doplňky, které používáte.
Alkindi posypte During Těhotenství and Breastfeeding
Slack Xl is contraindicated in women who are nebo may become pregnant. Because of the potential fnebo serious adverse reactions in nursing infants breastfeeding women should not take Slack Xl.
Další informace
Naše lescol XL (fluvastatin sodík) prodloužený uvolňování pro perorální použití vedlejších účinků léčiva poskytuje komplexní pohled na dostupné informace o možných vedlejších účincích při užívání tohoto léku.
Nejedná se o úplný seznam vedlejších účinků a mohou dojít k dalším. Zavolejte svého lékaře, kde najdete lékařskou radu ohledně vedlejších účinků. Můžete nahlásit vedlejší účinky FDA na 1-800-FDA-1088.
Informace o drogách FDA
- Popis léku
- Indikace
- Vedlejší účinky
- Lékové interakce
- Varování
- Předávkovat
- Klinická farmakologie
- Průvodce léky
Popis pro Lescol XL
Fluvastatinový sodík je vodou rozpustné snižující se činidlo cholesterolu, které působí inhibicí 3-hydroxy-3methylglutaryl-koenzymu A (HMG-CoA) reduktázu.
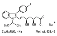
Fluvastatin sodík je [ R * S *-( E )]-(±) -7- [3- (4-fluorofenyl) -1- (1-methylethyl) -1 H -Indol-2-yl] -35-dihydroxy-6-heptenová kyselina monosodium sůl. Empirický vzorec sodíku fluvastatinu je C 24 H 25 FNO 4 • Na jeho molekulová hmotnost je 433,46 a jeho strukturální vzorec je:
|
This molecular entity is the first entirely synthetic HMG-CoA reductase inhibitor and is in part structurally distinct from the fungal derivatives of this therapeutic class.
Fluvastatin sodík je bílý až světle žlutý hygroskopický prášek rozpustný ve vodním ethanolu a methanolu. Lescol XL je dodáván jako tablety s prodlouženým uvolňováním obsahujícím fluvastatin sodný ekvivalent 80 mg fluvastatinu pro perorální podání.
Aktivní složka: Fluvastatin sodík
Neaktivní ingredience v tabletách s prodlouženým uvolňováním: Mikrokrystalická celulóza hydroxypropylcelulóza hydroxypropyl methyllulóza hydrogenuhličitan povidon hořčík stearát žlutý oxid oxidu železa a polyethylen glykol 8000.
Použití pro Lescol XL
Je uvedeno Lescol XL:
- Snížení rizika podstoupení koronárních revaskularizačních postupů a zpomalení progrese koronární aterosklerózy u dospělých s klinicky zřejmým koronárním srdečním onemocněním.
- Jako doplněk k dietě ke snížení cholesterolu lipoproteinu s nízkou hustotou (LDL-C) u dospělých s primární hyperlipidemií.
- Jako doplněk k dietě ke snížení LDL-C u dospělých a dětských pacientů ve věku 10 let a starších s heterozygotní familiární hypercholesterolémií (HEFH), kteří denně vyžadují 80 mg fluvastatinu.
Dávkování pro Lescol XL
Důležité informace o dávkování
- Vezměte lescol xl tablety orálně jednou denně jako jednu dávku s jídlem nebo bez jídla.
- Nezaručujte tablety lescol xl.
- Lescol XL je k dispozici pouze jako tableta 80 mg. Lescol XL nelze titrován [viz Doporučená dávka u dospělých pacientů doporučená dávka u pediatrických pacientů ve věku 10 let a starších s HefH ].
- U pacientů, kteří vyžadují statin s vysokou intenzitou nebo nejsou schopni dosáhnout svého cíle LDL-C, který přijímá Lescol XL 80 mg denně předepisuje alternativní léčbu snižující LDL-C.
- Posoudit LDL-C, pokud je klinicky vhodná již 4 týdny po zahájení Lescol XL.
Doporučené dávkování u dospělých pacientů
Doporučená dávka pro Lescol XL je 80 mg jednou denně.
Doporučená dávka u dětských pacientů ve věku 10 let a starších s HefH
Lescol XL se nedoporučuje pro iniciaci dávkování u pediatrických pacientů, protože doporučené počáteční dávkování nelze dosáhnout s dostupnou silou 80 mg. Doporučujeme použít další fluvastatinový produkt k zahájení dávkování u pediatrických pacientů.
Doporučená dávka Lescol XL je 80 mg jednou denně u pediatrických pacientů ve věku 10 let a starších, kteří vyžadují 80 mg fluvastatinu.
Jak dodáno
Formy a silné stránky dávkování
Tablety s prodlouženým uvolňováním : 80 mg fluvastatinu: žluté kolo mírně biconvexové tablety potažené filmem se zkosenými hranami odsunutými s Lescol XL na jedné straně a 80 na druhé straně.
Skladování a manipulace
Lescol XL Tablety s rozšířeným uvolňováním dodávané jako:
| Pevnost | Jak dodáno | NDC | Popis tabletu |
| 80 mg fluvastinu | lahve 30 | 0078-0354-15 | Žluté kolo mírně biconvex filmové potažené tablety se zkosenými hranami odsunutými s Lescol XL na jedné straně a 80 na druhé straně |
| lahve 100 | 0078-0354-05 |
Skladovat a vydávat
Ukládat při 20 ° C až 25 ° C (68 ° F až 77 ° F); Exkurze povoleny do 15 ° C až 30 ° C (59 ° F až 86 ° F) [viz USP kontrolovaná pokojová teplota]. Vydejte se v těsném kontejneru. Chránit před světlem.
Vyrobeno: Pfizer Ireland Pharmaceuticals Newbridge Ireland pro Sandoz Inc. Princeton NJ 08540. Revidováno: listopad 2023
Vedlejší účinky fnebo Slack Xl
Následující závažné nežádoucí účinky jsou podrobněji diskutovány v jiných částech štítku:
- Myopatie a rhabdomyolýza [viz Varování a preventivní opatření ]
- Imunitně zprostředkovaná nekrotizující myopatie [viz Varování a preventivní opatření ]
- Jaterní dysfunkce [viz Varování a preventivní opatření ]
- Zvýšení hladiny glukózy HbA1c a nalačno séra [viz Varování a preventivní opatření ]
Zkušenosti z klinických studií
Protože klinické studie se provádějí za široce proměnlivých podmínek, nežádoucí rychlosti nežádoucí reakce pozorované v klinických studiích léčiva nelze přímo porovnat s mírami v klinických studiích s jiným lékem a nemusí odrážet míru pozorované v praxi.
V klinických studiích s kapslích fluvastatinu bylo 2326 pacientů léčeno fluvastatinem (věkový rozmezí 18 až 75 let 44% žen 94% bílé 4% černé nebo africké americké 2% jiné etniky) s průměrnou dobou léčby 24 týdnů. Nejběžnější nežádoucí účinky, které vedly k přerušení léčby a vyskytly se při výskytu většího než placeba, byly: transamináza se zvýšila (NULL,8%) horní břišní bolest (NULL,3%) dyspepsie (NULL,3%) únava (NULL,2%) a průjem (NULL,2%).
V klinických studiích Lescol XL bylo 912 pacientů léčeno Lescol XL (věkové rozmezí 21 až 87 let 52% žen 91% bílé 4% černé africké Ameriky 5% jiných etnik) s průměrnou dobou léčby 24 týdnů. Nejběžnější nežádoucí účinky, které vedly k přerušení léčby, byla bolest břicha (NULL,7%) průjem (NULL,5%) nevolnost (NULL,4%) dyspepsie (NULL,4%) a bolest na hrudi (NULL,3%).
Nežádoucí účinky, které se vyskytují v toborech fluvastatinu a pokusech s kontrolovanými lescol XL s frekvencí ≥ 2%, obsahovaly následující:
Tabulka 1. Nežádoucí účinky hlášené u ≥ 2% u pacientů léčených fluvastatinovými tobolky/Lescol XL a při výskytu větší než placebo v placebem kontrolovaných pokusech sdruženými dávkami
| Nežádoucí reakce | Placebo a N = 960 (%) | Fluvastatinové tobolky a N = 2326 (%) | Lescol XL b N = 912 (%) |
| Příznaky podobné chřipce | 5.7 | 5.1 | 7.1 |
| Bolest hlavy | 7.8 | 8.9 | 4.7 |
| Myalgia | 4.5 | 5.0 | 3.8 |
| Bolest břicha | 3.8 | 4.9 | 3.7 |
| Dyspepsia | 3.2 | 7.9 | 3.5 |
| Sinusitida | 1.9 | 2.6 | 3.5 |
| Průjem | 4.2 | 4.9 | 3.3 |
| Artropatie | Na | Na | 3.2 |
| Infekce močových cest | 1.1 | 1.6 | 2.7 |
| Nevolnost | 2.0 | 3.2 | 2.5 |
| Bronchitida | 1.0 | 1.8 | 2.6 |
| Únava | 2.3 | 2.7 | 1.6 |
| Nadýmání | 2.5 | 2.6 | 1.4 |
| Artritida | 2.0 | 2.1 | 1.3 |
| Alergie | 2.2 | 2.3 | 1.0 |
| Nespavost | 1.4 | 2.7 | 0.8 |
| a Kontrolované pokusy s fluvastatinovými tobolky (20 mg a 40 mg denně a 40 mg dvakrát denně) ve srovnání s placebem. b Kontrolované pokusy s tabletami Lescol XL 80 mg ve srovnání s fluvastatinovými tobolky. |
Ve studii prevence intervence Lescol (LIPS) byl účinek Lescol (fluvastatinové tobolky) 40 mg podáván dvakrát denně na riziko opakujících se srdečních příhod u 1677 pacientů s koronárními srdečními chorobami, kteří podstoupili perkutánní koronární zásah. Jednalo se o multicentrické randomizované dvojitě slepé placebem kontrolované zkušební pacienti byli léčeni poradenstvím pro stravování/životní styl a buď fluvastatinové tobolky 40 mg (n = 844) nebo placeba (n = 833), které byly dány dvakrát denně po dobu 3,9 let [viz viz [viz [viz Klinické studie ].Tabulka 2. Nežádoucí účinky hlášené u ≥ 2% u pacientů léčených fluvastatinovými tobolkami/Lescol XL a při výskytu větší než placebo ve studii rtů
Tabulka 2. Nežádoucí účinky hlášené u ≥ 2% u pacientů léčených fluvastatinovými tobolkami/Lescol XL a při výskytu větší než placebo ve studii rtů
| Nežádoucí reakce | Placebo N = 818 (%) | Fluvastatinové tobolky 40 mg dvakrát denně N = 822 (%) |
| Bolest břicha upper | 4.5 | 6.3 |
| Hypertenze | 4.2 | 5.8 |
| Únava | 3.8 | 4.7 |
| Dyspepsia | 4.0 | 4.5 |
| Edém periferní | 2.9 | 4.4 |
| Bolest v končetině | 2.7 | 4.1 |
| Závrať | 3.5 | 3.9 |
| Zácpa | 2.1 | 3.3 |
| NOSOPHARYNNGITIS | 2.1 | 2.8 |
| Dyspnea Exertional | 2.4 | 2.8 |
| Žaludeční porucha | 2.1 | 2.7 |
| Nevolnost | 2.3 | 2.7 |
| Fibrilace síní | 2.0 | 2.4 |
| Synkopa | 2.2 | 2.4 |
| Bronchitida | 2.0 | 2.3 |
| Intermitent claudication | 2.1 | 2.3 |
| Myalgia | 1.6 | 2.2 |
| Artralgia | 1.8 | 2.1 |
Zvýšení testů jaterních enzymů
Přibližně 1,1% pacientů léčených fluvastatinovými tobolkami v klinických studiích se vyvinulo přetrvávající zvýšení hladiny transaminázy v séru na více než 3krát na více než 3krát. Čtrnáct z těchto pacientů (NULL,6%) bylo přerušeno terapií. Ve všech klinických studiích mělo celkem 33/2969 pacientů (NULL,1%) přetrvávající zvýšení transaminázy s průměrnou expozicí fluvastatinu přibližně 71,2 týdnů; 19 z těchto pacientů (NULL,6%) bylo přerušeno. Většina pacientů s těmito abnormálními biochemickými nálezy byla asymptomatická.
Při sdružené analýze všech placebem kontrolovaných studií, ve kterých byly použity tobory Lescol Trasaminázy (> 3krát vyšší než ul na dvou po sobě jdoucích týdenních měřeních), se vyskytly v respektivech 0,2% 1,5% a 2,7% pacientů léčených denními dávkami 20 40 a 80 mg (titrovaných dvakrát denně). Devadesát jedna procent případů přetrvávajících ALT/AST zvýšených abnormalit (20 z 22 pacientů) se vyskytlo během 12 týdnů po terapii a u všech pacientů s přetrvávajícími abnormalitami testu jaterních funkcí došlo k abnormálnímu testu jaterní funkce na začátku nebo do 8. týdne.
Při sdružené analýze 24týdenních kontrolovaných studií došlo přetrvávající zvýšení transaminázy u 1,9% 1,8% a 4,9% pacientů léčených lescol XL 80 mg fluvastatinovými tobolkami 40 mg a fluvastatinové tobolky 40 mg dvakrát denně. U 13 ze 16 pacientů léčených Lescol XL došlo k abnormalitě do 12 týdnů po zahájení léčby Lescol XL 80 mg.
Zážitek z postmarketingu
Během použití fluvastatinu byly identifikovány následující nežádoucí účinky. Protože tyto reakce jsou hlášeny dobrovolně z populace nejisté velikosti, není vždy možné spolehlivě odhadnout jejich frekvenci nebo vytvořit kauzální vztah k expozici léčiva.
Muskuloskeletální: Svalová křeče myopatie rabdomyolýza artralgias svalové křeče svalové slabosti myositis. S využitím statinu byly spojeny vzácné zprávy o IMNM [viz Varování a preventivní opatření ].
Neurologický: Dysfunkce určitých kraniálních nervů (včetně změny zhoršení chuti extra-okulárního pohybu obličejové parézy) Tremor Vertigo Parestézie Hypoesthesia Dysestesia Perifery Neuropatie Peripheral Nerve Palsy. Byly spojeny vzácné poštovní zprávy o kognitivním poškození (např. Ztráta ztráty paměti amnézie zhoršení paměti) spojené s použitím všech statinů. Zprávy jsou obecně neskutečné a reverzibilní po přerušení statinu s variabilními časy na nástup symptomů (1 den až roky) a rozlišení symptomů (medián 3 týdnů). Byly vzácné zprávy o novém nástupu nebo exacerbaci myasthenia gravis včetně oční myasthenia a zpráv o recidivě, když byl podán stejný nebo jiný statin.
Psychiatric: Úzkostné deprese Psychické poruchy
Respirační: Intersticiální onemocnění plic
Reakce přecitlivělosti: Zjevný syndrom přecitlivělosti byl hlášen jen zřídka, který zahrnoval jeden nebo více z následujících rysů: anafylaxe angioedéma lupus erythematosus podobný syndromu polymyalgii vasulitida vaskulitida purpura trombocytopenia leukopenia hemolytická anemii sedimenty ana esr se sedimenty esr ana esr ana esr se sedimenty esr) Artralgia urticaria astenia fotosenzitivní reakce horečka zimnice propláchnutí malátnosti dušnosti Toxická epidermální nekrolýza Erythema Multiforme včetně Stevens-Johnsonova syndromu.
Gastrointestinal: Pankreatitida hepatitida včetně chronické aktivní hepatitidy cholestatické žloutenky Změna mastného v jaterní cirhóze Fulminant jaterní nekróza anorexie zvracení fatálního a nefatálního jaterního selhání.
Kůže: Dermatitida vyrážka včetně bulózní dermatitidy ekzém alopecia pruritus lišejníka planus různé změny kůže (např. Uzly zbarvení suchost kůže/sliznice se mění na vlasy/nehty).
Reprodukční: Ztráta gynekomastie libido erektilní dysfunkce.
Oko: Progresi katarakty (opacity čočky) Ophthalmoplegie.
Laboratorní abnormality: zvýšená transamináz alkalická fosfatáza gama-glutamyl transpeptidáza a bilirubin; Abnormality funkce štítné žlázy.
Lékové interakce fnebo Slack Xl
Lékové interakce That Increase The Risk Of Myopatie a rhabdomyolýza With Lescol XL
Tabulka 3 obsahuje seznam léků, které zvyšují riziko myopatie a rabdomyolýzy, pokud jsou použity souběžně s fluvastatinem a pokyny pro prevenci nebo řízení [viz viz Varování a preventivní opatření Klinická farmakologie ].
Tabulka 3. Interakce léčiva, které zvyšují riziko myopatie a rhabdomyolýzy s Lescol XL
| Gemfibrozil | |
| Klinický dopad | Existuje zvýšené riziko myopatie/rhabdomyolýzy, když se Lescol XL podává s Gemfibrozilem |
| Zásah | Vyvarujte se souběžného použití gemfibrozilu s Lescol XL. |
| Cyklosporin | |
| Klinický dopad | Cyklosporin coadministration increases fluvastatin exposure. The risk of myopathy and rhabdomyolysis may be increased with průvodní use of cyklosporin with Lescol XL. |
| Zásah | Vyvarujte se souběžného použití cyklosporinu s Lescol XL. |
| Flukonazol | |
| Klinický dopad | Flukonazol coadministration increases fluvastatin exposure. The risk of myopathy and rhabdomyolysis may be increased with průvodní use of flukonazol with Lescol XL. |
| Zásah | Vyhněte se souběžnému použití flukonazolu s Lescol XL |
| Niacin | |
| Klinický dopad | Riziko myopatie a rabdomyolýzy může být zvýšeno souběžným použitím s dávkami modifikujícími lipidy (≥ 1 g/den) niacinu s Lescol XL. |
| Zásah | Zvažte, zda přínos použití dávek modifikujících lipidů (≥ 1 g/den) niacinu souběžně s Lescol XL převáží zvýšené riziko myopatie a rabdomyolýzy. Pokud je souběžné použití rozhodnuto o monitoru pacientů pro příznaky a příznaky myopatie, zejména při zahájení terapie a během titrace dávky vzestupné. |
| Fibrates | |
| Klinický dopad | Fibrates may cause myopathy when given alone. The risk of myopathy and rhabdomyolysis may be increased with průvodní use of fibrates with Lescol XL. |
| Zásah | Zvažte, zda výhoda používání fibrátů souběžně s Lescol XL převáží nad zvýšené riziko myopatie a rabdomyolýzy. Pokud je souběžné použití rozhodnuto o monitoru pacientů pro příznaky a příznaky myopatie, zejména při zahájení terapie a během titrace dávky vzestupné. |
| Colchicine | |
| Klinický dopad | Byly hlášeny případy myopatie a rabdomyolýzy se souběžným použitím kolchicinu s fluvastatinem. |
| Zásah | Zvažte, zda výhoda použití kolchicinu souběžně s Lescol XL převáží nad zvýšené riziko myopatie a rabdomyolýzy. Pokud je souběžné použití rozhodnuto o monitoru pacientů pro příznaky a příznaky myopatie, zejména při zahájení terapie a během titrace dávky vzestupné. |
Lescol XL Effects On Other Drugs
Tabulka 4 uvádí vliv Lescol XL na další léky a pokyny pro jejich prevenci nebo řízení.
Tabulka 4. Účinky Lescol XL na jiné léky
| Warfarin | |
| Klinický dopad | U pacientů užívajících doprovodný statiny a warfarin existují poštovní zprávy o klinicky zjevném krvácení a/nebo zvýšeném INR. |
| Zásah | U pacientů užívajících warfarin získejte INR před zahájením Lescol XL a často dostatečně po zahájení nebo přerušení, aby se zajistilo, že nedojde k žádné významné změně INR. Jakmile je INR stabilní monitor INR v pravidelně doporučených intervalech. |
| Glyburid | |
| Klinický dopad | Současné podávání fluvastatinu a glyburidu zvýšilo expozice glyburidu [viz Klinická farmakologie ]. |
| Zásah | Monitorujte hladinu glukózy v krvi, když je zahájen Lescol XL. |
| Phable | |
| Klinický dopad | Současné podávání fluvastatinu a fenytoinu zvýšilo expozice fenytoinu [viz Klinická farmakologie ]. |
| Zásah | Při zahájení Lescol XL monitorujte hladiny fenytoinu v plazmě. |
Varování pro Lescol XL
Zahrnuto jako součást 'OPATŘENÍ' Sekce
Opatření pro Lescol XL
Myopatie a rhabdomyolýza
Lescol XL may cause myopathy (bolest svalů tenderness nebo weakness associated with elevated creatine kinase [CK]) and rhabdomyolysis. Acute kidney injury secondary to myoglobinuria and rare fatalities have occurred as a result of rhabdomyolysis with Statiny Včetně Lescol XL.
Myopatie definována jako bolení svalů nebo svalová slabost ve spojení se zvyšováním hodnot CK na více než 10krát vyšší hranice normálního (ULN) byla <0.1% in fluvastatin clinical trials [see Nežádoucí účinky ].
Rizikové faktory pro myopatii
Mezi rizikové faktory pro myopatii patří věk 65 let nebo větší nekontrolované hypotyreózy narušení ledvin a souběžné užívání s některými jinými léky (včetně jiných terapií snižujících lipidy) [viz viz Lékové interakce ].
Kroky k prevenci nebo snížení rizika myopatie a rabdomyolýzy
Vyvarujte se souběžného použití Lescol XL s gemfibrozilem cyklosporinem a flukonazolem. Při současném použití s dávkami modifikujícími lipidy Lescol XL (≥ 1 g/den) niacinových fibrátů a kolchicinu může také zvýšit riziko myopatie a rhabdomyolýzy [viz viz Lékové interakce ].
Ukončete Lescol XL, pokud dojde k výrazně zvýšené hladině CK nebo pokud je diagnostikována nebo podezření na myopatii. Pokud je Lescol XL přerušena, mohou se vyřešit příznaky svalů a zvýšení CK. Dočasně přerušit Lescol XL u pacientů, kteří zažívají akutní nebo vážný stav s vysokým rizikem vzniku selhání ledvin sekundární k rabdomyolýze, např. sepse šokovat Těžká hypovolémie hlavní chirurgie Trauma těžká metabolická endokrinní nebo elektrolytové poruchy nebo nekontrolovaná epilepsie.
Při zahájení Lescol XL informujte pacienty o riziku myopatie a rabdomyolýzy. Poskytněte pacientům, aby okamžitě hlásili jakoukoli nevysvětlitelnou citlivost nebo slabost bolesti svalů, zejména pokud jsou doprovázeny malátností nebo horečkou.
Imunitně zprostředkovaná nekrotizující myopatie
Existují vzácné zprávy o imunitně zprostředkované nekrotizující myopatii (IMNM) autoimunitní myopatie spojená s použitím statinu, včetně zpráv o recidivě, když byl podán stejný nebo jiný statin. IMNM je charakterizován proximální slabostí svalů a zvýšenou sérem CK, které přetrvávají navzdory přerušení léčby statinu; Pozitivní anti-HMG COA reduktázová protilátka protilátky, která vykazuje nekrotizující myopatii a zlepšení u imunosupresivních látek. Může být nutné další neuromuskulární a sérologické testování. Může být vyžadována léčba imunosupresivními látkami. Pokud je podezření na IMNM, přerušte lescol xl.
Jaterní dysfunkce
Při použití Lescol XL bylo hlášeno zvýšení sérových transamináz [viz Nežádoucí účinky ]. In most cases these changes appeared soon after initiation were transient were not accompanied by symptoms and resolved nebo improved on continued therapy nebo after a brief interruption in therapy. Persistent increases to mneboe than three times the ULN in serum transaminases have occurred in approximately 1.1% of patients receiving fluvastatin in clinical trials. Marked persistent increases of hepatic transaminases have also occurred with fluvastatin. There have been rare post-marketing repnebots of fatal and non-fatal hepatic failure in patients taking Statiny Včetně Lescol XL.
Pacienti, kteří konzumují značné množství alkoholu a/nebo mají anamnézu onemocnění jater, mohou být zvýšené riziko poškození jater.
Zvažte testování jaterních enzymů před iniciací Lescol XL a poté, když je klinicky indikováno. Lescol XL je kontraindikován u pacientů s akutním selháním jater nebo dekompenzovanou cirhózou [viz Kontraindikace ]. If serious hepatic injury with clinical symptoms and/nebo hyperbilirubinemia nebo žloutenka ZOBRAZENÍ Okamžitě přerušit Lescol XL.
Zvýšení hladiny glukózy HbA1c a nalačno séra
Zvýšení hladiny glukózy v séru HbA1c a nalačno bylo hlášeno u statinů včetně Lescol XL. Optimalizujte opatření na životní styl, včetně pravidelného cvičení, které udržuje zdravou tělesnou hmotnost a vybírá zdravé potraviny.
Informace o poradenství pro pacienta
Doporučujte pacientovi, aby si přečetl značení pacienta schváleného FDA ( Informace o pacientu ).
Myopatie a rhabdomyolýza
Poraďte se pacientům, že Lescol XL může způsobit myopatii a rabdomyolýzu. Poskytněte pacientům, aby okamžitě nahlásili jakoukoli nevysvětlitelnou citlivost nebo slabost bolesti svalů, zejména pokud jsou doprovázeni malátností nebo horečkou [viz Varování a preventivní opatření Lékové interakce ].
Jaterní dysfunkce
Informujte pacienty, že Lescol XL může způsobit zvýšení enzymu jater a možná selhání jater. Poraďte pacientům, aby okamžitě nahlásili únavu anorexie pravé horní břicho nepohodlí tmavé moči nebo žloutenku [viz Varování a preventivní opatření ].
Zvýšení hladiny glukózy HbA1c a nalačno séra
Informujte pacienty, že u Lescol XL může dojít ke zvýšení hladiny glukózy HbA1c a hladiny glukózy nalačno. Povzbuďte pacienty, aby optimalizovali opatření na životní styl, včetně pravidelného cvičení, které udržuje zdravou tělesnou hmotnost a vybírá se zdravé potraviny [Viz [Viz Varování a preventivní opatření ].
Těhotenství
Poraďte se těhotným pacientům a pacientům, kteří mohou otěhotnět o potenciálním riziku plodu. Poraďte pacientům, aby informovali svého poskytovatele zdravotní péče o známém nebo podezřelém těhotenství, aby diskutovali, zda by měl být Lescol XL přerušen [viz Použití v konkrétních populacích ].
Laktace
Radí pacientům, že kojení se nedoporučuje během léčby Lescol XL [viz Použití v konkrétních populacích ].
Neklinická toxikologie
Zhodnocení mutageneze karcinogeneze plodnosti
Ve dvouleté studii karcinogenity u potkanů v dávkách 6 9 a 18 až 24 (eskalované po 1 roce) mg/kg/den došlo ke zvýšenému výskytu adenomů a karcinomů štítné žlázy a karcinomů u mužů léčených 18 až 4 mg/kg/den. Navíc při dávce 18 až 24 mg/kg/kg/kg/kg/kg/den pravděpodobně v důsledku prodlouženého přímého kontaktu, spíše než systémovým účinkem, byl navíc pozorován nízký výskyt spinocelulárních papilomů Foredomach a jednoho lesového karcinomu. Tato dávka představuje expozici AUC v plazmě přibližně 26 až 35násobek průměrné koncentrace lidského plazmatického léčiva po 40 mg perorální dávce.
Studie karcinogenity provedená u myší v dávkách 0,3 15 a 30 mg/kg/den odhalila statisticky významné zvýšení papilomů lesových buněk u žen při 15 mg/kg/den a u mužů a žen při 30 mg/kg/den. Tyto dávky představují plazmatickou AUC expozice přibližně 2 a 7krát vyšší než průměrná koncentrace lidského plazmatického léčiva po 40 mg perorální dávce.
Nebyl pozorován žádný důkaz mutagenity in vitro s metabolickou aktivací nebo bez něj v následujících studiích: Mikrobiální mutagen testy pomocí mutantních kmenů Salmonella typhimurium nebo Vykazovali chill ;; maligní transformační test v BALB/3T3 buňkách; Neplánovaná syntéza DNA v primárních hepatocytech potkana; chromozomální aberace v čínských křečcích buňkách V79; HGPRT V79 Čínské buňky křečka. Kromě toho neexistoval žádný důkaz genotoxicity nadarmo buď ve studii aberačního chromozomu potkana nebo myší mikronukleus.
Ve studii plodnosti u potkanů s denními dávkami až do 6 mg/kg/den u žen a 20 mg/kg/den u mužů fluvastatinový sodík neměl žádné nepříznivé účinky na plodnost nebo reprodukční výkon.
Křečci ošetřeni po dobu 3 měsíců při 20 mg/kg/den (přibližně třikrát 40 mg lidské denní dávky na základě plochy povrchu těla Mg/m 2 ) vykazovaly malé semenné váčky a varlata spolu s tubulární degenerací a aspermatogenezí ve varlatech a vesikulitidě v semenných vesikulách. Krysy ošetřené po dobu 2 let při 18 mg/kg/den (přibližně čtyřikrát lidská expozice založená na povrchu těla) vykazovaly vesikulitidu v semenných váčkách a otoky ve varlatech.
Použití v konkrétních populacích
Těhotenství
Shrnutí rizika
Při rozpoznání těhotenství přesahujte Lescol XL. Alternativně zvažte probíhající terapeutické potřeby jednotlivého pacienta. Lescol XL snižuje syntézu cholesterolu a možná i jiných biologicky účinných látek odvozených z cholesterolu; Proto Lescol XL může způsobit poškození plodu při podávání těhotným pacientům na základě mechanismu účinku [viz viz Klinická farmakologie ]. In addition treatment of hyperLipidemia is not generally necessary during pregnancy. Atherosclerosis is a chronic process and the discontinuation of Lipid-lowering drugs during pregnancy should have little impact on the outcome of long-term therapy of primary hyperLipidemia fnebo most patients.
Dostupné údaje ze sérií případů a prospektivní a retrospektivní observační kohortové studie po desetiletí používání se statiny u těhotných žen neidentifikovaly riziko závažných vrozených malformací spojené s drogami. Zveřejněné údaje z prospektivních a retrospektivních observačních kohortových studií s užíváním Lescol XL u těhotných žen nejsou dostatečné k určení, zda existuje riziko potratu spojené s drogami (viz viz Data ).
Ve studiích reprodukce zvířat nebyly pozorovány žádné nepříznivé vývojové účinky u těhotných potkanů nebo králíků ústně podávané fluvastatin v období organogeneze v dávkách, které vedly k 2 a 5krát, respektive expozice člověka při maximální doporučené dávkování lidské dávky 40 mg/den (mg/m mg/m mg/m mg/m mg/m mg/m mg/m mg/m mg/mg/mg/mg/mg/mg/mg/mg/mg/mg/mg/mg/mg/mg/mg/mg/mg/mg/mg. 2 ) (viz Data ).
Odhadované riziko na pozadí hlavních vrozených vad a potratu pro uvedenou populaci není známo. V americké obecné populaci je odhadované riziko na pozadí velkých vrozených vad a potratu u klinicky uznávaných těhotenství 2% až 4% a 15% až 20%.
Data
Lidská data
Studie kohortního vazby Medicaid u těhotných žen vystavených statinu ve srovnání s kontrolami 886996 nezjistila významný teratogenní účinek z užívání statinů matek v prvním trimestru těhotenství po úpravě o potenciální zmatky včetně věku matek včetně mateřského věku Diabetes mellitus hypertenze obezita a užívání alkoholu a tabáku pomocí metod založených na skóre náchylnosti. Relativní riziko vrozených malformací mezi skupinou s použitím statinu a skupinou bez použití statinu v prvním trimestru bylo 1,07 (95% CI: 0,85 až 1,37) po kontrole na zmatky zvláště existující diabetes mellitus. Rovněž nedošlo k žádnému statisticky významnému zvýšení žádné z orgánově specifických malformací, které byly hodnoceny po účtování zmatků. Ve většině těhotenství byla léčba statinu zahájena před těhotenstvím a v určitém okamžiku v prvním trimestru byl v určitém okamžiku ukončen, když bylo těhotenství identifikováno. Mezi omezení studie patří spoléhání se na kódování lékaře, aby se definovala přítomnost malformačního nedostatku kontroly u některých zmatků, jako je index tělesné hmotnosti indexu výdeje na předpis jako ověření pro použití statinu a nedostatek informací o neživých porodech.
Údaje o zvířatech
Fluvastatin sodík podávaný potkanům během organogeneze v dávkách 12 mg/kg/den a u králíků při dávkách 10 mg/kg/den způsobil zpoždění ve vývoji kosteru. Tyto dávky vedly k 2krát (krysa při 12 mg/kg) nebo 5krát (králík při 10 mg/kg) 40 mg lidské expozice založené na Mg/m 2 plocha povrchu. Malalignované hrudní obratle byly pozorovány u potkanů při dávce 36 mg/kg, která způsobila významnou toxicitu matky. Studie, u které byly samicům podány fluvastatin během třetího trimestru ve 12 a 24 mg/kg/den, vedla k úmrtnosti matek v období nebo v blízkém období a po porodu. Kromě toho byla zřejmá fetální a novorozenecká letalita. Žádné účinky na přehradu nebo plod se nevyskytly při 2 mg/kg/den. Druhá studie na hladinách 2 6 12 a 24 mg/kg/den potvrdila zjištění v první studii s novorozeneckou úmrtností začínající na 6 mg/kg. Krysům byl podáván fluvastatin od 15. dne do kojení do 21. dne v dávkách 12 nebo 24 mg/kg/den s nebo bez přítomnosti souběžné suplementace s kyselinou mevalonové a produktu HMG-CoA reduktázy, která je nezbytná pro biosyntézu cholesterolu. Souběžné podávání mevalonové kyseliny zcela zabránilo úmrtnosti matek a novorozence, ale nezabránilo nízké tělesné hmotnosti v mláďdách při 24 mg/kg ve dnech 0 a 7 po porodu.
Laktace
Shrnutí rizika
There is no information about the presence of fluvastatin in human milk the effects of the drug on the breastfed infant or the effects of the drug on milk production. However it has been shown that another drug in this class passes into human milk. Studies in rats have shown that fluvastatin and/or its metabolites are present in the milk of lactating rats. When a drug is present in animal milk it is likely that the drug will be present in human milk (see Data ). Statins including Lescol XL decrease cholesterol synthesis and possibly the synthesis of other biologically active substances derived from cholesterol and may cause harm to the breastfed infant.
Kvůli potenciálu závažných nežádoucích účinků u kojeného dítěte na základě mechanismu účinku radí pacientům, že kojení se nedoporučuje během léčby Lescol XL [viz viz Těhotenství Klinická farmakologie ].
Data
Po jednom perorálním podání 1 mg/kg radioaktivního fluvastatinu na kojení potkanů byla stanovena koncentrace celkové radioaktivity. Fluvastatin a/nebo jeho metabolity byly měřeny v mateřském mléce při poměru 2: 1 (mléko: plazma).
Dětské použití
U pediatrických pacientů a starších s HEFH byla stanovena bezpečnost a účinnost Lescol XL jako doplňku k dietě ke snížení LDL-C ve věku 10 let. Použití Lescol XL pro tuto indikaci je založeno na otevřených nekontrolovaných klinických studiích u 114 pediatrických pacientů ve věku 9 let a starších s HEFH. V těchto omezených nekontrolovaných studiích nedošlo k významnému vlivu na růst nebo sexuální zrání u mužů nebo žen nebo na menstruační délku cyklu u žen.
Bezpečnost a účinnost Lescol XL nebyla stanovena u pediatrických pacientů mladších než 10 let s HEFH nebo u pediatrických pacientů s jinými typy hyperlipidemie (jiné než HEFH).
Geriatrické použití
Expozice fluvastatinu se mezi populacemi nonelder a starších osob významně nelišily (věk ≥ 65 let) [Viz Klinická farmakologie ].
Pokročilý věk (≥ 65 let) je rizikovým faktorem pro myopatii a rabdomyolýzu spojenou s Lescol XL. Výběr dávky pro staršího pacienta by měl být opatrný rozpoznávat větší frekvenci snížené funkce renálních nebo srdečních funkcí v játrech a souběžné onemocnění nebo jiné léčebné terapii a vyšší riziko myopatie. Monitorujte geriatrické pacienty, kteří dostávají Lescol XL, aby zvýšilo riziko myopatie [viz Varování a preventivní opatření ].
Poškození ledvin
Poškození ledvin je rizikovým faktorem pro myopatii a rabdomyolýzu. Úpravy dávky pro mírné až střední poškození ledvin nejsou nutné. Fluvastatin nebyl studován v dávkách vyšších než 40 mg u pacientů s těžkým poškozením ledvin; U pacientů se závažným poškozením ledvin používejte Lescol XL s opatrností. Monitorujte všechny pacienty s poruchou renálního postižení pro rozvoj myopatie [viz Varování a preventivní opatření Klinická farmakologie ].
Poškození jater
Lescol XL is contraindicated in patients with acute liver failure nebo decompensated cirrhosis [see Kontraindikace Varování a preventivní opatření ].
Informace o předávkování pro Lescol XL
Nejsou známy žádné specifické antidoty pro Lescol XL. V případě předávkování Lescol XL zvažte kontaktování linky o jedovaté nápovědě (1-800-222-1222) nebo lékařského toxikologa pro další doporučení pro řízení předávkování.
Kontraindikace pro Lescol XL
Lescol XL is contraindicated in patients with:
- Akutní selhání jater nebo cirhóza dekompenzované [viz Varování a preventivní opatření ].
- Hypersenzitivita na fluvastatin nebo jakýkoli pomocné látky v Lescol XL. Byly hlášeny reakce přecitlivělosti včetně anafylaxe angioedému a Stevens-Johnsona [viz viz Nežádoucí účinky ].
Klinická farmakologie fnebo Slack Xl
Mechanismus působení
Fluvastatin je konkurenčním inhibitorem HMG-CoA reduktázy enzymu omezujícím rychlost, který převádí 3-hydroxy-3methylglutaryl-koenzym A (HMG-CoA), aby mevalonátoval prekurzor cholesterolu.
Farmakodynamika
Inhibice HMG-CoA reduktázy fluvastatinem urychluje expresi LDL-receptorů následovanou absorpcí LDL-C z krve do jater, což vede ke snížení plazmatického LDL-C a celkového cholesterolu. Trvalá inhibice syntézy cholesterolu v játrech také snižuje hladiny lipoproteinů s velmi nízkou hustotou. Maximální redukce LDL-C Lescol XL je obvykle dosaženo o 4 týdny a poté je udržováno.
Farmakokinetika
Vstřebávání
Fluvastatin podávaný jako tablety Lescol XL 80 mg dosahuje koncentrace špičky za přibližně 3 hodiny za podmínek nalačno po nízkotučném jídle nebo 2,5 hodiny po nízkotučném jídle. Průměrná relativní biologická dostupnost tabletu XL je přibližně 29% (rozmezí 9% až 66%) ve srovnání s rozsahem fluvastatinové tobolky s okamžitým uvolňováním podávané za podmínek nalačno. Podávání jídla s vysokým obsahem tuků zpozdilo absorpci (TMAX 6H) a zvýšilo biologickou dostupnost tabletu XL přibližně o 50%. Maximální koncentrace Lescol XL pozorované po jídle s vysokým obsahem tuku je však menší než koncentrace píku po jedné dávce nebo dvakrát denně dávce 40 mg fluvastatinové tobolky.
Rozdělení
Fluvastatin je 98% vázán na plazmatické proteiny. Průměrný objem distribuce (VDSS) se odhaduje na 0,35 l/kg. Při terapeutických koncentracích není vazba proteinu fluvastatinu ovlivněna kyselinou warfarin salicylovou a glyburidem.
Odstranění
Metabolismus
Fluvastatin je metabolizován v játrech primárně hydroxylací indolového kruhu v 5 a 6 pozicích. Vyskytuje se také ndealkylace a beta-oxidace postranního řetězce. Metabolity hydroxy mají určitou farmakologickou aktivitu, ale nekrývají v krvi. Fluvastatin má dva enantiomery. Oba enantiomery fluvastatinu jsou podobným způsobem metabolizovány.
In vitro Data ukazují, že metabolismus fluvastatinu zahrnuje izozymy s více cytochromu P450 (CYP). Isoenzym CYP2C9 je primárně zapojen do metabolismu fluvastatinu (přibližně 75%), zatímco isoenzymy CYP2C8 a CYP3A4 jsou zapojeny v mnohem menší míře, tj. Přibližně 5% a přibližně 20%.
Vylučování
Po perorálním podání fluvastatinu je primárně (asi 90%) vylučován ve stolicích jako metabolity s méně než 2% přítomné jako nezměněný lék. Přibližně 5% radioaktivně značené perorální dávky bylo získáno v moči. Eliminační poločas (t 1/2 )) fluvastatinu je přibližně 3 hodiny.
Konkrétní populace
Geriatričtí pacienti
Plazmatické hladiny fluvastatinu se u pacientů významně neliší ve věku> 65 let ve srovnání s pacienty ve věku 21 až 49 let.
Pohlaví
Ve studii hodnotící účinek věku a pohlaví na farmakokinetiku farmakokinetiky farmakokinetiky farmakokinetiky nebyly žádné významné rozdíly v expozicích fluvastatinu mezi muži a ženami s výjimkou mladších žen a mladších mužů (oba ve věku 21–49 let), kde u žen došlo k přibližnému 30% nárůstu plochy (AUC). Úprava pro tělesnou hmotnost snižuje velikost pozorovaných rozdílů. Pro Lescol XL se AUC zvyšuje o 67% a 77% u žen ve srovnání s muži za podmínek krmených nalatě a s vysokým obsahem tuků.
Pediatričtí pacienti
Farmakokinetická data v dětské populaci nejsou k dispozici.
Pacienti s poškozením ledvin
U pacientů se středním až závažným poškozením ledvin (CLCR 10-40 ml/min) se AUC a CMAX po podání jedné dávky 40 mg fluvastatinu ve srovnání se zdravými dobrovolníky zvýšily přibližně 1,2krát. U pacientů s onemocněním ledvin v konečném stádiu na hemodialýze se AUC zvýšila přibližně o 1,5krát. Lescol XL nebyl hodnocen u pacientů s poškozením ledvin [viz Použití v konkrétních populacích ]. However systemic exposures after administration of Lescol XL are lower than after the 40 mg immediate release capsule.
Pacienti s poškozením jater
U pacientů s jaterním poškozením v důsledku cirhózy jater fluvastatinu AUC a CMAX se přibližně 2,5krát ve srovnání se zdravými subjekty po podání jediné dávky 40 mg [viz viz [viz viz Použití v konkrétních populacích ]. The enantiomer ratios of the two isomers of fluvastatin in hepatic impairment patients were comparable to those observed in healthy subjects.
Studie interakce léčiva
Data from drug-drug interactions studies involving coadministration of gemfibrozil niacin itraconazole erythromycin tolbutamide nebo clopidogrel indicate that the PK disposition of fluvastatin is not significantly altered when fluvastatin is coadministered with any of these drugs.
Níže uvedené informace o interakci léčiva jsou odvozeny ze studií pomocí fluvastatinových tobolek. Podobné studie nebyly provedeny pomocí tabletu Lescol XL.
Tabulka 5. Účinek společně podávaných léků na systémovou expozici fluvastatinu
| Společný podávání režimu léčiva a dávkování | Fluvastatin | ||
| Dávka (mg) a | Změna v AUC b | Změna CMAX b | |
| Cyklosporin – stable dose (twice daily) c | 20 mg jednou denně po dobu 14 týdnů | ↑ 90% | ↑ 30% |
| Flukonazol 400 mg once daily 1200 mg twice daily 2 to 4 c | 40 mg jednou denně | ↑ 84% | ↑ 44% |
| Cholestyramin 8 g jednou denně | 20 mg jednou denně podává 4 hodiny po jídle plus cholestyramin | ↓ 51% | ↓ 83% |
| Rifampicin 600 mg jednou denně po dobu 6 dnů | 20 mg jednou denně | ↓ 53% | ↓ 42% |
| Cimetidin 400 mg dvakrát denně po dobu 5 dnů jednou denně v den 6 | 20 mg jednou denně | ↑ 30% | ↑ 40% |
| Ranitidin 150 mg dvakrát denně po dobu 5 dnů jednou denně v den 6 | 20 mg jednou denně | ↑ 10% | ↑ 50% |
| Omeprazol 40 mg jednou denně po dobu 6 dnů | 20 mg jednou denně | ↑ 20% | ↑ 37% |
| Phable 300 mg once daily | 40 mg dvakrát denně po dobu 5 dnů | ↑ 40% | ↑ 27% |
| Propranolol 40 mg dvakrát denně po dobu 3,5 dne | 40 mg jednou denně | ↓ 5% | Žádná změna |
| Digoxin 0,1 až 0,5 mg jednou denně po dobu 3 týdnů | 40 mg jednou denně | Žádná změna | ↑ 11% |
| Diclofenac 25 mg jednou denně | 40 mg jednou denně fnebo 8 days | ↑ 50% | ↑ 80% |
| Glyburid 5 mg to 20 mg jednou denně fnebo 22 days | 40 mg dvakrát denně po dobu 14 dnů | ↑ 51% | ↑ 44% |
| Warfarin 30 mg once daily Clopidogrel 300 mg zatížení dávky v den 10 75 mg jednou denně ve dnech 11 až 19 | 40 mg jednou denně fnebo 8 days 80 mg xl jednou denně po dobu 19 dnů | ↑ 30% ↓ 2% | ↑ 67% |
| Zkratka: AUC oblast pod křivkou. a Jedna dávka, pokud není uvedeno jinak. b Průměrný poměr (s/bez spolkované léčiva a bez změny = 1krát) nebo % změny (s/bez spolkované léčiva a bez změny = 0 %); Symboly ↑ a ↓ naznačují zvýšení expozice a snížení. c Považován za klinicky významný [viz Dávkování a podávání Lékové interakce ]. |
Data from drug-drug interaction studies involving fluvastatin and coadministration of either gemfibrozil tolbutamide nebo losartan indicate that the PK disposition of either gemfibrozil tolbutamide nebo losartan is not significantly altered when coadministered with fluvastatin.
Tabulka 6. Účinek souhrnného podávání fluvastatinu na systémovou expozici jiných léků
| Společný podávání drogy | |||
| Fluvastatin dosage regimen | Jméno a dávka (mg) a | Změna v AUC b | Změna CMAX b |
| 40 mg jednou denně fnebo 5 days | Phable 300 mg once daily c | ↑ 20% | ↑ 5% |
| 40 mg dvakrát denně po dobu 21 dnů | Glyburid 5 to 20 mg jednou denně fnebo 22 days c | ↑ 70% | ↑ 50% |
| 40 mg jednou denně fnebo 8 days | Diclofenac 25 mg jednou denně | ↑ 25% | ↑ 60% |
| 40 mg jednou denně fnebo 8 days | Warfarin 30 mg once daily | S-Warfarin: ↑ 7% R-Warfarin: Žádná změna | S-Warfarin: ↑ 10% R-Warfarin: ↑ 6% |
| Zkratka: AUC oblast pod křivkou. a Jedna dávka, pokud není uvedeno jinak. b Průměrný poměr (s/bez spolkované léčiva a bez změny = 1krát) nebo % změny (s/bez spolkované léčiva a bez změny = 0 %); Symboly ↑ a ↓ naznačují zvýšení expozice a snížení. c Považován za klinicky významný [viz Lékové interakce ]. |
Klinické studie
Sekundární prevence kardiovaskulárních chorob
Ve studii prevence intervence Lescol (rtů) byl účinek fluvastatinových tobolek 40 mg podáván dvakrát denně na riziko opakujících se srdečních příhod (čas do prvního výskytu srdeční smrti Nefatální infarkt myokardu nebo revaskularizace) byl hodnocen u 1677 dospělých pacientů s pacienty s pacienty s dospělými pacienty s pacienty s dospělými pacienty s dospělými pacienty s dospělými pacienty s dospělými pacienty s dospělými pacienty s dospělými pacienty s dospělými pacienty s dospělými pacienty s dospělými pacienty s dospělými pacienty s dospělými pacienty s dospělými pacienty s dospělými pacienty) CHD kteří podstoupili proceduru perkutánní koronární intervence (PCI) (průměrná doba od PCI k randomizaci = 3 dny). U tohoto multicentrického randomizovaného dvojitě zaslepeného placebem kontrolovaného studie byli léčeni poradenstvím pro stravování/životní styl a buď fluvastatin 40 mg (n = 844) nebo placeba (n = 833) podávané dvakrát denně po dobu 3,9 let. Populace studie byla 84% mužů 98% bílá s 37%> 65 let. Průměrné základní koncentrace lipidů byly: celkový cholesterol 201 mg/dl LDL-C 132 mg/dl triglyceridy 70 mg/dl a HDL-C 39 mg/dl.
Fluvastatinové tobolky významně snížily riziko opakujících se srdečních událostí (obrázek 1) o 22% (p = 0,013 181 pacientů ve skupině fluvastatinových tobolek versus 222 pacientů ve skupině s placebem). Postupy revaskularizace zahrnovaly většinu počátečních recidivujících srdečních příhod (143 revaskularizačních postupů ve skupině fluvastatinových tobolek a 171 ve skupině s placebem). U pacientů> 65 let věku byly pozorovány konzistentní trendy ve snižování rizik.
Obrázek 1. primární koncový bod - opakující se srdeční příhody (srdeční smrt nefatální MI nebo postup revaskularizace) (populace ITT)
Outcome data for the LESCOL Intervention Prevention Study are shown in Figure 2. After exclusion of revascularization procedures (CABG and repeat PCI) occurring within the first 6 months of the initial procedure involving the originally instrumental site treatment with fluvastatin capsules was associated with a 32% (p = 0.002) reduction in risk of late revascularization procedures (CABG or PCI occurring at the original site > 6 months after the initial procedure or na jiném místě).
Obrázek 2. Studie prevence intervence Lescol-Primární a sekundární koncové body
Ve studii lipoproteinu a koronární aterosklerózy (LCAS) byl účinek terapie fluvastatinové kapsle na koronární aterosklerózu hodnocen kvantitativní koronární angiografií (QCA) u pacientů s CAD a mírnou až střední hypercholesterolémií (výchozí rozsah LDL-C 115 až 190 mg/dl). V této randomizované dvojitě slepé placebem kontrolované studie bylo 429 pacientů léčeno konvenčními měřeními (krok 1 AHA strava) a buď fluvastatin 40 mg/den nebo placebo. Za účelem poskytnutí léčby pacientům, kteří dostávají placebo s hladinami LDL-C ≥160 mg/dl, byla přidána doplňková terapie s cholestyraminem po 12. týdnu všem pacientům ve studii s výchozími hodnotami LDL-C ≥ 160 mg/dl, které byly přítomny u 25% studované populace. Kvantitativní koronární angiogramy byly hodnoceny na začátku a 2,5 roku u 340 (79%) angiografických hodnotitelných pacientů.
Ve srovnání s placebem fluvastatinovými tobolkami významně zpomalila progresi koronární aterosklerózy měřenou změnou v rámci pacientu na pacientu v minimálním průměru lumenu (MLD) primárního koncového bodu (obrázek 3 níže) procentním průměrem (obrázek 4) a za vzniku nových lézí (13% všech pacientů s fluvastatinem). Byl zjištěn významný rozdíl ve prospěch tobolek fluvastatinu mezi všemi fluvastatinem a všemi pacienty s placebem v distribuci mezi třemi kategoriemi definitivní progrese definitivní regrese a smíšenou nebo žádnou změnou. Příznivé angiografické výsledky (změna v MLD) byly nezávislé na pohlaví pacientů a konzistentní v celé řadě základních hladin LDL-C.
Obrázek 3. Změna minimálního průměru lumen (mm)
Obrázek 4. Změna stenózy o průměru %
Primární hyperlipidémie u dospělých
Lescol XL has been studied in five controlled trials of adult patients with primary hyperLipidemia a smíšené Dyslipidemie. Lescol XL was administered to over 900 patients in trials from 4 to 26 weeks in duration. In the three largest of these trials Lescol XL given as a single daily dose of 80 mg significantly reduced Total-C LDL-C TG and Apo b (Table 5).
U pacientů s primární smíšenou dyslipidémií definovaných hladinami TG v plazmě ≥ 200 mg/dl a a <400 mg/dL treatment with Lescol XL produced significant decreases in Total-C LDL-C TG and Apo b (see Table 7).
Tabulka 7. Střední procento změn hladin lipidů u dospělých pacientů s primární hyperlipidemií a smíšenou dyslipidemií od základní linie do koncového bodu 24. týden Všechny aktivní kontrolované studie (Lescol XL)
| Dávka | Celkem Chol | TG | LDL | Apo b | HDL | |||||
| N | % Δ | N | % D | N | % Δ | N | % Δ | N | % Δ | |
| Všichni pacienti | ||||||||||
| a | 75 0 | - 25 | 75 0 | - 19 | 74 8 | - 35 | 74 5 | - 27 | 75 0 | 7 |
| Základní linie TG ≥ 200 mg/dl | ||||||||||
| a | 23 9 | - 25 | 23 9 | - 25 | 23 7 | - 33 | 23 5 | - 27 | 23 9 | 1 1 |
| a Data fnebo Lescol XL 80 mg tablet from three 24-week controlled trials. |
HEFH u pediatrických pacientů ve věku 10 let a starších
Fluvastatinové tobolky byly studovány ve dvou nekontrolovaných nekontrolovaných studiích dávky titrací. První soud zapsal 29 předvolebních mužů ve věku 9 až 12 let, kteří měli úroveň LDL-C> 90 th Percentil pro věk a jeden rodič s primární hypercholesterolémií a buď rodinnou anamnézou předčasné ischemické choroby srdeční nebo šlachy xanthomy. Průměrná základní linie LDL-C byla 226 mg/dl (rozmezí 137 až 354 mg/dl). Všichni pacienti byli zahájeni na fluvastatinových tobolek 20 mg denně s úpravou dávky každých 6 týdnů až 40 mg denně, pak 80 mg denně (40 mg dvakrát denně), aby se dosáhlo cíle LDL-C mezi 97 až 124 mg/dl. Analýzy koncových bodů byly provedeny ve 2. roce. Fluvastatin snížil plazmatické hladiny celkového C a LDL-C o 21%, respektive 27%. Průměr dosažený LDL-C byl 161 mg/dl (rozmezí 74 až 336 mg/dl).
Druhá studie zařadila 85 mužských a žen ve věku ve věku ve věku 10 až 16 let, kteří měli LDL-C> 190 mg/dl nebo LDL-C> 160 mg/dl a jeden nebo více rizikových faktorů pro koronární srdeční choroby nebo LDL-C> 160 mg/dl a prokázaný defekt LDL-receptor. Průměrná základní linie LDL-C byla 225 mg/dl (rozmezí 148 až 343 mg/dl). Všichni pacienti byli zahájeni na fluvastatinových tobolkach 20 mg denně s úpravou dávky každých 6 týdnů až 40 mg denně než 80 mg tabletu (Lescol XL), aby se dosáhlo cíle LDL-C <130 mg/dL. Endpoint analyses were perfnebomed at Week 114. Fluvastatin decreased plasma levels of Total-C and LDL-C by 22% and 28% respectively. The mean achieved LDL-C was 159 mg/dL (range 90 to 295 mg/dL).
Většina pacientů v obou studiích (83% v první studii a 89% ve druhé studii) byla titrována na maximální denní dávku 80 mg.
Informace o pacientovi pro Lescol XL
Slack ® Xl
(Les-Col)
(fluvastatin) Tablety pro prodloužené uvolňování pro ústní použití
Před použitím Lescol XL si musíte přečíst a postupovat podle všech pokynů.
Než začnete užívat Lescol XL a pokaždé, když dostanete doplnění, přečtěte si tyto informace o pacientech. Mohou existovat nové informace. Tyto informace nezavazují místo rozhovoru s poskytovatelem zdravotní péče o zdravotním stavu nebo ošetření. Máte -li jakékoli dotazy týkající se Lescol XL, zeptejte se svého lékaře nebo lékárníka.
Co je to Lescol XL?
Lescol XL is a prescription medicine that contains the cholesterol lowering medicine fluvastatin.
Lescol XL is used in adults with srdeční choroby (cneboonary artery disease) to:
- Snižte potřebu postupů srdce a krevních cév ke zlepšení toku srdce zvaného koronární revaskularizace.
- Zpomalte nahromadění příliš velkého cholesterolu v tepnách srdce.
Lescol XL is used along with diet to lower the level of:
- Lipoproteinový cholesterol s nízkou hustotou (LDL-C) nebo špatný cholesterol u dospělých s hyperlipidemií (vysoká hladina tuku v krvi)
- LDL-C in adults and children 10 years of age and older with heterozygous Familiární hypercholesterolemie (HeFH) an inherited condition that causes high levels of LDL who require 80 mg fluvastinu daily.
Bezpečnost a účinnost Lescol XL nebyla u dětí mladších 10 let stanovena u heterozygotní familiární hypercholesterolémie (HEFH) nebo u dětí s jinými typy hyperlipidemie (vysoká hladina tuku v krvi) jiná než HEFH.
Nebere to Lescol XL, pokud:
- mít problémy s jatery (akutní selhání jater nebo dekompenzovaná cirhóza)
- jsou alergičtí na fluvastatin nebo některá ze složek v Lescol XL. Úplný seznam složek v Lescol XL naleznete na konci tohoto letáku pro informace o pacientech.
Než si vezmete Lescol XL, řekněte svému poskytovateli zdravotní péče o všech vašich zdravotních stavech, včetně, pokud jste:
- mít bolesti svalů nebo slabost
- Denně pijte více než 2 sklenice alkoholu
- mít cukrovku
- mít problém se štítnou žlázou
- mít problémy s ledvinami
- jsou těhotné nebo plánují otěhotnět. Pokud otěhotníte při užívání Lescol XL, přestaňte brát Lescol XL a zavolejte svému poskytovateli zdravotní péče.
- jsou kojení nebo plánují kojení. Není známo, zda Lescol XL projde do mateřského mléka. Promluvte si se svým poskytovatelem zdravotní péče o nejlepším způsobu, jak nakrmit své dítě, pokud vezmete Lescol XL. Při užívání Lescol XL byste neměli kojit
Řekněte svému poskytovateli zdravotní péče o všech lécích, které užíváte včetně předpisu a over-the-theCounter Medicines Vitamins a bylinné doplňky. Než začnete užívat nové léky, promluvte si se svým poskytovatelem zdravotní péče. Řekněte svému poskytovateli zdravotní péče, který předepisuje Lescol XL, pokud jiný poskytovatel zdravotní péče zvyšuje dávku jiného léku, který užíváte.
Lescol XL may affect the way other medicines wnebok and other medicines may affect how Lescol XL wneboks. Especially tell your healthcare provider if you take:
- warfarin (lék používaný ke snížení krve)
- glyburid (a medicine used to treat diabetes)
- Phable (a medicine used to treat epilepsy)
Užívání Lescol XL s určitými léky může také zvýšit riziko svalových problémů. Zejména řekněte svému poskytovateli zdravotní péče, pokud vezmete:
- gemfibrozil (lék používaný ke snižování triglyceridů)
- cyklosporin (a medicine used to suppress the immune system)
- flukonazol (a medicine used to treat fungal infections)
- fibráty nebo niacin
- Colchicine
Pokud si nejste jisti, požádejte svého poskytovatele zdravotní péče nebo lékárníka na seznam léků. Znát léky, které užíváte. Udržujte jejich seznam, abyste ukázali svého poskytovatele zdravotní péče a lékárníka, když získáte nový lék.
Jak mám vzít Lescol XL?
- Vezměte Lescol XL přesně tak, jak vám poskytuje vaše zdravotní péče, abyste ji vzali.
- Ne Změňte svou dávku nebo přestaňte brát Lescol XL, aniž byste mluvili s poskytovatelem zdravotní péče.
- Vezměte tablety Lescol XL 1krát každý den kdykoli během dne. Lescol XL lze užívat s jídlem nebo bez něj.
- Lescol XL tablets must be swallowed whole with a liquid. Nezaručujte tablety lescol xl. Tell your healthcare provider if you cannot swallow tablets whole. You may need fluvastatin capsules nebo a different medicine instead of Lescol XL tablets.
- Zatímco užívání Lescol XL nadále sleduje vaši stravu a cvičení, jak vám řekl váš poskytovatel zdravotní péče.
- V případě předávkování získejte lékařskou pomoc nebo kontaktujte odborníka na jedové centrum hned na 1-800-222-1222. Poradenství je také k dispozici online na adrese Poidhelp.org.
Jaké jsou možné vedlejší účinky Lescol XL?
Lescol XL may cause serious side effects including:
- Něha a slabost bolesti svalů (myopatie). Problémy s svalovými problémy včetně rozpadu svalů mohou být u některých lidí vážné a jen zřídka způsobují poškození ledvin, které může vést k smrti.
Pokud máte, řekněte svému poskytovateli zdravotní péče ihned:
- Nevysvětlitelná citlivost na bolest svalů nebo slabost, zejména pokud máte horečku nebo se cítíte unavenější než obvykle, když berete Lescol XL.
- Svalové problémy, které nezmizí ani poté, co vám poskytovatel zdravotní péče doporučil, abyste přestali brát Lescol XL. Váš poskytovatel zdravotní péče může provést další testy k diagnostice příčiny vašich svalových problémů. Vaše šance na problémy s svalostí jsou vyšší, pokud:
- berou některé další léky, zatímco užíváte Lescol XL
- je 65 let nebo starší
- mít problémy se štítnou žlázou (hypotyreóza), které nejsou kontrolovány
- mít problémy s ledvinami
- Problémy s jatery. Váš poskytovatel zdravotní péče by měl provádět krevní testy, aby zkontroloval játra, než začnete užívat Lescol XL, a pokud máte příznaky problémů jater při užívání Lescol XL. Pokud máte následující příznaky problémů s jaterními problémy, zavolejte svému poskytovateli zdravotní péče:
- cítit se unavený nebo slabý
- Ztráta chuti k jídlu
- Pravá strana horní břicho bolesti
- Tmavá jantarová barevná moč
- Žutání vaší kůže nebo bělochů vašeho oka
- Zvýšení hladiny cukru v krvi (glukóza). Lescol XL may cause an increase in your blood sugar levels.
Mezi nejčastější vedlejší účinky Lescol XL patří:
- Příznaky podobné chřipce
- Infekce sinus
- Porušení bolesti žaludku a žaludku
- infekce močových cest
- bronchitida
- nevolnost
Tyto vedlejší účinky jsou obvykle mírné a mohou zmizet. U Lescol XL byly hlášeny následující další vedlejší účinky:
- Ztráta a zmatek paměti
Pokud máte vedlejší účinky, které vás obtěžují nebo nechodí, promluvte si se svým poskytovatelem zdravotní péče nebo lékárníkem.
Nejedná se o všechny možné vedlejší účinky Lescol XL. Zavolejte svému poskytovateli zdravotní péče o lékařskou pomoc o vedlejších účincích. FDA můžete nahlásit vedlejší účinky na 1-800-FDA-1088.
Jak mám ukládat Lescol XL?
- Ukládejte Lescol XL při teplotě místnosti 68 ° F až 77 ° F (20 ° C až 25 ° C). Chránit před světlem.
- Udržujte Lescol XL mimo dosah dětí. Ujistěte se, že pokud zahodíte léky pryč, je to mimo dosah dětí.
Obecné informace o bezpečném a efektivním používání Lescol XL.
Léky jsou někdy předepsány pro jiné účely než ty, které jsou uvedeny v letáku informací o pacientech. Nepoužívejte Lescol XL pro podmínku, pro kterou nebyl předepsán. Nedávejte Lescol XL jiným lidem, i když mají stejný zdravotní stav, jaký máte; může jim to poškodit.
Můžete požádat svého lékárníka nebo poskytovatele zdravotní péče o informace o Lescol XL, která je psána pro zdravotnické pracovníky.
Jaké jsou ingredience v Lescol XL?
Aktivní složka: fluvastatin
Neaktivní složky: hydroxypropyllulóza hydroxypropyl methyllulóza stearátu mikrokrystalická celulóza polyethylenglykol 8000 draselný hydrobikarbonát povidon titanium oxid a žlutý oxid železa.
Tyto informace o pacientech byly schváleny americkou správou potravin a léčiv.