Informace Na Stránce Nepředstavují Lékařskou Radu. Nic Neprodáváme. Přesnost Překladu Není Zaručena. Zřeknutí Se Odpovědnosti
Progestins
Prometrium
Shrnutí drog
Co je to Prometrium?
Prometrium (progesteron) je ženský hormon progestinu A předepsaný pro prevenci endometriální hyperplázie u nehysterektomizovaných postmenopauzálních žen, které dostávají konjugované estrogenové tablety a také pro sekundární amenorrhea. Prometrium je k dispozici jako a generická droga .
Jaké jsou vedlejší účinky prometria?
Prometrium může způsobit vážné vedlejší účinky včetně:
- neobvyklé vaginální krvácení
- bolest nebo pálení při močení
- hrudka prsu
- Náhlé problémy se zrakem
- Těžká bolest hlavy
- bolest za očima
- deprese
- problémy se spánkem
- slabost
- změny nálady
- Těžká závratě
- ospalost
- pocity točení
- zmatek
- dušnost
- bolest na hrudi nebo tlak
- Bolest se šíří do čelisti nebo ramene
- nevolnost
- pocení
- Bolest horního žaludku
- svědění
- únava
- Ztráta chuti k jídlu
- tmavě zbarvená moč
- hliněné stoličky
- žloutnutí kůže nebo očí ( žloutenka )
- Náhlá necitlivost nebo slabost
- Náhlá těžká bolest hlavy
- Slurred řeč
- potíže s mluvením nebo vyvážením
- náhlý kašel
- síť
- rychlé dýchání
- kašel o krev
- Bolest nohou
- otok v noze a
- teplo nebo zarudnutí v jedné nebo obou nohou
Získejte lékařskou pomoc okamžitě, pokud máte výše uvedené příznaky.
Mezi běžné vedlejší účinky prometria patří:
- závrať
- pocity točení
- Bolest břicha (křeče)
- bolest hlavy
- Bolest prsu nebo něha
- Muskuloskeletální bolest
- bolest kloubů
- Virová infekce
- průjem
- nevolnost
- Bloating
- únava
- HORKÉ záblesky
- kašel
- akné
- zvýšený růst vlasů
- změny hmotnosti
- Vaginální svědění/ suchost/ výboj
- rozmazané vidění
- ospalost
- výkyvy nálady a
- podrážděnost.
Pokud máte následující vážné vedlejší účinky, vyhledejte lékařskou péči nebo zavolejte na číslo 911:
- Vážné příznaky očí, jako je ztráta náhlého vidění rozmazané vidění vidění Vision Vision Eye Eye Eye Eye Eye Eye Eye Eye nebo vidět halos kolem světel;
- Vážné příznaky srdce, jako je rychlé nepravidelné nebo bušení srdečního rytmu; třepování v hrudi; dušnost; a náhlé závratě Lightheadedness nebo omdlet;
- Těžká zmatek bolesti hlavy zkroucený řečový rameno nebo slabost nohou Potíže se ztrátou chůze pocitu koordinace Pocit nestabilní velmi tuhé svaly vysoké horečky bohaté pocení nebo třes.
Tento dokument neobsahuje všechny možné vedlejší účinky a mohou dojít k jiným. Další informace o vedlejších účincích najdete u svého lékaře.
Dávkování pro prometrium
Dávka prometrium závisí na stavu, který se léčí.
Jaké léčivé látky nebo doplňky interagují s Prometriem?
Mezi léčivé interakce patří inhibitory cytochromu P450 3A4 (například ketokonazol) Colchicine dabigatran etexilate ( Pradaxa ) silodosin (rapaflo) a aminoglutethimid (Cytadren).
Prometrium během těhotenství a kojení
Pokud jste těhotná, nepoužívejte Prometrium bez souhlasu svého lékaře. Pokud během léčby otěhotníte, řekněte svému lékaři. Promluvte si se svým lékařem o používání antikoncepce, když používáte Prometrium. Prometrium prochází do mateřského mléka a může poškodit kojící dítě. Před kojením se poraďte se svým lékařem.
Další informace
Naše drogové centrum pro vedlejší účinky Prometrium poskytuje při užívání tohoto léku komplexní pohled na dostupné informace o možných vedlejších účincích.
Informace o drogách FDA
- Popis léku
- Indikace
- Vedlejší účinky
- Varování
- Opatření
- Předávkovat
- Klinická farmakologie
- Průvodce léky
VAROVÁNÍ
Kardiovaskulární poruchy rakoviny prsu a pravděpodobná demence pro estrogen plus progestin terapii
Kardiovaskulární poruchy a pravděpodobná demence
Estrogeny plus progestinová terapie by se neměla používat pro prevenci kardiovaskulárního onemocnění nebo demence. (Vidět Klinické studie a VAROVÁNÍS Kardiovaskulární poruchy a pravděpodobná demence. )
The Women's Health Initiative (WHI) estrogen plus progestin substudy reported increased risks of deep vein thrombosis pulmonary embolism stroke and myocardial infarction in postmenopausal women (50 to 79 years of age) during 5.6 years of treatment with daily oral conjugated estrogens (CE) [0.625 mg] combined with medroxyprogesterone acetate (MPA) [2.5 mg] vzhledem k placebu. (Vidět Klinické studie a VAROVÁNÍS Kardiovaskulární poruchy. )
Studie paměti WHI (WHIMS) estrogen plus progestinová pomocná studie WHI uváděla zvýšené riziko vzniku pravděpodobné demence u postmenopauzálních žen ve věku 65 let nebo starší během 4 let léčby s denním CE (NULL,625 mg) kombinované s MPA (NULL,5 mg) vzhledem k placebo. Není známo, zda se toto zjištění vztahuje na mladší postmenopauzální ženy. (Vidět Klinické studie a VAROVÁNÍS Pravděpodobná demence a OPATŘENÍ Geriatrické použití .)
Rakovina prsu
WHI estrogen plus progestinová náhrada také prokázala zvýšené riziko invazivního karcinomu prsu. (Vidět Klinické studie a VAROVÁNÍS Maligní rakovina prsu z maligního novotvaru .)
Při absenci srovnatelných údajů by měla být tato rizika považována za podobná pro jiné dávky CE a MPA a další kombinace a dávkové formy estrogenů a progestinů.
Progestiny s estrogeny by měly být předepsány v nejnižších efektivních dávkách a po nejkratší dobu konzistentní s cíli léčby a riziky pro jednotlivou ženu.
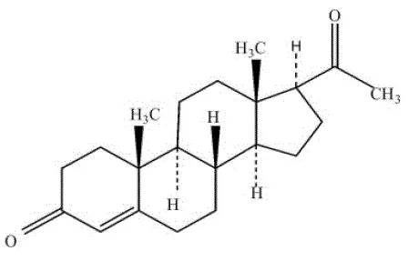
Popis pro Prometrium
Tobolky Prometrium (Progesteron USP) obsahují mikronizovaný progesteron pro perorální podání. Progesteron má molekulovou hmotnost 314,47 a molekulární vzorec c 21 H 30 O 2 . Progesteron (těhotenství-4-ene-3-dione) je bílý nebo krémově bílý krystalický prášek bez zápachu prakticky nerozpustný ve vodě rozpustný v acetonu a dioxanu a šetrně rozpustný v rostlinných olejích stabilní ve vzduchu tání vzduchu a roztavení vzduchu a 131 ° C. Strukturální vzorec je:
|
Progesteron je syntetizován z výchozího materiálu ze zdroje rostlin a je chemicky totožný s progesteronem lidského ovariálního původu. Tobolky Prometrium jsou k dispozici ve více silných stránkách, aby se umožnila flexibilita dávky pro optimální řízení. Tobolky Prometrium obsahují 100 mg nebo 200 mg mikronizovaného progesteronu.
Mezi neaktivní složky pro tobolky Prometrium 100 mg patří: arašídový olej nf želatin nf glycerin USP lecitin nf titanium oxid USP FD
Použití pro prometrium
Prometrium ® (Progesteron USP) tobolky jsou indikovány pro použití při prevenci endometriální hyperplázie u nehysterektomizovaných postmenopauzálních žen, které dostávají konjugované estrogenové tablety. Jsou také indikovány pro použití v sekundární amenoreu.
Dávkování pro prometrium
Prevence endometriální hyperplázie
Prometrium Capsules should be given as a single daily dose at bedtime 200 mg orally for 12 days sequentially per 28-day cycle to a postmenopausal woman with a uterus who is receiving daily conjugated estrogens tablets.
Léčba sekundární amenorea
Prometrium Capsules may be given as a single daily dose of 400 mg at bedtime for 10 days.
Některé ženy mohou mít potíže s polykání tobolek prometrium. U těchto žen by měly být tobolky prometrium užívány sklenicí vody, zatímco ve stojaté poloze.
Jak vypadá generický ativan
Jak dodáno
Skladování a manipulace
Prometrium (Progesteron USP) Capsules 100 mg jsou kulaté broskvové tobolky označené černým otiskem „SV“.
NDC 72989-372-30 (láhev 30)
Prometrium (Progesteron USP) Capsules 200 mg jsou oválné bledě žluté zbarvené tobolky označené černým otiskem 'Sv2.
NDC 72989-373-30 (láhev 30)
Skladovat při 25 ° C (77 ° F); Výlety povoleny na 15 ° až 30 ° C (59 ° až 86 ° F) [viz USP kontrolovaná pokojová teplota].
Chránit před nadměrnou vlhkostí.
Vysvětlete v těsné kontejneru odolném proti světlu, jak je definováno v USP/NF doprovázené vložkou pacienta.
Udržujte mimo dosah dětí.
Distribuováno: Acertis Pharmaceuticals LLC Langhorne PA 19047. Revidováno: květen 2019
Nežádoucí účinky na prometrium
Vidět Varování v krabici VAROVÁNÍS a OPATŘENÍ .
Protože klinické studie se provádějí za široce proměnlivých podmínek, nežádoucí rychlosti nežádoucí reakce pozorované v klinických studiích léčiva nelze přímo porovnat s mírami v klinických studiích s jiným lékem a nemusí odrážet míru pozorované v praxi.
U multicentrické randomizované dvojitě slepé placebem kontrolované klinické studie byly účinky tobolek prometrium na endometrium studovány celkem u 875 postmenopauzálních žen. Tabulka 6 uvádí nežádoucí účinky větší než nebo rovné 2 procent žen, které dostávaly cyklické tobolky prometrium 200 mg denně (12 dní na cyklus kalendářního měsíce) s 0,625 mg konjugovanými estrogeny nebo placebem.
Tabulka 6. Nežádoucí účinky (≥ 2%) hlášené u 875 pacientů s placebem kontrolovanou studií u postmenopauzálních žen po dobu tří let [procento (%) hlášení pacientů]
| Prometrium Capsules 200 mg with Konjugované estrogeny 0.625 mg | Placebo | |
| (n = 178) | (n = 174) | |
| Bolest hlavy | 31 | 27 |
| Citlivost prsu | 27 | 6 |
| Bolest kloubů | 20 | 29 |
| Deprese | 19 | 12 |
| Závrať | 15 | 9 |
| Břicha nadýmání | 12 | 5 |
| HORKÉ záblesky | 11 | 35 |
| Problémy s moči | 11 | 9 |
| Bolest břicha | 10 | 10 |
| Vaginální výtok | 10 | 3 |
| Nevolnost / zvracení | 8 | 7 |
| Starosti | 8 | 4 |
| Bolest na hrudi | 7 | 5 |
| Průjem | 7 | 4 |
| Noční pocení | 7 | 17 |
| Bolest prsu | 6 | 2 |
| Otok rukou a nohou | 6 | 9 |
| Vaginální suchost | 6 | 10 |
| Zácpa | 3 | 2 |
| Karcinom prsu | 2 | <1 |
| Excizní biopsie prsu | 2 | <1 |
| Cholecystektomie | 2 | <1 |
Účinky na sekundární amenoreu
V multicentrické randomizované dvojitě slepé placebem kontrolované klinické studie Účinky prometria ® (Progesterone USP) Kapsle na sekundární amenoreu byly studovány u 49 postmenopauzálních žen primizovaných estrogenem. Tabulka 7 uvádí nežádoucí účinky větší nebo rovné 5 procentům žen, které obdržely tobolky prometrium nebo placebo.
Tabulka 7. Nežádoucí účinky (≥ 5%) hlášené u pacientů používajících 400 mg/den v placebem kontrolované studii u estrogen-primenovaných postmenopauzálních žen
| Nepříznivé zkušenosti | Prometrium Capsules 400 mg n = 25 | Placebo n = 24 |
| Procento (%) pacientů | ||
| Únava | 8 | 4 |
| Bolest hlavy | 16 | 8 |
| Závrať | 24 | 4 |
| Abdominální distenze (nadýmání) | 8 | 8 |
| Bolest břicha (Cramping) | 20 | 13 |
| Průjem | 8 | 4 |
| Nevolnost | 8 | 0 |
| Bolest zad | 8 | 8 |
| Muskuloskeletální bolest | 12 | 4 |
| Podrážděnost | 8 | 4 |
| Bolest prsu | 16 | 8 |
| Infekce virová | 12 | 0 |
| Kašel | 8 | 0 |
V multicentrické paralelní skupině otevřené značky postmarketingové dávkování sestávající ze tří po sobě jdoucích 28denních léčebných cyklů 220 premenopauzálních žen se sekundární amenoreou byly randomizovány, aby dostávaly denní konjugované estrogenové terapii (NULL,625 mg konjugovaných estrogenů) a prometrium kapsuly na /denní kapzuly na /denní kapsuly na /denní kapsuly na denní den (n = 113) nebo promemetrické kapsuly) a promemetrium kapsuly na den (n = 113) nebo promemetrium capsules na den den (n = 113) nebo promemetrium kapzuly na den den (n = 113) nebo promemetrické kapsuly na den den (n = 113) nebo promemetrium kapsuly na den den (n = 113) nebo promemetrium kapsuly (n = 107) po dobu 10 dnů každého léčebného cyklu. Celkově nejčastěji hlášené nežádoucí účinky léčby, které byly hlášeny u větší nebo rovny 5 procent subjektů, byla únava nevolnosti vaginální mycosis nosopharyngitida horní cest respirační cesty hlava bolest hlavy hlava hlava břišní distancování břicha ACNE Dysmenorrhea Cwing a močová trakt.
Zážitek z postmarketingu
Následující další nežádoucí účinky byly hlášeny u tobolek prometria. Protože tyto reakce jsou hlášeny dobrovolně z populace nejisté velikosti, není vždy možné spolehlivě odhadnout frekvenci nebo vytvořit kauzální vztah k expozici léčiva.
Genitourinární systém: Endometriální karcinom hypospadia intrauterinní smrt menoragie menstruační porucha metroragia vaječníka cysta spontánní potraty.
Kardiovaskulární: Cirkulační kolaps vrozené srdeční onemocnění (včetně vady komorového septa a patentového ductus arteriosus) hypotenze tachykardie hypertenze.
Gastrointestinal: Akutní pankreatitida cholestasis cholestatická hepatitida dysfagie jaterní selhání Jaterní nekróza Hepatitida zvýšila testy jaterní funkce (včetně alanin aminotransferázy zvýšené aspartát aminotransferázy zvýšené gama-glutamyl transferázy Zvýšily se jaundice obuchovaný jazyk.
Kůže: Alopecia Pruritus Urticaria.
Oči: rozmazané vidění diplopia visual disturbance.
Centrální nervový systém: Agresivní křeče depersonalizace depresivní dezorientace vědomí Dysartrie Ztráta vědomí Parestézie Sedace Syncope Stupor Syncope (s a bez hypotenze) Přechodný ischemický útok Suicidal Ideation.
Během počáteční terapie několik žen zažilo souhvězdí mnoha nebo všech následujících příznaků: extrémní závratě a/nebo ospalost rozmazaná vidění neslušné řeči Obtížnost chůze Ztráta vědomí zátěžová dezorientace se cítí opilá a dušnost.
Smíšený: Abnormální chůze anafylaktická reakce Artralgie v krvi glukóza zvýšila dusivý rozštěp rozštěpu patra Obtížnost chůze Dyspnea Face Edém pocit abnormálního pocitu opilého hypersenzitivity astma sval křečový krk těsnost tinnitus zátěžová hmotnost se zvýšila hmotnost.
Lékové interakce pro prometrium
Žádné informace
Varování for Prometrium
Vidět Varování v krabici.
Kardiovaskulární poruchy
U estrogenu a terapie progestinu bylo hlášeno zvýšené riziko plicní embolie Trombózy hluboké žilní trombózy (DVT) a infarktu myokardu. Pokud by se některá z nich vyskytla nebo je podezření, že by měl být okamžitě přerušen estrogen s terapií progestinu.
Rizikové faktory arteriálního vaskulárního onemocnění (například hypertenze diabetes mellitus tabák užívání hypercholesterolémie a obezity) a/nebo žilní tromboembolismus (například osobní historie nebo rodinná anamnéza žilního tromboembolismu [VTE] obezita a systémová lupus erythematosus) by měly být správně řízeny.
Mrtvice
V iniciativě pro zdraví žen (WHI) estrogen plus progestin byla statisticky významná zvýšená riziko mrtvice u žen 50 až 79 let, které dostávaly denní CE (NULL,625 mg) plus MPa (NULL,5 mg) ve srovnání se ženami ve stejné věkové skupině, která dostávala placebo (33 oproti 25 za 10000 žen). Zvýšení rizika bylo prokázáno po prvním roce a přetrvávalo. (Vidět Klinické studie .) Should a stroke occur or be suspected estrogen plus progestin therapy should be discontinued immediately.
Koronární srdeční choroby
V estrogenovém estrogenu plus progestinová neměnná došlo ke statisticky nevýznamnému zvýšenému riziku příhod koronárních srdečních chorob (CHD) (definovaných jako nefatální infarkt myokardu [MI] tiché MI nebo CHD) hlášené u žen, které denně CE (NULL,625 mg) plus MPA (NULL,5 mg) (NULL,5 mg) (NULL,5 mg) (NULL,5 mg) (NULL,5 mg) (211 vidičovství). V roce 1 bylo prokázáno zvýšení relativního rizika a v letech 2. až 5. až 5. let byl hlášen trend směrem k snížení relativního rizika (viz viz Klinické studie .)
U žen v postmenopauze s dokumentovaným srdečním onemocněním (n = 2763 průměrného věku 66,7 let) v kontrolované klinické studii sekundární prevence kardiovaskulárních onemocnění (studie nahrazení srdce a estrogen/progestin [Hers]) s denním CE (NULL,625 mg) plus MPA (NULL,5 mg) neprokázala žádnou kardiovaskulární přínos. Během průměrného sledování 4,1 let léčby CE plus MPA nesnížila celkovou míru událostí CHD u postmenopauzálních žen se zavedenými koronárními srdečními chorobami. Ve skupině CE Plus MPA bylo více událostí CE plus ve skupině s placebem v roce 1, ale ne v následujících letech. Dva tisíce tři sta dvacet jedna (2321) žen z původního soudu se dohodly na účasti na otevřeném prodloužení jejích jejích II. Průměrné sledování v Hers II bylo dalších 2,7 let celkem 6,8 let. Míra událostí CHD byla srovnatelná u žen ve skupině CE plus MPA a skupinou placeba v jejích jejích IS i II a celkově.
Žilní tromboembolismus
V WHI estrogen plus progestinová substastie byla u žen dostávajících denně CE (NULL,625 mg) plus MPA (NULL,5 mg) ve srovnání se ženami, které dostávaly placebem, statisticky významně větší větší míra VTE (35 oproti 17 na 10000 žen). Rovněž bylo prokázáno statisticky významné zvýšení rizika pro DVT (26 versus 13 na 10000 žen) a PE (18 oproti 8 na 10000 žen). Zvýšení rizika VTE bylo prokázáno během prvního roku a přetrvávalo. (Vidět Klinické studie .) Should a VTE occur or be suspected estrogen plus progestin therapy should be discontinued immediately.
Pokud by progestinové s progestiny byly ukončeny nejméně 4 až 6 týdnů před operací typu spojeného se zvýšeným rizikem tromboembolismu nebo během období prodloužené imobilizace.
Maligní novotvary
Rakovina prsu
Nejdůležitější randomizovanou klinickou studií poskytující informace o rakovině prsu u uživatelů estrogenu plus progestin je iniciativa pro zdraví žen (WHI) Denní CE (NULL,625 mg) plus MPA (NULL,5 mg). Po průměrném sledování po 5,6 letech vykázala estrogen plus progestinová substady zvýšené riziko invazivního karcinomu prsu u žen, které se denně CE plus MPA vzaly. V této nahrazení předchozího použití estrogen-samostatné nebo estrogen plus progestinové terapie bylo hlášeno 26 procent žen. Relativní riziko invazivního karcinomu prsu bylo 1,24 (95 procent NCI 1,01-1,54) a absolutní riziko bylo 41 oproti 33 případům na 10000 žen pro CE plus MPA ve srovnání s placebem.
U žen, které uváděly předchozí použití hormonální terapie, bylo relativní riziko invazivního karcinomu prsu 1,86 a absolutní riziko bylo 46 oproti 25 případům na 10000 žen pro estrogen plus progestin ve srovnání s placebem. U žen, které neuvedly žádné předchozí použití hormonální terapie, relativní riziko invazivního karcinomu prsu bylo 1,09 a absolutní riziko bylo 40 oproti 36 případům na 10000 žen pro CE plus MPA ve srovnání s placebem. Ve stejné substaditní invazivní rakovině prsu byly větší pravděpodobnost, že byly pozitivní uzel a byly diagnostikovány ve pokročilejším stádiu ve skupině CE (NULL,625 mg) plus MPa (NULL,5 mg) ve srovnání se skupinou placeba. Metastatické onemocnění bylo vzácné bez zjevného rozdílu mezi oběma skupinami. Jiné prognostické faktory, jako je stav histologického podtypu a stav hormonálního receptoru, se mezi skupinami nelišily. (Vidět Klinické studie .)
Omeprazol 20 mg tobolky odolné vůči gastro
V souladu s klinickými studiemi WHI pozorovací studie také uváděly zvýšené riziko rakoviny prsu pro estrogen plus progestinovou terapii a menší zvýšené riziko terapie estrogenem alone po několika letech používání. Riziko se zvýšilo s dobou trvání používání a zdálo se, že se vracelo na základní linii po dobu asi 5 let po zastavení léčby (pouze observační studie mají značné údaje o riziku po zastavení). Observační studie rovněž naznačují, že riziko rakoviny prsu bylo větší a bylo zřejmé dříve u estrogenu plus terapie progestinu ve srovnání s terapií estrogenem. Tyto studie však obecně nezjistily významné rozdíly v riziku rakoviny prsu mezi různými dávkami estrogenu plus progestin kombinací nebo trasy podávání.
Bylo popsáno, že použití estrogenu plus progestinu má za následek zvýšení abnormálních mamogramů vyžadujících další hodnocení. Všechny ženy by měly dostávat každoroční vyšetření prsu poskytovatelem zdravotní péče a provádět měsíční self -exexaminace prsu.
Kromě toho by měla být mamografická zkoušky naplánována na základě rizikových faktorů věku pacienta a předchozích výsledků mamogramu.
Rakovina endometria
Bylo hlášeno zvýšené riziko rakoviny endometria s použitím neopponované estrogenové terapie u ženy s dělohou. Hlášené riziko rakoviny endometria u neopakovaných uživatelů estrogenu je asi 2 až 12krát větší než u neuživatelů a zdá se, že je v závislosti na trvání léčby a na dávce estrogenu. Většina studií nevykazuje žádné významné zvýšené riziko spojené s používáním estrogenů po dobu kratší než 1 rok. Největší riziko se zdá být spojeno s prodlouženým používáním se zvýšeným rizikem 15 až 24krát po dobu 5 až 10 let a více a bylo prokázáno, že toto riziko přetrvává po dobu nejméně 8 až 15 let po ukončení estrogenové terapie.
Důležité je klinické dohled všech žen používajících estrogen plus terapii progestinu. Přiměřená diagnostická opatření, včetně směrovaného nebo náhodného vzorkování endometria, pokud je to uvedeno, by měla být provedena, aby se vyloučila malignita ve všech případech nediagnostikovaného přetrvávajícího nebo opakujícího se abnormálního krvácení genitálií. Neexistuje žádný důkaz, že použití přírodních estrogenů má za následek odlišný endometriální rizikový profil než syntetické estrogeny ekvivalentní dávky estrogenu. Ukázalo se, že přidání progestinu k estrogenové terapii u postmenopauzálních žen snižuje riziko endometriální hyperplázie, což může být prekurzorem rakoviny endometria.
Rakovina vaječníků
WHI estrogen plus progestinová náhrada uváděla statisticky nevýznamné zvýšené riziko rakoviny vaječníků. Po průměrném sledování 5,6 let bylo relativní riziko rakoviny vaječníků pro CE plus MPA versus placebo 1,58 (95 procent NCI 0,77-3,24). Absolutní riziko CE plus MPA versus placebo bylo 4 oproti 3 případům na 10000 žen. V některých epidemiologických studiích bylo použití produktů estrogenu a progestinu a estrogenu pouze po dobu 5 nebo více let spojeno se zvýšeným rizikem rakoviny vaječníků. Avšak trvání expozice spojené se zvýšeným rizikem není konzistentní ve všech epidemiologických studiích a někteří uvádějí žádné asociaci.
Pravděpodobná demence
Ve studii iniciativy pro zdraví iniciativy pro zdraví estrogenního progestinu (rozmaru) byla pomocná studie o populaci 4532 pomenopauzálních žen ve věku 65 až 79 let randomizována na denní CE (NULL,625 mg) plus MPA (NULL,5 mg) nebo placebo.
Ve rozmaru estrogen plus progestinové pomocné studie po průměrném sledování 4 let 40 žen ve skupině MPA CE plus a 21 žen ve skupině s placebem byla diagnostikována pravděpodobné demence. Relativní riziko pravděpodobné demence pro estrogen plus progestin versus placebo bylo 2,05 (95 procent CI 1,21-3,48). Absolutní riziko pravděpodobné demence pro CE plus MPA versus placebo bylo 45 oproti 22 případům na 10000 žen. Není známo, zda se tato zjištění vztahují na mladší postmenopauzální ženy. (Vidět Klinické studie a OPATŘENÍ Geriatrické použití .)
Abnormality vidění
U pacientů dostávajících estrogen byla hlášena vaskulární trombóza sítnice. Přerušte estrogen plus terapii progestinu čekající na vyšetření, pokud dojde k náhlé částečné nebo úplné ztrátě zraku nebo pokud dojde k náhlému nástupu diplopie nebo migrény. Pokud vyšetření odhalí papilema nebo sítnicové vaskulární léze estrogen plus progestinová terapie by měla být trvale přerušena.
Opatření for Prometrium
Generál
Přidání progestinu, když žena neměla hysterektomii
Studie přidání progestinu po dobu 10 a více dnů cyklu podávání estrogenu nebo denně s estrogenem v kontinuálním režimu uváděly snížený výskyt endometriální hyperplázie, než by byla vyvolána pouze estrogenovou ošetřením. Endometriální hyperplázie může být předchůdcem rakoviny endometria.
Existují však možná rizika, která mohou být spojena s použitím progestinů s estrogeny ve srovnání s režimy estrogen-alone. Mezi ně patří zvýšené riziko rakoviny prsu.
je cyklobenzaprin stejný jako Flexeril
Retence tekutin
Progesteron může způsobit určitý stupeň retence tekutin. Ženy s podmínkami, které by mohly být ovlivněny tímto faktorem, jako je srdeční nebo ledvinová dysfunkce, vyžadují pečlivé pozorování.
Závrať And Drowsiness
Prometrium ® (Progesteron USP) tobolky mohou způsobit přechodnou závratě a ospalost a měly by být používány s opatrností při řízení motorového vozidla nebo operačního stroje. Tobolky Prometrium by měly být užívány jako jediná denní dávka před spaním.
Informace o pacientu
Generál
Tento produkt obsahuje arašídový olej a neměl by být používán, pokud jste alergičtí na arašídy.
Lékařům se doporučuje diskutovat o obsahu letáku pacienta s pacienty, pro které předepisují tobolky Prometrium.
Interakce laboratorních testů
Následující laboratorní výsledky mohou být změněny použitím estrogenu plus progestinové terapie:
- Zvýšená retence sulfobromoftaleinu a další testy jaterních funkcí.
- Koagulační testy: Zvýšení protrombinových faktorů VII VIII IX a X.
- Stanovení těhotenství.
- Funkce štítné žlázy: zvýšení PBI a butanolu extrahovatelného proteinu vázaného na jód a snížení hodnot absorpce T3.
Zhodnocení mutageneze karcinogeneze plodnosti
Progesteron nebyl testován na karcinogenitu u zvířat ústní cestou podávání. Při implantování do ženských myší progesteron produkoval nádory buněk ovariálních karcinomů ovariálních karcinomů a endometriální stromální sarkomy. U psů dlouhodobé intramuskulární injekce vyvolaly nodulární hyperplázii a benigní a maligní nádory mléčné žlázy. Subkutánní nebo intramuskulární injekce progesteronu snížily období latence a zvýšily výskyt nádorů mléčné žlázy u potkanů dříve ošetřených chemickým karcinogenem.
Progesteron neprokázal důkazy o genotoxicitě v in vitro Studie pro bodové mutace nebo pro chromozomální poškození. Nadarmo Studie poškození chromozomů přinesly pozitivní výsledky u myší při perorálních dávkách 1000 mg/kg a 2000 mg/kg. Bylo prokázáno, že exogenně podávaný progesteron inhibuje ovulaci u řady druhů a očekává se, že vysoké dávky poskytované po delší dobu by narušily plodnost až do ukončení léčby.
Těhotenství
Prometrium Capsules should not be used during pregnancy. (Vidět Kontraindikace ).
Těhotenství Category B
Reproductive studies have been performed in mice at doses up to 9 times the human oral dose in rats at doses up to 44 times the human oral dose in rabbits at a dose of 10 mcg/day delivered locally within the uterus by an implanted device in guinea pigs at doses of approximately one-half the human oral dose and in rhesus monkeys at doses approximately the human dose all based on body surface area and have odhalil jen málo nebo žádný důkaz o zhoršené plodnosti nebo poškození plodu v důsledku progesteronu.
Ošetřovatelské ženy
Detekovatelné množství progestinu bylo identifikováno v mléce ošetřovatelských žen přijímajících progestiny. Upozornění by mělo být posouzeno, když jsou prometrium tobolky podávány ošetřovatelské ženě.
Dětské použití
Prometrium Capsules are not indicated in children. Clinical studies have not been conducted in the pediatric population.
Geriatrické použití
Do klinických studií využívajících tobolky prometrium nebylo dostatečné množství geriatrických žen zapojených do klinických studií k určení, zda ti starší 65 let se liší od mladších subjektů v jejich reakci na tobolky prometrium.
Studie iniciativy pro zdraví žen
V iniciativě pro zdraví žen (WHI) estrogen plus progestinská náhrada (denní CE [0,625 mg] plus MPa [2,5 mg] versus placebo) existuje vyšší relativní riziko nefatální mrtvice a invazivního karcinomu prsu u žen vyšších věku. (Vidět Klinické studie a VAROVÁNÍS Kardiovaskulární poruchy a maligní novotvary .)
Studie paměti žen v oblasti zdraví žen
Ve studii paměti iniciativy pro zdraví žen (rozmaru) postmenopauzálních žen ve věku 65 až 79 let bylo ve srovnání s placebem zvýšené riziko rozvoje pravděpodobné demence v estrogenu plus progestinové pomocné studii. (Vidět Klinické studie a VAROVÁNÍS Pravděpodobná demence .)
Informace o předávkování pro Prometrium
U lidí nebyly provedeny žádné studie o předávkách. V případě prometria předávkování ® (Progesteron USP) by měly být tobolky přerušeny a pacient by měl být léčen symptomaticky.
Kontraindikace pro prometrium
Prometrium Capsules should not be used in women with any of the following conditions:
- Prometrium Capsules should not be used in patients with known hypersensitivity to its ingredients. Prometrium Capsules contain peanut oil a should never be used by patients allergic to peanuts.
- Nediagnostikované abnormální krvácení genitálií.
- Známé podezření nebo anamnéza rakoviny prsu.
- Aktivní hluboká žilní trombóza plicní embolie nebo historie těchto podmínek.
- Aktivní arteriální tromboembolické onemocnění (například infarkt mrtvice a myokardu) nebo historie těchto podmínek.
- Známá dysfunkce nebo onemocnění jater.
- Známé nebo podezření na těhotenství.
Klinická farmakologie for Prometrium
Prometrium Capsules are an oral dosage form of micronized progesterone which is chemically identical to progesterone of ovarian origin. The oral bioavailability of progesterone is increased through micronization.
Farmakokinetika
Vstřebávání
Po perorálním podávání progesteronu jako mikronizované formulace s měkkou gelatinovou kapslí bylo dosaženo maximálních koncentrací v séru do 3 hodin. Absolutní biologická dostupnost mikronizovaného progesteronu není známa. Tabulka 1 shrnuje průměrné farmakokinetické parametry u postmenopauzálních žen po pěti perorálních denních dávkách tobolek prometrium 100 mg jako mikronizované formulaci měkké želatinové kapsle.
Tabulka 1.. Farmakokinetické parametry tobolek Prometrium
| Parametr | Prometrium Capsules Daily Dose | ||
| 100 mg | 200 mg | 300 mg | |
| CMAX (ng/ml) | 17,3 ± 21,9* | 38,1 ± 37,8 | 60.6 ± 72,5 |
| Tmax (HR) | 1,5 ± 0,8 | 2,3 ± 1,4 | 1,7 ± 0,6 |
| AUC (0-10) (x hr/ml) | 43,3 ± 30,8 | 101,2 ± 66,0 | 175,7 ± 170.3 |
| * Průměr ± S.D. |
Koncentrace progesteronu v séru se objevily lineární a dávky proporcionální po podávání promemetria s více dávkami ® (Progesteron USP) tobolky 100 mg v rozmezí dávky 100 mg denně až 300 mg denně u postmenopauzálních žen. Ačkoli dávky větší než 300 mg denně nebyly studovány u koncentrací séra žen ze studie u mužských dobrovolníků se zdály lineární a dávky úměrné mezi 100 mg denně a 400 mg denně. Farmakokinetické parametry u mužských dobrovolníků byly obecně v souladu s těmi, které byly pozorovány u postmenopauzálních žen.
Rozdělení
Progesteron je přibližně 96 procent až 99 procent vázán na sérové proteiny primárně na sérový albumin (50 až 54 procent) a trankortin (43 až 48 procent).
Metabolismus
Progesteron je metabolizován především játry převážně na těhotenství a těhotenství. Těhotenství a těhotenství jsou v játrech konjugovány metabolity glukuronidu a síranu. Metabolity progesteronu, které jsou vylučovány v dokonce může být dekonjugován a může být dále metabolizován ve střevě prostřednictvím redukční dehydroxylace a epimerizace.
Vylučování
Konjugáty glukuronidu a sulfátu těhotenství a těhotenství jsou vylučovány ve žluči a moči. Metabolity progesteronu jsou eliminovány hlavně ledvinami. Metabolity progesteronu, které jsou vylučovány ve žluči, mohou podstoupit enterohepatickou recyklaci nebo mohou být vylučovány ve stolicích.
Speciální populace
Farmakokinetika tobolek prometrium nebyla hodnocena u pacientů s nízkou tělesnou hmotností nebo obézními pacienty.
Jaterní nedostatečnost
Účinek poškození jater na farmakokinetiku tobolek prometrium nebyl studován.
Renální nedostatečnost
Účinek poškození ledvin na farmakokinetiku tobolek prometrium nebyl studován.
Interakce s potravinami - karud
Současné požití potravin zvýšilo biologickou dostupnost tobolek prometria vzhledem k stavu půstu, když se podává postmenopauzálním ženám v dávce 200 mg.
Lékové interakce
Metabolismus progesteronu lidskými jaterními mikrozomy byl inhibován ketokonazolem (IC (IC 50 <0.1 μM). Ketoconazole is a known inhibitor of cytochrome P450 3A4 hence these data suggest that ketoconazole or other known inhibitors of this enzyme may increase the bioavailability of progesterone. The clinical relevance of the in vitro nálezy nejsou známy.
Souběžné podávání konjugovaných estrogenů a tobolek prometrium na 29 postmenopauzálních žen po dobu 12 dnů vedlo ke zvýšení celkových koncentrací estronu (C 3,68 ng/ml na 4,93 ng/ml) a celkové koncentrace 0,0 pp (CIRUTION o 17 pp/pp) a CIRUTING 17 pp/Ml) a CIRUTIONS 17 pp/ml) a CIRUTIONUJÍCÍ 17 pp/Ml) a CIRUTUJECÍ ROZDĚLENÍ (CIRUTIONACE 17 pS. Ng/ml do 0,030 ng/ml). Poločas konjugovaných estrogenů byl podobný s souběžnou podáváním prometriálních tobolek. Tabulka 2 shrnuje farmakokinetické parametry.
Tabulka 2. Průměrná (± S.D.) Farmakokinetické parametry pro estradiol estron a ekvilin po souběžném podání konjugovaných estrogenů 0,625 mg a tobolek prometrium 200 mg po dobu 12 dnů po menopauzální ženy
| Konjugované estrogeny | Konjugované estrogeny plus Prometrium Capsules | |||||
| Lék | CMAX (ng/ml) | Tmax (HR) | AUC (0-24H) (x hr/ml) | CMAX (ng/ml) | Tmax (HR) | AUC (0-24H) (x hr/ml) |
| Estradiol | 0,037 ± 0,048 | 12,7 ± 9,1 | 0,676 ± 0,737 | 0,030 ± 0,032 | 17,32 ± 1,21 | 0,561 ± 0,572 |
| Estrone celkem* | 3,68 ± 1,55 | 10,6 ± 6,8 | 61,3 ± 26,36 | 4,93 ± 2,07 | 7,5 ± 3,8 | 85,9 ± 41,2 |
| Celkem ekvilin* | 2,27 ± 0,95 | 6,0 ± 4,0 | 28,8 ± 13,0 | 3,22 ± 1,13 | 5,3 ± 2,6 | 38,1 ± 20,2 |
| * Celkové estrogeny je součet konjugovaného a nekonjugovaného estrogenu. |
Klinické studie
Účinky na endometrium
V randomizované dvojitě slepé klinické studii 358 postmenopauzálních žen, z nichž každá s neporušenou dělohou byl léčen až 36 měsíců. Léčebné skupiny byly: Prometrium ® (progesteron USP) tobolky v dávce 200 mg denně po dobu 12 dnů za 28denní cyklus v kombinaci s konjugovanými estrogeny 0,625 mg za den (n = 120); konjugované estrogeny 0,625 mg za den pouze (n = 119); nebo placebo (n = 119). Subjekty ve všech třech léčebných skupinách byly primárně kavkazské ženy (87 procent nebo více z každé skupiny). Výsledky výskytu endometriální hyperplázie u žen, které dostávaly až 3 roky léčby, jsou uvedeny v tabulce 3. Porovnání tobolek prometrium plus konjugované estrogenové léčebné skupiny s konjugovanými estrogeny pouze pro vykazovalo pouze skupiny hyperplázie (6 % kombinované produkty oproti 64 procentům estrogenu) v průběhu 36 měsíců u léčebné skupiny v průběhu 36 měsíců u léčebné skupiny.
Tabulka 3. Výskyt endometriální hyperplázie u žen, které dostávaly 3 roky léčby
| Endometriální diagnostika | Léčena skupina | |||||
| Konjugované estrogeny 0.625 mg + Prometrium Capsules 200 mg (cyclical) | Konjugované estrogeny 0.625 mg (alone) | Placebo | ||||
| Počet pacientů | % pacientů | Počet pacientů | % pacientů | Počet pacientů | % pacientů | |
| Hyperplazie * | 7 | 6 | 74 | 64 | 3 | 3 |
| Adenokarcinom | 0 | 0 | 0 | 0 | 1 | 1 |
| Atypická hyperplázie | 1 | 1 | 14 | 12 | 0 | 0 |
| Složitá hyperplazie | 0 | 0 | 27 | 23 | 1 | 1 |
| Jednoduchá hyperplazie | 6 | 5 | 33 | 29 | 1 | 1 |
| * Nejvíce pokročilejší výsledek až nejméně pokročilý výsledek: adenokarcinom> atypická hyperplazie> komplexní hyperplazie> jednoduchá hyperplazie |
Časy k diagnostice endometriální hyperplázie po 36 měsících léčby jsou uvedeny na obrázku 1. Tento obrázek graficky ukazuje, že podíl pacientů s hyperplázií byl významně větší pro skupinu konjugovaných estrogenů (64 procent) ve srovnání s konjugovanými estrogeny plus skupinou prometrium tobolek (6 procent).
Obrázek 1.. Čas na hyperplázii u žen, které dostávaly až 36 měsíců léčby
Míra přerušení v důsledku hyperplázie během 36 měsíců léčby je uvedena v tabulce 4. U jakéhokoli stupně hyperplázie byla míra přerušení u pacientů, kteří dostávali konjugované estrogeny plus tobolky prometrium, podobná míře placeba, zatímco míra přerušení u pacientů, kteří dostávali konjugované estrogenty, byla významně vyšší. Ženy, které trvale ukončily léčbu v důsledku hyperplázie, byly v demografii podobné jako celkové studijní populace.
Tabulka 4. Míra přerušení v důsledku hyperplazie po 36 měsících léčby
| Nejpokročilejší biopsie výsledek během 36 měsíců léčby | Léčena skupina | |||||
| Konjugované estrogeny + Prometrium Capsules (cyclical) | Konjugované estrogeny (alone) | Placebo | ||||
| n = 120 | n = 119 | n = 119 | ||||
| Počet pacientů | % pacientů | Počet pacientů | % pacientů | Počet pacientů | % pacientů | |
| Adenokarcinom | 0 | 0 | 0 | 0 | 1 | 1 |
| Atypická hyperplázie | 1 | 1 | 10 | 8 | 0 | 0 |
| Složitá hyperplazie | 0 | 0 | 21 | 18 | 1 | 1 |
| Jednoduchá hyperplazie | 1 | 1 | 13 | 11 | 0 | 0 |
Účinky na sekundární amenoreu
V randomizované dvojitě slepé klinické studii, která zahrnovala premenopauzální ženy se sekundární amenoreou, po dobu nejméně 90 dnů podávání 10 dnů promemetru zahrnovala premenopauzální ® (Progesterone USP) Kapsle terapie vedla k tomu, že 80 procent žen zažívalo krvácení do 7 dnů od poslední dávky tobolek prometrium 300 mg denně (n = 20) ve srovnání s 10 procenty žen, které ve skupině placeba zažívaly odběrné odstoupení (n = 21).
V multicentrické paralelní skupině otevřená studie o dávkování postmarketingu, která zahrnovala premenopauzální ženy se sekundární amenoreou po dobu nejméně 90 dnů podávání 10 dnů tobonců prometria během dvou 28denních léčebných cyklů 300 mg za den (n = 107) nebo 400 mg za den (n = 99) vedly k 73,8 procentům a zažily ženy.
Míra sekreční transformace byla hodnocena v multicentrické randomizované dvojitě zaslepené klinické studii u estrogen-primenovaných postmenopauzálních žen. Tobolky prometrium podávané perorálně po dobu 10 dnů při 400 mg denně (n = 22) vyvolaly úplné sekreční změny v endometriu u 45 procent žen ve srovnání s 0 procenty ve skupině s placebem (n = 23).
Druhá multicentrická paralelní skupina Otevřená studie dávkování postmarketingu u premenopauzálních žen se sekundární amenoreou po dobu nejméně 90 dnů také vyhodnotila míru sekreční transformace. Všechny subjekty dostávaly denně perorální konjugované estrogeny během 3 po sobě jdoucích 28denních léčebných cyklů a tobolek prometrium 300 mg za den (n = 107) nebo 400 mg za den (n = 99) po dobu 10 dnů při každém léčebném cyklu. Míra úplné sekreční transformace byla 21,5 procenta a 28,3 procenta.
inhalační roztok ipratropium bromid albuterol sulfátu
Studie iniciativy pro zdraví žen
Iniciativa zdraví žen (WHI) zapsala přibližně 27 000 převážně zdravých postmenopauzálních žen ve dvou substadiích k posouzení rizik a přínosů každodenní perorální konjugované estrogeny (CE) [0,625 mg]-nebo v kombinaci s medroxyprogesteronem acetátem (MPA) [2,5 mg] v prezidenci v plném místě v prezentaci. Primárním koncovým bodem byl výskyt koronárních srdečních chorob [(CHD) definovaných jako nefatální infarkt myokardu (MI) Silent MI a CHD] s invazivním karcinomem prsu jako primárního nepříznivého výsledku. „Globální index“ zahrnoval nejčasnější výskyt invazivního CHD invazivního rakoviny prsu plicní plicní embolii (PE) rakovina endometria (pouze v CE plus MPA substatie) kolorektální rakoviny zlomeniny kyčle nebo smrt v důsledku jiné příčiny. Tyto sub studie nezhodnotily účinky CE - alone nebo CE plus MPA na symptomy menopauzů.
Whi estrogen plus progestinská náhrada
Nahrazení WHI estrogen plus progestin byla zastavena brzy. Podle předdefinovaného pravidla zastavení po průměrném sledování 5,6 let léčby zvýšené riziko rakoviny prsu a kardiovaskulárních příhod překročilo stanovené přínosy zahrnuté v „globálním indexu“. Absolutní nadměrné riziko událostí v „globálním indexu“ bylo 19 na 10000 žen.
Pro tyto výsledky zahrnuté v WHI 'globálním indexu', které dosáhly statistické významnosti po 5,6 letech sledování absolutních nadbytečných rizik na 10000 žen ve skupině ošetřené CE plus MPA bylo 7 dalších CHD událostí o 8 dalších úderů a dalších 5 let a více než 5 let o 5 let a o 5 dalších než 5 let a více než 5 let.
Výsledky estrogenu plus progestinové substady, která zahrnovala 16608 žen (průměrně 63 let věku 50 až 79; 83,9 procenta bílá 6,8 procenta černá 5,4 procenta hispánské 3,9 procenta jiných) jsou uvedeny v tabulce 5. Tyto výsledky odrážejí ústřední údaje po průměrném sledování 5,6 let.
Tabulka 5. Relativní a absolutní riziko pozorované v estrogenu plus progestinskou náhradu WHI v průměru 5,6 let * †
| Událost | Relativní riziko CE/MPA versus placebo (95% NCI ‡ ) | CE/MPA N = 8506 | Placebo n = 8102 |
| Absolutní riziko na 10000 ženských let | |||
| Události CHD | 1,23 (NULL,99-1,53) | 41 | 34 |
| Nefatální mi | 1,28 (NULL,00-1,63) | 31 | 25 |
| Smrt CHD | 1.10 (NULL,70-1,75) | 8 | 8 |
| Veškerá mrtvice | 1,31 (1.03-1,88) | 33 | 25 |
| Ischemická mrtvice | 1,44 (NULL,09-1,90) | 26 | 18 |
| Trombóza hluboké žíly § | 1,95 (1.43-2,67) | 26 | 13 |
| Plicní embolie | 2.13 (NULL,45-3.11) | 18 | 8 |
| Invazivní rakovina prsu ¶ | 1,24 (1.01-1,54) | 41 | 33 |
| Kolorektální rakovina | 0,61 (NULL,42-0,87) | 10 | 16 |
| Rakovina endometria § | 0,81 (NULL,48-1,36) | 6 | 7 |
| Rakovina děložního čípku § | 1,44 (NULL,47-4,42) | 2 | 1 |
| Zlomenina kyčle | 0,67 (NULL,47-0,96) | 11 | 16 |
| Obratlové zlomeniny § | 0,65 (NULL,46-0,92) | 11 | 17 |
| Dolní zlomeniny zápěstí/zápěstí § | 0,71 (NULL,59-0,85) | 44 | 62 |
| Celkové zlomeniny § | 0,76 (NULL,69-0,83) | 152 | 199 |
| Celková úmrtnost | 1,00 (NULL,83-1,19) | 52 | 52 |
| Globální index Þ | 1.13 (1.02-1.25) | 184 | 165 |
| * Přizpůsobeno z mnoha publikací WHI. WHI publikace si můžete prohlédnout na www.nhlbi.nih.gov/whi. † Výsledky jsou založeny na ústředních datech. ‡ Nominální intervaly spolehlivosti neupravují pro více vzhledů a vícenásobné srovnání. § Není zahrnuto do globálního indexu. ¶ Zahrnuje metastatický a nemetastatický karcinom prsu s výjimkou in situ rakoviny prsu. Þ Podskupina událostí byla kombinována v „globálním indexu“ definovaném jako nejčasnější výskyt událostí CHD invazivním rakovinou prsu Plicní plicní embolie endometriální rakovina kolorektálního karcinového zlomeniny kyčle nebo smrt kvůli jiným příčinám. |
Načasování zahájení estrogenní plus progestinové terapie ve srovnání se začátkem začátku menopauza může ovlivnit profil celkového rizika. WHI estrogen plus progestinová náhrada stratifikovaná za věk ukázala u žen ve věku 50 až 59 let nevýznamný trend směrem k snížení rizika celkové úmrtnosti [poměr rizika (HR) 0,69 (95 procent CI 0,44-1,07)].
Studie paměti iniciativy pro zdraví žen
The estrogen plus progestin Women's Health Initiative Memory Study (WHIMS) an ancillary study of WHI enrolled 4532 predominantly healthy postmenopausal women 65 years of age and older (47 percent were 65 to 69 years of age; 35 percent were 70 to 74 years of age; and 18 percent were 75 years of age and older) to evaluate the effects of daily CE (0.625 mg) plus MPA (2.5 mg) o incidenci pravděpodobné demence (primární výsledek) ve srovnání s placebem.
Po průměrném sledování 4 let bylo relativní riziko pravděpodobné demence pro CE plus MPA versus placebo 2,05 (95 procent CI 1,21-3,48). Absolutní riziko pravděpodobné demence pro CE plus MPA versus placebo bylo 45 oproti 22 na 10000 žen. Pravděpodobná demence, jak je definována v této studii, zahrnovala vaskulární demenci Alzheimerovy choroby (AD) (VAD) a smíšený typ (mající rysy AD i VAD). Nejběžnější klasifikací pravděpodobné demence ve skupině léčené a skupiny placeba byla AD. Od chvíle, kdy byla pomocná studie prováděna u žen ve věku 65 až 79 let, není známo, zda se tato zjištění vztahují na mladší postmenopauzální ženy. (Vidět VAROVÁNÍS Pravděpodobná demence a OPATŘENÍ Geriatrické použití.)
Informace o pacientu for Prometrium
Prometrium
(Progesteron USP)
Tobolky 100 mg a 200 mg
Než začnete užívat tobolky Prometrium (Progesterone USP), přečtěte si tyto informace o pacientech a přečtěte si, co získáte pokaždé, když doplníte předpis na prometrium Capsules. Mohou existovat nové informace. Tyto informace nezavazují místo rozhovoru s poskytovatelem zdravotní péče o zdravotním stavu nebo ošetření.
Jaké jsou nejdůležitější informace, které bych měl vědět o kapslích Prometrium
(Progesteronový hormon)?
- Progestiny s estrogeny by neměly být používány k prevenci srdečních infarktů infarktů úderů nebo demence.
- Použití progestinů s estrogeny může zvýšit vaši šanci na získání infarktů mrtvice na rakovinu prsu a krevní sraženiny.
- Použití progestinů s estrogeny může zvýšit vaši šanci na získání demence na základě studie žen ve věku 65 let a starších.
- Vy a váš poskytovatel zdravotní péče byste měli pravidelně hovořit o tom, zda stále potřebujete léčbu tobolek Prometrium.
Tento produkt obsahuje arašídový olej a neměl by být používán, pokud jste alergičtí na arašídy.
Co jsou tobolky Prometrium?
Prometrium Capsules contain the female hormone called progesterone.
Na co se používají tobolky Prometrium?
Léčba menstruačních nepravidelností
Prometrium Capsules are used for the treatment of secondary amenorrhea (absence of menstrual periods in women who have previously had a menstrual period) due to a decrease in progesterone. When you do not produce enough progesterone menstrual irregularities can occur. If your healthcare provider has determined your body does not produce enough progesterone on its own Prometrium Capsules may be prescribed to provide the progesterone you need.
Ochrana endometria (obložení dělohy)
Prometrium Capsules are used in combination with estrogen-containing medications in a postmenopausal woman with a uterus (womb). Taking estrogen-alone increases the chance of developing a condition called endometrial hyperplasia that may lead to cancer of the lining of the uterus (womb). The addition of a progestin is generally recommended for a woman with a uterus to reduce the chance of getting cancer of the uterus (womb).
Kdo by neměl brát tobolky Prometrium?
Pokud: Pokud jste:
- Jsou alergické na arašídy
- Mít neobvyklé vaginální krvácení
- V současné době mají nebo mají určité rakoviny
Estrogen plus léčba progestinu může zvýšit šanci na získání určitých typů rakoviny včetně rakoviny prsu nebo dělohy. Pokud jste měli nebo jste měli rakovinu mluvit se svým poskytovatelem zdravotní péče o tom, zda byste měli vzít tobolky Prometrium.
- Měl mrtvici nebo infarkt
- V současné době mají nebo mají krevní sraženiny
- V současné době mají nebo mají problémy s jatery
- Jsou alergičtí na tobolky prometrium nebo některá z jeho ingrediencí
Vidět the list of ingredients in Prometrium Capsules at the end of this leaflet.
- Myslíš, že jsi těhotná
Řekněte svému poskytovateli zdravotní péče:
- Pokud kojíte. Hormon v prometriálních tobolkách může projít do mateřského mléka.
- O všech vašich zdravotních problémech. Váš poskytovatel zdravotní péče vás možná bude muset pečlivě zkontrolovat, pokud máte určité podmínky, jako je astma (sípání) epilepsie (záchvaty) diabetes migréna endometrióza lupus lupus problémy se srdečními játrami štítná žláza nebo ledviny nebo máte vysokou hladinu vápníku v krvi.
- O všech lécích, které užíváte. To zahrnuje vitamíny a bylinné doplňky léčivých přípravků na předpis a předpisy. Některé léky mohou ovlivnit to, jak fungují tobolky prometria. Tobolky Prometrium mohou také ovlivnit to, jak fungují vaše ostatní léky.
Jak mám vzít tobolky Prometrium?
- Prevence endometriální hyperplázie: Post-menopauzální žena s dělohou, která užívá estrogeny, by měla vzít jednu denní dávku 200 mg tobolek prometrium před spaním po dobu 12 kontinuálních dnů za 28denní cyklus.
- Sekundární amenorea: Prometrium tobolky mohou být podávány jako jediná denní dávka 400 mg před spaním po dobu 10 dnů.
- Prometrium Capsules are to be taken at bedtime as some women become very drowsy a/or dizzy after taking Prometrium Capsules. V několika případech mohou příznaky zahrnovat rozmazané potíže se zrakem potíže s chůzí a pocitem abnormální. Pokud zažíváte tyto příznaky, diskutujte o nich hned se svým poskytovatelem zdravotní péče.
- Pokud máte potíže s polykáním tobolek prometrium, doporučuje se, abyste si vzali denní dávku před spaním se sklenicí vody, zatímco ve stojaté poloze.
Jaké jsou možné vedlejší účinky tobolek prometrium?
Vedlejší účinky jsou seskupeny podle toho, jak vážné jsou a jak často se vyskytují, když se vám zachází:
Mezi vážné, ale méně běžné vedlejší účinky patří:
- Riziko pro plod: Případy rozštěpu patra rozštěp rtů hypospadias komorová komora septálního defektu patentového ductus arteriosus a dalších vrozených srdečních vad.
- Abnormální srážení krve : Mrtvice infarkt Plicní embolická ztráta nebo slepota.
Mezi varovné signály vážných vedlejších účinků patří:
- Změny vize nebo řeči
- Náhlé nové těžké bolesti hlavy
- Těžké bolesti v hrudi nebo nohách se slabostí a únavou dech nebo bez ní nebo bez něj
- Závrať a faintness
- Zvracení
Pokud získáte některý z těchto varovných signálů nebo jiných neobvyklých příznaků, které se vás týkají, zavolejte svému poskytovateli zdravotní péče.
Mezi méně závažné, ale běžné vedlejší účinky patří:
- Bolest hlavys
- Bolest prsu
- Nepravidelné vaginální krvácení nebo špinění
- Žaludek nebo břišní křeče nadýmání
- Nevolnost a vomiting
- Vypadávání vlasů
- Retence tekutin
- Vaginální kvasinková infekce
Nejedná se o všechny možné vedlejší účinky tobolek Prometrium (Progesteron USP). Pro více informací se zeptejte svého poskytovatele zdravotní péče nebo lékárníka o radu ohledně vedlejších účinků. Můžete nahlásit vedlejší účinky společnosti Virtus Pharmaceuticals LLC na 1-888- 848-3593 nebo FDA na 1-800-FDA-1088.
Co mohu udělat, abych snížil své šance na vážný vedlejší účinek s kapslemi Prometrium?
Mohu vzít 1 mg xanaxu
- Pravidelně hovořte se svým poskytovatelem zdravotní péče o tom, zda byste měli pokračovat v přijímání tobolek Prometrium.
- Vidět your healthcare provider right away if you get neobvyklé vaginální krvácení while taking Prometrium Capsules.
- Proveďte zkoušku prsu pánevní a mamogram (rentgen prsu) každý rok, pokud vám váš poskytovatel zdravotní péče neřekne něco jiného. Pokud členové vaší rodiny měli rakovinu prsu nebo pokud jste někdy měli hrudky prsu nebo abnormální mamogram, možná budete muset častěji provést zkoušky prsu.
- Pokud máte vysoký krevní tlak vysoký cholesterol (tuk v krvi) diabetes s nadváhou nebo pokud používáte tabák, můžete mít vyšší šance na získání srdečních chorob. Požádejte svého poskytovatele zdravotní péče o způsoby, jak snížit své šance na získání srdečních chorob.
Generál information about safe a effective use of Prometrium Capsules
- Léky jsou někdy předepsány pro podmínky, které nejsou uvedeny v letácích informací o pacientech. Nebere to kapsle Prometrium za podmínky, pro které nebylo předepsáno.
- Váš poskytovatel zdravotní péče předepsal tento lék pro vás a pro vás sám. Nedávejte tobolům Prometrium jiným lidem, i když mají stejné příznaky, jaké máte. Může jim to poškodit.
- Prometrium Capsules should be taken as a single daily dose at bedtime. Some women may experience extreme závrať a/or ospalost during initial therapy.
- V několika případech mohou příznaky zahrnovat rozmazané potíže se zrakem potíže s chůzí a pocitem abnormální. Pokud zažíváte tyto příznaky, diskutujte o nich hned se svým poskytovatelem zdravotní péče.
- Při řízení motorového vozidla nebo operačního stroje mějte opatrnost, protože může dojít k závratě nebo ospalosti.
Udržujte tobolky Prometrium mimo dosah dětí.
Tento listový Let poskytuje shrnutí nejdůležitějších informací o tobolkách Prometrium. Pokud byste chtěli více informací, promluvte si se svým poskytovatelem zdravotní péče nebo lékárníkem. Můžete požádat o informace o tobolkách Prometrium, které jsou psány pro zdravotnické pracovníky. Více informací můžete získat voláním bezplatného čísla 1-888- 848-3593.
Jaké jsou ingredience v tobolkách Prometrium?
Aktivní složka: 100 mg nebo 200 mg mikronizovaného progesteronu
Mezi neaktivní složky pro tobolky Prometrium 100 mg patří: arašídový olej nf želatin nf glycerin USP lecitin nf titanium oxid USP FD
Neaktivní ingredience pro prometrium tobolky 200 mg zahrnují: arašídový olej nf želatin nf glycerin USP lecitin nf titanium oxid USP d
Jak dodáno
Prometrium Capsules 100 mg jsou kulaté broskvové tobolky označené černým otiskem „SV“.
Prometrium Capsules 200 mg jsou oválné bledě žluté zbarvené tobolky označené černým otiskem 'Sv2.
Skladovat při 25 ° C (77 ° F); Výlety povoleny na 15 ° až 30 ° C (59 ° až 86 ° F) [viz USP kontrolovaná pokojová teplota].
Chránit před nadměrnou vlhkostí.