Informace Na Stránce Nepředstavují Lékařskou Radu. Nic Neprodáváme. Přesnost Překladu Není Zaručena. Zřeknutí Se Odpovědnosti
Antineoplastiky Antimikrotubulární taxany
Daňotere
Shrnutí drog
Co je to Taxotere?
Injekční koncentrace daňového (docetaxel) Intravenózní infuze (IV) je antineoplastická (protinádorová) činidlo používané k léčbě rakoviny rakoviny prsu plic rakovina prostaty Rakovina žaludku a rakovina hlavy/krku.
Jaké jsou vedlejší účinky Taxotere?
Daňotere
- Bolest žaludku nebo něha
- průjem
- horečka
- injekční místo bolesti bolesti pálení podráždění nebo změny kůže
- zarudnutí nebo loupání kůže na pažích nebo nohou
- Náhlé problémy se zrakem
- rozmazané vidění
- Ztráta vidění
- otupělost pálení nebo brnění ve vašich rukou nebo nohou
- Slabost svalové slabosti nohou nohou nebo rukou
- zmatek
- klopýtání
- Extrémní ospalost
- Otok ve vašich dolních nohách
- rychlý přírůstek na váze
- dušnost
- Bolest horního žaludku
- Ztráta chuti k jídlu
- Tmavá moč
- hliněné stoličky
- žloutnutí kůže nebo očí ( žloutenka )
- zimnice
- únava
- vředy
- Vředy
- Snadné modřiny
- neobvyklé krvácení
- bledá kůže
- studené ruce a nohy a
- Lightheadedness
Získejte lékařskou pomoc okamžitě, pokud máte výše uvedené příznaky.
Mezi běžné vedlejší účinky daňového účinku patří:
- Reakce místa injekce (zarudnutí bolesti nebo otoky)
- nevolnost
- zvracení
- průjem
- zácpa
- Ztráta chuti k jídlu
- cítit se slabý nebo unavený
- bolest svalů
- bolest kloubů
- zmeškaná menstruační období
- dočasné vypadávání vlasů nebo
- nehet nebo změny nohou.
Pokud máte následující vážné vedlejší účinky, vyhledejte lékařskou péči nebo zavolejte na číslo 911:
- Vážné příznaky očí, jako je ztráta náhlého vidění rozmazané vidění vidění Vision Vision Eye Eye Eye Eye Eye Eye Eye Eye nebo vidět halos kolem světel;
- Vážné příznaky srdce, jako je rychlé nepravidelné nebo bušení srdečního rytmu; třepování v hrudi; dušnost; a náhlé závratě lightheadness nebo omdlení;
- Těžká zmatek bolesti hlavy zkroucený řečový rameno nebo slabost nohou Potíže se ztrátou chůze pocitu koordinace Pocit nestabilní velmi tuhé svaly vysoké horečky bohaté pocení nebo třes.
Tento dokument neobsahuje všechny možné vedlejší účinky a mohou dojít k jiným. Další informace o vedlejších účincích najdete u svého lékaře.
Dávkování pro dayotere
Dávkování a léčebné pluk s daňovou prací se liší a závisí na léčeném stavu a reakci na pacienta. Často se podává s ostatními chemoterapie drogy. Je dáno pouze pod dohledem lékaře.
Jaké léčivé látky nebo doplňky interagují s Taxotere?
Během léčby s daňovou cestou neobdržíte „živé“ vakcíny. Jiné léky mohou interagovat s daňovou. Řekněte svému lékaři o všech lécích a doplňcích, které používáte volně prodejné léky.
Daxotere během těhotenství a kojení
Taxotere by neměl být používán během těhotenství, protože může způsobit poškození plodu. Není známo, zda tento lék prochází do mateřského mléka. Před kojením se poraďte se svým lékařem.
Další informace
Naše daňové (docetaxel) vedlejší účinky drogové centrum poskytuje komplexní pohled na dostupné informace o drogách o potenciálních vedlejších účincích při užívání tohoto léku.
Informace o drogách FDA
- Popis léku
- Indikace
- Dávkování
- Vedlejší účinky
- Varování
- Předávkovat
- Klinická farmakologie
- Průvodce léky
VAROVÁNÍ
Toxická úmrtí hepatotoxicita Neutropenie Hypersenzitivita Reakce a retenční tekutina
Incidence úmrtnosti související s léčbou spojená s terapií daňové terapie se zvyšuje u pacientů s abnormální jaterní funkcí u pacientů, kteří dostávají vyšší dávky a u pacientů s nemasovým plicním karcinomem a anamnézou předchozí léčby chemoterapií na bázi platiny, kteří dostávají taxotere jako jediný činidlo v dávce 100 mg/m 2 [vidět VAROVÁNÍS ANd OPATŘENÍ ].
Taxotere by neměl být podáván pacientům s bilirubinem> horní hranice normálního (ULN) nebo pacientům s AST a/nebo ALT> 1,5 × ULN souběžně s alkalickou fosfatázou> 2,5 × ULN. Pacienti se zvýšením bilirubinu nebo abnormalit transaminázy souběžně s alkalickou fosfatázou jsou vystaveny zvýšenému riziku vývoje infekce neutropenie neutropenie v neutropenii 4 a toxické smrti neutropenie stupně 4. Pacienti s izolovaným zvýšením transaminázy> 1,5 × ULN měli také vyšší míru febrilní neutropenie stupně 4, ale neměli zvýšený výskyt toxické smrti. Hodnoty bilirubinu nebo alt a alkalické fosfatázy by měly být získány před každým cyklem daňové terapie [viz VAROVÁNÍS ANd OPATŘENÍ ].
Terapie taxotere by neměla být podávána pacientům s počtem neutrofilů <1500 cells/mm 3 . Za účelem sledování výskytu neutropenie, která může být závažná a vést k infekci, by měl být prováděn častý počet krevních buněk u všech pacientů, kteří dostávají daňový, [viz viz VAROVÁNÍS ANd OPATŘENÍ ].
U pacientů, kteří dostali třídenní premedikaci dexamethasonu, byly hlášeny závažné hypersenzitivní reakce charakterizované generalizovanou hypotenzí vyrážky/erytém. Reakce hypersenzitivity vyžadují okamžité přerušení infúze a podávání vhodné terapie daňové terapií [viz VAROVÁNÍS ANd OPATŘENÍ ]. Daňotere must not be given to patients who have a history of severe hypersensitivity reactions to Daňotere or to other drugs formulated with polysorbate 80 [vidět Kontraindikace ].
Těžká retence tekutin se objevila u 6,5% (6/92) pacientů navzdory použití třídenního dexamethasonového premedikačního režimu. To bylo charakterizováno jednou nebo více z následujících událostí: špatně tolerovaný periferní edém Generalizovaný otok pleurální výtok vyžadující naléhavou drenážní dušnost při srdeční tamponádě nebo vyslovené břišní distenta (kvůli ascites) [Viz viz) [Viz viz) [Viz) VAROVÁNÍS ANd OPATŘENÍ ].
Popis pro dayotere
Docetaxel je antineoplastický agent patřící do daňooidní rodiny. Je připraven semisyntézou počínaje prekurzorem extrahovaným z biomasy obnovitelné jehly rostlin. Chemický název pro docetaxel je (2R3S) -N-Carboxy-3-Phenylisoserinen- terc -Butylstester 13-ester s 5p-20-Epoxy-12a47p10p13a-hexahydroxytax-11-en-9-one 4-acetát 2-benzoát trihydrát. Docetaxel má následující strukturální vzorec:
|
Docetaxel je bílý až téměř bílý prášek s empirickým vzorcem C 43 H 53 ŽÁDNÝ 14 • 3H 2 O a molekulová hmotnost 861,9. Je vysoce lipofilní a prakticky nerozpustný ve vodě.
Jednohodnostní daňová (injekce)
Injekce Taxotere (docetaxel) je sterilní nepyrogenní světle žlutý až nahnědlý žlutý roztok při koncentraci 20 mg/ml.
Každá ML obsahuje 20 mg docetaxelu (bezvodý) v 0,54 gramech polysorbát 80 a 0,395 gramů dehydratovaný alkohol.
Taxotere je k dispozici v lahvičkách s jedním použitím obsahujícím 20 mg (1 ml) nebo 80 mg (4 ml) docetaxel (bezvodý).
Injekce TaxoTere nevyžaduje žádné předchozí zředění ředidlem a je připraveno přidat do infuzního roztoku.
Použití pro dayotere
Rakovina prsu
Taxotere je indikován pro léčbu pacientů s lokálně pokročilým nebo metastatickým karcinomem prsu po selhání předchozí chemoterapie.
Taxotere v kombinaci s doxorubicinem a cyklofosfamidem je indikován pro adjuvantní léčbu pacientů s funkčním karcinomem prsu pozitivního na uzly.
Rakovina plic nemasových buněk
Taxotere jako jediný činidlo je indikováno pro léčbu pacientů s lokálně pokročilým nebo metastatickým rakovinou plic s malou buňkou po selhání předchozí chemoterapie na bázi platiny. Taxotere v kombinaci s cisplatinou je indikován pro léčbu pacientů s neresekovatelnými lokálně pokročilými nebo metastatickými ne-malými buňkami plic, kteří pro tento stav dosud nedostali chemoterapii.
Rakovina prostaty
Taxotere v kombinaci s prednisonem je indikován pro léčbu pacientů s metastatickým karcinomem prostaty rezistentní na kastraci.
Adenokarcinom žaludku
Taxotere v kombinaci s cisplatinou a fluorouracilem je indikován pro léčbu pacientů s pokročilým adenokarcinomem žaludku včetně adenokarcinomu gastroezofageálního křižovatky, kteří nedostali předchozí chemoterapii pro pokročilé onemocnění.
Rakovina hlavy a krku
Taxotere v kombinaci s cisplatinou a fluorouracilem je indikován pro indukční léčbu pacientů s místně pokročilým spinocelulárním karcinomem hlavy a krku (SCCHN).
Dávkování pro dayotere
Pro všechny indikace toxicity mohou vyžadovat úpravy dávkování [viz Dávkování Adjustments During Treatment ].
Spravujte v zařízení vybaveném pro správu možných komplikací (např. Anafylaxe).
Rakovina prsu
- U lokálně pokročilého nebo metastatického karcinomu prsu po selhání předchozí chemoterapie je doporučená dávka Taxotere 60 mg/m 2 do 100 mg/m 2 spravováno intravenózně po dobu 1 hodiny každé 3 týdny.
- Pro adjuvantní léčbu provozovatelného karcinomu prsu pozitivního na uzel je doporučená dávka daňových daní 75 mg/m 2 podána 1 hodinu po doxorubicinu 50 mg/m 2 a cyklofosfamid 500 mg/m 2 Každé 3 týdny pro 6 kurzů. Pro zmírnění rizika hematologické toxicity lze použít profylaktický G-CSF [viz viz Dávkování Adjustments During Treatment ].
Rakovina plic nemasových buněk
- Pro léčbu po selhání předchozí platinové chemoterapii byla hodnocena jako monoterapie a doporučená dávka je 75 mg/m 2 spravováno intravenózně po dobu 1 hodiny každé 3 týdny. A dávka of 100 mg/m 2 U pacientů dříve léčených chemoterapií byla spojena se zvýšenou infekcí hematologické toxicity a úmrtností související s léčbou v randomizovaných kontrolovaných studiích [viz viz Varování v krabici Dávkování Adjustments During Treatment VAROVÁNÍS ANd OPATŘENÍ Klinické studie ].
- U chemoterapií-naivních pacientů byl taxotere hodnocen v kombinaci s cisplatinou. Doporučená dávka Taxotere je 75 mg/m 2 podáno intravenózně po dobu 1 hodiny okamžitě následovanou cisplatinou 75 mg/m 2 Přes 30-60 minut každé 3 týdny [viz Dávkování Adjustments During Treatment ].
Rakovina prostaty
- Pro metastatickou rakovinu prostaty rezistentní na kastraci je doporučená dávka daňového výkonu 75 mg/m 2 Každé 3 týdny jako 1 hodinu intravenózní infuze. Prednison 5 mg orálně dvakrát denně se podává nepřetržitě [viz Dávkování Adjustments During Treatment ].
Adenokarcinom žaludku
- Pro žaludeční adenokarcinom je doporučená dávka daňového výkonu 75 mg/m 2 Jako 1 hodina intravenózní infuze následovaná cisplatinou 75 mg/m 2 Jako 1 až 3 hodina intravenózní infuze (pouze v den 1) následuje Fluorouracil 750 mg/m 2 za den dáno jako 24hodinová kontinuální intravenózní infuze po dobu 5 dnů začínající na konci infuze cisplatiny. Léčba se opakuje každé tři týdny. Pacienti musí dostávat premedikaci s antiemetikou a vhodnou hydratací pro podání cisplatiny [viz Dávkování Adjustments During Treatment ].
Rakovina hlavy a krku
Pacienti musí dostávat premedikaci s antiemetikou a vhodnou hydratací (před a po podání cisplatiny). Měla by být podávána profylaxe pro neutropenické infekce. Všichni pacienti léčeni na daňovém případě obsahující zbraně studií TAX323 a TAX324 dostávali profylaktická antibiotika.
Indukční chemoterapie následovaná radioterapií (daň323)
Pro indukční léčbu lokálně pokročilého nefunkčního SCCHN je doporučená dávka daňového výkonu 75 mg/m 2 Jako 1 hodina intravenózní infuze následovaná cisplatinou 75 mg/m 2 Intravenózně přes 1 hodinu v první den následované Fluorouracilem jako kontinuální intravenózní infuze při 750 mg/m m 2 denně po dobu pěti dnů. Tento režim se podává každé 3 týdny po dobu 4 cyklů. Po chemoterapii by měli pacienti dostávat radioterapii [viz Dávkování Adjustments During Treatment ].
Indukční chemoterapie následovaná chemoradioterapií (daň324)
Pro indukční léčbu pacientů s lokálně pokročilým (neresekovatelným nízkým chirurgickým léčbou nebo konzervací orgánů) je doporučená dávka Taxotere 75 mg/m 2 Jako 1 hodina intravenózní infuze v den 1 následuje cisplatina 100 mg/m 2 podáno jako 30 minut až 3 hodiny infúze následovanou fluorouracilem 1000 mg/m 2 /den jako kontinuální infuze od 1. dne do 4. dne. Tento režim se podává každé 3 týdny po dobu 3 cyklů. Následující pacienti s chemoterapií by měli mít chemoradioterapii [viz Dávkování Adjustments During Treatment ].
Premedikační režim
Všichni pacienti by měli být předvídáni perorálními kortikosteroidy (viz níže pro rakovinu prostaty), jako je dexamethason 16 mg denně (např. 8 mg dvakrát denně) po dobu 3 dnů před 1 dnem před podáváním daní, aby se snížila výskyt a závažnost retence tekutin, jakož i závažnost hypersenzitivity [viz viz [Viz [Viz reakce na hypersenzitivitu [viz [viz reakce hyperetivity [viz reakce hypersenzivity [Viz Varování v krabici VAROVÁNÍS ANd OPATŘENÍ ].
U metastatického rakoviny prostaty rezistentní na kastraci vzhledem k souběžnému použití prednisonu je doporučený premedikační režim orální dexamethason 8 mg po 12 hodinách 3 hodiny a 1 hodinu před infuzí daňové [viz viz infuze daňového VAROVÁNÍS ANd OPATŘENÍ ].
Dávkování Adjustments during Treatment
Rakovina prsu
Pacienti, kteří jsou původně dávkováni při 100 mg/m 2 a kdo zažívá buď horečnicové neutropenii neutrofily <500 cells/mm 3 Po dobu delší než 1 týden nebo závažné nebo kumulativní kožní reakce by měla být dávka upravena ze 100 mg/m 2 do 75 mg/m 2 . Pokud pacient nadále zažívá tyto reakce, dávkování by se mělo buď snížit ze 75 mg/m 2 do 55 mg/m 2 nebo by léčba měla být přerušena. Naopak pacienti, kteří jsou původně dávkováni při 60 mg/m 2 a kteří nezažívají neutrofily horečky neutropenie <500 cells/mm 3 Pro více než 1 týden mohou závažné nebo kumulativní kožní reakce nebo závažná periferní neuropatie během daňové terapie tolerovat vyšší dávky. Pacienti, kteří se vyvinou ≥ Grade 3 periferní neuropatie, by měli mít léčbu daní nebo by měla být zcela přerušena.
Kombinovaná terapie s Taxotere v adjuvantní léčbě rakoviny prsu
Taxotere v kombinaci s doxorubicinem a cyklofosfamidem by měl být podáván, pokud je počet neutrofilů ≥1500 buněk/mm 3 . Pacienti, kteří zažívají febrilní neutropenii, by měli dostávat G-CSF ve všech následujících cyklech. Pacienti, kteří tuto reakci nadále zažívají 2 . Pacienti, kteří zažívají stomatitidu třídy 3 nebo 4, by měli mít dávku daňové daně na 60 mg/m 2 . Pacienti, kteří zažívají závažné nebo kumulativní kožní reakce nebo mírné neurosenzorické příznaky a/nebo příznaky během daňové terapie, by měli mít dávkování daňové sady z 75 mg/m mg/m mg/m mg/m 2 do 60 mg/m 2 . Pokud pacient nadále zažívá tyto reakce při 60 mg/m 2 Léčba by měla být přerušena.
Rakovina plic nemasových buněk
Monoterapie s daňovou prací pro léčbu NSCLC po selhání předchozí chemoterapie na bázi platiny
Pacienti, kterým je původně dávkováno při 75 mg/m 2 a kdo zažívá buď horečnicové neutropenii neutrofily <500 cells/mm 3 Po dobu delší než jednoho týdne by závažné nebo kumulativní kožní reakce nebo jiné nehematologické toxicity třídy 3/4 během léčby daňové činy měly mít léčbu zadrženy až do vyřešení toxicity a poté obnoveny při 55 mg/m mg/m 2 . Pacienti, kteří se vyvinou ≥ Grade 3 periferní neuropatie, by měli mít léčbu daní nebo by měla být zcela přerušena.
Kombinovaná terapie s Taxotere pro chemoterapii-naive NSCLC
Pro pacienty, kterým se původně dávkoval na daňovém stavu 75 mg/m 2 v kombinaci s cisplatinou a jehož nadir počtu destiček během předchozího průběhu terapie je <25000 cells/mm 3 U pacientů, kteří zažívají febrilní neutropenii a u pacientů s vážnou nehematologickou toxicitou, by dávkování daňové v následujících cyklech mělo být sníženo na 65 mg/m 2 . U pacientů, kteří vyžadují další snížení dávky, dávka 50 mg/m 2 se doporučuje. Úpravy dávkování cisplatiny viz informace o předepisování výrobců.
Rakovina prostaty
Kombinovaná terapie s Taxotere pro metastatickou kastraci rezistentní na rakovinu prostaty
Taxotere by měl být podáván, když je počet neutrofilů ≥1500 buněk/mm 3 . Pacienti, kteří zažívají neutrofily febrilní neutropenie <500 cells/mm 3 Po dobu delší než jednoho týdne by závažné nebo kumulativní kožní reakce nebo mírné neurosenzorické příznaky a/nebo příznaky během daňové terapie měly mít dávkování daňové sady ze 75 mg/m m mg/m mg/m mg/m 2 do 60 mg/m 2 . Pokud pacient nadále zažívá tyto reakce při 60 mg/m 2 Léčba by měla být přerušena.
Rakovina žaludku nebo hlavy a krku
Taxotere v kombinaci s cisplatinou a fluorouracilem u rakoviny žaludku nebo rakoviny hlavy a krku
Pacienti ošetřeni daňovou prací v kombinaci s cisplatinou a fluorouracilem musí dostávat antiemetiku a odpovídající hydrataci podle současných institucionálních pokynů. V obou studiích byl G-CSF doporučen během druhého a/nebo následného cyklu v případě febrilní neutropenie nebo zdokumentované infekce neutropenií nebo neutropenií trvající více než 7 dní. Pokud dojde k epizodě febrilní neutropenie prodloužená neutropenie nebo neutropenická infekce, přestože G-CSF použití daňové dávky by měla být snížena ze 75 mg/m 2 do 60 mg/m 2 . Pokud dojde k následným epizodám komplikované neutropenie, měla by být daňová dávka snížena ze 60 mg/m 2 na 45 mg/m 2 . V případě trombocytopenie stupně 4 by měla být dávka daňového stavu snížena ze 75 mg/m 2 do 60 mg/m 2 . Nepřestudujte pacienty s následnými cykly TaxoTere, dokud se neutrofily neobnoví na úroveň> 1500 buněk/mm 3 [vidět Kontraindikace ]. Vyvarujte se ustupujícího pacientů, dokud se destičky neobnoví na úroveň> 100 000 buněk/mm 3 . Ukončení léčby, pokud tyto toxicity přetrvávají [viz VAROVÁNÍS ANd OPATŘENÍ ].
Doporučené modifikace dávky pro toxicitu u pacientů léčených Taxotere v kombinaci s cisplatinou a fluorouracilem jsou uvedeny v tabulce 1.
Tabulka 1: Doporučené modifikace dávky pro toxicitu u pacientů léčených daňovým výrobkem v kombinaci s cisplatinou a fluorouracilem
| Toxicita | Dávkování adjustment |
| Průjem 3 | První epizoda: Snižte dávku fluorouracilu o 20%. |
| Druhá epizoda: Poté snižte dávku Taxotere o 20%. | |
| Průjem 4 | První epizoda: Snižte dávky Taxotere a Fluorouracil o 20%. |
| Druhá epizoda: Ukončení léčby. | |
| Stomatitida/mucositis stupeň 3 | První epizoda: Snižte dávku fluorouracilu o 20%. |
| Druhá epizoda: Zastavte fluorouracil pouze ve všech následujících cyklech. | |
| Třetí epizoda: Snižte dávku Taxotere o 20%. | |
| Stomatitida/mucositis stupeň 4 | První epizoda: Zastavte fluorouracil pouze ve všech následujících cyklech. |
| Druhá epizoda: Snižte dávku Taxotere o 20%. |
Dysfunkce jater
V případě AST/Alt> 2,5 až ≤ 5 x ULN a AP ≤ 2,5 x ULN nebo AST/Alt> 1,5 až ≤ 5 x ULN a AP> 2,5 až ≤ 5 x ULN TAXOTERE by měly být sníženy o 20%.
V případě AST/ALT> 5 x ULN a/nebo AP> 5 X ULN TAXOTERE by měly být zastaveny.
Níže jsou uvedeny modifikace dávky pro cisplatina a fluorouracil ve studii rakoviny žaludku.
K čemu se používá injekce copaxonu
Modifikace a zpoždění dávky cisplatiny
Periferní neuropatie: Neurologické vyšetření by mělo být provedeno před vstupem do studie a poté alespoň každé 2 cykly a na konci léčby. V případě neurologických příznaků nebo příznaků by měly být provedeny častější zkoušky a následující modifikace dávky lze provést podle stupně NCI-CTCAE:
- Stupeň 2: Snižte dávku cisplatiny o 20%.
- Stupeň 3: Ukončení léčby.
Elitudeicity
V případě toxicity toxicity třídy 3 přeruší léčbu.
Nefrotoxicita
V případě nárůstu sérového kreatininu ≥ Grade 2 (> 1,5 x normální hodnota) by měla být navzdory přiměřené rehydrataci CRCL stanovena před každým následným cyklem a mělo by být zváženo následující snížení dávky (viz tabulka 2).
Další úpravy dávkování cisplatiny se také vztahují na informace o předepisování výrobců.
Tabulka 2: Snížení dávky pro vyhodnocení clearance kreatininu
| Výsledek clearance kreatininu před dalším cyklem | Dávka cisplatiny další cyklus |
| CRCL ≥ 60 ml/min | Byla podána plná dávka cisplatiny. CRCL měl být opakován před každým léčebným cyklem. |
| CRCL mezi 40 a 59 ml/min | Dávka cisplatiny byla při následujícím cyklu snížena o 50%. Pokud byla CRCL> 60 ml/min na konci cyklu plná dávka cisplatiny byla obnovena v dalším cyklu. |
| Pokud nebylo pozorováno žádné zotavení, byl cisplatina vynechána z dalšího léčebného cyklu. | |
| Crcl <40 mL/min | V tomto léčebném cyklu byla vynechána dávka cisplatiny. |
| Pokud byl CRCL stále <40 mL/min at the end of cycle cisplatin was discontinued. | |
| Pokud byl CRCL> 40 a <60 mL/min at end of cycle a 50% cisplatin dávka was given at the next cycle. | |
| Pokud byla CRCL> 60 ml/min na konci cyklu plná dávka cisplatiny byla podávána v dalším cyklu. | |
| Crcl = Creatinine clearance |
Modifikace dávky fluorouracilu a zpoždění léčby
Průjem a stomatitida viz tabulka 1.
V případě, že by fluorouracil toxicita plantar-palmar-Palmar toxicita měla být zastavena až do zotavení. Dávkování fluorouracilu by mělo být sníženo o 20%.
Pro jiné než toxicity třídy 3 kromě alopecie a anémie chemoterapie by mělo být zpožděno (po dobu maximálně 2 týdnů od plánovaného data infuze) až do rozlišení do třídy ≤ 1 a poté, pokud je to lékařsky vhodné.
Další úpravy dávkování fluorouracilu se také vztahují na informace o předepisování výrobců.
Kombinovaná terapie se silnými inhibitory CYP3A4
Vyvarujte se používání doprovodných silných inhibitorů CYP3A4 (např. Ketokonazol itrakonazol klaritromycin atazanavir indinavir nefazodon neelfinavir ritonavir saquinavir telithromycin a voriconazol). Neexistují žádná klinická data s úpravou dávky u pacientů, kteří dostávají silné inhibitory CYP3A4. Na základě extrapolace z farmakokinetické studie s ketoconazolem u 7 pacientů zvažte 50% redukci dávky docetaxelu, pokud pacienti vyžadují souhrnné podávání silného inhibitoru CYP3A4 [viz viz Lékové interakce Klinická farmakologie ].
Opatření správy
Taxotere je cytotoxický protirakovinovou lék a stejně jako u jiných potenciálně toxických sloučenin by měla být při manipulaci a přípravu řešení daňových řešení postupována opatrnost. Doporučuje se použití rukavic [viz Jak dodáno ].
Pokud by se počáteční zředěný roztok injekce daňové nebo konečného zředění pro infuzi dostali do kontaktu s kůží a okamžitě by se měl důkladně omyt mýdlem a vodou. Pokud by počáteční zředěný roztok injekce daňové nebo konečné zředění pro infuzi mohlo být okamžitě vstoupen do kontaktu a důkladně omyl vodou.
Nedoporučuje se kontakt daňového zařízení s plastizovaným zařízením PVC nebo zařízeními používanými k přípravě řešení pro infuzi. Aby se minimalizovalo vystavení pacienta k změčnímu ověřovači Dehp (DI-2-ethylhexylftalát), který může být vyluhován z infuzních vaků PVC nebo nastaví konečné ředění daňových infuzí, by mělo být uloženo v lahvích (skleněné polypropylen) nebo plastových sáčcích (polypropylenových polyolefinu) a podáváno prostřednictvím podávacích sad polyethylenu.
Jednohodnostní daňová (injekce)
Injekce TaxoTere nevyžaduje žádné předchozí zředění ředidlem a je připraveno přidat do infuzního roztoku.
Postupujte podle níže uvedených pokynů pro přípravu.
Příprava a správa
Nepoužívejte dvou-viální formulaci (injekce a ředidlo) s jedno-viální formulací.
Jednohodnostní daňová (injekce)
Injekce Taxotere (20 mg/ml) nevyžaduje žádné předchozí zředění ředidlem a je připraveno přidat do infuzního roztoku. K výběru daňové jehly z lahvičky použijte pouze jehlu s 21, protože větší jehly vrtání (např. 18 a 19 měřidla) mohou mít za následek jádro zátky a gumové částice.
Pokud je vyžadována dávka větší než 200 mg daňového, použijte větší objem infuzního vozidla tak, aby koncentrace 0,74 mg/ml daňového zařízení nebyla překročena.
- Daňové lahvičky by měly být skladovány mezi 2 ° C a 25 ° C (36 ° F a 77 ° F). Pokud jsou lahvičky uloženy pod chlazením, umožňují vhodný počet lahviček daňových injekčních lahviček stát při teplotě místnosti přibližně 5 minut před použitím.
- Použití pouze Jehla o 21 měřidla asepticky stáhne požadované množství injekci daňového injekce (20 mg docetaxel/ml) kalibrovanou stříkačkou a vstřikujte pomocí jediné injekce (jeden výstřel) do 250 ml infuzního sáčku nebo láhve 0,9% roztoku chloridu sodíku nebo 5% roztoku dextózy pro roztok 0,3 mg/ML.
- Důkladně smíchejte infuzi jemnou manuální rotací.
- Stejně jako u všech parenterálních produktů by měl být daňový moment před podáváním vizuálně zkontrolován na částice nebo zabarvení, kdykoli je to povolení k roztoku a nádobě. Pokud zředění daňového pro intravenózní infuzi není jasné nebo se zdá, že má srážky, mělo by být vyřazeno.
- Infuzní řešení TaxOTere je nadřazeno, proto se může v průběhu času krystalizovat. Pokud se objeví krystaly, roztok již nesmí být použit a musí být vyřazen.
Ředění daňového pro infuzi by mělo být podáno intravenózně jako 1hodinová infuze při teplotě okolní místnosti (pod 25 ° C) a podmínkách osvětlení.
Stabilita
Konečné zředění daňového pro infuzi, pokud je uloženo mezi 2 ° C a 25 ° C (36 ° F a 77 ° F), je stabilní po dobu 6 hodin. Konečné zředění daňového pro infuzi (buď v roztoku chloridu sodného nebo 5% roztoku dextrózy) by mělo být použity do 6 hodin (včetně 1 hodiny intravenózního podání).
Kromě toho byla prokázána fyzikální a chemická stabilita infuzního roztoku připraveného infuzního roztoku, jak je doporučeno, v pytlích bez PVC až 48 hodin, když jsou uloženy mezi 2 ° C a 8 ° C (36 ° F a 46 ° F).
Jak dodáno
Dávkování Forms And Strengths
Jednohodnostní daňová (injekce)
TAXOTERE 20 mg/mL
Injekce daňové (docetaxel) 20 mg/1 ml jednorázové lahvičky: 20 mg docetaxelu v 1 ml v poměru poměru 50/50 (obj./obj.) Polysorbát 80/dehydratovaný alkohol.
TAXOTERE 80 mg/4 mL
Injekce daňové (docetaxel) 80 mg/4 ml jednorázové lahvičky: 80 mg docetaxel ve 4 ml 50/50 (obj./obj.) Polysorbát 80/dehydratovaný alkohol.
Skladování a manipulace
Jednohodnostní daňová (injekce)
Injekce Taxotere je dodávána v lahvičce s jednou dávkou jako neexický roztok bez sterilního pyrogenů. Vyhodit nevyužitou část.
TAXOTERE 20 mg/mL ( NDC 0075-8003-01)
Injekce daňového (docetaxel) 20 mg/1 ml
20 mg docetaxel v poměru 1 ml 50/50 (obj./obj.) Polysorbát 80/dehydratovaný alkohol.
Lahvička je v blistrovém balení v jednom kartonu.
TAXOTERE 80 mg/4 mL ( NDC 0075-8004-04)
Injekce daňového (docetaxel) 80 mg/4 ml
80 mg docetaxel ve 4 ml 50/50 (obj./obj.) Polysorbát 80/dehydratovaný alkohol.
Lahvička je v blistrovém balení v jednom kartonu.
Skladování
Uložte mezi 2 ° C a 25 ° C (36 ° F a 77 ° F). Udržujte v původním balíčku, abyste chránili před světlem. Zmrazení neovlivňuje tento produkt nepříznivě.
Manipulace a likvidace
Taxotere je cytotoxický lék. Postupujte podle příslušných speciálních postupů pro manipulaci a likvidaci. 1
Reference
1. nebezpečné léky OSHA. https://www.osha.gov/sltc/hazardousdugs/index.html
Vyrobeno: Společnost Sanofi Sanofi-Aventis US LLC Bridgewater NJ 08807. Revidováno: Říjen 2021
Vedlejší účinky pro dayotere
Nejzávažnější nežádoucí účinky z Taxotere jsou:
- Toxická úmrtí [viz Varování v krabici VAROVÁNÍS ANd OPATŘENÍ ]
- Poškození jater [viz Varování v krabici VAROVÁNÍS ANd OPATŘENÍ ]
- Hematologické účinky [viz Varování v krabici VAROVÁNÍS ANd OPATŘENÍ ]
- Enterocolitis a neutropenická kolitida [viz VAROVÁNÍS ANd OPATŘENÍ ]
- Reakce přecitlivělosti [viz Varování v krabici VAROVÁNÍS ANd OPATŘENÍ ]
- Retence tekutin [viz Varování v krabici VAROVÁNÍS ANd OPATŘENÍ ]
- Druhé primární malignity [viz VAROVÁNÍS ANd OPATŘENÍ ]
- Kožní reakce [viz VAROVÁNÍS ANd OPATŘENÍ ]
- Neurologické reakce [viz VAROVÁNÍS ANd OPATŘENÍ ]
- Poruchy očí [viz VAROVÁNÍS ANd OPATŘENÍ ]
- Astenia [viz VAROVÁNÍS ANd OPATŘENÍ ]
- Obsah alkoholu [Viz VAROVÁNÍS ANd OPATŘENÍ ]
Nejběžnějšími nežádoucími účinky napříč všemi daňovými indikacemi jsou infekce Neutropenie Anémie febrilní neutropenie Hypersenzitivita trombocytopenie Neuropatie Dysgeusia Dyspnea Concpation anorexie nehty Poruchy nehtu zadržování astenia bolesti nevolnost zvracení mukositidy alopecia kůže kůže. Incidence se liší v závislosti na indikaci.
Nežádoucí účinky jsou popsány podle indikace. Protože klinické studie se provádějí za široce proměnlivých podmínek, nežádoucí rychlosti nežádoucí reakce pozorované v klinických studiích léčiva nelze přímo porovnat s mírami v klinických studiích s jiným lékem a nemusí odrážet míru pozorované v praxi.
Reakce pacienti nemusí zažít zlepšení ve statusu výkonu na terapii a mohou se zhoršit. Vztah mezi změnami v reakci na stav výkonu na terapii a vedlejšími účinky souvisejícími s léčbou nebyl stanoven.
Zkušenosti z klinických studií
Rakovina prsu
Monoterapie s daňovou prací pro lokálně pokročilý nebo metastatický karcinom prsu po selhání předchozí chemoterapie
TAXOTERE 100 mg/m 2
Nepříznivé reakce na drogy, ke kterým dochází u nejméně 5% pacientů, jsou porovnány u tří populací, které obdržely daňatere podávané při 100 mg/m 2 Jako 1 hodinová infuze každé 3 týdny: 2045 pacientů s různými typy nádorů a běžnými základními testy jater; Podskupina 965 pacientů s lokálně pokročilým nebo metastatickým karcinomem prsu, které byly dříve léčeny, tak neošetřeny chemoterapií, kteří měli normální základní testy jater; a dalších 61 pacientů s různými typy nádorů, kteří měli abnormální testy jaterních funkcí na začátku. Tyto reakce byly popsány pomocí termínů Costart a byly považovány za pravděpodobně nebo pravděpodobně související s Taxotere. Nejméně 95% těchto pacientů nedostalo hematopoetickou podporu. Bezpečnostní profil je obecně podobný pacientům, kteří dostávají daňotku pro léčbu rakoviny prsu a u pacientů s jinými typy nádorů. (Viz tabulka 3.)
Tabulka 3: Shrnutí nežádoucích účinků u pacientů, kteří dostávali daňot, při 100 mg/m 2
| Nežádoucí reakce | Všechny typy nádorů Normální LFT* n = 2045 % | Všechny typy nádorů Zvýšené LFT ** n = 61 % | Rakovina prsu Normální LFT* n = 965 % |
| Hematologická | |||
| Neutropenie | |||
| <2000 cells/mm 3 | 96 | 96 | 99 |
| <500 cells/mm 3 | 75 | 88 | 86 |
| Leukopenia | |||
| <4000 cells/mm 3 | 96 | 98 | 99 |
| <1000 cells/mm 3 | 32 | 47 | 44 |
| Trombocytopenie | |||
| <100000 cells/mm 3 | 8 | 25 | 9 |
| Anémie | |||
| <11 g/dL | 90 | 92 | 94 |
| <8 g/dL | 9 | 31 | 8 |
| Febrilní neutropenie *** | 11 | 26 | 12 |
| Septická smrt | 2 | 5 | 1 |
| Ne-septická smrt | 1 | 7 | 1 |
| Infekce | |||
| Žádný | 22 | 33 | 22 |
| Těžké | 6 | 16 | 6 |
| Horečka v nepřítomnosti infekce | |||
| Žádný | 31 | 41 | 35 |
| Těžké | 2 | 8 | 2 |
| Reakce přecitlivělosti | |||
| Bez ohledu na premedikaci | |||
| Žádný | 21 | 20 | 18 |
| Těžké | 4 | 10 | 3 |
| S třídenní premedikací | n = 92 | n = 3 | n = 92 |
| Žádný | 15 | 33 | 15 |
| Těžké | 2 | 0 | 2 |
| Retence tekutin | |||
| Bez ohledu na premedikaci | |||
| Žádný | 47 | 39 | 60 |
| Těžké | 7 | 8 | 9 |
| S třídenní premedikací | n = 92 | n = 3 | n = 92 |
| Žádný | 64 | 67 | 64 |
| Těžké | 7 | 33 | 7 |
| Neurosenzorií | |||
| Žádný | 49 | 34 | 58 |
| Těžké | 4 | 0 | 6 |
| Kožní | |||
| Žádný | 48 | 54 | 47 |
| Těžké | 5 | 10 | 5 |
| Změny nehtů | |||
| Žádný | 31 | 23 | 41 |
| Těžké | 3 | 5 | 4 |
| Gastrointestinal | |||
| Nevolnost | 39 | 38 | 42 |
| Zvracení | 22 | 23 | 23 |
| Průjem | 39 | 33 | 43 |
| Těžké | 5 | 5 | 6 |
| Stomatitida | |||
| Žádný | 42 | 49 | 52 |
| Těžké | 6 | 13 | 7 |
| Alopecie | 76 | 62 | 74 |
| Astenia | |||
| Žádný | 62 | 53 | 66 |
| Těžké | 13 | 25 | 15 |
| Myalgia | |||
| Žádný | 19 | 16 | 21 |
| Těžké | 2 | 2 | 2 |
| Artralgia | 9 | 7 | 8 |
| Reakce infuzního místa | 4 | 3 | 4 |
| *Normální základní linie LFT: transaminázy ≤ 1,5krát ULN nebo alkalická fosfatáza ≤2,5krát ULN nebo izolovaná výška transamináz nebo alkalická fosfatáza až do 5krát ULN ** Zvýšená základní linie LFT: AST a/nebo alt> 1,5krát uLN souběžně s alkalickou fosfatázou> 2,5krát Uln *** Febrilní neutropenie: ANC 4. stupeň s horečkou> 38 ° C s intravenózními antibiotiky a/nebo hospitalizací |
Hematologická Reactions
Reverzibilní potlačení dřeně bylo hlavní toxicitou daňové dávky [viz viz VAROVÁNÍS ANd OPATŘENÍ ]. The median time to nadir was 7 days while the median duration of severe Neutropenie ( <500 cells/mm 3 ) bylo 7 dní. Mezi 2045 pacienty se solidními nádory a normální základní LFT se závažná neutropenie vyskytla u 75,4% a trvala déle než 7 dní ve 2,9% cyklů.
Febrilní neutropenie ( <500 cells/mm 3 S horečkou> 38 ° C s intravenózními antibiotiky a/nebo hospitalizací) se vyskytla u 11% pacientů se solidními nádory u 12,3% pacientů s metastatickým karcinomem prsu a u 9,8% z 92 pacientů s rakovinou prsu předložených třídenními kortikosteroidy.
Těžké infekční epizody se vyskytly u 6,1% pacientů se solidními nádory u 6,4% pacientů s metastatickým karcinomem prsu a u 5,4% z 92 pacientů s rakovinou prsu předložené třídenními kortikosteroidy.
Trombocytopenie ( <100000 cells/mm 3 ) bylo spojeno s fatálním gastrointestinálním krvácením.
Reakce přecitlivělosti
Má v sobě hyoscyamin
Byly hlášeny závažné reakce přecitlivělosti Varování v krabici VAROVÁNÍS ANd OPATŘENÍ ]. Minor events including flushing rash with or without pruritus chest tightness back pain dyspnea drug fever or chills have been reported a resolved after discontinuing the infusion a instituting appropriate therapy.
Retence tekutin
Při použití daňové výskytu může dojít k udržení tekutin [viz Varování v krabici Dávkování a podávání VAROVÁNÍS ANd OPATŘENÍ ].
Kožní Reactions
Silná toxicita kůže je diskutována jinde na štítku [viz VAROVÁNÍS ANd OPATŘENÍ ]. Reversible cutaneous reactions characterized by a rash including localized eruptions mainly on the feet a/or has but also on the arms face or thorax usually associated with pruritus have been observed. Eruptions generally occurred within 1 week after Daňotere infusion recovered before the next infusion a were not disabling.
Těžké poruchy nehtů byly charakterizovány hypo nebo hyperpigmentací a občas onycholýzou (u 0,8% pacientů se solidními nádory) a bolestí.
Neurologické reakce
Neurologické reakce jsou diskutovány jinde na štítku [viz VAROVÁNÍS ANd OPATŘENÍ ].
Gastrointestinal Reactions
Nevolnost zvracení a průjem were generally mild to moderate. Těžké reactions occurred in 3%-5% of patients with solid tumors a to a similar extent among metastatic rakovina prsu patients. The incidence of severe reactions was 1% or less for the 92 rakovina prsu patients premedicated with 3-day corticosteroids.
Těžká stomatitida se vyskytla u 5,5% pacientů se solidními nádory u 7,4% pacientů s metastatickým karcinomem prsu a u 1,1% z 92 pacientů s rakovinou prsu předložených třídenními kortikosteroidy.
Kardiovaskulární reakce
Hypotenze došlo u 2,8% pacientů se solidními nádory; 1,2% požadované léčby. Klinicky smysluplné události, jako je selhání srdce sinus Tachykardie atriální flutter dysrhytmia nestabilní angina plicní edém a hypertenze. Sedm z 86 (NULL,1%) pacientů s metastatickým karcinomem prsu dostávajících daňotky 100 mg/m 2 V randomizované studii a kdo měl hodnocené ejekční frakce sériové levé komory, které byly hodnoceny, rozvinulo se zhoršení LVEF o ≥ 10% spojené s poklesem pod institucionální dolní hranici normální.
Reakce infuzního místa
Reakce místa infuze byly obecně mírné a sestávaly z hyperpigmentačního zánětu nebo suchosti extravazace kůže nebo otoku žíly.
Jaterní reakce
U pacientů s normálními LFT na začátku hodnoty bilirubinu větší než ULN se vyskytly u 8,9% pacientů. Zvýšení AST nebo ALT> 1,5násobku ULN nebo alkalické fosfatázy> 2,5krát ULN byly pozorovány u 18,9% a 7,3% pacientů. Zatímco na daňovém zvýšení AST a/nebo alt> 1,5krát uLN souběžně s alkalickou fosfatázou> 2,5krát ULN se vyskytlo u 4,3% pacientů s normálními LFT na začátku. Nebylo stanoveno, zda tyto změny souvisely s drogou nebo onemocněním.
Hematologická a Other Toxicita: Relation to Dose And Baseline Liver Chemistry Abnormalities
Hematologická a other toxicity is increased at higher dávkas a in patients with elevated baseline liver funkce tests (LFTs). In the following tables adverse drug reactions are compared for three populations: 730 patients with normal LFTs given Daňotere at 100 mg/m 2 v randomizovaných a jednotlivých studiích metastatického karcinomu prsu po selhání předchozí chemoterapie; 18 pacientů v těchto studiích, kteří měli abnormální základní LFT (definované jako AST a/nebo alt> 1,5krát ULN souběžně s alkalickou fosfatázou> 2,5krát Uln); a 174 pacientů v japonských studiích, které byly dané daňové při 60 mg/m 2 kteří měli normální LFT (viz tabulky 4 a 5).
Tabulka 4: Hematologické nežádoucí účinky u pacientů s rakovinou prsu, které byly dříve léčeny chemoterapií, léčené na daňovém 100 mg/m mg/m mg/m 2 s normální nebo vyvýšenou játra
| Nežádoucí reakce | Daňotere 100 mg/m 2 | Daňotere 60 mg/m 2 | ||
| Normální Lfts* n = 730 % | Zvýšené Lfts** n = 18 % | Normální Lfts* n = 174 % | ||
| Neutropenie | ||||
| Žádný | <2000 cells/mm 3 | 98 | 100 | 95 |
| Stupeň 4 | <500 cells/mm 3 | 84 | 94 | 75 |
| Trombocytopenie | ||||
| Žádný | <100000 cells/mm 3 | 11 | 44 | 14 |
| Stupeň 4 | <20000 cells/mm 3 | 1 | 17 | 1 |
| Anémie | <11 g/dL | 95 | 94 | 65 |
| Infekce*** | ||||
| Žádný | 23 | 39 | 1 | |
| Stupeň 3 a 4 | 7 | 33 | 0 | |
| Febrilní neutropenie **** | ||||
| By Patient | 12 | 33 | 0 | |
| By Course | 2 | 9 | 0 | |
| Septická smrt | 2 | 6 | 1 | |
| Ne-septická smrt | 1 | 11 | 0 | |
| *Normální základní linie LFT: transaminázy ≤ 1,5krát ULN nebo alkalická fosfatáza ≤2,5krát ULN nebo izolovaná výška transamináz nebo alkalická fosfatáza až do 5krát ULN ** Zvýšená základní linie LFT: AST a/nebo alt> 1,5krát uLN souběžně s alkalickou fosfatázou> 2,5krát Uln ***Incidence of infection requiring hospitalization a/or intravenous antibiotics was 8.5% (n=62) among the 730 patients with normal LFTs at baseline; 7 patients had concurrent grade 3 Neutropenie a 46 patients had grade 4 Neutropenie. **** Febrilní neutropenie: Pro 100 mg/m 2 ANC stupeň 4 a horečka> 38 ° C s intravenózními antibiotiky a/nebo hospitalizací; pro 60 mg/m 2 ANC stupeň 3/4 a horečka> 38,1 ° C |
Tabulka 5: Nehematologické nežádoucí účinky u pacientů s rakovinou prsu, které byly dříve léčeny chemoterapií, léčené na daňovém 100 mg/m 2 s normální nebo vyvýšenou játra Function Tests or 60 mg/m 2 s běžnými testy funkcí jater
| Nežádoucí reakce | Daňotere 100 mg/m 2 | Daňotere 60 mg/m 2 | |
| Normální Lfts* n = 730 % | Zvýšené Lfts** n = 18 % | Normální Lfts* n = 174 % | |
| Akutní přecitlivělost | |||
| Reaction Bez ohledu na premedikaci | |||
| Žádný | 13 | 6 | 1 |
| Těžké | 1 | 0 | 0 |
| Retence tekutin*** | |||
| Bez ohledu na premedikaci | |||
| Žádný | 56 | 61 | 13 |
| Těžké | 8 | 17 | 0 |
| Neurosenzorií | |||
| Žádný | 57 | 50 | 20 |
| Těžké | 6 | 0 | 0 |
| Myalgia | 23 | 33 | 3 |
| Kožní | |||
| Žádný | 45 | 61 | 31 |
| Těžké | 5 | 17 | 0 |
| Astenia | |||
| Žádný | 65 | 44 | 66 |
| Těžké | 17 | 22 | 0 |
| Průjem | |||
| Žádný | 42 | 28 | Na |
| Těžké | 6 | 11 | |
| Stomatitida | |||
| Žádný | 53 | 67 | 19 |
| Těžké | 8 | 39 | 1 |
| *Normální základní linie LFT: transaminázy ≤ 1,5krát ULN nebo alkalická fosfatáza ≤2,5krát ULN nebo izolovaná výška transamináz nebo alkalická fosfatáza až do 5krát ULN ** Zvýšená základní funkce jater: AST a/nebo alt> 1,5krát uLN souběžně s alkalickou fosfatázou> 2,5krát Uln *** Retence tekutin zahrnuje (costart): edém (periferní lokalizovaný generalizovaný generalizovaný lymfedémský plicní edém a edém jinak není specifikován) a výtok (pleurální perikardiální a ascites); Žádná premedikace s 60 mg/m 2 dávka Na = not available |
V daňovém procesu monoterapie 3-ramene313, který porovnával daňový 60 mg/m 2 75 mg/m 2 a 100 mg/m 2 V pokročilém stupni rakoviny prsu došlo u 49,0% pacientů léčených daňovým 60 mg/m 2 ve srovnání s 55,3% a 65,9% léčených 75 mg/m 2 a 100 mg/m 2 respektive. Ukončení v důsledku nežádoucích účinků bylo hlášeno u 5,3% pacientů léčených 60 mg/m 2 oproti 6,9% a 16,5% u pacientů léčených při 75 a 100 mg/m 2 respektive. Úmrtí do 30 dnů po poslední léčbě došlo u 4,0% pacientů léčených 60 mg/m 2 ve srovnání s 5,3% a 1,6% u pacientů léčených při 75 mg/m 2 a 100 mg/m 2 respektive.
Následující nežádoucí účinky byly spojeny se zvyšujícím se dávkou docetaxelu: retence tekutin (26% 38% a 46% při 60 mg/m m 2 75 mg/m 2 a 100 mg/m 2 respektive) trombocytopenie (7% 11% a 12%) neutropenie (92% 94%, respektive 97%) febrilní neutropenie (5% 7% a 14%) infekce související s léčbou (2% 3% a 7%) a 87% 94%).
Kombinovaná terapie s Taxotere v adjuvantní léčbě rakoviny prsu
Následující tabulka představuje nežádoucí účinky pozorované u 744 pacientů, kteří byli léčeni daňovým 75 mg/m 2 Každé 3 týdny v kombinaci s doxorubicinem a cyklofosfamidem (viz tabulka 6).
Tabulka 6: Klinicky důležité nežádoucí účinky ve výši léčby bez ohledu na kauzální vztah u pacientů, kteří dostávají daňot v kombinaci s doxorubicinem a cyklofosfamidem (TAX316).
| Daňotere 75 mg/m 2 Doxorubicin 50 mg/m 2 Cyklofosfamid 500 mg/m 2 (TAC) n = 744 % | Fluorouracil 500 mg/m 2 Doxorubicin 50 mg/m 2 Cyklofosfamid 500 mg/m 2 (Dělat) n = 736 % | |||
| Nežádoucí reakce | Žádný | Stupeň 3/4 | Žádný | Stupeň 3/4 |
| Anémie | 92 | 4 | 72 | 2 |
| Neutropenie | 71 | 66 | 82 | 49 |
| Horečka v nepřítomnosti infekce | 47 | 1 | 17 | 0 |
| Infekce | 39 | 4 | 36 | 2 |
| Trombocytopenie | 39 | 2 | 28 | 1 |
| Febrilní neutropenie | 25 | N/a | 3 | N/a |
| Neutropenická infekce | 12 | N/a | 6 | N/a |
| Reakce přecitlivělosti | 13 | 1 | 4 | 0 |
| Lymfedém | 4 | 0 | 1 | 0 |
| Retence tekutin* | 35 | 1 | 15 | 0 |
| Periferní edém | 27 | 0 | 7 | 0 |
| Přibývání na váze | 13 | 0 | 9 | 0 |
| Neuropatie senzorická | 26 | 0 | 10 | 0 |
| Neurokortikální | 5 | 1 | 6 | 1 |
| Neuropatie Motor | 4 | 0 | 2 | 0 |
| Neuro-cerebelární | 2 | 0 | 2 | 0 |
| Synkopa | 2 | 1 | 1 | 0 |
| Alopecie | 98 | N/a | 97 | N/a |
| Toxicita kůže | 27 | 1 | 18 | 0 |
| Poruchy nehtů | 19 | 0 | 14 | 0 |
| Nevolnost | 81 | 5 | 88 | 10 |
| Stomatitida | 69 | 7 | 53 | 2 |
| Zvracení | 45 | 4 | 59 | 7 |
| Průjem | 35 | 4 | 28 | 2 |
| Zácpa | 34 | 1 | 32 | 1 |
| Ochutnejte zvrácenost | 28 | 1 | 15 | 0 |
| Anorexie | 22 | 2 | 18 | 1 |
| Bolest břicha | 11 | 1 | 5 | 0 |
| Amenorea | 62 | N/a | 52 | N/a |
| Kašel | 14 | 0 | 10 | 0 |
| Srdeční dysrytmie | 8 | 0 | 6 | 0 |
| Vazodilatace | 27 | 1 | 21 | 1 |
| Hypotenze | 2 | 0 | 1 | 0 |
| Phlebitis | 1 | 0 | 1 | 0 |
| Astenia | 81 | 11 | 71 | 6 |
| Myalgia | 27 | 1 | 10 | 0 |
| Artralgia | 19 | 1 | 9 | 0 |
| Lacrimation porucha | 11 | 0 | 7 | 0 |
| Zánět spojivek | 5 | 0 | 7 | 0 |
| * Termín a klasifikační systém pro události související s léčbou. |
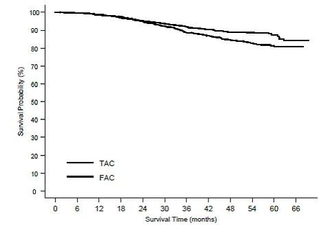
Ze 744 pacientů léčených TAC 36,3% zažilo závažné nežádoucí účinky ve srovnání s 26,6% ze 736 pacientů léčených FAC. Snížení dávky v důsledku hematologické toxicity se vyskytovalo v 1% cyklů v rameni TAC oproti 0,1% cyklů v rameni FAC. Šest procent pacientů léčených léčbou TAC v důsledku nežádoucích účinků ve srovnání s 1,1% léčeným FAC; horečka v nepřítomnosti infekce a alergie být nejčastějšími důvody pro stažení mezi pacienty ošetřenými TAC. Dva pacienti zemřeli v každé paži do 30 dnů od poslední studijní léčby; 1 smrt na paži byla přičítána studijním drogám.
Horečka a infekce
Během léčebného období byla horečka v nepřítomnosti infekce pozorována u 46,5% pacientů léčených TAC a u 17,1% pacientů léčených FAC. Horečka stupně 3/4 v nepřítomnosti infekce byla pozorována u 1,3% a 0% pacientů ošetřených TAC a FAC. Infekce byla pozorována u 39,4% pacientů ošetřených TAC ve srovnání s 36,3% pacientů léčených FAC. Infekce stupně 3/4 byla pozorována u 3,9% a 2,2% pacientů ošetřených TAC a ošetřených FAC. Během léčebného období nedošlo k žádné septické úmrtí v obou léčebných ramech.
Gastrointestinal Reactions
Kromě gastrointestinálních reakcí, které se odrážely v tabulce nad 7 pacienty v rameni TAC, mají kolitidu/enteritidu/perforaci tlustého střeva versus jednoho pacienta v rameni FAC. Pět ze 7 pacientů ošetřených TAC vyžadovalo přerušení léčby; Během léčebného období nedošlo k žádným úmrtím v důsledku těchto událostí.
Kardiovaskulární reakce
Více kardiovaskulárních reakcí bylo hlášeno v rameni TAC oproti rameni FAC během léčebného období: arytmie všech stupňů (NULL,2% vs. 4,9%) a hypotenze všech stupňů (NULL,9% vs. 0,8%). Dvacet šest (26) pacientů (NULL,5%) v rameni TAC a 17 pacientů (NULL,3%) v rameni FAC se během studijního období vyvinulo CHF. Všichni kromě jednoho pacienta v každé paži byli během sledovacího období diagnostikováni s CHF. Dva (2) pacienti v rameni TAC a 4 pacienti v rameni FAC zemřeli v důsledku CHF. Riziko CHF bylo v prvním roce vyšší v rameni TAC a poté bylo podobné v obou léčebných ramenech.
Nežádoucí reakces During The Follow-Up Period (median follow-up time of 8 years)
Ve studii Tax316 jsou nejčastější nežádoucí nežádoucí účinky, které začaly během léčebného období a přetrvávaly do sledovacího období u pacientů s TAC a FAC jsou popsány níže (střední doba sledování 8 let).
Poruchy nervového systému
Ve studii daně316 periferní smyslová neuropatie začala během léčebného období a přetrvávala do období sledování u 84 pacientů (NULL,3%) u ramene TAC a 15 pacientů (2%) v rameni FAC. Na konci období sledování (medián doba sledování 8 let) bylo pozorováno, že periferní smyslová neuropatie probíhá u 10 pacientů (NULL,3%) v rameni TAC a u 2 pacientů (NULL,3%) v rameni FAC.
Poruchy kůže a podkožní tkáně
Ve studii daně316 alopecie přetrvávající do období sledování po skončení chemoterapie byl hlášen u 687 ze 744 pacientů s TAC (NULL,3%) a 645 ze 736 pacientů FAC (NULL,6%). Na konci období sledování (skutečná střední doba sledování 8 let) bylo pozorováno, že probíhá u 29 pacientů s TAC (NULL,9%) a 16 pacientů FAC (NULL,2%).
Reprodukční systém a poruchy prsu
Ve studijní dani316 amenorea, která začala během léčebného období a přetrvávala do období sledování po skončení chemoterapie u 202 ze 744 pacientů s TAC (NULL,2%) a 125 ze 736 pacientů FAC (NULL,0%). Bylo pozorováno, že amenorea probíhá na konci sledovacího období (střední doba sledování 8 let) u 121 ze 744 pacientů s TAC (NULL,3%) a 86 pacientů FAC (NULL,7%).
Obecné poruchy a podmínky pro správu
U periferního edému Study316, který začal během léčebného období a přetrvával do období sledování po skončení chemoterapie u 119 ze 744 pacientů s TAC (NULL,0%) a 23 ze 736 pacientů FAC (NULL,1%). Na konci období sledování (skutečná střední doba sledování 8 let) probíhala periferní edém u 19 pacientů s TAC (NULL,6%) a 4 pacienty FAC (NULL,5%).
U lymfedému Study316, který začal během léčebného období a přetrvával do období sledování po skončení chemoterapie u 11 ze 744 pacientů s TAC (NULL,5%) a 1 ze 736 pacientů FAC (NULL,1%). Na konci období sledování (skutečná střední doba sledování 8 let) bylo pozorováno, že lymfedém probíhá u 6 pacientů s TAC (NULL,8%) a 1 pacient FAC (NULL,1%).
Ve studijní dani316 Astenia, která začala během období léčby a přetrvávala do období sledování po skončení chemoterapie u 236 ze 744 pacientů s TAC (NULL,7%) a 180 ze 736 pacientů FAC (NULL,5%). Na konci období sledování (skutečná střední doba sledování 8 let) byla pozorována, že probíhá u 29 pacientů s TAC (NULL,9%) a 16 pacientů FAC (NULL,2%).
Akutní myeloidní leukémie (AML)/myelodysplastický syndrom (MDS)
AML došlo v Adjuvantní studii rakoviny prsu (daň316). Kumulativní riziko vzniku AML související s léčbou ve střední době sledování 8 let v dani316 bylo 0,4% u pacientů s taktérem a 0,1% u pacientů léčených FAC. Jeden pacient TAC (NULL,1%) a 1 pacient FAC (NULL,1%) zemřel v důsledku AML během sledovacího období (střední doba sledování 8 let). Myelodysplastický syndrom se vyskytl u 2 ze 744 (NULL,3%) pacientů, kteří dostávali TAC a 1 ze 736 (NULL,1%) pacientů, kteří dostávali FAC. AML se vyskytuje při vyšší frekvenci, když jsou tyto látky dány v kombinaci Radiační terapie .
Rakovina plic
Monoterapie s Taxotere pro neresekovatelné lokálně pokročilé nebo metastatické NSCLC dříve léčené chemoterapií na bázi platiny
Daňotere 75 mg/m 2
V tabulce 7 jsou uvedeny nepříznivé reakce na léčbu-engargent, které jsou uvedeny v této tabulce, jsou údaje o bezpečnosti pro celkem 176 pacientů s ne-malými buněčnými plicními karcinom a anamnéza předchozí léčby chemoterapií na bázi platiny, kteří byli léčeni ve dvou randomizovaných kontrolovaných studiích. Tyto reakce byly popsány pomocí kritéria běžné toxicity NCI bez ohledu na vztah ke studijní léčbě s výjimkou hematologických toxicity nebo tam, kde jinak bylo uvedeno.
Tabulka 7: Nežádoucí účinky-egentující léčbu bez ohledu na vztah k léčbě u pacientů, kteří dostávali daňot jako monoterapie pro ne-mallickou rakovinu plic, dříve léčených chemoterapií na bázi platiny*
| Nežádoucí reakce | Daňotere 75 mg/m 2 n = 176 % | Nejlepší podpůrné Péče n = 49 % | Vinorelbine/ Ifosfamid n = 119 % |
| Neutropenie | |||
| Žádný | 84 | 14 | 83 |
| Stupeň 3/4 | 65 | 12 | 57 |
| Leukopenia | |||
| Žádný | 84 | 6 | 89 |
| Stupeň 3/4 | 49 | 0 | 43 |
| Trombocytopenie | |||
| Žádný | 8 | 0 | 8 |
| Stupeň 3/4 | 3 | 0 | 2 |
| Anémie | |||
| Žádný | 91 | 55 | 91 |
| Stupeň 3/4 | 9 | 12 | 14 |
| Febrile | |||
| Neutropenie** | 6 | Na † | 1 |
| Infekce | |||
| Žádný | 34 | 29 | 30 |
| Stupeň 3/4 | 10 | 6 | 9 |
| Úmrtnost související s léčbou | 3 | Na † | 3 |
| Reakce přecitlivělosti | |||
| Žádný | 6 | 0 | 1 |
| Stupeň 3/4 | 3 | 0 | 0 |
| Retence tekutin | |||
| Žádný | 34 | Nd † † | 23 |
| Těžké | 3 | 3 | |
| Neurosenzorií | |||
| Žádný | 23 | 14 | 29 |
| Stupeň 3/4 | 2 | 6 | 5 |
| Neuromotor | |||
| Žádný | 16 | 8 | 10 |
| Stupeň 3/4 | 5 | 6 | 3 |
| Kůže | |||
| Žádný | 20 | 6 | 17 |
| Stupeň 3/4 | 1 | 2 | 1 |
| Gastrointestinal | |||
| Nevolnost | |||
| Žádný | 34 | 31 | 31 |
| Stupeň 3/4 | 5 | 4 | 8 |
| Zvracení | |||
| Žádný | 22 | 27 | 22 |
| Stupeň 3/4 | 3 | 2 | 6 |
| Průjem | |||
| Žádný | 23 | 6 | 12 |
| Stupeň 3/4 | 3 | 0 | 4 |
| Alopecie | 56 | 35 | 50 |
| Astenia | |||
| Žádný | 53 | 57 | 54 |
| Těžké*** | 18 | 39 | 23 |
| Stomatitida | |||
| Žádný | 26 | 6 | 8 |
| Stupeň 3/4 | 2 | 0 | 1 |
| Plicní | |||
| Žádný | 41 | 49 | 45 |
| Stupeň 3/4 | 21 | 29 | 19 |
| Porucha nehtů | |||
| Žádný | 11 | 0 | 2 |
| Těžké*** | 1 | 0 | 0 |
| Myalgia | |||
| Žádný | 6 | 0 | 3 |
| Těžké*** | 0 | 0 | 0 |
| Artralgia | |||
| Žádný | 3 | 2 | 2 |
| Těžké*** | 0 | 0 | 1 |
| Ochutnejte zvrácenost | |||
| Žádný | 6 | 0 | 0 |
| Těžké*** | 1 | 0 | 0 |
| *Normální základní linie LFT: transaminázy ≤ 1,5krát ULN nebo alkalická fosfatáza ≤2,5krát ULN nebo izolovaná výška transamináz nebo alkalická fosfatáza až do 5krát ULN ** Febrilní neutropenie: ANC 4. stupeň s horečkou> 38 ° C s intravenózní antibiotikou a/nebo hospitalizací *** Termín a klasifikační systém Costart † Nelze použít † † Nedělal |
Kombinovaná terapie s Taxotere v chemoterapii-naive Advanced neresekovatelné nebo metastatické NSCLC
Tabulka 8 uvádí údaje o bezpečnosti ze dvou randes otevřené štítky randomizované kontrolované studie (daň326), která zapsala pacienty s neresekovatelným stadiem IIIB nebo IV nemalobuněčného karcinomu plic a bez anamnézy předchozí chemoterapie. Nežádoucí účinky byly popsány pomocí kritérií NCI Common Toxicity, s výjimkou jinak.
Tabulka 8: Nežádoucí účinky bez ohledu na vztah k léčbě v chemoterapii pokročilé nestmalské pacienty s rakovinou plic, kteří dostávají daňovou pravomoci v kombinaci s cisplatinou
| Nežádoucí reakce | Daňotere 75 mg/m 2 Cisplatina 75 mg/m 2 n = 406 % | Vinorelbin 25 mg/m 2 + Cisplatina 100 mg/m 2 n = 396 % |
| Neutropenie | 91 | 90 |
| Stupeň 3/4 | 74 | 78 |
| Febrile Neutropenie | 5 | 5 |
| Trombocytopenie | ||
| Žádný | 15 | 15 |
| Stupeň 3/4 | 3 | 4 |
| Anémie | ||
| Žádný | 89 | 94 |
| Stupeň 3/4 | 7 | 25 |
| Infekce | ||
| Žádný | 35 | 37 |
| Stupeň 3/4 | 8 | 8 |
| Horečka v nepřítomnosti infekce | ||
| Žádný | 33 | 29 |
| Stupeň 3/4 | <1 | 1 |
| Reakce přecitlivělosti* | ||
| Žádný | 12 | 4 |
| Stupeň 3/4 | 3 | <1 |
| Retence tekutin** | ||
| Žádný | 54 | 42 |
| Všechny závažné nebo život ohrožující události | 2 | 2 |
| Pleurální výtok | ||
| Žádný | 23 | 22 |
| Všechny závažné nebo život ohrožující události | 2 | 2 |
| Periferní edém | ||
| Žádný | 34 | 18 |
| Všechny závažné nebo život ohrožující události | <1 | <1 |
| Přibývání na váze | ||
| Žádný | 15 | 9 |
| Všechny závažné nebo život ohrožující události | <1 | <1 |
| Neurosenzorií | ||
| Žádný | 47 | 42 |
| Stupeň 3/4 | 4 | 4 |
| Neuromotor | ||
| Žádný | 19 | 17 |
| Stupeň 3/4 | 3 | 6 |
| Kůže | ||
| Žádný | 16 | 14 |
| Stupeň 3/4 | <1 | 1 |
| Nevolnost | ||
| Žádný | 72 | 76 |
| Stupeň 3/4 | 10 | 17 |
| Zvracení | ||
| Žádný | 55 | 61 |
| Stupeň 3/4 | 8 | 16 |
| Průjem | ||
| Žádný | 47 | 25 |
| Stupeň 3/4 | 7 | 3 |
| Anorexie** | ||
| Žádný | 42 | 40 |
| Všechny závažné nebo život ohrožující události | 5 | 5 |
| Stomatitida | ||
| Žádný | 24 | 21 |
| Stupeň 3/4 | 2 | 1 |
| Alopecie | ||
| Žádný | 75 | 42 |
| Stupeň 3 | <1 | 0 |
| Astenia** | ||
| Žádný | 74 | 75 |
| Všechny závažné nebo život ohrožující události | 12 | 14 |
| Porucha nehtů** | ||
| Žádný | 14 | <1 |
| Všechny závažné události | <1 | 0 |
| Myalgia** | ||
| Žádný | 18 | 12 |
| Všechny závažné události | <1 | <1 |
| *Nahrazuje alergii na termín NCI ** Termín a klasifikační systém Costart |
Úmrtí do 30 dnů po poslední studijní léčbě došlo u 31 pacientů (NULL,6%) v docetaxelovém cisplatinovém rameni a 37 pacientů (NULL,3%) v rameni cisplatiny vinorelbinu. Úmrtí do 30 dnů od poslední studie léčby připisované studijním léčivem došlo u 9 pacientů (NULL,2%) v docetaxelovém cisplatinovém rameni a 8 pacientů (NULL,0%) v rameni cisplatinu vinorelbinu.
Druhé srovnání ve studii Vinorelbin Cisplatin versus Taxotere Carboplatin (který neprokázal vynikající přežití spojené s daňovou osobou [viz viz Klinické studie ]) prokázali vyšší výskyt trombocytopenií průjem průjem retenční hypersenzitivní reakce kožní toxicita alopecie a změny nehtů na rameni taxotere karboplatiny, zatímco vyšší výskyt neurosenzorické toxické toxicity na vinorelbinovou rameni.
Rakovina prostaty
Kombinovaná terapie s daňovou prací u pacientů s rakovinou prostaty
Následující údaje jsou založeny na zkušenostech 332 pacientů, kteří byli léčeni daňovým 75 mg/m 2 Každé 3 týdny v kombinaci s prednisonem 5 mg orálně dvakrát denně (viz tabulka 9).
Tabulka 9: Klinicky důležité nežádoucí účinky (bez ohledu na vztah) u pacientů s rakovinou prostaty, kteří obdrželi daňotku v kombinaci s prednisonem (daň327)
| Daňotere 75 mg/m 2 každý 3 týdny prednison 5 mg dvakrát denně n = 332 % | Mitoxantron 12 mg/m 2 každý 3 weeks + prednisone 5 MG dvakrát denně n = 335 % | |||
| Nežádoucí reakce | Žádný | Stupeň 3/4 | Žádný | Stupeň 3/4 |
| Anémie | 67 | 5 | 58 | 2 |
| Neutropenie | 41 | 32 | 48 | 22 |
| Trombocytopenie | 3 | 1 | 8 | 1 |
| Febrilní neutropenie | 3 | N/a | 2 | N/a |
| Infekce | 32 | 6 | 20 | 4 |
| Epistaxis | 6 | 0 | 2 | 0 |
| Alergické reakce | 8 | 1 | 1 | 0 |
| Retence tekutin* | 24 | 1 | 5 | 0 |
| Přibývání na váze* | 8 | 0 | 3 | 0 |
| Periferní edém* | 18 | 0 | 2 | 0 |
| Neuropatie senzorická | 30 | 2 | 7 | 0 |
| Neuropatie Motor | 7 | 2 | 3 | 1 |
| Vyrážka/desquamation | 6 | 0 | 3 | 1 |
| Alopecie | 65 | N/a | 13 | N/a |
| Změny nehtů | 30 | 0 | 8 | 0 |
| Nevolnost | 41 | 3 | 36 | 2 |
| Průjem | 32 | 2 | 10 | 1 |
| Stomatitida/Pharyngitis | 20 | 1 | 8 | 0 |
| Chuť narušení | 18 | 0 | 7 | 0 |
| Zvracení | 17 | 2 | 14 | 2 |
| Anorexie | 17 | 1 | 14 | 0 |
| Kašel | 12 | 0 | 8 | 0 |
| Dušnost | 15 | 3 | 9 | 1 |
| Srdeční levá komora funkce | 10 | 0 | 22 | 1 |
| Únava | 53 | 5 | 35 | 5 |
| Myalgia | 15 | 0 | 13 | 1 |
| Roztržení | 10 | 1 | 2 | 0 |
| Artralgia | 8 | 1 | 5 | 1 |
| *Související s léčbou |
Rakovina žaludku
Kombinovaná terapie s Taxotere v adenokarcinomu žaludku
Údaje v následující tabulce jsou založeny na zkušenostech 221 pacientů s pokročilým adenokarcinomem pro žaludek a žádné anamnéze předchozí chemoterapie pro pokročilé onemocnění, kteří byli léčeni daňovým 75 mg/m 2 v kombinaci s cisplatinou a fluorouracilem (viz tabulka 10).
Tabulka 10: Klinicky důležité nežádoucí účinky bez ohledu na vztah k léčbě ve studii rakoviny žaludku
| Daňotere 75 mg/m 2 + Cisplatina 75 mg/m 2 + Fluorouracil 750 mg/m 2 n = 221 | Cisplatina 100 mg/m 2 + Fluorouracil 1000 mg/m 2 n = 224 | |||
| Nežádoucí reakce | Žádný % | Stupeň 3/4 % | Žádný % | Stupeň 3/4 % |
| Anémie | 97 | 18 | 93 | 26 |
| Neutropenie | 96 | 82 | 83 | 57 |
| Horečka v nepřítomnosti infekce | 36 | 2 | 23 | 1 |
| Trombocytopenie | 26 | 8 | 39 | 14 |
| Infekce | 29 | 16 | 23 | 10 |
| Febrilní neutropenie | 16 | N/a | 5 | N/a |
| Neutropenická infekce | 16 | N/a | 10 | N/a |
| Alergické reakce | 10 | 2 | 6 | 0 |
| Retence tekutin* | 15 | 0 | 4 | 0 |
| Otok* | 13 | 0 | 3 | 0 |
| Letargie | 63 | 21 | 58 | 18 |
| Neurosenzorií | 38 | 8 | 25 | 3 |
| Neuromotor | 9 | 3 | 8 | 3 |
| Závrať | 16 | 5 | 8 | 2 |
| Alopecie | 67 | 5 | 41 | 1 |
| Vyrážka/svědění | 12 | 1 | 9 | 0 |
| Změny nehtů | 8 | 0 | 0 | 0 |
| Kůže desquamation | 2 | 0 | 0 | 0 |
| Nevolnost | 73 | 16 | 76 | 19 |
| Zvracení | 67 | 15 | 73 | 19 |
| Anorexie | 51 | 13 | 54 | 12 |
| Stomatitida | 59 | 21 | 61 | 27 |
| Průjem | 78 | 20 | 50 | 8 |
| Zácpa | 25 | 2 | 34 | 3 |
| Ezofagitida/dysfagie/odynofágie | 16 | 2 | 14 | 5 |
| Gastrointestinal pain/cramping | 11 | 2 | 7 | 3 |
| Srdeční dysrytmie | 5 | 2 | 2 | 1 |
| Ischemie myokardu | 1 | 0 | 3 | 2 |
| Roztržení | 8 | 0 | 2 | 0 |
| Změněné slyšení | 6 | 0 | 13 | 2 |
| Klinicky důležité léčebné nežádoucí účinky byly stanoveny na základě závažnosti frekvence a klinickém dopadu nežádoucích reakcí. *Související s léčbou |
Rakovina hlavy a krku
Kombinovaná terapie s Taxotere u rakoviny hlavy a krku
Tabulka 11 shrnuje údaje o bezpečnosti získaných od pacientů, kteří dostávali indukční chemoterapii s daňovou hodnotou 75 mg/m 2 v kombinaci s cisplatinou a fluorouracilem následovanou radioterapií (daň323; 174 pacientů) nebo chemoradioterapií (daň324; 251 pacientů). Léčebné režimy jsou popsány v části 14.6.
Tabulka 11: Klinicky důležité nežádoucí účinky (bez ohledu na vztah) u pacientů s SCCHN, kteří dostávali indukční chemoterapii s daňovou, v kombinaci s cisplatinou a fluorouracilem následovanou radioterapií (TAX323) nebo chemoradioterapií (TAX324)
| Nežádoucí reakce (podle systému těla) | Daň323 (n = 355) | Daň324 (n = 494) | ||||||
| Daňotere ARM (n = 174) | Komparátor ARM (n = 181) | Daňotere ARM (n = 251) | Komparátor ARM (n = 243) | |||||
| Žádný % | Stupeň 3/4 % | Žádný % | Stupeň 3/4 % | Žádný % | Stupeň 3/4 % | Žádný % | Stupeň 3/4 % | |
| Neutropenie | 93 | 76 | 87 | 53 | 95 | 84 | 84 | 56 |
| Anémie | 89 | 9 | 88 | 14 | 90 | 12 | 86 | 10 |
| Trombocytopenie | 24 | 5 | 47 | 18 | 28 | 4 | 31 | 11 |
| Infekce | 27 | 9 | 26 | 8 | 23 | 6 | 28 | 5 |
| Febrilní neutropenie* | 5 | N/a | 2 | N/a | 12 | N/a | 7 | N/a |
| Neutropenická infekce | 14 | N/a | 8 | N/a | 12 | N/a | 8 | N/a |
| Bolest rakoviny | 21 | 5 | 16 | 3 | 17 | 9 | 20 | 11 |
| Letargie | 41 | 3 | 38 | 3 | 61 | 5 | 56 | 10 |
| Horečka v nepřítomnosti infekce | 32 | 1 | 37 | 0 | 30 | 4 | 28 | 3 |
| Myalgia | 10 | 1 | 7 | 0 | 7 | 0 | 7 | 2 |
| Hubnutí | 21 | 1 | 27 | 1 | 14 | 2 | 14 | 2 |
| Alergie | 6 | 0 | 3 | 0 | 2 | 0 | 0 | 0 |
| Retence tekutin** | 20 | 0 | 14 | 1 | 13 | 1 | 7 | 2 |
| Pouze otoky | 13 | 0 | 7 | 0 | 12 | 1 | 6 | 1 |
| Přibývání na váze pouze | 6 | 0 | 6 | 0 | 0 | 0 | 1 | 0 |
| Závrať | 2 | 0 | 5 | 1 | 16 | 4 | 15 | 2 |
| Neurosenzorií | 18 | 1 | 11 | 1 | 14 | 1 | 14 | 0 |
| Změněné slyšení | 6 | 0 | 10 | 3 | 13 | 1 | 19 | 3 |
| Neuromotor | 2 | 1 | 4 | 1 | 9 | 0 | 10 | 2 |
| Alopecie | 81 | 11 | 43 | 0 | 68 | 4 | 44 | 1 |
| Vyrážka/svědění | 12 | 0 | 6 | 0 | 20 | 0 | 16 | 1 |
| Suchá kůže | 6 | 0 | 2 | 0 | 5 | 0 | 3 | 0 |
| Příchuť | 4 | 1 | 6 | 0 | 2 | 0 | 5 | 0 |
| Nevolnost | 47 | 1 | 51 | 7 | 77 | 14 | 80 | 14 |
| Stomatitida | 43 | 4 | 47 | 11 | 66 | 21 | 68 | 27 |
| Zvracení | 26 | 1 | 39 | 5 | 56 | 8 | 63 | 10 |
| Průjem | 33 | 3 | 24 | 4 | 48 | 7 | 40 | 3 |
| Zácpa | 17 | 1 | 16 | 1 | 27 | 1 | 38 | 1 |
| Anorexie | 16 | 1 | 25 | 3 | 40 | 12 | 34 | 12 |
| Ezofagitida/dysfagie/odynofágie | 13 | 1 | 18 | 3 | 25 | 13 | 26 | 10 |
| Chuť smyslu vůně změněna | 10 | 0 | 5 | 0 | 20 | 0 | 17 | 1 |
| Gastrointestinal pain/cramping | 8 | 1 | 9 | 1 | 15 | 5 | 10 | 2 |
| Pálení žáhy | 6 | 0 | 6 | 0 | 13 | 2 | 13 | 1 |
| Gastrointestinal bleeding | 4 | 2 | 0 | 0 | 5 | 1 | 2 | 1 |
| Srdeční dysrhytmie | 2 | 2 | 2 | 1 | 6 | 3 | 5 | 3 |
| Žilní*** | 3 | 2 | 6 | 2 | 4 | 2 | 5 | 4 |
| Ischemii myokardial | 2 | 2 | 1 | 0 | 2 | 1 | 1 | 1 |
| Roztržení | 2 | 0 | 1 | 0 | 2 | 0 | 2 | 0 |
| Zánět spojivek | 1 | 0 | 1 | 0 | 1 | 0 | 0.4 | 0 |
| Klinicky důležité nežádoucí účinky na základě závažnosti frekvence a klinického dopadu. *Febrilní neutropenie: stupeň ≥ 2 horečka souběžně s neutropenií stupně 4 vyžadující intravenózní antibiotika a/nebo hospitalizaci. ** související s léčbou. *** Zahrnuje povrchovou a hlubokou žilní trombózu a plicní embolii |
Zážitek z postmarketingu
Následující nežádoucí účinky byly identifikovány z klinických hodnocení a/nebo postmarketingového dohledu. Protože tyto reakce jsou hlášeny z populace nejisté velikosti, není vždy možné spolehlivě odhadnout jejich frekvenci nebo vytvořit kauzální vztah k expozici léčiva.
Prednison 50 mg Tablet Vedlejší účinky
Tělo jako celek: Difúzní bolest bolesti na hrudi bolest záření na hrudi vzpomíná fenomén injekční místo vzpomínají na reakci (opakování kožní reakce v místě předchozí extravazace po podání docetaxelu v jiném místě) v místě předchozí extravazace.
Kardiovaskulární: Atriální fibrilace Trombóza hluboké žilní trombóza EKG Abnormality tromboflebititis plicní embolická synkopa tachykardií myokardu infarkt. S smrtelným výsledkem může být spojena komorová arytmie včetně komorové tachykardie u pacientů léčených docetaxelem v kombinovaných režimech včetně 5-fluorouracidu doxorubicinu a/nebo cyklofosfamidu.
Kožní: Kožní lupus erythematosus bulózní erupce, jako je erytém multiforme a závažné kožní nežádoucí účinky (jizvy), jako je Stevens-Johnsonův syndrom toxická epidermální nekrolýza a akutní generalizovaná exanthematózní pustulóza skleroderma-like-like-like-like-like-like-like-like-like-like-like) Trvalá alopecie.
Gastrointestinal: Enterocolitida včetně kolitidy ischemické kolitidy a neutropenické enterokolotidy, které mohou být fatální. Aborinální bolest anorexie zácpa duodenální vřed ezofagitida Gastrointestinální krvácení Gastrointestinální perforace střevní obstrukce ileus a dehydratace v důsledku gastrointestinálních událostí.
Sluch : Poruchy sluchu ototoxicity a/nebo ztráty sluchu, včetně během užívání s jinými ototoxickými léky.
Hematologická: Krvácející epizody šířily intravaskulární koagulaci (DIC) často ve spojení se sepsou nebo multiorganovým selháním.
Jaterní: Hepatitida někdy fatální primárně u pacientů s již existujícími poruchami jater.
Hypersenzitivita: Anafylaktický šok s fatálním výsledkem u pacientů, kteří dostali premedikaci. Závažné hypersenzitivní reakce s fatálním výsledkem s docetaxelem u pacientů, kteří dříve zažili hypersenzitivní reakce na paclitaxel.
Poruchy metabolismu a výživy: Nerovnováha elektrolytu včetně hypokalémie hypokalémie hypomagnezie a hypokalcemie. Syndrom lýzy nádoru někdy fatální.
Neurologické: Zmatení záchvaty nebo přechodná ztráta vědomí se někdy objevují během infuze léčiva.
Ophthalmolongic: Lakromace konjunktivitidy nebo lakromace s nebo bez konjunktivitidy cystoidní makulární edém (CME). Nadměrné trhání, které lze připsat obstrukci slzného potrubí. Přechodné vizuální poruchy (blikající blikající světla Scotomata) se obvykle vyskytují během infuze léčiva a reverzibilní po přerušení infuze ve spojení s reakcemi přecitlivělosti.
Respirační: Syndrom plicního edému akutní plicní edém akutní edém Syndrom respirační tísně/Pneumonitická intersticiální plicní onemocnění Intersticiální pneumonie Respirační selhání a plicní fibrózu, která může být fatální. Radiační pneumonitida u pacientů, kteří dostávají souběžnou radioterapii.
Renal: Nedostatečnost ledvin a selhání ledvin byla většina případů spojena se souběžnými nefrotoxickými léky.
Druhé primární malignity: Druhé primární malignity včetně AML MDS NHL a RACOVER REANY [viz VAROVÁNÍS ANd OPATŘENÍ ].
Porucha muskuloskeletu: myositis.
Drogové interakce pro dayotere
Docetaxel je substrát CYP3A4. In vitro Studie ukázaly, že metabolismus docetaxelu může být modifikován souběžným podáváním sloučenin, které indukují inhibitu nebo jsou metabolizovány cytochromem P450 3A4.
Nadarmo Studie ukázaly, že expozice docetaxelu se zvýšila 2,2krát, když byl s ketokonazolem podáván silným inhibitorem CYP3A4. Inhibitory proteázy, zejména ritonavir, mohou zvýšit expozici docetaxelu. Současné užívání taxotere a léků, které inhibují CYP3A4, může zvýšit expozici docetaxelu a je třeba se vyhnout. U pacientů, kteří dostávali léčbu daňovým pečlivým sledováním toxicity a snížení dávky daňové, lze zvážit, pokud nelze zabránit systémovému podávání silného inhibitoru CYP3A4 [viz viz Dávkování a podávání Klinická farmakologie ].
Varování pro Taxotere
Zahrnuto jako součást 'OPATŘENÍ' Sekce
Opatření pro dayotere
Toxická úmrtí
Rakovina prsu
Daňotere administered at 100 mg/m 2 byl spojen se úmrtími považovanými za případně nebo pravděpodobně související s léčbou u 2,0% (19/965) metastatických pacientů s rakovinou prsu dříve léčených a neléčených normální základní funkcí jater a v 11,5% (7/61) pacientů s různými typy nádorů, kteří měli abnormální základní játra (AST a/nebo alt> 1,5krát ULN spolu s AP> 2,5krát). U pacientů dávkovaných při 60 mg/m 2 Úmrtnost související s léčbou došlo u 0,6% (3/481) pacientů s normální funkcí jater a u 3 ze 7 pacientů s abnormální funkcí jater. Přibližně polovina těchto úmrtí došlo během prvního cyklu. Sepse představovala většinu úmrtí.
Rakovina plic nemasových buněk
Daňotere administered at a dávka of 100 mg/m 2 U pacientů s lokálně pokročilým nebo metastatickým rakovinou plic, kteří měli anamnézu předchozí chemoterapie na bázi platiny, byla spojena se zvýšenou úmrtností související s léčbou (14% a 5% ve dvou randomizovaných kontrolovaných studiích). U 176 pacientů léčených při 75 mg/m došlo k 2,8% úmrtí souvisejících s léčbou u 176 pacientů 2 dávka in the raomized trials. Among patients who experienced treatment-related mortality at the 75 mg/m 2 dávka level 3 of 5 patients had an ECOG PS of 2 at study entry [vidět Dávkování a podávání Klinické studie ].
Poškození jater
Pacienti se zvýšením bilirubinu nebo abnormalit transaminázy souběžně s alkalickou fosfatázou jsou vystaveny zvýšenému riziku rozvoje těžké neutropenie febrilní neutropenie infekcí závažné trombocytopenie těžká stomatitida těžká stomatitida a toxická smrtelná smrti.
Vyvarujte se daňové a u pacientů s bilirubinem> horní hranice normálního (ULN) nebo u pacientů s AST a/nebo alt> 1,5 × ULN souběžně s alkalickou fosfatázou> 2,5 × ULN [viz viz Toxická úmrtí ].
U pacientů s izolovaným zvýšením transaminázy> 1,5 × ULN Zvažte modifikace dávky daňové [viz [viz Dávkování a podávání ].
Měřte bilirubin ast nebo alt a alkalická fosfatáza před každým cyklem daňové terapie.
Hematologická Effects
Provádějte častý počet periferních krvinek na všech pacientů, kteří dostávají daň. Nepřestudujte pacienty s následnými cykly TaxoTere, dokud se neutrofily neobnoví na úroveň> 1500 buněk/mm 3 [vidět Kontraindikace ]. Vyvarujte se ustupujícího pacientů, dokud se destičky neobnoví na úroveň> 100 000 buněk/mm 3 .
Během následujících cyklů po těžké neutropenii se doporučuje 25% snížení dávky daňového <500 cells/mm 3 ) trvající 7 dnů nebo více febrilní neutropenie nebo infekce stupně 4 v cyklu daňového výkonu [viz viz Dávkování a podávání ].
Neutropenie ( <2000 neutrophils/mm 3 ) se vyskytuje prakticky u všech pacientů podřízených 60 mg/m 2 do 100 mg/m 2 neutropenie daňové a 4. třídy ( <500 cells/mm 3 ) se vyskytuje u 85% pacientů s 100 mg/m 2 a 75% pacientů dáno 60 mg/m 2 . Časté monitorování počtu krve je proto nezbytné, takže dávka může být upravena. Taxotere by neměl být podáván pacientům s neutrofily <1500 cells/mm 3 .
Febrilní neutropenie occurred in about 12% of patients given 100 mg/m 2 ale byl velmi neobvyklý u pacientů podřízených 60 mg/m 2 . Hematologické reakce febrilní reakce a infekce a míra septické smrti pro různé režimy souvisejí s dávkou [viz viz Nežádoucí účinky Klinické studie ].
Tři pacienti s rakovinou prsu se závažnou poškozením jater (bilirubin> 1,7krát ULN) se vyvinuli fatální gastrointestinální krvácení spojené s těžkou trombocytopenií vyvolanou lékem. U pacientů s rakovinou žaludku léčených docetaxelem v kombinaci s cisplatinou a fluorouracilem (TCF) febrilní neutropenií a/nebo neutropenickou infekcí došlo u 12% pacientů dostávajících G-CSF ve srovnání s 28%, kteří tak neučinili. Pacienti, kteří dostávají TCF, by měli být pečlivě sledováni během první a následné cykly pro febrilní neutropenii a neutropenickou infekci [viz viz Dávkování a podávání Nežádoucí účinky ].
Enterokolotida a neutropenická kolitida
Enterocolitis a neutropenická kolitida (Typhlitis) se vyskytly u pacientů léčených samotným Taxotere a v kombinaci s jinými chemoterapeutickými látkami navzdory souběžnému podávání G-CSF. U pacientů s neutropenií se doporučuje opatrnost, zejména s rizikem rozvoje gastrointestinálních komplikací. Enterocolitida a neutropenická enterokolotida se mohou kdykoli vyvinout a mohly by vést k smrti již v prvním dni nástupu symptomů. Sledujte pacienty pečlivě od nástupu jakýchkoli příznaků gastrointestinální toxicity. Informujte pacienty, aby kontaktovali svého poskytovatele zdravotní péče s novými nebo zhoršujícími se příznaky gastrointestinální toxicity [viz Dávkování a podávání Hematologická Effects Nežádoucí účinky ].
Reakce přecitlivělosti
Pečlivě sledujte pacienty, zda nejsou reakce na hypersenzitivitu, zejména během první a druhé infuze. U pacientů byly u pacientů předložených 3 dny kortikosteroidů hlášeny závažné hypersenzitivní reakce charakterizované generalizovanou hypotenzí vyrážky/erytém. Těžká hypersenzitivní reakce vyžadují okamžité přerušení infuze daňových a agresivní terapie. Neopravte se pacienty s anamnézou závažných hypersenzitivních reakcí s daňovou cestou [viz Kontraindikace ].
Pacienti, kteří dříve zažili hypersenzitivní reakci na paclitaxel, si mohou vyvinout hypersenzitivní reakci na docetaxel, která může zahrnovat závažné nebo fatální reakce, jako je anafylaxe. Během zahájení terapie dayotere monitorujte pacienty s předchozí anamnézou hypersenzitivity na paclitaxel. Reakce hypersenzitivity se mohou objevit během několika minut po zahájení infúze daňových. Pokud dojde k menšímu reakcím, jako je proplachování nebo lokalizované kožní reakce, není nutné přerušení terapie. Všichni pacienti by měli být před zahájením infúze daňového ústního kortikosteroidu předloženi ústním kortikosteroidem [viz viz Dávkování a podávání ].
Retence tekutin
Těžké fluid retention has been reported following Daňotere therapy. Patients should be premedicated with oral corticosteroids prior to each Daňotere administration to reduce the incidence a severity of fluid retention [vidět Dávkování a podávání ]. Patients with pre-existing effusions should be closely monitored from the first dávka for the possible exacerbation of the effusions.
Pokud dojde k retenci tekutin, periferní edém obvykle začíná na dolních končetinách a může se zobecnit se střední hmotností 2 kg.
U 92 pacientů s rakovinou prsu předběžně třídenní kortikosteroidy střední retence tekutin se objevila u 27,2% a těžká retence tekutin u 6,5%. Střední kumulativní dávka na nástup mírné nebo těžké retence tekutin byla 819 mg/m 2 . Devět z 92 pacientů (NULL,8%) pacientů ukončilo léčbu v důsledku retence tekutin: 4 pacienty ukončili těžkou retenci tekutin; Zbývajících 5 mělo mírnou nebo mírnou retenci tekutin. Střední kumulativní dávka na přerušení léčby v důsledku retence tekutin byla 1021 mg/m 2 . Retence tekutin byla zcela, ale někdy pomalu reverzibilní se mediánem 16 týdnů od poslední infuze Taxotere k řešení (rozmezí: 0 až 42 týdnů). Pacienti s vývojem periferního edému mohou být léčeni standardními opatřeními, např. Slisová restrikční orální diuretika.
Druhé primární malignity
U pacientů léčených režimům obsahujícím docetaxel byl hlášen druhá primární malignity, zejména akutní myeloidní leukémie (AML) myelodysplastický syndrom (MDS) non-Hodgkinův lymfom (NHL) a rakovina ledvin. K těmto nežádoucím účinkům se může objevit několik měsíců nebo let po terapii obsahující docetaxelu.
U pacientů vzhledem k antracyklinům a/nebo cyklofosfamidu, včetně použití v adjuvantní terapii pro rakovinu prsu, došlo u AML nebo MDS souvisejících s léčbou. V Adjuvantní studii rakoviny prsu (TAX316) se AML vyskytla u 3 ze 744 pacientů, kteří dostávali daňot doxorubicin a cyklofosfamid (TAC) a u 1 ze 736 pacientů, kteří dostávali fluorouracil doxorubicin a cyklofosfamid [viz viz [viz Klinické studie ]. In TAC-treated patients the risk of delayed myelodysplasia or myeloid leukemia requires hematological follow-up. Monitor patients for second primary malignancies [vidět Nežádoucí účinky ].
Kožní Reactions
Byl pozorován lokalizovaný erytém končetin s otokem následovaným deskvamací. V případě těžké toxicity kůže se doporučuje nastavení v dávkování [viz viz Dávkování a podávání ]. The discontinuation rate due to skin toxicity was 1,6% (15/965) for metastatic rakovina prsu patients. Among 92 rakovina prsu patients premedicated with 3-day corticosteroids there were no cases of severe skin toxicity reported a no patient discontinued Daňotere due to skin toxicity.
Těžké cutaneous adverse reactions (SCARs) such as Stevens-Johnson syndrome (SJS) toxic epidermal necrolysis (TEN) a acute generalized exanthematous pustulosis (AGEP) have been reported in association with docetaxel treatment. Patients should be informed about the signs a symptoms of serious skin manifestations a monitored closely. Permanent treatment discontinuation should be considered in patients who experience SCARs.
Neurologické reakce
Těžké neurosensory symptoms (e.g. paresthesia dysesthesia pain) were observed in 5,5% (53/965) of metastatic rakovina prsu patients a resulted in treatment discontinuation in 6.1%. When these symptoms occur dosage must be adjusted. If symptoms persist treatment should be discontinued [vidět Dávkování a podávání ]. Patients who experienced neurotoxicity in clinical trials a for whom follow-up information on the complete resolution of the event was available had spontaneous reversal of symptoms with a median of 9 weeks from onset (range: 0 to 106 weeks). Těžké peripheral motor neuropathy mainly manifested as distal extremity weakness occurred in 4.4% (42/965).
Poruchy očí
Cystoidní makulární edém (CME) byl hlášen u pacientů léčených Taxotere. Pacienti se zhoršeným zrakem by měli podstoupit rychlé a komplexní oftalmologické vyšetření. Pokud je CME diagnostikováno daňové ošetření, mělo by být ukončeno a zahájeno odpovídající léčbu. Měla by být zvážena alternativní léčba rakoviny ne taxanu.
Astenia
Těžké asthenia has been reported in 14.9% (144/965) of metastatic rakovina prsu patients but has led to treatment discontinuation in pouze 1.8%. Symptoms of fatigue a weakness may last a few days up to several weeks a may be associated with deterioration of performance status in patients with progressive disease.
Toxicita embryo-fetální
Na základě zjištění z reprodukčních studií zvířat a jeho mechanismu akčního daní může způsobit poškození plodu při podání těhotné ženě [Viz Klinická farmakologie ]. Available data from case reports in the literature a pharmacovigilance with docetaxel use in pregnant women are not sufficient to inform the drug-associated risk of major birth defects miscarriage or adverse maternal or fetal outcomes. In animal reproduction studies administration of docetaxel to pregnant rats a rabbits during the period of organogenesis caused embryo-fetal toxicities including intrauterine mortality at dávkas as low as 0.02 a 0.003 times the recommended human dávka based on body surface area respektive.
Poraďte se těhotným ženám a ženám reprodukčního potenciálu potenciálního rizika pro plod. Ověřte stav těhotenství u žen s reprodukčním potenciálem před zahájením daňového. Poraďte se ženám reprodukčního potenciálu používat účinnou antikoncepci během léčby a po dobu 6 měsíců po poslední dávce Taxotere. Poraďte se s pacienty s ženskými partnery reprodukčního potenciálu k použití účinné antikoncepce během léčby a po dobu 3 měsíců po poslední dávce daňového Použití v konkrétních populacích ].
Obsah alkoholu
Případy intoxikace byly hlášeny s některými formulacemi docetaxelu kvůli obsahu alkoholu. Obsah alkoholu v dávce injekci daňového moci může ovlivnit centrální nervový systém a měl by být zohledněn pro pacienty, u nichž by se měl zabránit nebo minimalizovat příjem alkoholu. Mělo by být zváženo obsahu alkoholu při injekci daňové s schopností řídit nebo používat stroje ihned po infuzi. Každá podávání injekce daňové injekce při 100 mg/m 2 Poskytuje 2,0 g/m 2 ethanolu. Pro pacienta s BSA 2,0 m 2 To by přineslo 4,0 gramů ethanolu [viz POPIS ]. Other docetaxel products may have a different amount of alcohol.
Syndrom nádorové lýzy
S docetaxelem byl hlášen syndrom lýzy nádoru [viz Nežádoucí účinky ]. Patients at risk of tumor lysis syndrome (e.g. with renal impairment hyperuricemia bulky tumor) should be closely monitored prior to initiating Daňotere a periodically during treatment. Correction of dehydration a treatment of high uric acid levels are recommended prior to initiation of treatment.
Informace o poradenství pro pacienta
Doporučujte pacientovi, aby si přečetl značení pacienta schváleného FDA ( Informace o pacientu ).
Potlačení kostní dřeně
Poraďte pacientům, že bude provedeno periodické posouzení jejich krevního počtu k detekci trombocytopenie a/ nebo anémie neutropenie [viz viz Kontraindikace VAROVÁNÍS ANd OPATŘENÍ ]. Instruct patients to monitor their temperature frequently a immediately report any occurrence of fever.
Enterokolotida a neutropenická kolitida
Poraďte pacientům s příznaky kolitidy, jako je bolest břicha nebo něha a/nebo průjem s horečkou nebo bez něj, a dávejte pacientům, aby okamžitě kontaktovali svého poskytovatele zdravotní péče, pokud zažívají tyto příznaky [viz viz Dávkování a podávání a VAROVÁNÍS ANd OPATŘENÍ ].
Reakce přecitlivělosti
Zeptejte se pacientů, zda již dříve dostali terapii paclitaxelu a zda zažili reakci přecitlivělosti na paclitaxel. Poskytněte pacientům, aby okamžitě podávali své známky poskytovatele poskytovatele zdravotní péče o hypersenzitivní reakci [viz Kontraindikace VAROVÁNÍS ANd OPATŘENÍ ].
Retence tekutin
Poraďte pacientům, aby nahlásili známky retence tekutin, jako je periferní edém na dolních končetinách, přírůstek hmotnosti a dušnosti okamžitě svému poskytovateli zdravotní péče [viz viz VAROVÁNÍS ANd OPATŘENÍ ].
Druhé primární malignity
Poraďte pacientům o riziku druhé primární malignity během léčby daňovým VAROVÁNÍS ANd OPATŘENÍ ].
Kožní Reactions
Poraďte se s pacienty, že může dojít k lokalizovanému erytému končetin a těžkých toxicitu kůže. Pokyn pacientům, aby okamžitě nahlásili závažné kožní reakce na poskytovatele zdravotní péče [viz Dávkování a podávání a VAROVÁNÍS ANd OPATŘENÍ ].
Neurologické reakce
Poraďte se pacientům, že se mohou vyskytnout neurosenzorické příznaky nebo periferní neuropatie. Pokyn pacientům, aby okamžitě nahlásili neurologické reakce na poskytovatele zdravotní péče [viz Dávkování a podávání a VAROVÁNÍS ANd OPATŘENÍ ].
Poruchy očí
Poraďte pacientům, že poruchy vidění a nadměrné roztržení jsou spojeny s správou daní. Poskytněte pacientům, aby okamžitě nahlásili jakékoli změny vize u svého poskytovatele zdravotní péče [viz VAROVÁNÍS ANd OPATŘENÍ ].
Gastrointestinal Reactions
Vysvětlete pacientům, že nevolnost zvracení průjmu a zácpa jsou spojeny s správou daní. Poskytněte pacientům, aby svým poskytovateli zdravotní péče nahlásili jakékoli závažné události [viz Nežádoucí účinky ].
Srdeční poruchy
Poraďte pacientům, aby nahlásili jakoukoli nepravidelnou a/nebo rychlou srdeční rytmu těžká dušnost závratě a/nebo mdloby svému poskytovateli zdravotní péče [viz viz Nežádoucí účinky ].
Další běžné nežádoucí účinky
Radí pacientům, že další běžné nežádoucí účinky spojené s daňovou prací mohou zahrnovat alopecii (byly hlášeny případy trvalé vypadávání vlasů) Astenia anorexie dysgeusia mucositis myalgia nehty nebo bolest. Poskytněte pacientům, aby nahlásili tyto reakce na poskytovatele zdravotní péče, pokud se objeví vážné události [viz viz Nežádoucí účinky ].
Důležitost kortikosteroidů
Vysvětlete význam perorálních kortikosteroidů, jako je podávání dexamethasonu pro pacienta, aby se usnadnilo dodržování předpisů. Poskytněte pacientům, aby se podávali svému poskytovateli zdravotní péče, pokud nebyli v souladu s ústním kortikosteroidním režimem [viz viz Dávkování a podávání ].
Toxicita embryo-fetální
Daňotere can cause fetal harm. Advise patients to inform their healthcare provider of a known or suspected pregnancy. Advise patients to avoid becoming pregnant while receiving this drug. Advise female patients of reproductive potential to use effective contraceptives during treatment a for 6 months after the last dávka of Daňotere. Advise male patients with female partners of reproductive potential to use effective contraception during treatment a for 3 months after the last dávka of Daňotere [vidět VAROVÁNÍS ANd OPATŘENÍ a Použití v konkrétních populacích ].
Laktace
Doporučujte ženám, aby nedošlo k kojení během léčby daňové a po dobu 1 týdne po poslední dávce [viz Použití v konkrétních populacích ].
Neplodnost
Radí mužům reprodukčního potenciálu, aby Taxotere mohla narušit plodnost [viz Neklinická toxikologie ].
Obsah alkoholu In Daňotere
Vysvětlete pacientům možné účinky obsahu alkoholu v Taxotere, včetně možných účinků na centrální nervový systém [viz VAROVÁNÍS ANd OPATŘENÍ ].
Syndrom nádorové lýzy
Poraďte pacientům o potenciálním riziku syndromu lýzy nádorové a okamžitě nahlásit jakékoli příznaky nebo příznaky spojené s touto událostí (zvracení zvracení zvracení zvracení nepravidelného srdečního rytmu tmavé nebo zakalené moči Snížené množství křečí moči). Poraďte se pacientům o důležitosti vedení plánovaného jmenování na krevní práci nebo jiné laboratorní testy a pití odpovídajících tekutin, aby se zabránilo dehydrataci. [vidět VAROVÁNÍS ANd OPATŘENÍ ].
Schopnost řídit nebo provozovat stroje
Vysvětlete pacientům, že Taxotere může narušit jejich schopnost řídit nebo provozovat stroje díky svým vedlejším účinkům [viz Nežádoucí účinky ] nebo kvůli obsahu alkoholu v Taxotere [viz VAROVÁNÍS ANd OPATŘENÍ ]. Advise them not to drive or use machines if they experience these side effects during treatment.
Lékové interakce
Informujte pacienty o riziku lékových interakcí a důležitosti poskytování seznamu léků na předpis a předběžného předpisu svému poskytovateli zdravotní péče [Viz viz Lékové interakce ].
Neklinická toxikologie
Zhodnocení mutageneze karcinogeneze plodnosti
Studie karcinogenity s docetaxelem nebyly provedeny.
Docetaxel byl klastogenní v in vitro Test chromozomů aberace v CHO-K 1 buňky a v nadarmo Microlukleus test u myší podávaných dávek 0,39 až 1,56 mg/kg (asi 1/60 th do 1/15 th the recommended human dávka na mg/m 2 základ). Docetaxel nebyl mutagenní v testu Ames nebo v testech genu CHO/HGPRT.
Docetaxel nesnížil plodnost u potkanů, když byl podáván ve více intravenózních dávkách až 0,3 mg/kg (asi 1/50 th the recommended human dávka na mg/m 2 Základ), ale byly hlášeny snížené hmotnosti varlat. To koreluje s nálezy studie toxicity 10-cyklové (dávkování jednou za 21 dní po dobu 6 měsíců) u potkanů a psů, u nichž byla pozorována atrofie nebo degenerace v intravenózních dávkách 5 mg/kg u potkanů a 0,375 mg/kg u psů (asi 1/3 Rd a 1/15 th the recommended human dávka na mg/m 2 základ). Zvýšená frekvence dávkování u potkanů způsobila podobné účinky při nižších hladinách dávky.
Použití v konkrétních populacích
Těhotenství
Shrnutí rizika
Na základě zjištění ve studiích reprodukce zvířat a jeho mechanismu akční daňové moci mohou způsobit poškození plodu při podání těhotné ženě [viz Klinická farmakologie ]. Available data from case reports in the literature a pharmacovigilance with docetaxel use in pregnant women are not sufficient to inform the drug-associated risk of major birth defects miscarriage or adverse maternal or fetal outcomes. Daňotere contains alcohol which can interfere with neurobehavioral development [vidět Klinické úvahy ]. In animal reproductive studies administration of docetaxel to pregnant rats a rabbits during the period of organogenesis caused an increased incidence of embryo-fetal toxicities including intrauterine mortality at dávkas as low as 0.02 a 0.003 times the recommended human dávka based on body surface area respectively [vidět Data ]. Advise pregnant women a females of reproductive potential of the potential risk to a fetus.
Odhadované riziko pozadí hlavních vrozených vad a potratu pro uvedené populace není známo. Všechna těhotenství mají na pozadí riziko potratu v narození nebo jiných nepříznivých výsledků. V americké obecné populaci je odhadované riziko na pozadí velkých vrozených vad a potratu u klinicky uznávaných těhotenství 2% až 4% a 15% až 20%.
Klinické úvahy
Daňotere contains alcohol [vidět VAROVÁNÍS ANd OPATŘENÍ ]. Published studies have demonstrated that alcohol is associated with fetal harm including central nervous system abnormalities behavioral disoRders a impaired intellectual development.
Data
Údaje o zvířatech
Intravenózní podávání ≥ 0,3 a 0,03 mg/kg/den docetaxelu těhotným potkanům a králíkům v období organogeneze způsobilo zvýšený výskyt intrauterinní úmrtnosti resorty snížil hmotnosti plodu a osifikace plodu. V těchto dávkách byla také pozorována toxicita matky, které byly přibližně 0,02 a 0,003krát denní maximální doporučenou dávku lidské povrchu na základě povrchu těla.
Laktace
Shrnutí rizika
Neexistují žádné informace týkající se přítomnosti docetaxelu v lidském mléce nebo jeho účincích na produkci mléka nebo kojeným dítětem. Nebyly provedeny žádné studie laktace u zvířat. Vzhledem k potenciálu závažných nežádoucích účinků u kojeného dítěte radí ženám, aby ne košili během léčby daňovým a po dobu 1 týdne po poslední dávce.
Ženy a muži reprodukčního potenciálu
Těhotenství Testing
Ověřte stav těhotenství u žen s reprodukčním potenciálem před zahájením daňového.
Antikoncepce
Ženy
Daňotere can cause fetal harm when administered to a pregnant woman [vidět Těhotenství ]. Advise females of reproductive potential to use effective contraception during treatment a for 6 months after the last dávka of Daňotere.
Muži
Na základě nálezů genetické toxicity radí pacientům s ženskými partnery reprodukčního potenciálu k používání účinné antikoncepce během léčby a po dobu 3 měsíců po poslední dávce daňového.
Neplodnost
Na základě zjištění ve studiích na zvířatech může daňatere narušit plodnost u mužů reprodukčního potenciálu [viz Neklinická toxikologie ].
Dětské použití
Obsah alkoholu v injekci Taxotere by měl být zohledněn při podávání pediatrických pacientů [viz viz VAROVÁNÍS ANd OPATŘENÍ ].
Účinnost daňového programu u pediatrických pacientů jako monoterapie nebo v kombinaci nebyla stanovena. Celkový bezpečnostní profil Taxotere u pediatrických pacientů, kteří dostávali monoterapii nebo TCF, byl v souladu se známým bezpečnostním profilem u dospělých.
Daňotere has been studied in a total of 289 pediatric patients: 239 in 2 trials with monotherapy a 50 in combination treatment with cisplatin a 5-fluorouracil (TCF).
Daňotere Monotherapy
Daňotere monotherapy was evaluated in a dávka-finding phase 1 trial in 61 pediatric patients (median age 12.5 years range 1-22 years) with a variety of refractory solid tumors. The recommended dávka was 125 mg/m 2 Jako 1 hodinu intravenózní infuze každých 21 dní. Toxicitou omezující primární dávku byla neutropenie.
Doporučená dávka pro monoterapii Taxotere byla hodnocena ve studii s jedním ramenem ve fázi 2 u 178 pediatrických pacientů (střední věk 12 let v rozmezí 1-26 let) s řadou opakujících se/refrakterních pevných nádorů. Účinnost nebyla stanovena s mírou odezvy nádoru v rozsahu od jedné úplné odpovědi (CR) (NULL,6%) u pacienta s nediferencovaným sarkomem až po čtyři parciální odpovědi (NULL,2%) pozorované u jednoho pacienta s ewing sarkomský neuroblastom osteosarkom a karcinom buněk.
Daňotere In Combination
Daňotere was studied in combination with cisplatin a 5-fluorouracil (TCF) versus cisplatin a 5-fluorouracil (Cf) for the induction treatment of nasopharyngeal carcinoma (NPC) in pediatric patients prior to chemoradiation consolidation. Seventy-five patients (median age 16 years range 9 to 21 years) were raomized (2:1) to Daňotere (75 mg/m 2 ) v kombinaci s cisplatinou (75 mg/m 2 ) a 5-fluorouracil (750 mg/m 2 ) (TCF) nebo na cisplatinu (80 mg/m 2 ) a 5-fluorouracil (1000 mg/m 2 /den) (CF). Primárním koncovým bodem byla míra CR po indukční léčbě NPC. Jeden pacient z 50 ve skupině TCF (2%) měl úplnou odpověď, zatímco žádný z 25 pacientů ve skupině CF neměl úplnou odpověď.
Farmakokinetika
Farmakokinetické parametry pro docetaxel byly stanoveny ve 2 pediatrických pevných nádorových studiích. Po podání docetaxelu při 55 mg/m 2 do 235 mg/m 2 V 1 hodinové intravenózní infuzi každé 3 týdny u 25 pacientů ve věku 1 až 20 let (medián 11 let) byla docetaxelová vůle 17,3 ± 10,9 l/h/m 2 .
Docetaxel byl podáván v kombinaci s cisplatinou a 5-fluorouracil (TCF) při hladinách dávky 75 mg/m m 2 Za 1 hodinu intravenózní infuzní den 1 z 28 pacientů ve věku 10 až 21 let (medián 16 let 17 pacientů bylo starších než 16). Odběr docetaxelu byla 17,9 ± 8,75 l/h/m 2 odpovídající AUC 4,20 ± 2,57 μg • H/ml.
Stručně řečeno, plocha povrchu těla upravená clearance monoterapie docetaxelu a kombinace TCF u dětí byla srovnatelná s těmi u dospělých [viz viz Klinická farmakologie ].
Geriatrické použití
Obecně by měl být výběr dávky pro staršího pacienta opatrný odrážet větší frekvenci snížené renální nebo srdeční funkce jater a souběžné onemocnění nebo jiné léčivé terapie u starších pacientů.
Rakovina plic nemasových buněk
Ve studii prováděné u pacientů s chemoterapií-neive s NSCLC (TAX326) 148 pacientů (36%) ve skupině daňových cisplatinů bylo 65 let nebo vyšší. Ve vinorelbinové cisplatinové skupině 65 let bylo 128 pacientů (32%) ve věku vinorelbinu. Ve skupině s cisplatinou daňového cisplatiny měli pacienty mladší 65 let střední přežití 10,3 měsíce (95% CI: 9,1 měsíce 11,8 měsíce) a pacienti 65 let a starší měli střední přežití 12,1 měsíce (95% CI: 9,3 měsíce 14 měsíců). U pacientů ve věku 65 let nebo větších léčených průjmem cisplatiny (55%) periferního edému (39%) a stomatitidy (28%) byl častěji než ve skupině vinorelbinového cisplatiny (skupina 24%peripherálního edemu 20%20%). Pacienti léčeni cisplatinou datoteru, kteří byli ve věku 65 let nebo vyšší, častěji zažili průjem (55%) infekce (42%) periferní edém (39%) a stomatitidou (28%) ve srovnání s pacienty menší než 65 let (43% 31% 31% a 21%).
Když byl daňový kombinován s karboplatinou pro léčbu chemoterapie-naive pokročilých pacientů s plicními karcinomem, který je ve věku 65 let nebo vyšší (28%), zažili vyšší frekvenci infekce ve srovnání s podobnými pacienty léčenými cisplatinou a vyšší frekvencí průrrhea infekce a periferní infekce a periferní edémem.
Rakovina prostaty
Z 333 pacientů léčených s daňoty každé tři týdny plus prednison ve studii rakoviny prostaty (TAX327) 209 pacientů bylo 65 let nebo větší a 68 pacientů bylo starších než 75 let. U pacientů léčených s daňoty každé tři týdny došlo k následujícím léčebným nepříznivým účinkům při rychlosti ≥ 10% vyšší u pacientů ve věku 65 let nebo vyšší ve srovnání s mladšími pacienty: anémie (71% vs. 59%) infekce (37% vs. 24%) změny nehtů (34% vs. 23%) anorexie (21% vs 10%).
Rakovina prsu
V Adjuvantní zkoušce rakoviny prsu (TAX316) byla daňová daň v kombinaci s doxorubicinem a cyklofosfamidem podána 744 pacientům, z nichž 48 (6%) bylo 65 let nebo vyšší. Počet starších pacientů, kteří dostali tento režim, nestačil k určení, zda existují rozdíly v bezpečnosti a účinnosti mezi staršími a mladšími pacienty.
Rakovina žaludku
Z V této studii nebyl počet pacientů ve věku 65 let a starší nedostatečný k určení, zda reagují odlišně od mladších pacientů. Výskyt závažných nežádoucích účinků však byl vyšší u starších pacientů ve srovnání s mladšími pacienty. Incidence následujících nežádoucích účinků (všechna stupně bez ohledu na vztah): Letargie stomatitidy Průjemní závratě Edém febrilní neutropenie/neutropenická infekce se vyskytla rychlostí ≥ 10% vyšší u pacientů, kteří byli ve věku 65 let nebo starší ve srovnání s mladšími pacienty. Starší pacienti léčeni TCF by měli být pečlivě sledováni.
Rakovina hlavy a krku
Mezi 174 a 251 pacienty, kteří byli podstoupili indukční léčbu s daňovou prací v kombinaci s cisplatinou a fluorouracilem (TPF) pro SCCHN ve studiích daně323 a daně324, 18 (10%) a 32 (13%) pacientů bylo 65 let nebo starší.
Tyto klinické studie Taxotere v kombinaci s cisplatinou a fluorouracilem u pacientů s SCCHN nezahrnovaly dostatečný počet pacientů ve věku 65 let a více, aby se určilo, zda reagují odlišně od mladších pacientů. Jiné hlášené klinické zkušenosti s tímto režimem léčby neidentifikovaly rozdíly v odpovědích mezi staršími a mladšími pacienty.
Poškození jater
Vyvarujte se daňoty u pacientů s bilirubinem> ULN a pacienti s AST a/nebo alt> 1,5 × Uln souběžně s alkalickou fosfatázou> 2,5 × Uln [viz viz Varování v krabici VAROVÁNÍS ANd OPATŘENÍ Klinická farmakologie ].
Obsah alkoholu v injekci Taxotere by měl být zohledněn při podávání pacientů s poškozením jater [viz VAROVÁNÍS ANd OPATŘENÍ ].
Informace o předávkování pro daňoty
Neexistuje žádný známý protijed pro předávkování daní. V případě předávkování by měl být pacient uchováván ve specializované jednotce, kde lze pečlivě sledovat životně důležité funkce. Očekávané komplikace nadměrné vyděšení zahrnují: periferní neurotoxicita a mukozitida potlačení kostní dřeně. Pacienti by měli dostávat terapeutický G-CSF co nejdříve po objevení předávkování. Podle potřeby by měla být přijata další vhodná symptomatická opatření.
Ve dvou zprávách o předávkování jeden pacient obdržel 150 mg/m 2 a the other received 200 mg/m 2 jako 1 hodinové infuze. Oba pacienti zažili vážné kožní reakce a mírnou parestezii a mírnou parestezii a zotavili se bez incidentu.
U myší byla pozorována letalita po jednotlivých intravenózních dávkách, které byly ≥154 mg/kg (asi 4,5násobek lidské dávky 100 mg/m mg/m 2 na mg/m 2 základ); U myší byla pozorována neurotoxicita spojená s ochrnutím netvoření zadních končetin a degenerace myelinu při 48 mg/kg (asi 1,5násobek lidské dávky 100 mg/mg/mg 2 základ). U samců a ženských potkanů byla letalita pozorována v dávce 20 mg/kg (srovnatelná s lidskou dávkou 100 mg/m 2 na mg/m 2 základ) a byl spojen s abnormální mitózou a nekrózou několika orgánů.
Kontraindikace pro dayotere
Daňotere is contraindicated in patients with:
maxitrolské oční kapky pro růžové oko
- Počty neutrofilů <1500 cells/mm 3 [vidět VAROVÁNÍS ANd OPATŘENÍ ].
- K anamnéze těžkých hypersenzitivních reakcí na docetaxel nebo na jiné léky formulované s polysorbátem 80. Došlo k závažným reakcím včetně anafylaxe [viz viz VAROVÁNÍS ANd OPATŘENÍ ].
Klinická farmakologie for Taxotere
Mechanismus působení
Docetaxel je antineoplastické činidlo, které působí narušením mikrotubulární sítě v buňkách, která je nezbytná pro mitotické a mezifázové buněčné funkce. Docetaxel se váže na volný tubulin a podporuje sestavení tubulinu do stabilních mikrotubulů a současně inhibuje jejich demontáž. To vede k produkci mikrotubulových svazků bez normální funkce a ke stabilizaci mikrotubulů, což má za následek inhibici mitózy v buňkách. Vazba docetaxelu na mikrotubuly nemění počet protofilamentů v vázaných mikrotubulech A, který se liší od většiny vřetenových jedy, které jsou v současné době v klinickém použití.
Farmakokinetika
Vstřebávání
Farmakokinetika docetaxelu byla hodnocena u pacientů s rakovinou po podání 20 mg/m 2 do 115 mg/m 2 Ve studiích fáze 1. Oblast pod křivkou (AUC) byla poměrná dávka po dávkách 70 mg/m 2 do 115 mg/m 2 s dobami infuze 1 až 2 hodiny. Farmakokinetický profil Docetaxelu je konzistentní s farmakokinetickým modelem s třemi kompartment s poločasem pro fáze a β a y 4 minuty 36 minut a 11,1 h. Průměrná celková vůle těla byla 21 l/h/m 2 .
Rozdělení
Počáteční rychlý pokles představuje distribuci do periferních kompartmentů a pozdní (terminální) fáze je částečně způsobena relativně pomalým odtokem docetaxelu z periferního kompartmentu. Průměrný distribuční objem ustáleného stavu byl 113 L. In vitro Studie ukázaly, že docetaxel je asi 94% vázán hlavně na α 1 -Acid glykoprotein albumin a lipoproteiny. U tří pacientů s rakovinou in vitro Bylo zjištěno, že vazba na plazmatické proteiny je přibližně 97%. Dexamethason neovlivňuje vazbu proteinu docetaxelu.
Metabolismus
In vitro Studie interakce léčiva odhalily, že docetaxel je metabolizován isoenzymem CYP3A4 a jeho metabolismus může být modifikován souběžným podáváním sloučenin, které indukují inhibitu nebo jsou metabolizovány cytochromem P450 3A4 [viz viz Lékové interakce ].
Odstranění
Studie 14 C-docetaxel byl prováděn u tří pacientů s rakovinou. Docetaxel byl vyloučen jak v moči i stolici po oxidačním metabolismu terc -Butylester skupina, ale fekální vylučování byla hlavní eliminační trasa. Do 7 dnů představovalo přibližně 6% a 75% podané radioaktivity. Asi 80% radioaktivity získané ve stolici se vylučuje během prvních 48 hodin jako 1 hlavní a 3 menší metabolity s velmi malými množstvími (méně než 8%) nezměněného léčiva.
Konkrétní populace
Účinek věku
Populační farmakokinetická analýza byla provedena po léčbě 535 pacientů s dávkováním 100 mg/m 2 . Farmakokinetické parametry odhadované touto analýzou byly velmi blízké těm odhadovaným ze studií fáze 1. Farmakokinetika docetaxelu nebyla ovlivněna věkem.
Účinek pohlaví
Analýza populace farmakokinetiky popsaná výše také naznačila, že pohlaví neovlivnilo farmakokinetiku docetaxelu.
Poškození jater
Populační farmakokinetická analýza popsaná výše ukázala, že u pacientů s údaji o klinické chemii naznačující mírné až střední poškození jater (AST a/nebo ALT> 1,5krát doprovázející s alkalickou fosfatázou> 2,5krát ULN) byla celková clearance těla snížena o 38% systémové expozice (AUC). Tento průměr však zahrnuje podstatný rozsah a v současné době neexistuje žádné měření, které by u těchto pacientů umožnilo doporučení pro úpravu dávky. Pacienti s kombinovanými abnormalitami transaminázy a alkalické fosfatázy by neměli být léčeni daňovým. Pacienti s těžkým poškozením jater nebyli studováni [viz VAROVÁNÍS ANd OPATŘENÍ Použití v konkrétních populacích ].
Účinek rasy
Průměrná clearance těla pro japonské pacienty dávkované v rozmezí 10 mg/m 2 do 90 mg/m 2 byl podobný jako u evropských/amerických populací dávkovaných při 100 mg/m 2 nenaznačuje žádný významný rozdíl v eliminaci docetaxelu ve dvou populacích.
Studie interakce léčiva
Účinek ketokonazolu
Účinek ketokonazolu (silný inhibitor CYP3A4) na farmakokinetiku docetaxelu byl zkoumán u 7 pacientů s rakovinou. Pacienti byli randomizováni, aby dostali docetaxel (100 mg/m 2 intravenózní) samotný nebo docetaxel (10 mg/m 2 intravenózní) v kombinaci s ketoconazolem (200 mg orálně jednou denně po dobu 3 dnů) v konstrukci crossover s 3týdenním obdobím vymývání. Výsledky této studie ukázaly, že průměrná dávka normalizovaná AUC docetaxelu byla zvýšena 2,2krát a jeho vůle byla snížena o 49%, když byl docetaxel podváděn ketokonazolem [viz viz Dávkování a podávání Lékové interakce ].
Vliv kombinovaných terapií
- Dexamethason: Celková clearance těla docetaxelu nebyla modifikována předběžnou léčbou dexamethasonem.
- Cisplatina: Clearance docetaxelu v kombinované terapii s cisplatinou byla podobná vůči dříve pozorované po monoterapii s docetaxelem. Farmakokinetický profil cisplatiny v kombinované terapii s docetaxelem byl podobný profilu pozorovanému u samotného cisplatiny.
- Cisplatina a fluorouracil: Kombinované podávání docetaxelového cisplatiny a fluorouracilu u 12 pacientů se solidními nádory nemělo žádný vliv na farmakokinetiku každého jednotlivého léčiva.
- Prednison: Populační farmakokinetická analýza údajů o plazmě od 40 pacientů s rakovinou prostaty rezistentní na kastraci naznačovalo, že systémová clearance docetaxelu v kombinaci s prednisonem je podobná jako po podání samotného podávání docetaxelu.
- Cyklofosfamid a doxorubicin: Studie byla provedena u 30 pacientů s pokročilým karcinomem prsu, aby se stanovil potenciál pro interakce léčiva mezi docetaxelem (75 mg/m 2 ) doxorubicin (50 mg/m 2 ) a cyklofosfamid (500 mg/m 2 ) při podání v kombinaci. Souběžné podávání docetaxelu nemělo žádný účinek na farmakokinetiku doxorubicinu a cyklofosfamidu, když byla tato tři léčiva podávána v kombinaci ve srovnání s souběžnou podáváním doxorubicinu a cyklofosfamidu. Kromě toho doxorubicin a cyklofosfamid neměly žádný účinek na clearance docetaxelu v plazmě, když byly tyto tři léky podávány v kombinaci ve srovnání s historickými údaji pro monoterapii docetaxelu.
Klinické studie
Lokálně pokročilý nebo metastatický rakovina prsu
Účinnost a bezpečnost datoteru byla hodnocena u lokálně pokročilého nebo metastatického karcinomu prsu po selhání předchozí chemoterapie (režimy obsahující alkylační činidlo nebo režimy obsahující antracyklin).
Randomizované studie
U jednoho randomizovaného studie byli pacienti s anamnézou předchozí léčby režimem anthracyclinecontusing přiděleni k léčbě daňovým (100 mg/m mg (100 mg/m 2 každý 3 weeks) or the combination of mitomycin (12 mg/m 2 každý 6 weeks) a vinblastine (6 mg/m 2 každý 3 weeks). Two hundred three patients were raomized to Daňotere a 189 to the comparator arm. Most patients had received prior chemoterapie for metastatic disease; pouze 27 patients on the Daňotere arm a 33 patients on the comparator arm entered the study following relapse after adjuvant therapy. Three-quarters of patients had measurable visceral metastases. The primary endpoint was time to progression. The following table summarizes the study results. (Vidět Table 12.)
Tabulka 12: Účinnost daňového prostoru při léčbě pacientů s rakovinou prsu dříve léčených režimem obsahujícím antracyklin (analýza záměru léčby)
| Parametr účinnosti | Docetaxel (n = 203) | Mitomycin/ Vinblastine (n = 189) | P-hodnota |
| Střední přežití | 11,4 měsíce | 8,7 měsíce | P = 0,01 Log pozice |
| Poměr rizika* úmrtnost (Docetaxel: Control) | 0.73 | ||
| 95% CI (poměr rizika) | 0,58-0,93 | ||
| Střední čas do Postup | 4,3 měsíce | 2,5 měsíce | P = 0,01 Log pozice |
| Poměr rizika* Progrese (Docetaxel: Control) | 0.75 | ||
| 95% CI (poměr rizika) | 0,61-0,94 | ||
| Celková míra odezvy | 28,1% | 9,5% | p <0.0001 |
| Úplná míra odezvy | 3,4% | 1,6% | Kdo se vrhá |
| *Pro poměr rizika hodnota menší než 1,00 laskavosti docetaxel. |
U druhé randomizované studie byli pacienti dříve léčeni režimem obsahujícím alkylaci k léčbě daňovým výkonem (100 mg/m 2 ) nebo doxorubicin (75 mg/m 2 ) každé 3 týdny. Sto šedesát jedna pacientů bylo randomizováno na dayotere a 165 pacientů na doxorubicin. Přibližně polovina pacientů dostala předchozí chemoterapii pro metastatické onemocnění a polovina vstoupila do studie po relapsu po adjuvantní terapii. Tři čtvrtiny pacientů měly měřitelné viscerální metastázy. Primárním koncovým bodem byl čas na progresi. Výsledky studie jsou shrnuty níže. (Viz tabulka 13.)
Tabulka 13: Účinnost daňového prostoru při léčbě pacientů s rakovinou prsu, která byla dříve léčena alkylačním režimem (analýza záměru léčit)
| Parametr účinnosti | Docetaxel (n = 161) | Doxorubicin (n = 165) | P-hodnota |
| Střední přežití | 14,7 měsíců | 14,3 měsíce | P = 0,39 Log pozice |
| Poměr rizika* úmrtnost (Docetaxel: Control) | 0.89 | ||
| 95% CI (poměr rizika) | 0,68-1,16 | ||
| Střední čas do Postup | 6,5 měsíce | 5,3 měsíce | P = 0,45 Log pozice |
| Poměr rizika* Progrese (Docetaxel: Control) | 0.93 | ||
| 95% CI (poměr rizika) | 0,71-1.16 | ||
| Celková míra odezvy | 45,3% | 29,7% | P = 0,004 Kdo se vrhá |
| Úplná míra odezvy | 6,8% | 4,2% | |
| *Pro poměr rizika hodnota menší než 1,00 laskavosti docetaxel. |
In another multicenter open-label randomized trial (TAX313) in the treatment of patients with advanced breast cancer who progressed or relapsed after one prior chemotherapy regimen 527 patients were randomized to receive TAXOTERE monotherapy 60 mg/m 2 (n = 151) 75 mg/m 2 (n = 188) nebo 100 mg/m 2 (n = 188). V této studii mělo 94% pacientů metastatické onemocnění a 79% dostalo předchozí antracyklinovou terapii. Míra odezvy byla primárním koncovým bodem. Míra odezvy se zvýšila s dávkou Taxotere: 19,9% pro 60 mg/m 2 Skupina ve srovnání s 22,3% pro 75 mg/m 2 a 29.8% for the 100 mg/m 2 skupina; Páro-moudré srovnání mezi 60 mg/m 2 a 100 mg/m 2 Skupiny byly statisticky významné (p = 0,037).
Studie jednotlivých paží
Daňotere at a dávka of 100 mg/m 2 byl studován v šesti studiích jednotlivých paží zahrnujících celkem 309 pacientů s metastatickým karcinomem prsu, u nichž předchozí chemoterapie selhala. Z těchto 190 pacientů měl rakovinu prsu rezistentní na antracyklin definovanou jako progresi během chemoterapeutického režimu obsahujícího antracyklin pro metastatické onemocnění nebo relaps během adjuvantního režimu obsahujícího antracyklin. U pacientů rezistentních na antracyklin byla celková míra odezvy 37,9% (72/190; 95% CI: 31,0-44,8) a úplná míra odezvy byla 2,1%.
Daňotere was also studied in three single arm Japanese studies at a dávka of 60 mg/m 2 U 174 pacientů, kteří dostali předchozí chemoterapii pro lokálně pokročilý nebo metastatický karcinom prsu. Mezi 26 pacienty, jejichž nejlepší reakcí na antracyklin byla progrese, byla míra odezvy 34,6% (95% CI: 17,2-55,7) podobné míře odezvy ve studiích jednoho ramene 100 mg/m 2 .
Adjuvantní léčba rakoviny prsu
Multicentrická otevřená randomizovaná studie (TAX316) vyhodnotila účinnost a bezpečnost daňového toku pro adjuvantní léčbu pacientů s axilárním karcinomem prsu pozitivního na axilární uzel a žádný důkaz vzdáleného metastatického onemocnění. Po stratifikaci podle počtu pozitivních lymfatických uzlin (1-3 4) 1491 pacientů bylo randomizováno, aby obdrželi buď daňový 75 mg/m 2 Podaná 1 hodinu po doxorubicinu 50 mg/m 2 a cyklofosfamid 500 mg/m 2 (TAC ARM) nebo doxorubicin 50 mg/m 2 následuje fluorouracil 500 mg/m 2 a cyklofosfamid 500 mg/m 2 (FAC ARM). Oba režimy byly podávány každé 3 týdny po dobu 6 cyklů. Taxotere byla podávána jako 1hodinová infuze; Všechna ostatní léčiva byla podávána jako intravenózní bolus v den 1. dne. V obou ramenech po posledním cyklu pacientů s chemoterapií s pozitivním estrogenem a/nebo progesteronovými receptory dostávaly tamoxifen 20 mg denně až 5 let. Adjuvantní radiační terapie byla předepsána podle pokynů zavedených v zúčastněných institucích a byla dána 69% pacientů, kteří dostali TAC, a 72% pacientů, kteří dostali FAC.
Výsledky druhé prozatímní analýzy (střední sledování 55 měsíců) jsou následující
Ve studii daně316 vykazoval kombinovaný režim TAC obsahující docetaxel výrazně delší přežití bez onemocnění (DFS) než FAC (poměr rizika = 0,74; 2-bohoslužný 95% CI = 0,60 0,92 stratifikované log pořadí P = 0,0047). Přežití primárního koncového bodu bez onemocnění zahrnovalo místní a vzdálené recidivy kontralaterální rakovina prsu a úmrtí z jakékoli věci. Celkové snížení rizika relapsu bylo 25,7% u pacientů ošetřených TAC. (Viz obrázek 1.)
V době této dočasné analýzy založené na 219 úmrtích bylo celkové přežití pro TAC delší než FAC (poměr rizika = 0,69 2-bohoslužby 95% CI = 0,53 0,90). (Viz obrázek 2.) V době, kdy údaje o přežití budou dozrávají další analýza.
Obrázek 1: TABA316 Křivka přežití bez nemocí K-M K-M
|
Obrázek 2: Daňová křivka 316 Celkové přežití K-M
|
Následující tabulka popisuje výsledky analýz podskupin pro DFS a OS (viz tabulka 14).
Tabulka 14: Studie rakoviny prsu s analýzy podmnožiny-adjuvantní rakovina prsu
| Podmnožina pacienta | Počet pacientů | Přežití bez onemocnění | Celkové přežití | ||
| Nebezpečí poměr* | 95% tam | Nebezpečí poměr* | 95% tam | ||
| Počet pozitivních uzlů | |||||
| Celkově | 744 | 0.74 | (NULL,60 0,92) | 0.69 | (NULL,53 0,90) |
| 1-3 | 467 | 0.64 | (NULL,47 0,87) | 0.45 | (NULL,29 0,70) |
| 4 | 277 | 0.84 | (NULL,63 1,12) | 0.93 | (NULL,66 1,32) |
| Stav receptoru | |||||
| Pozitivní | 566 | 0.76 | (NULL,59 0,98) | 0.69 | (NULL,48 0,99) |
| Negativní | 178 | 0.68 | (NULL,48 0,97) | 0.66 | (NULL,44 0,98) |
| * Poměr rizika menší než 1 naznačuje, že TAC je spojen s delším přežitím bez onemocnění nebo celkovým přežitím ve srovnání s FAC. |
Rakovina plic nemasových buněk (NSCLC)
Účinnost a bezpečnost datoteru byla hodnocena u pacientů s neresekovatelným lokálně pokročilým nebo metastatickým ne malými buňkami plic, jehož onemocnění selhalo před předchozí chemoterapií na bázi platiny nebo u pacientů, kteří jsou chemoterapií naivní.
Monoterapie s dayotere pro NSCLC dříve léčená chemoterapií na bázi platiny
Dvě randomizované kontrolované studie prokázaly, že daňová dávka 75 mg/m 2 byl tolerovatelný a přinesl příznivý výsledek u pacientů dříve léčených chemoterapií na bázi platiny (viz níže). Daňotere v dávce 100 mg/m 2 Byl však spojen s nepřijatelnými infekcemi hematologické toxicity a úmrtností související s léčbou a tato dávka by neměla být používána [viz [Viz Varování v krabici Dávkování a podávání VAROVÁNÍS ANd OPATŘENÍ ].
Jedna studie (daň317) randomizovaná pacienty s lokálně pokročilým nebo metastatickým ne-malým buněčným karcinomem plic a anamnézou předchozí chemoterapie na bázi platiny Žádná anamnéza expozice taxanu a výkonu ECOG ≤2 daňové nebo nejlepší podpůrné péči. Primárním koncovým bodem studie bylo přežití. Pacienti byli zpočátku randomizováni do daňového 100 mg/m 2 nebo nejlepší podpůrná péče, ale včasná toxická úmrtí v této dávce vedla ke snížení dávky na daňový 75 mg/m 2 . V této pozměněné studii bylo randomizováno celkem 104 pacientů na buď daňovou 75 mg/m 2 nebo nejlepší podpůrná péče.
Ve druhé randomizované studii (TAX320) 373 pacientů s lokálně pokročilým nebo metastatickým neměnným rakovinou plic v anamnéze předchozí chemoterapie založené na platině a status výkonnosti ECOG ≤2 byly randomizovány do daňového 75 mg/m mg/m 2 TAXOTERE 100 mg/m 2 a a treatment in which the investigator chose either vinorelbine 30 mg/m 2 Dny 1 8 a 15 opakované každé 3 týdny nebo ifosfamid 2 g/m 2 Dny 1-3 se opakovaly každé 3 týdny. Čtyřicet procent pacientů v této studii mělo v anamnéze předchozí expozice paclitaxelu. Primárním koncovým bodem bylo přežití v obou pokusech. Údaje o účinnosti pro daňovou výši 75 mg/m 2 Ramena a ramena komparátoru jsou shrnuty v tabulce 15 a obrázky 3 a 4 ukazují křivky přežití pro obě studie.
Tabulka 15: Účinnost Taxotere při léčbě pacientů s rakovinou plic s malou buňkami, kteří byli dříve léčeni chemoterapií na bázi platiny (analýza záměru)
| Daň317 | Daň320 | |||
| Docetaxel 75 mg/m 2 n = 55 | Nejlepší Podpůrná péče n = 49 | Docetaxel 75 mg/m 2 n = 125 | Řízení (V/i*) n = 123 | |
| Celkové přežití | ||||
| Test log-rank | P = 0,01 | P = 0,13 | ||
| Poměr rizika † † Úmrtnost (Docetaxel: Control) | 0.56 | 0.82 | ||
| 95% CI (poměr rizika) | (NULL,35 0,88) | (NULL,63 1,06) | ||
| Střední přežití | 7,5 měsíce ** | 4,6 měsíce | 5,7 měsíce | 5,6 měsíce |
| 95% tam | (NULL,5 12.8) | (3.7 6.1) | (5.1 7.1) | (4.4 7.9) |
| % 1-leté přežití | 37%** † | 12% | 30%** † | 20% |
| 95% tam | (24 50) | (2 23) | (22 39) | (13 27) |
| Čas do progrese | 12,3 týdnů ** | 7,0 týdnů | 8,3 týdnů | 7,6 týdnů |
| 95% tam | (9.0 18.3) | (6.0 9.3) | (7.0 11.7) | (6.7 10.1) |
| Míra odezvy | 5,5% | Nelze použít | 5,7% | 0,8% |
| 95% tam | (1.1 15.1) | (2.3 11.3) | (NULL,0 4,5) | |
| *Vinorelbine/ifosfamid ** P <0,05 † neopraveno pro vícenásobná srovnání † † Hodnota menší než 1,00 laskavosti docetaxel |
Pouze jeden ze dvou pokusů (daň317) ukázal jasný účinek na přežití primární koncový bod; Tato studie také prokázala zvýšenou míru přežití do jednoho roku. Ve druhé studii (daň320) míra přežití v jednom roce upřednostňovala Taxotere 75 mg/m 2 .
Obrázek 3: Daňové 317 K -M Křivky K -M - TAXOTERE 75 mg/M 2 Versus nejlepší podpůrná péče
| 2 Versus Best Supportive Care - Illustration' src='//pharmacie-hoffer.eu/img/antineoplastics-antimicrotubular-taxanes/82/taxotere-3.webp' > |
Obrázek 4: TABA320 K -M Křivky - Taxotere 75 mg/m 2 Versus vinorelbin nebo kontrola ifosfamidu
| 2 Versus Vinorelbine or Ifosfamide Control - Illustration' src='//pharmacie-hoffer.eu/img/antineoplastics-antimicrotubular-taxanes/82/taxotere-4.webp' > |
Pacienti léčeni daňovou prací v dávce 75 mg/m 2 Zkusilo to žádné zhoršení stavu výkonu a tělesné hmotnosti ve srovnání s komparátorovými rameny používanými v těchto pokusech.
Kombinovaná terapie s Taxotere pro chemoterapii-naive NSCLC
V randomizované kontrolované studii (TAX326) 1218 pacientů s neresekovatelným stadiem IIIB nebo IV NSCLC a žádná předchozí chemoterapie byla randomizována, aby byla obdržena jednu ze tří ošetření: Taxotere 75 mg/m 2 Jako 1 hodina infuze okamžitě následuje cisplatina 75 mg/m 2 Přes 30 až 60 minut každé 3 týdny; Vinorelbin 25 mg/m 2 podáno více než 6-10 minut ve dnech 1 8 15 22, následované cisplatinou 100 mg/m 2 podávané v den 1 cyklů opakovaných každé 4 týdny; nebo kombinace daňového a karboplatiny.
Koncovým bodem primární účinnosti bylo celkové přežití. Léčba cisplatinou daňového daňového úložiště nevedla ke statisticky významně lepšímu přežití ve srovnání s cisplatinou vinorelbinu (viz tabulka níže). 95% interval spolehlivosti poměru rizika (upravený pro prozatímní analýzu a vícenásobná srovnání) ukazuje, že přidání daňového k cisplatině vede k výsledku v rozmezí od 6% nižšího než 26% vynikající přežití ve srovnání s přidáním vinorelbinu k cisplatině. Výsledky další statistické analýzy ukázaly, že alespoň (dolní hranice 95% intervalu spolehlivosti) 62% známého účinku vinorelbinu při přidání do cisplatiny (asi dvouměsíční zvýšení mediánu přežití; Wozniak et al. JCO 1998). Údaje o účinnosti pro cisplatinové rameno daňového a ramene komparátoru jsou shrnuty v tabulce 16.
Tabulka 16: Analýza přežití Taxotere v kombinované terapii pro chemoterapii-naivní NSCLC
| Srovnání | Daňotere Cisplatina n = 408 | Cisplatina vinorelbinu n = 405 |
| Kaplan-Meier odhad středního přežití | 10,9 měsíce | 10,0 měsíce |
| P-hodnota a | 0.122 | |
| Odhadovaný poměr rizika b | 0.88 | |
| Upraveno 95% CI c | (NULL,74 1,06) | |
| a Z testu nadřazenosti (Stratified Log Rank) porovnávání cisplatiny daňového s vinorelbinem cisplatinou b Nebezpečí ratio of Daňotere+cisplatin versus vinorelbine+cisplatin. A hazaRd ratio of less than 1 indicates that Daňotere+cisplatin is associated with a longer survival. c Upraveno pro prozatímní analýzu a vícenásobná srovnání. |
Druhé srovnání ve stejné studii tří ramene vinorelbin cisplatin versus taxotere karboplatin neprokázal nadřazený přežití spojený s ramenem Taxotere (Kaplan-Meier odhad středního přežití byl 9,1 měsíce u daňového karboplatiny ve srovnání s 10,0 měsíci na vinorelbinovou cisplatinu), a to, že karboplatin nebyl prokázán úředním úvodem úředního úředního úředního úředního úředního úředního karboplatinu, který nebyl prokázán u carboplatinu, který nebyl prokázán u carboplatinu, který nebyl de 10,0 měsíce na demonstraci karboplatin. K cisplatině přidalo nejméně 50% účinku přežití vinorelbinu. Sekundární koncové body hodnocené v pokusu zahrnovaly objektivní reakci a čas na progresi. Mezi cisplatinou a vinorelbinovým cisplatinou nebyl statisticky významný rozdíl s ohledem na objektivní reakci a čas na progresi (viz tabulka 17).
Tabulka 17: Reakce a analýza TTP daňové terapie v kombinované terapii pro chemoterapii-naivní NSCLC
| Koncový bod | Daňotere Cisplatina | Cisplatina vinorelbinu | P-hodnota |
| Míra objektivní odezvy (95% tam) a | 31,6% (NULL,5% 36,8%) | 24,4% (NULL,8% 29,2%) | Ne Významný |
| Střední čas do Postup b (95% tam) a | 21,4 týdnů (19.3 24.6) | 22,1 týdnů (18.1 25.6) | Ne Významný |
| a Upraveno pro vícenásobná srovnání. b Odhady Kaplan-Meier. |
Rakovina prostaty rezistentní na kastraci
Bezpečnost a účinnost daňového prostoru v kombinaci s prednisonem u pacientů s metastatickým karcinomem prostaty rezistentní na kastraci byly hodnoceny v randomizované multicentrické aktivní kontrolní studii. Celkem 1006 pacientů se stavem výkonnosti Karnofského (KPS) ≥60 bylo randomizováno do následujících léčebných skupin:
- Daňotere 75 mg/m 2 každý 3 weeks for 10 cycles.
- Daňotere 30 mg/m 2 Spravováno týdně po dobu prvních 5 týdnů v 6týdenním cyklu po dobu 5 cyklů.
- Mitoxantron 12 mg/m 2 každý 3 weeks for 10 cycles.
Všechny 3 režimy byly podávány v kombinaci s prednisonem 5 mg dvakrát denně.
V daňové paži každý tři týdny byla ve srovnání s mitoxantronem prokázána statisticky významná celková výhoda pro přežití. V týdeníku TaxoTere nebyla prokázána žádná celková výhoda pro přežití ve srovnání s kontrolním ramenem mitoxantronu. Výsledky účinnosti pro daňoty každé 3 týdny ARM versus kontrolní rameno jsou shrnuty v tabulce 18 a obrázku 5.
Tabulka 18: Účinnost daňového prostoru při léčbě pacientů s rakovinou prostaty rezistentní na kastraci (analýza záměru léčby)
| Daňotere + Prednisone každý 3 weeks | Mitoxantron prednison každý 3 weeks | |
| Počet pacientů | 335 | 337 |
| Střední přežití (měsíce) | 18.9 | 16.5 |
| 95% tam | (17.0-21.2) | (14.4-18.6) |
| Nebezpečí ratio | 0.761 | - |
| 95% tam | (NULL,619-0,936) | - |
| P-hodnota* | 0.0094 | - |
| *Stratifikovaný test log-rank. Prahová hodnota pro statistickou významnost = 0,0175 kvůli 3 ramenům. |
Obrázek 5: Křivky přežití Tax327 K-M
|
Adenokarcinom žaludku
Byla provedena multicentrická otevřená randomizovaná studie za účelem zhodnocení bezpečnosti a účinnosti daňového pro léčbu pacientů s pokročilým adenokarcinomem žaludku včetně adenokarcinomu gastroezofageálního křižovatky, která nedostala předchozí chemoterapii pro pokročilé onemocnění. Celkem 445 pacientů s KPS> 70 bylo léčeno buď daňovou (T) (75 mg/m 2 v den 1) v kombinaci s cisplatinou (c) (75 mg/m 2 v den 1) a Fluorouracil (F) (750 mg/m 2 za den po dobu 5 dnů) nebo cisplatina (100 mg/m 2 v den 1) a fluorouracil (1000 mg/m 2 za den po dobu 5 dnů). Délka léčebného cyklu byla 3 týdny u ramene TCF a 4 týdny pro CF rameno. Demografické charakteristiky byly vyvážené mezi dvěma léčebnými rameny. Střední věk byl 55 let 71% bylo mužů 71% bylo kavkazských 24% ve věku 65 let nebo starších 19% mělo předchozí léčebnou chirurgii a 12% mělo paliativní chirurgii. Střední počet cyklů podávaných na pacienta byl 6 (s rozsahem 1-16) pro rameno TCF ve srovnání se 4 (s rozsahem 1-12) pro rameno CF. Čas do progrese (TTP) byl primárním koncovým bodem a byl definován jako čas od randomizace po progresi onemocnění nebo smrt z jakékoli příčiny do 12 týdnů od posledního hodnocení nádoru nebo do 12 týdnů po první infuzi studijních léčiv u pacientů bez hodnocení nádoru po randomizaci. Poměr rizika (HR) pro TTP byl 1,47 (CF/TCF 95% CI: 1,19-1,83) s výrazně delší TTP (p = 0,0004) v rameni TCF. Přibližně 75% pacientů zemřelo v době této analýzy. Celkové přežití bylo výrazně delší (p = 0,0201) v rameni TCF s HR 1,29 (95% CI: 1,04-1,61). Výsledky účinnosti jsou shrnuty v tabulce 19 a na obrázcích 6 a 7.
Tabulka 19: Účinnost daňového prostoru při léčbě pacientů s adenokarcinomem žaludku
| Koncový bod | TCF n = 221 | Cf n = 224 |
| Medián TTP (měsíce) (95% CI) | 5.6 (NULL,86-5,91) | 3.7 (3.45-4,47) |
| Nebezpečí ratio † (95% tam) | 0,68 (NULL,55-0,84) | |
| *P-hodnota | 0.0004 | |
| Střední přežití (měsíce) (95% tam) | 9.2 (8.38-10.58) | 8.6 (7.16-9,46) |
| Nebezpečí ratio † (95% tam) | 0,77 (NULL,62-0,96) | |
| *P-hodnota | 0.0201 | |
| Celková míra odezvy (CR+PR) (%) | 36.7 | 25.4 |
| P-hodnota | 0.0106 | |
| *Neozvělý test log-rank † Pro hodnoty poměru nebezpečí (TCF/CF) menší než 1,00 upřednostňují rameno Taxotere. |
Obrázek 6: Studie rakoviny žaludku (daň325) Čas do progrese K-M křivka
|
Obrázek 7: Studie rakoviny žaludku (Tax325) K-M křivka přežití K-M
|
Rakovina hlavy a krku
Indukční chemoterapie následovaná radioterapií (daň323)
Bezpečnost a účinnost daňového toku při indukční léčbě pacientů s spinocelulárním karcinomem hlavy a krku (SCCHN) byla hodnocena v multicentrické otevřené randomizované studii (TAX323). V této studii bylo 358 pacientů s nefunkční lokálně pokročilý SCCHN a WHO Performance Stav 0 nebo 1 náhodně do jedné ze dvou léčebných ramen. Pacienti na rameni Taxotere obdrželi daňový (t) 75 mg/m 2 následuje cisplatina (P) 75 mg/m 2 1. den následoval fluorouracil (F) 750 mg/m 2 denně jako kontinuální infuze ve dnech 1-5. Cykly se opakovaly každé tři týdny po dobu 4 cyklů. Pacienti, jejichž nemoc nedostávala radioterapie (RT) Podle institucionálních pokynů (TPF/RT). Pacienti na komparátorové rameni dostali cisplatinu (p) 100 mg/m 2 1. den následoval fluorouracil (f) 1000 mg/m 2 /den jako kontinuální infuze ve dnech 1-5. Cykly se opakovaly každé tři týdny po dobu 4 cyklů. Pacienti, jejichž onemocnění nepokročilo, dostali RT podle institucionálních pokynů (PF/RT). Na konci chemoterapie s minimálním intervalem 4 týdnů a maximálním intervalem 7 týdnů pacientů, jejichž onemocnění nedošlo k radioterapii (RT) podle institucionálních pokynů. Lokoregionální terapie zářením byla dodána buď s konvenčním režimem frakcí (NULL,8 Gy-2,0 Gy jednou denně denně 5 dní v týdnu pro celkovou dávku 66 až 70 G), nebo s zrychlený/hyperfrakční režim (dvakrát denně s minimálním interfrakčním intervalem 6 hodin 5 dní v týdnu). Chirurgická resekce byla povolena po chemoterapii před nebo po radioterapii.
Primární koncový bod v této studii bez přežití progrese (PFS) byl výrazně delší v rameni TPF ve srovnání s PF ramenem p = 0,0077 (střední PFS: 11,4 vs. 8,3 měsíce) s celkovou střední dobou sledování 33,7 měsíců. Střední celkové přežití se středním sledováním 51,2 měsíce bylo také výrazně delší ve prospěch ramene TPF ve srovnání s PF ramenem (medián OS: 18,6 vs. 14,2 měsíce). Výsledky účinnosti jsou uvedeny v tabulce 20 a na obrázcích 8 a 9.
Tabulka 20: Účinnost daňového prostoru při indukční léčbě pacientů s nefunkční lokálně pokročilý SCCHN (analýza záměru léčit)
| Koncový bod | Daňotere + Cisplatina Fluorouracil n = 177 | Cisplatina Fluorouracil n = 181 |
| Střední přežití bez vývoje (měsíce) (95% tam) | 11.4 (10.1-14.0) | 8.3 (7.4-9.1) |
| Upravený poměr rizika (95% tam) | 0.71 (NULL,56-0,91) | |
| *P-hodnota | 0.0077 | |
| Střední přežití (měsíce) (95% tam) | 18.6 (15.7-24,0) | 14.2 (11.5-18.7) |
| Nebezpečí ratio (95% tam) | 0.71 (NULL,56-0,90) | |
| ** P-hodnota | 0.0055 | |
| Nejlepší overall response (CR + PR) to chemoterapie (%) (95% tam) | 67.8 (60.4-74.6) | 53.6 (46.0-61.0) |
| *** P-hodnota | 0.006 | |
| Nejlepší overall response (CR + PR) to study treatment [Chemoterapie /- radioterapie] (%) (95% tam) | 72.3 (65.1-78.8) | 58.6 (51.0-65.8) |
| *** P-hodnota | 0.006 | |
| Poměr nebezpečí menší než 1 laskavosti daňový cisplatina fluorouracil *Stratifikovaný test log-rank založený na primárním místě nádoru ** Stratifikovaný test log-rank nebyl upraven pro vícenásobné srovnání *** Chi Square test nebyl upraven pro více srovnání |
Obrázek 8: Křivka přežití bez progrese TAX323
|
Obrázek 9: Daňový323 Celkový přežití K-M Křivka
|
Indukční chemoterapie následovaná chemoradioterapií (daň324)
Bezpečnost a účinnost daňového prostoru při indukční léčbě pacientů s lokálně pokročilým (neresekovatelným nízkým chirurgickým léčbou nebo ochranou orgánů) byla hodnocena v randomizované multicentrické studii s otevřeností (TAX324). V této studii bylo 501 pacientů s lokálně pokročilým SCCHN a stav WHO WHO 0 nebo 1 randomizován do jedné ze dvou léčebných ramen. Pacienti na rameni Taxotere obdrželi daňový (t) 75 mg/m 2 Intravenózní infuzí v den 1 následuje cisplatina (p) 100 mg/m 2 podáno jako 30 minut do tříhodinové intravenózní infuze následovanou kontinuální intravenózní infuzí fluorouracilu (f) 1000 mg/m mg/m 2 /Den od 1. dne do 4. dne. Cykly se opakovaly každé 3 týdny po dobu 3 cyklů. Pacienti na komparátorové rameni dostali cisplatinu (p) 100 mg/m 2 Jako 30minutová až tříhodinová intravenózní infuze v den 1 následuje kontinuální intravenózní infuze fluorouracilu (F) 1000 mg/m Mg/m 2 /Den od 1. dne do 5. dne. Cykly se opakovaly každé 3 týdny po dobu 3 cyklů.
Všichni pacienti v obou léčebných ramenech, kteří neměli progresivní onemocnění, měli po indukční chemoterapii 3 až 8 týdnů po zahájení posledního cyklu dostávat 7 týdnů chemoradioterapie (CRT). Během radioterapie byl karboplatina (AUC 1.5) podáván týdně jako hodinová intravenózní infuze pro maximálně 7 dávek. Záření bylo dodáno s megavoltovacím zařízením s použitím jednou denně frakcionace (2 Gy denně 5 dní v týdnu po dobu 7 týdnů pro celkovou dávku 70-72 Gy). Chirurgii na primárním místě nemoci a/nebo krku lze zvážit kdykoli po dokončení CRT.
Celkové přežití koncového bodu primární účinnosti (OS) bylo výrazně delší (log-rank test P = 0,0058) s režimem obsahujícím daňotéry ve srovnání s PF (střední OS: 70,6 vs. 30,1 měsíce poměr rizika [HR] = 0,70 95% intervalu spolehlivosti [CI] = 0,54-0,90). Celkové výsledky přežití jsou uvedeny v tabulce 21 a obrázku 10.
Tabulka 21: Účinnost daňového prostoru při indukční léčbě pacientů s lokálně pokročilým SCCHN (analýza záměru na léčbu)
| Koncový bod | Daňotere Cisplatina + Fluorouracil n = 255 | Cisplatina Fluorouracil n = 246 |
| Medián celkového přežití (měsíce) (95% tam) | 70.6 (NULL,0-ne) | 30.1 (20.9-51.5) |
| Nebezpečí ratio: (95% tam) *P-hodnota | 0.70 (NULL,54-0,90) 0.0058 | |
| Poměr nebezpečí menší než 1 laskavosti daňový cisplatina fluorouracil *Neopravený test log-rank NE - Nedostatečné |
Obrázek 10: Daňový 324 Celkový přežití K-M Křivka
|
Informace o pacientovi pro Taxotere
Daňotere
(Daňový-o-teer)
(Docetaxel) Injekce pro intravenózní použití
Jaké jsou nejdůležitější informace, které bych měl vědět o Taxotere?
Daňotere can cause serious side effects including death.
Váš poskytovatel zdravotní péče vám zkontroluje nové rakoviny během a po vaší léčbě s daňovou.
- Šance na smrt u lidí, kteří obdrží daňotére, je vyšší, pokud:
- mít problémy s jatery
- přijímat vysoké dávky daňového
- mají rakovinu plic s malou buňkou a byly léčeny léky chemoterapie, které obsahují platinu
- Daňotere can affect your blood cells. Váš poskytovatel zdravotní péče by měl provádět rutinní krevní testy během léčby s daňovou prací. To bude zahrnovat pravidelné kontroly počtu vašich bílých krvinek. Pokud jsou vaše bílé krvinky příliš nízké, váš poskytovatel zdravotní péče se s vámi nemusí léčit s daňovou prací, dokud nebudete mít dostatek bílých krvinek. Lidé s nízkým počtem bílých krvinek se mohou vyvinout infekce života. Nejčasnějším znakem infekce může být horečka. Postupujte podle pokynů poskytovatele zdravotní péče, jak často během léčby s daňovou teplotou přijímat teplotu. Pokud máte horečku, zavolejte svému poskytovateli zdravotní péče.
- Otok (zánět) tenkého střeva a tlustého střeva. K tomu může dojít kdykoli během léčby a mohlo by to vést k smrti již v první den, kdy získáte příznaky. Okamžitě řekněte svému poskytovateli zdravotní péče, pokud vyvinete nové nebo horší příznaky střevních problémů, včetně žaludku (břišní) bolesti nebo něhy nebo průjmu s horečkou nebo bez něj.
- Těžké allergic reactions jsou lékařské mimořádné události, ke kterým se může stát u lidí, kteří dostávají daňoty a mohou vést k smrti. Můžete být vystaveni vyššímu riziku rozvoje závažné alergické reakce na daňot, pokud jste alergičtí na paclitaxel. Váš poskytovatel zdravotní péče vás bude během vaší daňové infuze pečlivě sledovat pro alergické reakce.
Okamžitě řekněte svému poskytovateli zdravotní péče, pokud máte některé z těchto známek závažné alergické reakce:
- potíže s dýcháním
- Náhlý otok vašich obličeje rty jazyk v krku nebo potíže polykání
- úly (zvednuté hrboly) vyrážka nebo zarudnutí po celém těle
- Vaše tělo může držet příliš mnoho tekutiny (těžká retence tekutin) Během léčby daňovým. To může být život ohrožující. Chcete -li snížit šanci, že se to stane, musíte před každým daňovým ošetřením vzít další lék na kortikosteroid. Kortikosteroid musíte vzít přesně tak, jak vám říká váš poskytovatel zdravotní péče. Řekněte svému poskytovateli zdravotní péče nebo zdravotní sestru před léčbou daňového, pokud jste zapomněli vzít svou dávku kortikosteroidů nebo ji neberejte, jak vám říká váš poskytovatel zdravotní péče. Okamžitě řekněte svému poskytovateli zdravotní péče, pokud máte otok nohou nebo nohou přibývání na váze nebo dušnost.
- Riziko nových rakovin. U lidí, kteří se zacházeli s Taxotere, došlo k nárůstu nových (druhých) rakovin spolu s některými dalšími protirakovinovými léčbami. To zahrnuje určité rakoviny krve, jako je akutní myeloidní leukémie (AML) myelodysplastický syndrom (MDS) non-Hodgkinův lymfom (NHL) a rakovinu ledvin.
- Změny v krevním počtu v důsledku leukémie a dalších poruch krve se mohou vyskytnout roky po léčbě s daňovým.
- Těžké skin problems
Okamžitě řekněte svému poskytovateli zdravotní péče, pokud máte některý z těchto známek závažné kožní reakce:
- zarudnutí a otok vašich paží a nohou.
- puchýře s odlupováním nebo krvácením na jakékoli části pokožky (včetně rukou nebo nohou z rtů v ústech nebo nohou) s vyrážkou nebo bez něj. Můžete také mít příznaky podobné chřipce, jako je zimnice horečky nebo bolesti svalů.
- Červená šupinatá vyrážka po celém těle s puchýři malé červené nebo bílé hrboly pod kůží, které obsahují hnis (pustuly) a horečku.
Co je to Taxotere?
Daňotere is a prescription anticancer medicine used to treat certain people with:
- rakovina prsu
- rakovina plic nemasových buněk
- rakovina prostaty
- Rakovina žaludku
- Rakovina hlavy a krku
Není známo, zda je daňere účinný u dětí.
Pokud jste:
- mít nízké Počet bílých krvinek .
- měli závažnou alergickou reakci na:
- docetaxel Efektivní složka v daňovém nebo
- Jakékoli jiné léky, které obsahují polysorbate 80. Zeptejte se svého poskytovatele zdravotní péče nebo lékárníka, pokud si nejste jisti.
Vidět Jaké jsou nejdůležitější informace, které bych měl vědět o Taxotere? Pro příznaky a příznaky těžké alergické reakce.
Vidět the end of this Patient Information for a complete list of the ingredients in Daňotere.
Než obdržíte Taxotere, řekněte svému poskytovateli zdravotní péče o všech vašich zdravotních stavech, včetně, pokud jste:
Muži U ženských partnerů, které jsou schopny otěhotnět, by měly během léčby daňovou a po dobu poslední dávky používat účinnou antikoncepci během léčby daňové a po dobu 3 měsíců.
Promluvte si se svým poskytovatelem zdravotní péče, pokud máte dotazy týkající se možností kontroly antikoncepce, které jsou pro vás to pravé.
- jsou alergické na jakékoli léky včetně paclitaxelu. Vidět Nedostávejte daňotére, pokud jste .
- mít problémy s jatery
- mít problémy s ledvinami
- jsou těhotné nebo plánují otěhotnět. Taxotere může poškodit vaše nenarozené dítě. Během léčby s daňoty byste neměli otěhotnět. Sdělte svému poskytovateli zdravotní péče, pokud otěhotníte nebo si myslíte, že můžete být těhotná během léčby s daňovou.
Ženy who are able to become pregnant:
- Váš poskytovatel zdravotní péče zkontroluje, zda jste těhotná, než začnete ošetření s daňovou prací.
- Během léčby s daňovou cestou a po dobu poslední dávky byste měli používat účinnou antikoncepci (antikoncepci).
- jsou kojení nebo plánují kojení. Není známo, zda do mateřského mléka přejde dayotere. Během léčby s daňovým a po dobu poslední dávky nekobejte během léčby daňovým a po dobu 1 týdne.
Řekněte svému poskytovateli zdravotní péče o všech lécích, které užíváte včetně předpisu a over-the-theCounter Medicines Vitamins a bylinné doplňky. Taxotere může ovlivnit způsob, jakým jiné léky a další léky mohou ovlivnit způsob, jakým Daxotere funguje.
Znát léky, které užíváte. Udržujte jejich seznam, abyste ukázali svého poskytovatele zdravotní péče a lékárníka, když získáte nový lék.
Jak dostanu daňotére?
- Daňotere will be given to you as an intravenous (IV) injection into your vein usually over 1 hour.
- Daňotere is usually given každý 3 weeks.
- Váš poskytovatel zdravotní péče se rozhodne, jak dlouho budete mít léčbu s Taxotere.
- Váš poskytovatel zdravotní péče zkontroluje počet vašich krevních buněk a další krevní testy během léčby s daňovou cestou, aby zkontroloval vedlejší účinky Taxotere.
- Váš poskytovatel zdravotní péče může zastavit, že vaše léčba změní načasování vaší léčby nebo změní dávku léčby, pokud máte určité vedlejší účinky při přijímání daňového prostoru.
Jaké jsou možné vedlejší účinky Taxotere?
mylan estradiol patch vs Vivelle Dot
Daňotere may cause serious side effects including death.
- Vidět Jaké jsou nejdůležitější informace, které bych měl vědět o Taxotere?
- Neurologické problémy. Neurologické symptomy jsou běžné u lidí, kteří dostávají daňot, ale mohou být závažné. Okamžitě řekněte svému poskytovateli zdravotní péče, pokud máte otupělost brnění nebo pálení v rukou nebo nohou (periferní neuropatie) nebo slabost nohou nohou nohou nebo rukou (motor slabosti).
- Problémy se zrakem včetně rozmazaného vidění nebo ztráty vidění. Pokud máte nějaké změny vize, řekněte svému poskytovateli zdravotní péče.
- Daňotere injection contains alcohol. Obsah alkoholu v Taxotere může narušit vaši schopnost řídit nebo používat strojní zařízení hned po obdržení Taxotere. Zvažte, zda byste měli řídit provozní stroje nebo provádět jiné nebezpečné činnosti hned po zacházení s daňovou prací.
- Syndrom lýzy nádoru (TLS). TLS je způsobena rychlým rozpadem rakovinných buněk. TLS může způsobit selhání ledvin Potřeba léčby dialýzy nebo srdečních problémů a může vést k smrti. Váš poskytovatel zdravotní péče provede krevní testy, aby zkontroloval TLS, když poprvé zahájíte léčbu a během léčby s daňovou prací. Okamžitě řekněte svému poskytovateli zdravotní péče, pokud máte během léčby s daňovou prací nějaké příznaky TLS, včetně:
- nevolnost
- zvracení
- zmatek
- dušnost
- nepravidelný srdeční rytmus
- tmavá nebo zakalená moč
- Snížené množství moči
- neobvyklá únava
- Svalové křeče
- Můžete zažít vedlejší účinky tohoto léku, který může narušit vaši schopnost řídit nástroje používání nebo provozovat stroje. Pokud k tomu dojde, nejezdíte ani nepoužívejte žádné nástroje nebo stroje před diskusí se svým poskytovatelem zdravotní péče.
Mezi nejčastější vedlejší účinky Taxotere patří:
- infekce
- Nízké bílé krvinky (pomáhají bojovat proti infekcím) nízkých červených krvinek (anémie) a nízké destičky (pomáhají krvi na sraženinu)
- alergické reakce (viz Jaké jsou nejdůležitější informace, které bych měl vědět o Taxotere? )
- změny ve vašem smysl chuti
- dušnost
- zácpa
- snížená chuť k jídlu
- změny ve vašem nehets or toenails
- Otok tvých rukou nebo nohou
- cítit se slabý nebo unavený
- Bolest kloubů a svalů
- nevolnost a zvracení
- průjem
- ústa nebo vředy na rty
- Vypadávání vlasů: U některých lidí bylo hlášeno trvalé vypadávání vlasů
- zarudnutí očí přebytku
- Kožní reakce v místě administrace Taxotere, jako je zvýšená pigmentační věrnost zarudnutí
- Poškození tkáně, pokud daňotere vytéká z žíly do tkání
Řekněte svému poskytovateli zdravotní péče, pokud máte rychlou nebo nepravidelnou srdeční rytmu těžká dušnost závratě nebo mdloby během vaší infuze. Pokud se některá z těchto událostí objeví po vaší infuzi, získejte hned hned lékařskou pomoc.
Daňotere may affect fertility in males. Talk to your healthcare provider if this is a concern for you.
Nejedná se o všechny možné vedlejší účinky Taxotere. Pro více informací se zeptejte svého poskytovatele zdravotní péče nebo lékárníka.
Zavolejte svému poskytovateli zdravotní péče o lékařskou pomoc o vedlejších účincích. Můžete nahlásit vedlejší účinky FDA na 1-800-FDA-1088.
Obecné informace o bezpečném a efektivním využívání daňových.
Léky jsou někdy předepsány pro jiné účely než ty, které jsou uvedeny v této informace o pacientech.
Můžete požádat svého lékárníka nebo poskytovatele zdravotní péče o informace o daňových pracovnících, které jsou psány pro zdravotnické pracovníky.
Jaké jsou ingredience v Taxotere?
Aktivní složka: docetaxel
Neaktivní ingredience: Polysorbát 80 a dehydratovaný alkohol s kyselinou citronovou pro nastavení pH.
Tyto informace o pacientech byly schváleny americkou správou potravin a léčiv.