Informace Na Stránce Nepředstavují Lékařskou Radu. Nic Neprodáváme. Přesnost Překladu Není Zaručena. Zřeknutí Se Odpovědnosti
Antidiabetika, inhibitory bigianidů/dipeptyl peptidázy-IV
JENTADUETA XR
Shrnutí drog
Co je Jentadueto XR?
Pohan XR (linagliptin a metformin hydrochlorid prodloužený uvolňování) je inhibitor dipeptidyl peptidázy-4 (DPP-4) a kombinovaný produkt biguanidu označený jako doplněk k stravě a cvičení ke zlepšení glykemické kontroly u dospělých s dospělými s Diabetes 2. typu Mellitus při léčbě linagliptinem a metforminem je vhodný. Jentadueto XR není pro léčbu diabetu 1. typu nebo diabetické ketoacidózy.
Jaké jsou vedlejší účinky Jentadueto XR?
Pohan XR may cause serious side effects including:
- kopřivka
- potíže s dýcháním
- Otok vašeho obličeje rty jazyk nebo krk
- horečka
- bolest v krku
- hořící oči
- bolest kůže
- Červená nebo fialová kožní vyrážka s puchýřem a loupáním
- nevolnost
- zvracení
- Ztráta chuti k jídlu
- Rychlé srdeční rytmy
- neobvyklá bolest svalů
- bolest žaludku
- Rychlé pomalé nebo nepravidelné srdeční rytmus
- závrať
- Cítím se chladno
- slabost
- únava
- svědění
- puchýř
- rozpad vnější vrstvy kůže
- Těžká nebo pokračující bolest ve vašich kloubech
- dušnost
- otok v nohou nebo nohou a
- rychlý přírůstek na váze
Získejte lékařskou pomoc okamžitě, pokud máte výše uvedené příznaky.
Mezi běžné vedlejší účinky Jentadueto XR patří:
- Runy nebo ucpaný nos
- průjem
- kašel
- Hypersenzitivita (úly otoky kůže bronchospasmus)
- snížená chuť k jídlu
- nevolnost
- zvracení
- svědění a
- pankreatitida
Pokud máte následující vážné vedlejší účinky, vyhledejte lékařskou péči nebo zavolejte na číslo 911:
Predacid 30 mg nad pultem
- Vážné příznaky očí, jako je ztráta náhlého vidění rozmazané vidění vidění Vision Vision Eye Eye Eye Eye Eye Eye Eye Eye nebo vidět halos kolem světel;
- Vážné příznaky srdce, jako je rychlé nepravidelné nebo bušení srdečního rytmu; třepování v hrudi; dušnost; a náhlé závratě Lightheadedness nebo omdlet;
- Těžká zmatek bolesti hlavy zkroucený řečový rameno nebo slabost nohou Potíže se ztrátou chůze pocitu koordinace Pocit nestabilní velmi tuhé svaly vysoké horečky bohaté pocení nebo třes.
Tento dokument neobsahuje všechny možné vedlejší účinky a mohou dojít k jiným. Další informace o vedlejších účincích najdete u svého lékaře.
Dávkování pro Jentadueto XR
Počáteční dávka Jentadueto XR je založena na současném režimu pacienta. Nepřekračujte celkovou denní dávku linagliptinu 5 mg a metforminu 2000 mg.
Jaké léky nebo doplňky interagují s Jentadueto XR?
Pohan XR may interact with carbonic anhydrase inhibitors (e.g. zonisamide acetazolamid nebo dichlorfenamid) kationtová léčiva, jako je cimetidinový alkohol silné p-glykoprotein /induktory CYP3A4 (např. Rifampin) sekretagogy inzulínu (např. sulfonylurea ) nebo inzulínové kortikosteroidy fenothiaziny štítné žlázy estrogeny Perorální antikoncepční prostředky fenytoin kyselina nikotinová sympatomimetika vápníkové kanál blokující léky a isoniazid. Řekněte svému lékaři všechny léky a doplňky, které používáte.
Pohan XR During Těhotenství a Breastfeeding
Před použitím Jentadueto XR řekněte svému lékaři, pokud jste těhotná. Není známo, zda Jentadueto XR přejde do mateřského mléka. Před kojením se poraďte se svým lékařem.
Další informace
Naše Jentadueto XR (linagliptin a metformin hydrochlorid prodloužený uvolňování) Vedlejší účinky drogové centrum poskytuje komplexní pohled na dostupné informace o možných vedlejších účincích při užívání tohoto léku.
Informace o drogách FDA
- Popis léku
- Indikace
- Vedlejší účinky
- Lékové interakce
- Varování
- Předávkovat
- Klinická farmakologie
- Průvodce léky
VAROVÁNÍ
Acidóza mléčné
Případy laktánové acidózy spojené s metforminem vedly k hypotenzi podchlazení smrti a rezistentní bradyarhytmie. Počátek laktátové acidózy spojené s metforminem je často doprovázen pouze nespecifickými příznaky, jako je nesladská respirační tísně a břišní bolest. Acidóza laktátoru spojená s metforminem byla charakterizována zvýšenou hladinou laktátu v krvi (> 5 mmol/litr) aniontová mezera acidóza (bez důkazu ketonurie nebo ketonemie) zvýšeným poměrem laktátu/pyruvátu; a hladiny plazmy metforminu obecně> 5 mcg/ml [viz varování a OPATŘENÍ ].
Mezi rizikové faktory pro metformin spojenou s acidózou laktánu patří doprovodné užívání některých léků (např. Inhibitory u karbonické anhydrazy, jako je topiramát) ve věku 65 let nebo vyšší, které mají radiologickou studii s chirurgickým zákrokem na kontrastu a další postupy a jiných postupů.
Kroky ke snížení rizika a správy laktánové acidózy spojené s metforminem v těchto vysoce rizikových skupinách jsou poskytovány v úplných předepisovacích informacích [viz Dávkování a podávání Kontraindikace VAROVÁNÍS AND OPATŘENÍ Lékové interakce a Použití v konkrétních populacích ].
Pokud je podezření, že laktázová acidóza spojená s metforminem okamžitě přestane Jentadueto XR a zavádí obecná podpůrná opatření v nemocničním prostředí. Doporučuje se rychlá hemodialýza [viz varování a OPATŘENÍ ].
Popis pro Jentadueto XR
Tablety Jentadueto XR obsahují 2 ústní antihyperglykemické léky používané při léčbě typu 2 Diabetes mellitus : linagliptin a hydrochlorid metforminu.
Linagliptin
Linagliptin is an orally-active inhibitor of the dipeptidyl peptidase-4 (DPP-4) enzyme.
Linagliptin is described chemically as 1H-Purine-26-dione 8-[(3R)-3-amino-1-piperidinyl]-7-(2-butyn-1-yl)-37-dihydro-3-methyl-1-[(4-methyl-2quinazolinyl) methyl]
Empirický vzorec je C 25 H 28 N 8 O 2 a the molecular weight is 472.54 g/mol. The structural formula is:
|
Linagliptin is a white to yellowish not or only slightly hygroscopic solid substance. It is very slightly soluble in water (0.9 mg/mL). Linagliptin is soluble in methanol (ca. 60 mg/mL) sparingly soluble in ethanol (ca. 10 mg/mL) very slightly soluble in isopropanol ( <1 mg/mL) a very slightly soluble in acetone (ca. 1 mg/mL).
Metformin hydrochlorid
Hydrochlorid metforminu (NN-dimethythylimidodikarbonimidický hydrochlorid diamid) není chemicky nebo farmakologicky spojený s jinými třídami perorálních antihyperglykemických látek. Hydrochlorid metforminu je bílá až bílá krystalická sloučenina s molekulárním vzorcem C 4 H 11 N 5 • HCI a molekulová hmotnost 165,63 g/mol. Metformin hydrochlorid je volně rozpustný ve vodě a je prakticky nerozpustný v acetonu etheru a chloroformu. PKA metforminu je 12,4. PH 1% vodného roztoku hydrochloridu metforminu je 6,68. Strukturální vzorec je:
|
Jentadueto XR sestává z tabletu jádra metforminu s prodlouženým uvolňováním, která je potažena linagliptinem léčivé látky s okamžitým uvolňováním. Jentadueto XR je k dispozici pro perorální podávání jako tablety obsahující 5 mg linagliptin a 1000 mg metforminu hydrochloridu prodloužený uvolnění (Jentadueto XR 5 mg/1000 mg) nebo 2,5 mg linagliptin a 1000 mg hydrochloridu-release (Jentadueto XR 2,5 mg). Každá potažená tableta Jentadueto XR obsahuje následující neaktivní složky: jádro tablety: polyethylen oxid hypromelóza a hořčík stearát. Potahování: Hydroxypropylcelulóza hypromelóza mastk Titaničitá oxid arginin polyethylenglykol oxid oxid žlutá (NULL,5 mg/1000 mg) karnauba voskový oxid oxid oxid oxid a isopropylalkohol.
Použití pro Jentadueto XR
Jentadueto je označen jako doplněk k stravě a cvičení ke zlepšení glykemické kontroly u dospělých s diabetes mellitus 2. typu.
Omezení použití
Jentadueto se nedoporučuje u pacientů s diabetes mellitus 1. typu.
Jentadueto nebyl studován u pacientů s anamnézou pankreatitidy. Není známo, zda pacienti s anamnézou pankreatitidy jsou vystaveni zvýšenému riziku rozvoje pankreatitidy při používání Jentadueto [viz viz VAROVÁNÍS AND OPATŘENÍ ].
Dávkování pro Jentadueto XR
Doporučené dávkování a podávání
Dávka Jentadueto by měla být individualizována na základě účinnosti a snášenlivosti, aniž by nepřekročila maximální doporučenou dávku 2,5 mg linagliptinu/1000 mg metforminu hydrochloridu (HCI) odebrané orálně dvakrát denně. Jentadueto by měl být podáván dvakrát denně s jídlem. Eskalace dávky by měla být postupná, aby se snížila vedlejší účinky gastrointestinálního (GI) spojené s užíváním metforminu.
Doporučené počáteční dávkování:
- U pacientů v současné době není léčena léčbou metforminu HCI iniciátoru léčbou 2,5 mg linagliptinu/500 mg metforminu HC1 dvakrát denně.
- U pacientů, kteří již byli léčeni metforminem HCI, začínají s 2,5 mg linagliptinem a současnou dávkování metforminu HCl odebrané při každém ze dvou denních jídel (např. Pacienta o metforminu HCl 1000 mg dvakrát denně by byla zahájena na 2,5 mg linagliptinu/1000 mg metforminu HCl dvakrát denně s jídlem).
- Pacienti již léčeni linagliptin a metformin HCl jednotlivé komponenty mohou být přepnuty na Jentadueto obsahující stejné dávky každé složky.
Doporučené dávkování při poškození ledvin
Posoudit funkci ledvin před zahájením Jentadueto a poté pravidelně.
Jentadueto je kontraindikován u pacientů s odhadovanou rychlostí glomerulární filtrace (EGFR) pod 30 ml/min/1,73 m 2 .
Zahájení Jentadueto u pacientů s EGFR mezi 30-45 ml/min/1,73 m 2 se nedoporučuje.
U pacientů užívajících Jentadueto, jehož EGFR později klesne pod 45 ml/min/1,73 m 2 Posoudit přínos/riziko pokračující terapie.
Překonejte Jentadueto, pokud pacienta EGFR později klesne pod 30 ml/min/1,73 m 2 [vidět Kontraindikace a VAROVÁNÍS AND OPATŘENÍ ].
Přerušení pro postupy zobrazování kontrastu jodovaných
Překonejte Jentadueto v době nebo před postupem zobrazování kontrastu s jodovaným kontrastem u pacientů s EGFR mezi 30 a 60 ml/min/1,73 m 2 ;; u pacientů s anamnézou alkoholismu onemocnění jater nebo srdečním selháním; nebo u pacientů, kterým bude podáván kontrast intraarteriálního jódu. Přehodnoťte EGFR 48 hodin po zobrazovacím postupu; Restartujte Jentadueto, pokud je funkce ledvin stabilní [viz VAROVÁNÍS AND OPATŘENÍ ].
Jak dodáno
Formy a silné stránky dávkování
Pohan Tablety jsou kombinací linagliptinu a metforminu HCl k dispozici jako:
- 2,5 mg linagliptin/500 mg metformin hcl tablety jsou světle žluté oválné biconvex tablety odlibované s D2/500 na jedné straně a symbolem Boehringer Ingelheim na druhé straně
- 2,5 mg linagliptin/850 mg Metformin HCL tablety jsou světle oranžové oválné biconvex tablety odlibované s D2/850 na jedné straně a symbolem Boehringer Ingelheim na druhé straně
- 2,5 mg linagliptin/1000 mg metformin hcl tablety jsou světle růžové oválné biconvex tablety odlibované s D2/1000 na jedné straně a symbolem Boehringer Ingelheim na druhé straně
Skladování a manipulace
Pohan (linagliptin a metformin hcl) tablets 2.5 mg/500 mg jsou světle žluté oválné biconvex tablety odsunuté s D2/500 na jedné straně a symbolem Boehringer Ingelheim na druhé straně a jsou dodávány následovně:
Lahve 60 ( NDC 0597-0146-60)
Lahve 180 ( NDC 0597-0146-18)
Pohan (linagliptin a metformin hcl) tablets 2.5 mg/850 mg jsou světle oranžové oválné biconvex tablety odsunuté s D2/850 na jedné straně a symbolem Boehringer Ingelheim na druhé straně a jsou dodávány následovně:
Lahve 60 ( NDC 0597-0147-60)
Lahve 180 ( NDC 0597-0147-18)
Pohan (linagliptin a metformin hcl) tablets 2.5 mg/1000 mg jsou světle růžové oválné biconvex tablety odsunuté s D2/1000 na jedné straně a symbolem Boehringer Ingelheim na druhé straně a jsou dodávány následovně:
Lahve 60 ( NDC 0597-0148-60)
Lahve 180 ( NDC 0597-0148-18)
Skladování
Ukládat při 20 ° C až 25 ° C (68 ° F až 77 ° F); Výlety povoleny na 15 ° C až 30 ° C (59 ° F až 86 ° F) [viz teplota místnosti s kontrolovanou USP]. Chránit před vystavením vysoké vlhkosti.
Distribuováno: Boehringer Ingelheim Pharmaceuticals Inc. Ridgefield CT 06877 USA. Revidováno: červen 2023
Vedlejší účinky for Pohan XR
Následující závažné nežádoucí účinky jsou popsány níže nebo jinde v předepisovacích informacích:
- Acidóza mléčného [viz VAROVÁNÍS AND OPATŘENÍ ]
- Pankreatitida [viz VAROVÁNÍS AND OPATŘENÍ ]
- Hypoglykémie se souběžným použitím s sekretagogy inzulínu a inzulínu [viz VAROVÁNÍS AND OPATŘENÍ ]
- Reakce přecitlivělosti [viz VAROVÁNÍS AND OPATŘENÍ ]
- Nedostatek vitamínu B12 [viz VAROVÁNÍS AND OPATŘENÍ ]
- Těžká a deaktivace artralgie [viz VAROVÁNÍS AND OPATŘENÍ ]
- Bullous pemphigoid [viz VAROVÁNÍS AND OPATŘENÍ ]
- Srdeční selhání [viz VAROVÁNÍS AND OPATŘENÍ ]
Zkušenosti z klinických studií
Protože klinické studie se provádějí za široce proměnlivých podmínek, nežádoucí rychlosti nežádoucí reakce pozorované v klinických studiích léčiva nelze přímo porovnat s mírami v klinických studiích s jiným lékem a nemusí odrážet míru pozorované v praxi. Linagliptin/metformin Bezpečnost souběžně podávaného linagliptinu (denní dávka 5 mg) a metforminu (průměrná denní dávka přibližně 1800 mg) byla hodnocena u 2816 pacientů s diabetes mellitus typu 2 v klinických zkouškách.
Byly provedeny tři studie s linagliptinem s linagliptinem: 2 studie byly 24 týdnů v délce 1 pokus byla 12 týdnů po dobu trvání. Ve 3 placebokokontrolních klinických studiích nežádoucí účinky, které se vyskytly u ≥ 5% pacientů, kteří dostávali linagliptin metformin (n = 875) a byli častější než u pacientů poddaných placebo metforminem (n = 539), zahrnovala nosofaryngitidu (NULL,7% vs 4,3%).
U 24týdenního faktoriálního návrhu zkušebních nežádoucích účinků hlášených u ≥ 5% pacientů, kteří dostávali linagliptin metformin a byli častější než u pacientů s placebem, jsou uvedeny v tabulce 1.
Tabulka 1 Nežádoucí účinky hlášené u ≥ 5% pacientů léčených linagliptinem metforminu a větší než placebem v 24týdenním faktoriálním návrhu pokusu
| Nežádoucí účinky | Placebo (%) n = 72 | Linagliptin Monoterapie (%) n = 142 | Metformin Monoterapie (%) n = 291 | Kombinace Linagliptin with Metformin (%) n = 286 |
| NOSOPHARYNNGITIS | 1.4 | 5.6 | 2.7 | 6.3 |
| Průjem | 2.8 | 3.5 | 3.8 | 6.3 |
Linagliptin
Nežádoucí účinky uváděné u ≥2% pacientů léčených linagliptinem 5 mg a častěji než u pacientů léčených placebem zahrnovala: nasopharyngitida (NULL,0% vs. 6,1%) průjem (NULL,3% vs. 3,0%) a 2,1% vs. 1,4%).
Míra pro jiné nežádoucí účinky pro linagliptin 5 mg vs. placebo, když byl linagliptin použit v kombinaci se specifickými anti-diabetickými látkami, byly: infekce močových cest (NULL,1% vs. 0%) a hypertriglyceridemie (NULL,4% vs 0%), když se linagliptin používá jako doplněk k sulfonylurea; Hyperlipidemie (NULL,7% vs. 0,8%) a hmotnost se zvýšila (NULL,3% vs. 0,8%), když byl linagliptin použit jako doplněk k pioglitazonu; a zácpa (NULL,1% vs. 1%), když byl linagliptin použit jako doplněk k bazální inzulínové terapii.
Dalšími nežádoucími reakcemi uvedenými v klinických studiích s léčbou monoterapie linagliptin byla přecitlivělost (např. Urticaria angioedéma lokalizovaná exfoliace kůže nebo bronchiální hyperreaktivita) a myalgii. V programu klinického hodnocení byla pankreatitida hlášena v 15,2 případech na 10000 expozice pacienta, zatímco byla léčena linagliptinem ve srovnání s 3,7 případy na 10000 expozice pacienta, zatímco byla léčena komparátorem (placebo a aktivní komparátor sulfonylreau). Po poslední podávané dávce linagliptinu byly hlášeny tři další případy pankreatitidy.
Metformin
Nejběžnější (> 5%) nežádoucí účinky způsobené iniciací metforminové terapie jsou průjem nevolnost/zvracení nadýmání břicha břicha asthenia a bolesti hlavy.
Jiné nežádoucí účinky
Hypoglykémie
Linagliptin/Metformin
V 24týdenním pokusu o faktoriálním designu byla hypoglykémie hlášena u 4 (NULL,4%) ze 286 subjektů ošetřených linagliptin metforminem 6 (NULL,1%) 291 subjektů ošetřených metforminem a 1 (NULL,4%) 72 subjektů ošetřených placebem. Výskyt hypoglykémie s plazmatickou glukózou <54 mg/dL was 8.1% in the linagliptin group (N=792) compared to 5.3% in the placebo group (N=263) when administered in combination with metformin a sulfonylurea in a 24-week trial.
Linagliptin
Výskyt těžké hypoglykémie (vyžadující pomoc) byl 1,7% ve skupině linagliptin (n = 631) ve srovnání s 1,1% ve skupině s placebem (n = 630), když byl podáván v kombinaci s bazálním inzulínem v 52týdenním pokusu.
Laboratorní testovací abnormality v klinických studiích linagliptinu nebo metforminu
Linagliptin
Zvýšení kyseliny močové: změny laboratorních hodnot, ke kterým došlo častěji ve skupině linagliptinu a ≥ 1% více než ve skupině s placebem, byly zvýšení kyseliny močové (NULL,3% ve skupině s placebem 2,7% ve skupině linagliptin).
Zvýšení lipázy
V placebem kontrolované klinické studii s linagliptinem u diabetes mellitus pacientů s mikro- nebo makroalbuminurií bylo pozorováno průměrné zvýšení koncentrací lipázy z výchozí hodnoty na 24 týdnů ve srovnání s průměrným snížením o 2% v placebo rameni. Hladiny lipázy nad 3krát vyšší hranicí normálu byly pozorovány u 8,2% ve srovnání s 1,7% pacientů v ramenech linagliptinu a placeba.
Zvýšení amylázy
V kardiovaskulární bezpečnostní studii porovnávající linagliptin versus glimepirid u pacientů s diabetes mellitus mellitus mellitus amylázy nad 3krát horní hranicí normálu bylo pozorováno u 1,0% ve srovnání s 0,5% pacientů u linagliptin a glimepiridových ramen.
Klinický význam zvýšení lipázy a amylázy s linagliptinem není známý v nepřítomnosti potenciálních příznaků a příznaků pankreatitidy [viz viz VAROVÁNÍS AND OPATŘENÍ ].
Metformin
Snížení vitamínu B12
V klinických studiích s metforminem o 29týdenním trvání bylo u přibližně 7% pacientů pozorováno pokles na subnormální hladiny vitamínu B12 v séru.
Zážitek z postmarketingu
Během používání postgrapvalu byly identifikovány následující nežádoucí účinky. Protože tyto reakce jsou hlášeny dobrovolně z populace nejisté velikosti, obecně není možné spolehlivě odhadnout jejich frekvenci nebo vytvořit kauzální vztah k expozici léčiva.
Vedlejší účinky pro metformin 500 mg
Linagliptin
- Gastrointestinální poruchy: Akutní pankreatitida včetně fatální pankreatitidy [viz Indikace ] Stomatitida ulcerace v ústech
- Poruchy imunitního systému: Hypersenzitivní reakce včetně anafylaxe angioedému a exfoliativní kožní podmínky
- Poruchy muskuloskeletální a pojivové tkáně: Rhabdomyolýza závažná a deaktivace artralgie
- Poruchy kůže a podkožní tkáně: Bullous Pemphigoid vyrážka
Metformin
- Hepatobiliární poruchy: Cholestatický hepatocelulární a smíšený hepatocelulární poškození jater
Lékové interakce for Pohan XR
Tabulka 2 popisuje klinicky relevantní interakce s Jentadueto.
Tabulka 2 Klinicky relevantní interakce s Jentadueto
| Inhibitory karbonické anhydrázy | |
| Klinický dopad | Topiramát nebo jiné inhibitory karbonické anhydrázy (např. Zonisamid acetazolamid nebo dichlorfenamid) často způsobují snížení hydrogenuhličitanu séra a indukují hyperchloremickou metabolickou acidózu séru. Současné užívání těchto léčiv s Jentadueto může zvýšit riziko acidózy laktát. |
| Zásah | Zvažte častější sledování těchto pacientů. |
| Léky, které snižují clearance metforminu | |
| Klinický dopad | Současné užívání léčiv, které narušují běžný renální tubulární transportní systémy zapojené do ledvinového eliminace metforminu (např. Organický kationtový transportér-2 [OCT2] / Multid léku a toxin, by mohla zvýšit inhibitory [mate], jako je ranolazin vandetanib dolutegravir a cimetidin), může zvýšit inhibitory metforminu [mate-aspívání [mate] a může zvýšit riziko pro laktosin [ Klinická farmakologie ]. |
| Zásah | Zvažte výhody a rizika souběžného použití. |
| Alkohol | |
| Klinický dopad | Alkohol is known to potentiate the effect of metformin on lactate metabolism. |
| Zásah | Varujte pacienty před nadměrným příjmem alkoholu při přijímání Jentadueto. |
| Sekretagogy inzulínu nebo inzulínu | |
| Klinický dopad | Riziko hypoglykémie se zvyšuje, když se Jentadueto používá v kombinaci s sekretagogem inzulínu (např. Sulfonylreau) nebo inzulínem. |
| Zásah | Společná podávání Jentadueto s inzulinovým sekretagogem (např. Sulfonylurea) nebo inzulínem může vyžadovat nižší dávky sekretagogy inzulínu nebo inzulínu, aby se snížilo riziko hypoglykémie. |
| Léky ovlivňující kontrolu glykémie | |
| Klinický dopad | Některá léčiva mají tendenci produkovat hyperglykémii a mohou vést ke ztrátě glykemické kontroly. Mezi tyto léky patří thiazidy a další diuretické kortikosteroidy fenothiaziny štítné produkty estrogeny orální antikoncepční prostředky fenytoin kyseliny nikotinové sympatomimetiky vápníkové kanál blokující léky a isoniazid. |
| Zásah | Pokud jsou takové léky podávány pacientovi, který dostává Jentadueto, měl by být pacient pečlivě pozorován, aby se udržela přiměřená kontrola glykémie. Pokud jsou takové léky staženy od pacienta, který dostává Jentadueto, měl by být pacient úzce pozorován na hypoglykémii. |
| Induktory enzymů P-glykoproteinu nebo CYP3A4 | |
| Klinický dopad | Rifampin snížil expozici linagliptinu, což naznačuje, že účinnost linagliptinu může být snížena, pokud je podávána v kombinaci se silným induktorem P-gp nebo CYP3A4. |
| Zásah | Použití alternativních ošetření se důrazně doporučuje, pokud má být linagliptin podáván se silným induktorem P-gp nebo CYP3A4. |
Varování pro Jentadueto XR
Zahrnuto jako součást 'OPATŘENÍ' Sekce
Opatření pro Jentadueto XR
Acidóza mléčné
Metformin
Došlo k postmarketingovým případům laktázové acidózy spojené s metforminem, včetně fatálních případů. Tyto případy měly jemný nástup a byly doprovázeny nespecifickými příznaky, jako je malátnost myalgií břišní bolesti břicha nebo zvýšená somnolence; Nicméně hypotermie hypotenze a rezistentní bradyarhytmie se vyskytly s těžkou acidózou. Laktátová acidóza spojená s metforminem byla charakterizována zvýšenými koncentracemi krve laktátu (> 5 mmol/litr) aniontová mezera acidóza (bez důkazu ketonurie nebo ketonemie) a zvýšeným poměrem laktátu: pyruvát; Hladiny plazmy metforminu obecně> 5 mcg/ml. Metformin snižuje absorpci jater zvyšování hladin laktátu v krvi laktátu, což může zvýšit riziko acidózy laktátoru, zejména u rizikových pacientů.
Pokud je předpokládána, že by laktálová acidóza spojená s metforminem měla být v nemocničním prostředí zavedena obecná podpůrná opatření spolu s okamžitým přerušením Jentadueto. U pacientů léčených Jentadueto s diagnózou nebo silném podezření na rychlou hemodialýzu s laktátovou acidózou se doporučuje k opravě acidózy a odstranění akumulovaného metforminu (metformin je dialyzovatelný s čistí až 170 ml/min za dobrých hemodynamických podmínek). Hemodialýza často vedla ke zvrácení symptomů a zotavení.
Vychovávejte pacienty a jejich rodiny o příznacích acidózy laktánovou a pokud se tyto příznaky vyskytují, pokynují jim, aby přestali Jentadueto a nahlásili tyto příznaky svému poskytovateli zdravotní péče.
Pro každý z známých a možných rizikových faktorů pro doporučení laktátová acidóza spojená s metforminem, která sníží riziko a řízení laktátové acidózy spojené s metforminem, je uvedena níže:
Poškození ledvin
K pacientům s významným poškozením ledvin se primárně vyskytovaly případy laktánové acidózy spojené s metforminem asociovanou s metforminem. Riziko akumulace metforminu a acidózy laktátoru spojené s metforminem se zvyšuje se závažností poškození ledvin, protože metformin je ledvinou podstatně vylučován. Klinická doporučení založená na funkci ledvin pacienta zahrnují [viz Dávkování a podávání a Klinická farmakologie ]:
- Před zahájením Jentadueto získáte odhadovanou rychlost glomerulární filtrace (EGFR).
- Pohan is contraindicated in patients with an eGFR less than 30 mL/min/1.73 m 2 [vidět Kontraindikace ].
- Zahájení Jentadueto se nedoporučuje u pacientů s EGFR mezi 30 - 45 ml/min/1,73 m 2 .
- Získejte EGFR nejméně ročně u všech pacientů užívajících Jentadueto. U pacientů se zvýšeným rizikem rozvoje poškození ledvin (např. Funkce starších lidí) by měla být hodnocena častěji.
- U pacientů užívajících Jentadueto, jehož EGFR později klesne pod 45 ml/min/1,73 m 2 posoudit přínos a riziko pokračující terapie.
Lékové interakce
Současné použití Jentadueto se specifickými léky může zvýšit riziko acidózy mléčné asociované s metforminem: ty, které narušují funkci ledvin, mají za následek významnou hemodynamickou změnu narušují rovnováhu kyseliny nebo zvýšit akumulaci metforminu [viz viz [Viz [viz akumulaci metforminu [viz viz [Viz [viz akumulaci metforminu [viz viz [viz [viz akumulaci metforminu [ Lékové interakce ]. Therefore consider more frequent monitoring of patients.
Věk 65 nebo vyšší
Riziko laktátové acidózy spojené s metforminem se zvyšuje s věkem pacienta, protože starší pacienti mají větší pravděpodobnost, že mají jaterní renální nebo srdeční poškození než mladší pacienti. U starších pacientů častěji hodnotíte funkci ledvin [viz Použití v konkrétních populacích ].
Radiologické studie s kontrastem
Podávání intravaskulárních jodovaných kontrastních látek u pacientů ošetřených metforminem vedlo k akutnímu snížení funkce ledvin a výskytu laktátové acidózy. Zastavte Jentadueto v době nebo před jodovaným postupem kontrastu u pacientů s EGFR mezi 30 a 60 ml/min/1,73 m 2 ;; u pacientů s anamnézou jaterního poškození alkoholismu nebo selhání srdce ;; nebo u pacientů, kterým bude podáván kontrast intraarteriálního jódu. Přehodnoťte EGFR 48 hodin po postupu zobrazování a restartujte Jentadueto, pokud je funkce ledvin stabilní.
Chirurgie a další postupy
Srážení potravin a tekutin během chirurgických nebo jiných postupů může zvýšit riziko hypotenze vyčerpání objemu a poškození ledvin. Jentadueto by měl být dočasně přerušen, zatímco pacienti mají omezení příjmu potravy a tekutin.
Hypoxické stavy
Několik případů postmarketingu laktátové acidózy spojené s metforminem došlo v nastavení akutních městnavé srdeční selhání (zejména když je doprovázen hypoperfuzí a hypoxémií). Kardiovaskulární kolaps ( šokovat ) akutní infarkt myokardu Sepse a další stavy spojené s hypoxémií byly spojeny s laktátovou acidózou a mohou také způsobit prerenální azotemii. Když k takovým událostem dojde, přestaňte Jentadueto.
Nadměrný příjem alkoholu
Alkohol potentiates the effect of metformin on lactate metabolism a this may increase the risk of metformin-associated lactic acidosis. Varujte pacienty před nadměrným příjmem alkoholu při přijímání Jentadueto.
Poškození jater
Pacienti s poškozením jater se vyvinuli případy laktázové acidózy spojené s metforminem. To může být způsobeno zhoršenou clearance laktátu, což má za následek vyšší hladiny laktátu v krvi. Vyvarujte se proto používání Jentadueto u pacientů s klinickým nebo laboratorním důkazem jaterních onemocnění.
Pankreatitida
Akutní pankreatitida Zahrnutí fatální pankreatitidy byla hlášena u pacientů léčených linagliptinem. V pokusu Carmelina [viz Klinické studie ] akutní pankreatitida byla hlášena u 9 (NULL,3%) pacientů léčených linagliptinem a u 5 (NULL,1%) pacientů léčených placebem. Dva pacienti léčeni linagliptinem ve studii Carmelina měli akutní pankreatitidu se smrtelným výsledkem. U pacientů léčených linagliptinem se objevily zprávy o akutní pankreatitidě, včetně fatální pankreatitidy.
Opatrně si všimněte potenciálních příznaků a příznaků pankreatitidy. Pokud je podezření na pankreatitidu, okamžitě přerušil Jentadueto a zahájil vhodné řízení. Není známo, zda pacienti s anamnézou pankreatitidy jsou vystaveni zvýšenému riziku rozvoje pankreatitidy při používání Jentadueto.
Hypoglykémie With Concomitant Use With Insulin And Insulin Secretagogues
Je známo, že je to sekreagogy a inzulín inzulínu Hypoglykémie . Riziko hypoglykémie se zvyšuje, když se Jentadueto používá v kombinaci s sekretagogem inzulínu (např. Sulfonylreau) nebo inzulínem [viz viz Nežádoucí účinky ]. Therefore a lower dosage of the insulin secretagogue or insulin may be required to reduce the risk of Hypoglykémie when used in combination with Pohan.
Reakce přecitlivělosti
U pacientů léčených linagliptinem se objevily zprávy o závažných reakcích na hypersenzitivitu. Tyto reakce zahrnují anafylaxis angioedém a exfoliativní kožní podmínky. Počátek těchto reakcí se vyskytl převážně během prvních 3 měsíců po zahájení léčby linagliptinem s některými zprávami, ke kterým došlo po první dávce. Pokud je podezření na vážnou reakci přecitlivělosti, přestane přestat posoudit Jentadueto z posouzení dalších potenciálních příčin události a zavádět alternativní léčbu diabetes mellitus.
Angioedema byl také hlášen u jiných inhibitorů dipeptidyl peptidázy-4 (DPP-4). Uchovávejte u pacienta s anamnézou angioedému na jiný inhibitor DPP-4, protože není známo, zda budou tito pacienti predisponováni k angioedému s Jentadueto.
Nedostatek vitaminu B12
V klinických studiích s metforminem o 29týdenním trvání bylo pozorováno snížení subnormálních hladin dříve normálních hladin vitamínu B12 v séru přibližně u 7% pacientů s metforminem. Takové snížení pravděpodobně v důsledku interference s absorpcí B12 z komplexu B12-irtrinsic faktor může být spojeno s anémií, ale zdá se, že je rychle reverzibilní s přerušením suplementace metforminu nebo vitaminu B12. Zdá se, že někteří jedinci (jednotlivci s nedostatečným vitaminem B12 nebo příjmem nebo absorpcí vápníku) jsou predisponováni k vývoji subnormálních hladin vitaminu B12. Měřte hematologické parametry ročně a vitamin B12 ve 2 až 3 letech intervaly u pacientů na Jentadueto a zvládněte jakékoli abnormality [viz viz Nežádoucí účinky ].
Těžká a deaktivační artralgie
U pacientů užívajících linagliptin se objevily zprávy o těžké a deaktivaci artralgie. Čas na nástup příznaků po zahájení léčivé terapie se lišil od jednoho dne do let. Pacienti zažili úlevu od symptomů po přerušení léku. Podskupina pacientů došlo k recidivě příznaků při restartování stejného léčiva nebo jiného inhibitoru DPP-4. Zvažte inhibitory DPP-4 jako možnou příčinu pro těžkou bolest kloubů a pokud je to vhodné, přerušte léčivo.
Bullous pemphigoid
Bullous Pemphigoid byl hlášen u 7 (NULL,2%) pacientů léčených linagliptinem ve srovnání s žádnými u pacientů léčených placebem v pokusu Carmelina [viz viz Klinické studie ] a 3 z těchto pacientů byli hospitalizováni kvůli bulóznímu pemfigoidu. Při používání inhibitoru DPP-4 byly hlášeny případy postmarketingu bulózního pemfigoidu vyžadujícího hospitalizaci. V hlášených případech se pacienti obvykle zotavovali s topickou nebo systémovou imunosupresivní léčbou a přerušením inhibitoru DPP-4. Řekněte pacientům, aby nahlásili vývoj puchýřů nebo eroze při přijímání Jentadueto. Pokud je podezření, že bullous pemphigoid by měl být ukončen Jentadueto a pro diagnostiku a vhodnou léčbu by mělo být zváženo doporučení dermatologovi.
Selhání srdce
An association between DPP-4 inhibitor treatment and heart failure has been observed in cardiovascular outcomes trials for two other members of the DPP-4 inhibitor class. These trials evaluated patients with Diabetes 2. typu mellitus a aterosklerotické kardiovaskulární onemocnění. Před zahájením léčby u pacientů s rizikem srdečního selhání, jako jsou u pacientů s předchozí anamnézou srdečního selhání a anamnézou zhoršení ledvin, zvažte rizika a přínosy Jentadueta a pozorujte tyto pacienty a pozorujte tyto pacienty a během terapie pozorujte příznaky a příznaky srdečního selhání. Poraďte pacientům o charakteristických příznacích srdečního selhání a okamžitě tyto příznaky nahlásit. Pokud se srdeční selhání vyvine, vyhodnotí a spravuje podle současných standardů péče a zvažte přerušení Jentadueto.
Informace o poradenství pro pacienta
Doporučujte pacientovi, aby si přečetl značení pacienta schváleného FDA (průvodce medikací)
Acidóza mléčné
Informujte pacienty o rizicích laktátové acidózy v důsledku metforminu jejích příznaků a stavů, které se predisponují k jeho vývoji. Doporučujte pacientům, aby okamžitě ukončili Jentadueto a okamžitě informovali svého poskytovatele zdravotní péče, pokud se objeví nevysvětlitelná hyperventilace malátnost myalgie neobvyklé somnolence nebo jiné nespecifické příznaky. Poraďte se pacientům proti nadměrnému příjmu alkoholu a informujte pacienty o důležitosti pravidelného testování funkce ledvin při přijímání Jentadueto. Pokyn pacientům, aby informovali svého poskytovatele zdravotní péče, že berou Jentadueto před jakýmkoli chirurgickým nebo radiologickým postupem, protože dočasné přerušení může být vyžadováno, dokud nebude potvrzeno, že funkce ledvin je normální [viz viz normální [viz viz normální [viz viz normální [viz viz normální [viz [viz VAROVÁNÍS AND OPATŘENÍ ].
Pankreatitida
Informujte pacienty, že během používání linagliptinu byla hlášena akutní pankreatitida. Informujte pacienty, že přetrvávající těžká bolest břicha někdy vyzařující na záda, což může nebo nemusí být doprovázeno zvracením, je charakteristickým příznakem akutní pankreatitidy. Pokyn pacientům, aby okamžitě přerušili Jentadueto a kontaktovali svého poskytovatele zdravotní péče, pokud dojde k přetrvávající závažné bolesti břicha [Viz VAROVÁNÍS AND OPATŘENÍ ].
Hypoglykémie With Concomitant Use With Insulin And Insulin Secretagogues
Informujte pacienty, že riziko hypoglykémie se zvyšuje, když se Jentadueto používá v kombinaci s inzulinovou sekreagogem (např. Sulfonylurea) nebo inzulínem [viz viz VAROVÁNÍS AND OPATŘENÍ ].
Reakce přecitlivělosti
Informujte pacienty, že během postmarketingu linagliptinu byly hlášeny vážné alergické reakce, jako je anafylaxe angioedém a exfoliativní kožní stavy (jedna ze složek Jentadueto). Pokud se dochází k příznakům alergických reakcí (jako je vyrážka kůže nebo loupání otoku kožních látek nebo otoky jazyka a krku, které mohou způsobit potíže s dýcháním nebo polykání), musí přestat přijímat Jentadueto a okamžitě hledat lékařskou poradenství [Viz Viz VAROVÁNÍS AND OPATŘENÍ ].
Nedostatek vitaminu B12
Informujte pacienty o důležitosti pravidelných hematologických parametrů při přijímání Jentadueto [viz VAROVÁNÍS AND OPATŘENÍ ]. Severe a Disabling Arthralgia Inform patients that severe a disabling joint pain may occur with this class of drugs. The time to onset of symptoms can range from one day to years. Instruct patients to seek medical advice if severe joint pain occurs [vidět VAROVÁNÍS AND OPATŘENÍ ].
Bullous pemphigoid
Informujte pacienty, že během používání linagliptinu byl hlášen bulózní pemfigoid. Poskytněte pacientům, aby vyhledali lékařskou radu, pokud dojde k puchýřům nebo erozi [viz VAROVÁNÍS AND OPATŘENÍ ].
Selhání srdce
Informujte pacienty o příznacích a příznacích srdečního selhání. Před zahájením pacientů s Jentadueto by měli být pacienti dotázáni na anamnézu srdečního selhání nebo jiných rizikových faktorů pro srdeční selhání, včetně mírného až těžkého poškození ledvin. Poskytněte pacientům, aby co nejdříve kontaktovali svého poskytovatele zdravotní péče VAROVÁNÍS AND OPATŘENÍ ].
Pacienti s reprodukčním potenciálem
Informujte pacienty, že léčba metforminem může vést k ovulaci u některých premenopauzálních anovulačních pacientů, což může vést k nezamýšlenému těhotenství [viz Použití v konkrétních populacích ].
Zmeškaná dávka
Poskytněte pacientům, aby si vzali Jentadueto pouze podle předepsaného. Pokud je vynechána dávka, měla by se brát, jakmile si pamatuje pacienta. Doporučujte pacientům, aby neodpovídali další dávku.
Neklinická toxikologie
Zhodnocení mutageneze karcinogeneze plodnosti
Pohan
S kombinací linagliptinu a metforminu HC1 nebyla provedena žádná mutagenita karcinogenity nebo zhoršení studií plodnosti.
Linagliptin
Linagliptin did not increase the incidence of tumors in male a female rats in a 2-year study at doses of 6 18 a 60 mg/kg. The highest dose of 60 mg/kg is approximately 418 times the clinical dose of 5 mg/day based on AUC exposure. Linagliptin did not increase the incidence of tumors in mice in a 2-year study at doses up to 80 mg/kg (males) a 25 mg/kg (females) or approximately 35 a 270 times the clinical dose based on AUC exposure. Higher doses of linagliptin in female mice (80 mg/kg) increased the incidence of lymphoma at approximately 215 times the clinical dose based on AUC exposure.
Linagliptin was not mutagenic or clastogenic with or without metabolic activation in the Ames bacterial mutagenicity assay a chromosomal aberration test in human lymphocytes a an nadarmo Test Microlukleus.
Ve studiích plodnosti u potkanů neměly linagliptin žádné nepříznivé účinky na časnou embryonální vývojovou plodnost nebo ložisko živě do nejvyšší dávky 240 mg/kg (přibližně 943krát klinická dávka na základě expozice AUC).
Metformin HCl
Dlouhodobé studie karcinogenity byly provedeny u potkanů (doba dávkování 104 týdnů) a myší (doba dávkování 91 týdnů) v dávkách až do 900 mg/kg/den a 1500 mg/kg/den. Tyto dávky jsou přibližně čtyřikrát vyšší než maximální doporučenou lidskou denní dávku 2000 mg/kg/den na základě srovnání plochy těla. U mužských nebo ženských myší nebyl nalezen žádný důkaz karcinogenity u metforminu. Podobně nebyl pozorován žádný tumorigenní potenciál u metforminu u samců potkanů. U ženských potkanů však došlo ke zvýšenému výskytu benigních stromálních děložních polypů ošetřených 900 mg/kg/den.
V následujícím neexistoval žádný důkaz o mutagenním potenciálu metforminu in vitro Testy: Test Ames Test (Salmonella Typhimurium) genový test (test myší lymfomové buňky) nebo chromozomální aberace testu (lidské lymfocyty). Výsledky v nadarmo Myší mikronukleus test byl také negativní.
Plodnost samců nebo samic potkanů nebyla metforminem ovlivněna, když byla podávána v dávkách až 600 mg/kg/den, což je přibližně 2násobek MRHD na základě srovnání plochy těla.
Použití v konkrétních populacích
Těhotenství
Shrnutí rizika
Omezená data s používáním Jentadueto a linagliptinu u těhotných žen nestačí k informování rizika spojeného s Jentadueto nebo spojeným s linagliptinem pro velké vrozené vady a potrat. Publikované studie s používáním metforminu během těhotenství nehlásily jasnou souvislost s metforminem a major vrozená vada nebo riziko potratu [viz Data ]. There are risks to the mother a fetus associated with poorly controlled diabetes in pregnancy [vidět Klinické úvahy ].
Ve studiích reprodukce zvířat nebyly pozorovány žádné nepříznivé vývojové účinky, když byla kombinace linagliptinu a metforminu podávána těhotným potkanům v období organogeneze v dávkách podobných maximální doporučené klinické dávce na základě expozice [viz viz expozice [viz viz expozice [viz viz Data ]. Odhadované riziko na pozadí hlavních vrozených vad je 6% až 10% u žen s před gestačním diabetem s HbA1c> 7 a bylo hlášeno, že u žen s HbA1c> 10 je až 20% až 25%. Odhadované riziko pozadí potratu pro uvedenou populaci není známo. V americké obecné populaci je odhadované riziko na pozadí velkých vrozených vad a potratu u klinicky uznávaných těhotenství 2% až 4% a 15% až 20%.
Klinické úvahy
Mateřské a/nebo embryo/fetální riziko spojené s nemocí
Špatně kontrolované diabetes v těhotenství zvyšuje riziko mateřského rizika diabetické ketoacidózy preeklampsie spontánní potrat předčasné porody a doručování komplikací. Špatně kontrolovaná diabetes zvyšuje riziko plodu pro hlavní vrozené vady mrtvě narozené a morbiditu související s makrosomií.
Data
Lidská data
Zveřejněné údaje z postmarketingových studií neuvedly jasnou souvislost s potratem metforminu a hlavními vrozenými vadami nebo nepříznivými výsledky matky nebo plodu, když byl během těhotenství použit metformin. Tyto studie však rozhodně nemohou prokázat absenci rizika spojeného s metforminem kvůli metodickým omezením včetně malé velikosti vzorku a nekonzistentních skupin komparátorů.
Údaje o zvířatech
Linagliptin a metformin the components of Pohan were coadministered to pregnant Wistar Han rats during the period of organogenesis. No adverse developmental outcome was observed at doses similar to the maximum recommended clinical dose based on exposure. At higher doses associated with maternal toxicity the metformin component of the combination was associated with an increased incidence of fetal rib a scapula malformations at ≥9-times a 2000 mg clinical dose based on exposure.
Linagliptin
Nebyl pozorován žádný nepříznivý vývojový výsledek, když byl linagliptin podáván těhotným potkanům Wistar Han a himálajským králíkům v období organogeneze v dávkách až 240 mg/kg/den a 150 mg/kg/den. Tyto dávky představují přibližně 943krát (krysy) a 1943-times (králíci) 5 mg maximální klinická dávka na základě expozice. U potomků po podání linagliptinu na krysy Wistar Han od 6. dne do 21. den v dávce 49krát nebyl pozorován žádný nepříznivý funkční funkční behaviorální nebo reprodukční výsledek po podání linagliptinu na krysy Wistar Han.
Linagliptin crosses the placenta into the fetus following oral dosing in pregnant rats a rabbits.
Metformin HCl
Metformin HCl did not cause adverse developmental effects when administered to pregnant Sprague Dawley rats a rabbits at doses up to 600 mg/kg/day during the period of organogenesis. This represents an exposure of approximately 2- a 6-times a clinical dose of 2000 mg based on body surface area (mg/m 2 ) pro krysy a králíky.
Laktace
Shrnutí rizika
Existují omezené informace týkající se přítomnosti Jentadueto nebo jeho složek (linagliptin nebo metformin) v lidském mléce účinky na kojené dítě nebo účinky na produkci mléka. Linagliptin je však přítomen v mléce potkana. Limited publikované studie uvádějí, že metformin je přítomen v lidském mléce [viz Data ].
Proto by měly být zváženy vývojové a zdravotní přínosy kojení spolu s klinickou potřebou matky Jentadueta a jakýmikoli potenciálními nepříznivými účinky na kojené dítě z Jentadueta nebo ze základního mateřského stavu.
Data
Zveřejněné studie klinické laktace uvádějí, že metformin je přítomen v lidském mléce, což mělo za následek dávky kojenců přibližně 0,11% až 1% mateřské dávky a mateřskou velikost a omezené údaje o velikosti vzorku a omezeného vzorku v infantách.
Ženy a muži reprodukčního potenciálu
Diskutujte o potenciálu pro nezamýšlené těhotenství s premenopauzálními ženami, protože terapie metforminem může mít za následek ovulaci u některých anovulačních žen.
Dětské použití
U pediatrických pacientů nebyla stanovena bezpečnost a účinnost Jentadueto.
Účinnost linagliptinu nebyla prokázána u 26týdenního randomizovaného dvojitě slepého placebem kontrolovaného studie (NCT03429543) u 157 pediatrických pacientů ve věku 10 až 17 let s nedostatečně kontrolovaným diabetem typu 2.
Geriatrické použití
Linagliptin is minimally excreted by the kidney; however metformin is substantially excreted by the kidney [vidět VAROVÁNÍS AND OPATŘENÍ a Klinická farmakologie ].
Linagliptin
Ve studiích linagliptin bylo 1085 pacientů ošetřených linagliptinem ve věku 65 let a starší a 131 pacientů bylo 75 let a starších. V těchto studiích linagliptinu nebyly pozorovány celkové rozdíly v bezpečnosti nebo účinnosti linagliptinu mezi geriatrickými pacienty a mladšími dospělými pacienty.
Metformin
Kontrolované klinické studie metforminu nezahrnuly dostatečný počet starších pacientů, aby se určilo, zda reagují odlišně od mladších pacientů. Obecně by se výběr dávky pro staršího pacienta měl být opatrný, obvykle začínající na dolním konci dávkovacího rozsahu, což odráží větší frekvenci snížené renální nebo srdeční funkce jater a souběžné onemocnění nebo jiné léčivé terapie a vyšší riziko laktátové acidózy. U starších pacientů častěji hodnotíte funkci ledvin [viz Kontraindikace VAROVÁNÍS AND OPATŘENÍ a Klinická farmakologie ].
Poškození ledvin
Metformin is substantially excreted by the kidney a the risk of metformin accumulation a lactic acidosis increases with the degree of renal impairment.
Pohan is contraindicated in severe renal impairment patients with an estimated glomerular filtration rate (eGFR) below 30 mL/min/1.73 m 2 [vidět Dávkování a podávání Kontraindikace VAROVÁNÍS AND OPATŘENÍ a Klinická farmakologie ].
náklady na věci v Kostarice
V rameni léčby linagliptinu v pokusu Carmelina [viz Klinické studie ] 2200 (63%) pacientů mělo poruchu ledvin (EGFR <60 mL/min/1.73 m 2 ). Přibližně 20% populace mělo EGFR ≥ 45 až <60 mL/min/1.73 m 2 28% populace mělo EGFR ≥ 30 až <45 mL/min/1.73 m 2 a 15% had eGFR <30 mL/min/1.73 m 2 . Celkový výskyt nežádoucích účinků byl obecně podobný mezi rameny léčby linagliptinem a placebem.
Poškození jater
Použití metforminu u pacientů s jaterním poškozením bylo spojeno s některými případy acidózy mléčného. Jentadueto se nedoporučuje u pacientů s poškozením jater [viz VAROVÁNÍS AND OPATŘENÍ ].
Informace o předávkování pro Jentadueto XR
V případě předávkování s Jentadueto zvažte kontaktování linky Poison Help (1-800-222-1222) nebo lékařského toxikologa pro další doporučení pro řízení předávkování.
Došlo k předávkování metforminovým HC1, včetně požití množství větších než 50 gramů. Acidóza mléčné byla hlášena přibližně u 32% případů předávkování metforminem [viz VAROVÁNÍS AND OPATŘENÍ ]. Metformin is dialyzable with a clearance of up to 170 mL/min under good hemodynamic conditions. Therefore hemodialysis may be useful for removal of accumulated drug from patients in whom metformin overdosage is suspected.
Odstranění linagliptinu hemodialýzou nebo peritoneální dialýzou je nepravděpodobné.
Kontraindikace pro Jentadueto XR
Pohan is contraindicated in patients with:
- Těžké poškození ledvin (EGFR pod 30 ml/min/1,73 m 2 ) [Viz VAROVÁNÍS AND OPATŘENÍ ].
- Akutní nebo chronická metabolická acidóza včetně diabetické ketoacidózy [viz VAROVÁNÍS AND OPATŘENÍ ].
- Hypersenzitivita na linagliptin metformin nebo jakýkoli pomocné látky v reakcích Jentadueto, jako je anafylaxe angioedema exfoliativní kožní podmínky kožních podmínek nebo bronchiální hyperreaktivita se vyskytly u linagliptinu [viz viz viz [viz viz [viz viz [Viz VAROVÁNÍS AND OPATŘENÍ a Nežádoucí účinky ].
Klinická farmakologie for Pohan XR
Mechanismus působení
Pohan
Pohan contains: linagliptin a dipeptidyl peptidase-4 (DPP-4) inhibitor a metformin a biguanide.
Linagliptin
Linagliptin is an inhibitor of DPP-4 an enzyme that degrades the incretin hormones glucagon-like peptide-1 (GLP-1) a glucose-dependent insulinotropic polypeptide (GIP). Thus linagliptin increases the concentrations of active incretin hormones stimulating the release of insulin in a glucose-dependent manner a decreasing the levels of glucagon in the circulation. Both incretin hormones are involved in the physiological regulation of glucose homeostasis. Incretin hormones are secreted at a low basal level throughout the day a levels rise immediately after meal intake. GLP-1 a GIP increase insulin biosynthesis a secretion from pancreatic beta cells in the presence of normal a elevated blood glucose levels. Furthermore GLP-1 also reduces glucagon secretion from pancreatic alpha cells resulting in a reduction in hepatic glucose output.
Metformin HCl
Metformin is an antihyperglycemic agent which improves glucose tolerance in patients with Diabetes 2. typu mellitus lowering both basal a postpraial plasma glucose. Metformin decreases hepatic glucose production decreases intestinal absorption of glucose a improves insulin sensitivity by increasing peripheral glucose uptake a utilization. With metformin therapy insulin secretion remains unchanged while fasting insulin levels a day-long plasma insulin response may decrease.
Farmakodynamika
Linagliptin
Linagliptin binds to DPP-4 in a reversible manner a increases the concentrations of incretin hormones. Linagliptin glucose-dependently increases insulin secretion a lowers glucagon secretion thus resulting in a better regulation of the glucose homeostasis. Linagliptin binds selectively to DPP-4 a selectively inhibits DPP-4 but not DPP-8 or DPP-9 activity in vitro Při koncentracích aproximujících terapeutické expozice.
Srdeční elektrofyziologie
V randomizované placebem kontrolované 4-cestném crossover studii Active-Comparator byla podána jediná perorální dávka linagliptinu 5 mg linagliptin 100 mg (20krát doporučená dávka) moxifloxacin a placebo. Nebylo pozorováno žádné zvýšení QTC ani u doporučené dávky 5 mg nebo 100 mg dávky. Při 100 mg dávkách píku byly koncentrace plazmy linagliptinu přibližně 38krát vyšší než koncentrace píku po 5 mg dávce.
Farmakokinetika
Pohan
Podávání linagliptinu 2,5 mg/metforminu HC1 1000 mg s pevnou dávkou s potravinami nevedlo ke změně celkové expozice linagliptinu. V metforminu AUC nedošlo k žádné změně; Průměrná špičková koncentrace séra metforminu byla však při podávání s jídlem snížena o 18%. U metforminu za podmínek FED byla pozorována zpožděná koncentrace séra v séru o 2 hodiny. Tyto změny pravděpodobně nebudou klinicky významné.
Vstřebávání
Linagliptin
Absolutní biologická dostupnost linagliptinu je přibližně 30%. Po perorálním podávání plazmatických koncentrací poklesu linagliptinu alespoň bifázickým způsobem s dlouhým terminálním poločasem (> 100 hodin) souvisejícím s nasycenou vazbou linagliptinu na DPP-4. Prodloužená eliminace však nepřispívá k akumulaci léčiva. Efektivní poločas pro akumulaci linagliptinu, který byl stanoven z perorálního podávání více dávek linagliptinu 5 mg, je přibližně 12 hodin. Po dávkování v plazmě v ustáleném stavu je jednou denně dosaženo třetí dávkou a CMAX a AUC se zvýšily o faktor 1,3 v ustáleném stavu ve srovnání s první dávkou. Plazma AUC linagliptinu se zvýšila méně než v rozmezí dávky 1 až 10 mg. Farmakokinetika linagliptinu je podobná u zdravých subjektů a u pacientů s diabetes mellitus 2. typu.
Metformin HCl
Absolutní biologická dostupnost metforminu HCI 500 mg tabletu podávaná za podmínek nalačno je přibližně 50% až 60%. Studie využívající jednotlivé perorální dávky tablet metforminu 500 mg až 1500 mg a 850 mg až 2550 mg naznačují, že chybí proporcionalita dávky se zvyšujícími se dávkami, která je způsobena spíše sníženou absorpcí než změnou eliminace.
Rozdělení
Linagliptin
Průměrný zjevný objem distribuce v ustáleném stavu po jediné intravenózní dávce linagliptinu 5 mg pro zdravé subjekty je přibližně 1110 l, což naznačuje, že linagliptin rozsáhle distribuuje do tkání. Plazmatický protein vazba linagliptinu je snižování koncentrace závislé na přibližně 99% při 1 nmol/l na 75% na 89% při ≥ 30 nmol/l odrážející nasycení vazby na DPP-4 se zvyšující se koncentrací linagliptinu. Při vysokých koncentracích, kde je DPP-4 plně nasycen 70% až 80% linagliptinu, zůstává vázáno na plazmatické proteiny a 20% až 30% je v plazmě nevázané. Plazmatická vazba se nezmění u pacientů s renálním nebo jaterním poškozením.
Metformin HCl
Zjevný objem distribuce (V/F) metforminu po jednotlivých perorálních dávkách tablet Metforminu HCL s okamžitým uvolňováním 850 mg v průměru 654 ± 358 L. Metformin je zanedbatelně vázán na plazmatické proteiny. Metforminové rozdělení do erytrocytů s největší pravděpodobností jako funkce času.
Odstranění
Linagliptin
Linagliptin has a terminal half-life of about 200 hours at steady-state though the accumulation half-life is about 11 hours. Renal clearance at steady-state was approximately 70 mL/min.
Metformin HCl
Metformin has a plasma elimination half-life of approximately 6.2 hours. In blood the elimination half-life is approximately 17.6 hours suggesting that the erythrocyte mass may be a compartment of distribution.
Metabolismus
Linagliptin
Po ústní podání se většina (asi 90%) linagliptinu vylučuje nezměněna, což naznačuje, že metabolismus představuje menší eliminační cestu. Malá frakce absorbovaného linagliptinu je metabolizována na farmakologicky neaktivní metabolit, který vykazuje expozici ustáleného stavu 13,3% vzhledem k linagliptinu.
Metformin HCl
Intravenózní jednorázové studie u normálních subjektů ukazují, že metformin podstoupí jaterní metabolismus (u lidí nebyly identifikovány žádné metabolity) ani biliární vylučování.
Vylučování
Linagliptin
Po podání ústní [ 14 C] dávka linagliptinu pro zdravé subjekty Přibližně 85%podávané radioaktivity bylo eliminováno prostřednictvím enterohepatického systému (80%) nebo moči (5%) do 4 dnů od dávkování.
Metformin HCl
Po ústním podání přibližně 90% absorbovaného léčiva se vylučuje renální cestou během prvních 24 hodin. Renální clearance je přibližně 3,5krát větší než clearance kreatininu, což naznačuje, že tubulární sekrece je hlavní cestou eliminace metforminu.
Konkrétní populace
Poškození ledvin
Pohan
Studie charakterizující farmakokinetiku linagliptinu a metforminu po podání Jentadueto u pacientů s renály nebyly provedeny.
Linagliptin
Za podmínek v ustáleném stavu byla expozice linagliptinu u pacientů s mírným poškozením ledvin srovnatelná se zdravými subjekty. U pacientů se středním poškozením ledvin za podmínek v ustáleném stavu se zvýšila expozice linagliptinu (AUCτss o 71% a CMAX o 46%) ve srovnání se zdravými subjekty. Toto zvýšení nebylo spojeno s prodlouženým poločasem akumulací poločasů a zvýšeným akumulačním faktorem. Renální vylučování linagliptinu bylo pod 5% podávané dávky a nebylo ovlivněno sníženou funkcí ledvin.
Pacienti s diabetes mellitus 2. typu a těžkou poškození ledvin vykazovali expozici v ustáleném stavu přibližně o 40% vyšší než u pacientů s diabetes mellitus 2. typu a normální funkcí ledvin (zvýšení AUC o 42% a CMAX o 35%). U obou diabetes mellitusových skupin typu 2 byl vylučování ledvin pod 7% podávané dávky.
Tato zjištění byla dále podporována výsledky populačních farmakokinetických analýz.
Metformin HCl
U pacientů se sníženou funkcí ledvin je prodloužena plazma a poločas metforminu v krvi a renální clearance je snížena [viz Kontraindikace a VAROVÁNÍS AND OPATŘENÍ ].
Poškození jater
Pohan
Studie charakterizující farmakokinetiku linagliptinu a metforminu po podání Jentadueto u hepaticky narušených pacientů nebyly provedeny [viz viz VAROVÁNÍS AND OPATŘENÍ ].
Linagliptin
In patients with mild hepatic impairment (Child-Pugh class A) steady-state exposure (AUCτss) of linagliptin was approximately 25% lower and Cmaxss was approximately 36% lower than in healthy subjects. In patients with moderate hepatic impairment (Child-Pugh class B) AUCss of linagliptin was about 14% lower and Cmaxss was approximately 8% lower than in healthy subjects. Patients with severe hepatic impairment (Child-Pugh class C) had comparable exposure of linagliptin in terms of AUC0-24 and approximately 23% lower Cmax compared with healthy subjects. Reductions in the pharmacokinetic parameters seen in patients with hepatic impairment did not result in reductions in DPP-4 inhibition.
Metformin HCl
U pacientů s poškozením jater nebyly provedeny žádné farmakokinetické studie metforminu.
Účinky indexu tělesné hmotnosti věku (BMI) Pohlaví a rasa
Linagliptin
Reakce na TB testovací vedlejší účinky
Na základě populace farmakokinetická analýza věk BMI Pohlaví a rasa nemají klinicky smysluplný účinek na farmakokinetiku linagliptinu [viz viz Použití v konkrétních populacích ].
Metformin HCl
Metformin pharmacokinetic parameters did not differ significantly between normal subjects a patients with Diabetes 2. typu mellitus when analyzed according to gender. Similarly in controlled clinical studies in patients with Diabetes 2. typu mellitus the antihyperglycemic effect of metformin was comparable in males a females.
Omezená data z kontrolovaných farmakokinetických studií metforminu u zdravých starších subjektů naznačují, že celková plazmatická clearance metforminu je snížena, že poločas je prodloužený a CMAX se zvyšuje ve srovnání se zdravými mladými subjekty. Z těchto údajů se zdá, že změna ve farmakokinetice metforminu s stárnutí je primárně započítán změnou funkce ledvin.
Nebyly provedeny žádné studie farmakokinetických parametrů metforminu podle rasy. V kontrolovaných klinických studiích metforminu HC1 u pacientů s diabetes mellitus typu 2 byl antihyperglykemický účinek srovnatelný u kavkazanů (n = 249) černoch (n = 51) a hispánců (n = 24).
Lékové interakce
Studie interakce farmakokinetického léčiva s Jentadueto nebyly provedeny; Takové studie však byly provedeny s jednotlivými složkami Jentadueto (linagliptin a metformin HC1).
Linagliptin
Hodnocení lékových interakcí in vitro
Linagliptin is a weak to moderate inhibitor of CYP isozyme CYP3A4 but does not inhibit other CYP isozymes a is not an inducer of CYP isozymes including CYP1A2 2A6 2B6 2C8 2C9 2C19 2D6 2E1 a 4A11.
Linagliptin is a P-glycoprotein (P-gp) substrate a inhibits P-gp mediated transport of digoxin at high concentrations. Based on these results a nadarmo Studie interakce léčiva linagliptin je považována za nepravděpodobné, že by způsobily interakce s jinými substráty P-GP při terapeutických koncentracích.
In vivo hodnocení lékových interakcí
Silné induktory CYP3A4 nebo P-gp (např. Rifampin) snižují expozici linagliptinu subtrapeutickému a pravděpodobně neúčinné koncentraci [viz viz Lékové interakce ].
Nadarmo Studie naznačují důkaz nízkého náchylnosti k způsobující interakce léčiva se substráty CYP3A4 CYP2C9 CYP2C8 P-GP a Organického kationtového transportéru (OCT).
Tabulka 3 popisuje účinek spolupracovaných léčiv na systémovou expozici linagliptinu.
Tabulka 3: Účinek spolupracovaných léků na systémovou expozici linagliptinu
| Společný podávání drogy | Dávkování spolkované drogy* | Dávkování linagliptinu* | Geometrický průměrný poměr (poměr s/bez spolkované drogy) Žádný efekt = 1,0 | |
| AUC † | CMAX | |||
| Metformin | 850 mg času | 10 mg QD | 1.20 | 1.03 |
| Glyburid | 1,75 mg | 5 mg QD | 1.02 | 1.01 |
| Pioglitazon | 45 mg QD | 10 mg QD | 1.13 | 1.07 |
| Ritonavir | 200 mg nabídka | 5 mg | 2.01 | 2.96 |
| Rifampin ** | 600 mg QD | 5 mg QD | 0.60 | 0.56 |
| *Vícenásobná dávka (ustálená stav), pokud není uvedeno jinak ** Informace o klinických doporučeních [viz Lékové interakce ]. # Jediná dávka † AUC = AUC(0 to 24 hours) for single-dose treatments a AUC = AUC(TAU) for multiple-dose treatments Qd = jednou denně Bid = dvakrát denně Tid = třikrát denně |
Tabulka 4 popisuje účinek linagliptinu na systémovou expozici spolupracovaných léčiv.
Tabulka 4: Vliv linagliptinu na systémové expozice společně podávaných drog
| Společný podávání drogy | Dávkování spolkované drogy* | Dávkování linagliptinu* | Geometrický průměrný poměr (poměr s/bez spolkované drogy) Žádný efekt = 1,0 | ||
| AUC † | CMAX | ||||
| Metformin | 850 mg času | 10 mg QD | metformin | 1.01 | 0.89 |
| Glyburid | 1,75 mg | 5 mg QD | glyburid | 0.86 | 0.86 |
| Pioglitazon | 45 mg QD | 10 mg QD | pioglitazon | 0.94 | 0.86 |
| Metabolit M-III | 0.98 | 0.96 | |||
| Metabolit M-IV | 1.04 | 1.05 | |||
| Digoxin | 0,25 mg QD | 5 mg QD | digoxin | 1.02 | 0.94 |
| Simvastatin | 40 mg QD | 10 mg QD | Simvastatin | 1.34 | 1.10 |
| Simvastatin acid | 1.33 | 1.21 | |||
| Warfarin | 10 mg | 5 mg QD | R-Warfar | 0.99 | 1.00 |
| S-Warfar | 1.03 | 1.01 | |||
| INR | 0,93 ** | 1,04 ** | |||
| Pt | 1,03 ** | 1,15 ** | |||
| Ethinylestradiol a Levonorgestrel | Ethinylestradiol 0,03 mg a Levonorgestrel 0.150 mg QD | 5 mg QD | Ethinylestradiol | 1.01 | 1.08 |
| Levonorgestrel | 1.09 | 1.13 | |||
| *Vícenásobná dávka (ustálená stav), pokud není uvedeno jinak # Jediná dávka † AUC = AUC(INF) for single-dose treatments a AUC = AUC(TAU) for multiple-dose treatments ** AUC = AUC (0-168) a CMAX = EMAX pro farmakodynamické koncové body INR=International Normalized Ratio Pt=Prothrombin Time Qd = jednou denně Tid = třikrát denně |
Metformin HCl
Tabulka 5 popisuje účinek společně podávaných léčiv na systémovou expozici metforminu v plazmě.
Tabulka 5: Účinek spolupracovaných léků na systémovou expozici metforminu v plazmě
| Společný podávání drogy | Dávkování spolkované drogy* | Dávkování metforminu* | Geometrický průměrný poměr (poměr s/bez spolkované drogy) Žádný efekt = 1,0 | ||
| AUC † | CMAX | ||||
| Glyburid | 5 mg | 850 mg | metformin | 0.91 ‡ | 0.93 ‡ |
| Furosemid | 40 mg | 850 mg | metformin | 1.09 ‡ | 1.22 ‡ |
| Nifedipin | 10 mg | 850 mg | metformin | 1.16 | 1.21 |
| Propranolol | 40 mg | 850 mg | metformin | 0.90 | 0.94 |
| Ibuprofen | 400 mg | 850 mg | metformin | 1.05 ‡ | 1.07 ‡ |
| Kationtová léčiva eliminovaná renální tubulární sekrecí může snížit eliminaci metforminu [viz interakce léčiva]. | |||||
| Cimetidin | 400 mg | 850 mg | metformin | 1.40 | 1.61 |
| Inhibitory karbonické anhydrázy mohou způsobit metabolickou acidózu [viz interakce léčiva]. | |||||
| Topiramate ** | 100 mg | 500 mg | metformin | 1.25 | 1.17 |
| *Všechny léky na metformin a spolupracovníky byly podávány jako jednotlivé dávky † AUC=AUC(INF) ‡ Poměr aritmetických prostředků ** v ustáleném stavu s topiramátem 100 mg každých 12 hodin a metformin 500 mg každých 12 hodin; AUC = AUC (0-12 hodin) |
Tabulka 6 popisuje účinek metforminu na souhrnnou systémovou expozici léčiva.
Tabulka 6: Účinek metforminu na společně podávané na lékové systémové expozici
| Společný podávání drogy | Dávkování spolkované drogy* | Dávkování metforminu* | Geometrický průměrný poměr (poměr s/bez metforminu) Žádný efekt = 1,0 | ||
| AUC † | CMAX | ||||
| Glyburid | 5 mg | 850 mg | glyburid | 0.78 ‡ | 0.63 ‡ |
| Furosemid | 40 mg | 850 mg | furosemid | 0.87 ‡ | 0.69 ‡ |
| Nifedipin | 10 mg | 850 mg | nifedipin | 1.10 § | 1.08 |
| Propranolol | 40 mg | 850 mg | propranolol | 1.01 § | 1.02 |
| Ibuprofen | 400 mg | 850 mg | ibuprofen | 0.97 ¶ | 1.01 ¶ |
| Cimetidin | 400 mg | 850 mg | Cimetidin | 0.95 § | 1.01 |
| *Všechny léky na metformin a spolupracovníky byly podávány jako jednotlivé dávky † AUC=AUC(INF) unless otherwise noted ‡ Poměr aritmetických prostředků p-value of difference <0.05 § AUC(0-24 hours) reported ¶ Poměr aritmetických prostředků |
Klinické studie
Glykemická kontrolní pokusy u dospělých s diabetes mellitus 2. typu
Počáteční kombinovaná terapie s linagliptinem a metforminem
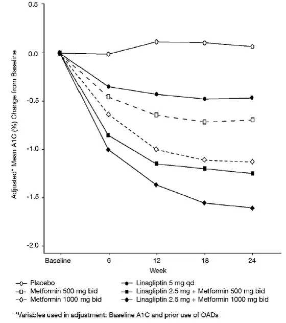
Celkem 791 pacientů s diabetes mellitus typu 2 a nedostatečnou glykemickou kontrolou na stravě a cvičení se zúčastnilo 24týdenní randomizované dvojitě slepé části této placebem kontrolované faktoriální studie určené k posouzení účinnosti linagliptinu jako počáteční terapie metforminem. Pacienti na antihyperglykemickém činidle (52%) podstoupili období vymývání léčiva 4 týdny. Po vymývacím období a po dokončení dvoutýdenního slepého slepého placeboového období pacientů s nedostatečnou glykemickou kontrolou (A1C ≥ 7,0% až ≤ 10,5%) byli randomizováni. Pacienti s nedostatečnou glykemickou kontrolou (A1C ≥ 7,5% <11.0%) not on antihyperglycemic agents at trial entry (48%) immediately entered the 2-week single-blind placebo run-in period a then were raomized. Raomization was stratified by baseline A1C ( <8.5% vs ≥8.5%) a use of a prior oral antidiabetic drug (none vs monotherapy). Patients were raomized in a 1:2:2:2:2:2 ratio to either placebo or one of 5 activetreatment arms. Approximately equal numbers of patients were raomized to receive initial therapy with 5 mg of linagliptin once daily 500 mg or 1000 mg of metformin twice daily or 2.5 mg of linagliptin twice daily in combination with 500 mg or 1000 mg of metformin twice daily. Patients who failed to meet specific glycemic goals during the trial were treated with sulfonylurea thiazolidinedione or insulin rescue therapy.
Počáteční terapie kombinací linagliptinu a metforminu poskytla významná zlepšení v plazmatické glukóze A1C a nalačno (FPG) ve srovnání s placebem pouze k metforminu samotnému a samotným linagliptinem (tabulka 7 obrázek 1). Upravený průměrný rozdíl léčby v A1C od výchozího hodnoty do 24. týdne (LOCF) byl -0,5% (95% CI -0,7 -0,3; P P <0.0001) for linagliptin 2.5 mg/metformin 1000 mg twice daily compared to metformin 1000 mg twice daily; -1.1% (95% CI -1.4 -0.9; p <0.0001) for linagliptin 2.5 mg/metformin 1000 mg twice daily compared to linagliptin 5 mg once daily; -0.6% (95% CI -0.8 -0.4; p <0.0001) for linagliptin 2.5 mg/metformin 500 mg twice daily compared to metformin 500 mg twice daily; a -0.8% (95% CI -1.0 -0.6; p <0.0001) for linagliptin 2.5 mg/metformin 500 mg twice daily compared to linagliptin 5 mg once daily.
Lipidové účinky byly obecně neutrální. V žádné ze 6 léčených skupin nebyla zaznamenána žádná smysluplná změna tělesné hmotnosti.
Tabulka 7 Glykemické parametry při konečné návštěvě (24týdenní pokus) pro samotný linagliptin a metformin a v kombinaci u randomizovaných pacientů s diabetes mellitus typu 2 nedostatečně kontrolovaný dietou a cvičením **
| Placebo | Linagliptin 5 mg Jednou denně* | Metformin 500 mg Dvakrát denně | Linagliptin 2.5 mg Dvakrát denně* + Metformin 500 mg Dvakrát denně | Metformin 1000 mg Dvakrát denně | Linagliptin 2.5 mg Dvakrát denně* + Metformin 1000 mg Dvakrát denně | |
| A1C (%) | ||||||
| Počet pacientů | n = 65 | n = 135 | n = 141 | n = 137 | n = 138 | n = 140 |
| Základní linie (průměr) | 8.7 | 8.7 | 8.7 | 8.7 | 8.7 | 8.7 |
| Změnit z výchozí hodnoty (upraveno střední****) | 0.1 | -0.5 | -0.6 | -1.2 | -1.1 | -1.6 |
| Rozdíl od placeba (upraveno Průměr) (95% CI) | - | -0.6 (-0,9 -0,3) | -0.8 (-1,0 -0,5) | -1.3 (-1,6 -1.1) | -1.2 (-1,5 -0,9) | -1.7 (-2,0 -1.4) |
| Pacienti [n (%)] dosažení A1C <7%*** | 7 (10.8) | 14 (10.4) | 26 (18.6) | 41 (30.1) | 42 (NULL,7) | 74 (NULL,6) |
| Pacienti (%) dostávají záchranu léky | 29.2 | 11.1 | 13.5 | 7.3 | 8.0 | 4.3 |
| FPG (MG/DL) | ||||||
| Počet pacientů | n = 61 | n = 134 | n = 136 | n = 135 | n = 132 | n = 132 |
| Základní linie (průměr) | 203 | 195 | 191 | 199 | 191 | 196 |
| Změnit z výchozí hodnoty (upraveno střední****) | 10 | -9 | -16 | -33 | -32 | -49 |
| Rozdíl od placeba (upraveno Průměr) (95% CI) | - | -19 (-31 -6) | -26 (-38 -14) | -43 (-56 -31) | -42 (-55 -30) | -60 (-72 -47) |
| *Celková denní dávka linagliptinu se rovná 5 mg ** Populace plné analýzy pomocí posledního pozorování při pokusu *** Metformin 500 mg dvakrát denně n = 140; Linagliptin 2,5 mg dvakrát denně metformin 500 mg dvakrát denně n = 136; Metformin 1000 mg dvakrát denně n = 137; Linagliptin 2,5 mg dvakrát denně metformin 1000 mg dvakrát denně n = 138 ****HbA1c: ANCOVA model included treatment and number of prior OADs as class-effects as well as baseline HbA1c as continuous covariates. FPG: ANCOVA model included treatment and number of prior OADs as class-effects as well as baseline HbA1c and baseline FPG as continuous covariates. |
Obrázek 1: Upravená průměrná změna z výchozí hodnoty pro A1c (%) po dobu 24 týdnů s samotným linagliptinem a metforminem a v kombinaci u pacientů s diabetes mellitus typu 2 nedostatečně kontrolované stravou a cvičení
|
Počáteční kombinovaná terapie s linagliptinem a metforminem Vs Linagliptin In Treatment-Naïve Patients
A total of 316 patients with type 2 diabetes mellitus diagnosed within the previous 12 months and treatment-naïve (no antidiabetic therapy for 12 weeks prior to randomization) and inadequate glycemic control (A1C ≥8.5% to ≤12.0%) participated in a 24-week randomized double-blind trial designed to assess the efficacy of linagliptin in combination with metformin vs linagliptin. Pacienti byli randomizováni (1: 1) po 2týdenní doba doba na buď linagliptin 5 mg plus metformin (1500 až 2000 mg za den n = 159) nebo linagliptin 5 mg plus placebo (n = 157) podávaný jednou denně. Pacienti ve skupině léčené linagliptin a metforminem byli během třídenního období uptitrated na maximální tolerovanou dávkování metforminu (1000 až 2000 mg denně).
Počáteční terapie kombinací linagliptinu a metforminu poskytla statisticky významná zlepšení v A1C ve srovnání s linagliptinem (tabulka 8). Průměrný rozdíl mezi skupinami ve změně A1C z výchozí hodnoty byl -0,8% s oboustranným 95% intervalem spolehlivosti (-1,23% -0,45%).
Tabulka 8 Glykemické parametry po 24 týdnech ve studii srovnávající linagliptin v kombinaci s metforminem s linagliptinem u pacientů s dosud neléčeným léčbou*
| Linagliptin 5 mg + Metformin | Linagliptin 5 mg + Placebo | |
| A1C (%)* | ||
| Počet pacientů | n = 153 | n = 150 |
| Základní linie (průměr) | 9.8 | 9.9 |
| Změnit z výchozí hodnoty (upraveno mean) | -2.9 | -2 |
| Rozdíl od linagliptin (upravený průměr **) (95% CI) | -0.84 † (-1,23 -0,45) - | |
| Pacienti [n (%)] dosažení A1C <7%* | 82 (NULL,6) | 45 (30) |
| FPG (MG/DL)* | ||
| Počet pacientů | n = 153 | n = 150 |
| Základní linie (průměr) | 196 | 198 |
| Změnit z výchozí hodnoty (upraveno mean) | -54 | -35 |
| Rozdíl od linagliptin (upravený průměr **) (95% CI) | -18 † † (-31 -5,5) | - |
| † p <0.0001 compared to linagliptin † † P = 0,0054 ve srovnání s linagliptin *Úplná analýza nastavená populace ** A1C: Model MMRM zahrnoval léčbu kontinuální základní linie A1C Základní linie A1C návštěvou interakce návštěva léčebné interakce Základní porucha ledvin léčbou interakcí léčby a základní zhoršení ledvin léčbou interakcí návštěvy. FPG: Model MMRM zahrnoval léčbu kontinuální základní linie A1c kontinuální základní linie FPG základní linie FPG návštěvou návštěvy interakce návštěvou léčebné interakce Základní porucha ledvin léčebnou interakcí a základní zhoršení ledvin léčbou návštěvou interakcí. |
Upravené průměrné změny pro A1C (%) z výchozího času v průběhu času pro linagliptin a metformin ve srovnání s samotným linagliptinem byly udržovány po dobu 24 týdnů léčby. Pomocí analýzy dokončení příslušné upravené prostředky pro změny A1c (%) z výchozí hodnoty pro linagliptin a metformin ve srovnání s linagliptinem samotným byly -1,9 a -1,3 v 6. -22. týdnu a -1,8 ve 12. týdnu a -1,9 v 18. týdnu a -1,7 a -1,9 v týdnu 24. Změny v tělesné hmotnosti nebyly klinicky významné.
Kombinovaná terapie doplňkem s metforminem
Celkem 701 pacientů s diabetes mellitus 2. typu se zúčastnilo 24týdenní randomizované dvojitě slepé placebem kontrolované studie určené k posouzení účinnosti linagliptinu v kombinaci s metforminem. Pacienti již na metforminu (n = 491) při dávce nejméně 1500 mg denně byli randomizováni po dokončení dvoutýdenního otevřeného období běhu placeba. Pacienti na metforminu a další antihyperglykemické činidlo (n = 207) byli randomizováni po dobové době přibližně 6 týdnů na metformin (při dávce nejméně 1500 mg denně) v monoterapii. Pacienti byli randomizováni k přidání buď linagliptinu 5 mg nebo placeba podávaného jednou denně. Pacienti, kteří během studií nesplnili specifické glykemické cíle, byli léčeni záchranou glimepiridů.
V kombinaci s metforminem linagliptinem poskytoval statisticky významná zlepšení v A1C FPG a 2hodinové PPG ve srovnání s placebem (tabulka 9). Záchranná glykemická terapie byla použita u 7,8% pacientů léčených linagliptinem 5 mg a u 18,9% pacientů léčených placebem. Podobné snížení tělesné hmotnosti bylo pozorováno u obou léčených skupin.
Tabulka 9 Glykemická parametry v placebem kontrolované pokus pro linagliptin v kombinaci s metforminem*
| Linagliptin 5 mg + Metformin | Placebo + Metformin | |
| A1C (%) | ||
| Počet pacientů | n = 513 | n = 175 |
| Základní linie (průměr) | 8.1 | 8.0 |
| Změnit z výchozí hodnoty (upraveno mean***) | -0.5 | 0.15 |
| Rozdíl od metforminu s placebem (upravený průměr) (95% CI) | -0,6 (-0,8 -0,5) | - |
| Pacienti [n (%)] dosažení A1C <7%** | 127 (26.2) | 15 (9.2) |
| FPG (MG/DL) | ||
| Počet pacientů | n = 495 | n = 159 |
| Základní linie (průměr) | 169 | 164 |
| Změnit z výchozí hodnoty (upraveno mean***) | -11 | 11 |
| Rozdíl od metforminu s placebem (upravený průměr) (95% CI) | -21 (-27 -15) | - |
| 2hodinový PPG (mg/dl) | ||
| Počet pacientů | n = 78 | n = 21 |
| Základní linie (průměr) | 270 | 274 |
| Změnit z výchozí hodnoty (upraveno mean***) | -49 | 18 |
| Rozdíl od metforminu s placebem (upravený průměr) (95% CI) | -67 (-95 -40) | - |
| * Populace plné analýzy pomocí posledního pozorování při pokusu ** linagliptin 5 mg metforminu n = 485; Placebo metformin n = 163 ***HbA1c: ANCOVA model included treatment and number of prior oral OADs as class-effects as well as baseline HbA1c as continuous covariates. FPG: ANCOVA model included treatment and number of prior OADs as class-effects as well as baseline HbA1c and baseline FPG as continuous covariates. PPG: ANCOVA model included treatment and number of prior OADs as class-effects as well as baseline HbA1c and baseline postprandial glucose after two hours as covariate. |
Aktivní kontrolovaná pokus vs. glimepirid v kombinaci s metforminem
Účinnost linagliptinu byla hodnocena v 104týdenní dvojitě slepé glimepiridově kontrolované studie neinferitu u diabetických pacientů s nedostatečnou glykemickou kontrolou navzdory metforminové terapii. Pacienti léčeni metforminem vstoupili pouze do doby trvání 2 týdnů, zatímco pacienti předem ošetřeni metforminem a jeden další antihyperglykemický činidlo vstoupilo do doby léčby 6 týdnů trvání 6 týdnů s monoterapií metforminu (dávka ≥1500 mg za den) a vymývání druhého činidla. Po dalším 2týdenním období běhu placeba byly ty s nedostatečnou glykemickou kontrolou (A1C 6,5% až 10%) randomizovány 1: 1 k přidání linagliptinu 5 mg jednou denně nebo glimepiride. Randomizace byla stratifikována pomocí základního HbA1c ( <8.5% vs ≥8.5%) a the previous use of antidiabetic drugs (metformin alone vs metformin plus one other OAD). Patients receiving glimepiride were given an initial dosage of 1 mg/day a then electively titrated over the next 12 weeks to a maximum dosage of 4 mg/day as needed to optimize glycemic control. Thereafter the glimepiride dosage was to be kept constant except for downtitration to prevent Hypoglykémie.
Po 52 týdnech a 104 týdnech se linagliptin a glimepiride měly snížení z výchozí hodnoty v A1C (52 týdnů: -0,4% pro linagliptin -0,6% pro glimepirid; 104 týdnů: -0,2% pro linagliptin -0,4% pro grimepirid) z základního průměru 7,7% (tabulka 10). Průměrný rozdíl mezi skupinami ve změně A1C z výchozí hodnoty byl 0,2% s oboustranným 97,5% intervalem spolehlivosti (NULL,1% 0,3%) pro populaci úmyslného léčby pomocí posledního pozorování. Tyto výsledky byly v souladu s analýzou dokončení.
Tabulka 10 Glykemická parametry po 52 a 104 týdnech ve studii srovnávající linagliptin s glimepiridem jako doplňkovou terapii u pacientů nedostatečně kontrolovaných metforminem ** **
| 52 týdnů | Týden 104 | |||
| Linagliptin 5 mg + Metformin | Glimepiride metformin (Průměrná dávka Glimepiride 3 MG) | Linagliptin 5 mg + Metformin | Glimepiride metformin (Průměrná dávka Glimepiride 3 MG) | |
| A1C (%) | ||||
| Počet pacientů | n = 764 | n = 755 | n = 764 | n = 755 |
| Základní linie (průměr) | 7.7 | 7.7 | 7.7 | 7.7 |
| Změnit z výchozí hodnoty (upraveno mean***) | -0.4 | -0.6 | -0.2 | -0.4 |
| Rozdíl od glimepiridu (upravený průměr) (NULL,5% tam) | 0,2 (NULL,1 0,3) | - | 0,2 (NULL,1 0,3) | - |
| FPG (MG/DL) | ||||
| Počet pacientů | n = 733 | n = 725 | n = 733 | n = 725 |
| Základní linie (průměr) | 164 | 166 | 164 | 166 |
| Změnit z výchozí hodnoty (upraveno mean***) | -8* | -15 | -2 † | -9 |
| *P. <0.0001 vs glimepiride; † P = 0,0012 vs glimepiride ** Populace plné analýzy pomocí posledního pozorování při pokusu ***HbA1c: ANCOVA model included treatment and number of prior OADs as class-effects as well as baseline HbA1c as continuous covariates. FPG: ANCOVA model included treatment and number of prior OADs as class-effects as well as baseline HbA1c and baseline FPG as continuous covariates. |
Pacienti léčeni linagliptinem měli průměrnou základní tělesnou hmotnost 86 kg a bylo pozorováno, že mělo upravené průměrné snížení tělesné hmotnosti 1,1 kg po 52 týdnech a 1,4 kg po 104 týdnech. Pacienti na glimepiridu měli průměrnou základní tělesnou hmotnost 87 kg a bylo pozorováno, že mělo upravené průměrné zvýšení oproti výchozí hodnotě tělesné hmotnosti 1,4 kg po 52 týdnech a 1,3 kg po 104 týdnech (léčba p p <0.0001 for both timepoints).
Kombinovaná terapie doplňkem s metforminem And A Sulfonylurea
Celkem 1058 pacientů s diabetes mellitus typu 2 se zúčastnilo 24týdenní randomizované dvojitě zaslepené placebem kontrolované studie určené k posouzení účinnosti linagliptinu v kombinaci se sulfonylmočobou a metforminem. Nejběžnější sulfonylureus používaný pacienty ve studii byl glimepirid (31%) glibenclamid (26%) a gliclazid (26%[není k dispozici ve Spojených státech]). Pacienti na sulfonylurea a metforminu byli randomizováni, aby dostávali linagliptin 5 mg nebo placebo, každý podáván jednou denně. Pacienti, kteří během studie nesplnili specifické glykemické cíle, byli léčeni záchranou pioglitazonu. Měřené glykemické koncové body zahrnovaly A1C a FPG.
V kombinaci s sulfonylurea a metformin linagliptin poskytoval statisticky významná zlepšení v A1C a FPG ve srovnání s placebem (tabulka 11). V celé zkušební populaci (pacienti na linagliptinu v kombinaci se sulfonylurea a metforminem) byla pozorována průměrná redukce z výchozí hodnoty vzhledem k placebu v A1c -0,6% a v FPG -13 mg/dl. Záchranná terapie byla použita u 5,4% pacientů léčených linagliptinem 5 mg a u 13% pacientů léčených placebem. Změna od výchozí hodnoty v tělesné hmotnosti se mezi skupinami významně nelišila.
Tabulka 11 Glykemická parametry při závěrečné návštěvě (24týdenní pokus) pro linagliptin v kombinaci s metforminem a sulfonylurea*
| Linagliptin 5 mg + Metformin + SU | Placebo + Metformin + SU | |
| A1C (%) | ||
| Počet pacientů | n = 778 | n = 262 |
| Základní linie (průměr) | 8.2 | 8.1 |
| Změnit z výchozí hodnoty (upraveno mean***) | -0.7 | -0.1 |
| Rozdíl od placeba (upraveno Průměr) (95% CI) | -0,6 (-0,7 -0,5) | - |
| Pacienti [n (%)] dosažení A1C <7%** | 217 (29.2) | 20 (8.1) |
| FPG (MG/DL) | ||
| Počet pacientů | n = 739 | n = 248 |
| Základní linie (průměr) | 159 | 163 |
| Změnit z výchozí hodnoty (upraveno mean***) | -5 | 8 |
| Rozdíl od placeba (upraveno Průměr) (95% CI) | -13 (-18 -7) | - |
| Su = sulfonylurea *Populace plné analýzy pomocí posledního pozorování při pokusu ** linagliptin 5 mg metforminu je n = 742; Metformin placebo je n = 247 ***HbA1c: ANCOVA model included treatment as class-effects and baseline HbA1c as continuous covariates. FPG: ANCOVA model included treatment as classeffects as well as baseline HbA1c and baseline FPG as continuous covariates. |
Linagliptin Cardiovascular Safety Trials In Patients With Type 2 Diabetes Mellitus
Carmelina
Kardiovaskulární riziko linagliptinu bylo v Carmelině hodnoceno mnohonárodnostní vícecentrické placebem kontrolované dvojitě zaslepené paralelní skupinové studie srovnávající linagliptin (n = 3494) s placebem (n = 3485) u dospělých pacientů s diabetes mellitus typu 2 typu 2. Studie porovnávala riziko velkých nežádoucích kardiovaskulárních příhod (MACE) mezi linagliptinem a placebem, když byly přidány do standardu léčby péče u diabetes mellitus a dalších kardiovaskulárních rizikových faktorů. Studie byla poháněna událostí, která byla průměrná doba sledování 2,2 roku a byl získán vitální stav pro 99,7% pacientů.
Pacienti byli způsobilí vstoupit do studie, pokud byli dospělí s diabetes mellitus 2. typu s HbA1c 6,5% až 10% a měli buď albuminurii a předchozí makrovaskulární onemocnění (39% zapsané populace) nebo důkazy o zhoršené funkci ledviny (obou (obou (obou (obou zařazenou populaci).
Na začátku byl průměrný věk 66 let a populace byla 63% mužů 80% bílé 9% asijské 6% černé nebo africký Američan a 36% bylo hispánské nebo latino etnicity. Průměrná HbA1c byla 8,0% a průměrná doba trvání diabetes mellitus 2. typu byla 15 let. Populace pokusů zahrnovala 17% pacientů ≥ 75 let a 62% pacientů s poruchou ledvin definovaných jako EGFR <60 mL/min/1.73 m 2 . Průměrná EGFR byla 55 ml/min/1,73 m 2 a 27% of patients had mild renal impairment (eGFR 60 to 90 mL/min/1.73 m 2 ) 47% pacientů mělo mírné poškození ledvin (EGFR 30 až <60 mL/min/1.73 m 2 ) a 15% pacientů mělo vážné poškození ledvin (EGFR <30 mL/min/1.73 m 2 ). Pacienti užívali alespoň jeden antidiabetický lék (97%) a nejčastější byly inzulín a analogy (57%) metforminu (54%) a sulfonylreau (32%). Pacienti také užívali antihypertenziva (96%) léky snižující lipidy (76%) s 72%na statinu a aspirinu (62%).
Primárním macem koncového bodu byl čas na první výskyt jednoho ze tří složených výsledků, které zahrnovaly kardiovaskulární smrt nefatální infarkt myokardu nebo nefatální mrtvice. Studie byla navržena jako pokus o neinferitu s předem specifikovanou rozpětí rizika 1,3 pro poměr rizika Mace.
Výsledky Carmelina včetně příspěvku každé složky k primárnímu koncovému koncovému bodu jsou uvedeny v tabulce 12. Odhadovaný poměr rizika pro Mace spojený s linagliptinem vzhledem k placebu byl 1,02 s 95% intervalem spolehlivosti (NULL,89 1,17). Horní hranice tohoto intervalu spolehlivosti 1,17 vyloučila rozpětí rizika 1,3. Kaplan-Meierova křivka zobrazující čas do prvního výskytu Mace je znázorněna na obrázku 2.
Tabulka 12: Hlavní nepříznivé kardiovaskulární příhody (Mace) podle léčebné skupiny ve studii Carmelina
| Linagliptin 5 mg n = 3494 | Placebo n = 3485 | Poměr rizika | |||
| Počet subjektů (%) | Míra incidence na 1000 py* | Počet subjektů (%) | Míra incidence na 1000 py* | (95% tam) | |
| Složení první události CV smrti Nefatální infarkt myokardu (MI) nebo nefatální mrtvice (Mace) | 434 (12.4) | 57.7 | 420 (12.1) | 56.3 | 1.02 (NULL,89 1,17) |
| CV Death ** | 255 (7.3) | 32.6 | 264 (7.6) | 34.0 | 0.96 (NULL,81 1,14) |
| Nefatální mi ** | 156 (4.5) | 20.6 | 135 (3.9) | 18.0 | 1.15 (NULL,91 1,45) |
| Nefatální mrtvice ** | 65 (1.9) | 8.5 | 73 (2.1) | 9.6 | 0.88 (NULL,63 1,23) |
| *PY = trpělivé roky ** Pacient mohl zažít více než jednu složku; Součet složek je proto větší než počet pacientů, kteří zažili složený výsledek. |
Obrázek 2 Kaplan-Meier: Čas do prvního výskytu Mace v pokusu Carmelina
Carolina
Kardiovaskulární riziko linagliptinu bylo v Karolíně hodnoceno vícececentální randomizované dvojitě slepé paralelní skupinové studie porovnávající linagliptin (n = 3023) s glimepiridem (n = 3010) u dospělých pacientů s diabetetem typu 2 a mellitus typu 2 mellitus typu 2. Studie porovnávala riziko velkých nežádoucích kardiovaskulárních příhod (MACE) mezi linagliptin a glimepiridem, když byly přidány do standardu léčby péče pro diabetes mellitus a další kardiovaskulární rizikové faktory. Studie byla poháněna událostí, která byla střední doba sledování 6,23 let a byl získán vitální stav pro 99,3% pacientů.
Patients were eligible to enter the trial if they were adults with type 2 diabetes mellitus with insufficient glycemic control (defined as HbA1c of 6.5% to 8.5% or 6.5% to 7.5% depending on whether treatment-naïve on monotherapy or on combination therapy) and were defined to be at high cardiovascular risk with previous vascular disease evidence of vascular related end-organ damage age ≥70 years and/or two Kardiovaskulární rizikové faktory (doba trvání diabetes mellitus> 10 let systolický krevní tlak> 140 mmhg proudového kuřáku LDL cholesterolu ≥ 135 mg/dl).
Na začátku byl průměrný věk 64 let a populace byla 60% mužů 73% bílé 18% asijské 5% černé nebo africký Američan a 17% bylo hispánské nebo latino etnicity. Průměrná HbA1c byla 7,15% a průměrná doba trvání diabetes mellitus 2. typu byla 7,6 let. Zkušební populace zahrnovala 34% pacientů ve věku ≥ 70 let a 19% pacientů s poškozením ledvin definovaných jako EGFR <60 mL/min/1.73 m 2 . Průměrná EGFR byla 77 ml/min/1,73 m 2 . Pacienti užívali alespoň jeden antidiabetický lék (91%) a nejběžnější byli metformin (83%) a sulfonylreau (28%). Pacienti také užívali antihypertenzivy (89%) léčiva snižujících lipidy (70%) s 65%na statinu a aspirinu (47%).
Primárním macem koncového bodu byl čas na první výskyt jednoho ze tří složených výsledků, které zahrnovaly kardiovaskulární smrt nefatální infarkt myokardu nebo nefatální mrtvice. Studie byla navržena jako pokus o neinferitu s předem specifikovanou rizikovou marží 1,3 pro horní hranici 95% CI pro poměr rizika Mace.
Výsledky Karolíny včetně příspěvku každé složky k primárnímu koncovému koncovému bodu jsou uvedeny v tabulce 13. Kaplan-Meierova křivka zobrazující čas na první výskyt Mace je znázorněno na obrázku 3.
Tabulka 13: Hlavní nepříznivé kardiovaskulární příhody (Mace) podle léčebné skupiny v soudním řízení Carolina
| Linagliptin 5 mg n = 3023 | Glimepiride (1 mg až 4 mg) n = 3010 | Poměr rizika | |||
| Počet subjektů (%) | Míra incidence na 1000 py* | Počet subjektů (%) | Míra incidence na 1000 py* | (95% tam) | |
| Kompozit první události CV smrti nefatální infarkt myokardu (MI) nebo nefatální mrtvice (Mace) | 356 (11.8) | 20.7 | 362 (12.0) | 21.2 | 0.98 (NULL,84 1,14) |
| CV Death ** | 169 (5.6) | 9.2 | 168 (5.6) | 9.2 | 1.00 (NULL,81 1,24) |
| Nefatální mi ** | 145 (4.8) | 8.3 | 142 (4.7) | 8.2 | 1.01 (NULL,80 1,28) |
| Nefatální mrtvice ** | 91 (3.0) | 5.2 | 104 (3.5) | 6.0 | 0.87 (NULL,66 1,15) |
| *PY = trpělivé roky ** Pacient mohl zažít více než jednu složku; Součet komponent je proto větší než počet pacientů, kteří zažili složený výsledek |
Obrázek 3 čas do prvního výskytu 3p-mace v Karolíně
Informace o pacientovi pro Jentadueto XR
Pohan ®
(Jen ta doo e toe)
(tablety linagliptin a hydrochloridu metforminu) pro ústní použití
Jaké jsou nejdůležitější informace, které bych měl vědět o Jentadueto?
Pohan can cause serious side effects including:
Sdělte svému poskytovateli zdravotní péče, pokud máte některé z problémů ve výše uvedeném seznamu. Řekněte svému poskytovateli zdravotní péče, že berete Jentadueto před chirurgickým zákrokem nebo rentgenovým testem. Váš poskytovatel zdravotní péče se může rozhodnout zastavit váš Jentadueto na chvíli, pokud podáte chirurgický zákrok nebo určité rentgenové testy. Jentadueto může mít jiné závažné vedlejší účinky. Vidět Jaké jsou možné vedlejší účinky Jentadueto?
Přestaňte brát Jentadueto a okamžitě zavolejte svého poskytovatele zdravotní péče, pokud máte bolest v oblasti žaludku (břicha), která je závažná a neodejde. Bolest může být pociťována z vašeho břicha na záda. Bolest se může stát s zvratem nebo bez něj. To mohou být příznaky pankreatitidy.
- Acidóza mléčné. Metformin hydrochlorid (HC1) Jeden z léků v Jentadueto může způsobit vzácný, ale vážný stav zvaný laktátová acidóza (hromadění kyseliny mléčné v krvi), který může způsobit smrt. Laktická acidóza je lékařská pohotovost a musí být léčena v nemocnici.
Přestaňte brát Jentadueto a zavolat svému poskytovateli zdravotní péče ihned nebo jděte do nejbližší nemocniční pohotovostní místnosti, pokud získáte některý z následujících příznaků acidózy mléčného:
Máte vyšší šanci získat laktátovou acidózu s Jentadueto, pokud:
- cítit se velmi slabý a unavený
- mít neobvyklou (ne normální) bolest svalů
- mít potíže s dýcháním
- mít nevysvětlitelné problémy s žaludkem nebo střevem s nevolností a zvratem nebo průjmem
- mít neobvyklou ospalost nebo spát déle než obvykle
- Cítíte se chladno, zejména v pažích a nohou
- cítit se závratě nebo bezstarostný
- mít pomalý nebo nepravidelný srdeční rytmus
- mají závažné problémy s ledvinami.
- mít problémy s jatery.
- Pijte hodně alkoholu (velmi často nebo krátkodobé pití).
- Získejte dehydrataci (ztratit velké množství tělních tekutin). To se může stát, pokud jste nemocní zvracením nebo průjmem. Dehydratace se může také stát, když se hodně potíte s aktivitou nebo cvičením a nepijete dostatek tekutin.
- mít určité rentgenové testy s injekčními barvivy nebo kontrastními látkami.
- podstoupí chirurgii nebo jiné postupy, pro které musíte omezit množství potravin a tekutiny, které jíte a pijete.
- mít městnavé srdeční selhání.
- mít infarkt Těžká infekce nebo mrtvice.
- je 65 let nebo starší.
- Zánět slinivky břišní (pankreatitida) což může být závažné a vést k smrti. Některé zdravotní problémy vám způsobují, že budete mít větší pravděpodobnost pankreatitidy.
Než začnete brát Jentadueto Sdělte svému poskytovateli zdravotní péče, pokud jste někdy měli:
- Zánět pankreatu (pankreatitida)
- Historie alkoholismu
- kameny ve vašem žlučníku ( žlučové kameny )
- vysoká hladina triglyceridů krve
Co je Jentadueto?
- Pohan is a prescription medicine that contains 2 diabetes medicines linagliptin (TRADJENTA) a metformin HCl. Pohan can be used along with diet a exercise to lower blood sugar in adults with Diabetes 2. typu mellitus.
- Pohan is not for people with type 1 diabetes mellitus.
- Pokud jste v minulosti měli pankreatitidu, není známo, zda máte vyšší šanci získat pankreatitidu, zatímco vezmete Jentadueto.
- Není známo, zda je Jentadueto u dětí bezpečný a efektivní.
Kdo by neměl brát Jentadueto?
Neberte si Jentadueto, pokud:
Pokud máte některý z těchto příznaků, přestaňte přijímat Jentadueto a okamžitě zavolejte svému poskytovateli zdravotní péče nebo jděte do nejbližší pohotovostní místnosti nemocnice.
- mají závažné problémy s ledvinami.
- mít condition called metabolic acidosis or diabetic ketoacidosis (increased ketones in the blood or urine).
- jsou alergické na metformin linagliptin (Tradjenta) nebo na některou ze složek v Jentadueto. Úplný seznam složek v Jentadueto naleznete na konci této medikační příručky.
Příznaky vážné alergické reakce na Jentadueto mohou zahrnovat:
- Sluhování nebo loupání
- zvednuté červené skvrny na vaší kůži (úly)
- Otok vašeho obličeje rty jazyk a krk, který může způsobit potíže při dýchání nebo polykání
- potíže s polykáním nebo dýcháním
Co bych měl říct svému poskytovateli zdravotní péče, než si vezmu Jentadueto?
Než vezmete Jentadueto, řekněte svému poskytovateli zdravotní péče o všech vašich zdravotních stavech, včetně, pokud jste:
- mít nebo mít zánět vašeho slinivky břišní (pankreatitida).
- mít problémy s ledvinami.
- mít problémy s jatery.
- Mít srdeční problémy, včetně městnavého srdečního selhání.
- je 65 let nebo starší.
- Pijte alkohol velmi často nebo pijte hodně alkoholu v krátkodobém horizontu (pití).
- dostanou injekci barviva nebo kontrastní činidla pro rentgenový postup. Jentadueto možná bude muset být na krátkou dobu zastaven. Promluvte si se svým poskytovatelem zdravotní péče o tom, kdy byste měli zastavit Jentadueto a kdy byste měli znovu začít Jentadueto. Vidět Jaké jsou nejdůležitější informace, které bych měl vědět o Jentadueto?
- mít diabetes mellitus 1. typu. Jentadueto by neměl být používán k léčbě lidí s diabetes mellitus 1. typu.
- mít v krvi nízké hladiny vitamínu B12.
- jsou těhotné nebo plánují otěhotnět. Není známo, zda Jentadueto poškodí vaše nenarozené dítě. Pokud jste těhotná, mluvíte se svým poskytovatelem zdravotní péče o nejlepším způsobu ovládání hladiny cukru v krvi, když jste těhotná.
- jsou kojení nebo plánují kojení. Jentadueto může přejít do mateřského mléka a může poškodit vaše dítě. Promluvte si se svým poskytovatelem zdravotní péče o nejlepším způsobu, jak nakrmit své dítě, pokud si vezmete Jentadueto.
- jsou osobou, která neprošla menopauza (premenopauzální), kteří nemají pravidelně ani vůbec období. Jentadueto může způsobit uvolnění vajíčka z vaječníku u člověka (ovulace). To může zvýšit vaši šanci na otěhotnění. Okamžitě řekněte svému poskytovateli zdravotní péče, pokud otěhotníte při užívání Jentadueto.
Řekněte svému poskytovateli zdravotní péče o všech lécích, které užíváte včetně předpisu a volně prodejných léků vitamínů a bylinných doplňků.
Pohan may affect the way other medicines work a other medicines may affect how Pohan works. Know the medicines you take. Keep a list of them to show your healthcare provider a pharmacist when you get a new medicine.
Jak mám vzít Jentadueto?
- Vezměte si Jentadueto přesně tak, jak vám říká váš poskytovatel zdravotní péče, abyste si to vzali.
- Vezměte si Jentadueto dvakrát každý den s jídlem. Užívání Jentadueto s jídlem může snížit vaši šanci mít žaludek.
- Pokud vám chybí dávka, vezměte si ji s jídlem, jakmile si pamatujete. Pokud si nepamatujete, dokud není čas na další dávku přeskočit zmeškanou dávku a vrátit se ke svému pravidelnému rozvrhu. Neberte 2 dávky Jentadueto současně.
- Pokud si vezmete příliš mnoho Jentadueto, zavolejte svému poskytovateli zdravotní péče nebo místní středisko pro kontrolu jedu nebo hned jděte do nejbližší pohotovostní místnosti nemocnice.
- Váš poskytovatel zdravotní péče vám může říct, abyste si vzali Jentadueto spolu s dalšími léky na diabetes. Nízká hladina cukru v krvi se může objevit častěji, když se přijímá Jentadueto s některými jinými léky na diabetes. Vidět Jaké jsou možné vedlejší účinky Jentadueto?
- Váš poskytovatel zdravotní péče provede krevní testy, aby zkontroloval, jak dobře vaše ledviny fungují před a během léčby s Jentadueto.
Co bych se měl vyhnout při užívání Jentadueto?
Vyvarujte se pití alkoholu velmi často nebo pití hodně alkoholu v krátkém časovém období (nadměrné pití). To může zvýšit vaše šance na získání vážných vedlejších účinků.
Jaké jsou možné vedlejší účinky Jentadueto?
Pohan may cause serious side effects including:
- Vidět Jaké jsou nejdůležitější informace, které bych měl vědět o Jentadueto?
- Nízká hladina cukru v krvi (hypoglykémie). Pokud si vezmete Jentadueto s jiným lékem, který může způsobit nízkou hladinu cukru v krvi, jako je sulfonylmočovina nebo inzulín, vaše riziko získání nízké hladiny cukru v krvi je vyšší. Dávka vaší medicíny v sulfonylurea nebo inzulínu může být nutné snížit, zatímco vezmete Jentadueto. Příznaky a příznaky nízké hladiny cukru v krvi mohou zahrnovat:
- bolest hlavy
- Rychlý srdeční rytmus
- podrážděnost
- závrať
- ospalost
- pocení
- hlad
- zmatek
- slabost
- Chvění nebo pocit nervozitu
- Alergická (přecitlivělost) reakce. U lidí, kteří berou Jentadueto, se odehrály vážné alergické reakce. Příznaky mohou zahrnovat:
- Otok vašeho obličeje rty jazyk krk a další oblasti na vaší kůži
- zvednuté červené oblasti na vaší kůži (úly)
- potíže s polykáním nebo dýcháním
- Sluhování nebo loupání
Pokud máte některý z těchto příznaků, přestaňte přijímat Jentadueto a okamžitě zavolejte svému poskytovateli zdravotní péče nebo jděte do nejbližší pohotovostní místnosti nemocnice.
- Nízký vitamin B12 (nedostatek vitaminu B12). Použití metforminu po dlouhou dobu může způsobit snížení množství vitamínu B12 v krvi, zejména pokud jste měli předtím nízké hladiny krve vitamínu B12. Váš poskytovatel zdravotní péče může provádět krevní testy, aby zkontroloval hladiny vitamínu B12.
- Bolest kloubů. Někteří lidé, kteří berou linagliptin jeden z léků v Jentadueto, mohou vyvinout bolest kloubů, která může být závažná. Pokud máte vážnou bolest kloubů, zavolejte svému poskytovateli zdravotní péče.
- Kožní reakce. Někteří lidé, kteří užívají léky nazývané inhibitory DPP-4, jeden z léků v Jentadueto může vyvinout kožní reakci zvanou bulózní pemfigoid, která může vyžadovat léčbu v nemocnici. Okamžitě řekněte svému poskytovateli zdravotní péče, pokud vyvíjíte puchýře nebo rozpis vnější vrstvy vaší pokožky (eroze). Váš poskytovatel zdravotní péče vám může říct, abyste přestali brát Jentadueto.
- Selhání srdce. Srdeční selhání znamená, že vaše srdce čerpá krev dostatečně dobře.
Než začnete brát Jentadueto Sdělte svému poskytovateli zdravotní péče, pokud jste někdy měli srdeční selhání nebo máte problémy s ledvinami. Pokud máte některý z následujících příznaků, kontaktujte ihned svého poskytovatele zdravotní péče:
- Zvyšování dušnosti nebo potíží s dýcháním, zejména když si ležíte
- Otok nebo zadržování tekutin, zejména v nohou kotníky nebo nohou
- neobvykle rychlé zvýšení hmotnosti
- neobvyklá únava
To mohou být příznaky srdečního selhání.
Mezi nejčastější vedlejší účinky Jentadueto patří:
- ucpaný nebo rýmovaný nos a bolest v krku
- průjem
Sdělte svému poskytovateli zdravotní péče, pokud máte nějaké vedlejší účinky, které vás obtěžují nebo které nezmizí.
Nejedná se o všechny možné vedlejší účinky Jentadueto. Pro více informací se zeptejte svého poskytovatele zdravotní péče nebo lékárníka.
samostatné pěší výlety
Zavolejte svého lékaře, kde najdete lékařskou radu ohledně vedlejších účinků. Můžete nahlásit vedlejší účinky FDA na 1-800-FDA-1088.
Jak mám ukládat Jentadueto?
- Ukládejte Jentadueto při teplotě místnosti mezi 68 ° F a 77 ° F (20 ° C a 25 ° C).
- Udržujte tablety v suchu.
- Udržujte Jentadueto a všechny léky mimo dosah dětí.
Obecné informace o bezpečném a efektivním používání Jentadueto.
Léky jsou někdy předepisovány pro jiné účely než ty, které jsou uvedeny v průvodci s léky. Nepoužívejte Jentadueto pro podmínku, pro kterou nebyl předepsán. Nedávejte Jentadueto jiným lidem, i když mají stejné příznaky, jaké máte. Může jim to poškodit.
Můžete požádat svého lékárníka nebo poskytovatele zdravotní péče o informace o Jentadueto, který je napsán pro zdravotnické pracovníky.
Jaké jsou ingredience v Jentadueto?
Aktivní složky: linagliptin a metformin hcl
Neaktivní ingredience: argininový koloidní křemíkový oxid copovidon kukuřičný škrob Hypromelóza hořčík Stearát propylenglykol mast titaničitý oxid
2,5 mg/500 mg a 2,5 mg/850 mg tablety také obsahují žlutý oxid železitý.
2,5 mg/850 mg a 2,5 mg/1000 mg tablety také obsahují červené oxid železitý.
Tento průvodce medikací byl schválen americkou správou potravin a léčiv.