Informace Na Stránce Nepředstavují Lékařskou Radu. Nic Neprodáváme. Přesnost Překladu Není Zaručena. Zřeknutí Se Odpovědnosti



Duoneb

Shrnutí drog

Co je Duoneb?

Duoneb (ipratropium bromid a ALBUTEROL FULFÁN ) je kombinace bronchodilatátorů používaných k léčbě a prevenci příznaků (sípání a dušnost) způsobené probíhajícím plicním onemocněním ( chronické obstrukční plicní onemocnění - CHOPN což zahrnuje bronchitidu a emfyzém).

Jaké jsou vedlejší účinky duoneb?

Mezi běžné vedlejší účinky duoneb patří:



  • bolest hlavy
  • závrať
  • nevolnost
  • sucho v ústech
  • Chvění (Tremors)
  • nervozita
  • zácpa nebo
  • Studené příznaky, jako je ucpaný nos kýchání kašel nebo bolest v krku.

Řekněte svému lékaři, pokud máte vážné vedlejší účinky DuoneB, včetně:



  • obtížné nebo bolestivé močení nebo
  • Svalové křeče.

Duoneb může způsobit vážné vedlejší účinky včetně:

  • síť
  • dusivání
  • další dýchací problémy po použití léku
  • bolest na hrudi
  • Rychlé nebo bušící srdeční rytmus
  • Flutteting v hrudi
  • Chvění
  • nervozita
  • otok nebo vaše kotníky nebo nohy
  • rozmazané vidění
  • Vize tunelu
  • bolest očí
  • Vidět halos kolem světla
  • bolestivé nebo obtížné močení
  • Křeče z nohou
  • zácpa
  • nepravidelné srdeční rytmus
  • zvýšená žízeň nebo močení
  • otupělost nebo brnění
  • Slabost svalů a
  • Klimatický pocit

Získejte lékařskou pomoc okamžitě, pokud máte výše uvedené příznaky.



Pokud máte následující vážné vedlejší účinky, vyhledejte lékařskou péči nebo zavolejte na číslo 911:

  • Vážné příznaky očí, jako je ztráta náhlého vidění rozmazané vidění vidění Vision Vision Eye Eye Eye Eye Eye Eye Eye Eye nebo vidět halos kolem světel;
  • Vážné příznaky srdce, jako je rychlé nepravidelné nebo bušení srdečního rytmu; třepování v hrudi; dušnost; a náhlé závratě lightheartiesness nebo omdlení;
  • Těžká zmatek bolesti hlavy zkažená paže řeči nebo slabost nohou Potíže se ztrátou chůze pocitu koordinace Nestabilní velmi tuhé svaly vysoké horečky bohaté pocení nebo třes.

Tento dokument neobsahuje všechny možné vedlejší účinky a mohou dojít k jiným. Další informace o vedlejších účincích najdete u svého lékaře.

Co je antibiotikum v Zpack

Dávkování pro Duoneb

Doporučená dávka DuoneB je jedna 3 ml lahvička podávaná 4krát denně pomocí nebulizace s až 2 dalšími 3 ml dávek povolených denně v případě potřeby.

Jaké léčivé látky nebo doplňky interagují s Duonebem?

Duoneb může interagovat s některými blokátory beta, jako je propranolol. Interakce léčiva mohou změnit způsob, jakým vaše léky fungují nebo zvyšují riziko vážných vedlejších účinků. Řekněte svému lékaři všechny produkty, které používáte, včetně léků na předpis/předběžný předpis a bylinných produktů. Nezačínejte zastavit ani nezměnit dávkování jakýchkoli léků bez souhlasu vašeho lékaře.

Duoneb během těhotenství a kojení

Během těhotenství by se Duoneb měl používat pouze tehdy, když je předepsán. Není známo, zda tento lék prochází do mateřského mléka. Před kojením se poraďte se svým lékařem.

Další informace

Naše duoneb (ipratropium bromid a albuterol sulfát) vedlejší účinky lékové centrum poskytuje komplexní pohled na dostupné informace o možných vedlejších účincích při užívání tohoto léku.

Informace o drogách FDA

Popis pro Duoneb

Aktivními složkami v inhalačním roztoku duoneb® (ipratropium bromid a albuterol sulfát) jsou albuterol sulfát a ipratropium bromid.

Albuterol sulfát je sůl racemického albuterolu a relativně selektivní β2-adrenergní bronchodilator chemicky popsaný jako a1-[(terc-butylamino) methyl] -4-hydroxy-mxylen-a a'-diol sulfát (2: 1). Má molekulovou hmotnost 576,7 a empirický vzorec je (c 13 H 21 ŽÁDNÝ 3 ) 2 • H. 2 TAK 4 . Je to bílý krystalický prášek rozpustný ve vodě a mírně rozpustný v ethanolu. Světová zdravotnická organizace doporučená název pro základnu Albuterol je Salbutamol.

Obrázek 3 1-1: Chemická struktura síranu albuterolu

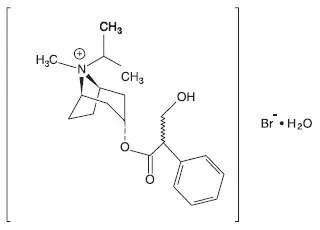
Bromid ipratropium je anticholinergní bronchodilatátor chemicky popsaný jako 8azoniabicyclo [3.2.1]-oktan 3- (3-hydroxy-1-2-fenylpropoxy) -8Methyl-8- (1 methylethyl)-Bromide monohydratát (endo)-(±)-; Syntetická kvartérní amoniová sloučenina chemicky související s atropinem. Má molekulovou hmotnost 430,4 a empirický vzorec je C 20 H 30 BrNO 3 • H. 2 O. Jedná se o bílou krystalickou látku volně rozpustnou ve vodě a spodní alkoholy a nerozpustné v lipofilních rozpouštědlech, jako je ether chloroform a fluorokarbony.

Obrázek 3. 1-2: Chemická struktura bromidu ipratropium.

Each 3 mL vial of DuoNeb (ipratropium bromide and albuterol sulfate) contains 3.0 mg (0.1%) of albuterol sulfate (equivalent to 2.5 mg (0.083%) of albuterol base) and 0.5 mg (0.017%) of ipratropium bromide in an isotonic sterile aqueous solution containing sodium chloride hydrochloric acid to upravte na pH 4 a edetát disodium USP (chelatační činidlo).

Duoneb (ipratropium bromid a ALBUTEROL FULFÁN) is a clear colorless solution. It does not require dilution prior to administration by nebulization. For Duoneb (ipratropium bromid a ALBUTEROL FULFÁN) Inhalation Solution like all other nebulized treatments the amount delivered to the lungs will depend on patient factors the jet nebulizer utilized and compressor performance. Using the Pari-LC-Plus™ nebulizer (with face mask or mouthpiece) connected to a PRONEB™ compressor system under in vitro Podmínky Průměrná dávka z ústního kusu (% nominální dávky) byla přibližně 46% albuterolu a 42% bromidu ipratropium při průměrném průtoku 3,6 l/min. Průměrná doba nebulizace byla 15 minut nebo méně. Duoneb (ipratropium bromid a albuterol sulfát) by se měly podávat z tryskových rozprašovačů při přiměřených průtokových rychlostech obličejovými maskami nebo náustky (viz viz Dávkování a podávání ).

Použití pro duoneb

Duoneb (ipratropium bromid a ALBUTEROL FULFÁN) is indicated for the treatment of bronchospasm associated with CHOPN in patients requiring more than one bronchodilator.

Dávkování pro Duoneb

Doporučená dávka DuoneB (ipratropium bromid a albuterol sulfát) je jedna 3 ml lahvička podávaná 4krát denně nebulizací až 2 dalšími 3 ml dávkami povolených v případě potřeby denně. Safety and efficacy of additional doses or increased frequency of administration of DuoNeb (ipratropium bromide and albuterol sulfate) beyond these guidelines has not been studied and the safety and efficacy of extra doses of albuterol sulfate or ipratropium bromide in addition to the recommended doses of DuoNeb (ipratropium bromide and albuterol sulfate) have not been studied.

Použití duoneb (ipratropium bromid a albuterol sulfát) může pokračovat tak, jak je lékařsky indikováno pro kontrolu opakujících se záchvatů bronchospasmu. Pokud dříve účinný režim neposkytne obvyklou pomocnou lékařskou radu, by měl být požádán okamžitě, protože se jedná o často známkou zhoršení CHOPN, což by vyžadovalo přehodnocení terapie.

K dodání duoneb (ipratropium bromid a albuterol a albuterol a albuterol síranu) každému pacientu byl použit nebulizér Pari-LC-PLUS ™ (s maskou nebo náústkem) připojený k kompresoru Proneb ™. Bezpečnost a účinnost duoneb (ipratropium bromid a albuterol sulfát) dodávaných jinými nebulizátory a kompresory nebyly stanoveny.

Duoneb (ipratropium bromid a ALBUTEROL FULFÁN) should be administered via jet nebulizer connected to an air compressor with an adequate air flow equipped with a mouthpiece or suitable face mask.

Jak dodáno

Duoneb (ipratropium bromid a ALBUTEROL FULFÁN) je dodáván jako 3 ml sterilní roztok pro nebulizaci ve sterilních lahvičkách s nízkou hustotou polyethylenu. Skladujte do pouzdra až do doby použití. Dodáváno v kartonech, jak je uvedeno níže.

NDC 49502-672-30 30 silnic u kartonu/5 silnic po fólii pouzdra

NDC 49502-672-60 60 silnic u kartonu/5 silnic po fólii pouzdra

Uložte mezi 2 ° C a 25 ° C (36 ° F a 77 ° F). Chránit před světlem.

Dey® Napa CA 94558.

Vedlejší účinky for Duoneb

Informace o nežádoucí reakci týkající se DuoneB (ipratropium bromid a albuterol sulfát) byly odvozeny z 12týdenní kontrolované klinické studie.

Nežádoucí účinky, které se vyskytují v ≥ 1% ≥ 1 léčebné skupiny (skupiny) a kde kombinovaná léčba vykazovala nejvyšší procento

Termín kostýmů těla Albuterol
n (%)
Ipratropium
n (%)
Duoneb
n (%)
Počet pacientů 761 754 765
N (%) pacienti s AE 327 (NULL,0) 329 (NULL,6) 367 (NULL,0)
Tělo jako W díra
8 (1.1) 4 (NULL,5) 10 (1.3)
chest 11 (1.4) 14 (1.9) 20 (2.6)
ZAŽÍVACÍ
5 (NULL,7) 9 (1.2) 14 (1.8)
7 (NULL,9) 8 (1.1) 10 (1.3)
7 (NULL,9) 6 (NULL,8) 11 (1.4)
Musculo -skeletal
8 (1.1) 6 (NULL,8) 11 (1.4)
RESPIRAČNÍ
11 (1.4) 13 (1.7) 13 (1.7)
36 (4.7) 34 (4.5) 49 (6.4)
27 (3.5) 27 (3.6) 34 (4.4)
7 (NULL,9) 8 (1.1) 10 (1.3)
Urogenitální
3 (NULL,4) 9 (1.2) 12 (1.6)

Další nežádoucí účinky uvedené u více než 1% pacientů léčených duoneb (ipratropium bromid a albuterol sulfát) zahrnovaly zácpu a změny hlasu.

V klinické studii došlo k 0,3% incidenci možných alergických reakcí, včetně kožního vyrážkového pruritu a urtiky.

Další informace odvozené z publikované literatury o použití síranu albuterolu a ipratropium bromidu samostatně nebo v kombinaci zahrnují srážení nebo zhoršení úzkoprskového glaukomu akutní bolest očí rozmazaná vidění Paradoxní bronchospazma Sírací se síla Sísař Zachycení Sísaní Houpadlo Vládku Síla Síla Síla Síla Houpačka Vláda Síla Síla Síla Síla Vláda Hrží krk a metabolická acidóza. Protože tyto reakce jsou hlášeny dobrovolně z populace nejisté velikosti, není vždy možné spolehlivě odhadnout jejich frekvenci nebo vytvořit kauzální vztah k expozici léčiva.

Lékové interakce for Duoneb

Anticholinergní činidla

Ačkoli je ipratropium bromid minimálně absorbován do systémového oběhu, existuje určitý potenciál pro aditivní interakci se současně používanými anticholinergní léky. Upozornění se proto doporučuje při souběžnosti duoneb (ipratropium bromid a albuterol sulfát) s dalšími léky, které mají anticholinergní vlastnosti.

β-adrenergní látky

Upozornění se doporučuje při společné podávání Duoneb (ipratropium bromid a albuterol sulfát) a dalších sympatomimetických látek v důsledku zvýšeného rizika nepříznivých kardiovaskulárních účinků.

Čléna blokujícího β-receptoru

Tato činidla a albuterol sulfát inhibují vzájemný účinek. U pacientů s hyperreaktivními dýchacími cestami by měla být používána činidla blokování p-receptoru a pokud jsou použity relativně selektivní selektivní látky P1, a pokud jsou použity.

Diuretika

Elektrokardiogram (EKG) se mění a/nebo hypokalémie, která může vyplývat z podávání diuretik netvazních šetřících (jako je smyčka nebo diuretika thiazidu), mohou být akutně zhoršeny β-agonisty, zejména pokud je doporučená dávka β-agonisty překročena. Ačkoli klinický význam těchto účinků není známý opatrně, je doporučena při společné podávání léků obsahujících β-agonisty, jako je Duoneb (ipratropium bromid a albuterol sulfát) s nepotasiem šetřící diuretiky.

Inhibitory monoamin oxidázy nebo tricyklická antidepresiva

Duoneb (ipratropium bromid a ALBUTEROL FULFÁN) should be administered with extreme caution to patients being treated with monoamine oxidase inhibitors or tricyclic antidepressants or within 2 weeks of discontinuation of such agents because the action of ALBUTEROL FULFÁN on the cardiovascular system may be potentiated.

Albuterol Sulfate

Varování for Duoneb

Paradoxní bronchospasmus

V klinické studii duoneb (ipratropium bromid a albuterol sulfát) nebyl pozorován paradoxní bronchospasmus. Paradoxní bronchospasmus však byl pozorován jak u inhalovaných produktů ipratropium bromidu a albuterolu, a může být život ohrožující. Pokud k tomu dojde, měl by být duoneb (ipratropium bromid a albuterol sulfát) okamžitě vysazen a alternativní terapie zavedena.

Nepřekračujte doporučenou dávku

Úmrtí byly hlášeny ve spojení s nadměrným používáním inhalačních produktů obsahujících sympatomimetické aminy a s domácím používáním rozprašovačů.

Kardiovaskulární účinek

Duoneb (ipratropium bromid a ALBUTEROL FULFÁN) like other beta adrenergic agonists can produce a clinically significant cardiovascular effect in some patients as measured by pulse rate blood pressure and/or symptoms. Although such effects are uncommon for Duoneb (ipratropium bromid a ALBUTEROL FULFÁN) at recommended doses if they occur the drug may need to be discontinued. In addition beta agonists have been reported to produce ECG changes such as flattening of the T-wave prolongation of the QTc interval and ST segment depression. The clinical significance of these findings is unknown. Therefore Duoneb (ipratropium bromid a ALBUTEROL FULFÁN) like other sympathomimetic amines should be used with caution in patients with cardiovascular disorders especially coronary insufficiency cardiac arrhythmias and hypertension.

Okamžité reakce přecitlivělosti

Okamžité hypersenzitivní reakce na albuterol a/nebo ipratropium bromid se mohou objevit po podání duonebu (ipratropium bromid a albuterol sulfát), jak prokázaly vzácné případy výrazového vyrážky angioedému Urticaria angioedéma.

Opatření for Duoneb

Generál

  1. Účinky pozorované u sympatomimetických léků: Stejně jako u všech produktů obsahujících sympatomimetické aminy duoneb (ipratropium bromid a albuterol sulfát) by se měly používat s opatrností u pacientů s kardiovaskulárními poruchami, zejména srdeční arytmií a hypertenzí, zejména koronární nedostatečnosti; u pacientů s křečovými poruchami hypertyreóza nebo Diabetes mellitus ;; a u pacientů, kteří neobvykle reagují na sympatomimetické aminy. Bylo hlášeno, že velké dávky intravenózního albuterolu zhoršují již existující diabetes mellitus a ketoacidózu. Navíc β-agonisté mohou u některých pacientů způsobit snížení sérového draslíku pravděpodobně intracelulárním posunem. Pokles je obvykle přechodný, nevyžaduje doplnění.
  2. Účinky pozorované u anticholinergních léků: V důsledku přítomnosti ipratropium bromidu v duonebu (ipratropium bromid a albuterol sulfát) by měl být používán s opatrností u pacientů s hypertrofií prostatické hypertrofie glaukomu s úzkým úhlem nebo obstrukcí krku močového měchýře.
  3. Použití při onemocnění jater nebo ledvin: Duoneb (ipratropium bromid a ALBUTEROL FULFÁN) has not been studied in patients with hepatic or renal insufficiency. It should be used with caution in these patient populations.

Informace pro pacienty

Akce duonebu (ipratropium bromid a albuterol sulfát) by měla trvat až 5 hodin. Duoneb (ipratropium bromid a síran albuterol) by se neměli používat častěji, než se doporučuje. Pacienti by měli mít pokyn, aby nezvyšovali dávku nebo frekvenci duoneb (ipratropium bromid a albuterol sulfát), aniž by se poradili s poskytovatelem zdravotní péče. Pokud by se příznaky zhoršily pacienti, aby měli být instruováni, aby vyhledali lékařskou konzultaci.

Pacienti se musí vyhýbat vystavením očí tomuto produktu, protože může dojít k dočasné papilární dilataci rozmazané vidění očí nebo srážení nebo zhoršení glaukomu s úzkým úhlem, a proto by měla být zajištěna správná technika rozprašovače, zejména pokud je použita maska.

Pokud pacient otěhotní nebo začne ošetřovat, zatímco na duonebu (ipratropium bromid a albuterol sulfát), měli by se obrátit na svého poskytovatele zdravotní péče o používání Duoneb.

Viz ilustrované Poučení pacienta pro použití V příloze produktu.

Zhodnocení mutageneze karcinogeneze plodnosti

Albuterol sulfate

Ve dvouleté studii u potkanů ​​Sprague-Dawley způsobil albuterol sulfát albuterol významné zvýšení výskytu benigních leiomyomů mezovaria při a nad dietními dávkami 2 mg/kg (přibližně rovný maximálnímu doporučenému dennímu dávce pro dospělé na základě Mg/m²). V jiné studii byl tento účinek blokován souběžnou podáváním propranololu a neselektivního beta-adrenergního antagonisty.

V 18měsíční studii u CD-1 myší albuterol sulfátu neprokázal žádný důkaz tumorigenicity při stravovacích dávkách až do 500 mg/kg (přibližně 140násobek maximální doporučené denní inhalační dávky pro dospělé na základě mg/m²). Ve 22měsíční studii u zlatých křečků albuterol sulfát neprokázal žádný důkaz tumorigenicity při stravovacích dávkách až do 50 mg/kg (přibližně 20násobek maximální doporučené denní inhalační dávky pro dospělé na základě mg/m²).

Albuterol sulfate was not mutagenic in the Ames test or a mutation test in yeast. Albuterol sulfate was not clastogenic in a human peripheral lymphocyte assay or in an AH1 strain mouse micronucleous assay.

Reprodukční studie u potkanů ​​neprokázaly žádný důkaz zhoršené plodnosti při perorálních dávkách albuterolu sulfátu až do 50 mg/kg (přibližně 25krát vyšší než maximální doporučená denní inhalační dávka pro dospělé na základě mg/m²).

Ipratropium bromide

Ve dvouletých studiích u potkanů ​​Sprague-Dawley a bromidu Ipratropium bromidu CD-1 neprokázaly žádné důkazy o tumorigenicitě v perorálních dávkách až do 6 mg/kg (přibližně 15krát a 8krát maximální doporučená denní inhalační dávka pro dospělé u potkanů ​​a myší na základě Mg/m²).

Ipratropium bromide was not mutagenic in the Ames test and mouse dominantní smrtící test. Bromid ipratropium nebyl klastogenní v myším mikronukleovém testu.

Reprodukční studie u potkanů ​​prokázala sníženou početí a zvýšené resorpce, když byl ipratropium bromid podáván perorálně v dávce 90 mg/kg (přibližně 240násobek maximální doporučené denní inhalační dávky pro dospělé na základě mg/m²). Tyto účinky nebyly pozorovány s dávkou 50 mg/kg (přibližně 140násobek maximální doporučené denní inhalační dávky pro dospělé na základě mg/m²).

Těhotenství

Teratogenní účinky: kategorie těhotenství C
Albuterol sulfate

Těhotenství Category C . Ukázalo se, že albuterol sulfát je u myší teratogenní. Studie u CD-1 myší podřízena sulfátem albuterolu subkutánně vykazovala tvorbu rozštěpu patra u 5 z 111 (NULL,5%) plodů při 0,25 mg/kg (méně než maximální doporučená denní inhalační dávka pro dospělé na základě Mg/m²) a 10 z 108 (NULL,3%) fetusů při přibližně 2,5 mg/kg pro dospělé na základě MG/m²) dospělí na základě mg/m²). Lék nevyvolával tvorbu rozštěpu patra, když byl podáván subkutánně v dávce 0,025 mg/kg (menší než maximální doporučená denní inhalační dávka pro dospělé na základě mg/m²). Rozštěp patra se také vyskytl u 22 ze 72 (NULL,5%) plodů od samic léčených subkutánně 2,5 mg/kg isoproterenolu (pozitivní kontrola).

Reprodukční studie u králíků Stride odhalila cranioschisis na 7 z 19 (37%) plodů, když byl albuterol podáván orálně v dávce 50 mg/kg (přibližně 55krát vyšší než maximální doporučená denní inhalační dávka pro dospělé na základě mg/m²).

Studie, u které byly těhotné potkany dávkovány radioaktivně značeným síranem albuterolu, prokázala, že materiál související s léčivem je přenesen z mateřského oběhu na plod.

Během celosvětového marketingového zkušeností byly u potomků pacientů léčeny albuterolem zaznamenány různé vrozené anomálie, včetně defektů rozštěpu patra a končetin. Některé z matek užívaly během těhotenství více léků. Protože nelze rozeznat žádný konzistentní vzorec defektů, nebyl stanoven vztah mezi používáním albuterolu a vrozenými anomáliemi.

Ipratropium bromide

Těhotenství Category B. Reproduction studies in CD-1 mice Sprague-Dawley rats and New Zealand rabbits demonstrated no evidence of teratogenicity at oral doses up to 10 100 and 125 mg/kg respectively (approximately 15 270 and 680 times the maximum recommended daily inhalation dose for adults on a mg/m² basis). Reproduction studies in rats and rabbits demonstrated no evidence of teratogenicity at inhalation doses up to 1.5 and 1.8 mg/kg respectively (approximately 4 and 10 times the maximum recommended daily inhalation dose for adults on a mg/m² basis). There are no adequate and well-controlled studies of the use of Duoneb (ipratropium bromid a ALBUTEROL FULFÁN) ALBUTEROL FULFÁN or ipratropium bromide in pregnant women. Duoneb (ipratropium bromid a ALBUTEROL FULFÁN) should be used during pregnancy only if the potential benefit justifies the potential risk to the fetus.

Práce a dodávka

Bylo prokázáno, že perorální albuterol sulfát v některých zprávách zpožďuje předčasnou porod. Kvůli potenciálu albuterolu zasahovat do kontraktility dělohy používání duonebu (ipratropium bromid a albuterol sulfát) během porodu by měly být omezeny na pacienty, u nichž přínosy jasně převáží rizika.

Ošetřovatelské matky

Není známo, zda se složky duoneb (ipratropium bromid a albuterol sulfát) vylučují do lidského mléka. Ačkoli kvartérní základny nerozpustné lipidy přecházejí do mateřského mléka, je nepravděpodobné, že by bromid ipratropium dosáhl dítěte v důležitém rozsahu, zejména pokud je užíván jako roztok. Vzhledem k potenciálu tumorigenity ukázaného pro sulfát albuterolu u některých zvířat by mělo být rozhodnuto, zda ukončit ošetřovatelství nebo přerušit duoneb (ipratropium bromid a albuterol sulfát) s ohledem na význam léčiva pro matku.

Dětské použití

Nebyla stanovena bezpečnost a účinnost duoneb (ipratropium bromid a albuterol sulfát) u pacientů mladších 18 let.

Geriatrické použití

Z celkového počtu subjektů v klinických studiích duoneb (ipratropium bromid a albuterol sulfát) 62 procent bylo 65 a více, zatímco 19 procent bylo 75 a více. Nebyly pozorovány žádné celkové rozdíly v oblasti bezpečnosti nebo účinnosti mezi těmito subjekty a mladšími subjekty a dalšími hlášenými klinickými zkušenostmi neidentifikovaly rozdíly v odpovědích mezi staršími a mladšími pacienty, ale nelze vyloučit větší citlivost některých starších jedinců.

Informace o předávkování pro Duoneb

Očekává se, že účinky předávkování s duonebem (ipratropium bromid a albuterol sulfát) se vztahují primárně s albuterol sulfát, protože ipratropium bromid není systematicky absorbován po perorálním nebo aerosolovém podávání. Očekávané příznaky s předávkou jsou příznaky nadměrné beta-adrenergní stimulace a/nebo výskyt nebo přehánění symptomů, jako je záchvaty angina hypertenze nebo hypotenze Tachykardie s rychlostí až 200 rytmů za minutu arytmii nervozita hlava nadměrná ústní ústní ústní ústní ústní ústní ústní ústní ústní ústní ústní ústní ústní ústní ústní ústní ústní ústa. Může se také vyskytnout hypokalémie. Stejně jako u všech sympatomimetických aerosolových léků srdeční zástava a dokonce i smrt může být spojena se zneužíváním duonebu (ipratropium bromid a albuterol sulfát). Léčba spočívá v přerušení duoneb (ipratropium bromid a albuterol sulfát) spolu s vhodnou symptomatickou terapií. S ohledem na to, že takové léky mohou produkovat bronchospasmus, lze považovat za rozumné použití kardioselektivního blokátoru beta-receptoru. Neexistuje dostatečný důkaz, který by určil, zda je dialýza prospěšná pro předávkování duonebu (ipratropium bromid a albuterol sulfát).

Perorální medián letální dávky síranu albuterolu u myší je větší než 2000 mg/kg (přibližně 540krát větší doporučenou denní inhalační dávku duoneb (ipratropium bromid a albuterol sulfát) na základě mg/m²). Subkutánní střední letální dávka síranu albuterolu u zralých potkanů ​​a malých mladých potkanů ​​je přibližně 450 a 2000 mg/kg (přibližně 240 a 1100krát vyšší než maximální doporučená denní inhalační dávka duoneb (ipratropium bromid a albuterol síla) na základě Mg/mg). Inhalační mediánová letální dávka nebyla stanovena u zvířat. Perorální střední letální dávka ipratropium bromidu u myší potkanů ​​a psů je větší než 1000 mg/kg přibližně 1700 mg/kg a přibližně 400 mg/kg (přibližně 1400 4600 a 3600krát vyšší než maximální doporučená dávka inhalační dávky u dospělých na základě Mg/m²).

Kontraindikace pro Duoneb

Duoneb (ipratropium bromid a ALBUTEROL FULFÁN) is contraindicated in patients with a history of hypersensitivity to any of its components or to atropine and its derivatives.

Klinická farmakologie for Duoneb

Duoneb (ipratropium bromid a ALBUTEROL FULFÁN) Inhalation Solution is a combination of the β2-adrenergic bronchodilator ALBUTEROL FULFÁN and the anticholinergic bronchodilator ipratropium bromide.

Albuterol Sulfate

Mechanismus působení

Hlavním působením β-adrenergních léčiv je stimulovat adenylcyklázující enzym, který katalyzuje tvorbu cyklického-3'5'- adenosin monofosfátu (cAMP) z adenosin triphosfátu (ATP). Takto vytvořený tábor zprostředkovává buněčné reakce. Studie in vitro a in vivo farmakologické studie prokázaly, že albuterol má preferenční účinek na p2-adrenergní receptory ve srovnání s isoproterenolem. I když se uznává, že β2-adrenergní receptory jsou převládajícími receptory v nedávných údajích o bronchiálním hladkém svalstvu, což naznačuje, že 10% až 50% βreceptorů v lidském srdci mohou být p2-receptory. Přesná funkce těchto receptorů však dosud není stanovena. Ve většině kontrolovaných klinických studií bylo prokázáno, že albuterol má větší účinek na respirační trakt ve formě relaxace bronchiálního hladkého svalstva než isoproterenol ve srovnatelných dávkách a zároveň způsobuje méně kardiovaskulárních účinků. Kontrolované klinické studie a další klinické zkušenosti ukázaly, že inhalační albuterol jako jiná β-adrenergní agonistická léčiva mohou u některých pacientů způsobit významný kardiovaskulární účinek.

Farmakokinetika

Albuterol sulfate is longer acting than isoproterenol in most patients by any route of administration because it is not a substrate for the cellular uptake processes for Katecholamin ani pro metabolismus katechol-o-methyl transferázy. Místo toho je léčiva konjugativně metabolizována na albuterol 4'-o-sulfát.

Farmakologie/toxikologie zvířat

Intravenózní studie u potkanů ​​s síranem albuterolu prokázaly, že albuterol překračuje hematoencefalickou bariéru a dosáhne koncentrací mozku ve výši přibližně 5% plazmatických koncentrací. Ve strukturách mimo bariéru krve-křemene (pineal a hypofýzy) bylo zjištěno, že koncentrace albuterolu jsou 100krát vyšší než v celém mozku.

Studie laboratorních zvířat (minipigs hlodavců a psů) prokázaly výskyt srdečních arrytmií a náhlé smrti (s histologickým důkazem nekrózy myokardu), když jsou beta-agonisté a methyl-xantiny podávány souběžně. Klinický význam těchto zjištění není znám.

Ipratropium Bromide

Mechanismus působení

Ipratropium bromide is an anticholinergic (parasympatholytic) agent which blocks the muscarinic receptors of acetylcholine and based on animal studies appears to inhibit vagally mediated reflexes by antagonizing the action of acetylcholine the transmitter agent released from the vagus nerve . Anticholinergics prevent the increases in intracellular concentration of cyclic guanosine monophosphate (cGMP) resulting from the interaction of acetylcholine with the muscarinic receptors of bronchial smooth muscle.

Farmakokinetika

Bronchodilatace po inhalaci ipratropia je primárně lokálním místem specifickým efektem, nikoli systémovým. Většina inhalované dávky je spolkována, jak ukazují studie vylučování fekálních. Po nebulizaci dávky 1 mg na zdravé dobrovolníky byl v moči nezměněn průměr 4% dávky.

Ipratropium bromide is minimally (0% to 9% in vitro ) vázáno na plazmatický albumin a a1acid glykoproteiny. Je částečně metabolizován na neaktivní produkty hydrolýzy esteru. Po intravenózním podávání se přibližně polovina vylučuje v moči nezměněna. Poločas eliminace je asi 1,6 hodiny po intravenózním podání. Bromid ipratropium, který dosahuje systémového oběhu, je údajně odstraněn ledvinami rychle rychlostí, která přesahuje rychlost glomerulární filtrace. Farmakokinetika inhalačního roztoku duoneb (ipratropium bromid a albuterol sulfát) nebo ipratropium bromidu nebyly studovány u starších a u pacientů s jaterní nebo renální nedostatečností (viz viz (viz renální nebo renální nedostatečnost (viz viz OPATŘENÍ ).

Farmakologie/toxikologie zvířat

Autoradiografické studie u potkanů ​​ukázaly, že iPratropium nepronikne do hematoencefalické bariéry.

Duoneb® (ipratropium bromid a albuterol sulfát)

Mechanismus působení

Duoneb (ipratropium bromid a ALBUTEROL FULFÁN) is expected to maximize the response to treatment in patients with chronické obstrukční plicní onemocnění (CHOPN) by reducing bronchospasm through two distinctly different mechanisms: sympathomimetic (ALBUTEROL FULFÁN) and anticholinergic/parasympatholytic (ipratropium bromide). Simultaneous administration of both an anticholinergic and a β2-sympathomimetic is designed to produce greater bronchodilation effects than when either drug is utilized alone at its recommended dosage.

Farmakologie/toxikologie zvířat

Ve 30denních studiích na potkanech Sprague-Dawley a Beagle Dogs subkutánní dávky až 205,5 mcg/kg ipratropium podávané až 1 000 mcg/kg albuterolu u potkanů ​​a 3,16 mcg/kg ipratropium nebo 15 mcg/kg albuterolu u psů (nižší než maximální doporučení pro dospělé, ne nebol se u psů, které nebyly smrt na mg/mg/mg/mg/mg/mg/mg/mg/mg/mg/mg/mg/mg), které nebyly u dospělých), nebo ne nebol na psi), které nebyly smrt na Mg/mg/mg/mg) nebo ne smrt) nebo ne smrt/mg/mg) nebo ne smrt/mg/kg albuterol), a ne smrt/kg albuterol) nebo 15 mcg/kg albuterolu) nebo 15 mcg/kg albuterolu. Potenciace kardiotoxicity vyvolaná albuterolem podána samostatně.

Farmakokinetika

Ve studii křížení s dvojitým slepým dvěma obdobími bylo podáno 15 mužských a ženských subjektů jednotlivých dávek duoneb (ipratropium bromid a albuterol sulfát) nebo inhalační roztok albuterolu sulfátu při dvounásobném doporučeném jednotlivých dávkách jako dvě inhalace separované 15 minut. Celková nebulizovaná dávka síranu albuterolu z obou ošetření byla 6,0 mg a celková dávka bromidu ipratropium z DuoneB (ipratropium bromid a albuterol sulfát) byla 1,0 mg. Vrcholové plasmatické koncentrace albuterolu se objevily 0,8 hodin po dávkování pro obě léčby. Průměrná koncentrace albuterolu v píku po podání samotného albuterol sulfátu byla 4,86 ​​(± 2,65) mg/ml a to bylo 4,65 (± 2,92) mg/ml pro duoneb (ipratropium bromid a albuterol sulfát). Průměrné hodnoty AUC pro dvě ošetření byly 26,6 (± 15,2) ng · HR/ml (samotný albuterol sulfát) versus 24,2 (± 14,5) ng · HR/ML (Duoneb (ipratropium bromid a albuterol sulfát))). Průměrné hodnoty T½ byly 7,2 (± 1,3) hodiny (samotný albuterol sulfát) a 6,7 ​​(± 1,7) hodiny (duoneb (ipratropium bromid a albuterol sulfát)). Průměr 8,4 (± 8,9)% dávky albuterolu byl vylučován nezměněn v moči po podání dvou laviček duoneb (ipratropium bromid a albuterol sulfát), který je podobný 8,8 (± 7,3)%, který byl získán z albuterolu sulfatu. Mezi oběma ošetřeními nebyly statisticky významné rozdíly ve farmakokinetice albuterolu. U ipratropium byl průměr 3,9 (± 5,1)% dávky ipratropium bromidové vylučován nezměněn v moči po dvou lahvicích inhalačního roztoku DuoneB (ipratropium bromid a albuterol sulfát), který je srovnatelný s dříve hlášenými údaji.

Klinické studie

Ve 12týdenní randomizované dvojitě zaslepené pozitivní kontrolní křížové studii albuterolu sulfátu ipratropium bromidu a duoneb (iPropium bromid a albuterol sulfát) 863 pacientů s COPD byl hodnocen pouze na bronchodilator efektivitu a bronchod bromid a albuterol) pouze na bronchodilator a bromid bromid a albuterol) a samoroperol a iprithopol sulfate.

Duoneb (ipratropium bromid a ALBUTEROL FULFÁN) demonstrated significantly better changes in FEV 1 měřeno od výchozí hodnoty k píku ve srovnání s bromidem albuterol nebo ipratropium. Rovněž bylo prokázáno, že duoneb (ipratropium bromid a albuterol sulfát) má rychlý nástup spojený s síranem albuterolu s průměrnou dobou na vrchol FEV 1 1,5 hodiny a prodloužená doba trvání spojená s bromidem ipratropium s trváním 15% odezvy v FEV 1 4,3 hodiny.

Obrázek 3: 1-3: Průměrná změna FEV 1 - měřeno 14. den

Mean Change in FEV 1 - Measured on Day 14 - Illustration

Tato studie prokázala, že každá složka duoneb (ipratropium bromid a síran albuterol) přispěla ke zlepšení plicní funkce, zejména během prvních 4 až 5 hodin po dávkování a duoneb (samotný duoneb (ipratropium bromid a albuterol sulfát) byl významně účinnější než albuterol sulfát.

Informace o pacientovi pro Duoneb

Duoneb®
(Ipratropium bromid 0,5 mg/albuterol sulfát 3,0 mg*) inhalační roztok

*Ekvivalent základny 2,5 mg albuterolu

Pokyny pro použití pacienta pro použití

Přečtěte si tyto informace o pacientech zcela pokaždé, když je váš předpis vyplněn, protože se informace mohly změnit. Udržujte tyto pokyny s léky, protože je možná budete chtít přečíst znovu.

Duoneb (ipratropium bromid a ALBUTEROL FULFÁN) should only be used under the direction of a physician. Your physician and pharmacist have more information about Duoneb (ipratropium bromid a ALBUTEROL FULFÁN) and the condition for which it has been prescribed. Contact them if you have additional questions.

Uložení vašeho léku

Uložte duoneb (ipratropium bromid a albuterol sulfát) mezi 2 ° C a 25 ° C (36 ° F a 77 ° F). Vials by měly být před použitím chráněny před světlem, proto udržujte nepoužité lahvičky ve fólii nebo v kartonu. Nepoužívejte po datu vypršení (exp) vytištěného na kartonu.

Dávka

Duoneb (ipratropium bromid a ALBUTEROL FULFÁN) is supplied as a single-dose ready-to-use vial containing 3 mL of solution. No mixing or dilution is needed. Use one new vial for each nebulizer treatment.

Postupujte podle těchto pokynů pro použití vašeho rozprašovače/kompresoru nebo pokynů poskytovaného poskytovatelem zdravotní péče. Typický příklad je uveden níže.

Pokyny pro použití

1. Odstraňte jednu lahvičku z fóliového pouzdra. Umístěte zbývající lahvičky zpět do pouzdra pro skladování.

2. otočte víčko úplně z lahvičky a stiskněte obsah do nádrže rozprašovače (obrázek 1).

Obrázek 1

Twist the cap completely off the vial and squeeze the contents into the nebulizer reservoir - Illustration

3. Připojte rozprašovač k náustku nebo masku obličeje (obrázek 2).

Obrázek 2

Connect the nebulizer to the mouthpiece - Illustration

4. Připojte rozprašovač k kompresoru.

5. Posaďte se v pohodlné vzpřímené poloze; Umístěte náustek do úst (obrázek 3) nebo položte na masku obličeje (obrázek 4); a zapněte kompresor.

Jak dlouho Ambien Cr vydrží

Obrázek 3

Place the mouthpiece in your mouth - Illustration

Obrázek 4

Put on the face mask - Illustration

6. Dýchejte co nejvíce hluboce a rovnoměrněji ústy, dokud se v komoře rozprašovače (asi 5-15 minut) nevytvoří žádná mlha. V tomto okamžiku je léčba dokončena.

7. Vyčistěte rozprašovač (viz Pokyny výrobce ).

Duoneb®
(Doo-O-Neb) (ipratropium bromid 0,5 mg/albuterol sulfát 3,0 mg*) inhalační roztok

*Ekvivalent základny 2,5 mg albuterolu

Než začnete používat a pokaždé, když získáte, přečtěte si informace o pacientovi, které přicházejí s DuoneB® (ipratropium bromid a albuterol sulfát). Mohou existovat nové informace. Tento leták nezanechá místo rozhovoru se svým lékařem o vašem zdravotním stavu nebo ošetření.

Co je duoneb® (ipratropium bromid a albuterol sulfát)?

Duoneb® (ipratropium bromid a albuterol sulfát) is a combination of two medicines called bronchodilators. Duoneb® (ipratropium bromid a albuterol sulfát) contains ALBUTEROL FULFÁN which is a beta-adrenergic agonist and ipratropium bromide which is an anticholinergic. These two medicines work together to help open the airways in your lungs. Duoneb® (ipratropium bromid a albuterol sulfát) is used to help treat airway narrowing (bronchospasm) that happens with chronické obstrukční plicní onemocnění (CHOPN) in adult patients who need to use more than one bronchodilator medicine.

Kdo by neměl používat Duoneb® (ipratropium bromid a albuterol sulfát)?

Nepoužívejte duoneb® (ipratropium bromid a sulfát albuterol), pokud jste: jste alergičtí na některou z ingrediencí v Duonebu (ipratropium bromid a albuterol sulfát) nebo na atropin. Aktivními složkami jsou bromid albuterol a ipratropium. Úplný seznam složek v Duoneb® naleznete na konci tohoto letáku (ipratropium bromid a síran albuterol).

Duoneb® (ipratropium bromid a albuterol sulfát) has not been studied in patients younger than 18 years of age.

Co bych měl říct svému lékaři, než začnu používat duoneb® (ipratropium bromid a albuterol sulfát)?

Řekněte svému lékaři o všech vašich podmínkách, včetně, pokud:

  • Mít problémy se srdcem. To zahrnuje onemocnění koronárních tepen a problémy s rytmem srdce.
  • Mít vysoký krevní tlak
  • Mít cukrovku
  • Mít nebo mít záchvaty
  • Mít problém se štítnou žlázou zvaný hypertyreóza
  • Mít oční problém zvaný úzký úhel glaukom
  • Mít problémy s játry nebo ledvinami
  • Mít problémy s močením kvůli zablokování krku močového měchýře nebo zvětšené prostatě (muži)
  • Jsou těhotné nebo plánují otěhotnět. Není známo, zda Duoneb® (ipratropium bromid a albuterol sulfát) může poškodit vaše nenarozené dítě. Vy a váš lékař se budete muset rozhodnout, zda je Duoneb® (ipratropium bromid a albuterol sulfát) pro vás během těhotenství to pravé.
  • Jsou kojení. Není známo, zda Duoneb® (ipratropium bromid a albuterol sulfát) přejde do vašeho mléka nebo pokud to může poškodit vaše dítě. Vy a váš lékař byste se měli rozhodnout, zda byste měli vzít duoneb® (ipratropium bromid a albuterol sulfát) nebo kojení, ale ne obojí.

Řekněte svému lékaři o všech lécích, které užíváte, včetně vitamínů na předpis a předpisu a bylinné doplňky. Duoneb® (ipratropium bromid a albuterol sulfát) a další léky mohou interagovat. To může způsobit vážné vedlejší účinky. Zejména řekněte svému lékaři, pokud vezmete:

  • Jiné léky, které obsahují anticholinergiky, jako je ipratropium bromid. To také zahrnuje léky používané pro Parkinsonovu chorobu.
  • Jiné léky, které obsahují beta-agonisty, jako je síran albuterol. Obvykle se používají k léčbě zúžení dýchacích cest (bronchospasmus).
  • Léky nazývané beta-blokátory. Obvykle se používají pro vysoký krevní tlak nebo srdeční problémy.
  • Léky nazývané pilulky s vodou (diuretika)
  • Léky pro depresi zvanou inhibitory monoamin oxidázy (MAOI) nebo tricyklická antidepresiva.

Zeptejte se svého lékaře nebo lékárníka, pokud si nejste jisti, zda užíváte některý z těchto typů léků. Znát léky, které užíváte. Udržujte jejich seznam a ukažte jej svému lékaři a lékárníkům, když získáte nový lék.

Jak mám použít duoneb® (ipratropium bromid a albuterol sulfát)?

  • Přečtěte si pokyny pacienta pro použití, které získáte s předpisem. Pokud máte nějaké dotazy, promluvte si se svým lékařem nebo lékárníkem.
  • Vezměte duoneb® (ipratropium bromid a albuterol sulfát) přesně tak, jak předepsal váš lékař. Neměňte svou dávku nebo jak často používáte Duoneb® (ipratropium bromid a albuterol sulfát), aniž byste mluvili se svým lékařem. Nadechněte duoneb® (ipratropium bromid a albuterol sulfát) ústy a do plic pomocí stroje zvaného rozprašovače.
  • Duoneb® (ipratropium bromid a albuterol sulfát) may help to open your airways for up to 5 hours after taking this medicine. If Duoneb® (ipratropium bromid a albuterol sulfát) does not help your airway narrowing (bronchospasm) or your bronchospasm gets worse call your doctor right away or get emergency help if needed.

Co bych se měl vyhnout při používání duoneb® (ipratropium bromid a albuterol sulfát)?

Nedostávejte do očí duoneb® (ipratropium bromid a albuterol sulfát). Dávejte pozor, abyste nesparovali duoneb® (ipratropium bromid a albuterol sulfát) ve vašich očích, zatímco používáte rozprašovač. Duoneb® (bromid ipratropium a sulfát albuterol) mohou způsobit následující krátkodobé problémy očí:

  • Zvětšené žáky
  • Rozmazané vidění
  • Bolest očí

Duoneb® (ipratropium bromid a albuterol sulfát) can cause a serious eye problem called narrow-angle glaucoma or worsen the narrow-angle glaucoma you already have.

Jaké jsou možné vedlejší účinky s duoneb® (ipratropium bromid a albuterol sulfát)?

Duoneb® (ipratropium bromid a albuterol sulfát) may cause the following serious side effects:

  • Zhoršení zúžení ve vašich dýchacích cestách (bronchospasmus). Tento vedlejší účinek může být život ohrožující a stal se u obou léků, které jsou v duoneb® (ipratropium bromid a albuterol sulfát). Zastavte duoneb® (ipratropium bromid a albuterol sulfát) a okamžitě zavolejte svého lékaře nebo získejte nouzovou pomoc, pokud se vaše problémy s dýcháním zhoršují, zatímco nebo po použití duoneb® (ipratropium bromid a albuterol sulfát).
  • Vážné a život ohrožující alergické reakce. Mezi příznaky vážné alergické reakce patří:
    • Úly vyrážky
    • Otok vašich obličejových víček rty jazyk nebo hrdlo a potíže polykání
    • Zhoršení vašich dýchacích problémů, jako je pískat těsnost hrudníku nebo dušnost
    • Šok (ztráta krevního tlaku a vědomí)

Mezi nejčastější vedlejší účinky s duoneb® (ipratropium bromid a albuterol sulfát) patří plicní onemocnění bolest v krku na hrudi Bolest Zácpa Průjem bronchitidy močový trakt Křečeny na nevolnosti žaludeční hlasy a bolest.

Nejedná se o všechny vedlejší účinky s duoneb® (ipratropium bromid a albuterol sulfát). Pro úplný seznam se zeptejte svého lékaře nebo lékárníka.

Jak mám ukládat duoneb® (ipratropium bromid a albuterol sulfát)?

  • Uložte duoneb® (ipratropium bromid a albuterol sulfát) mezi 36 ° a 77 ° F (2 ° a 25 ° C). Chránit před světlem. Udržujte nepoužité lahvičky v pouzdru na fólii nebo v kartonu.
  • Bezpečně zahodit Duoneb® (ipratropium bromid a albuterol sulfát), který je zastaralý nebo již není potřeba.
  • Uchovávejte duoneb® (ipratropium bromid a albuterol sulfát) a všechny léky mimo dosah dětí.

Generál advice about Duoneb® (ipratropium bromid a albuterol sulfát)

Léky jsou někdy předepsány pro podmínky, které nejsou uvedeny v letácích informací o pacientech. Nepoužívejte duoneb® (ipratropium bromid a albuterol sulfát) pro stav, pro který nebyl předepsán. Nedávejte duoneb® (ipratropium bromid a albuterol sulfát) jiným lidem, i když mají stejné příznaky, jaké máte. Může jim to poškodit.

Tento leták shrnuje nejdůležitější informace o duoneb® (ipratropium bromid a albuterol sulfát). Pokud byste chtěli více informací, promluvte si se svým lékařem. Můžete požádat svého lékaře nebo lékárníka o informace o Duoneb® (ipratropium bromid a albuterol sulfát), který je psán pro zdravotnické pracovníky. Můžete také zavolat společnosti, která je bezplatně na 1-800-755-5560 nebo navštívit jejich webové stránky na adrese www.dey.com.

Jaké jsou ingredience v Duoneb®?

Aktivní složky: ipratropium bromid a albuterol sulfát

Neaktivní ingredience: Kyselina chlorid sodný chlorovodíková a edetát sodný USP.