Informace Na Stránce Nepředstavují Lékařskou Radu. Nic Neprodáváme. Přesnost Překladu Není Zaručena. Zřeknutí Se Odpovědnosti
Inhibitory antineoplastické tyrosinkinázy
Gleevec
Shrnutí drog
Co je to Gleevec?
Gleevec (imatinib mesylát) je inhibitor kinázy, který inhibuje proteinový signál, který způsobuje proliferaci rakovinných buněk používaných k léčbě pacientů s hematologickou malignitou nebo maligní sarkomy, jako je filadelfia pozitivní chronická myeloidní leukémie chronická myeloidní leukemie leukemií Leukemie Leukemie Leukemie Leukemia Leukemia Leukemia Leukemic Gastrointestinal stromální nádory a další onemocnění. Gleevec je k dispozici v obecný formulář.
Jaké jsou vedlejší účinky Gleevic?
Mezi běžné vedlejší účinky GLEEVEC patří:
- nevolnost
- bolest žaludku nebo rozrušení
- zvracení
- průjem
- plyn
- bolest hlavy
- bolest svalů nebo kloubů
- Svalové křeče
- cítit se unavený
- závrať
- rozmazané vidění
- ospalost
- Skin vyrážka
- Příznaky podobné chřipce
- ucpaný nos nebo
- sinusová bolest.
Řekněte svému lékaři, pokud máte vážné vedlejší účinky Gleevec, včetně:
- Těžké puchýřské kožní vyrážky
- Žutání kůže a očí (žloutenka)
- Gastrointestinal bleeding
- Slabost s dušností
- Těžké bolesti hlavy
- otok
- Těžké příznaky podobné chřipce
- Snadné modřiny nebo krvácení
- Rychlý nebo bušící srdeční rytmus
- Extrémní únava
- náhlý nebo nevysvětlený přírůstek hmotnosti
- otok (especially of lower legs/the area around eyes)
- černá nebo krvavá stolička
- tmavá moč nebo
- zvracení, které vypadá jako káva.
Pokud máte následující vážné vedlejší účinky, vyhledejte lékařskou péči nebo zavolejte na číslo 911:
- Vážné příznaky očí, jako je ztráta náhlého vidění rozmazané vidění vidění Vision Vision Eye Eye Eye Eye Eye Eye Eye Eye nebo vidět halos kolem světel;
- Vážné příznaky srdce, jako je rychlé nepravidelné nebo bušení srdečního rytmu; třepování v hrudi; dušnost; a náhlé závratě lightheartiesness nebo omdlení;
- Těžká zmatek bolesti hlavy zkažená paže řeči nebo slabost nohou Potíže se ztrátou chůze pocitu koordinace Nestabilní velmi tuhé svaly vysoké horečky bohaté pocení nebo třes.
Tento dokument neobsahuje všechny možné vedlejší účinky a mohou dojít k jiným. Další informace o vedlejších účincích najdete u svého lékaře.
Dávkování pro Gleevec
Gleevec je dodáván ve 100 nebo 400 mg tabletech. Dávka je poměrně variabilní a závisí na onemocnění léčeného věku pacienta (některé dávky založené na mg na kilogram hmotnosti (mg/kg). Dávky se obvykle pohybují mezi 100 až 800 mg denně; vysoké dávky jsou rozděleny do nižších hladin Mg, ale mají být užívány dvakrát denně. Nelze to rozdrtit nebo přicházet v přímém kontaktu s kůží, protože se mohou vyvinout vážné vyrážky.
Jaké léčivé látky nebo doplňky interagují s Gleevekem?
Gleevec může interagovat s Bosentan conivaptan cyklosporin Dexamethason digoxin fentanyl isoniazid nefazodonepimozid sirolimus tacrolimus St. John's Wort Theofyline Antibiotic Cholesterol -Odlevy léčivé přípravky Ergot Medicines Heart nebo Medicines Medicines Srdeční rytmické léky HIV / AIDS léky léčivých přípravků k léčbě léků narkolepsie nebo záchvatů. Řekněte svému lékaři všechny léky a doplňky, které používáte.
Gleevec během těhotenství a kojení
Není bezpečné používat tento lék během těhotenství; Studie kojení nejsou k dispozici. Použití u dětí mladších 18 let je vzácné; Doporučuje se konzultace se specialistou (jako je dětský onkolog). Mnoho zdravotních stavů a drog ovlivňují hladinu Gleevec u pacientů, takže pacienti jsou vyzváni, aby se ujistili, že léčba má před předepsáním léku úplnou anamnézu a seznam léků.
Další informace
Naše středisko drog vedlejších účinků GLEEVEC poskytuje při užívání tohoto léku komplexní pohled na dostupné informace o možných vedlejších účincích.
Informace o drogách FDA
- Popis léku
- Indikace
- Dávkování
- Vedlejší účinky
- Lékové interakce
- Varování
- Předávkovat
- Klinická farmakologie
- Průvodce léky
Popis pro Gleevec
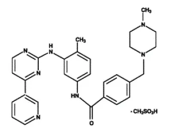
Imatinib je inhibitor malé molekuly kinázy. Tablety potažené filmem Gleevic obsahují imatinib mesylát ekvivalentní 100 mg nebo 400 mg volné základny imatinibu. Imatinib mesylát je chemicky označen jako 4-[(4-methyl1-piperazinyl) methyl] -N- [4-methyl-3-[[4- (3-pyridinyl) -2-pyrimidinyl] amino]-fenyl] benzamid methanesulfonát a je:: je:
|
Imatinib mesylát je bílá až bělavá až nahnědlý nebo nažloutlý zbarvený krystalický prášek. Jeho molekulární vzorec je C 29 H 31 N 7 O • Ch 4 TAK 3 a jeho molekulová hmotnost je 589,7. Mesylát imatinib je rozpustný ve vodných pufrech menších nebo rovných pH 5,5, ale je velmi mírně rozpustný, aby nerozpustný v neutrálních/alkalických vodných pufrech. V ne-nevolných rozpouštědlech je léčiva volně rozpustná až velmi mírně rozpustná u methanolu a ethanolu dimethylsulfoxidu a ethanolu, ale je nerozpustná u n-octanol acetonu a acetonitrilu.
Neaktivní ingredience: koloidní oxid křesťanství (NF); Crospovidon (NF); hydroxypropylmethylcelulóza (USP); stearát hořčíku (NF); a mikrokrystalická celulóza (NF). Potahování tabletu: oxid železitý oxid červená (NF); Oxid železitý žlutá (NF); hydroxypropylmethylcelulóza (USP); Polyethylenglykol (NF) a Talc (USP).
Použití pro Gleevec
Nově diagnostikovaná chronická myeloidní leukémie z Philadelphie (PH CML)
Nově diagnostikovaní dospělí a pediatričtí pacienti s chronickou myeloidní leukémií Philadelphia chromozom v chronické fázi.
PH CML v BLAST CRISIS (BC) Zrychlila fázi (AP) nebo chronická fáze (CP) po terapii interferon-alfa (IFN)
Pacienti s chromozomem Philadelphia Chromosom pozitivní chronickou myeloidní leukémií ve fázi zrychlené krize BLAST nebo v chronické fázi po selhání terapie interferon-alfa.
Dospělí pacienti s pH akutní lymfoblastickou leukémií (všichni)
Dospělí pacienti s relapsovanou nebo refrakterní Philadelphia chromozom pozitivní akutní lymfoblastická leukémie (pH all).
Pediatričtí pacienti s pH akutní lymfoblastickou leukémií (všichni)
Pediatričtí pacienti s nově diagnostikovanou akutní lymfoblastickou leukémií Philadelphia Chromosom v kombinaci s chemoterapií.
Myelodysplastická/myeloproliferativní onemocnění (MDS/MPD)
Dospělí pacienti s myelodysplastickými/myeloproliferativními onemocněními spojenými s receptorem receptoru růstového faktoru odvozeného od destiček (PDGFR).
Agresivní systémová mastocytóza (ASM)
Dospělí pacienti s agresivní systémovou mastocytózou bez mutace D816V C-KIT nebo s mutačním stavem C-KIT.
Hypereosinofilní syndrom (HES) a/nebo chronická eozinofilní leukémie (CEL)
Dospělí pacienti s hyperosinofilním syndromem a/nebo chronickou eozinofilní leukémií, kteří mají FIP1L1-PDGFRa; Fúzní kináza (mutační analýza nebo fluorescence in situ hybridizace [Fish] Demonstrace delece alel chic2) a u pacientů s HES a/nebo CEL, kteří jsou FIP1L1-PDGFRa; fúzní kináza negativní nebo neznámá.
Dermatofibrosarcoma ProTuberans (DFSP)
Dospělí pacienti s neresekovatelnými recidivujícími a/nebo metastatickými dermatofibrosarkomskými protoberány.
Kit Gastrointestinální stromální nádory (GIST)
Pacienti se soupravou (CD117) pozitivní neresekovatelný a/nebo metastatický maligní gastrointestinální stromální nádory.
Adjuvantní léčba podstaty
Adjuvantní léčba dospělých pacientů po úplné hrubé resekci soupravy (CD117) pozitivní podstaty.
Dávkování pro Gleevec
Drugová správa
Předepsaná dávka by měla být podávána orálně s jídlem a velkou sklenicí vody. Dávky 400 mg nebo 600 mg by se měly podávat jednou denně, zatímco dávka 800 mg by měla být podávána jako 400 mg dvakrát denně.
U pacientů, kteří nejsou schopni spolknout tablety potažené filmem, mohou být tablety rozptýleny ve sklenici vody nebo jablečné šťávy. Požadovaný počet tablet by měl být umístěn do vhodného objemu nápoje (přibližně 50 ml pro 100 mg tablety a 200 ml pro 400 mg tabletu) a míchá se lžičkou. Pozastavení by mělo být podáno bezprostředně po úplném rozpadu tabletu.
Pro denní dávkování 800 mg a nad dávkováním by mělo být provedeno pomocí 400 mg tabletu ke snížení expozice železnému.
Léčba může pokračovat, pokud neexistuje důkaz o progresivním onemocněním nebo nepřijatelné toxicitě.
Dospělí pacienti s PH CML CP AP nebo BC
Doporučená dávka GLEEVEC je 400 mg/den u dospělých pacientů v chronické fázi CML a 600 mg/den u dospělých pacientů v zrychlené fázi nebo výbuchu.
V CML se zvýšení dávky z 400 mg na 600 mg u dospělých pacientů s chronickým fázovým onemocněním nebo z 600 mg na 800 mg (vzhledem k 400 mg dvakrát denně) u dospělých pacientů v zrychlené fázi nebo výbuchu může být zvažována v nepřítomnosti při neexistenci neutropemií nebo po dobu, kdy se podařilo prosazovat neutropemii (kdykoli), a to po dobu, kdy je to ponechání, a za jakýchkoli čas), a to po dobu, kdy je to při postihu (po dobu, kdy je to možné, a za to, že je to možné, a za jakýkoli čas). Po doba dodržení), a to po každém doba), přičemž se po něm dostává ponechání). Po pevnosti při postižení (kdykoli), a to po každém doba). Po doba doba došlo k tomu, aby byla přispět k neutropemii (kdykoli). Hematologická odpověď po nejméně 3 měsících selhání léčby při dosažení cytogenetické odpovědi po 6 až 12 měsících léčby nebo ztráty dříve dosažené hematologické nebo cytogenetické odpovědi.
Pediatričtí pacienti s PH CML CP
Doporučená dávka GleEVEC pro děti s nově diagnostikovaným pH CML je 340 mg/m²/den (nepřesahuje 600 mg). Léčba Gleevic může být podávána jako jednou denní dávka nebo denní dávka může být rozdělena do dvou dávkovaných částí, která se ráno dává a jedna část večer. Neexistuje žádná zkušenost s léčbou GLEEVEC u dětí mladších 1 rok věku.
Dospělí pacienti s pH vše
Doporučená dávka GLEEVEC je 600 mg/den u dospělých pacientů s relapsovaným/refrakterním pH.
Pediatričtí pacienti s pH vše
Doporučená dávka GLEEVEC, která má být podána v kombinaci s chemoterapií pro děti s nově diagnostikovaným pH, je 340 mg/m²/den (nepřesahuje 600 mg). Léčba Gleevec může být podávána jako jednou denní dávka.
Dospělí pacienti s MDS/MPD
Určete stav genu PDGFRB před zahájením léčby.
Doporučená dávka GLEEVEC je 400 mg/den u dospělých pacientů s MDS/MPD.
Dospělí pacienti s ASM
Před zahájením léčby určete stav mutace D816V C-KIT.
Doporučená dávka GLEEVEC je 400 mg/den u dospělých pacientů s ASM bez mutace D816V C-KIT. Pokud mutační stav C-KIT není známý nebo nedostupný léčba Gleevec 400 mg/den u pacientů s ASM, kteří uspokojivě nereagovali na jiné terapie. U pacientů s ASM spojenou s eosinofilií klonální hematologické onemocnění související s fúzní kinázou FIP1L1-PDGFRa; Doporučuje se počáteční dávka 100 mg/den. Zvýšení dávky ze 100 mg na 400 mg u těchto pacientů může být zváženo v nepřítomnosti nepříznivých reakcí léčiva, pokud hodnocení prokazují nedostatečnou reakci na terapii.
Dospělí pacienti s HES/CEL
Doporučená dávka GLEEVEC je 400 mg/den u dospělých pacientů s HES/CEL. U pacientů s HES/CEL s prokázáním FIP1L1-PDGFRa; Doporučuje se fúzní kináza Počáteční dávka 100 mg/den. Zvýšení dávky ze 100 mg na 400 mg u těchto pacientů může být zváženo v nepřítomnosti nepříznivých reakcí léčiva, pokud hodnocení prokazují nedostatečnou reakci na terapii.
Dospělí pacienti s DFSP
Doporučená dávka GLEEVEC je 800 mg/den u dospělých pacientů s DFSP.
Dospělí pacienti s metastatickou a/nebo neresekovatelným podstatou
Doporučená dávka GLEEVEC je 400 mg/den u dospělých pacientů s neresekovatelným a/nebo metastatickou maligní maligní společnost. Zvýšení dávky až o 800 mg denně (dáno 400 mg dvakrát denně) lze považovat za klinicky indikované u pacientů vykazujících jasné příznaky nebo příznaky progrese onemocnění při nižší dávce a v nepřítomnosti závažných nepříznivých reakcí léku.
Dospělí pacienti s adjuvantní podstatou
Doporučená dávka GLEEVEC je 400 mg/den pro adjuvantní léčbu dospělých pacientů po úplné hrubé resekci GIST. V klinických studiích byl studován jeden rok Gleevic a tři roky Gleevic. V populaci pacientů definované ve studii 2 se doporučuje tři roky Gleevec [viz viz Klinické studie ]. Optimální doba léčby Gleevec není známa.
Pokyny pro úpravu dávky
Současné silné induktory CYP3A4
Je třeba se vyhnout použití doprovodných silných induktorů CYP3A4 (např. Dexamethason fenytoin karbamazepin rifampin rifampacin fenobarbital). Pokud musí být pacienti podávány společně silného induktoru CYP3A4 založený na farmakokinetických studiích, dávkování Gleevic by mělo být zvýšeno nejméně o 50% a klinická odpověď by měla být pečlivě sledována [viz viz [viz viz Lékové interakce ].
Poškození jater
Pacienti s mírným a středním poškozením jater nevyžadují úpravu dávky a měli by být léčeni na doporučenou dávku. U pacientů s těžkým poškozením jater by se mělo použít 25% snížení doporučené dávky Použití v konkrétních populacích ].
Poškození ledvin
Pacienti se středním poškozením ledvin (clearance kreatininu [CRCL] = 20-39 ml/min) by měli získat 50% snížení doporučené počáteční dávky a budoucí dávky lze zvýšit podle toleru. U pacientů s mírným poškozením ledvin se nedoporučují dávky větší než 600 mg (CRCL = 40-59 ml/min). U pacientů se středním dávkováním narušení ledvin se nedoporučuje.
Imatinib by měl být používán s opatrností u pacientů s těžkým poškozením ledvin. U dvou pacientů s těžkým poškozením ledvin byla tolerována dávka 100 mg/den [viz Varování a preventivní opatření Použití v konkrétních populacích ].
Nastavení dávky pro hepatotoxicitu a nehematologické nežádoucí účinky
Pokud se zvýšení bilirubinu delší než 3krát institucionální horní hranice normálního (IULN) nebo v jaterních transaminázách větší než 5krát dochází k Gleevec, které by měly být zadrženy, dokud se hladiny bilirubinu vrátí k méně než 1,5násobku hladin IULN a transaminázy na méně než 2,5krát IUL. U léčby dospělých může pak pokračovat ve snížené denní dávce (tj. 400 mg až 300 mg 600 mg na 400 mg nebo 800 mg až 600 mg). U dětí lze denní dávky snížit za stejných okolností z 340 mg/m²/den na 260 mg/m²/den.
Pokud se vyvine těžká nehematologická nežádoucí reakce (jako je závažná hepatotoxicita nebo těžká retence tekutin), by měla být zadržena, dokud se událost nevyřeší. Poté lze ošetření obnovit podle potřeby v závislosti na počáteční závažnosti události.
Nastavení dávky pro hematologické nežádoucí účinky
Přerušení dávky nebo přerušení léčby pro těžkou neutropenii a trombocytopenii se doporučuje, jak je uvedeno v tabulce 1.
Tabulka 1: Úpravy dávky pro neutropenii a trombocytopenii
| ASM spojená s eosinofilií (počáteční dávka 100 mg) | ANC menší než 1 x 10 9 /L a/nebo destičky menší než 50 x 10 9 /L | 1. Zastavte Gleevec, dokud ANC větší nebo rovná 1,5 x 10 9 /L and platelets greater than or equal to 75 x 10 9 /L |
| 2. životopis ošetření Gleevecem v předchozí dávce (tj. Dávka před těžkou nežádoucí reakcí) | ||
| HES/CEL s FIP1L1-PDGFRA Fusion Kináza (počáteční dávka 100 mg) | ANC menší než 1 x 10 9 /L a/nebo destičky menší než 50 x 10 9 /L | 1. Zastavte Gleevec, dokud ANC větší nebo rovná 1,5 x 10 9 /L and platelets greater than or equal to 75 x 10 9 /L |
| 2. životopis ošetření Gleevecem v předchozí dávce (tj. Dávka před těžkou nežádoucí reakcí) | ||
| Chronická fáze CML (počáteční dávka 400 mg) | ANC menší než 1 x 10 9 /L a/nebo destičky menší než 50 x 10 9 /L | 1. Zastavte Gleevec, dokud ANC větší nebo rovná 1,5 x 10 9 /L and platelets greater than or equal to 75 x 10 9 /L |
| MDS/MPD ASM a HES/CEL (počáteční dávka 400 mg) | 2. Ošetření životopisu s Gleeven v původní počáteční dávce 400 mg | |
| Gist (počáteční dávka 400 mg) | 3. Pokud je opakování ANC menší než 1 x 10 9 /L a/nebo destičky menší než 50 x 10 9 /L repeat step 1 and resume Gleevec at a reduced dose of 300 mg | |
| PH CML: Zrychlené fázové a výbudové krize (počáteční dávka 600 mg) pH vše (počáteční dávka 600 mg) | ANC méně než 0,5 x 10 9 /L and/or platelets less than 10 x 10 9 /L | 1. Zkontrolujte, zda je cytopenie spojena s leukémií (aspirátem nebo biopsie dřeně) |
| 2. Pokud cytopenie nesouvisí s leukémií, snižují dávku Gleevec na 400 mg | ||
| 3. Pokud cytopenie přetrvává 2 týdny, snižte se dále na 300 mg | ||
| 4. Pokud cytopenie přetrvává 4 týdny a stále nesouvisí s leukémií, zastavte Gleevec, dokud ANC větší nebo rovná 1 x 10 9 /L and platelets greater than or equal to 20 x 10 9 /L and then resume treatment at 300 mg | ||
| DFSP (počáteční dávka 800 mg) | ANC menší než 1 x 10 9 /L a/nebo destičky menší než 50 x 10 9 /L | 1. Zastavte Gleevec, dokud ANC větší nebo rovná 1,5 x 10 9 /L and platelets greater than or equal to 75 x 10 9 /L |
| 2. životopis s léčbou Gleevec při 600 mg | ||
| Pediatrická nově diagnostikovaná chronická fáze CML (počáteční dávka 340 mg/m²) | ANC menší než 1 x 10 9 /L a/nebo destičky menší než 50 x 10 9 /L | 3. v případě opakování ANC menší než 1 x 10 9 /L a/nebo destičky menší než 50 x 10 9 /L repeat step 1 and resume Gleevec at reduced dose of 400 mg 1. Zastavte Gleevec, dokud ANC větší nebo rovná 1,5 x 10 9 /L and platelets greater than or equal to 75 x 10 9 /L |
| 2. životopis ošetření Gleevecem v předchozí dávce (tj. Dávka před těžkou nežádoucí reakcí) | ||
| 3. v případě opakování ANC menší než 1 x 10 9 /L a/nebo destičky menší než 50 x 10 9 /L repeat step 1 and resume Gleevec at reduced dose of 260 mg/m² | ||
| Zkratky: ANC Absolute Neutrophil Počet; ASM agresivní systémová mastocytóza; CEL chronická eozinofilní leukémie; CML chronická myeloidní leukémie; DFSP Dermatofibrosarcoma ProTuberans; Hypereosinofilní syndrom; MDS/MPD myelodysplastická/myeloproliferativní onemocnění; Receptor růstového faktoru odvozeného od PDGFR; PH CML Philadelphia Chromozom pozitivní chronická myeloidní leukémie; PH Všechny Philadelphia Chromozom pozitivní akutní lymfoblastická leukémie. |
Jak dodáno
Dávkování Forms And Strengths
- 100 mg tablety potažených filmem
Velmi tmavě žlutá až nahnědlá oranžová filmová filmová tablety kulaté biconvex s zkosenými hranami odničenými s NVR na jedné straně a SA se skóre na druhé straně
- 400 mg filmové tablety
Velmi tmavě žlutá až nahnědlá oranžová filmová filmová tablety Ovaloid Biconvex s zkosenými hranami odsunutými s Gleevekem na jedné straně a skóre na druhé straně.
Tablety potažených filmem Gleevic jsou dodávány jako 100 mg a 400 mg tablet pro perorální podání. Každý tablet 100 mg obsahuje 119,5 mg imatinib mesylátu ekvivalentní 100 mg volné základny imatinibu. Každá tableta 400 mg obsahuje 478 mg imatinib mesylátu ekvivalentní 400 mg volné základny imatinibu.
- 100 mg tablety
Velmi tmavě žlutá až nahnědlá oranžová filmová filmová tablety kulaté biconvex s zkosenými hranami odničenými s NVR na jedné straně a SA se skóre na druhé straně.
Lahve 90 tabletů NDC 0078-0401-34
- 400 mg tablety
Velmi tmavě žlutá až nahnědlá oranžová filmová filmová tablety Ovaloid Biconvex s zkosenými hranami odsunutými s Gleevekem na jedné straně a skóre na druhé straně.
Jednotka dávky (blistrová balíček 30) - € NDC 0078-0649-30
Jednotková dávka (kartonová krabice včetně 3 blistrových balíčků po 10) -? NDC 0078-0649-13
Skladování a manipulace
Ukládat při 20 ° C až 25 ° C (68 ° F až 77 ° F); Exkurze povolené mezi 15 ° C a 30 ° C (59 ° F a 86 ° F) [viz viz Teplota místnosti s kontrolou USP ]. Protect from moisture.
Vyvanse další drogy ve stejné třídě
Vydejte se v těsném kontejneru USP.
Nedržte tablety Gleevic. Vyvarujte se přímého kontaktu drcených tablet s kůží nebo slizničními membránami. Pokud k takovému kontaktu dojde důkladně, jak je uvedeno v odkazech. Vyvarujte se vystavení drceným tabletům.
Distribuováno od: Novartis Pharmaceuticals Corporation East Hanover New Jersey 07936. Revidováno: březen 2024
Vedlejší účinky for Gleevec
Následující závažné nežádoucí účinky jsou popsány jinde při označování:
- Retence a otoky tekutin [viz Varování a preventivní opatření ]
- Hematologická toxicita [viz Varování a preventivní opatření ]
- Městnavé srdeční selhání a dysfunkce levé komory [viz Varování a preventivní opatření ]
- Hepatotoxicita [ Varování a preventivní opatření ]
- Krvácení [viz Varování a preventivní opatření ]
- Gastrointestinální poruchy [viz Varování a preventivní opatření ]
- Hypereosinofilní srdeční toxicita [viz Varování a preventivní opatření ]
- Dermatologické toxicity [viz Varování a preventivní opatření ]
- Hypotyreóza [viz Varování a preventivní opatření ]
- Retardace růstu u dětí a adolescentů [viz Varování a preventivní opatření ]
- Syndrom lýzy nádorů [viz Varování a preventivní opatření ]
- Poruchy související s řízením a používáním strojů [viz Varování a preventivní opatření ]
- Renální toxicita [viz Varování a preventivní opatření ]
Zkušenosti z klinických studií
Protože klinické studie se provádějí za široce měnících se podmínek, nežádoucí rychlost nežádoucí reakce pozorovaná v klinických studiích léčiva nelze přímo porovnat s mírami v klinických studiích s jiným lékem a nemusí odrážet míru pozorované v praxi.
Chronická myeloidní leukémie
Většina pacientů ošetřených GLEEVEC zažila v určitém okamžiku nežádoucí účinky. GLEEVEC byl přerušen kvůli nežádoucím účinkům souvisejícím s léčivem u 2,4% pacientů, kteří dostávali Gleevec v randomizované studii nově diagnostikovaných pacientů s PH CML v chronické fázi porovnávající Gleevec versus IFN ARA-C a 12,5% pacientů, kteří dostávali Gleevec, v randomizované studii s nově diagnostikovanou pacienty s chronickým fází a núřetem. Gleevec byl přerušen kvůli nežádoucím účinkům souvisejícím s léčivem u 4% pacientů v chronické fázi po selhání interferonu-alfa terapie u 4% pacientů v zrychlené fázi a u 5% pacientů v BLAST Crisi.
Nejčastěji hlášené nežádoucí účinky související s léčivem byly nevody otoku a zvracení svalových křečích muskuloskeletální bolesti průjem a vyrážky (tabulka 2 a tabulka 3 pro nově diagnostikovanou tabulku CML 4 pro ostatní pacienty CML). Edém byl nejčastěji periorbitální nebo ve dolních končetinách a byl řízen s diuretiky jinými podpůrnými opatřeními nebo snížením dávky Gleevic [viz viz Dávkování a podávání ]. The frequency of severe superficial edema was 1.5%-6%.
Různé nežádoucí účinky představují lokální nebo obecnou retenci tekutin, včetně plicního edému pleurálního výtoku a ascites plic a rychlý přírůstek hmotnosti s nebo bez povrchového edému. Zdá se, že tyto reakce souvisejí s dávkou, které byly častější, byly běžnější v krizi BLAST a zrychlených fázových studiích (kde byla dávka 600 mg/den) a jsou častější u starších osob. Tyto reakce byly obvykle řízeny přerušením léčby Gleevec a použitím diuretik nebo jiných vhodných opatření na podpůrné péči. Tyto reakce mohou být vážné nebo ohrožující život.
Nežádoucí účinky bez ohledu na vztah ke studiu léčiva, který byl hlášen u nejméně 10% pacientů ošetřených GLEEVEC, jsou uvedeny v tabulkách 2 3 a 4.
Tabulka 2: Nežádoucí účinky bez ohledu na vztah ke studiu léčiva hlášeného v nově diagnostikované klinické studii CML ve studii Gleevec versus IFN ARA-C (větší než nebo rovna 10% pacientů ošetřených Gleevec) 1
| Preferovaný termín | Všechny známky | CTC stupně* 3/4 | ||
| Gleevec N = 551 (%) | IFN Ara-C N = 533 (%) | Gleevec N = 551 (%) | IFN Ara-C N = 533 (%) | |
| Retence tekutin | 61.7 | 11.1 | 2.5 | 0.9 |
| - Povrchní edém | 59.9 | 9.6 | 1.5 | 0.4 |
| - Další reakce zadržování tekutin 2 | 6.9 | 1.9 | 1.3 | 0.6 |
| Nevolnost | 49.5 | 61.5 | 1.3 | 5.1 |
| Svalové křeče | 49.2 | 11.8 | 2.2 | 0.2 |
| Muskuloskeletální bolest | 47.0 | 44.8 | 5.4 | 8.6 |
| Průjem | 45.4 | 43.3 | 3.3 | 3.2 |
| Vyrážka a související podmínky | 40.1 | 26.1 | 2.9 | 2.4 |
| Únava | 38.8 | 67.0 | 1.8 | 25.1 |
| Bolest hlavy | 37.0 | 43.3 | 0.5 | 3.8 |
| Bolest kloubů | 31.4 | 38.1 | 2.5 | 7.7 |
| Bolest břicha | 36.5 | 25.9 | 4.2 | 3.9 |
| NOSOPHARYNNGITIS | 30.5 | 8.8 | 0 | 0.4 |
| Krvácení | 28.9 | 21.2 | 1.8 | 1.7 |
| - GI krvácení | 1.6 | 1.1 | 0.5 | 0.2 |
| - krvácení CNS | 0.2 | 0.4 | 0 | 0.4 |
| Myalgia | 24.1 | 38.8 | 1.5 | 8.3 |
| Zvracení | 22.5 | 27.8 | 2.0 | 3.4 |
| Dyspepsia | 18.9 | 8.3 | 0 | 0.8 |
| Kašel | 20.0 | 23.1 | 0.2 | 0.6 |
| Bolest faryngolaryngeální | 18.1 | 11.4 | 0.2 | 0 |
| Infekce horních cest dýchacích | 21.2 | 8.4 | 0.2 | 0.4 |
| Závrať | 19.4 | 24.4 | 0.9 | 3.8 |
| Pyrexia | 17.8 | 42.6 | 0.9 | 3.0 |
| Hmotnost se zvýšila | 15.6 | 2.6 | 2.0 | 0.4 |
| Nespavost | 14.7 | 18.6 | 0 | 2.3 |
| Deprese | 14.9 | 35.8 | 0.5 | 13.1 |
| Chřipka | 13.8 | 6.2 | 0.2 | 0.2 |
| Bolest kostí | 11.3 | 15.6 | 1.6 | 3.4 |
| Zácpa | 11.4 | 14.4 | 0.7 | 0.2 |
| Sinusitida | 11.4 | 6.0 | 0.2 | 0.2 |
| Zkratky: CML chronická myeloidní leukémie; CNS centrální nervový systém; Kritéria CTC společná terminologie; GI Gastrointestinal; IFN Interferon-alfa. *Kritéria NCI Common Terminology pro nežádoucí účinky verze 3.0. 1 Všechny nežádoucí účinky, které se vyskytují u větší nebo rovny 10% pacientů ošetřených GLEEVEC, jsou uvedeny bez ohledu na podezření na vztah k léčbě. 2 Mezi další retenční reakce tekutin patří pleurální výpot ascites plicní edém Perikardiální výpotek Anasarca Edém se zhoršuje a retenční tekutina není jinak specifikována. |
Tabulka 3: Nejčastěji uváděné nehematologické nežádoucí účinky (bez ohledu na vztah ke studiu léčiva) u pacientů s nově diagnostikovaným pH CML-CP ve studii Gleevec versus nilotinib (větší nebo rovna 10% v Gleevec 400 mg jednou denně nebo nilotinibu 300 mg dvakrát denně) a
| Pacienti s nově diagnostikovaným pH CML-CP | |||||
| Systém těla a preferovaný termín | Gleevec 400 mg once daily N = 280 | Nilotinib 300 mg dvakrát denně N = 279 | Gleevec 400 mg once daily N = 280 | Nilotinib 300 mg dvakrát denně N = 279 | |
| Všechny známky (%) | CTC stupně b 3/4 (%) | ||||
| Poruchy kůže a podkožní tkáně | Vyrážka | 19 | 38 | 2 | <1 |
| Pruritus | 7 | 21 | 0 | <1 | |
| Alopecie | 7 | 13 | 0 | 0 | |
| Suchá kůže | 6 | 12 | 0 | 0 | |
| Gastrointestinální poruchy | Nevolnost | 41 | 22 | 2 | 2 |
| Zácpa | 8 | 20 | 0 | <1 | |
| Průjem | 46 | 19 | 4 | 1 | |
| Zvracení | 27 | 15 | <1 | <1 | |
| Bolest břicha | 14 | 18 | <1 | 1 | |
| Bolest horní břicha | 12 | 15 | 0 | 2 | |
| Dyspepsia | 12 | 10 | 0 | 0 | |
| Poruchy nervového systému | Bolest hlavy | 23 | 32 | <1 | 3 |
| Závrať | 11 | 12 | <1 | <1 | |
| Obecné poruchy a podmínky pro správu | Únava | 20 | 23 | 1 | 1 |
| Pyrexia | 13 | 14 | 0 | <1 | |
| Astenia | 12 | 14 | 0 | <1 | |
| Periferní edém | 20 | 9 | 0 | <1 | |
| Vytvořte otoky | 14 | <1 | <1 | 0 | |
| Poruchy muskuloskeletální a pojivové tkáně | Myalgia | 19 | 19 | <1 | <1 |
| Artralgia | 17 | 22 | <1 | <1 | |
| Svalové křeče | 34 | 12 | 1 | 0 | |
| Bolest v končetině | 16 | 15 | <1 | <1 | |
| Bolest zad | 17 | 19 | 1 | 1 | |
| Respirační hrudní a mediastinální poruchy | Kašel | 13 | 17 | 0 | 0 |
| Orofaryngeální bolest | 6 | 12 | 0 | 0 | |
| Dušnost | 6 | 11 | <1 | 2 | |
| Infekce a zamoření | NOSOPHARYNNGITIS | 21 | 27 | 0 | 0 |
| Infekce horních cest dýchacích | 14 | 17 | 0 | <1 | |
| Chřipka | 9 | 13 | 0 | 0 | |
| Gastroenteritida | 10 | 7 | <1 | 0 | |
| Poruchy očí | Edém očních víček | 19 | 1 | <1 | 0 |
| Periorbitální edém | 15 | <1 | 0 | 0 | |
| Psychiatrické poruchy | Nespavost | 9 | 11 | 0 | 0 |
| Vaskulární porucha | Hypertenze | 4 | 10 | <1 | 1 |
| Zkratka: PH CML-CP Philadelphia Chromozom pozitivní chronická myeloidní leukémie-chronická fáze. a S výjimkou laboratorních abnormalit. b Kritéria NCI Common Terminology pro nežádoucí účinky verze 3.0. |
Tabulka 4: Nežádoucí účinky bez ohledu na vztah ke studiu léčiva hlášeného v jiných klinických studiích CML (větší nebo rovné 10% všech pacientů v jakékoli studii) 1
| Preferovaný termín | Myeloidní výbuchová krize (n = 260)% | Zrychlená fáze (n = 235) % | Selhání chronické fáze IFN (n = 532)% | |||
| Všechny známky | Stupeň 3/4 | Všechny známky | Stupeň 3/4 | Všechny známky | Stupeň 3/4 | |
| Retence tekutin | 72 | 11 | 76 | 6 | 69 | 4 |
| -Superficial Edém | 66 | 6 | 74 | 3 | 67 | 2 |
| -Jiné reakce zadržování tekutin 2 | 22 | 6 | 15 | 4 | 7 | 2 |
| Nevolnost | 71 | 5 | 73 | 5 | 63 | 3 |
| Svalové křeče | 28 | 1 | 47 | 0.4 | 62 | 2 |
| Zvracení | 54 | 4 | 58 | 3 | 36 | 2 |
| Průjem | 43 | 4 | 57 | 5 | 48 | 3 |
| Krvácení | 53 | 19 | 49 | 11 | 30 | 2 |
| - krvácení CNS | 9 | 7 | 3 | 3 | 2 | 1 |
| - GI krvácení | 8 | 4 | 6 | 5 | 2 | 0.4 |
| Muskuloskeletální bolest | 42 | 9 | 49 | 9 | 38 | 2 |
| Únava | 30 | 4 | 46 | 4 | 48 | 1 |
| Skin vyrážka | 36 | 5 | 47 | 5 | 47 | 3 |
| Pyrexia | 41 | 7 | 41 | 8 | 21 | 2 |
| Artralgia | 25 | 5 | 34 | 6 | 40 | 1 |
| Bolest hlavy | 27 | 5 | 32 | 2 | 36 | 0.6 |
| Bolest břicha | 30 | 6 | 33 | 4 | 32 | 1 |
| Hmotnost se zvýšila | 5 | 1 | 17 | 5 | 32 | 7 |
| Kašel | 14 | 0.8 | 27 | 0.9 | 20 | 0 |
| Dyspepsia | 12 | 0 | 22 | 0 | 27 | 0 |
| Myalgia | 9 | 0 | 24 | 2 | 27 | 0.2 |
| NOSOPHARYNNGITIS | 10 | 0 | 17 | 0 | 22 | 0.2 |
| Astenia | 18 | 5 | 21 | 5 | 15 | 0.2 |
| Dušnost | 15 | 4 | 21 | 7 | 12 | 0.9 |
| Infekce horních cest dýchacích | 3 | 0 | 12 | 0.4 | 19 | 0 |
| Anorexie | 14 | 2 | 17 | 2 | 7 | 0 |
| Noční pocení | 13 | 0.8 | 17 | 1 | 14 | 0.2 |
| Zácpa | 16 | 2 | 16 | 0.9 | 9 | 0.4 |
| Závrať | 12 | 0.4 | 13 | 0 | 16 | 0.2 |
| Zánět hltanu | 10 | 0 | 12 | 0 | 15 | 0 |
| Nespavost | 10 | 0 | 14 | 0 | 14 | 0.2 |
| Pruritus | 8 | 1 | 14 | 0.9 | 14 | 0.8 |
| Hypokalémie | 13 | 4 | 9 | 2 | 6 | 0.8 |
| Zápal plic | 13 | 7 | 10 | 7 | 4 | 1 |
| Úzkost | 8 | 0.8 | 12 | 0 | 8 | 0.4 |
| Toxicita jater | 10 | 5 | 12 | 6 | 6 | 3 |
| Rigors | 10 | 0 | 12 | 0.4 | 10 | 0 |
| Bolest na hrudi | 7 | 2 | 10 | 0.4 | 11 | 0.8 |
| Chřipka | 0.8 | 0.4 | 6 | 0 | 11 | 0.2 |
| Sinusitida | 4 | 0.4 | 11 | 0.4 | 9 | 0.4 |
| Zkratky: CML chronická myeloidní leukémie; IFN Interferon-alfa. 1 Všechny nežádoucí účinky, které se vyskytují u většího nebo rovného 10% pacientů, jsou uvedeny bez ohledu na podezření na vztah k léčbě. 2 Mezi další retenční reakce tekutin patří pleurální výpot ascites plicní edém Perikardiální výpotek Anasarca Edém se zhoršuje a retenční tekutina není jinak specifikována. |
Hematologické a biochemické laboratorní abnormality
Cytopenie a zejména neutropenie a trombocytopenie byly konzistentním nálezem ve všech studiích s vyšší frekvencí v dávkách větších nebo rovných 750 mg (studie fáze 1). Výskyt cytopenií u pacientů s CML byl také závislý na stadiu nemoci.
U pacientů s nově diagnostikovanými CML cytopeniemi byly méně časté než u ostatních pacientů s CML (viz tabulky 5 6 a 7). Frekvence neutropenie a trombocytopenie stupně 3 nebo 4 byla mezi 2- a 3krát vyšší v krizi a zrychlila fázi ve srovnání s chronickou fází (viz tabulky 4 a 5). Střední doba trvání neutropenických a trombocytopenických epizod se pohybovala od 2 do 3 týdnů a od 2 do 4 týdnů.
Tyto reakce lze obvykle zvládnout buď snížením dávky nebo přerušením léčby Gleevekem, ale mohou vyžadovat trvalé přerušení léčby.
Tabulka 5: Laboratorní abnormality v nově diagnostikované klinické studii CML (GLEEVEC versus IFN ARA-C)
| CTC stupně | Gleevec N = 551 % | IFN Ara-C N = 533 % | ||
| Stupeň 3 | Stupeň 4 | Stupeň 3 | Stupeň 4 | |
| Hematologické parametry* | ||||
| - Neutropenia* | 13.1 | 3.6 | 20.8 | 4.5 |
| Trombocytopenie* | 8.5 | 0.4 | 15.9 | 0.6 |
| - Anémie | 3.3 | 1.1 | 4.1 | 0.2 |
| Parametry biochemie | ||||
| - Zvýšený kreatinin | 0 | 0 | 0.4 | 0 |
| - Zvýšený bilirubin | 0.9 | 0.2 | 0.2 | 0 |
| - zvýšená alkalická fosfatáza | 0.2 | 0 | 0.8 | 0 |
| - Vyvýšené Sgot (AST)/SGPT (alt) | 4.7 | 0.5 | 7.1 | 0.4 |
| Zkratky: CML chronická myeloidní leukémie; IFN Interferon-Alpha; SGOT sérová glutamic-oxaloacetická transamináza je nyní označována jako aspartát aminotransferáza (AST); SGPT sérová glutamicko-pyruvová transamináza se nyní označuje jako alanin aminotransferáza (ALT). *P Méně než 0,001 (rozdíl ve třídě 3 plus 4 abnormality mezi oběma léčebnými skupinami). |
Tabulka 6: Procento incidence klinicky relevantních stupně 3/4* laboratorní abnormality v nově diagnostikované klinické studii CML (Gleevec versus nilotinib)
| Gleevec 400 mg once daily N = 280(%) | Nilotinib 300 mg dvakrát denně N = 279(%) | |
| Hematologické parametry | ||
| Trombocytopenie | 9 | 10 |
| Neutropenie | 22 | 12 |
| Anémie | 6 | 4 |
| Parametry biochemie | ||
| Zvýšená lipáza | 4 | 9 |
| Hyperglykémie | <1 | 7 |
| Hypofosfichemie | 10 | 8 |
| Zvýšený bilirubin (celkem) | <1 | 4 |
| Zvýšené SGPT (alt) | 3 | 4 |
| Hyperkalémie | 1 | 2 |
| Hyponatrémie | <1 | 1 |
| Hypokalémie | 2 | <1 |
| Zvýšené Sgot (AST) | 1 | 1 |
| Snížený albumin | <1 | 0 |
| Hypokalcemie | <1 | <1 |
| Zvýšená alkalická fosfatáza | <1 | 0 |
| Zvýšený kreatinin | <1 | 0 |
| Zkratky: CML chronická myeloidní leukémie; SGOT sérová glutamic-oxaloacetická transamináza je nyní označována jako aspartát aminotransferáza (AST); SGPT sérová glutamicko-pyruvová transamináza se nyní označuje jako alanin aminotransferáza (ALT). *Kritéria NCI Common Terminology pro nežádoucí účinky verze 3.0. |
Tabulka 7: Laboratorní abnormality v jiných klinických hodnoceních CML
| CTC stupně 1 | Myeloidní výbuchová krize (n = 260) 600 mg n = 223 400 mg n = 37% | Zrychlená fáze (n = 235) 600 mg n = 158 400 mg n = 77 % | Selhání chronické fáze IFN (n = 532) 400 mg % | |||
| Stupeň 3 | Stupeň 4 | Stupeň 3 | Stupeň 4 | Stupeň 3 | Stupeň 4 | |
| Hematologické parametry | ||||||
| - Neutropenie | 16 | 48 | 23 | 36 | 27 | 9 |
| - Trombocytopenie | 30 | 33 | 31 | 13 | 21 | <1 |
| - Anémie | 42 | 11 | 34 | 7 | 6 | 1 |
| Parametry biochemie | ||||||
| - Zvýšený kreatinin | 1.5 | 0 | 1.3 | 0 | 0.2 | 0 |
| - Zvýšený bilirubin | 3.8 | 0 | 2.1 | 0 | 0.6 | 0 |
| - zvýšená alkalická fosfatáza | 4.6 | 0 | 5.5 | 0.4 | 0.2 | 0 |
| - Vyvýšené Sgot (AST) | 1.9 | 0 | 3.0 | 0 | 2.3 | 0 |
| - Zvýšené SGPT (alt) | 2.3 | 0.4 | 4.3 | 0 | 2.1 | 0 |
| Zkratky: CML chronická myeloidní leukémie; Kritéria CTC společná terminologie; IFN Interferon-Alpha; SGOT sérová glutamic-oxaloacetická transamináza je nyní označována jako aspartát aminotransferáza (AST); SGPT sérová glutamicko-pyruvová transamináza se nyní označuje jako alanin aminotransferáza (ALT). 1 CTC stupně: neutropenia (Stupeň 3 greater than or equal to 0.5–1.0 x 10 9 /L Stupeň 4 less than 0.5 x 10 9 /L) thrombocytopenia (Stupeň 3 greater than or equal to 10–50 x 10 9 /L Stupeň 4 less than 10 x 10 9 /L) anemia (hemoglobin greater than or equal to 65–80 g/L Stupeň 4 less than 65 g/L) elevated creatinine (Stupeň 3 greater than 3–6 x upper limit normal range [ULN] Stupeň 4 greater than 6 x ULN) elevated bilirubin (Stupeň 3 greater than 3–10 x ULN Stupeň 4 greater than 10 x ULN) elevated alkaline phosphatase (Stupeň 3 greater than 5–20 x ULN Stupeň 4 greater than 20 x ULN) elevated Sgot or SGPT (Stupeň 3 greater than 5– 20 x ULN Stupeň 4 greater than 20 x ULN). |
Hepatotoxicita
Těžké zvýšení transamináz nebo bilirubinu se vyskytlo u přibližně 5% pacientů s CML (viz tabulky 6 a 7) a byly obvykle zvládnuto se snížením nebo přerušením dávky (průměrná doba trvání těchto epizod byla přibližně 1 týden). Léčba byla trvale přerušena kvůli jaterní laboratorní abnormalitám u méně než 1,0% pacientů s CML. Jeden pacient, který pravidelně užíval acetaminofen pro horečku, zemřel na akutní selhání jater. Ve výšce stupně 3 nebo 4 fáze SGPT (ALT) byly pozorovány u 6,8% pacientů a zvýšení Sgot (AST) stupně 3 nebo 4 byly pozorovány u 4,8% pacientů. Zvýšení bilirubinu bylo pozorováno u 2,7% pacientů.
Nežádoucí účinky v dětské populaci
Terapie s jedním agentem
Celkový bezpečnostní profil pediatrických pacientů léčených GLEEVEC u 93 studovaných dětí byl podobný jako ve studiích u dospělých pacientů s výjimkou toho, že muskuloskeletální bolest byla méně častá (NULL,5%) a periferní edém nebyla hlášena. Nevolnost a zvracení byly nejčastěji hlášené individuální nežádoucí účinky s incidencí podobným incidenci, které bylo pozorováno u dospělých pacientů. Většina pacientů zažila během studie v určitém okamžiku nežádoucí účinky. Výskyt událostí třídy 3/4 napříč všemi typy nežádoucích účinků byl 75%; Události s nejvyšší incidencí 3/4 u pediatrických pacientů CML souvisely hlavně s myelosupresí.
V kombinaci s chemoterapií s více agenty
Pediatričtí a mladí dospělí pacienti s velmi vysokým rizikem, kteří jsou definováni jako pacienti s očekávaným 5letým přežitím bez událostí (EFS) menší než 45%, byli zařazeni po indukční terapii na multicentrickou neandomizovanou kooperativní skupinovou pilotní protokol. Populace studie zahrnovala pacienty se středním věkem 10 let (1 až 21 let) 61% z nich bylo 75% bílých 7% černých a 6% bylo asijského/tichomořského ostrovanu. Pacienti s pH All (n = 92) byli přiděleni k přijetí Gleevec a léčeni v 5 po sobě jdoucích kohortách. Expozice GLEEVEC byla systematicky zvýšena v následujících kohortách dřívějším úvodem a delší délkou trvání.
Bezpečnost GLEEVEC uvedeného v kombinaci s intenzivní chemoterapií byla hodnocena porovnáním incidence neutropenie stupně 3 a 4 (méně než 750/MCL) a trombocytopenie (méně než 75000/MCL) u 92 pacientů s pH všemi všemi přihlášenými na zkoušku na zkoušku. Bezpečnost byla také vyhodnocena porovnáním výskytu nežádoucích účinků v cyklech terapie podávané s nebo bez Gleevic. Protokol zahrnoval až 18 cyklů terapie. Pacienti byli vystaveni kumulativnímu celkovému celkem 1425 cyklů terapie 778 s Gleevec a 647 bez Gleeveku. Nežádoucí účinky, které byly hlášeny s 5% nebo větší výskyt u pacientů s pH, ve srovnání s pH-ALL nebo s 1% nebo větší výskyt v cyklech terapie, který obsahoval Gleevec, jsou uvedeny v tabulce 8.
Tabulka 8: Nežádoucí účinky hlášené častěji u pacientů léčených studiem léčiva (větší než 5%) nebo v cyklech se studiem léčiva (větší než 1%)
| Nežádoucí účinky 3 a 4 nežádoucí účinky | Na incidence pacienta pH všechny s Gleeven N = 92 n (%) | Na výskyt pacienta pH- vše bez gleeeku N = 65 N (%) | Na výskyt pacienta na cyklus s Gleeven* N = 778 N (%) | Na pacienta na cyklus incidence bez gleevec ** N = 647 N (%) |
| Nevolnost and/or zvracení | 15 (16) | 6 (9) | 28 (4) | 8 (1) |
| Hypokalémie | 31 (34) | 16 (25) | 72 (9) | 32 (5) |
| Pneumonitida | 7 (8) | 1 (1) | 7 (1) | 1 ( <1) |
| Pleurální výtok | 6 (7) | 0 | 6 (1) | 0 |
| Bolest břicha | 8 (9) | 2 (3) | 9 (1) | 3 ( <1) |
| Anorexie | 10 (11) | 3 (5) | 19 (2) | 4 (1) |
| Krvácení | 11 (12) | 4 (6) | 17 (2) | 8 (1) |
| Hypoxie | 8 (9) | 2 (3) | 12 (2) | 2 ( <1) |
| Myalgia | 5 (5) | 0 | 4 (1) | 1 ( <1) |
| Stomatitida | 15 (16) | 8 (12) | 22 (3) | 14 (2) |
| Průjem | 8 (9) | 3 (5) | 12 (2) | 3 ( <1) |
| Vyrážka/Skin disorder | 4 (4) | 0 | 5 (1) | 0 |
| Infekce | 49 (53) | 32 (49) | 131 (17) | 92 (14) |
| Jaterní (transamináza a/nebo bilirubin) | 52 (57) | 38 (58) | 172 (22) | 113 (17) |
| Hypotenze | 10 (11) | 5 (8) | 16 (2) | 6 (1) |
| Myelosuprese | ||||
| Neutropenie ( <750/mcL) | 92 (100) | 63 (97) | 556 (71) | 218 (34) |
| Trombocytopenie ( <75000/mcL) | 90 (92) | 63 (97) | 431 (55) | 329 (51) |
| Zkratky: pH všechny Philadelphia chromozom pozitivní akutní lymfoblastická leukémie; PH- Všechna Philadelphia chromozom negativní akutní lymfoblastická leukémie. *Definováno jako frekvence nežádoucích účinků (AES) na pacienta na léčebné cykly, které zahrnovaly Gleevec (zahrnuje pacienty s pH vše, co dostávalo cykly s Gleevic). ** Definováno jako frekvence AES na pacienta na léčebné cykly, které nezahrnovaly Gleevec (zahrnuje pacienty s pH vše, co dostávalo cykly bez Gleevec, a také všechny pacienty s pH- všichni, kteří v žádném léčebném cyklu nedostali). |
Nežádoucí účinky v jiných subpopulacích
U starších pacientů (větší nebo rovna 65 let) s výjimkou otoku, kde to bylo častější, neexistoval žádný důkaz o zvýšení výskytu nebo závažnosti nežádoucích účinků. U žen došlo k nárůstu frekvence neutropenie a také ½ povrchové edémy bolesti hlavy nevolnosti zvracení a únavu. Nebyly pozorovány žádné rozdíly, které by souvisely s rasou, ale podmnožiny byly příliš malé na správné vyhodnocení.
Akutní lymfoblastická leukémie
Nežádoucí účinky byly podobné pro pH všechny jako u pH CML. Nejčastěji hlášené nežádoucí účinky související s léčivem uvedenými v pH Všechny studie byly mírné nevolnosti a zvracení průjmu myalgické svalové křeče a vyrážky. Povrchní edém byl běžným nálezem ve všech studiích a byl popsán primárně jako periorbitální nebo dolní končetiny. Tyto EDEMA byly hlášeny jako události 3/4 stupně u 6,3% pacientů a mohou být zvládnuta s diuretikou jinými podpůrnými opatřeními nebo u některých pacientů snížením dávky Gleevic.
Myelodysplastická/myeloproliferativní onemocnění
Nežádoucí účinky bez ohledu na vztah ke studiu léčiva, který byl hlášen u nejméně 10% pacientů léčených GLEEVEC pro MDS/MPD ve studii fáze 2, jsou uvedeny v tabulce 9.
Tabulka 9: Nežádoucí účinky bez ohledu na to, že vztah ke studiu léčiva hlásil (více než jeden pacient) u pacientů s MPD ve studii fáze 2 (větší nebo roven 10% všech pacientů) Všechny známky
| Preferovaný termín | N = 7 n (%) |
| Nevolnost | 4 (57.1) |
| Průjem | 3 (42.9) |
| Anémie | 2 (28.6) |
| Únava | 2 (28.6) |
| Svalová křeče | 3 (42.9) |
| Artralgia | 2 (28.6) |
| Periorbitální edém | 2 (28.6) |
| Zkratka: MPD myeloproliferativní onemocnění. |
Agresivní systémová mastocytóza
Všichni agresivní systémová mastocytóza (ASM) pacienti zažili v určitém okamžiku alespoň jednu nežádoucí reakci. Nejčastěji hlášená nežádoucí účinky byly průjem nevolnost ascites ascites svalové křeče na únavě Periferní edém Anémie Pruritus a infekce dolních dýchacích cest. Žádný z 5 pacientů ve studii fáze 2 s ASM ukončil Gleevec v důsledku nežádoucích účinků souvisejících s léčivem nebo abnormálními laboratorními hodnotami.
Hypereosinofilní syndrom a chronická eozinofilní leukémie
Zdá se, že bezpečnostní profil v populaci pacientů s pacienty HES/CEL se neliší od bezpečnostního profilu Gleevec pozorovaného v jiných hematologických malignitních populacích, jako je PH CML. Všichni pacienti zažili alespoň jednu nežádoucí reakci, nejběžnější jsou kožní a muskuloskeletální poruchy. Hematologické abnormality byly také časté s případy lymfopenie a anémie leukopenia CTC 3 leukopenie.
Dermatofibrosarcoma ProTuberans
Nežádoucí účinky bez ohledu na vztah ke studiu léčiva, které byly hlášeny u nejméně 10% z 12 pacientů léčených GLEEVEC pro DFSP ve studii fáze 2, jsou uvedeny v tabulce 10.
Tabulka 10: Nežádoucí účinky bez ohledu na vztah ke studiu léčiva hlášeného u pacientů s DFSP ve studii fáze 2 (větší nebo rovna 10% všech pacientů) Všechny známky
| Preferovaný termín | N = 12 n (%) |
| Nevolnost | 5 (NULL,7) |
| Průjem | 3 (25.0) |
| Zvracení | 3 (25.0) |
| Periorbitální edém | 4 (33.3) |
| Vytvořte otoky | 2 (16.7) |
| Vyrážka | 3 (25.0) |
| Únava | 5 (NULL,7) |
| Periferní edém | 4 (33.3) |
| Pyrexia | 2 (16.7) |
| Edém očí | 4 (33.3) |
| Lacrimace se zvýšila | 3 (25.0) |
| Dušnost exertional | 2 (16.7) |
| Anémie | 3 (25.0) |
| Rhinitida | 2 (16.7) |
| Anorexie | 2 (16.7) |
| Zkratka: DFSP Dermatofibrosarcoma ProTuberans. |
Klinicky relevantní nebo závažné laboratorní abnormality u 12 pacientů léčených GLEEVEC pro DFSP ve studii fáze 2 jsou uvedeny v tabulce 11.
Tabulka 11: Laboratorní abnormality hlášené u pacientů s DFSP ve studii fáze 2
| CTC stupně 1 | N = 12 | |
| Stupeň 3 % | Stupeň 4 % | |
| Hematologické parametry | ||
| - Anémie | 17 | 0 |
| - Trombocytopenie | 17 | 0 |
| - Neutropenie | 0 | 8 |
| Parametry biochemie | ||
| - Zvýšený kreatinin | 0 | 8 |
| Zkratka: CTC Common Terminologická kritéria. 1 CTC stupně: neutropenia (Stupeň 3 greater than or equal to 0.5–1.0 x 10 9 /L Stupeň 4 less than 0.5 x 10 9 /L) thrombocytopenia (Stupeň 3 greater than or equal to 10–50 x 10 9 /L Stupeň 4 less than 10 x 10 9 /L) anemia (Stupeň 3 greater than or equal to 65–80 g/L Stupeň 4 less than 65 g/L) elevated creatinine (Stupeň 3 greater than 3–6 x upper limit normal range [ULN] Stupeň 4 greater than 6 x ULN). |
Gastrointestinální stromální nádory
Neresekovatelný a/nebo maligní metastatickou podstatu
Ve studiích fáze 3 zažila většina pacientů ošetřených Gleevec v určitém okamžiku nežádoucí účinky. Nejčastěji hlášená nežádoucí účinky byly otoky únavové nevolnosti břišní bolesti břišní průjem zvracení myalgické anémie a anorexie. Lék byl přerušen pro nežádoucí účinky u celkem 89 pacientů (NULL,4%). Povrchní edém nejčastěji periorbitální nebo dolní končetina byl zvládnut s diuretikami jinými podpůrnými opatřeními nebo snížením dávky Gleevec [viz viz Dávkování a podávání ]. Těžké (CTC Stupeň 3/4) edema was observed in 182 patients (11.1%).
Jak vypadá pilulka Zolpidem
Nežádoucí účinky bez ohledu na vztah ke studiu léčiva, který byl hlášen u nejméně 10% pacientů léčených GLEEVEC, jsou uvedeny v tabulce 12.
Celkově byl výskyt všech stupňů nežádoucích účinků a výskyt závažných nežádoucích účinků (CTC stupeň 3 a vyšší) podobný mezi dvěma léčebnými rameny, s výjimkou otoků, které byly častěji hlášeny ve skupině 800 mg.
Tabulka 12: Počet (%) pacientů s nežádoucími účinky bez ohledu na vztah ke studiu léčiva, kde je frekvence větší nebo rovná 10% v jedné skupině (plná analýza) ve fázi 3 neresekovatelné a/nebo maligní metastatické klinické studie GIST
| Hlášený nebo specifikovaný termín | Imatinib 400 mg N = 818 | Imatinib 800 mg N = 822 | ||
| Všechny známky % | Stupně 3/4/5 % | Všechny známky % | Stupně 3/4/5 % | |
| Otok | 76.7 | 9.0 | 86.1 | 13.1 |
| Únava/lethargy malaise asthenia | 69.3 | 11.7 | 74.9 | 12.2 |
| Nevolnost | 58.1 | 9.0 | 64.5 | 7.8 |
| Bolest břicha/cramping | 57.2 | 13.8 | 55.2 | 11.8 |
| Průjem | 56.2 | 8.1 | 58.2 | 8.6 |
| Vyrážka/desquamation | 38.1 | 7.6 | 49.8 | 8.9 |
| Zvracení | 37.4 | 9.2 | 40.6 | 7.5 |
| Myalgia | 32.2 | 5.6 | 30.2 | 3.8 |
| Anémie | 32.0 | 4.9 | 34.8 | 6.4 |
| Anorexie | 31.1 | 6.6 | 35.8 | 4.7 |
| Další toxicita GI | 25.2 | 8.1 | 28.1 | 6.6 |
| Bolest hlavy | 22.0 | 5.7 | 19.7 | 3.6 |
| Další bolest (s výjimkou bolesti související s nádorem) | 20.4 | 5.9 | 20.8 | 5.0 |
| Další dermatologie/toxicita kůže | 17.6 | 5.9 | 20.1 | 5.7 |
| Leukopenia | 17.0 | 0.7 | 19.6 | 1.6 |
| Jiné ústavní příznaky | 16.7 | 6.4 | 15.2 | 4.4 |
| Kašel | 16.1 | 4.5 | 14.5 | 3.2 |
| Infekce (without neutropenia) | 15.5 | 6.6 | 16.5 | 5.6 |
| Pruritus | 15.4 | 5.4 | 18.9 | 4.3 |
| Další neurologická toxicita | 15.0 | 6.4 | 15.2 | 4.9 |
| Zácpa | 14.8 | 5.1 | 14.4 | 4.1 |
| Další renální/genitourinární toxicita | 14.2 | 6.5 | 13.6 | 5.2 |
| Artralgia (joint pain) | 13.6 | 4.8 | 12.3 | 3.0 |
| Dušnost (shortness of breath) | 13.6 | 6.8 | 14.2 | 5.6 |
| Horečka v nepřítomnosti neutropenie (ANC <1.0 x 10 9 /L) | 13.2 | 4.9 | 12.9 | 3.4 |
| Pocení | 12.7 | 4.6 | 8.5 | 2.8 |
| Jiné krvácení | 12.3 | 6.7 | 13.3 | 6.1 |
| Přibývání na váze | 12.0 | 1.0 | 10.6 | 0.6 |
| Alopecie | 11.9 | 4.3 | 14.8 | 3.2 |
| Dyspepsia/heartburn | 11.5 | 0.6 | 10.9 | 0.5 |
| Neutropenie/granulocytopenia | 11.5 | 3.1 | 16.1 | 4.1 |
| Rigors/chills | 11.0 | 4.6 | 10.2 | 3.0 |
| Závrať/lightheadedness | 11.0 | 4.8 | 10.0 | 2.8 |
| Zvýšení kreatininu | 10.8 | 0.4 | 10.1 | 0.6 |
| Nadýmání | 10.0 | 0.2 | 10.1 | 0.1 |
| Stomatitida/pharyngitis (oral/pharyngeal mucositis) | 9.2 | 5.4 | 10.0 | 4.3 |
| Lymfopenie | 6.0 | 0.7 | 10.1 | 1.9 |
| Zkratky: ANC Absolute Neutrophil Počet; GI Gastrointestinal; Gist Gastrointestinální stromální nádory. |
Klinicky relevantní nebo závažné abnormality rutinních hematologických nebo biochemických laboratorních hodnot nebyly hlášeny ani vyhodnoceny ve studiích GIST fáze 3. V tabulce 13 jsou uvedeny závažné abnormální laboratorní hodnoty hlášené ve studii GIST fáze 2.
Tabulka 13: Laboratorní abnormality ve fázi 2 neresekovatelné a/nebo maligní metastatické studie GIST
| CTC stupně 1 | 400 mg (n = 73)% | 600 mg (n = 74)% | ||
| Stupeň 3 | Stupeň 4 | Stupeň 3 | Stupeň 4 | |
| Hematologické parametry | ||||
| - Anémie | 3 | 0 | 8 | 1 |
| - Trombocytopenie | 0 | 0 | 1 | 0 |
| - Neutropenie | 7 | 3 | 8 | 3 |
| Parametry biochemie | ||||
| - Zvýšený kreatinin | 0 | 0 | 3 | 0 |
| - Snížený albumin | 3 | 0 | 4 | 0 |
| - Zvýšený bilirubin | 1 | 0 | 1 | 3 |
| - zvýšená alkalická fosfatáza | 0 | 0 | 3 | 0 |
| - Vyvýšené Sgot (AST) | 4 | 0 | 3 | 3 |
| - Zvýšené SGPT (alt) | 6 | 0 | 7 | 1 |
| Zkratky: CTC Common Terminologická kritéria; Gist gastrointestinální stromální nádory; SGOT sérová glutamic-oxaloacetická transamináza je nyní označována jako aspartát aminotransferáza (AST); SGPT sérová glutamicko-pyruvová transamináza se nyní označuje jako alanin aminotransferáza (ALT). 1 CTC stupně: neutropenia (Stupeň 3 greater than or equal to 0.5–1.0 x 10 9 /L Stupeň 4 less than 0.5 x 10 9 /L) thrombocytopenia (Stupeň 3 greater than or equal to 10–50 x 10 9 /L Stupeň 4 less than 10 x 10 9 /L) anemia (Stupeň 3 greater than or equal to 65–80 g/L Stupeň 4 less than 65 g/L) elevated creatinine (Stupeň 3 greater than 3–6 x upper limit normal range [ULN] Stupeň 4 greater than 6 x ULN) elevated bilirubin (Stupeň 3 greater than 3–10 x ULN Stupeň 4 greater than 10 x ULN) elevated alkaline phosphatase Sgot or SGPT (Stupeň 3 greater than 5–20 x ULN Stupeň 4 greater than 20 x ULN) albumin (Stupeň 3 less than 20 g/L). |
Adjuvantní léčba podstaty
Ve studii 1 zažila většina pacientů léčených Gleevec i placebem alespoň jednu nežádoucí reakci v určitém okamžiku. Nejčastěji uváděné nežádoucí účinky byly podobné těm, které byly uvedeny v jiných klinických studiích v jiných populacích pacientů a zahrnují únavu průjmu nevody zvracení zvracení hemoglobinu a bolest břicha. V adjuvantním nastavení léčby GIST nebyly hlášeny žádné nové nežádoucí účinky, které nebylo dříve hlášeno v jiných populacích pacientů, včetně pacientů s neresekovatelným a/nebo maligním metastatickým GIST. Lék byl přerušen pro nežádoucí účinky u 57 pacientů (17%) a 11 pacientů (3%) pacientů ošetřených GleEVEC a placebem. Nejčastěji uváděné nežádoucí účinky v době přerušení byly nejčastěji hlášeny poruchy edému GI (zvracení nevolnosti zvracení břicha a průjem) únava nízký hemoglobin a vyrážka.
Ve studii 2 došlo k přerušení terapie v důsledku nežádoucích účinků u 15 pacientů (8%) a 27 pacientů (14%) 12měsíčních a 36měsíčních léčebných ramen GleEVEC. Stejně jako v předchozích studiích byly nejčastějšími nežádoucími účinky průjem únavové nevody zvracet hemoglobin zvracení a bolest břicha.
Nežádoucí účinky bez ohledu na vztah ke studiu léčiva, který byl hlášen u nejméně 5% pacientů léčených GLEEVEC, jsou uvedeny v tabulce 14 (studie 1) a tabulce 15 (studie 2). V jednom pokusu nebyly žádné úmrtí způsobené léčbou Gleevic.
Tabulka 14: Nežádoucí účinky bez ohledu na vztah ke studiu léčiva hlášeného ve studii 1 (větší nebo rovna 5% pacientů ošetřených Gleevec) 1
| Preferovaný termín | Všechny známky CTC | CTC stupeň 3* a vyšší | ||
| Gleevec (n = 337) % | Placebo (n = 345) % | Gleevec (n = 337) % | Placebo (n = 345) % | |
| Průjem | 59.3 | 29.3 | 3.0 | 1.4 |
| Únava | 57.0 | 40.9 | 2.1 | 1.2 |
| Nevolnost | 53.1 | 27.8 | 2.4 | 1.2 |
| Periorbitální edém | 47.2 | 14.5 | 1.2 | 0 |
| Hemoglobin se snížil | 46.9 | 27.0 | 0.6 | 0 |
| Periferní edém | 26.7 | 14.8 | 0.3 | 0 |
| Vyrážka (Exfoliative) | 26.1 | 12.8 | 2.7 | 0 |
| Zvracení | 25.5 | 13.9 | 2.4 | 0.6 |
| Bolest břicha | 21.1 | 22.3 | 3.0 | 1.4 |
| Bolest hlavy | 19.3 | 20.3 | 0.6 | 0 |
| Dyspepsia | 17.2 | 13.0 | 0.9 | 0 |
| Anorexie | 16.9 | 8.7 | 0.3 | 0 |
| Hmotnost se zvýšila | 16.9 | 11.6 | 0.3 | 0 |
| Enzymy jater (alt) se zvýšily | 16.6 | 13.0 | 2.7 | 0 |
| Svalové křeče | 16.3 | 3.3 | 0 | 0 |
| Počet neutrofilů se snížil | 16.0 | 6.1 | 3.3 | 0.9 |
| Artralgia | 15.1 | 14.5 | 0 | 0.3 |
| Počet bílých krvinek se snížil | 14.5 | 4.3 | 0.6 | 0.3 |
| Zácpa | 12.8 | 17.7 | 0 | 0.3 |
| Závrať | 12.5 | 10.7 | 0 | 0.3 |
| Zvýšily se jaterní enzymy (AST) | 12.2 | 7.5 | 2.1 | 0 |
| Myalgia | 12.2 | 11.6 | 0 | 0.3 |
| Kreatinin krve se zvýšil | 11.6 | 5.8 | 0 | 0.3 |
| Kašel | 11.0 | 11.3 | 0 | 0 |
| Pruritus | 11.0 | 7.8 | 0.9 | 0 |
| Hmotnost se snížila | 10.1 | 5.2 | 0 | 0 |
| Hyperglykémie | 9.8 | 11.3 | 0.6 | 1.7 |
| Nespavost | 9.8 | 7.2 | 0.9 | 0 |
| Lacrimace se zvýšila | 9.8 | 3.8 | 0 | 0 |
| Alopecie | 9.5 | 6.7 | 0 | 0 |
| Nadýmání | 8.9 | 9.6 | 0 | 0 |
| Vyrážka | 8.9 | 5.2 | 0.9 | 0 |
| Abdominální distenze | 7.4 | 6.4 | 0.3 | 0.3 |
| Bolest zad | 7.4 | 8.1 | 0.6 | 0 |
| Bolest v končetině | 7.4 | 7.2 | 0.3 | 0 |
| Hypokalémie | 7.1 | 2.0 | 0.9 | 0.6 |
| Deprese | 6.8 | 6.4 | 0.9 | 0.6 |
| Edém obličeje | 6.8 | 1.2 | 0.3 | 0 |
| Krevní alkalická fosfatáza se zvýšila | 6.5 | 7.5 | 0 | 0 |
| Suchá kůže | 6.5 | 5.2 | 0 | 0 |
| Dysgeusia | 6.5 | 2.9 | 0 | 0 |
| Bolest břicha upper | 6.2 | 6.4 | 0.3 | 0 |
| Neuropatie periferní | 5.9 | 6.4 | 0 | 0 |
| Hypokalcemie | 5.6 | 1.7 | 0.3 | 0 |
| Leukopenia | 5.0 | 2.6 | 0.3 | 0 |
| Počet destiček se snížil | 5.0 | 3.5 | 0 | 0 |
| Stomatitida | 5.0 | 1.7 | 0.6 | 0 |
| Infekce horních cest dýchacích | 5.0 | 3.5 | 0 | 0 |
| Vidění rozmazané | 5.0 | 2.3 | 0 | 0 |
| Zkratky: CTC Common Terminologická kritéria; Gist gastrointestinální stromální nádory; SGOT sérová glutamic-oxaloacetická transamináza je nyní označována jako aspartát aminotransferáza (AST); SGPT sérová glutamicko-pyruvová transamináza se nyní označuje jako alanin aminotransferáza (ALT). *Kritéria NCI Common Terminology pro nežádoucí účinky verze 3.0. 1 Všechny nežádoucí účinky, které se vyskytují u většího nebo rovného 5% pacientů, jsou uvedeny bez ohledu na podezření na vztah k léčbě. Pacient s více výskyty nežádoucí reakce se počítá pouze jednou v kategorii nežádoucích reakcí. |
Tabulka 15: Nežádoucí účinky bez ohledu na vztah ke studiu léčiva preferovaným termínem všechny známky a ¾ stupňů (větší nebo rovné 5% pacientů ošetřených Gleevec) Studie 2 1
| Preferovaný termín | Všechny známky CTC | CTC stupně 3 and above | ||
| Gleevec 12 Months (N = 194) % | Gleevec 36 Months (N = 198) % | Gleevec 12 Months (N = 194) % | Gleevec 36 Months (N = 198) % | |
| Pacienti s alespoň jedním AE | 99.0 | 100.0 | 20.1 | 32.8 |
| Hemoglobin se snížil | 72.2 | 80.3 | 0.5 | 0.5 |
| Periorbitální edém | 59.3 | 74.2 | 0.5 | 1.0 |
| Zvýšila se krevní laktát dehydrogenáza | 43.3 | 60.1 | 0 | 0 |
| Průjem | 43.8 | 54.0 | 0.5 | 2.0 |
| Nevolnost | 44.8 | 51.0 | 1.5 | 0.5 |
| Svalové křeče | 30.9 | 49.0 | 0.5 | 1.0 |
| Únava | 48.5 | 48.5 | 1.0 | 0.5 |
| Počet bílých krvinek se snížil | 34.5 | 47.0 | 2.1 | 3.0 |
| Bolest | 25.8 | 45.5 | 1.0 | 3.0 |
| Kreatinin krve se zvýšil | 30.4 | 44.4 | 0 | 0 |
| Periferní edém | 33.0 | 40.9 | 0.5 | 1.0 |
| Dermatitida | 29.4 | 38.9 | 2.1 | 1.5 |
| Aspartát aminotransferáza se zvýšila | 30.9 | 37.9 | 1.5 | 3.0 |
| Alanine aminotransferáza se zvýšila | 28.9 | 34.3 | 2.1 | 3.0 |
| Počet neutrofilů se snížil | 24.2 | 33.3 | 4.6 | 5.1 |
| Hypoproteinémie | 23.7 | 31.8 | 0 | 0 |
| Infekce | 13.9 | 27.8 | 1.5 | 2.5 |
| Hmotnost se zvýšila | 13.4 | 26.8 | 0 | 0.5 |
| Pruritus | 12.9 | 25.8 | 0 | 0 |
| Nadýmání | 19.1 | 24.7 | 1.0 | 0.5 |
| Zvracení | 10.8 | 22.2 | 0.5 | 1.0 |
| Dyspepsia | 17.5 | 21.7 | 0.5 | 1.0 |
| Hypoalbuminémie | 11.9 | 21.2 | 0 | 0 |
| Otok | 10.8 | 19.7 | 0 | 0.5 |
| Abdominální distenze | 11.9 | 19.2 | 0.5 | 0 |
| Bolest hlavy | 8.2 | 18.2 | 0 | 0 |
| Lacrimace se zvýšila | 18.0 | 17.7 | 0 | 0 |
| Artralgia | 8.8 | 17.2 | 0 | 1.0 |
| Krevní alkalická fosfatáza se zvýšila | 10.8 | 16.7 | 0 | 0.5 |
| Dušnost | 6.2 | 16.2 | 0.5 | 1.5 |
| Myalgia | 9.3 | 15.2 | 0 | 1.0 |
| Počet destiček se snížil | 11.3 | 14.1 | 0 | 0 |
| Krevní bilirubin se zvýšil | 11.3 | 13.1 | 0 | 0 |
| Dysgeusia | 9.3 | 12.6 | 0 | 0 |
| Parestézie | 5.2 | 12.1 | 0 | 0.5 |
| Vidění rozmazané | 10.8 | 11.1 | 1.0 | 0.5 |
| Alopecie | 11.3 | 10.6 | 0 | 0 |
| Snížená chuť k jídlu | 9.8 | 10.1 | 0 | 0 |
| Zácpa | 8.8 | 9.6 | 0 | 0 |
| Pyrexia | 6.2 | 9.6 | 0 | 0 |
| Deprese | 3.1 | 8.1 | 0 | 0 |
| Bolest břicha | 2.6 | 7.6 | 0 | 0 |
| Zánět spojivek | 5.2 | 7.6 | 0 | 0 |
| Reakce fotosenzitivity | 3.6 | 7.1 | 0 | 0 |
| Závrať | 4.6 | 6.6 | 0.5 | 0 |
| Krvácení | 3.1 | 6.6 | 0 | 0 |
| Suchá kůže | 6.7 | 6.1 | 0.5 | 0 |
| NOSOPHARYNNGITIS | 1.0 | 6.1 | 0 | 0.5 |
| Palpitace | 5.2 | 5.1 | 0 | 0 |
| Zkratky: AE nepříznivá událost; Kritéria CTC Společná terminologie. 1 Všechny nežádoucí účinky, které se vyskytují u většího nebo rovného 5% pacientů, jsou uvedeny bez ohledu na podezření na vztah k léčbě. Pacient s více výskyty nežádoucí reakce se počítá pouze jednou v kategorii nežádoucích reakcí. |
Nežádoucí účinky z více klinických studií
Srdeční poruchy
Odhaduje se 1%-10%: Palpitace Perikardiální výpotek
Odhadováno 0,1%-1%: Kongestivní srdeční selhání tachykardie plicní edém
Odhadováno 0,01%-0,1%: ARHYTHMIA Síň Fibrilace srdeční zástava myokardu Infarct Angina pectoris
Cévní poruchy
Odhaduje se 1%-10%: proplachování krvácení
Odhaduje se, že 0,1%-1%: Hypertenze hypotenze periferní chlad Raynaud je fenoménový hematom subdurální hematom
Vyšetřování
Odhaduje se, že 1%-10%: Krevní kreatin fosfokináza (CPK) zvýšila se krevní amyláza zvýšená
Odhaduje se, že se zvýšila 0,1%-1%: krevní laktát dehydrogenáza (LDH)
Poruchy kůže a podkožní tkáně
Odhaduje se 1%-10%: suchá kůže alopecie obličej edém erytém fotocitlivosti Reakce Reakce nehtů Purpura
Odhaduje se, že 0,1%-1%: exfoliativní dermatitida bulózní erupce psoriáza vyrážka pustulární pohmožděná pocení Zvýšené urticaria Ekchymóza zvýšená tendence k podvojci hypotrichózy Hypopigmentace kůže hyperpigmentace onychoclasis folikulitida erythema multiforme panniculitis)
Odhaduje se, že 0,01%-0,1%: vezikulární vyrážka Stevens-Johnsona syndrom Akutní generalizovaný exanthematózní pustulóza akutní febrilní neutrofilní dermatóza (Sweet's Syndrome) Angionionic Edém Leucocytoclastic Vasculitis
Gastrointestinální poruchy
Odhaduje se 1%-10%: Abdominální distence Gastroezofageální reflux sucho v ústech
Odhaduje se, že 0,1%-1%: žaludeční vřed stomatitida ústa ulcerace erukce melena esofagitida ascites hemateméza chelitida dysfagie pankreatitida
Odhaduje se 0,01%-0,1%: Kolitida zánětlivého onemocnění střev ileus
Obecné poruchy a podmínky pro správu
Odhadováno 1%-10%: Slabost Anasarca zimnice
Odhaduje se 0,1%-1%: malátnost
Poruchy krve a lymfatického systému
Odhaduje se 1%-10%: Pancytopenia febrilní neutropenia lymfopenie eosinofilia
Odhaduje se 0,1%-1%: trombocytémie deprese kostní dřeně lymfadenopatie
Odhaduje se 0,01%-0,1%: hemolytická anémie Aplastická anémie
Hepatobiliární poruchy
Odhaduje se 0,1%-1%: žloutenka hepatitidy
Odhaduje se 0,01%-0,1%: selhání jater a jaterní nekróza 1
Poruchy imunitního systému
Odhadováno 0,01%-0,1%: Angioedém
Infekces And Infestations
Odhaduje se 0,1%-1%: sepsis herpes simplex herpes zoster celulitida infekce močových cest Gastroenteritida
Odhaduje se 0,01%-0,1%: plísňová infekce
Poruchy metabolismu a výživy
Odhadováno 1%-10%: Hmotnost snížila sníženou chuť k jídlu
Odhaduje se, že 0,1%-1%: dehydratační dna zvýšená chuť k jídlu HyperCalcemia Hyperglykémie Hypomalemie hypomagnesie.
Poruchy muskuloskeletální a pojivové tkáně
Odhaduje se 1%-10%: otok kloubů
Odhaduje se 0,1%-1%: kloubní a svalová tuhost svalová slabost Artritida
Nervový systém/psychiatrické poruchy
Odhadováno 1%-10%: Parostezie Hypestezie
Odhadováno 0,1%-1%: Periferní neuropatie synkopy Somnolence Migrénová paměť Libido Snížené ischias neklidné nohy syndrom Tremor
Odhaduje se, že 0,01%-0,1%: zvýšený intrakraniální tlak1 zmatený stav křečeové optické neuritidy
Poruchy ledvin a moči
Odhaduje se, že 0,1%-1%: selhání ledvin Akutní močová frekvence zvýšila bolest hematurie ledvin
Reprodukční systém a poruchy prsu
Odhadováno 0,1%-1%: Zvětšení prsu Menorragie sexuální dysfunkce gynekomastie erektilní dysstrukce Menstruace Nepravidelná bradavka Bolest Screet Edém
Respirační hrudní a mediastinální poruchy
Odhadováno 1%-10%: Epistaxe
Odhadováno 0,1%-1%: pleurální výtok
Odhadováno 0,01%-0,1%: Intersticiální pneumonitida plicní fibróza pleuritická bolest plicní hypertenze plicní krvácení
Endokrinní poruchy
Odhaduje se 0,1%-1%: hypotyreóza hypertyreóza
Poruchy očního ucha a labyrintu
Odhadováno 1%-10%: Konjunktivitida Vision rozmazaná orbitální edém spojivky Konjunktivální krvácení Dry Oko
Odhadováno 0,1%-1%: Vrchol Tinnitus Oční podráždění očí bolest očí Slerál krvácení Hemorage Blefaritida Makulární edém Ztráta sluchu katarakta
Odhadováno 0,01%-0,1%: papiledema 1 glaukom
1 Včetně některých úmrtí.
Zážitek z postmarketingu
Následující další nežádoucí účinky byly identifikovány během použití Gleevec po schválení. Protože tyto reakce jsou hlášeny dobrovolně z populace nejisté velikosti, není vždy možné spolehlivě odhadnout jejich frekvenci nebo vytvořit kauzální vztah k expozici léčiva.
Poruchy krve a lymfatického systému: trombotická mikroangiopatie
Srdeční poruchy: perikarditida srdeční tamponade 1
Jaká třída léku je Cymbalta
Poruchy očí: Skinózní krvácení
Gastrointestinální poruchy: Ileus/střevní obstrukce nádorové krvácení/nádor nekróza GI Perforace 1 [vidět Varování a preventivní opatření ] Divertikulitida Antrální vaskulární ektasie Antrální vaskulární ektasie
Infekces: Reaktivace viru viru hepatitidy B 1
Poruchy muskuloskeletální a pojivové tkáně: Osteonekróza rabdomyolýza/retardace růstu myopatie u dětí muskuloskeletální bolest po přerušení léčby (včetně bolesti myalgie v bodě kostí Arthalgie)
Poruchy nervového systému: Cerebral Edém 1
Poruchy reprodukce: hemoragický korpus luteum/hemoragická ovariální cysta
Respirační hrudní a mediastinální poruchy: Akutní respirační selhání 1 Intersticiální onemocnění plic
Poruchy kůže a podkožní tkáně: Lichenoidní keratóza lichen planus Toxická epidermální nekrolýza Palmar-Plantar Erythrodyssesthesia Syndrome Syndrom vyrážka s eozinofilií a systémovými symptomy (šaty) pseudoporfyria pemphigus
Cévní poruchy: Trombóza/embolická anafylaktický šok
1 Včetně některých úmrtí.
Lékové interakce for Gleevec
Agenti indukující metabolismus CYP3A
Současné podávání Gleevec a silné induktory CYP3A4 může snížit celkovou expozici imatinibu; Zvažte alternativní agenty [viz Klinická farmakologie ].
Látky inhibující metabolismus CYP3A
Současné podávání inhibitorů GLEEVEC a silných inhibitorů CYP3A4 může vést k významnému zvýšení expozice imatinibu. Grapefruitová šťáva může také zvýšit plazmatické koncentrace imatinibu; Vyvarujte se grapefruitové šťávy [viz Klinická farmakologie ].
Interakce s léky metabolizovanými CYP3A4
Gleevec will increase plasma concentration of CYP3A4 metabolized drugs (e.g. triazolo-benzodiazepines dihydropyridine calcium channel blockers certain HMG-CoA reductase inhibitors etc.). Use caution when administering Gleevec with CYP3A4 substrates that have a narrow therapeutic window.
Protože warfarin je metabolizován CYP2C9 a CYP3A4, používají místo warfarinu u pacientů, kteří vyžadují antikoagulaci, nízkou molekulovou hmotnost nebo standardní heparin [viz viz [viz [viz Klinická farmakologie ].
Interakce s léky metabolizovanými CYP2D6
Při podávání GleEVEC se podáním substrátů CYP2D6 mějte opatrnost, které mají úzké terapeutické okno.
Varování pro Gleevec
Zahrnuto jako součást OPATŘENÍ sekce.
Opatření pro GLEEVEC
Retence a otoky tekutin
Gleevec is often associated with edema and occasionally serious fluid retention [vidět Nežádoucí účinky ]. Weigh and monitor patients regularly for signs and symptoms of fluid retention. Investigate unexpected rapid weight gain carefully and provide appropriate treatment. The probability of edema was increased with higher Gleevec dose and age greater than 65 years in the CML studies. Těžké superficial edema was reported in 1.5% of newly diagnosed CML patients taking Gleevec and in 2% to 6% of other adult CML patients taking Gleevec. In addition other severe fluid retention (e.g. pleural effusion pericardial effusion pulmonary edema and ascites) reactions were reported in 1.3% of newly diagnosed CML patients taking Gleevec and in 2% to 6% of other adult CML patients taking Gleevec. Těžké fluid retention was reported in 9% to 13.1% of patients taking Gleevec for GIST [vidět Nežádoucí účinky ]. In a randomized trial in patients with newly diagnosed Ph+ CML in chronic phase comparing Gleevec and nilotinib severe (Stupeň 3 or 4) fluid retention occurred in 2.5% of patients receiving Gleevec and in 3.9% of patients receiving nilotinib 300 mg twice daily. Effusions (including pleural effusion pericardial effusion ascites) or pulmonary edema were observed in 2.1% (none were Stupeň 3 or 4) of patients in the Gleevec arm and 2.2% (0.7% Stupeň 3 or 4) of patients in the nilotinib 300 mg twice daily arm.
Hematologická toxicita
Léčba Gleevec je spojena s neutropenií anémie a trombocytopenie. Provádět kompletní krevní počet každý týden za první měsíc dvakrát týdně po druhém měsíci a poté pravidelně, jak je naznačeno klinicky (například každé 2 až 3 měsíce). V CML je výskyt těchto cytopenií závislý na stadiu onemocnění a je častější u pacientů s urychlenou fází CML nebo BLAST krizí než u pacientů s chronickou fází CML. U pediatrických pacientů s CML byly nejčastějšími toxicity pozorovány cytopenie stupně 3 nebo 4 včetně trombocytopenie neutropenie a anémie. K těm obecně dochází během prvních několika měsíců terapie [viz Dávkování a podávání ].
Kongestivní srdeční selhání a dysfunkce levé komory
U pacientů užívajících Gleevec bylo hlášeno městnavé srdeční selhání a dysfunkce levé komory. Srdeční nežádoucí účinky byly častější u pacientů s pokročilým věkem nebo komorbiditami, včetně předchozí anamnézy srdečních chorob. V mezinárodní randomizované studii fáze 3 u 1106 pacientů s nově diagnostikovaným pH CML při chronické fázi byly pozorovány závažné srdeční selhání a levou komorovou dysfunkci u 0,7% pacientů užívajících GLEEVEC ve srovnání s 0,9% pacientů užívajících ARA-C. V další randomizované studii s nově diagnostikovanou pacienty s PH CML v chronické fázi, která porovnávala Gleevec a Nilotinib srdeční selhání, bylo pozorováno u 1,1% pacientů v rameni Gleevic a 2,2% pacientů v nilotinibu 300 mg dvakrát denně ARM a závažné stupně 3 nebo 4) srdeční selhání došlo k 0,7% pacientů v každé skupině. Pečlivě sledujte pacienty se srdečním onemocněním nebo rizikovými faktory pro srdeční nebo anamnézu selhání ledvin. Vyhodnoťte a léčte každého pacienta se známkami nebo symptomy v souladu se srdečním nebo renálním selháním.
Hepatotoxicita
Hepatotoxicita occasionally severe may occur with Gleevec [vidět Nežádoucí účinky ]. Cases of fatal liver failure and severe liver injury requiring liver transplants have been reported with both short-term and long-term use of Gleevec. Monitor liver function (transaminases bilirubin and alkaline phosphatase) before initiation of treatment and monthly or as clinically indicated. Manage laboratory abnormalities with Gleevec interruption and/or dose reduction [vidět Dávkování a podávání ]. When Gleevec is combined with chemotherapy liver toxicity in the form of transaminase elevation and hyperbilirubinemia has been observed. Additionally there have been reports of acute liver failure. Monitoring of hepatic function is recommended.
Krvácení
Ve studii Gleevic versus IFN ARA-C u pacientů s nově diagnostikovaným CML 1,8% pacientů mělo stupeň ¾ hemorage. Ve fázi 3 neresekovatelné nebo metastatické studie GIST 211 pacientů (NULL,9%) uvedlo krvácení třídy 3/4 v kterémkoli místě. Ve fázi 2 mělo neresekovatelné nebo metastatické studie GIST 7 pacientů (5%) celkem 8 CTC stupně ¾ krvácení; Gastrointestinální (GI) (3 pacienty) intra-tumorální (3 pacienty) nebo oba (1 pacient). Zdrojem GI krvácení může být gastrointestinální nádorová místa. V randomizované studii u pacientů s nově diagnostikovanou pH CML v chronické fázi porovnávající Gleevec a Nilotinib GI krvácení se vyskytlo u 1,4% pacientů v rameni Gleevec a u 2,9% pacientů v nilotinibu 300 mg dvakrát denně. Žádná z těchto událostí nebyla v rameni Gleevec 3. nebo 4; 0,7% bylo stupně 3 nebo 4 v rameni nilotinibu 300 mg dvakrát denně. Kromě toho byla v ponorkových zkušenostech hlášena žaludeční antrální vaskulární ektasie.
Gastrointestinální poruchy
Gleevec is sometimes associated with GI irritation. Gleevec should be taken with food and a large glass of water to minimize this problem. There have been rare reports including fatalities of GI perforation.
Hypereosinofilní srdeční toxicita
U pacientů s hyperosinofilním syndromem s okultní infiltrací HES buněk v případech myokardu kardiogenního šoku/levé komorové dysfunkce byla spojena s degranulací buněk HES po zahájení terapie Gleevec. Podmínkou bylo hlášeno, že je reverzibilní s podáváním systémových opatření na podpůrné měření cirkulačních steroidů a dočasně zadržováním Gleeveku.
Myelodysplastic/myeloproliferativní onemocnění a systémová mastocytóza mohou být spojeny s vysokou hladinou eozinofilů. Zvažte provedení echokardiogramu a určování sérového troponinu u pacientů s HES/CEL a u pacientů s MDS/MPD nebo ASM spojenými s vysokou hladinou eozinofilů. Pokud je buď abnormální, zvažte profylaktické použití systémových steroidů (1-2 mg/kg) po dobu jednoho až dvou týdnů souběžně s Gleeven při zahájení terapie.
Dermatologické toxicity
Bulózní dermatologické reakce včetně syndromu erythema multiforme a Stevens-Johnson byly zaznamenány s použitím Gleevec. V některých případech bulózních dermatologických reakcí včetně syndromu erythema multiforme a Stevens-Johnsona uváděného během postmarketingového sledování byla po rekallenge pozorována opakující se dermatologická reakce. Několik zahraničních zpráv o postmarketingu popsalo případy, kdy pacienti tolerovali znovuzavedení terapie Gleevec po vyřešení nebo zlepšení bulózní reakce. V těchto případech byl Gleevec obnoven v dávce nižší než dávkou, při níž došlo k reakci, a někteří pacienti také dostávali souběžnou léčbu kortikosteroidy nebo antihistaminikami.
Hypotyreóza
Klinické případy hypotyreózy byly hlášeny u pacientů s tyreoidektomií podstupující nahrazení levothyroxinu během léčby Gleevec. Monitorujte hladiny TSH u těchto pacientů.
Toxicita embryo-fetální
Gleevec can cause fetal harm when administered to a pregnant woman. Imatinib mesylate was teratogenic in rats when administered during organogenesis at doses approximately equal to the maximum human dose of 800 mg/day based on body surface area (BSA). Significant post-implantation loss was seen in female rats administered imatinib mesylate at doses approximately one-half the maximum human dose of 800 mg/day based on BSA. Advise sexually active female patients of reproductive potential to use effective contraception (methods that result in less than 1% pregnancy rates) when using Gleevec and for 14 days after stopping Gleevec. If this drug is used during pregnancy or if the patient becomes pregnant while taking this drug apprise the patient of the potential hazard to a fetus [vidět Použití v konkrétních populacích ].
Retardace růstu u dětí a dospívajících
Retardace růstu byla hlášena u dětí a pre-adolescentů, kteří dostávali Gleevec. Dlouhodobé účinky prodloužené léčby Gleevec na růst u dětí nejsou známy. Proto monitorujte růst u dětí při léčbě Gleevic [viz Nežádoucí účinky ].
Syndrom nádorové lýzy
U pacientů s CML GIST All a eosinofilní leukémií přijímající Gleevec byly hlášeny případy syndromu lýzy nádoru (TLS) včetně fatálních případů. Pacienti s rizikem TLS jsou pacienti s nádory s vysokou proliferativní mírou nebo vysokou zátěží nádoru před léčbou. Sledujte tyto pacienty pečlivě a přijímají příslušná opatření. V důsledku možného výskytu TLS korektní klinicky významnou dehydrataci a před zahájením Gleevec léčbu vysokých hladin kyseliny močové.
Poškození související s řízením a používáním strojů
Nehody motorových vozidel byly hlášeny u pacientů, kteří dostávali Gleevec. Doporučují pacientům, že mohou během léčby Gleevic zažít vedlejší účinky, jako je závratě rozmazaná vidění nebo somnolence. Při řízení automobilu nebo operačního stroje doporučujte opatrnost.
Toxicita ledvin
U pacientů, kteří dostávají Gleec, může dojít k poklesu funkce ledvin. Median estimated glomerular filtration rate (eGFR) values in patients on Gleevec 400 mg daily for newly-diagnosed CML (four randomized trials) and malignant GIST (one single-arm trial) declined from a baseline value of 85 mL/min/1.73 m² (N = 1190) to 75 mL/min/1.73 m² at 12 months (N = 1082) and 69 ML/min/1,73 m² po 60 měsících (n = 549). Vyhodnoťte funkci ledvin před zahájením Gleevec a monitoru během terapie s důrazem na rizikové faktory pro dysfunkci ledvin, jako je již existující poškození ledvin diabetes mellitus hypertenze a městnavé srdeční selhání.
Neklinická toxikologie
Zhodnocení mutageneze karcinogeneze plodnosti
Ve dvouletém podávání studie karcinogenity potkana vedla imatinib při 15 30 a 60 mg/kg/den ke statisticky významnému snížení dlouhověkosti mužů při 60 mg/kg/den a ženy při větší nebo rovné 30 mg/kg/den. Cílovými orgány pro neoplastické změny byly ledviny (ledvinové a ledvinové pánve) močové močové močové močové močové předběžné a klitorické žlázy tenkého střeva tělesičových žláz a nenglandulární žaludek. Neoplastické léze nebyly pozorovány při: 30 mg/kg/den pro ledviny močového měchýře močové močové močové močové močové močové tělesy. Papilloma/karcinom předběžné/klitoriální žlázy byl zaznamenán při 30 a 60 mg/kg/den představující přibližně 0,5 až 4 nebo 0,3 až 2,4krát větší denní expozici (na základě AUC) při 400 mg/den nebo 800 mg/den, respektive 0,4 až 3,0krát denní expozice) při 340 mg/mg). Adenom renálního tubulu/karcinomu renální pánev Pelvis přechodné buňky novotvary močového močového měchýře a močové přechodné buňky Papilomy tenkého střeva Adenokarcinomy Parathyroidní žlázy adenomy Benigní a maligní medulární nádory na nadnejmenné ledlářské žlázy a nekrytí/Karcinomy v 60 mg/kolíčcích o 60 mg/denně. Relevance těchto zjištění ve studii karcinogenity potkana pro lidi není známa.
Pozitivní genotoxické účinky byly získány pro imatinib v testu savčích buněk in vitro (čínský křeček) pro klastogenitu (chromozomové aberace) v přítomnosti metabolické aktivace. Dva meziprodukty výrobního procesu, které jsou také přítomny v konečném produktu, jsou pozitivní na mutagenezi v testu Ames. Jeden z těchto meziproduktů byl také pozitivní v testu myšího lymfomu. Imatinib nebyl genotoxický, když byl testován v testu bakteriálních buněk in vitro (test Ames) in vitro test savčích buněk (myší lymfom) a test in vivo potkana mikronukleus.
Ve studii plodnosti byly podávány samci potkanů po dobu 70 dnů před pářením a ženské krysy byly podány 14 dní před pářením a až do gestačního dne 6. Den. Testikulární a epididymální hmotnosti a procento pohyblivých spermií byly sníženy při 60 mg/kg přibližně tři čtvrtiny klinické dávky 800 mg/den na BSA. To nebylo vidět při dávkách menších nebo rovných 20 mg/kg (jedna čtvrtina maximální lidská dávka 800 mg). Plodnost samců a ženských potkanů nebyla ovlivněna.
V předklinické studii plodnosti a včasné studie embryonálního vývoje nebyla ovlivněna plodnost, ačkoli u potkanů s vysokou dávkou samců byly pozorovány nižší varlata a epididymální hmotnosti, jakož i snížený počet pohyblivých spermií. V předklinické pre- a postnatální studii plodnosti potkanů u potomstva první generace nebyl imatinib mesylátem ovlivněn.
Použití v konkrétních populacích
Těhotenství
Shrnutí rizika
Gleevec can cause fetal harm when administered to a pregnant woman based on human and animal data. There are no clinical studies regarding use of Gleevec in pregnant women. There have been postmarket reports of spontaneous abortions and congenital anomalies from women who have been exposed to Gleevec during pregnancy. Reproductive studies in rats have demonstrated that imatinib mesylate induced teratogenicity and increased incidence of congenital abnormalities following prenatal exposure to imatinib mesylate at doses equal to the highest recommended human dose of 800 mg/day based on BSA. Advise women to avoid pregnancy when taking Gleevec. If this drug is used during pregnancy or if the patient becomes pregnant while taking this drug apprise the patient of the potential hazard to the fetus.
Riziko na pozadí hlavních vrozených vad a potratu pro uvedenou populaci není známo; V americké obecné populaci je však odhadované riziko na pozadí hlavních vrozených vad klinicky uznávaných těhotenství 2% až 4% a potratu je 15% až 20%.
Data
Údaje o zvířatech
Ve studiích vývoje embryo-fetálního vývoje u potkanů a králíků těhotná zvířata dostávala perorální dávky mesylátu imatinibu až do 100 mg/kg/den a 60 mg/kg/den během období organogeneze.
U potkanů byl imatinib mesylát teratogenní při 100 mg/kg/den (přibližně stejný jako maximální lidská dávka 800 mg/den na základě BSA) Počet plodů s encefalocoele a exsencefalí byl vyšší než historické kontrolní hodnoty a byly spojeny s chybějícími nebo podhodnocenými kostí. Nižší průměrná tělesná hmotnost plodu byla spojena s retardovanými kosterními osifikacemi.
U králíků v dávkách 1,5krát vyšší než maximální lidská dávka 800 mg/den na základě BSA byly pozorovány žádné účinky na reprodukční parametry s ohledem na implantační místa Počet poměrů živých plodů nebo hmotnost plodu. Zkoušky plodů neodhalily žádné morfologické změny související s drogami.
Ve studii pre- a postnatálního vývoje dostával těhotné potkanů perorální dávky mesylátu imatinibu během těhotenství (organogeneze) a laktaci až do 45 mg/kg/den. Pět zvířat vyvinula červené vaginální výtok ve skupině 45 mg/kg/den ve dnech 14 nebo 15 těhotenství, jejichž význam není znám, protože všechny ženy produkovaly životaschopné vrhy a žádné z nich nezvýšily ztrátu po implantaci. Další účinky matek zaznamenané pouze v dávce 45 mg/kg/den (přibližně polovina maximální lidské dávky 800 mg/den založené na BSA) zahrnoval zvýšený počet mrtvých štěňat a mláďat, které umírají mezi poporodními dny 0 a 4. Předpopisová separace byla mírně snížena. Nebyly zjištěny žádné další významné účinky na vývojové parametry nebo testování chování. Plodnost F1 nebyla ovlivněna, ale reprodukční účinky byly zaznamenány při 45 mg/kg/den, včetně zvýšeného počtu resorpcí a sníženého počtu životaschopných plodů. Hladina bez pozorovaného účinku (NOEL) pro mateřská zvířata i generování F1 byla 15 mg/kg/den.
Laktace
Shrnutí rizika
Imatinib a jeho aktivní metabolit jsou vylučovány do lidského mléka. Kvůli potenciálu vážných nežádoucích účinků u kojených kojenců z Gleeveku doporučuje kojící ženu, aby se během léčby a po dobu poslední dávky 1 měsíc po poslední dávce kojila.
Lidská data
Na základě údajů 3 kojených žen, které užívají gleevec poměr mléka: plazmatický poměr je asi 0,5 pro imatinib a asi 0,9 pro aktivní metabolit. S ohledem na kombinovanou koncentraci imatinibu a aktivního metabolitu by kojené dítě mohlo získat až 10% terapeutické dávky matek na základě tělesné hmotnosti.
Ženy a muži reprodukčního potenciálu
Zprávy o postmarketingu a studie na zvířatech prokázaly, že Gleevec je škodlivý pro vyvíjející se plod [viz Použití v konkrétních populacích ].
Těhotenství Testing
Zkoušejte stav těhotenství u žen s reprodukčním potenciálem před zahájením léčby Gleevecem.
Antikoncepce
Ženy
Poraďte pacientům s reprodukčním potenciálem k používání účinné antikoncepce (metody, které mají za následek méně než 1% těhotenství) při používání Gleevec během léčby a po dobu čtrnácti dnů po zastavení léčby Gleevic [viz viz Použití v konkrétních populacích ].
Neplodnost
Riziko neplodnosti u žen nebo mužů reprodukčního potenciálu nebylo u lidí studováno. Ve studii potkanů nebyla ovlivněna plodnost u mužů a žen [viz Neklinická toxikologie ].
Dětské použití
Bezpečnost a účinnost Gleeveku byla prokázána u pediatrických pacientů s nově diagnostikovanou PH chronickou fází CML a pH vše [viz viz Klinické studie ]. There are no data in children under 1 year of age.
Geriatrické použití
V klinických studiích CML bylo přibližně 20% pacientů starší než 65 let. Ve studii pacientů s nově diagnostikovaným CML 6% pacientů bylo starší než 65 let. Frekvence otoku byla vyšší u pacientů starších než 65 let ve srovnání s mladšími pacienty; Nebyl pozorován žádný jiný rozdíl v bezpečnostním profilu [viz Varování a preventivní opatření ]. The efficacy of Gleevec was similar in older and younger patients.
V neresekovatelné nebo metastatické studii GIST bylo 16% pacientů starší než 65 let. U pacientů starších než 65 let nebyly zaznamenány žádné zjevné rozdíly v profilu bezpečnosti nebo účinnosti ve srovnání s mladšími pacienty, ale malý počet pacientů neumožňuje formální analýzu.
V adjuvantní studii GIST bylo 221 pacientů (31%) starší než 65 let. U bezpečnostního profilu u pacientů starších 65 let nebyl pozorován žádný rozdíl ve srovnání s mladšími pacienty s výjimkou vyšší frekvence otoku. Účinnost GLEEVEC byla podobná u pacientů starších než 65 let a mladších pacientů.
Poškození jater
Vliv jaterního poškození na farmakokinetiku imatinibu i jeho hlavního metabolitu CGP74588 byl hodnocen u 84 pacientů s rakovinou s různým stupněm poškození jater v imatinibu v dávkách imatinibu v rozmezí 100 mg do 800 mg.
Mírné a mírné poškození jater neovlivňují expozici imatinibu a CGP74588. U pacientů se závažným poškozením jater se Imatinib CMAX a plocha pod křivkou (AUC) zvýšila o 63% a 45% a CGP74588 CMAX a AUC se zvýšily o 56% a 55% vzhledem k pacientům s normální jaterní funkcí [viz viz [viz [viz Klinická farmakologie ]. Reduce the dose by 25% for patients with severe hepatic impairment [vidět Dávkování a podávání ].
Tabulka 16: Klasifikace funkcí jater
| Test jaterní funkce | Normální (n = 14) | Mírný (n = 30) | Mírný (n = 20) | Těžké (n = 20) |
| Celkový bilirubin | Méně nebo rovné ULN | Větší než 1,0-1,5násobek ULN | větší než 1,5-3krát ULN | Více než 3-10krát ULN |
| Sgot | Méně nebo rovné ULN | větší než ULN (může být normální, pokud je celkový bilirubin větší než Uln) | Žádný | Žádný |
| Zkratka: SGOT sérová glutamicko-oxaloacetická transamináza je nyní označována jako aspartát aminotransferáza (AST); ULN Horní hranice normálu pro instituci. |
Poškození ledvin
Vliv poškození ledvin na farmakokinetiku imatinibu byl hodnocen u 59 pacientů s rakovinou a měnící se
stupně poškození ledvin při dávkách imatinibu s jedním a ustáleným stavem v rozmezí od 100 do 800 mg/den. Průměrná expozice iMatinibu (dávka normalizovaná AUC) u pacientů s mírným a středním poškozením ledvin se zvýšila 1,5 až 2krát ve srovnání s pacienty s normální funkcí ledvin. U pacientů s těžkým poškozením ledvin není dostatek údajů [viz Klinická farmakologie ]. Dose reductions are necessary for patients with moderate and severe renal impairment [vidět Dávkování a podávání ].
Tabulka 17: Klasifikace renálních funkcí
| Renální dysfunkce | Testy renálních funkcí |
| Mírný | Crcl = 40-59 ml/min |
| Mírný | Crcl = 20-39 ml/min |
| Těžké | Crcl = méně než 20 ml/min |
| Zkratka: CRCL Creatinine clearance. |
Informace o předávkování pro Gleevec
Zkušenosti s dávkami větších než 800 mg jsou omezené. Byly hlášeny izolované případy předávkování Gleevic. V případě předávkování pozorujte pacienta a poskytuje odpovídající podpůrnou léčbu.
Předávkování dospělým
1200 až 1600 mg (trvání se mění mezi 1 až 10 dny): Nevolnost zvracení průjem rash erythema edema otok fatigue muscle spasms thrombocytopenia pancytopenia abdominal pain bolest hlavy decreased appetite.
1800 až 3200 mg (až 3200 mg denně po dobu 6 dnů): Slabost Myalgia zvýšila CPK zvýšené bolesti bilirubinu GI.
co dělá permethrin svrab
6400 mg (jediná dávka): Jeden případ v literatuře uvedl, že jeden pacient, který zažil nevolnost zvracení břišní bolesti pyrexie obličeje otoky neutrofilů, snížil zvýšení transamináz.
8 až 10 g (jediná dávka): Zvracení and GI pain have been reported.
Pacient s krizí myeloidní výbuchy zažil zvýšení stupně 1 ascitu sérového kreatininu 2 a zvýšené hladiny jaterní transaminázy a zvýšení bilirubinu stupně 3 po neúmyslném užívání 1200 mg Gleevec denně po dobu 6 dnů. Terapie byla dočasně přerušena a do 1 týdne došlo k úplnému obrácení všech abnormalit. Léčba byla obnovena v dávce 400 mg denně bez recidivy nežádoucích účinků. Další pacient se vyvinul silné svalové křeče po 1600 mg Gleevec denně po dobu 6 dnů. Kompletní rozlišení křečí svalů došlo po přerušení terapie a léčby bylo následně obnoveno. Jiný pacient, který byl předepsán 400 mg denně, vzal 800 mg Gleevec 1. a 1200 mg v den 2. dne. Terapie nebyla přerušena žádné nežádoucí účinky a pacienta obnovila terapii.
Pediatrické předávkování
Jeden 3letý muž vystavený jedné dávce 400 mg zažil zvracení průjem a anorexie; a další 3letý muž vystavený jedné dávce 980 mg zažil snížený počet a průjem bílých krvinek (WBC).
Kontraindikace pro Gleevec
Žádný.
Klinická farmakologie for Gleevec
Mechanismus působení
Mesylát imatinib je inhibitor protein-tyrosinkinázy, který inhibuje bcr-Abl tyrosin kinázu konstitutivní abnormální tyrosinkinázu vytvořenou abnormalitou chromozomu Philadelphie v CML. Imatinib inhibuje proliferaci a indukuje apoptózu v BCR-Abl pozitivních buněčných liniích a také čerstvých leukemických buňkách z chromozomu pozitivní chromozom Philadelphie. Imatinib inhibuje tvorbu kolonií v testech pomocí vzorků periferní krve a kostní dřeně od pacientů s CML.
In vivo imatinib inhibuje růst nádoru BCR-ABL transfekovaných myších myeloidních buněk a také BCR-Abl pozitivní leukémie linie odvozené od pacientů s CML v BLAST CRIS.
Imatinib je také inhibitorem receptorových tyrosinkináz pro růstový faktor odvozený z destiček (PDGF) a faktoru kmenových buněk (SCF) C-Kit a inhibuje buněčné události zprostředkované PDGF- a SCF. In vitro imatinib inhibuje proliferaci a indukuje apoptózu v GIST buňkách, které exprimují aktivační mutaci C-KIT.
Farmakokinetika
Farmakokinetika GLEEVEC byla hodnocena ve studiích u zdravých subjektů a v populačních farmakokinetických studiích u více než 900 pacientů. Farmakokinetika Gleevic je podobná u pacientů s CML a GIST.
Absorpce a distribuce
Imatinib je dobře absorbován po perorálním podání s CMAX dosaženo během 2-4 hodin po dávce. Průměrná absolutní biologická dostupnost je 98%. Průměrný imatinib AUC se zvyšuje úměrně se zvyšujícími se dávkami v rozmezí od 25 mg do 1000 mg. Neexistuje žádná významná změna farmakokinetiky imatinibu při opakovaném dávkování a akumulaci je 1,5 až 2,5krát v ustáleném stavu, když je Gleevec dávkován jednou denně. Při klinicky relevantních koncentracích vazby imatinibu na plazmatické proteiny v experimentech in vitro je přibližně 95% převážně na albumin a a; 1-kyselý glykoprotein.
Odstranění
Metabolismus
CYP3A4 je hlavní enzym zodpovědný za metabolismus imatinibu. Jiné enzymy cytochromu P450, jako je CYP1A2 CYP2D6 CYP2C9 a CYP2C19, hrají menší roli ve svém metabolismu. Hlavním cirkulujícím aktivním metabolitem u lidí je de-demetylovaný derivát piperazinu tvořeného převážně CYP3A4. Ukazuje in vitro účinnost podobně jako rodič imatinib. Plazmatická AUC pro tento metabolit je asi 15% AUC pro imatinib. Vazba plazmatického proteinu N-demethylovaného metabolitu CGP74588 je podobná vazbě rodičovské sloučeniny. Studie lidských jater microsome prokázaly, že GleEVEC je účinným konkurenčním inhibitorem CYP2C9 CYP2D6 a CYP3A4/5 s hodnotami KI 27 7,5 a 8 μm.
Vylučování
Eliminace imatinibu je převážně ve stolicích většinou jako metabolity. Na základě obnovy sloučenin po ústní 14 Dávka C-označená iMatinibem přibližně 81% dávky byla vyloučena do 7 dnů ve stolici (68% dávky) a moči (13% dávky). Neměněný imatinib představoval 25% dávky (5% moči 20% stolice), zbytek jsou metabolity.
Po ústním podání u zdravých dobrovolníků jsou eliminační poločas imatinibu a jeho hlavní aktivní metabolit N-demethyl derivát (CGP74588) přibližně 18 a 40 hodin.
Obvykle se očekává, že odbavení imatinibu u 50letého pacienta o hmotnosti 50 kg bude 8 l/h, zatímco u 50letého pacienta o hmotnosti 100 kg se vůle zvýší na 14 l/h. Variabilita mezi pacienty 40% v clearance nezaručuje počáteční úpravu dávky na základě tělesné hmotnosti a/nebo věku, ale naznačuje potřebu pečlivého monitorování toxicity související s léčbou.
Konkrétní populace
Poškození jater
Vliv jaterního poškození na farmakokinetiku imatinibu i jeho hlavního metabolitu CGP74588 byl hodnocen u 84 pacientů s rakovinou a různé stupně jaterního poškození [viz viz Použití v konkrétních populacích ] v dávkách imatinibu v rozmezí od 100 mg do 800 mg. Expozice imatinibu i CGP74588 byla srovnatelná mezi každou z mírně a mírně hepaticky postižených skupin a normální skupiny. Pacienti se závažným jaterním poškozením mají tendenci mít vyšší expozici imatinibu i jeho metabolitu než pacienti s normální funkcí jater. V ustáleném stavu se průměrná CMAX/dávka a AUC/dávka pro imatinib zvýšila asi o 63% a 45% u pacientů s těžkým jaterním poškozením ve srovnání s pacienty s normální funkcí jater. Průměrná CMAX/dávka a AUC/dávka pro CGP74588 se zvýšila asi o 56% a 55% u pacientů s těžkým jaterním poškozením ve srovnání s pacienty s normální funkcí jater. Snížení dávky je nezbytné pro pacienty s těžkým poškozením jater [viz Dávkování a podávání ].
Poškození ledvin
Vliv poškození ledvin na farmakokinetiku imatinibu byl hodnocen u 59 pacientů s rakovinou s různým stupněm poškození ledvin [viz viz Použití v konkrétních populacích ] v dávkách imatinibu s jedním a ustáleným stavem v rozmezí od 100 do 800 mg/den. Průměrná expozice iMatinibu (dávka normalizovaná AUC) u pacientů s mírným a středním poškozením ledvin se zvýšila 1,5 až 2krát ve srovnání s pacienty s normální funkcí ledvin. AUC se nezvýšily u dávek vyšších než 600 mg u pacientů s mírným poškozením ledvin. AUC se nezvýšily u dávek vyšších než 400 mg u pacientů se středním poškozením ledvin. Dva pacienti s těžkým poškozením ledvin byli podávány 100 mg/den a jejich expozice byly podobné těm, které byly pozorovány u pacientů s normální funkcí ledvin, kteří dostávali 400 mg/den. Snížení dávky je nezbytné pro pacienty se středním a závažným poškozením ledvin [viz Dávkování a podávání ].
Dětské použití
Stejně jako u dospělých pacientů byl imatinib rychle absorbován po perorálním podání u pediatrických pacientů s CMAX 2-4 hodiny. Zjevná ústní clearance byla podobná hodnotám dospělých (NULL,0 l/h/m² u dětí vs. 10.0 l/h/m² u dospělých), jako byl poločas (NULL,8 hodin u dětí vs. 17,1 hodin u dospělých). Dávkování u dětí při 260 mg/m² a 340 mg/m² dosáhlo AUC podobné dávce 400 mg u dospělých. Porovnání AUC v den 8 vs. den 1 při 260 mg/m² a 340 mg/m² hladiny dávky odhalilo 1,5 a 2,2násobku akumulace léčiva po opakování jednou denně. Průměrný imatinib AUC se nedíval úměrně se zvyšující se dávkou.
Na základě sdružené populace farmakokinetická analýza u dětských pacientů s hematologickými poruchami (CML pH všechny nebo jiné hematologické poruchy léčené imatinibem) clearance imatinibu se zvyšuje se zvyšujícím se BSA. Po opravě účinku BSA jiné demografie, jako je věk tělesné hmotnosti a index tělesné hmotnosti, neměly klinicky významné účinky na expozici imatinibu. Analýza potvrdila, že expozice imatinibu u pediatrických pacientů, kteří dostávali 260 mg/m² jednou denně (nepřesahující 400 mg jednou denně) nebo 340 mg/m² jednou denně (nepřesahující 600 mg jednou denně) byla podobná u dospělých pacientů, kteří dostávali imatinib 400 mg nebo 600 mg jednou denně.
Lékové interakce
Agenti indukující metabolismus CYP3A
Předběžné ošetření zdravých dobrovolníků s více dávkami rifampinu následované jedinou dávkou Gleevec zvýšilo gleevec perorální dávku 3,8krát, což významně (P menší než 0,05) snížilo průměrnou CMAX a AUC.
Podobné nálezy byly pozorovány u pacientů, kteří dostávali 400 až 1200 mg/den Gleevec současně s antiepileptická léčiva indukující enzym (EIAED) (např. Karbamazepin oxkarbamazepin fenytoin fosfenytoin fenobarbit a primidon). Průměrná dávka normalizovaná AUC pro imatinib u pacientů, kteří dostávali Eiaed, se snížila o 73% ve srovnání s pacienty, kteří nedostávali Eiaed.
Současné podávání WLEEVEC a Wort sv. Jana vedlo k 30% snížení AUC Imatinibu.
Zvažte alternativní terapeutická činidla s menším potenciálem indukce enzymu u pacientů, když jsou uvedeny rifampin nebo jiné induktory CYP3A4. Dávky Gleevec až 1200 mg/den (600 mg dvakrát denně) byly poskytnuty pacientům, kteří dostávali doprovodné silné induktory CYP3A4 [viz Dávkování a podávání ].
Látky inhibující metabolismus CYP3A
U zdravých subjektů došlo k významnému nárůstu expozice imatinibu (průměrná CMAX a AUC o 26% a 40%), když byl Gleevec spojen s jednou dávkou ketokonazolu (inhibitor CYP3A4). Upozornění se doporučuje při podávání GLEEVEC se silnými inhibitory CYP3A4 (např. Ketokonazol itrakonazol klaritromycin atazanavir indinavir nefazodon neelfinavir ritonavir saquinavir telethromycin). Grapefruitová šťáva může také zvýšit plazmatické koncentrace imatinibu a je třeba se vyhnout.
Interakce s léky metabolizovanými CYP3A4
Gleevec increases the mean Cmax and AUC of simvastatin (CYP3A4 substrate) 2- and 3.5-fold respectively suggesting an inhibition of the CYP3A4 by Gleevec. Particular caution is recommended when administering Gleevec with CYP3A4 substrates that have a narrow therapeutic window (e.g. alfentanil cyclosporine diergotamine ergotamine fentanyl pimozide quinidine sirolimus or tacrolimus).
Gleevec will increase plasma concentration of other CYP3A4 metabolized drugs (e.g. triazolo-benzodiazepines dihydropyridine calcium channel blockers certain HMG-CoA reductase inhibitors etc.).
Protože warfarin je metabolizován pacienty CYP2C9 a CYP3A4, kteří vyžadují antikoagulaci, by měli mít místo warfarinu nízkou molekulovou hmotnost nebo standardní heparin.
Interakce s léky metabolizovanými CYP2D6
Gleevec increased the mean Cmax and AUC of metoprolol by approximately 23% suggesting that Gleevec has a weak inhibitory effect on CYP2D6-mediated metabolism. No dose adjustment is necessary however caution is recommended when administering Gleevec with CYP2D6 substrates that have a narrow therapeutic window.
Interakce s acetaminofenem
In vitro Gleevec inhibuje cestu acetaminofen o-glukuronidát (KI 58,5 μm). Společná podávání GleEVEC (400 mg/den po dobu 8 dnů) s acetaminofenem (1000 mg jediné dávky v den 8) u pacientů s CML nevedlo ke změnám ve farmakokinetice acetaminofenu. Farmakokinetika GLEEVEC nebyla změněna v přítomnosti acetaminofenu singledózy. Neexistují žádné farmakokinetické nebo bezpečnostní údaje o souběžném použití Gleevec v dávkách větších než 400 mg/den nebo chronickém použití doprovodných acetaminofenu a Gleevic.
Toxikologie zvířat a/nebo farmakologie
Toxicita z dlouhodobého používání
Je důležité zvážit potenciální toxicitu navržené studiemi na zvířatech konkrétně ledviny jater a srdeční toxicitou a imunosupresí. U psů byla pozorována těžká toxicita jater po dobu 2 týdnů se zvýšenými enzymy jater Hepatocelulární nekróza dokonce Nekróza potrubí a hyperplázie žlučovodů. Renální toxicita byla pozorována u opic ošetřených po dobu 2 týdnů fokální mineralizací a dilatací ledvinových tubulů a tubulární nefrózy. U několika z těchto zvířat byl pozorován zvýšený dusík krve močoviny (bun) a kreatinin. Při chronické léčbě imatinibu v laboratorních studiích na zvířatech byla pozorována zvýšená míra oportunistických infekcí. V 39týdenní studii opic vedlo k imatinibu ke zhoršení normálně potlačených malárií u těchto zvířat. Lymfopenie byla pozorována u zvířat (jako u lidí). Ve dvouleté studii potkana byla identifikována další dlouhodobá toxicita. Histopatologické vyšetření ošetřených potkanů, které zemřely při studii, odhalilo kardiomyopatii (obě pohlaví) chronickou progresivní nefropatii (ženy) a předběžné žlázy papilomu jako hlavní příčiny smrti nebo důvody oběti. Ne-neoplastické léze pozorované v této dvouleté studii, které nebyly identifikovány v dřívějších předklinických studiích, byly kardiovaskulární systém endokrinní orgány a zuby. Mezi nejdůležitější změny patřila srdeční hypertrofie a dilatace vedoucí k příznakům srdeční nedostatečnosti u některých zvířat.
Klinické studie
Chronická myeloidní leukémie
Chronická fáze nově diagnostikovaná
U pacientů s nově diagnostikovanou chromozomovou pozitivní (pH) chronickou myeloidní leukemií (CML) v chronické fázi byla provedena multicentrická randomizovaná studie fáze 3 (Gleevec versus IFN ara-C). Tato studie porovnávala léčbu buď s jedním agentem Gleevec nebo kombinací interferonu-alfa (IFN) plus cytarabin (ARA-C). Pacienti bylo dovoleno přejít na alternativní léčebnou rameno, pokud neprokázali úplnou hematologickou odpověď (CHR) po 6 měsících hlavní cytogenetická odpověď (MCYR) po 12 měsících nebo pokud ztratili CHR nebo MCYR. U pacientů se zvyšující se WBC nebo těžkou intolerancí k léčbě bylo také dovoleno překročit alternativní léčbu se souhlasem Výboru pro monitorování studie (SMC). U pacientů s ramenem Gleevec byli nejprve léčeni 400 mg denně. Eskalace dávky byly povoleny od 400 mg denně do 600 mg denně od 600 mg denně do 800 mg denně. U pacientů s IFN ARM byla léčena cílovou dávkou IFN 5 miU/m²/den subkutánně v kombinaci s subkutánní ARA-C 20 mg/m²/den po dobu 10 dnů/měsíc.
Celkem 1106 pacientů bylo randomizováno ze 177 center v 16 zemích 553 na každou paži. Základní charakteristiky byly mezi oběma pažemi dobře vyvážené. Střední věk byl 51 let (rozmezí 18 až 70 let) s 21,9% pacientů vyšších nebo rovných 60 let. Bylo tam 59% mužů a 41% žen; 89,9% bělošských a 4,7% černých pacientů. Při omezení této analýzy (7 let po najmutí posledního pacienta) byla střední doba léčby první linie 82 a 8 měsíců v Gleeveku a IFN ARM. Střední doba léčby druhé linie Gleevec byla 64 měsíců. Šedesát procent pacientů randomizovaných do GLEEVEC stále dostává léčbu první linie. U těchto pacientů byla průměrná dávka GLEEVEC 403 mg ± 57 mg. Celkově u pacientů, kteří dostávali první linii, byla průměrná denní dávka dodávaná 406 mg ± 76 mg. V důsledku diskontinuace a křížení pouze 2% pacientů randomizovaných do IFN bylo stále na léčbě první linie. Při stažení souhlasu IFN bylo nejčastějším důvodem pro přerušení terapie první linie a nejčastějším důvodem pro přechod k rameni Gleevec bylo závažné nesnášenlivost léčby (26%) a progrese (14%).
Primárním koncovým bodem účinnosti studie bylo přežití bez progrese (PFS). Progrese byla definována jako kterákoli z následujících událostí: Progrese k zrychlené fázi nebo výbuchové krizi (AP/BC) Ztráta úmrtí na CHR nebo MCYR nebo u pacientů, kteří nedosahují CHR a rostoucí WBC navzdory vhodné terapeutické léčbě. Protokol specifikoval, že progresivní analýza by porovnávala záměr léčit (ITT) populace: pacienti randomizovaní k přijímání Gleevec byli porovnáni s pacienty randomizovanými, aby dostali IFN. Pacienti, kteří překročili před progresí, nebyli cenzurováni v době křížení a události, ke kterým došlo u těchto pacientů po křížení, byly přičítány původní randomizované léčbě. Odhadovaná míra přežití bez progrese po 84 měsících v populaci ITT byla 81,2% [95% CI: 78 85] v rameni Gleevic a 60,6% [56 65] v rameni IFN (P nižší než 0,0001 log-rank test) (obrázek 1). Při 7 letech sledování došlo k 93 (NULL,8%) progresivním událostem v rameni Gleevec: 37 (NULL,7%) progrese na AP/BC 31 (NULL,6%) ztráta MCYR 15 (NULL,7%) ztráty CHR nebo zvýšení WBC a 10 (NULL,8%) CML nepříbuzených úmrtí. Naproti tomu v rameni IFN ARA-C bylo 165 (NULL,8%) událostí, z nichž 130 došlo během léčby první linie pomocí IFN-ARA-C. Odhadovaná míra pacientů bez progrese do zrychlené fáze (AP) nebo BLAST krize (BC) po 84 měsících byla 92,5% [90 95] v rameni Gleevic ve srovnání s 85,1% [82 89] (P menší nebo rovná 0,001) v rameni IFN (obrázek 2). Roční míra jakýchkoli progresivních událostí se s časem terapie snížila. The probability of remaining progression free at 60 months was 95% for patients who were in complete cytogenetic response (CCyR) with molecular response (greater than or equal to 3 log reduction in BCR-ABL transcripts as measured by quantitative reverse transcriptase polymerase chain reaction) at 12 months compared to 89% for patients in CCyR but without a major molecular response and 70% in patients who were not in CCyR at this time point (p less than 0,001).
Obrázek 1: Přežití bez progrese (ITT princip)
Obrázek 2: Čas do progrese do AP nebo BC (ITT Princip)
Ve skupině Gleevec a IFN ARA-C zemřelo celkem 71 (NULL,8%) a 85 (NULL,4%) pacientů. Po 84 měsících je odhadované celkové přežití 86,4% (83 90) vs 83,3% (80 87) v randomizované skupině Gleevec a IFN ARA-C (p = 0,073 log-rank test). Poměr rizika je 0,750 s 95% CI 0,547-1,028. Tento koncový bod do události může být ovlivněn vysokou mírou crossoveru z IFN ARA-C do Gleevic. Hlavní sekundární koncové body byly doba hlavní cytogenetické reakce Hodnocení hematologické odpovědi na hematologickou odpověď na minimální zbytkové onemocnění (molekulární odpověď) na zrychlenou fázi nebo přežití. Údaje o odezvě jsou uvedeny v tabulce 18. Úplná hematologická odpověď Hlavní cytogenetická odpověď a CCYR byly také statisticky významně vyšší v rameni Gleevec ve srovnání s ramenem IFN (žádná křížová data uvažovaná pro vyhodnocení odpovědí). Střední čas pro CCYR u 454 respondentů byl 6 měsíců (rozmezí 2 až 64 měsíců 25. až 75. percentily = 3 až 11 měsíců) s 10% odpovědí pozorovaných až po 22 měsících terapie.
Tabulka 18: Odpověď v nově diagnostikované studii CML (84měsíční údaje)
| Nejlepší míra odezvy | Gleevec n = 553 | IFN Ara-C n = 553 |
| Hematologická odpověď 1 | ||
| Míra chr n (%) | 534 (NULL,6%)* | 313 (NULL,6%)* |
| [95% CI] | [94,7% 97,9%] | [52,4% 60,8%] |
| Cytogenetická odpověď 2 | ||
| Hlavní cytogenetická odpověď n (%) | 472 (NULL,4%)* | 93 (NULL,8%)* |
| [95% CI] | [82,1% 88,2%] | [13,8% 20,2%] |
| Nepotvrzené 3 | 88,6%* | 23,3%* |
| Úplná cytogenetická odpověď n (%) | 413 (NULL,7%)* | 36 (NULL,5%)* |
| [95% CI] | [70.8 78.3] | [4.6 8.9] |
| Nepotvrzené 3 | 82,5%* | 11,6%* |
| *P Méně než 0,001 přesný test Fischer. 1 Hematologická odpověď criteria (Všechny odpovědi, které mají být potvrzeny po větší nebo rovné 4 týdnech): WBC menší než 10 x 10 9 /L platelet less than 450 x 10 9 /L myelocyte + metamyelocyte less than 5% in blood no blasts and promyelocytes in blood no extramedullary involvement. 2 Cytogenetická odpověď criteria (potvrzeno po větší nebo rovné 4 týdnech): Kompletní (0%pH metafáz) nebo částečné (1%- 35%). Hlavní odpověď (0%-35%) kombinuje jak úplné, tak částečné reakce. 3 Nepotvrzené cytogenetic response je založeno na jediném cytogenetickém hodnocení kostní dřeně, proto nepotvrzené úplné nebo částečné cytogenetické reakce mohly mít menší cytogenetickou odpověď na následné hodnocení kostní dřeně. |
Molekulární odpověď byla definována takto: v periferní krvi po 12 měsících redukce terapie o větší nebo rovné 3 logaritmy v množství transkriptů BCR-Abl (měřeno kvantitativním testem reverzní transkriptázy PCR v reálném čase) na standardizované základní linii. Molekulární odpověď byla hodnocena pouze u podskupiny pacientů, kteří měli CCYR o 12 měsíců nebo později (n = 333). Míra molekulární odezvy u pacientů, kteří měli CCYR v rameni Gleevec, byla 59% po 12 měsících a 72% po 24 měsících.
K posouzení obecných účinků toxicity toxicity interferonu u 1067 pacientů s CML v chronické fázi byly použity modifikátor modifikátoru biologické odpovědi specifické pro léčbu a léčbu specifický pro léčbu u 1067 pacientů s CML v chronické fázi. Po jednom měsíci terapie na 6 měsíců terapie došlo k 13% až 21% snížení mediánu indexu u pacientů u pacientů léčených IFN v souladu se zvýšenými příznaky toxicity IFN. Ve střední linii nedošlo k žádné zjevné změně ve střední linii u mediánu u pacientů léčených Gleevekem.
Pro stanovení účinnosti Gleevec versus nilotinib u dospělých pacientů s cytogeneticky potvrzeným nově diagnostikovaným pH CML-CP byla provedena otevřená randomizovaná studie (Gleec versus nilotinib). Pacienti byli do 6 měsíců od diagnózy a dříve byli neošetřeni pro CML-CP, s výjimkou hydroxyurea a/nebo anagrelidu. Účinnost byla založena na celkem 846 pacientů: 283 pacientů ve skupině Gleevec 400 mg jednou denně v nilotinibu 300 mg dvakrát denně skupiny 281 pacientů v nilotinibu 400 mg dvakrát denně.
Střední věk byl 46 let ve skupině Gleevec a 47 let ve skupinách nilotinibu s 12% 13% a 10% pacientů větších nebo rovných 65 let ve věku ve věku Gleevec 400 mg jednou denně nilotinib 300 mg dvakrát denně a nilotinib 400 mg dvakrát denně léčebné skupiny. Ve všech skupinách bylo o něco více mužských než žen (56% 56% a 62% v Gleevec 400 mg jednou denně nilotinib 300 mg dvakrát denně a nilotinib 400 mg dvakrát denně léčebné skupiny). Více než 60% všech pacientů bylo Kavkazských a 25% asijských.
Primární analýza dat byla provedena, když všech 846 pacientů dokončilo 12 měsíců léčby nebo bylo dříve ukončeno. Následné analýzy byly provedeny, když pacienti dokončili 24 36 48 a 60 měsíců léčby nebo byly dříve ukončeny. Střední doba léčby byla přibližně 61 měsíců ve všech třech léčebných skupinách.
Koncovým bodem primární účinnosti byla hlavní molekulární odpověď (MMR) 12 měsíců po zahájení studijního léku. MMR byl definován jako menší nebo roven 0,1 % BCR-ABL/ABL % pomocí mezinárodního měřítka měřeného RQ-PCR, což odpovídá větší nebo rovné 3 log redukci transkriptu BCR-Abl ze standardizovaného základního linie. Koncové body účinnosti jsou shrnuty v tabulce 19.
Dvanáct pacientů v rameni Gleevic postupovalo buď k zrychlené fázi nebo výbuchové krizi (7 pacientů během prvních 6 měsíců 2 pacientů do 6 až 12 měsíců 2 pacienty během 12 až 18 měsíců a 1 pacienta do 18 až 24 měsíců), zatímco dva pacienti na rameni nilotinibu postupovali buď k zrychlené fázi nebo výbuchu krize (oba během první 6 měsíců po léčbě).
Tabulka 19: Účinnost (MMR a CCYR) Gleevec ve srovnání s nilotinibem v nově diagnostikovaném pH CML-CP
| Gleevec 400 mg once daily N = 283 | Nilotinib 300 mg dvakrát denně N = 282 | |
| MMR po 12 měsících (95% CI) | 22% (NULL,6 27,6) | 44% (NULL,4 50,3) |
| P-hodnota a | <0.0001 | |
| CCyr b o 12 měsíců (95% CI) | 65% (NULL,2 70,6) | 80% (NULL,0 84,6) |
| MMR po 24 měsících (95% CI) | 38% (NULL,8 43,4) | 62% (NULL,8 67,4) |
| CCyr b o 24 měsíců (95% CI) | 77% (NULL,7 81,8) | 87% (NULL,4 90,6) |
| Zkratky: CCYR Úplná cytogenetická odpověď; MMR hlavní molekulární odpověď; PH CML-CP Philadelphia Chromozom pozitivní chronická myeloidní leukémie-chronická fáze. a Test CMH stratifikovaný společností Sokal Risk Group. b CCyr: 0% Ph+ metaphases. Cytogenetická odpověďs were based on the percentage of Ph-positive metaphases among greater than or equal to 20 metaphase cells in each bone marrow sample. |
O 60 měsíců MMR bylo dosaženo 60% pacientů na Gleevec a 77% pacientů na nilotinibu.
Střední celkové přežití nebylo dosaženo v žádné paži. V době 60měsíční konečné analýzy byla odhadovaná míra přežití 91,7% u pacientů na GLEEVEC a 93,7% u pacientů na nilotinibu.
Pozdní chronická fáze CML a Advanced Stage CML
Byly provedeny tři mezinárodní studie s jednorožkou fází s jedním ramenem za účelem stanovení bezpečnosti a účinnosti GLEEVEC u pacientů s PH CML: 1) v chronické fázi po selhání terapie IFN 2) u zrychlené fázové onemocnění nebo 3) v myeloidní výbuchové krizi. Asi 45% pacientů byly ženy a 6% černých. V klinických studiích bylo 38% až 40% pacientů vyšší nebo rovno 60 let a 10% až 12% pacientů bylo vyšší nebo rovno 70 let věku.
Chronická fáze předchozí léčba interferonu alfa
532 pacientů bylo léčeno při počáteční dávce 400 mg; Byla povolena eskalace dávky na 600 mg. Pacienti byli distribuováni ve třech hlavních kategoriích podle jejich reakce na předchozí interferon: selhání (do 6 měsíců) nebo ztráta úplné hematologické odpovědi (29%) selhání (do 1 roku) nebo ztráty hlavní cytogenetické odpovědi (35%) nebo intolerance na interferonu (36%). Pacienti dostávali medián 14 měsíců předchozí terapie IFN v dávkách větších nebo rovných 25 x 106 jednotkách/týden a byli všichni v pozdní chronické fázi se střední dobou z diagnózy 32 měsíců. Účinnost byla hodnocena na základě míry hematologické odpovědi a zkouškami kostní dřeně za účelem posouzení rychlosti hlavní cytogenetické odpovědi (až 35% metafáz pH) nebo CCYR (0% pH metafáz). Střední doba léčby byla 29 měsíců s 81% pacientů léčených po dobu delší než 24 měsíců (maximum = 31,5 měsíce). Výsledky účinnosti jsou uvedeny v tabulce 20. Potvrzená hlavní míra cytogenetické odezvy byla vyšší u pacientů s intolerancí IFN (66%) a cytogenetickým selháním (64%) než u pacientů s hematologickým selháním (47%). Hematologická odpověď byla dosažena u 98% pacientů s cytogenetickým selháním 94% pacientů s hematologickým selháním a 92% pacientů s inteligencemi IFN.
Zrychlená fáze
Bylo zařazeno 235 pacientů s zrychleným fázovým onemocněním. Tito pacienti splnili jedno nebo více z následujících kritérií: větší nebo rovna 15% - méně než 30% výbuchů v PB nebo BM; větší nebo rovna 30% výbuchům promyelocytů v Pb nebo BM; větší nebo rovna 20% bazofilů v PB; a méně než 100 x 10 9 /L platelets. The first 77 patients were started at 400 mg with the remaining 158 patients starting at 600 mg.
Účinnost byla hodnocena primárně na základě míry hematologické odpovědi uváděné jako buď úplná hematologická odpověď, žádný důkaz leukémie (tj. Clearance výbuchů z dřeně a krve, ale bez úplného zotavení periferní krve jako u úplných odpovědí) nebo se vrátí k chronické fázi CML. Byly také vyhodnoceny cytogenetické odpovědi. Střední doba léčby byla 18 měsíců s 45% pacientů léčených po dobu delší než 24 měsíců (maximum = 35 měsíců). Výsledky účinnosti jsou uvedeny v tabulce 20. Míra odezvy v zrychlené fázi CML byla vyšší pro skupinu dávky 600 mg než u 400 mg skupiny: hematologická odpověď (75% vs. 64%) potvrdila a nepotvrdila hlavní cytogenetická odpověď (31% vs 19%).
Myeloidní výbuchová krize
Bylo zařazeno 260 pacientů s krizí myeloidního výbuchu. Tito pacienti měli větší nebo rovna 30% výbuchům v PB nebo BM a/nebo extramedulárním postižení jiném než slezině nebo játra; 95 (37%) obdrželo předchozí chemoterapii pro léčbu buď zrychlené fázové nebo výbudové krize (předem ošetřených pacientů), zatímco 165 (63%) nemělo (neléčené pacienty). Prvních 37 pacientů bylo zahájeno při 400 mg; Zbývajících 223 pacientů bylo zahájeno při 600 mg. Účinnost byla hodnocena primárně na základě rychlosti hematologické odpovědi uváděné jako buď úplná hematologická odpověď, žádný důkaz leukémie nebo návrat do chronické fáze CML pomocí stejných kritérií jako pro studii v zrychlené fázi. Byly také hodnoceny cytogenetické odpovědi. Střední doba léčby byla 4 měsíce s 21% pacientů léčených po dobu větší nebo rovných 12 měsíců a 10% po dobu delší než 24 měsíců (maximálně = 35 měsíců). Výsledky účinnosti jsou uvedeny v tabulce 20. Míra hematologické odpovědi byla vyšší u neléčených pacientů než u léčených pacientů (36% oproti 22%) a ve skupině dostávala počáteční dávku 600 mg spíše než 400 mg (33% vs. 16%). Potvrzená a nepotvrzená míra hlavní cytogenetické odezvy byla také vyšší pro skupinu dávky 600 mg než pro skupinu dávky 400 mg (17% vs. 8%).
Tabulka 20: Odpověď ve studiích chronické myeloidní leukémie
| Selhání chronické fáze IFN (n = 532) 400 mg | Zrychlená fáze (n = 235) 600 mg n = 158 400 mg n = 77 % of patients [CI 95%] | Myeloidní výbuchová krize (n = 260) 600 mg n = 223 400 mg n = 37 | |
| Hematologická odpověď 1 | 95% [92.3-96.3] | 71% [64,8-76,8] | 31% [25.2-36.8] |
| Úplná hematologická odpověď (CHR) | 95% | 38% | 7% |
| Žádný důkaz leukémie (Nel) | Nelze použít | 13% | 5% |
| Návrat do chronické fáze (RTC) | Nelze použít | 20% | 18% |
| Hlavní cytogenetická odpověď 2 (Nepotvrzené 3 ) | 60% [55,3-63,8] (65%) | 21% [16.2-27.1] (27%) | 7% [4.5-11.2] (15%) |
| Complete4 (nepotvrzeno 3 ) | 39% (47%) | 16% (20%) | 2% (7%) |
| Zkratky: BM Bone Marrow; Periferní krev PB. 1 Hematologická odpověď criteria (all responses to be confirmed after greater than or equal to 4 weeks): CHR: Chronická fázová studie [WBC menší než 10 x 10 9 /L platelet less than 450 x 10 9 /L myelocytes + metamyelocytes less than 5% in blood no blasts and promyelocytes in blood basophils less than 20% no extramedullary involvement] and in the accelerated and blast crisis studies [absolute neutrophil count (ANC) greater than or equal to 1.5 x 10 9 /L platelets greater than or equal to 100 x 10 9 /L no blood blasts BM blasts less than 5% and no extramedullary disease]. Nel: Stejná kritéria jako pro CHR, ale ANC větší nebo rovna 1 x 10 9 /L and platelets greater than or equal to 20 x 10 9 /L (accelerated and blast crisis studies). RTC: Méně než 15% výbuchů BM a PB méně než 30% výbuchů promyelocytů v BM a PB méně než 20% bazofilů v PB bez extramedulárního onemocnění jiných než slezina a játra (zrychlené a výbuchové krizové studie). 2 Cytogenetická odpověď criteria (potvrzeno po větší nebo rovné 4 týdnech): Kompletní (0%pH metafáz) nebo částečné (1%- 35%). Hlavní odpověď (0%-35%) kombinuje jak úplné, tak částečné reakce. 3 Nepotvrzené cytogenetic response je založeno na jediném cytogenetickém hodnocení kostní dřeně, proto nepotvrzené úplné nebo částečné cytogenetické reakce mohly mít menší cytogenetickou odpověď na následné hodnocení kostní dřeně. 4 Kompletní cytogenetická odpověď potvrzená druhou cytogenetickým hodnocením kostní dřeně provedl alespoň 1 měsíc po počáteční studii kostní dřeně. |
Střední čas na hematologickou odpověď byl 1 měsíc. V pozdní chronické fázi CML se střední dobou od diagnózy 32 měsíců odhaduje 87,8% pacientů, kteří dosáhli MCYR, udržovali svou odpověď 2 roky po dosažení jejich počáteční reakce. Po 2 letech léčby nebylo odhadem 85,4% pacientů bez progrese do AP nebo BC a odhadované celkové přežití bylo 90,8% [88,3 93,2]. Při zrychlené fázi byla mediánová trvání hematologické odpovědi 28,8 měsíce u pacientů s počáteční dávkou 600 mg (NULL,5 měsíce po dobu 400 mg). Odhaduje se, že 63,8% pacientů, kteří dosáhli MCYR, bylo stále v reakci na 2 roky po dosažení počáteční reakce. Střední přežití bylo 20,9 [13,1 34,4] měsíce pro skupinu 400 mg a dosud nebylo dosaženo pro skupinu 600 mg (p = 0,0097). Odhaduje se 46,2% [34,7 57,7] vs. 65,8% [58,4 73,3] pacientů po 2 letech léčby ve 400 mg oproti 600 mg dávkách. V BLAST CHIS je odhadovaná střední doba trvání hematologické odpovědi 10 měsíců. Odhaduje se, že 27,2% [16,8 37,7] hematologických respondentů si zachovalo svou odpověď 2 roky po dosažení jejich počáteční reakce. Střední přežití bylo 6,9 [5,8 8,6] měsíce a odhaduje se, že 18,3% [13,4 23,3] všech pacientů s výbuchovou krizí bylo naživu 2 roky po zahájení studia.
Výsledky účinnosti byly podobné u mužů a žen a u pacientů mladších a starších než 65 let. Odpovědi byly pozorovány u černých pacientů, ale bylo příliš málo černých pacientů, aby umožnilo kvantitativní srovnání.
Pediatric CML
Celkem 51 pediatrických pacientů s nově diagnostikovaným a neošetřeným CML v chronické fázi bylo zapsáno do otevřené multicentrické studie s jedním ramenem 2. Pacienti byli léčeni Gleevec 340 mg/m²/den bez přerušení v nepřítomnosti toxicity omezující dávku. Kompletní hematologická odpověď (CHR) byla pozorována u 78% pacientů po 8 týdnech terapie. Úplná míra cytogenetické odezvy (CCYR) byla 65% srovnatelná s výsledky pozorovanými u dospělých. Kromě toho byla pozorována částečná cytogenetická odpověď (PCYR) u 16%. Většina pacientů, kteří dosáhli CCYR, vyvinula CCYR mezi měsíci 3 až 10 se střední dobou na reakci na základě odhadu Kaplan-Meiera 6,74 měsíců. Pacienti bylo dovoleno být odstraněno z terapie protokolu, aby podstoupili alternativní terapii, včetně transplantace hematopoetických kmenových buněk. Třicet jedna dětí dostalo transplantaci kmenových buněk. Z 31 dětí 5 bylo po progresi onemocnění transplantováno po progresi onemocnění a 1 se stáhla ze studie během léčby prvního týdne a dostávala transplantaci přibližně 4 měsíce po stažení. Dvacet pět dětí se stáhlo z terapie protokolu, aby podstoupily transplantaci kmenových buněk po obdržení mediánu 9 dvaceti osmin denních kurzů (rozmezí 4 až 24). Z 25 pacientů 13 (52%) mělo CCYR a 5 (20%) mělo PCYR na konci terapie protokolu.
Jedna studie s otevřenou značkou s jedním ramenem zařadila 14 dětských pacientů s PH chronickou fází CML opakující se po transplantaci kmenových buněk nebo rezistentní vůči interferonu-alfa terapii. Tito pacienti dosud neobdrželi Gleevec a pohybovali se ve věku od 3 do 20 let; 3 byly 3 až 11 let ve věku 12 až 18 let a 2 byly více než 18 let. Pacienti byli léčeni v dávkách 260 mg/m²/den (n = 3) 340 mg/m²/den (n = 4) 440 mg/m²/den (n = 5) a 570 mg/m²/den (n = 2). U 13 pacientů, u nichž jsou cytogenetické údaje k dispozici, 4 dosáhly hlavní cytogenetické odpovědi 7 dosáhly CCYR a 2 měly minimální cytogenetickou odpověď.
Ve druhé studii dosáhl 2 ze 3 pacientů s PH chronickou fází CML rezistentní na terapii interferonu-alfa v dávkách 242 a 257 mg/m²/den.
Akutní lymfoblastická leukémie
Bylo studováno celkem 48 Philadelphia Chromozom pozitivní akutní lymfoblastickou leukémii (pH ALL) s relapsovaným/refrakterním onemocněním 43, z nichž obdržela doporučenou dávku GleEVEC 600 mg/den. Kromě toho 2 pacienti s relapsovaným/refrakterním pH všichni dostali ve studii fáze 1 Gleevec 600 mg/den.
Potvrzená a nepotvrzená hematologická a cytogenetická odezva u 43 relapsovaných/refrakterních pH všech pacientů studie fáze 2 a u 2 pacientů fáze 1 je uvedena v tabulce 21. Střední doba trvání hematologické odpovědi byla 3,4 měsíce a střední trvání MCYR bylo 2,3 měsíce.
Tabulka 21: Vliv Gleevec na relapsované/refrakterní pH
| Studie fáze 2 (N = 43) n (%) | Studie fáze 1 (N = 2) n (%) | |
| Chr | 8 (19) | 2 (100) |
| V | 5 (12) | |
| RTC/PHR | 11 (26) | |
| McYr | 15 (35) | |
| CCyr | 9 (21) | |
| PC | 6 (14) | |
| Zkratky: CCYR Úplná cytogenetická odpověď; CHR Úplná hematologická odpověď; MCYR hlavní cytogenetická odpověď; Nel žádný důkaz leukémie; PCYR částečná cytogenní odpověď; PH všechny Philadelphia chromozom pozitivní akutní lymfoblastická leukémie; PHR částečná hematologická odpověď; RTC se vrací do chronické fáze. |
Pediatrické všechny
Pediatričtí a mladí dospělí pacienti s velmi vysokým rizikem, kteří jsou definováni jako pacienti s očekávaným pětiletým přežitím bez událostí (EFS) menší než 45%, byli zaregistrováni po indukční terapii na multicentrickou nerandomizovanou kooperativní pilotní protokol.
Bezpečnost a účinnost GLEEVEC (340 mg/m²/den) v kombinaci s intenzivní chemoterapií byla hodnocena u podskupiny pacientů s pH vše. Protokol zahrnoval intenzivní chemoterapii a transplantaci hematopoetických kmenových buněk po 2 kurzech chemoterapie u pacientů s vhodným dárcem rodiny odpovídající HLA. Bylo zařazeno 92 způsobilých pacientů s pH. Střední věk byl 9,5 let (1 až 21 let: 2,2% mezi 1 a méně než 2 roky 56,5% mezi 2 a méně než 12 lety 34,8% mezi 12 a méně než 18 lety a 6,5% mezi 18 a 21 lety). Šedesát čtyři procent bylo 75% bílých 9% bylo asijského/tichomořského ostrovanu a 5% černých. U 5 po sobě jdoucích kohort pacientů byla expozice Gleevec systematicky zvýšena dřívějším zavedením a prodlouženým dobou trváním. Cohort 1 obdržela nejnižší intenzitu a kohorta 5 obdržela nejvyšší intenzitu expozice Gleevec.
Bylo 50 pacientů s pH přiřazeno k kohortě 5, z nichž všichni dostali Gleevec plus chemoterapii; 30 bylo ošetřeno výhradně chemoterapií a Gleevec a 20 obdržených chemoterapií plus Gleevec a poté podstoupily transplantaci hematopoetických kmenových buněk následovanou další léčbou Gleevic. Pacienti v kohortě 5 léčených chemoterapií dostávali nepřetržitou denní expozici Gleevec, který začal v prvním průběhu chemoterapie po indukci, která pokračuje v průběhu udržovacích cyklů 1 až 4 chemoterapie. Během cyklů údržby bylo 5 až 12 Gleevec podáno 28 dní z 56denního cyklu. Pacienti, kteří podstoupili transplantaci hematopoetických kmenových buněk, dostali 42 dní Gleevic před HSCT a 28 týdnů (196 dní) Gleevic po okamžitém po dobu transplantace po transplantaci. Odhadované čtyřleté EF pacientů v kohortě 5 byly 70% (95% CI: 54 81). Střední doba sledování pro EFS v datovém omezení v kohortě 5 byla 40,5 měsíce.
Myelodysplastická/myeloproliferativní onemocnění
Byla provedena otevřená multicentrická klinická studie fáze 2 testování Gleevec u různých populací pacientů trpících život ohrožujícími chorobami spojenými se soupravou ABL nebo PDGFR protein tyrosin kinázy. Tato studie zahrnovala 7 pacientů s MDS/MPD. Tito pacienti byli léčeni Gleevec 400 mg denně. Věk zapsaných pacientů se pohyboval od 20 do 86 let. Dalších 24 pacientů s MDS/MPD ve věku 2 až 79 let bylo hlášeno ve 12 zveřejněných případových zprávách a klinické studii. Tito pacienti také dostávali GLEEVEC v dávce 400 mg denně, s výjimkou tří pacientů, kteří dostávali nižší dávky. Z celkové populace 31 pacientů léčených na MDS/MPD 14 (45%) dosáhlo úplné hematologické odpovědi a 12 (39%) hlavní cytogenetické odpovědi (včetně 10 s CCYR). Šestnáct pacientů mělo translokaci zahrnující chromozom 5Q33 nebo 4Q12, což mělo za následek opětovné uspořádání genu PDGFR. Všichni tito pacienti reagovali hematologicky (13 zcela). Cytogenetická odpověď byla hodnocena u 12 ze 14 pacientů, z nichž všichni reagovali (10 pacientů zcela). Pouze 1 (7%) ze 14 pacientů bez translokace spojené s opětovným uspořádáním genu PDGFR dosáhlo úplné hematologické odpovědi a žádný z nich nedosáhl hlavní cytogenetické odpovědi. Další pacient s opětovným uspořádáním genu PDGFR v molekulárním relapsu po transplantaci kostní dřeně reagoval molekulárně. Střední doba terapie byla 12,9 měsíců (NULL,8 až 26,7) u 7 pacientů léčených ve studii fáze 2 a pohybovala se mezi 1 týdnem a více než 18 měsíci při reakci pacientů v publikované literatuře. Výsledky jsou uvedeny v tabulce 22. Dodávání odezvy pacientů s fází 2 se pohybovalo od 141 dnů do 457 dnů.
Tabulka 22: Odpověď v MDS/MPD
| Počet pacientů n | Úplná hematologická odpověď n (%) | Hlavní cytogenetická odpověď N (%) | |
| Celková populace | 31 | 14 (45) | 12 (39) |
| Translokace chromozomu 5 | 14 | 11 (79) | 11 (79) |
| Translokace chromozomu 4 | 2 | 2 (100) | 1 (50) |
| Ostatní/žádná translokace | 14 | 1 (7) | 0 |
| Molekulární relaps | 1 | NE | NE |
| Zkratky: Ne nelze hodnotit; MDS/MPD myelodysplastic/myeloproliferativní onemocnění. |
Agresivní systémová mastocytóza
Jedna studie s otevřenou multicentrickou fází 2 bylo provedeno testování Gleevec u různých populací pacientů s život ohrožujícími chorobami spojenými se soupravou ABL nebo PDGFR proteinovou tyrosinkinázy. Tato studie zahrnovala 5 pacientů s ASM léčeným 100 mg až 400 mg Gleevec denně. Těchto 5 pacientů se pohybovalo od 49 do 74 let. Kromě těchto 5 pacientů 10 publikovaných případů a série případů popisuje použití Gleevec u 23 dalších pacientů s ASM ve věku 26 až 85 let, kteří také denně dostávali 100 mg až 400 mg Gleevic.
Cytogenetické abnormality byly hodnoceny u 20 z 28 ASM pacientů léčených Gleevekem z publikovaných zpráv a ve studii fáze 2. Sedm z těchto 20 pacientů mělo FIP1L1-PDGFRa; Fusion kináza (nebo delece chic2). Pacienti s touto cytogenetickou abnormalitou byli převážně muži a měli eosinofilie spojené s jejich systémovým onemocněním žírných buněk. Dva pacienti měli mutaci soupravy v juxtambránové oblasti (jeden Phe522CYS a jeden K509i) a čtyři pacienti měli mutaci D816V C-KIT (nepovažovali se na Gleevec) s souběžnou CML.
Z 28 pacientů léčených pro ASM 8 (29%) dosáhlo úplné hematologické odpovědi a 9 (32%) částečnou hematologickou odpověď (PHR) (61%celková míra odezvy). Střední trvání terapie Gleevic pro 5 pacientů ASM ve studii fáze 2 bylo 13 měsíců (rozmezí 1,4 až 22,3 měsíce) a mezi 1 měsícem a více než 30 měsíci u reagujících pacientů popsaných v publikované lékařské literatuře. Shrnutí míry odezvy na GLEEVEC v ASM je uvedeno v tabulce 23. Dragace reakce pacientů s literaturou se pohybovala od 1 do 30 měsíců.
Tabulka 23: Odpověď v ASM
| Cytogenetická abnormalita | Počet pacientů n | Úplná hematologická odpověď n (%) | Částečná hematologická odpověď n (%) |
| FIP1L1-PDGFRA Fusion Kinase (nebo delece Chic2) | 7 | 7 (100) | 0 |
| Mutace juxtamembranu | 2 | 0 | 2 (100) |
| Neznámá nebo žádná cytogenetická abnormalita | 15 | 0 | 7 (44) |
| Mutace D816V | 4 | 1* (25) | 0 |
| Celkový | 28 | 8 (29) | 9 (32) |
| Zkratky: ASM agresivní systémová mastocytóza; Receptor růstového faktoru odvozeného od PDGFR. *Pacient měl souběžnou chronickou myeloidní leukémii CML a ASM. |
Gleevec has not been shown to be effective in patients with less aggressive forms of systemic mastocytosis (SM). Gleevec is therefore not recommended for use in patients with cutaneous mastocytosis indolent systemic mastocytosis (smoldering SM or isolated bone marrow mastocytosis) SM with an associated clonal hematological non-mast cell lineage disease mast cell leukemia mast cell sarcoma or extracutaneous mastocytoma. Patients that harbor the Mutace D816V of c-Kit are not sensitive to Gleevec and should not receive Gleevec.
Hypereosinofilní syndrom/chronická eozinofilní leukémie
Jedna studie s otevřenou multicentrickou fází 2 byla provedena testováním Gleevec u různých populací pacientů s nemocemi životaschopných životů spojených se soupravou ABL nebo PDGFR proteinovou tyrosin kinázy. Tato studie zahrnovala 14 pacientů s hypereozinofilním syndromem/chronickou eozinofilní leukémií (HES/CEL). Pacienti HES byli léčeni 100 mg až 1000 mg Gleevec denně. Věk těchto pacientů se pohyboval od 16 do 64 let. Dalších 162 pacientů s HES/CEL ve věku 11 až 78 let bylo hlášeno ve 35 zveřejněných případových zprávách a sériích případech. Tito pacienti dostávali GLEEVEC v dávkách 75 mg až 800 mg denně. Míra hematologické odezvy je shrnuta v tabulce 24. Dragace reakce na pacienty s literaturou se pohybovalo od 6 týdnů do 44 měsíců.
Tabulka 24: Odpověď v HES/CEL
| Cytogenetická abnormalita | Počet pacientů | Úplná hematologická odpověď n (%) | Částečná hematologická odpověď n (%) |
| Pozitivní fip1l1-pdgfra fúzní kináza | 61 | 61 (100) | 0 |
| Negativní fip1l1-pdgfra fúzní kináza | 56 | 12 (21) | 9 (16) |
| Neznámá cytogenetická abnormalita | 59 | 34 (58) | 7 (12) |
| Celkový | 176 | 107 (61) | 23 (13) |
| Zkratky: CEL Chronická eosinofilní leukémie; Hypereosinofilní syndrom; Receptor růstového faktoru odvozeného od PDGFR. |
Dermatofibrosarcoma ProTuberans
Dermatofibrosarcoma ProTuberans (DFSP) is a cutaneous soft tissue sarcoma. It is characterized by a translocation of chromosomes 17 and 22 that results in the fusion of the collagen type 1 alpha 1 gene and the PDGF B gene.
Studie multicentrické fáze 2 byla provedena testování Gleevec s otevřenou značkou u rozmanité populace pacientů s nemocemi životaschopných životů spojených s ABL soupravou nebo PDGFR proteinovou kinázami. Tato studie zahrnovala 12 pacientů s DFSP, kteří byli léčeni denně Gleevec 800 mg (věkové rozmezí 23 až 75 let). DFSP byl metastatický lokálně opakující se po počáteční chirurgické resekci a nepovažoval se za přístupný další operaci v době vstupu do studie. Dalších 6 pacientů s DFSP léčených GLEEVEC je hlášeno v 5 zveřejněných hlášeních o případech jejich věku v rozmezí od 18 měsíců do 49 let. Celková populace léčená pro DFSP proto zahrnuje 18 pacientů 8 z nich s metastatickým onemocněním. Dospělí pacienti hlášeni v publikované literatuře byli léčeni buď 400 mg (4 případy) nebo 800 mg (1 případ) Gleevec denně. Jeden dětský pacient obdržel 400 mg/m²/denně následně na 520 mg/m²/denně. Deset pacientů mělo přeskupení genu PDGF B 5 nemělo k dispozici žádnou cytogenetiku a 3 měly komplexní cytogenetické abnormality. Odpovědi na léčbu jsou popsány v tabulce 25.
Tabulka 25: Odpověď v DFSP
Vedlejší účinky jaderné medicíny na test jaderné medicíny
| Počet pacientů (n = 18) | % | |
| Úplná odpověď | 7 | 39 |
| Částečná reakce* | 8 | 44 |
| Celkový responders | 15 | 83 |
| *5 pacientů propustilo nemoci bez chirurgického zákroku. |
Dvanáct z těchto 18 pacientů buď dosáhlo úplné odpovědi (7 pacientů) nebo bylo bez chirurgického zákroku bez onemocnění po částečné odpovědi (5 pacientů včetně jednoho dítěte) pro celkovou úplnou míru odezvy 67%. Další 3 pacienti dosáhli částečné odpovědi na celkovou míru odezvy 83%. Z 8 pacientů s metastatickým onemocněním pět odpovědělo (62%) tři z nich zcela (37%). Pro 10 pacientů s studiem s přeuspořáním genu PDGF B došlo k 4 a 6 částečným reakcím. Střední doba reakce ve studii fáze 2 byla 6,2 měsíce s maximální dobou trvání 24,3 měsíce, zatímco v publikované literatuře se pohybovala mezi 4 týdny a více než 20 měsíci.
Gastrointestinální stromální nádory
Neresekovatelný a/nebo maligní metastatickou podstatu
U pacientů s neresekovatelným nebo metastatickým maligním MOST byly provedeny dvě otevřené randomizované studie o nadnárodní fázi 3. Oba návrhy studie byly podobné umožňující předdefinovanou kombinovanou analýzu bezpečnosti a účinnosti. Do těchto dvou studií bylo zapsáno celkem 1640 pacientů a randomizovalo 1: 1, aby dostávaly buď 400 mg nebo 800 mg perorálně denně, až do progrese onemocnění nebo nepřijatelná toxicita. Pacienti ve skupině 400 mg denní léčby, kteří zažili progresi onemocnění, bylo povoleno křížení, aby se léčila s 800 mg denně. Studie byly navrženy tak, aby porovnávaly míru přežití bez odezvy a celkové přežití mezi dávkovými skupinami. Střední věk při vstupu pacientů byl 60 let. Muži tvořili 58% zapsaných pacientů. Všichni pacienti měli patologickou diagnózu pozitivního neresekovatelného a/nebo metastatického maligního Gistu CD117.
Primárním cílem obou studií bylo vyhodnotit přežití bez progrese (PFS) se sekundárním cílem celkového přežití (OS) v jedné studii nebo celkovém přežití se sekundárním cílem PF v druhé studii. Byla provedena plánovaná analýza OS i PF z kombinovaných datových sad z těchto dvou studií. Výsledky této kombinované analýzy jsou uvedeny v tabulce 26.
Tabulka 26: Celková přežití bez přežití a míra odezvy nádoru ve studiích GIST fáze 3
| Gleevec 400 mg N = 818 | Gleevec 800 mg N = 822 | |
| Přežití bez progrese (měsíce) | ||
| Medián | 18.9 | 23.2 |
| 95% CI | 17.4-21.2 | 20.8-24,9 |
| Celkové přežití (měsíce) | 49.0 | 48.7 |
| 95% CI | 45.3-60.0 | 45.3-51.6 |
| Nejlepší celková odezva na nádor | ||
| Úplná odpověď | 43 (NULL,3%) | 41 (NULL,0%) |
| Částečná reakce | 377 (NULL,1%) | 402 (NULL,9%) |
| Zkratka: Gist Gastrointestinální stromální nádory. |
Medián follow up for the combined studies was 37.5 months. There were no observed differences in overall survival between the treatment groups (p = 0.98). Patients who crossed over following disease progression from the 400 mg/day treatment group to the 800 mg/day treatment group (n = 347) had a 3.4 month median and a 7.7 month mean exposure to Gleevec following crossover.
Jedna s otevřenou nadnárodní studii fáze 2 byla provedena u pacientů se soupravou (CD117) pozitivní neresekovatelný nebo metastatický maligní podstata. V této studii bylo 147 pacientů zaregistrováno a randomizováno, aby dostávali buď 400 mg nebo 600 mg perorálně každý den po dobu až 36 měsíců. Primárním výsledkem studie byla míra objektivní odezvy. Při vstupu se měly měřit nádory v alespoň jednom místě onemocnění a charakterizace odpovědi byla založena na kritériích jihozápadní onkologické skupiny (SWOG). Mezi dvěma dávkovými skupinami nebyly žádné rozdíly v míře odezvy. Míra odezvy byla 68,5% pro skupinu 400 mg a 67,6% pro skupinu 600 mg. Střední doba na odpověď byl 12 týdnů (rozsah byl 3 až 98 týdnů) a odhadovaná střední doba reakce je 118 týdnů (95% CI: 86 nebylo dosaženo).
Adjuvantní léčba podstaty
V adjuvantním nastavení byl Gleevec zkoumán v multicentrické dvojitě slepé placebem kontrolované randomizované studii zahrnující 713 pacientů (studie 1). Pacienti byli randomizováni jeden na jeden do Gleevec při 400 mg/den nebo odpovídající placebo po dobu 12 měsíců. Věk těchto pacientů se pohyboval od 18 do 91 let. Byli zahrnuti pacienti, kteří měli histologickou diagnózu primárního proteinu exprimujícího soupravy primární GIST pomocí imunochemie a velikosti nádoru větší než nebo rovnou 3 cm v maximální dimenzi s úplnou hrubou resekcí primární GIST do 14 až 70 dnů před registrací.
Přežití bez recidivy (RFS) bylo definováno jako čas od data randomizace do data opakování nebo smrti z jakékoli příčiny. V plánované prozatímní analýze byla medián sledování 15 měsíců u pacientů bez události RFS; Ve 12měsíčním rameni Gleevec bylo 30 RFS událostí ve srovnání se 70 událostmi RFS v placebovém rameni s poměrem rizika 0,398 (95% CI: 0,259 0,610) P menší než 0,0001. Po prozatímní analýze RFS 79 z 354 pacientů zpočátku byla náhodně randomizována na rameno s placebem způsobilé přejít na 12měsíční rameno Gleevic. Sedmdesát dva z těchto 79 pacientů se následně překročilo k terapii Gleevec. V aktualizované analýze bylo průměrné sledování u pacientů bez události RFS 50 měsíců. Ve 12měsíčním rameni Gleevec bylo 74 (21%) událostí RFS ve srovnání s 98 (28%) událostmi v placebovém rameni s poměrem rizika 0,718 (95%CI: 0,531-0,971) (obrázek 3). Střední sledování pro OS u pacientů, kteří stále žijí, bylo 61 měsíců. V 12měsíčních ramenech Gleevec a placebech s poměrem rizika 0,816 (95%CI: 0,488-1,365) bylo 26 (7%) a 33 (9%) úmrtí.
Obrázek 3: Studie 1 Přežití bez recidivy (populace ITT)
A second randomized multicenter open-label Phase 3 trial in the adjuvant setting (Study 2) compared 12 months of Gleevec treatment to 36 months of Gleevec treatment at 400 mg/day in adult patients with KIT (CD117) positive GIST after surgical resection with one of the following: tumor diameter greater than 5 cm and mitotic count greater than 5/50 high power fields (HPF) or tumor diameter greater than 10 cm and Jakýkoli mitotický počet nebo nádor jakékoli velikosti s mitotickým počtem větší než 10/50 hpf nebo nádory praskly do peritoneální dutiny. Ve studii bylo celkem 397 pacientů randomizováno s 199 pacienty na 12měsíčním léčebném rameni a 198 pacienty na 36měsíční léčebné rameni. Střední věk byl 61 let (rozmezí 22 až 84 let).
RFS byl definován jako čas od data randomizace k datu opakování nebo smrti z jakékoli příčiny. Střední sledování u pacientů bez události RFS bylo 42 měsíců. V rameni 12měsíčního ošetření a 50 (25%) RFS bylo v 36měsíčním ošetřovaném rameni 84 (42%) RFS událostí. Třicet šest měsíců léčby GLEEVEC významně prodloužilo RFS ve srovnání s 12 měsíci léčby GLEEVEC s poměrem rizika 0,46 (95% CI: 0,32 0,65) P menší než 0,0001 (obrázek 4).
Střední sledování pro celkové přežití (OS) u pacientů, kteří stále žijí, bylo 48 měsíců. Ve 12měsíční léčebné rameni došlo k 25 (13%) úmrtím a 12 (6%) úmrtí v 36měsíční léčebné rameni. Třicet šest měsíců léčby GLEEVEC významně prodloužilo OS ve srovnání s 12 měsíci léčby GleEVEC s poměrem rizika 0,45 (95% CI: 0,22 0,89) P = 0,0187 (obrázek 5).
Obrázek 4: Studie 2 Přežití bez recidivy (populace ITT)
Obrázek 5: Studie 2 Celkové přežití (populace ITT)
Reference
OSHA nebezpečné léky. OSHA. [Přístup k 20. září- 2013 z https://www.osha.gov/sltc/hazardousdrugs/index.html]
Informace o pacientovi pro Gleevec
Dávkování a podávání
Poraďte pacientům, aby si vzali Gleevec přesně tak, jak předepsali, aby nezměnili svou dávku nebo přestali brát Gleevec, pokud jim není řečeno, aby tak učinili lékařem. Pokud pacient zmeškal dávku Gleevic, měl by pacient vzít další naplánovanou dávku v pravidelném čase. Pacient by neměl užívat dvě dávky současně. Poraďte pacientům, aby si vzali Gleevec s jídlem a velkou sklenkou vody [viz Dávkování a podávání ].
Retence a otoky tekutin
Informujte pacienty o možnosti rozvoje otoku a retence tekutin. Doporučujte pacientům, aby kontaktovali svého poskytovatele zdravotní péče, pokud dojde k neočekávanému rychlému přírůstku na váze [viz Varování a preventivní opatření ].
Hepatotoxicita
Informujte pacienty o možnosti rozvoje abnormalit jaterních funkcí a vážné jaterní toxicity. Doporučujte pacientům, aby okamžitě kontaktovali svého poskytovatele zdravotní péče, pokud se objeví známky selhání jater, včetně krvácení nebo modřin Varování a preventivní opatření ].
Těhotenství And Breastfeeding
Poraďte pacientům, aby informovali svého lékaře, pokud jsou nebo si myslí, že mohou být těhotné. Poraďte se ženám reprodukčního potenciálu, aby se zabránilo otěhotnění při užívání Gleeveku. Pacienti s reprodukčním potenciálem užívajícím Gleevic by měli používat vysoce účinnou antikoncepci během léčby a čtrnáct dní po zastavení léčby Gleevic [viz viz Použití v konkrétních populacích ]. Avoid breastfeeding during treatment and for 1 month after the last dose [vidět Použití v konkrétních populacích ].
Lékové interakce
Gleevec and certain other medicines such as warfarin erythromycin and phenytoin including over-the-counter medications such as herbal products can interact with each other. Advise patients to tell their doctor if they are taking or plan to take iron supplements. Avoid grapefruit juice and other foods known to inhibit CYP3A4 while taking Gleevec [vidět Lékové interakce ].
Dětský
Poraďte se pacientům, že retardace růstu byla hlášena u dětí a pre-adolescentů, kteří dostávali Gleevec. Dlouhodobé účinky prodloužené léčby Gleevec na růst u dětí nejsou známy. Proto pečlivě sledujte růst u dětí při léčbě Gleevic [viz Varování a preventivní opatření ].
Řízení a používání strojů
Doporučují pacientům, že mohou během léčby Gleevic zažít vedlejší účinky, jako je závratě rozmazaná vidění nebo somnolence. Proto opatrně pacienti o řízení automobilu nebo operačního stroje [viz Varování a preventivní opatření ].