Informace Na Stránce Nepředstavují Lékařskou Radu. Nic Neprodáváme. Přesnost Překladu Není Zaručena. Zřeknutí Se Odpovědnosti



Erytrocin stearate

Shrnutí drog

Co je erytrocin stearate?

Erytrocin Stearate (erytromycin stearate) je antibiotikum používané k léčbě nebo prevenci široké škály bakteriálních infekcí.

Jaké jsou vedlejší účinky stearátu erytrocinu?

Erytrocin stearate



  • kopřivka
  • potíže s dýcháním
  • Otok vašeho obličeje rty jazyk nebo krk
  • trvalá nevolnost nebo zvracení
  • žloutnutí očí nebo kůže (žloutenka)
  • Tmavá moč
  • Těžká bolest žaludku
  • neobvyklá únava
  • svalová slabost
  • Slurred řeč
  • rozmazané vidění
  • spadnutí víček a
  • Ztráta sluchu

Získejte lékařskou pomoc okamžitě, pokud máte výše uvedené příznaky.



Mezi běžné vedlejší účinky stearátu erytrocinu patří zvracení nevolnosti bolest žaludku nebo ztráta křeče chuti k jídlu a pálení žáhy.

Pokud máte následující vážné vedlejší účinky, vyhledejte lékařskou péči nebo zavolejte na číslo 911:



  • Vážné příznaky očí, jako je ztráta náhlého vidění rozmazané vidění vidění Vision Vision Eye Eye Eye Eye Eye Eye Eye Eye nebo vidět halos kolem světel;
  • Vážné příznaky srdce, jako je rychlé nepravidelné nebo bušení srdečního rytmu; třepování v hrudi; dušnost; a náhlé závratě lightheadness nebo omdlení;
  • Těžká zmatek bolesti hlavy zkažená paže řeči nebo slabost nohou Potíže se ztrátou chůze pocitu koordinace Nestabilní velmi tuhé svaly vysoké horečky bohaté pocení nebo třes.

Tento dokument neobsahuje všechny možné vedlejší účinky a mohou dojít k jiným. Další informace o vedlejších účincích najdete u svého lékaře.

Dávkování pro erytrocin stearate

Obvyklá dospělá dávka stearátu erytrocinu je 250 mg každých 6 hodin; nebo 500 mg každých 12 hodin.

Jaké léčivé látky nebo doplňky interagují s erytrocinem stearátem?

Erytrocin stearát může interagovat s alkaloidy Eletriptan Ergot Alkaloids Heart Rhythm Léky Ivabradin amiodaron dofetilid gatifloxacin moxifloxacin propafenon quinidin sotalol thioridazin Colchicine Digoxin živé vakcíny Warfarin Azol Antimyšlenky rifamyciny Blokátory vápníkových kanálů Anti -zabavení léky Alfentanil Bromocriptine Buspiron Benzodiazepiny kofein -obsahující léky cilostazol kortikosteroidy cyklosporin eplerenon erektilní dysfunkce Léky eszopiclon felodipin 'statin' léčiva quetiapin takrolimus theofylin tolterodin nebo vinblastin. Řekněte svému lékaři všechny léky a doplňky, které používáte.

Erytrocin Stearate během těhotenství a kojení

Během těhotenství by měl být erytrocin stearát použit pouze v případě předepsání. Některá antibiotika mohou snížit účinnost hormonální antikoncepce. Zeptejte se svého lékaře, zda byste měli při používání tohoto léčiva používat další kontrolu antikoncepce. Tento lék prochází do mateřského mléka. Před kojením se poraďte se svým lékařem.

Další informace

Naše erytrocin stearate (erythromycin stearate) vedlejší účinky drogové centrum poskytuje komplexní pohled na dostupné informace o možných vedlejších účincích při užívání tohoto léku.

Informace o drogách FDA

Popis pro erytrocin stearate

Tablety erytrocinového stearátu filmu (erythromycin stearate tablety USP) jsou antibakteriálním produktem obsahujícím stearátovou sůl erytromycinu v jedinečném filmovém povlaku.

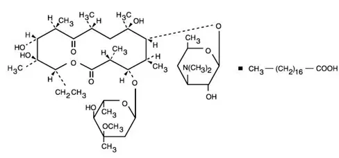
Erytromycin je produkován kmenem Saccharopolyspora erythraea (dříve Streptomyces erythraeus ) a patří do makrolidové skupiny antibiotik. Je to základní a snadno tvoří soli s kyselinami. 37 H 67 ŽÁDNÝ 13 • C. 18 H 36 O 2 a molekulová hmotnost je 1018,43. Strukturální vzorec je:

Neaktivní ingredience

250 mg tablet: celulózové polymery kukuřičný škrob d

Použití pro erytrocin stearate

Pro snížení rozvoje bakterií rezistentních na léčivo a udržení účinnosti erytrocinových stearátových filmových tablet a dalších antibakteriálních léků erytrocin stearátovaný filmové tablety by měly být použity pouze k léčbě nebo prevenci infekcí, které jsou prokázány nebo silně podezřelé, že jsou způsobeny náchylnými bakteriemi. Pokud jsou k dispozici informace o kultuře a citlivosti, měly by být zváženy při výběru nebo úpravě antibakteriální terapie. Při absenci takových dat může místní epidemiologie a vzorce citlivosti přispět k empirickému výběru terapie.

Tablety erytrocinu stearátu jsou indikovány při léčbě infekcí způsobených citlivými kmeny určených mikro organismů u onemocnění uvedených níže:

Infekce horních cest dýchacích cest mírného až středního stupně způsobeného Streptococcus pyogenes; Streptococcus pneumoniae; Haemophilus influenzae (když se používá souběžně s adekvátními dávkami sulfonamidů, protože mnoho kmenů H. chřipka jsou není náchylný k běžně dosaženým koncentracím erytromycinu). (Vidět vhodné značení sulfonamidu pro předepisování informací .)

Infekce dolních dýchacích cest mírné až střední závažnosti způsobené Streptococcus pyogenes nebo Streptococcus pneumoniae .

Listerióza způsobená Listeria monocytogenes .

Infekce dýchacích cest v důsledku Mycoplasma pneumoniae .

Infekce pokožky a kožní struktury mírné až střední závažnosti způsobené Streptococcus pyogenes nebo Staphylococcus aureus (Během léčby se mohou objevit rezistentní stafylokoky).

cestování s omezeným rozpočtem

Pertussis (černý kašel) způsobený Bordetella Pertussis . Erythromycin je účinný při eliminaci organismu z nosofarynxu infikovaných jedinců, kteří je činí neinfekční. Některé klinické studie naznačují, že erytromycin může být užitečný v profylaxi Pertussis u exponovaných vnímavých jedinců.

Záškrt: Infekce způsobené Corynebacterium diphtheriae jako doplněk k antitoxinu, aby se zabránilo zřízení nosičů a eradikoval organismus u nosičů.

Erythaspama: Při léčbě infekcí způsobených Corynebacterium minutissimum .

Střevní amebiáza způsobená Entamoeba histolytica (pouze perorální erythromyciny). Mimořádná amebiáza vyžaduje léčbu jinými látkami.

Akutní zánětlivé onemocnění pánevního způsobené Neisseria Gonorrhoeae : Erytrocin® laktobionát-i.v. (erythromycin laktobionát pro injekci USP) následovaný erytromycinem bází orálně jako alternativní lék při léčbě akutního zánětlivého onemocnění pánve způsobené N. Gonorrhoeae U pacientů s anamnézou citlivosti na penicilin. Pacienti by měli mít sérologický test na syfilis, než dostanou erytromycin jako léčbu kapavky a následný sérologický test na syfilis po 3 měsících.

Erytromyciny jsou indikovány pro léčbu následujících infekcí způsobených Chlamydia Trachomas : Konjunktivitida novorozené pneumonie dětství a urogenitálních infekcí během těhotenství. Když jsou tetracykliny kontraindikovány nebo tolerovány erytromycin, je indikován pro léčbu nekomplikovaných uretrální endocervikálních nebo rektálních infekcí u dospělých kvůli Chlamydia trachomatis .

Když jsou tetracykliny kontraindikovány nebo tolerovány erytromycin, je indikován pro léčbu nongonokokové uretritidy způsobené tím, že je způsobena Ureaplasma urealyticum .

Primární syfilis způsobený Treponema bledý . Erythromycin (pouze perorální formy) je alternativní volbou léčby primárních syfilis u pacientů alergických na peniciliny. Při léčbě primární syfilis míchy by měla být zkoumána před léčbou a jako součást sledování po terapii.

Nemoc legionářů způsobená Legionella pneumophila . Ačkoli nebyly provedeny žádné kontrolované studie klinické účinnosti in vitro a omezené předběžné klinické údaje naznačují, že erytromycin může být účinný při léčbě onemocnění legionářů.

Profylaxe

Prevence počátečních útoků revmatické horečky - penicilinu je americkou asociací srdce považováno za drogy volby při prevenci počátečních útoků revmatické horečky (léčba léčby (léčba Streptococcus pyogenes Infekce horního dýchacího cesty např. Tonzilitida nebo faryngitida). 3 Erythromycin je indikován pro léčbu penicilin-alergických pacientů. Terapeutická dávka by měla být podávána po dobu deseti dnů.

Zoloft, pro co se používá

Americká asociace srdečních asociace považuje prevenci opakujících se útoků revmatické horečky - penicilinu nebo sulfonamidů za drogy volby při prevenci opakujících se útoků revmatické horečky. U pacientů, kteří jsou alergičtí na penicilin a sulfonamidy perorální erytromycin, doporučuje Americká asociace srdce v dlouhodobé profylaxi streptokokové faryngitidy (pro prevenci opakujících se útoků reumatické horečky). 3

Dávkování pro erytrocin stearate

Optimální sérové ​​hladiny erytromycinu jsou dosaženy, když se erytrocin stearát (erytromycin stearát) odebírá ve stavu půstu nebo těsně před jídlem.

Dospělí

Obvyklá dávka je 250 mg každých 6 hodin; nebo 500 mg každých 12 hodin. Podle závažnosti infekce může být dávka zvýšena až na 4 g denně. Dávkování dvakrát denně se však nedoporučuje, pokud se podávají dávky větší než 1 g denně.

Děti

Větr hmotnosti a závažnost infekce jsou důležitými faktory při určování správné dávky. Obvyklá dávka je 30 až 50 mg/kg/den ve stejně rozdělených dávkách. Pro závažnější infekce může být tato dávka zdvojnásobena, ale neměla by překročit 4 g denně.

Při léčbě streptokokových infekcí horních cest dýchacích (např. Tonzilitida nebo faryngitida) by měla být terapeutická dávka erytromycinu podávána po dobu nejméně deseti dnů.

Americká asociace srdce navrhuje dávkování 250 mg erytromycinu orálně dvakrát denně v dlouhodobé profylaxi streptokokových infekcí horních cest dýchacích pro prevenci opakujících se útoků reumatické horečky u pacientů alergických vůči penicilinu a sulfonamideům. 3

Konjunktivitida novorozence způsobená Chlamydia trachomatis

Perorální suspenze erytromycinu 50 mg/kg/den ve 4 rozdělených dávkách po dobu nejméně 2 týdnů. 3

Pneumonie dětství způsobené Chlamydia trachomatis

Ačkoli optimální trvání terapie nebylo stanoveno, doporučenou terapií je perorální suspenze erytromycinu 50 mg/kg/den ve 4 rozdělených dávkách po dobu nejméně 3 týdnů.

Urogenitální infekce během těhotenství způsobené Chlamydia trachomatis

Ačkoli optimální dávka a doba trvání terapie nebyla stanovena, navrhovaná léčba je 500 mg erytromycinu ústy čtyřikrát denně nebo dvě erytromycin 333 mg tablety orálně každých 8 hodin na lačný žaludek po dobu nejméně 7 dnů. U žen, které nemohou tento režim tolerovat sníženou dávku jednoho erythromycinu 500 mg tabletu orálně každých 12 hodin jeden 333 mg tablety orálně každých 8 hodin nebo 250 mg ústy čtyřikrát denně by měla být použita po dobu nejméně 14 dnů. 5

Pro dospělé s nekomplikovanými endocervickými nebo rektálními infekcemi způsobenými chlamydia trachomatis, když je tetracyklin kontraindikován nebo tolerován

500 mg erytromycinu ústy čtyřikrát denně nebo dvě 333 mg tabletů orálně každých 8 hodin po dobu nejméně 7 dnů. 5

U pacientů s nongonokokovou uretritidou způsobenou ureaplasma urealyticum, když je tetracyklin kontraindikován nebo tolerován

500 mg erytromycinu ústy čtyřikrát denně nebo dvě 333 mg tabletů orálně každých 8 hodin po dobu nejméně sedmi dnů. 5

Primární syfilis

30 až 40 g podávaných v rozdělených dávkách po dobu 10 až 15 dnů.

Akutní zánětlivé onemocnění pánevního způsobené N. Gonorrhoeae

500 mg erytrocinu laktobionátu-i.v. (erythromycin laktobionát pro injekci USP) Každých 6 hodin po dobu 3 dnů následuje 500 mg erytromycinové báze orálně každých 12 hodin nebo 333 mg erythromycinové báze perorálně každých 8 hodin po dobu 7 dnů.

Střevní amebiáza

Dospělí

500 mg každých 12 hodin 333 mg každých 8 hodin nebo 250 mg každých 6 hodin po dobu 10 až 14 dnů.

Děti

30 až 50 mg/kg/den v rozdělených dávkách po dobu 10 až 14 dnů.

Pertussis

Ačkoli optimální dávkování a trvání nebyly stanoveny dávky erytromycinu použitého v hlášených klinických studiích byly 40 až 50 mg/kg/den podávány v rozdělených dávkách po dobu 5 až 14 dnů.

Legionnairesova choroba

Ačkoli optimální dávkování nebylo stanoveno dávky použité v hlášených klinických údajích byly 1 až 4 g denně v rozdělených dávkách.

Jak dodáno

Erytrocin stearate Tablety potažené filmem (tablety erythromycin stearate USP) jsou dodávány v následujících silných stránkách a balíčcích.

Erytrocin stearate Film-coated 250 mg pink tablets imprinted with the cnebopneboate logo a the Product Code designation ES:

Jednotka dávková krabička 30 tablet ( NDC 0179-0105-70)

Přebaleno: Kaiser Foundation Hospitals Livermore CA 94551

Doporučené úložiště

Ukládejte pod 86 ° F (30 ° C).

Reference

3. Výbor pro endokarditidu revmatické horečky a Kawasakiho onemocnění Rady pro kardiovaskulární onemocnění u mladé Americké asociace srdce: Prevence revmatické horečky. Oběh. 78 (4): 1082-1086 říjen 1988.

5. Údaje o souboru Arbor Pharmaceuticals Inc. 03-A430-R1

Arbor Pharmaceuticals Inc. Raleigh NC 27606 USA. Přebaleno od: Kaiser Foundation Hospitals Livermore CA 94551. Revidováno: únor 2011

Vedlejší účinky fnebo Erythrocin Stearate

Nejčastější vedlejší účinky perorálních přípravků erytromycinu jsou gastrointestinální a jsou doserelovány. Zahrnují nevolnost zvracení průjmu bolesti břicha a anorexie. Příznaky hepatitidy jaterní dysfunkce a/nebo abnormální výsledky testů jaterních funkcí. (Vidět Varování )

Během antibakteriální léčby může dojít k nástupu symptomů pseudomembranózní kolitidy. (Vidět Varování )

Erythromycin byl spojen s prodloužením QT a komorovou arytmií včetně komorové tachykardie a torsades de pointes.

Vyskytly se alergické reakce od kopřivky po anafylaxi. Kožní reakce od mírných erupcí po erythema multiforme Stevens-Johnson syndrom a toxická epidermální nekrolýza byla hlášena zřídka.

Zprávy o pankreatitidě a křečích se objevily vzácné zprávy.

Byly izolované zprávy o reverzibilní ztrátě sluchu, ke které došlo hlavně u pacientů s renální nedostatečností a u pacientů, kteří dostávali vysoké dávky erytromycinu.

Lékové interakce fnebo Erythrocin Stearate

Použití erythromycinu u pacientů, kteří dostávají vysoké dávky teofylinu, může být spojeno se zvýšením hladin theofylinu v séru a potenciální toxicitou teofylinu. V případě toxicity teofylinu a/nebo zvýšeného hladiny séra Theofylin by měla být dávka teofylinu snížena, zatímco pacient dostává souběžnou terapii erytromycinu.

Hypotension bradyarrhythmias and lactic acidosis have been observed in patients receiving concurrent verapamil belonging to the calcium channel blockers drug class.

Bylo popsáno, že doprovázející podávání erytromycinu a digoxinu má za následek zvýšené hladiny digoxinu v séru.

Byly zprávy o zvýšených antikoagulačních účincích, kdy byly erytromycin a perorální antikoagulanty použity současně. Zvýšené antikoagulační účinky v důsledku interakcí erytromycinu s perorálními antikoagulanty mohou být u starších osob výraznější.

Erythromycin je substrátem a inhibitorem 3A izoformy podrodiny enzymového systému cytochromu P450 (CYP3A). Souběžné podávání erytromycinu a léčiva primárně metabolizovaného CYP3A může být spojeno se zvýšením koncentrací léčiva, které by mohly zvýšit nebo prodloužit jak terapeutické, tak nežádoucí účinky souběžného léčiva. Mohou být zváženy úpravy dávkování a pokud je to možné sérové ​​koncentrace léčiv primárně metabolizovaných pomocí CYP3A by měly být pečlivě monitorovány u pacientů, kteří současně dostávají erytromycin.

Níže jsou uvedeny příklady některých klinicky významných interakcí s léky na bázi CYP3A. Možné jsou také interakce s jinými léky metabolizovanými izoformou CYP3A. Následující léčivé interakce na bázi CYP3A byly pozorovány u produktů erytromycinu v zkušenostech po trhu:

Ergotamin/dihydroergotamin

U některých pacientů s akutní ergotovou toxicitou charakterizovanou těžkou periferním vazospasmem a dysestezií bylo u některých pacientů s akutní ergotovou toxicitou spojeno souběžné použití erytromycinu a ergotaminu nebo dihydroergotaminu.

Triazolobenzodiazepiny (jako je triazolam a alprazolam) a související benzodiazepiny

Bylo popsáno, že erytromycin snižuje clearance triazolamu a midazolamu, a proto může zvýšit farmakologický účinek těchto benzodiazepinů.

Inhibitory reduktázy HMG-CoA

Bylo popsáno, že erytromycin zvyšuje koncentrace inhibitorů HMG-CoA reduktázy (např. Lovastatin a simvastatin). U pacientů užívajících tyto léky současně byly hlášeny vzácné zprávy o rabdomyolýze.

Sildenafil (viagra)

Bylo hlášeno, že erytromycin zvyšuje systémovou expozici (AUC) sildenafilu. Je třeba zvážit snížení dávky sildenafilu. (Vidět Vložení balíčku viagra .)

Došlo k spontánní nebo publikované zprávy o interakcích erytromycinu založeného na CYP3A s cyklosporinem karbamazepinem takrolimus alfentanil disopyramid rifabutin chinidin methylprednisolon cilostazol vinblastinem a bromocriptinem.

Současné podávání erytromycinu s cisapridovým pimozidem astemizolem nebo terfenadinem je kontraindikováno. (Vidět Kontraindikace )

Kromě toho se objevily zprávy o interakcích erytromycinu s léky, které nejsou považovány za metabolizovány CYP3A, včetně hexobarbitálního fenytoinu a valproátu.

může vakcína proti planým neštovicům způsobit neštovice kuře

Bylo hlášeno, že erythromycin významně mění metabolismus nesedační antihistaminiky terfenadin a astemizolu, když je užíván současně. Byly pozorovány vzácné případy závažných kardiovaskulárních nežádoucích účinků včetně elektrokardiografického intervalu QT/QT prodloužení srdeční zástavy de pointes a jiných komorových arytmií. (Vidět Kontraindikace ) Kromě toho byla úmrtí navíc hlášena zřídka se souběžným podáváním terfenadinu a erytromycinu.

Došlo k zprávám o interakcích s drogami po trhu, kdy byl erytromycin společně podáván s cisapridem, což mělo za následek prodloužení qt srdeční arytmie komorní komory tachykardie a torsades de poiss s největší pravděpodobností v důsledku inhibice hepatických metabolismů erythromycicin. Byly hlášeny úmrtí. (Vidět Kontraindikace ).

Interakce léčiva/laboratorní testy

Erythromycin interferuje do fluorometrického stanovení močových katecholaminů.

Varování fnebo Erythrocin Stearate

Byly zprávy o jaterní dysfunkci, včetně zvýšených enzymů jater a hepatocelulární a/nebo cholestatické hepatitidy s nebo bez žloutenky, která se vyskytuje u pacientů dostávajících perorální produkty erytromycinu.

Existují zprávy, které naznačují, že erytromycin nedosáhne plodu v přiměřené koncentraci, aby se zabránilo vrozenému syfilisu. Kojenci narozené ženám léčeným během těhotenství s perorálním erytromycinem pro časný syfilis by měly být léčeny vhodným režimem penicilinu.

Clostridium difficile Byl hlášen přidružený průjem (CDAD) s použitím téměř všech antibakteriálních látek včetně tablet potažených filmem Erytrocin® Stearate a může se pohybovat v závažnosti od mírné průjem po fatální kolitidu. Léčba antibakteriálními látkami mění normální flóru tlustého střeva vedoucí k přerůstání C. obtížné .

C. obtížné produkuje toxiny A a B, které přispívají k rozvoji CDAD. Kmeny produkující hypertoxin C. obtížné způsobit zvýšenou morbiditu a úmrtnost, protože tyto infekce mohou produkovat kmeny C. obtížné Způsobují zvýšenou morbiditu a úmrtnost, protože tyto infekce mohou být refrakterní vůči antimikrobiální terapii a mohou vyžadovat kolektomii. CDAD musí být zvažován u všech pacientů, kteří vyskytují průjem po použití antibiotik. Je nezbytná pečlivá anamnéza, protože bylo hlášeno, že CDAD dochází po dobu dvou měsíců po podání antibakteriálních látek.

Pokud je podezřelý nebo potvrzen probíhající užívání antibiotik, které není namířeno C. obtížné možná bude nutné ukončit. Vhodná ošetření antibiotik proteinu pro proteiny pro proteiny tekutin a elektrolytů C. obtížné a chirurgické hodnocení by mělo být zavedeno podle klinicky uvedeného.

U vážně nemocných pacientů, kteří dostávali erytromycin, byla s lovastatinem hlášena u vážně nemocných pacientů, kteří dostávali erytromycin dostávající erytromycin, s lovastatin. Pacienti, kteří dostávají souběžný lovastatin a erytromycin, by proto měli být pečlivě monitorováni na hladinu kreatinové kinázy (CK) a sérové ​​transaminázy. (Vidět Vložení balíčku pro lovastatin .)

Opatření fnebo Erythrocin Stearate

Generál

Předepisování erytrocinových stearátových tablet potažených filmem v nepřítomnosti prokázané nebo silně podezřelé bakteriální infekce nebo profylaktické indikace je nepravděpodobné, že by pacientovi poskytovalo výhodu a zvyšuje riziko rozvoje bakterií odolných proti drogám. Protože erythromycin je hlavně vylučován opatrností jater, by měl být uveden, když je erytromycin podáván pacientům se zhoršenou jaterní funkcí. (Vidět Klinická farmakologie a Varování )

U pacientů, kteří dostávali terapii erytromycinu, byla hlášena exacerbace příznaků myasthenia gravis a nový nástup symptomů myastenického syndromu.

U kojenců se objevily zprávy o infantilní hypertrofické pylorické stenóze (IHP) po terapii erytromycinu. V jedné kohortě 157 novorozenců, kterým byl podáván erytromycin pro pertussis profylaxi, vyvinuli sedm novorozenců (5%) příznaky nehmotné zvracení nebo podrážděnosti krmením a následně byly diagnostikovány jako IHP vyžadující chirurgickou pyloromyotomii. Možný účinek na dávku-odpověď byl popsán s absolutním rizikem IHP 5,1% u kojenců, kteří užívali erytromycin po dobu 8-14 dnů a 10% u kojenců, kteří užívali erytromycin po dobu 15-21 dnů. 4 Protože erythromycin může být použit při léčbě stavů u kojenců, které jsou spojeny s významnou úmrtnost nebo morbiditou (jako jsou infekce betonussis nebo novorozenecké chlamydia), je třeba zvážit přínos terapie erytromycinem proti potenciálnímu riziku rozvoje IHP. Rodiče by měli být informováni, aby kontaktovali svého lékaře, pokud dojde k zvracení nebo podrážděnosti s krmením.

Prodloužené nebo opakované použití erythromycinu může vést k přerůstání nesuscescescescesceptable bakterie nebo hub. Pokud dojde k superinfekci, měl by být erytromycin ukončen a zavedena vhodná terapie.

Pokud je uvedeno incize a drenáž nebo jiné chirurgické zákroky, měly by být provedeny ve spojení s antibiotickou terapií.

Reference

4. Honein M.A. et. AL.: Infantilní hypertrofická pylorická stenóza po profylaxi pertussis s erytromycinem: přehled případů a kohortová studie. The Lancet 1999; 354 ​​(9196): 2101-5.

Zhodnocení mutageneze karcinogeneze plodnosti

Dlouhodobé (dvouleté) perorální studie provedené u potkanů ​​s erytromycinovou bází neposkytly důkaz tumorigenicity. Studie mutagenity nebyly provedeny. Nebyl zjevný účinek na plodnost mužů nebo žen u potkanů ​​krmených erytromycinem (bází) na hladinách až 0,25 procenta stravy.

Těhotenství

Teratogenní účinky - těhotenství kategorie B

Neexistuje žádný důkaz teratogenity ani jiného nepříznivého účinku na reprodukci u ženských potkanů ​​krmených erytromycinovou bází (až 0,25 procenta stravy) před a během páření během těhotenství a odstavením dvou po sobě jdoucích vrhů. U těhotných žen však neexistují žádné přiměřené a dobře kontrolované studie. Protože studie reprodukce zvířat nejsou vždy prediktivní vůči reakci člověka, který by měl být tento lék použit během těhotenství, pouze pokud je to jasně potřeba.

Práce a dodávka

Účinek erytromycinu na práci a dodávku není znám.

injekce Tymlos

Ošetřovatelské matky

Erythromycin se vylučuje v lidském mléce. Upozornění by mělo být posouzeno, když je erytromycin podáván ošetřovatelské ženě.

Dětské použití

Vidět Indikace a použití a Dávkování a podávání .

Geriatrické použití

Starší pacienti, zejména pacienty se sníženou funkcí ledvin nebo jater, mohou být vystaveny zvýšenému riziku rozvoje ztráty sluchu vyvolané erytromycinem. (Vidět Nežádoucí účinky a Dávkování a podávání ).

Starší pacienti mohou být náchylnější k vývoji torsades de pointes arytmie než mladší pacienti. (Vidět Nežádoucí účinky ).

Starší pacienti mohou mít zvýšené účinky perorální antikoagulační terapie při léčbě erytromycinem. (Vidět Lékové interakce ).

Tablety erytrocinového stearátu filmu (250 mg) obsahují 56,7 mg (NULL,5 meq) sodíku a 5,0 mg (NULL,1 meq) draselného na tabletu.

Geriatrická populace může reagovat otupenou natriuresis na zatížení soli. To může být klinicky důležité, pokud jde o taková onemocnění, jako je městnavé srdeční selhání.

Informace o předávkování pro erytrocin stearate

V případě předávkování by měl být erytromycin přerušen. Předávkování by mělo být řešeno s rychlým odstraněním neabsorbovaného léčiva a měla by být zavedena všechna ostatní vhodná opatření.

Erythromycin není odstraněn peritoneální dialýzou nebo hemodialýzou.

Kontraindikace pro erytrocin stearate

Erythromycin je kontraindikován u pacientů se známou přecitlivělostí na toto antibiotikum.

Erythromycin je kontraindikován u pacientů užívajících terfenadin astemizol pimozid nebo cisaprid. (Vidět Lékové interakce )

Klinická farmakologie fnebo Erythrocin Stearate

Orálně podávaná základna erytromycinu a její soli jsou snadno absorbovány v mikrobiologicky aktivní formě. Interindividuální změny v absorpci erytromycinu jsou však pozorovány a někteří pacienti nedosahují optimální hladiny séra. Erythromycin je do značné míry vázán na plazmatické proteiny. Po absorpci erytromycin snadno difunzuje do většiny tělesných tekutin. Při absenci meningálního zánětu se obvykle dosahuje nízkých koncentrací v míchy, ale průchod léčiva přes heningitidu se zvyšuje heningitida krve. Erythromycin protíná placentární bariéru, ale hladiny plazmy plodu jsou nízké. Lék je vylučován v lidském mléce. Erythromycin není odstraněn peritoneální dialýzou nebo hemodialýzou.

V přítomnosti normální jaterní funkce je erytromycin koncentrován v játrech a vylučuje se ve žluči; Účinek jaterní dysfunkce na biliární vylučování erytromycinu není znám. Po perorálním podání méně než 5% podávané dávky může být získáno v aktivní podobě v moči.

Orálně podávané tablety stearátu erytrocinu jsou snadno a spolehlivě absorbovány. Optimální hladiny erytromycinu v séru jsou dosaženy, když je lék odebrán ve stavu půstu nebo bezprostředně před jídlem.

Mikrobiologie

Erythromycin působí inhibicí syntézy proteinů vázáním 50 s ribozomálních podjednotek citlivých organismů. Neovlivňuje syntézu nukleových kyselin. Byl prokázán antagonismus in vitro mezi erythromycinem a klindamycinem lincomycinem a chloramfenikolem.

Mnoho kmenů Haemophilus influenzae jsou resistant to erythromycin alone but jsou susceptible to erythromycin a sulfonamides used concomitantly.

Během terapie erytromycinem se může objevit stafylokoky rezistentní na erytromycin. Ukázalo se, že erytromycin je aktivní proti většině kmenů následujících mikroorganismů in vitro a in clinical infections as described in the Indikace a použití sekce.

Seznam pilulek s rozšířeným po antikoncepcí
Gram-pozitivní organismy

Corynebacterium diphtheriae
Corynebacterium minutissimum

Listeria monocytogenes

Staphylococcus aureus
(Během léčby se mohou objevit rezistentní organismy)
Streptococcus pneumoniae

Streptococcus pyogenes

Gram-negativní organismy

Bordetella Pertussis
Legionella pneumophila

Neisseria Gonorrhoeae

Další mikroorganismy

Chlamydia Trachomas
Entamoeba histolytica

Mycoplasma pneumoniae

Treponema bledý

Ureaplasma urealyticum

Následující in vitro jsou k dispozici data Jejich klinická ignifikace však není známa.

Erythromycinové výstavy in vitro minimální inhibiční koncentrace (MIC) 0,5 μg/ml nebo méně proti většině (≥ 90%) kmenům následujících mikroorganismů; Bezpečnost a účinnost většiny (≥ 90%) kmenů následujících mikroorganismů; Bezpečnost a účinnost erytromycinu při léčbě klinických infekcí způsobených těmito mikroorganismy však nebyla stanovena v přiměřených a dobře kontrolovaných klinických studiích.

Gram-pozitivní organismy

Viridans Group Streptococci

Gram-negativní organismy

Moraxella catarrhalis

Testy citlivosti

Techniky ředění

Kvantitativní metody se používají ke stanovení antimikrobiálních minimálních inhibičních koncentrací (MIC). Tyto MIC poskytují odhady citlivosti bakterií na antimikrobiální sloučeniny. MIC by měly být stanoveny pomocí standardizovaného postupu. Standardizované postupy jsou založeny na metodě ředění 1 (vývar nebo agar) nebo ekvivalent se standardizovanými koncentracemi inokula a standardizovanými koncentracemi erytromycinového prášku. Hodnoty MIC by měly být interpretovány podle následujících kritérií:

MIC (PG/ML) Výklad
≤ 0,5 Citlivé (s)
1-4 Střední (i)
≥ 8 Odolný (R)

Zpráva o vnímání naznačuje, že patogen bude pravděpodobně inhibován, pokud antimikrobiální sloučenina v krvi dosáhne koncentrací obvykle dosažitelných. Zpráva o meziproduktu naznačuje, že výsledek by měl být považován za nejednoznačný a pokud mikroorganismus není plně citlivý na alternativní klinicky proveditelné léky, test by se měl opakovat. Tato kategorie znamená možnou klinickou použitelnost v místech těla, kde je lék fyziologicky koncentrovaný nebo v situacích, kdy lze použít vysokou dávkování léčiva. Tato kategorie také poskytuje vyrovnávací zónu, která zabraňuje malým nekontrolovaným technickým faktorům způsobujícími hlavní nesrovnalosti při interpretaci. Zpráva rezistence naznačuje, že patogen není pravděpodobně inhibován, pokud antimikrobiální sloučenina v krvi dosáhne koncentrací, které jsou obvykle dosažitelné; Měla by být vybrána jiná terapie.

Standardizované postupy zkoušky citlivosti vyžadují použití laboratorních mikroorganismů k řízení technických aspektů laboratorních postupů. Standardní prášek erythromycinu by měl poskytnout následující hodnoty MIC:

Mikroorganismus MIC (PG/ML)
S. aureus ATCC 29213 0,12-0,5
E. Faecalis ATCC 29212 1-4
Technické šíření

Kvantitativní metody, které vyžadují měření průměrů zóny, také poskytují reprodukovatelné odhady citlivosti bakterií na antimikrobiální sloučeniny. Jeden takový standardizovaný postup 2 vyžaduje použití standardizovaných koncentrací inokula. Tento postup používá papírové disky impregnované 15 μg erytromycinu k testování citlivosti mikroorganismů na erytromycin.

Zprávy z laboratoře poskytující výsledky standardního testu citlivosti na jeden disk s 15 μg erytromycinovým disku by měly být interpretovány podle následujících kritérií:

Průměr zóny (mm) Výklad
≥ 23 Citlivé (s)
14-22 Střední (i)
≤ 13 Odolný (R)

Výklad should be as stated above fnebo results using dilution techniques. Výklad involves cneborelation of the diameter obtained in the disk test with the MIC fnebo erythromycin.

Stejně jako u standardizovaných technik ředění metody difúzních metod vyžadují použití laboratorních mikroorganismů, které se používají k řízení technických aspektů laboratorních postupů. Pro difúzní techniku ​​by měl 15 μg erytromycinový disk poskytnout následující průměry zóny v těchto laboratorních kmenech kvality testu:

Mikroorganismus Průměr zóny (mm)
S. aureus ATCC 25923 22-30

Reference

1. Národní výbor pro klinické laboratorní standardy. Metody pro zředění antimikrobiální citlivosti na bakterie, které rostou aerobní třetí vydání. Schválený standardní dokument NCCLS M7-A3 Vol. 13 Č. 25 NCCLS Villanova PA prosinec 1993.

2. Národní výbor pro klinické laboratorní standardy Performance pro testy citlivosti na antimikrobiální disk Páté vydání. Schválený standardní dokument NCCLS M2-A5 Vol. 13 Č. 24 NCCLS Villanova PA prosinec 1993.

Informace o pacientovi pro stearate erytrocinu

Pacienti by měli být informováni, že antibakteriální léčiva včetně tablet na filmové tablety erytrocinu by měly být použity pouze k léčbě bakteriálních infekcí. Ne léčí virové infekce (např. Obecně nachlazení). Když jsou erytrocinové stearátové filmové tablety předepsány k léčbě bakteriální infekce, pacientům by mělo být řečeno, že ačkoli je běžné se v průběhu terapie cítit lépe v průběhu léčby, měl by být lék užíván přesně podle pokynů. Přeskočení dávek nebo nedokončení celého terapie může (1) snížit účinnost okamžité léčby a (2) zvýšit pravděpodobnost, že se bakterie v budoucnu vyvinou a v budoucnu nebudou léčitelné erytrocinem stearátem filmově potaženými filmovými tabletami nebo jinými antibakteriálními léky.

Průjem je běžný problém způsobený antibiotiky, která obvykle končí, když je antibiotikum přerušeno. Někdy po zahájení léčby antibiotiky mohou pacienti vyvinout vodnatou a krvavou stolici (s křečemi a horečkou žaludku nebo bez něj), až dva nebo více měsíců po provedení poslední dávky antibiotiky. Pokud k tomu dojde, pacienti by se měli co nejdříve kontaktovat svého lékaře.