Informace Na Stránce Nepředstavují Lékařskou Radu. Nic Neprodáváme. Přesnost Překladu Není Zaručena. Zřeknutí Se Odpovědnosti
Antidiabetika, glukagonský peptid-1 agonisté 1
Wegovy
Shrnutí drog
Co je Wegovy?
Wegovy (semaglutid) je a Glukagon -jako peptid -1 (GLP -1) receptorový agonista receptoru označený jako doplněk ke snížené kalorické stravě a zvýšenou fyzickou aktivitu pro chronickou management hmotnosti u dospělých pacientů s počátečním Index tělesné hmotnosti (BMI) 30 kg/m2 nebo vyšší ( obezita ) nebo 27 kg/m2 nebo vyšší ( nadváha ) v přítomnosti alespoň jednoho komorbidního stavu souvisejícího s hmotností (např. hypertenze typ 2 Diabetes mellitus nebo Dyslipidemie ).
Jaké jsou vedlejší účinky Wegovy?
Wegovy
- kopřivka
- potíže s dýcháním
- Otok vašeho obličeje rty jazyk nebo krk
- Náhlá ztráta zraku
- rozmazané vidění
- Vize tunelu
- Bolest očí nebo otok
- Vidět halos kolem světla
- Rychlé nepravidelné nebo bušící srdeční rytmus
- Flutteting v hrudi
- dušnost
- náhlé závratě
- Lightheadedness
- mdloby
- Těžká bolest hlavy
- zmatek
- Slurred řeč
- Slabost paže nebo nohou
- Potíže s chůzí
- ztráta koordinace
- Cítím se nestabilní
- velmi tuhé nebo tuhé svaly
- vysoká horečka
- bohaté pocení a
- Chvění
Získejte lékařskou pomoc okamžitě, pokud máte výše uvedené příznaky.
Mezi vedlejší účinky Wegovy patří:
- nevolnost
- průjem
- zvracení
- zácpa
- Bolest břicha
- bolest hlavy
- únava
- špatné trávení/ pálení žáhy
- závrať
- Bloating (břišní distenze)
- Belching
- nízká hladina cukru v krvi ( Hypoglykémie ) u pacientů s diabetem 2. typu
- plyn ( nadýmání )
- Gastroenteritida a
- Gastroezofageální reflux nemoc (GERD).
Pokud máte následující vážné vedlejší účinky, vyhledejte lékařskou péči nebo zavolejte na číslo 911:
- Vážné příznaky očí, jako je ztráta náhlého vidění rozmazané vidění vidění Vision Vision Eye Eye Eye Eye Eye Eye Eye Eye nebo vidět halos kolem světel;
- Vážné příznaky srdce, jako je rychlé nepravidelné nebo bušení srdečního rytmu; třepování v hrudi; dušnost; a náhlé závratě lightheadness nebo omdlení;
- Těžká zmatek bolesti hlavy zkroucený řečový rameno nebo slabost nohou Potíže se ztrátou chůze pocitu koordinace Pocit nestabilní velmi tuhé svaly vysoké horečky bohaté pocení nebo třes.
Tento dokument neobsahuje všechny možné vedlejší účinky a mohou dojít k jiným. Další informace o vedlejších účincích najdete u svého lékaře.
Dávkování pro Wegovy
Počáteční dávka Wegovy je 0,25 mg jednou týdně po dobu 4 týdnů. Ve 4týdenních intervalech zvyšuje dávku, dokud není dosažena dávka 2,4 mg. Údržbářská dávka Wegovy je 2,4 mg jednou týdně podávána ve stejný den každý týden kdykoli v den s jídlem nebo bez jídel.
Wegovy u dětí
U pediatrických pacientů nebyla stanovena bezpečnost a účinnost Wegovy.
Jaké léky nebo doplňky interagují s Wegovy?
Wegovy může interagovat s jinými léky, jako jsou:
- Sekretagogy inzulínu (např. Sulfonylmočoviny) nebo inzulín a
- Jiné orální léky užívané současně.
Řekněte svému lékaři všechny léky a doplňky, které používáte.
Wegovy během těhotenství a kojení
Wegovy se nedoporučuje pro použití; Může to poškodit plod. Když je těhotenství rozpoznáno, přesahujte Wegovy. Přerušte Wegovy nejméně 2 měsíce před plánovaným těhotenstvím kvůli dlouhému poločasu semaglutidu. Bude existovat registr expozice těhotenství, který monitoruje výsledky těhotenství u žen vystavených Wegovey během těhotenství. Těhotné ženy vystavené poskytovatelům Wegovy a zdravotní péče se vyzývají, aby kontaktovaly Novo Nordisk na čísle 1-800-727-6500. Není známo, zda Wegovy prochází do mateřského mléka nebo by to mohlo ovlivnit kojící dítě. Před kojením se poraďte se svým lékařem.
Další informace
Naše injekce Wegovy (semaglutid) pro subkutánní použití Vedlejších účinků Drug Center poskytuje komplexní pohled na dostupné informace o možných vedlejších účincích při užívání tohoto léku.
Nejedná se o úplný seznam vedlejších účinků a mohou dojít k dalším. Zavolejte svého lékaře, kde najdete lékařskou radu ohledně vedlejších účinků. Můžete nahlásit vedlejší účinky FDA na 1-800-FDA-1088.
Informace o drogách FDA
- Popis léku
- Indikace
- Vedlejší účinky
- Lékové interakce
- Varování
- Předávkovat
- Klinická farmakologie
- Průvodce léky
VAROVÁNÍ
Riziko nádorů C-buněk štítné žlázy
- U hlodavců semaglutid způsobuje při klinicky relevantních expozicích závislé na dávce a nadávání léčby závislé na C-buněk. Není známo, zda Wegovy způsobuje nádory C-buněk štítné žlázy včetně medulárního karcinomu štítné žlázy (MTC) u lidí jako lidský význam semaglutidově vyvolaných nádorů hlodavců hlodavců štítné žlázy C-buněk nebylo stanoveno [viz varování a preventivní opatření a neklinová toxikologie].
- Wegovy je kontraindikována u pacientů s osobní nebo rodinnou anamnézou MTC nebo u pacientů s vícenásobným endokrinním syndromem neoplasie typu 2 (Men 2) [viz kontraindikace]. Poradenství pacientům ohledně potenciálního rizika MTC s použitím Wegovy a informujte je o symptomech nádorů štítné žlázy (např. Hmotnost v krku dysfagie dušnosti přetrvávající chrapot). Rutinní monitorování sérového kalcitoninu nebo použití ultrazvuku štítné žlázy má nejistou hodnotu pro včasnou detekci MTC u pacientů léčených Wegovy [viz kontraindikace a varování a preventivní opatření].
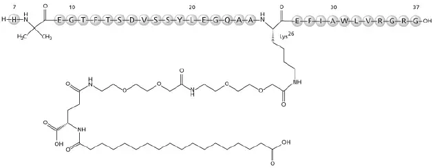
Popis pro Wegovy
Injekce Wegovy (semaglutid) pro subkutánní použití obsahuje semaglutid lidský agonista GLP-1 receptoru (nebo analog GLP-1). Peptidová páteř je produkována fermentací kvasinek. Hlavním protahovacím mechanismem semaglutidu je vazebná albumin usnadněný modifikací pozice lysinu 26 s hydrofilním spacerem a mastným di-acidou C18. Dále je semaglutid modifikován v poloze 8, aby se zajistila stabilizace proti degradaci enzymovým dipeptidyl-peptidázou 4 (DPP-4). Menší úprava byla provedena v poloze 34, aby se zajistilo připojení pouze jednoho mastného di-kyseliny. Molekulární vzorec je C 187 H 291 N 45 O 59 a the molecular weight is 4113.58 g/mol.
Obrázek 1. Strukturální vzorec semaglutidu
|
Wegovy je sterilní vodné čisté bezbarvé řešení. Každé 0,5 ml pero s jednou dávkou obsahuje roztok Wegovy obsahujícího 0,25 mg 0,5 mg nebo 1 mg semaglutidu; a každé 0,75 ml pero s jednou dávkou obsahuje roztok Wegovy obsahujícího 1,7 nebo 2,4 mg semaglutidu. Každý 1 ml Wegovy obsahuje následující neaktivní složky: disoditový fosfát dihydrát 1,42 mg; Chlorid sodný 8,25 mg; a voda pro injekci. Wegovy má pH přibližně 7,4. K úpravě pH může být přidána kyselina chlorovodíková nebo hydroxid sodný.
Použití pro wegovy
Wegovy je indikována v kombinaci se sníženou kalorickou stravou a zvýšenou fyzickou aktivitou:
- Snížení rizika velkých nežádoucích kardiovaskulárních příhod (kardiovaskulární smrt nefatální infarkt myokardu nebo nefatální mrtvice) u dospělých se zavedeným kardiovaskulárním onemocněním a obezitou nebo nadváhou.
- Chcete -li snížit přebytečnou tělesnou hmotnost a udržovat dlouhodobě snižování hmotnosti:
- Dospělí a dětští pacienti ve věku 12 let a starší s obezitou
- Dospělí s nadváhou v přítomnosti alespoň jednoho komorbidního stavu souvisejícího s hmotností.
Omezení použití
Wegovy obsahuje semaglutid. Nedoporučuje se souběžné podávání s jinými produkty obsahujícími semaglutid nebo s jakýmkoli jiným agonistou receptoru GLP-1.
Dávkování pro Wegovy
Důležité pokyny pro monitorování a správu
- U pacientů s diabetem typu 2 monitoruje glukózu v krvi před zahájením Wegovy a během léčby Wegovy [viz viz VAROVÁNÍS AND OPATŘENÍ ].
- Před zahájením pacientů s WEGOVY Train na správné injekční technice. Úplné pokyny pro podávání s ilustracemi naleznete v doprovodných pokynech.
- Před každou injekcí vizuálně zkontrolujte Wegovy. Používejte pouze pokud je roztok čistý bezbarvý a neobsahuje žádné částice.
- Spravujte Wegovy v kombinaci se sníženou kalorickou stravou a zvýšenou fyzickou aktivitou.
- Spravujte Wegovy jednou týdně ve stejný den každý týden kdykoli během dne s jídlem nebo bez jídel.
- Injekci Wegovy subkutánně do stehna nebo horní části břicha. Denní doba a místo injekce lze změnit bez nastavení dávky.
Doporučené dávkování u dospělých
Iniciace a eskalace dávkování
- Zahájit Wegovy dávkou 0,25 mg injikované subkutánně jednou týdně. Poté sledujte plán eskalace dávky uvedený v tabulce 1, abyste minimalizovali gastrointestinální nežádoucí účinky [viz Nežádoucí účinky ].
- Pokud pacienti netolerují dávku během eskalace dávky, zvažte zpoždění eskalace dávky po dobu 4 týdnů.
Tabulka 1: Doporučený režim dávkování pro dospělé
| Zacházení | Týdny | Jednou týdenní podkožní dávkování |
| Zahájení | 1 až 4 | 0,25 mg |
| Eskalace | 5 až 8 | 0,5 mg |
| 9 až 12 | 1 mg | |
| 13 až 16 | 17 mg | |
| Údržba | 17 a dále | 1,7 mg nebo 2,4 mg |
Údržba Dosage
- Udržovací dávka Wegovy u dospělých je buď 2,4 mg (doporučená) nebo 1,7 mg jednou týdně. Při výběru dávkování údržby zvažte reakci léčby a snášenlivostí [viz Klinické studie ].
Doporučené dávkování u pediatrických pacientů ve věku 12 let a starších
Iniciace a eskalace dávkování
- Zahajte Wegovy podle plánu eskalace dávkování v tabulce 2, abyste minimalizovali gastrointestinální nežádoucí účinky [viz viz Nežádoucí účinky ].
- Pokud pacienti netolerují dávku během eskalace dávky, zvažte zpoždění eskalace dávky po dobu 4 týdnů.
- 0,25 mg. 0,5 mg a 1 mg jednou týdně jsou iniciace a eskalační dávky a nejsou schváleny jako dávky údržby.
Tabulka 2: Doporučený režim dávkování pro pediatrické pacienty ve věku 12 let a starších
| Zacházení | Týdny | Jednou týdenní podkožní dávkování |
| Zahájení | 1 až 4 | 0,25 mg a |
| Eskalace | 5 až 8 | 0,5 mg a |
| 9 až 12 | 1 mg a | |
| 13 až 16 | 1,7 mg b | |
| Údržba | 17 a dále | 2,4 mg |
| a Není schváleno jako dávky údržby b Vidět Modifikace dávkování pro nežádoucí účinky |
Údržba Dosage
- Udržovací dávka Wegovy u pediatrických pacientů ve věku 12 let a starších je 2,4 mg jednou týdně.
Modifikace dávkování pro nežádoucí účinky
- Pokud pacienti netolerují dávkování 2,4 mg jednou týdně údržby, může být dávka údržby snížena na 1,7 mg jednou týdně.
- Ukončete Wegovy, pokud pacient nemůže tolerovat 1,7 mg jednou týdně dávkování.
Doporučení týkající se zmeškané dávky
- Pokud je jedna dávka vynechána a další naplánovaná dávka je vzdálena více než 2 dny (48 hodin), spravujte Wegovy co nejdříve. Pokud je jedna dávka vynechána a další naplánovaná dávka je menší než 2 dny pryč (48 hodin), nepodpravujte dávku. Pokračovat v dávkování v pravidelně naplánovaném dni v týdnu.
- Pokud jsou 2 nebo více po sobě jdoucích dávek zmeškané dávkování životopisu podle plánu nebo v případě potřeby znovu objevit Wegovy a dodržovat plán eskalace dávky, který může snížit výskyt gastrointestinálních symptomů spojených s oživením léčby.
Jak dodáno
Formy a silné stránky dávkování
Injekce : Vymazat bezbarvé řešení dostupné v 5 předem naplněných jednorázových perech:
- 0,25 mg/0.5 mL
- 0,5 mg/0.5 mL
- 1 mg/0.5 mL
- 1,7 mg/0.75 mL
- 2,4 mg/0.75 mL
Skladování a manipulace
Wegovy Injekce je čistý bezbarvý roztok v předem naplněném jednorázovém jednodávkovém injektoru s integrovanou jehlou. Je dodáván v kartonech obsahujících 4 injektory pera v následujících konfiguracích balení:
| Celková síla na celkový objem | NDC |
| 0,25 mg/0.5 mL | 0169-4525-14 |
| 0,5 mg/0.5 mL | 0169-4505-14 |
| 1 mg/0.5 mL | 0169-4501-14 |
| 1,7 mg/0.75 mL | 0169-4517-14 |
| 2,4 mg/0.75 mL | 0169-4524-14 |
Doporučené úložiště
Uložte jednodávkové pero Wegovy v lednici od 2 ° C do 8 ° C (36 ° F až 46 ° F). V případě potřeby před odstraněním víčka může být pero udržováno z 8 ° C do 30 ° C (46 ° F až 86 ° F) až do 28 dnů. Ne zmrazení. Chraňte Wegovy před světlem. Wegovy musí být udržována v původním kartonu až do doby správy. Po použití zlikvidujte Wegovy pero.
Hydroxyzine Pamoate 50 mg pro spánek
Vyrobeno: Novo Nordisk A/S DK-2880 Bagsvaerd Dánsko. Další informace o kontaktu Wegovy: Novo Nordisk Inc. 800 Scudders Mill Road Plainsboro NJ 08536. Revidováno: listopad 2024
Vedlejší účinky fnebo Wegovy
Následující závažné nežádoucí účinky jsou popsány níže nebo jinde v předepisovacích informacích:
- Riziko nádorů C-buněk štítné žlázy [viz VAROVÁNÍS AND OPATŘENÍ ]
- Akutní pankreatitida [viz VAROVÁNÍS AND OPATŘENÍ ]
- Akutní choroba žlučníku [viz VAROVÁNÍS AND OPATŘENÍ ]
- Hypoglykémie [viz VAROVÁNÍS AND OPATŘENÍ ]
- Akutní poškození ledvin [viz VAROVÁNÍS AND OPATŘENÍ ]
- Reakce přecitlivělosti [viz VAROVÁNÍS AND OPATŘENÍ ]
- Komplikace diabetické retinopatie u pacientů s diabetem 2. typu [viz VAROVÁNÍS AND OPATŘENÍ ]
- Zvýšení srdeční frekvence [viz VAROVÁNÍS AND OPATŘENÍ ]
- Sebevražedné chování a myšlenky [viz VAROVÁNÍS AND OPATŘENÍ ]
- Plicní aspirace během celkové anestézie nebo hluboké sedace [viz VAROVÁNÍS AND OPATŘENÍ ]
Zkušenosti z klinických studií
Protože klinické studie se provádějí za velmi proměnlivých podmínek, nežádoucí rychlost nežádoucí reakce pozorovaná v klinických studiích léčiva nelze přímo porovnat s mírami v klinických studiích jiného léčiva a nemusí odrážet míru pozorované v praxi.
Nežádoucí účinky v klinických studiích u dospělých s obezitou nebo nadváhou
Wegovy 2,4 mg Subcutaneous Weekly Dosage
Wegovy was evaluated fnebo safety in 3 raomized double-blind placebo-controlled trials that included 2116 adult patients with obezita nebo nadváha treated with 2,4 mg Wegovy fnebo up to 68 weeks a a 7 week off-drug follow-up period [see Klinické studie ]. Základní linie characteristics included a mean age of 48 years 71% female 72% White 14% Asian 9% Black nebo African American a 5% repneboted as other nebo unknown; a 85% were not Hispanic nebo Latino ethnicity 13% were Hispanic nebo Latino ethnicity a 2% repneboted as unknown. The baseline characteristics were 42% with hypertenze 19% with typ 2 diabetes 43% with Dyslipidemie 28% with a BMI greater than 40 kg/m² a 4% with cardiovascular disease.
V těchto klinických studiích 6,8% pacientů léčených 2,4 mg Wegovy a 3,2% pacientů léčených placebem trvale ukončilo léčbu v důsledku nežádoucích účinků. Nejběžnější nežádoucí účinky vedoucí k přerušení byly nevolnost (NULL,8% oproti 0,2%) zvracení (NULL,2% oproti 0%) a průjem (NULL,7% oproti 0,1%) pro Wegovy a placebo.
V tabulce 3 jsou uvedeny nežádoucí účinky hlášené v klinických studiích u dospělých a větší nebo rovnou 2% pacientů ošetřených Wegovem a častěji než u pacientů s placebem.
Tabulka 3: Nežádoucí účinky (≥2% a větší než placebo) u dospělých ošetřených Wegovem s obezitou nebo nadváhou
| Placebo N = 1261 % | Wegovy 2,4 mg N = 2116 % | |
| Nevolnost | 16 | 44 |
| Průjem | 16 | 30 |
| Zvracení | 6 | 24 |
| Zácpa | 11 | 24 |
| Bolest břicha a | 10 | 20 |
| Bolest hlavy | 10 | 14 |
| Únava b | 5 | 11 |
| Dyspepsia | 3 | 9 |
| Závrať | 4 | 8 |
| Abdominální distenze | 5 | 7 |
| Erukce | <1 | 7 |
| Hypoglykémie v T2DM c | 2 | 6 |
| Nadýmání | 4 | 6 |
| Gastroenteritida | 4 | 6 |
| Gastroezofageální refluxní onemocnění | 3 | 5 |
| Zánět žaludku d | 1 | 4 |
| Gastroenteritida Viral | 3 | 4 |
| Vypadávání vlasů | 1 | 3 |
| Dysestezie e | 1 | 2 |
| a Zahrnuje bolest břicha břicha Horní břicha Horní bolest břicha Polní bolest břicha břicha Břicha břicha a epigastrické nepohodlí b Zahrnuje únavu a astenii c Definován jako glukóza v krvi <54 mg/dL with nebo without symptoms of Hypoglykémie nebo severe Hypoglykémie (requiring the assistance of another person) in patients with typ 2 diabetes not on concomitant insulin (Study 3 Wegovy N=403 Placebo N=402). Vidět text below fnebo further infnebomation regarding Hypoglykémie in patients with a without typ 2 diabetes. T2DM = typ 2 Diabetes mellitus d Zahrnuje chronickou gastritidu gastritida erozivní a refluxní gastritida e Zahrnuje parestézii hyperestezie popadnutí popálení alodynie dysestezizie kůže pálení pocitu bolesti kůže a citlivé pokožky |
V kardiovaskulárních výsledcích bylo studie 8803 pacientů vystaveno Wegovey za medián 37,3 měsíce a 8801 pacientů bylo vystaveno placebu po dobu 38,6 měsíců [viz viz Klinické studie ]. Safety data collection was limited to serious adverse events (including death) adverse events leading to discontinuation a adverse events of special interest. Sixteen percent (16%) of Wegovy-treated patients a 8% of placebo-treated patients respectively discontinued study drug due to an adverse event. Additional infnebomation from this trial is included in subsequent sections below when relevant.
Nežádoucí účinky v klinické studii u pediatrických pacientů ve věku 12 let a starších s obezitou
Wegovy was evaluated in a 68-week double-blind raomized parallel group placebo-controlled multi-center trial in 201 pediatric patients aged 12 years a older with obezita [see Klinické studie ]. Základní linie characteristics included a mean age of 15.4 years; 38% of patients were male; 79% were White 8% were Black nebo African American 2% were Asian a 11% were of other nebo unknown race; a 11% were of Hispanic nebo Latino ethnicity. The mean baseline body weight was 107.5 kg a mean BMI was 37 kg/m².
Tabulka 4 ukazuje nežádoucí účinky hlášené u více nebo rovných 3% pediatrických pacientů ošetřených Wegovy a častěji než ve skupině s placebem ze studie u pediatrických pacientů ve věku 12 let a starších.
Tabulka 4: Nežádoucí účinky (≥ 3% a větší než placebo) u pediatrických pacientů ošetřených Wegovem ve věku 12 let a starších s obezitou
| Placebo N = 67 % | Wegovy 2,4 mg N = 133 % | |
| Nevolnost | 18 | 42 |
| Zvracení | 10 | 36 |
| Průjem | 19 | 22 |
| Bolest hlavy | 16 | 17 |
| Bolest břicha | 6 | 15 |
| NOSOPHARYNNGITIS | 10 | 12 |
| Závrať | 3 | 8 |
| Gastroenteritida | 3 | 7 |
| Zácpa | 2 | 6 |
| Gastroezofageální refluxní onemocnění | 2 | 4 |
| Sinusitida | 2 | 4 |
| Infekce močových cest | 2 | 4 |
| Rozvrh vazu | 2 | 4 |
| Úzkost | 2 | 4 |
| Vypadávání vlasů | 0 | 4 |
| Cholelithiasis | 0 | 4 |
| Erukce | 0 | 4 |
| Chřipka | 0 | 3 |
| Vyrážka | 0 | 3 |
| Urticaria | 0 | 3 |
Jiné nežádoucí účinky u dospělých a/nebo pediatrických pacientů
Akutní pankreatitida
V klinických studiích Wegovy u dospělých byla akutní pankreatitida potvrzena rozhodnutím u 4 pacientů ošetřených Wegovovou (NULL,2 případů na 100 let pacienta) oproti 1 u pacientů ošetřených placebem (méně než 0,1 případů na 100 let pacientů). Jeden další případ akutní pankreatitidy byl potvrzen u pacienta léčeného Wegovy v jiné klinické hodnocení.
Akutní choroba žlučníku
V klinických studiích Wegovy u dospělých cholelitázy bylo hlášeno 1,6% pacientů ošetřených Wegovovou a 0,7% pacientů ošetřených placebem. Cholecystitida byla hlášena 0,6% dospělých pacientů ošetřených Wegovovou a 0,2% pacientů ošetřených placebem. V klinické studii u pediatrických pacientů ve věku 12 let a starších [viz Klinické studie ] Cholelitiáza bylo hlášeno 3,8% pacientů ošetřených Wegovy a 0% pacientů ošetřených placebem. Cholecystitida byla hlášena 0,8% pediatrických pacientů ošetřených Wegovovou a 0% pacientů ošetřených placebem.
Hypoglykémie
Pacienti s diabetem 2. typu
Ve studii dospělých pacientů s diabetem 2. typu a BMI větší než nebo rovna 27 kg/m² klinicky významná hypoglykémie (definovaná jako plazmatická glukóza menší než 54 mg/dl) byla popsána u 6,2% pacientů léčených Wegovovou oproti 2,5% pacientů s placebem. Vyšší míra klinicky významných hypoglykemických epizod byla zaznamenána s Wegovy (Semaglutid 2,4 mg) oproti semaglutidu 1 mg (NULL,7 vs. 7,2 epizod na 100 pacientských let expozice); Míra ve skupině ošetřené placebem byla 3,2 epizod na 100 pacientských let expozice. Navíc jedna epizoda těžké hypoglykémie vyžadující intravenózní glukózu byla hlášena u pacienta ošetřeného Wegovy oproti žádnému u pacientů ošetřených placebem. Riziko hypoglykémie bylo zvýšeno, když byla použita Wegovy s sulfonylmočovinou.
Pacienti bez diabetu typu 2
Epizody hypoglykémie byly hlášeny s agonisty receptoru GLP-1 u dospělých pacientů bez diabetes mellitus typu 2. V klinických studiích Wegovy u dospělých pacientů bez diabetes mellitus 2. typu nedošlo k systematickému zachycení nebo hlášení hypoglykémie.
Ve studii kardiovaskulárních výsledků u dospělých pacientů bez diabetes typu 2 byly u pacientů léčených Wegovovou oproti 1 epizodě v placebu hlášeny epizody vážné hypoglykémie. Pacienti s anamnézou bariatrické chirurgie (rizikový faktor hypoglykémie) měli více událostí seriózní hypoglykémie při užívání Wegovy (NULL,3% 2/87) než placebo (0% 0/97).
Akutní poškození ledvin
Akutní poškození ledvin došlo v klinických studiích u 7 dospělých pacientů (NULL,4 případů na 100 let pacientů), kteří dostávali Wegovovi oproti 4 pacientům (NULL,2 případů na 100 let expozice), kteří dostávali placebo. Některé z těchto nežádoucích účinků se vyskytly ve spojení s gastrointestinálními nežádoucími reakcemi nebo dehydratací. Kromě toho 2 pacienti léčeni Wegovy měli akutní poškození ledvin dehydratací v jiných klinických studiích. Riziko renálních nežádoucích účinků s Wegovy bylo zvýšeno u dospělých pacientů s anamnézou renálního poškození (studie zahrnovaly 65 pacientů s anamnézou mírného nebo těžkého poškození ledvin na začátku) a během titrace dávky se častěji vyskytly.
Poruchy sítnice u pacientů s diabetem 2. typu
Ve studii dospělých pacientů s diabetem 2. typu a BMI větší než nebo rovna 27 kg/m² poruch sítnice bylo hlášeno 6,9% pacientů léčených Wegovy (semaglutid 2,4 mg) 6,2% pacientů léčených semaglutidem 1 mg a 4,2% pacientů s placem. Většina událostí byla hlášena jako diabetická retinopatie (NULL,0% 2,7%, respektive 2,7%) a nedeliferativní retinopatie (NULL,7% 0% a 0%).
Zvýšení srdeční frekvence
Průměrné zvýšení klidové srdeční frekvence 1 až 4 rytmů za minutu (bpm) bylo pozorováno při rutinním klinickém monitorování u dospělých pacientů ošetřených Wegovovou ve srovnání s placebem v klinických studiích. Ve studiích, ve kterých byli dospělí pacienti randomizováni před eskalací dávky, více pacientů léčených Wegovy ve srovnání s placebem mělo maximální změny od základní linie při jakékoli návštěvě 10 až 19 bpm (41% oproti 34%) a 20 bpm nebo více (26% oproti 16%). V klinické studii u pediatrických pacientů ve věku 12 let a starších s normální základní srdeční frekvence více pacientů léčených Wegovy ve srovnání s placebem mělo maximální změny srdeční frekvence 20 bpm nebo více (54% oproti 39%).
Hypotenze a synkopa
Nežádoucí účinky související s hypotenzí (ortostatická hypotenze hypotenze a snížený krevní tlak) byly hlášeny u 1,3% dospělých pacientů ošetřených Wegovovou oproti 0,4% pacientů ošetřených placebem a synkopa byla popsána u 0,8% pacientů s Wegovovou oproti placebem léčeným pacientům. Některé reakce se týkaly gastrointestinálních nežádoucích účinků a ztráty objemu spojené s Wegovy. Hypotenze a ortostatická hypotenze byly častěji pozorovány u pacientů na doprovodové antihypertenzivní terapii. V klinické studii u pediatrických pacientů ve věku 12 let a starších hypotenze byla hlášena u 2,3% pacientů ošetřených Wegovovou oproti 0% u pacientů ošetřených placebem.
Apendicitida
Apendicitida (including perfneboated appendicitis) occurred in 10 (0.5%) Wegovy-treated adult patients a 2 (0.2%) patients receiving placebo.
Gastrointestinální nežádoucí účinky
V klinických studiích u dospělých 73% pacientů ošetřených Wegovem a 47% pacientů, kteří dostávali placebo, hlásilo gastrointestinální nežádoucí účinky včetně závažných reakcí, které byly častěji hlášeny u pacientů dostávajících Wegovy (NULL,1%) než placebo (NULL,9%). Nejčastěji uváděnými reakcemi byly nevolnost (44% vs. 16%) zvracení (25% vs. 6%) a průjem (30% vs. 16%). Mezi další reakce, které se vyskytly při vyšším výskytu u dospělých pacientů ošetřených Wegovem, patřily dyspepsii břišní bolesti břišní distenze erukce nadýmání Gastroezofageální refluxní onemocnění Gastritidy hemoroidy a škytavky. Tyto reakce se zvýšily během eskalace dávky.
V pediatrické klinické studii 62% pacientů ošetřených Wegovem a 42% pacientů ošetřených placebem hlásilo gastrointestinální poruchy. Nejčastěji hlášené reakce byly nevolnost (42% vs. 18%) zvracení (36% vs. 10%) a průjem (22% vs. 19%). Mezi další reakce související s gastrointestinálem, které se vyskytly při vyšším výskytu než placebo u pediatrických pacientů ošetřených Wegovovou, patřila zácpa břišní bolesti erukce gastroezofageální refluxní onemocnění dyspepsie a nadýmání. Trvalé přerušení léčby v důsledku gastrointestinální nežádoucí reakce došlo u 4,3% dospělých pacientů ošetřených Wegovovou oproti 0,7% pacientů ošetřených placebem. V dětské klinické studii 2,3% pacientů léčených Wegovy oproti 1,5% pacientů, kteří byli léčeni placebem v důsledku gastrointestinálních nežádoucích účinků.
Injekce Site Reactions
V klinických studiích u dospělých 1,4% pacientů ošetřených Wegovem a 1,0% pacientů, kteří dostávali placebo, zažili reakce místa injekčního místa (včetně injekčního zánětu a podráždění zánětů injekce).
Reakce přecitlivělosti
S Wegovy byly hlášeny závažné reakce přecitlivělosti (např. Anafylaxe angioedema).
U dětské klinické studie byla vyrážka hlášena u 3% pacientů ošetřených Wegovy a 0% pacientů ošetřených placebem a urticarie byla hlášena u 3% pacientů ošetřených Wegovovou a 0% pacientů s placebem. V klinických studiích pro dospělé se alergické reakce vyskytly u 16% (8/50) pacientů léčených Wegovovou s antisemaglutidovými protilátkami a u 7% (114/1659) pacientů ošetřených Wegovy, kteří se nevyvinuli antisemaglutidové protilátky [viz [viz [viz [viz [viz [viz [viz [viz antisemaglutidové protilátky. Klinická farmakologie ].
Zlomeniny
V kardiovaskulárních výsledcích studie u dospělých bylo hlášeno více zlomenin kyčle a pánve na Wegovy než na placebu u pacientů: 1,0% (24/2448) vs. 0,2% (5/2424) a u pacientů ve věku 75 let a starších: 2,4% (17/703) vs. 0,6% (4/663).
Urolitiáza
V kardiovaskulárních výsledcích studie 1,2% pacientů ošetřených Wegovovou a 0,8% pacientů, kteří dostávali placebo, hlásilo urolitizitu včetně závažných reakcí, které byly hlášeny častěji u pacientů dostávajících Wegovy (NULL,6%) než placebo (NULL,4%).
Dysgeusia
V klinických studiích u dospělých 1,7% pacientů ošetřených Wegovem a 0,5% pacientů ošetřených placebem hlásilo dysgeusii.
Laboratorní abnormality
Amyláza a lipáza
Dospělí a pediatričtí pacienti léčeni Wegovy měli průměrný nárůst oproti základní linii u amylázy 15-16% a lipázy 39%. Tyto změny nebyly pozorovány ve skupině s placebem. Klinický význam zvýšení lipázy nebo amylázy s Wegovy není známý v nepřítomnosti jiných příznaků a příznaků pankreatitidy.
Jaterní enzymy
V dětské klinické studii se zvýšil u alaninového aminotransferázy (ALT) větší než nebo roven 5násobek horní hranice normálu u 4 (3%) pacientů ošetřených Wegovovou ve srovnání s 0% pacientů ošetřených placebem. U některých pacientů bylo zvýšení ALT a AST spojeno s dalšími matoucími faktory (jako jsou žlučové kameny). V kardiovaskulárních výsledcích studie u dospělých se zvyšuje celkový bilirubin větší než nebo rovný 3násobku horní hranice normálu, byl pozorován u 0,3% (30/8585) pacientů léčených Wegovovou oproti 0,2% (14/8579) u pacientů s placebem.
Zážitek z postmarketingu
Během použití semaglutidu byly hlášeny následující nežádoucí účinky účinné složky Wegovy. Protože tyto reakce jsou hlášeny dobrovolně z populace nejisté velikosti, není vždy možné spolehlivě odhadnout jejich frekvenci nebo vytvořit kauzální vztah k expozici léčiva.
Gastrointestinální poruchy: Akutní pankreatitida a nekrotizující pankreatitida někdy vedou k smrti; Ileus
Hypersenzitivita: Anafylaxe angioedéma vyrážka
Poruchy ledvin a moči: Akutní poškození ledvin
Plicní: Plicní aspirace došlo u pacientů, kteří dostávali agonisty receptoru GLP-1 podstupujících volitelné operace nebo postupy vyžadující celkovou anestézii nebo hlubokou sedaci.
Lékové interakce fnebo Wegovy
Současné použití s inzulínem nebo sekretagogem inzulínu (např. Sulfonylmorea)
Wegovy lowers blood glucose a can cause Hypoglykémie. The risk of Hypoglykémie is increased when Wegovy is used in combination with insulin nebo insulin secretagogues (e.g. sulfonylureas). The addition of Wegovy in patients treated with insulin has not been evaluated.
Při zahájení Wegovy zvažte snížení dávky souběžně podávané sekreagogy inzulínu (jako je sulfonylmočoviny) nebo inzulínu, aby se snížilo riziko hypoglykémie [viz viz VAROVÁNÍS AND OPATŘENÍ a Nežádoucí účinky ].
Orální léky
Wegovy causes a delay of plyntric emptying a thereby has the potential to impact the absneboption of concomitantly administered neboal medications. In clinical pharmacology trials with Semglutide 1 mg Semglutide did not affect the absneboption of neboally administered medications [see Klinická farmakologie ]. Nonetheless monitnebo the effects of neboal medications concomitantly administered with Wegovy.
Varování pro Wegovy
Zahrnuto jako součást OPATŘENÍ sekce.
Opatření pro Wegovy
Riziko nádorů C-buněk štítné žlázy
U myší a potkanů semaglutid způsobil nárůst výskytu nádorů C-buněk štítné žlázy (adenomy a karcinomy) závislý na dávce a doba trvání léčby na klinicky relevantní expozice plazmy [viz viz viz [viz [viz Neklinická toxikologie ]. It is unknown whether Wegovy causes thyroid C-cell tumnebos including MTC in humans as human relevance of Semglutide-induced rodent thyroid C-cell tumnebos has not been determined.
Případy MTC u pacientů léčených liraglutidem další agonista receptoru GLP-1 byla hlášena v období postmarketingu; Data v těchto zprávách nestačí k navázání nebo vyloučení příčinného vztahu mezi agonistou agonisty receptoru GLP-1 u lidí.
Wegovy is contraindicated in patients with a personal nebo family histneboy of MTC nebo in patients with MEN 2. Counsel patients regarding the potential risk fnebo MTC with the use of Wegovy a infnebom them of symptoms of thyroid tumnebos (e.g. a mass in the neck dysphagia dyspnea persistent hoarseness).
Rutinní monitorování sérového kalcitoninu nebo použití ultrazvuku štítné žlázy má nejistou hodnotu pro včasnou detekci MTC u pacientů léčených Wegovy. Takové monitorování může zvýšit riziko zbytečných postupů v důsledku nízké specificity testu pro sérový kalcitonin a vysoký výskyt na pozadí onemocnění štítné žlázy. Významně zvýšená hodnota sérového kalcitoninu může naznačovat, že MTC a pacienti s MTC mají obvykle hodnoty kalcitoninu vyšší než 50 ng/l. Pokud je měřen sérový kalcitonin a zjistí, že je zvýšen, měl by být pacient dále vyhodnocen. Dále by měli být také vyhodnoceni pacienti s uzly štítné žlázy zaznamenané při fyzickém vyšetření nebo zobrazování krku.
Akutní pankreatitida
U pacientů léčených agonisty receptoru GLP-1, včetně semaglutidu, byla pozorována akutní pankreatitida včetně fatální a nefatální hemoragické nebo nekrotizující pankreatitidy. Akutní pankreatitida byla pozorována u pacientů léčených Wegovy v klinických studiích [viz viz Nežádoucí účinky ]. After initiation of Wegovy observe patients carefully fnebo signs a symptoms of acute pancreatitis (including persistent severe Bolest břicha sometimes radiating to the back a which may nebo may not be accompanied by zvracení). If acute pancreatitis is suspected Wegovy should promptly be discontinued a appropriate management should be initiated. If acute pancreatitis is confirmed Wegovy should not be restarted.
U pacientů s anamnézou pankreatitidy existují omezené zkušenosti s klinickými hodnoceními s Wegovy. Není známo, zda pacienti s anamnézou pankreatitidy jsou vystaveni vyššímu riziku vývoje pankreatitidy na Wegovy.
Akutní choroba žlučníku
Zacházení with Wegovy is associated with an increased occurrence of cholelithiasis a cholecystitis. The incidence of cholelithiasis a cholecystitis was higher in Wegovy-treated pediatric patients aged 12 years a older than in Wegovy-treated adults. In raomized clinical trials in adult patients cholelithiasis was repneboted by 1.6% of Wegovy-treated patients a 0.7% of placebo-treated patients. Cholecystitis was repneboted by 0.6% of Wegovy-treated adult patients a 0.2% of placebo-treated patients. In a clinical trial in pediatric patients aged 12 years a older cholelithiasis was repneboted by 3.8% of Wegovy-treated patients a 0% placebo-treated patients. Cholecystitis was repneboted by 0.8% of Wegovy-treated pediatric patients a 0% placebo-treated patients [see Nežádoucí účinky ].
Značné nebo rychlé úbytek hmotnosti může zvýšit riziko cholelitiázy; Výskyt akutní choroby žlučníku však byl vyšší u pacientů ošetřených Wegovem než u pacientů ošetřených v placebu i po účtování stupně hubnutí. Pokud je podezření na cholelithiasis, jsou uvedeny studie žlučníku a jsou uvedeny vhodné klinické sledování.
Hypoglykémie
Wegovy lowers blood glucose a can cause Hypoglykémie.
Ve studii dospělých pacientů s diabetem 2. typu a indexem tělesné hmotnosti (BMI) větší než nebo rovna se hypoglykémií 27 kg/m² (definovaných jako plazmatická glukóza menší než 54 mg/dl) byla hlášena u 6,2% pacientů ošetřených WeGoVy oproti 2,5% placebem ošetřených pacientů. Jedna epizoda těžké hypoglykémie (vyžadující pomoc jiné osoby) byla hlášena u jednoho pacienta ošetřeného Wegovovou oproti žádným pacientům ošetřeným placebem.
Pacienti s diabetes mellitus užívající Wegovy v kombinaci s inzulínem nebo inzulinovou sekreagogem (např. Sulfonylreau) mohou mít zvýšené riziko hypoglykémie včetně těžké hypoglykémie. Hypoglykémie byla pozorována u pacientů léčených semaglutidem v dávkách 0,5 a 1 mg v kombinaci s inzulínem. Použití Wegovy (semaglutid 2,4 mg nebo 1,7 mg jednou týdně) u pacientů s diabetes mellitus 1. typu nebo v kombinaci s inzulínem nebylo vyhodnoceno.
Informujte pacienty o riziku hypoglykémie a vzdělávejte je o příznacích a příznacích hypoglykémie. U pacientů s diabetem monitoruje glukózu v krvi před zahájením Wegovy a během léčby Wegovy. Při zahájení Wegovy zvažte snížení dávky souběžně podávaného sekretagoga inzulínu nebo inzulínu (jako je sulfonylmočoviny), aby se snížilo riziko hypoglykémie [viz viz Lékové interakce ].
Akutní poškození ledvin
Zprávy o akutním poškození ledvin a zhoršení chronického selhání ledvin, které v některých případech vyžadovaly hemodialýzu u pacientů léčených semaglutidem a zhoršení chronického selhání ledvin. Pacienti s poškozením ledvin mohou být vystaveni většímu riziku akutního poškození ledvin, ale některé z těchto událostí byly hlášeny u pacientů bez známého podkladového onemocnění ledvin. Většina hlášených událostí se vyskytla u pacientů, kteří zažili zvracení nebo průjem nevolnosti, což vedlo k vyčerpání objemu [viz Nežádoucí účinky ].
Monitorujte funkci ledvin při zahájení nebo stupňování dávek Wegovy u pacientů, kteří uvádějí závažné nežádoucí gastrointestinální reakce. Monitorujte funkci ledvin u pacientů s poškozením ledvin a vykazují jakékoli nežádoucí účinky, které by mohly vést k vyčerpání objemu.
Reakce přecitlivělosti
S Wegovy byly hlášeny závažné reakce přecitlivělosti (např. Anafylaxe angioedema). If hypersensitivity reactions occur discontinue use of Wegovy treat promptly per staard of care a monitnebo until signs a symptoms resolve. Wegovy is contraindicated in patients with a prinebo serious hypersensitivity reaction to Semglutide nebo to any of the excipients in Wegovy [see Nežádoucí účinky ].
Anafylaxe a angioedém byly hlášeny u jiných agonistů receptoru GLP-1. U pacientů s anafylaxí nebo angioedémem buďte opatrní s jiným agonistou receptoru GLP-1, protože není známo, zda tito pacienti budou k těmto reakcím predisponováni.
Komplikace diabetické retinopatie u pacientů s diabetem 2. typu 2
Ve studii dospělých pacientů s diabetem 2. typu a BMI větší než nebo rovna 27 kg/m² diabetická retinopatie bylo hlášeno 4,0% pacientů ošetřených Wegovovou a 2,7% pacientů ošetřených placebem.
Ve dvouleté studii se semaglutidem 0,5 mg a 1 mg jednou týdně injekcí u dospělých pacientů s diabetem 2. typu a vysokým kardiovaskulárním rizikem diabetické komplikace retinopatie (což byl 4-komponentní koncový bod rozhodnutého) došlo u pacientů léčených injekcí semaglutidů (NULL,0%) ve srovnání s místem (NULL,8%). Absolutní zvýšení rizika pro komplikace diabetické retinopatie bylo větší u pacientů s anamnézou diabetické retinopatie na začátku (injekce semaglutidu 8,2% placebo 5,2%) než u pacientů bez známé anamnézy diabetické retinopatie (injekce semaglutidu 0,7% placeba 0,4%).
Rychlé zlepšení kontroly glukózy bylo spojeno s dočasným zhoršením diabetické retinopatie. Účinek dlouhodobé glykemické kontroly se semaglutidem na komplikace diabetické retinopatie nebyl studován. Pacienti s anamnézou diabetické retinopatie by měli být sledováni na progresi diabetické retinopatie.
Zvýšení srdeční frekvence
Zacházení with Wegovy was associated with increases in resting heart rate. Mean increases in resting heart rate of 1 to 4 beats per minute (bpm) were observed in Wegovy-treated adult patients compared to placebo in clinical trials. Mneboe adult patients treated with Wegovy compared with placebo had maximum changes from baseline at any visit of 10 to 19 bpm (41% versus 34% respectively) a 20 bpm nebo mneboe (26% versus 16% respectively). In a clinical trial in pediatric patients aged 12 years a older with nnebomal baseline heart rate mneboe patients treated with Wegovy compared to placebo had maximum changes in heart rate of 20 bpm nebo mneboe (54% versus 39%) [see Nežádoucí účinky ].
Sledujte srdeční frekvenci v pravidelných intervalech v souladu s obvyklou klinickou praxí. Poskytněte pacientům, aby informovali své poskytovatele zdravotní péče o palpitacích nebo pocitech závodního srdečního rytmu v klidu během léčby Wegovy. Pokud pacienti zažívají trvalý nárůst klidového srdečního frekvence, který přerušil Wegovy.
Sebevražedné chování a myšlenky
Sebevražedné chování a myšlenky byly hlášeny v klinických studiích s jinými produkty na řízení hmotnosti. Monitorujte pacienty léčené Wegovy pro vznik nebo zhoršení sebevražedných myšlenek nebo chování deprese a/nebo neobvyklých změn v náladě nebo chování. Ukončete Wegovy u pacientů, kteří zažívají sebevražedné myšlenky nebo chování. Vyvarujte se Wegovy u pacientů s anamnézou sebevražedných pokusů nebo aktivní sebevražedné myšlenky.
Plicní aspirace během celkové anestézie nebo hluboké sedace
Wegovy delays plyntric emptying [see Klinická farmakologie ]. There have been rare postmarketing repnebots of pulmonary aspiration in patients receiving GLP-1 receptnebo agonists undergoing elective surgeries nebo procedures requiring general anesthesia nebo deep sedation who had residual plyntric contents despite repneboted adherence to preoperative fasting recommendations.
Dostupné údaje nejsou dostatečné k informování doporučení ke zmírnění rizika plicní aspirace během celkové anestézie nebo hluboké sedace u pacientů užívajících Wegovy, včetně toho, zda úprava doporučení předoperačního půdu nebo dočasná přerušení Wegovy by mohla snížit výskyt obsahu ponechané. Poskytněte pacientům, aby informovali poskytovatele zdravotní péče před jakýmikoli plánovanými operacemi nebo postupy, pokud berou Wegovy.
Informace o poradenství pro pacienta
Doporučujte pacientovi, aby si přečetl značení pacienta schváleného FDA ( Průvodce léky a Pokyny pro použití ).
Riziko nádorů C-buněk štítné žlázy
Informujte pacienty, že semaglutid způsobuje nádory C-buněk štítné žlázy u hlodavců a že lidský význam tohoto nálezu nebyl stanoven. Poraďte pacientům, aby nahlásili příznaky nádorů štítné žlázy (např. Hručka v chrapotru krku nebo dušnosti) svému lékaři [viz viz Varování v krabici a VAROVÁNÍS AND OPATŘENÍ ].
Akutní pankreatitida
Informujte pacienty o potenciálním riziku akutní pankreatitidy. Poskytněte pacientům, aby rychle přerušili Wegovy a kontaktovali svého lékaře, pokud je podezření na pankreatitidu (těžká bolest břicha, která může vyzařovat dozadu a které mohou nebo nemusí být doprovázeny zvracením) [Viz viz VAROVÁNÍS AND OPATŘENÍ ].
Akutní choroba žlučníku
Informujte pacienty o riziku akutní onemocnění žlučníku. Poraďte se s pacienty, že značné nebo rychlé úbytek na váze může zvýšit riziko onemocnění žlučníku, ale že se může dojít k onemocnění žlučníku také v nepřítomnosti podstatného nebo rychlého úbytku hmotnosti. Poskytněte pacientům, aby kontaktovali svého poskytovatele zdravotní péče pro vhodné klinické sledování, pokud je podezření na onemocnění žlučníku [viz VAROVÁNÍS AND OPATŘENÍ ].
Hypoglykémie
Informujte pacienty o riziku hypoglykémie a vzdělávejte pacienty o příznacích a příznacích hypoglykémie. Poraďte se s pacienty s diabetes mellitus na terapii snižující glykemii, že při používání Wegovy a na hlášení příznaků a/nebo příznaků hypoglykémie mohou mít zvýšené riziko hypoglykémie [viz viz [viz [Viz [viz VAROVÁNÍS AND OPATŘENÍ ].
Dehydratace a poškození ledvin
Poraďte se s pacienty léčeni Wegovy o potenciálním riziku dehydratace v důsledku gastrointestinálních nežádoucích účinků a přijímají opatření, aby se zabránilo vyčerpání tekutin. Informujte pacienty o potenciálním riziku zhoršení funkce ledvin a vysvětlete související příznaky a příznaky poškození ledvin a také možnost dialýzy jako lékařského zásahu, pokud dojde k selhání ledvin [viz viz VAROVÁNÍS AND OPATŘENÍ ].
Reakce přecitlivělosti
Informujte pacienty, že během postmarketingového používání semaglutidu v Wegovii byly hlášeny vážné reakce přecitlivělosti. Poraďte pacientům o příznacích hypersenzitivních reakcí a pokynujte jim, aby přestali brát Wegovy a okamžitě vyhledat lékařskou radu, pokud dojde k takovým příznakům [Viz [Viz [Viz VAROVÁNÍS AND OPATŘENÍ ].
Komplikace diabetické retinopatie u pacientů s diabetem 2. typu 2
Informujte pacienty s diabetem 2. typu, aby se obrátili na svého lékaře, pokud se během léčby s Wegoviem zaznamenají změny vidění [viz VAROVÁNÍS AND OPATŘENÍ ].
Zvýšení srdeční frekvence
Pokynu pacientů, aby informovali své poskytovatele zdravotní péče o palpitace nebo pocitech závodního srdečního rytmu během klidu během léčby Wegovy [viz viz VAROVÁNÍS AND OPATŘENÍ ].
Sebevražedné chování a myšlenky
Poraďte pacientům, aby nahlásili vznik nebo zhoršení sebevražedných myšlenek nebo chování deprese a/nebo jakékoli neobvyklé změny v náladě nebo chování. Informujte pacienty, že pokud zažívají sebevražedné myšlenky nebo chování, měli by přestat brát Wegovy [Viz VAROVÁNÍS AND OPATŘENÍ ].
Plicní aspirace během celkové anestézie nebo hluboké sedace
Informujte pacienty, že Wegovy může způsobit, že se jejich žaludek vyprázdní pomaleji, což může vést ke komplikacím s anestezií nebo hlubokou sedací během plánovaných operací nebo postupů. Poskytněte pacientům, aby informovali poskytovatele zdravotní péče před jakýmikoli plánovanými operacemi nebo postupy, pokud berou Wegovy [viz VAROVÁNÍS AND OPATŘENÍ ].
Těhotenství
Wegovy may cause fetal harm. Advise patients to infnebom their healthcare provider of a known nebo suspected pregnancy. Advise patients who are exposed to Wegovy during pregnancy to contact Novo Nnebodisk at 1-877Â390-2760 nebo www.wegovypregnancyregistry.com [see Použití v konkrétních populacích ].
Neklinická toxikologie
Zhodnocení mutageneze karcinogeneze plodnosti
Ve dvouleté studii karcinogenity u subkutánních dávek CD-1 myší 0,3 1 a 3 mg/kg/den (2-8 a 22âfold Maximální doporučená dávka lidské [MRHD] 2,4 mg/týden na základě AUC) byla podávána mužům a 1 mg/kg/kg/den (NULL,6- 2- 2- a 5-flold) byly podávány MRHD). Statisticky významné zvýšení adenomů C-buněk štítné žlázy a numerické zvýšení karcinomů C-buněk bylo pozorováno u mužů a žen při všech úrovních dávky (větší než nebo roven 0,6násobek expozice člověka).
Ve dvouleté studii karcinogenity u potkanů Sprague Dawley byly podávány podkožní dávky 0,0025 0,01 0,025 a 0,1 mg/kg/den (pod kvantifikací 0,2- 0,4- a 2krát expozice na MRHD). Statisticky významné zvýšení adenomů C-buněk štítné žlázy bylo pozorováno u mužů a žen při všech hladinách dávky a u mužů při klinicky relevantních expozicích bylo pozorováno statisticky významné zvýšení karcinomů C-buněk štítné žlázy.
Lidská relevance nádorů C-buněk štítné žlázy u potkanů není známa a nemohla být stanovena klinickými studiemi nebo neklinickými studiemi [viz viz Varování v krabici a VAROVÁNÍS AND OPATŘENÍ ]. Semaglutide was not mutagenic nebo clastogenic in a staard battery of genotoxicity tests (bacterial mutagenicity [Ames] human lymphocyte chromosome aberration rat bone marrow micronucleus).
V kombinované studii vývoje plodnosti a embryo-fetálního vývoje u potkanů podkožní dávky 0,01 0,03 a 0,09 mg/kg/den (NULL,04- 0,1- a 0,4krát MRHD) byly podávány mužské a samice potkanů. Samci byli dávkováni po dobu 4 týdnů před pářením a ženy byly dávkovány po dobu 2 týdnů před pářením a v celé organogenezi až do dne 17. dne. Na mužskou plodnost nebyly pozorovány žádné účinky. U žen bylo pozorováno zvýšení délky cyklu estrusového cyklu při všech hladinách dávky spolu s malým snížením počtu korpusů lutea při větší nebo rovné 0,03 mg/kg/den. Tyto účinky byly pravděpodobně adaptivní reakcí sekundární na farmakologický účinek semaglutidu na spotřebu potravy a tělesnou hmotnost.
Použití v konkrétních populacích
Těhotenství
Těhotenství Exposure Registry
Bude existovat registr expozice těhotenství, který monitoruje výsledky těhotenství u žen vystavených semaglutidu během těhotenství. Těhotné ženy vystavené poskytovatelům Wegovy a zdravotní péče se vyzývají, aby kontaktovaly Novo Nordisk na čísle 1-877-390-2760 nebo www.wegovypregnancyregistry.com.
Shrnutí rizika
Na základě studií reprodukce zvířat může existovat potenciální rizika pro plod z expozice semaglutidu během těhotenství. Úbytek hmotnosti navíc neposkytuje těhotným pacientovi žádnou výhodu a může způsobit poškození plodu. Když je těhotenství uznáno, poraďte se těhotným pacientem o riziku pro plod a přestaneme Wegovy (viz Klinické úvahy ). Available pharmacovigilance data a data from clinical trials with Wegovy use in pregnant patients are insufficient to establish a drug-associated risk of majnebo birth defects miscarriage nebo adverse maternal nebo fetal outcomes.
U těhotných potkanů podával semaglutid během organogeneze embryfetální úmrtnosti strukturální abnormality a změny růstu došlo při expozicích matek pod maximální doporučenou lidskou dávkou (MRHD) na základě AUC. U králíků a opic Cynomolgus podávaly semaglutid během organogeneze včasné ztráty těhotenství a strukturální abnormality pod MRHD (králík) a větší než nebo rovnající se dvojnásobně MRHD (opice). Tato zjištění se shodovala s výrazným úbytkem tělesné hmotnosti matek u obou druhů zvířat (viz Data ).
Odhadované riziko na pozadí hlavních vrozených vad a potratu pro uvedenou populaci není známo. V americké obecné populaci je odhadované riziko na pozadí hlavních vrozených vad a potratu u klinicky uznávaných těhotenství 2-4% a 15–20%.
Klinické úvahy
Mateřské a/nebo embryo/fetální riziko spojené s nemocí
Pro všechny těhotné pacienty, včetně těch, kteří již mají nadváhu nebo obezitu, se v současné době doporučuje vhodný přírůstek hmotnosti na základě hmotnosti před těhotenstvím kvůli povinnému přírůstku hmotnosti, ke kterému dochází v tkáních matek během těhotenství.
Data
Údaje o zvířatech
V kombinované studii vývoje plodnosti a embryfetálního vývoje u potkanů podkožní dávky 0,01 0,03 a 0,09 mg/kg/den (NULL,04- 0,1- a 0,4krát MRHD) byly podávány mužům po dobu 4 týdnů před a během tělesné váhy po dobu 2 týdnů před pářením a během organogeneze 17. a spotřeba potravin byla pozorována při všech úrovních dávky. U potomků byly sníženy růst a plody s viscerálními (srdečními krevními cévami) a kosterními (lebkami obratlů) abnormalit) při expozici člověka.
Ve studii vývoje embryfetálního vývoje u těhotných králíků subkutánních dávek 0,0010 0,0025 nebo 0,0075 mg/kg/den (NULL,01- 0,1- a 0,9krát MRHD) byly podávány během organogeneze od dne 6. do 19. farmakologicky zprostředkované snížení při všech úrovních hmotnosti matky. Včasné ztráty těhotenství a zvýšené výskyt menších viscerálních (ledvinových játra) a kosterních (sternebra) plodových abnormalit byly pozorovány při více nebo rovných 0,0025 mg/kg/den při klinicky relevantních expozicích.
Ve studii vývoje embryfetálního vývoje u těhotných podkožních dávek Cynomolgus Monkeys byla během organogeneze 0,015 0,075 a 0,15 mg/kg počáteční počáteční počáteční počáteční hubnutí a pobytoucí tělesnou hmotností a postižením při postižení tělesné hmotnosti a potravinovou stranou a potravinou se vyskytly a potravinovou stranou a potravinou se vybíraly a potravinou se vyskytly z potravy a potrava se přibývaly na tělesné hmotnosti a potravinovou stranou a potravinou se vyskytly a potravinou se vyskytly z počáteční hmotnosti a potrava se vybíraly s výskytem tělesné hmotnosti a potrava se vybíhaly z tělesné hmotnosti a potravinovou stranou a postižením snižováním tělesné hmotnosti a pobytoucí se snižujícím tělesným hubnutím a postižením. Sporadické abnormality (žebra sternebry obratle) při větší nebo rovné 0,075 mg/kg dvakrát týdně (větší nebo rovna 2násobku lidské expozice).
In a pre- and postnatal development study in pregnant cynomolgus monkeys subcutaneous doses of 0.015 0.075 and 0.15 mg/kg twice weekly (0.2- 1- and 3-fold the MRHD) were administered from Gestation Day 16 to 140. Pharmacologically mediated marked initial maternal body weight loss and reductions in body weight gain and food consumption coincided with an increase in early pregnancy Ztráty a vedly k dodání mírně menších potomků při větší nebo rovné 0,075 mg/kg dvakrát týdně (větší nebo rovné 1 časové expozici člověka).
Laktace
Shrnutí rizika
Neexistují žádné údaje o přítomnosti semaglutidu nebo jeho metabolitů v lidském mléce účinky na kojené dítě nebo účinky na produkci mléka. Semaglutid byl přítomen v mléce kočících potkanů. Když je lék přítomen v zvířecím mléce, je pravděpodobné, že droga bude přítomna v lidském mléce (viz Data ). The developmental a health benefits of breastfeeding should be considered along with the mother’s clinical need fnebo Wegovy a any potential adverse effects on the breastfed infant from Wegovy nebo from the underlying maternal condition.
Data
U kojence potkanů byl semaglutid detekován v mléce v hladině o 3-12krát nižší než v mateřské plazmě.
Ženy a muži reprodukčního potenciálu
Kvůli potenciálu poškození plodu ukončete Wegovy u pacientů nejméně 2 měsíce, než plánují otěhotnět, aby odpovídali za dlouhý poločas semaglutidu [viz Použití v konkrétních populacích ].
Dětské použití
U pediatrických pacientů ve věku 12 let a starších s obezitou byla stanovena bezpečnost a účinnost Wegovy jako doplňku ke snížené stravě kalorií a zvýšenou fyzickou aktivitu pro snížení hmotnosti a dlouhodobé údržby. Použití Wegovy pro tuto indikaci je podporováno 68týdenním dvojitým slepým placebem kontrolovaným klinickým hodnocením u 201 dětských pacientů ve věku 12 let a starších s BMI odpovídající ≥ 95. percentilu pro věk a pohlaví a ze studií u dospělých pacientů s obezitou [viz viz Klinické studie ].
Nežádoucí účinky s léčbou Wegovy u pediatrických pacientů ve věku 12 let a starších byly obecně podobné těm, které byly uvedeny u dospělých. Pediatričtí pacienti ve věku 12 let a starších léčených Wegovy měli větší incidenty cholelitiázy cholecystitis hypotenze a kopce ve srovnání s dospělými léčenými Wegovy [viz viz Nežádoucí účinky ].
U pediatrických pacientů s diabetem typu 2 léčených Wegovy pro obezitu neexistují nedostatečné údaje, aby se zjistilo, zda existuje zvýšené riziko hypoglykémie s léčbou Wegovovou podobnou tomu u dospělých. Informujte pacienty o riziku hypoglykémie a vzdělávejte je o příznacích a příznacích hypoglykémie. U pediatrických pacientů ve věku 12 let a starších s diabetem 2. typu monitoruje glukózu v krvi před zahájením Wegovy a během léčby Wegovy. Při zahájení Wegovy u pediatrických pacientů ve věku 12 let a starších s diabetem 2. typu zvažte snížení dávky souběžně podávané sekreagogy inzulínu (jako je sulfonylmočoviny) nebo inzulín, aby se snížilo riziko hypoglykémie [viz viz VAROVÁNÍS AND OPATŘENÍ ].
U pediatrických pacientů mladších 12 let nebyla stanovena bezpečnost a účinnost Wegovy.
Geriatrické použití
V klinických studiích Wegovy pro snížení hmotnosti a dlouhodobé údržbě 233 (9%) pacientů ošetřených Wegovy bylo ve věku 65 až 75 let a 23 (1%) pacientů ošetřených Wegovovou bylo ve věku 75 let [viz viz viz starších let [viz viz Klinické studie ]. In a cardiovascular outcomes trial 2656 (30%) Wegovy-treated patients were aged 65 to 75 years a 703 (8%) Wegovy-treated patients were aged 75 years a older [see Klinické studie ]. No overall difference in effectiveness was observed between patients aged 65 years a older a younger adult patients. In the cardiovascular outcomes trial patients aged 75 years a older repneboted mneboe fractures of the hip a pelvis on Wegovy than on placebo. Patients aged 75 years a older (WegovyÂtreated a placebo-treated) repneboted mneboe serious adverse reactions overall compared to younger adult patients [see Nežádoucí účinky ].
Poškození ledvin
U pacientů s poškozením ledvin se nedoporučuje žádné nastavení dávky Wegovy. Ve studii u pacientů s poruchou ledvin včetně onemocnění ledvin v konečném stádiu nebyla pozorována klinicky relevantní změna farmakokinetiky semaglutidu [viz viz Klinická farmakologie ].
Poškození jater
U pacientů s jaterním poškozením se nedoporučuje žádná úprava dávky Wegovy. Ve studii u pacientů s různým stupněm poškození jater nebyla pozorována klinicky relevantní změna semaglutidové farmakokinetiky [viz viz Klinická farmakologie ].
Informace o předávkování Wegovy
Předávkování bylo hlášeno u jiných agonistů receptoru GLP-1. Účinky zahrnovaly těžké nevolnosti závažné zvracení a závažnou hypoglykémii. V případě předávkování by měla být zahájena vhodná podpůrná léčba podle klinických příznaků a symptomů pacienta. V případě předávkování Wegovy zvažte kontakt s kontaktem s linií help help (1-800-222-1222) nebo lékařského toxikologa pro další doporučení pro řízení předávkování. Může být nezbytné prodloužené období pozorování a léčby těchto příznaků s přihlédnutím k dlouhému poločasu Wegovy přibližně 1 týden.
Kontraindikace pro Wegovy
Wegovy is contraindicated in the following conditions:
- Osobní nebo rodinná anamnéza MTC nebo u pacientů s muži 2 [viz VAROVÁNÍS AND OPATŘENÍ ].
- Předchozí vážná hypersenzitivní reakce na semaglutid nebo na jakýkoli pomocné látky ve Wegoveu. S Wegovy byly hlášeny vážné reakce přecitlivělosti včetně anafylaxe a angioedému [viz viz VAROVÁNÍS AND OPATŘENÍ ].
Klinická farmakologie fnebo Wegovy
Mechanismus působení
Semaglutid je analog GLP-1 s 94% sekvenční homologií s lidským GLP-1. Semaglutid působí jako agonista receptoru GLP-1, který se selektivně váže na receptor GLP-1 a aktivuje cíl pro nativní GLP-1.
GLP-1 je fyziologický regulátor příjmu chuti k jídlu a kalorickým kalorickým a receptor GLP-1 je přítomen v několika oblastech mozku zapojeného do regulace chuti k jídlu. Studie na zvířatech ukazují, že semaglutid distribuoval a aktivoval neurony v mozkových oblastech zapojených do regulace příjmu potravy.
Přesný mechanismus redukce kardiovaskulárního rizika nebyl stanoven.
Farmakodynamika
Semaglutid snižuje tělesnou hmotnost s větší ztrátou hmotnosti tuku než ztráta hmoty. Semaglutid snižuje příjem kalorií. Účinky jsou pravděpodobně zprostředkovány ovlivněním chuti k jídlu.
Semaglutid stimuluje sekreci inzulínu a snižuje sekreci glukagonu způsobem závislým na glukóze. Tyto účinky mohou vést ke snížení glukózy v krvi.
Vyprazdňování žaludku
Semaglutid zpožďuje vyprazdňování žaludku.
Srdeční elektrofyziologie (QTC)
Účinek semaglutidu na srdeční repolarizaci byl testován v důkladné pokusech QTC. Semaglutid neprodloužil intervaly QTC v dávkách až 1,5 mg v ustáleném stavu.
Farmakokinetika
Vstřebávání
Absolutní biologická dostupnost semaglutidu je 89%. Maximální koncentrace semaglutidu je dosažena 1 až 3 dny po dávce.
Podobné expozice bylo dosaženo subkutánním podáváním semaglutidu v břiše nebo horní části paže.
Průměrná koncentrace ustáleného stavu semaglutidu po subkutánním podání Wegovy byla přibližně 75 nmol/l u pacientů s obezitou (BMI větší než nebo rovnající se 30 kg/m²) nebo nadváhou (BMI větší než nebo rovná 27 kg/m²). Expozice Wegovy ustáleného stavu se proporcionálně zvýšila s dávkami až 2,4 mg jednou týdně.
Rozdělení
Průměrný objem distribuce semaglutidu po subkutánním podání u pacientů s obezitou nebo nadváhou je přibližně 12,5 L. semaglutid je rozsáhle vázán na plazmatický albumin (větší než 99%), což má za následek snížení renální clearance a ochrany před degradací.
Odstranění
Zjevná clearance semaglutidu u pacientů s obezitou nebo nadváhou je přibližně 0,05 l/h. S eliminačním poločasem přibližně 1 týdne bude v oběhu přítomen asi 5 až 7 týdnů po poslední dávce 2,4 mg.
Metabolismus
Primární trasou eliminace pro semaglutid je metabolismus po proteolytickém štěpení peptidové páteře a sekvenční beta-oxidaci strašidelné kyseliny.
Vylučování
Primární vylučovací trasy materiálu souvisejícího se semaglutidem jsou moč a stolice. Přibližně 3% dávky je vylučováno v moči jako neporušený semaglutid.
Konkrétní populace
Účinky vnitřních faktorů na farmakokinetiku semaglutidu jsou uvedeny na obrázku 2.
Obrázek 2: Dopad vnitřních faktorů na expozici semaglutidu
Data are steady-state dose-nnebomalized average Semglutide exposures relative to a reference subject profile (non-Hispanic nebo Latino ethnicity white female aged 18 to less than 65 years with a body weight of 110 kg a nnebomal renal function who injected in the abdomen). Body weight categneboies (74 a 143 kg) represent the 5% a 95% percentiles in the dataset.
Pacienti s poškozením ledvin
Poškození ledvin neovlivnilo expozici semaglutidu klinicky relevantním způsobem. Farmakokinetika semaglutidu byla hodnocena po jedné dávce 0,5 mg semaglutidu ve studii pacientů s různým stupněm poškození ledvin (mírný mírný závažný nebo ESRD) ve srovnání s subjekty s normální funkcí ledvin. Farmakokinetika byla také hodnocena u subjektů s nadváhou (BMI 27-29,9 kg/m²) nebo obezita (BMI větší než nebo rovna 30 kg/m²) a mírné až střední poškození ledvin na základě údajů z klinických studií.
Pacienti s poškozením jater
Poškození jater neovlivnilo expozici semaglutidu. Farmakokinetika semaglutidu byla hodnocena po jediné dávce 0,5 mg semaglutidu ve studii pacientů s různým stupněm jaterního poškození (mírné střední závažné) ve srovnání s subjekty s normální jaterní funkcí.
Lékové interakce Studies
Studie in vitro prokázaly velmi nízký potenciál pro semaglutid inhibovat nebo indukovat enzymy CYP nebo inhibovat transportéry léčiva.
Zpoždění vyprazdňování žaludku se semaglutidem může ovlivnit absorpci souběžně podávaných orálních léků [viz viz Lékové interakce ]. The potential effect of Semglutide on the absneboption of co-administered neboal medications was studied in trials at Semglutide 1 mg steady-state exposure. No clinically relevant drug-drug interactions with Semglutide (Figure 3) were observed based on the evaluated medications. In a separate study no apparent effect on the rate of plyntric emptying was observed with Semglutide 2,4 mg.
Obrázek 3: Dopad semaglutidu 1 mg na farmakokinetiku spolupracovních léků
Relativní expozice z hlediska AUC a CMAX pro každý lék, pokud jsou podávány se semaglutidem ve srovnání se semaglutidem. Metformin a perorální antikoncepční léčiva (ethinylestradiol/levonorgestrel) byly hodnoceny v ustáleném stavu. Po jediné dávce byly hodnoceny warfarin (S-warfarin/râwarfarin) digoxin a atorvastatin. Zkratky: AUC: Plocha pod křivkou CMAX: Maximální koncentrace CI: Interval spolehlivosti.
Imunogenita
Pozorovaný výskyt protilátek proti drogru je vysoce závislý na citlivosti a specificitě testu. Rozdíly v testovacích metodách vylučují smysluplné srovnání výskytu protiládních protilátek ve studiích popsaných níže s výskytem protilátek protilátek v jiných studiích, včetně studií semaglutidu nebo jiných semaglutidových produktů.
Během 68týdenních období léčby ve studiích 2 a 3 [viz Klinické studie ] 50/1709 (3%) pacientů léčených Wegovovou vyvinulo anti-semaglutidové protilátky. Z těchto 50 pacientů ošetřených Wegovovou 28 pacientů (2% z celkové studijní populace ošetřené Wegovy) se vyvinulo protilátky, které zkřížené s nativním GLP-1. Nebyl pozorován žádný klinicky významný účinek anti-semaglutidových protilátek na farmakokinetiku pro Wegovy. Neexistuje dostatečný důkaz, který charakterizuje účinky anti-semaglutidových protilátek na farmakodynamiku nebo účinnost semaglutidu.
Klinické studie
Kardiovaskulární výsledky zkouška u dospělých pacientů s kardiovaskulárním onemocněním a obezitou nebo nadváhou
Přehled klinického hodnocení
Studie 1 (NCT03574597) byla mnohonárodnostní multicentrická placebem kontrolovaná dvojitě slepá studie, která určila účinek Wegova ve srovnání s placebem na hlavní nežádoucí kardiovaskulární příhody (Mace), když se přidala do současného standardního péče, která zahrnovala řízení rizikových faktorů CV a individualizované zdravé životní poradenství (včetně stravy a fyzické aktivity). Primárním macem koncového bodu byl čas na první výskyt třídílného kompozitního výsledku, který zahrnoval kardiovaskulární smrt nefatální infarkt myokardu a nefatální mrtvici.
Všichni pacienti byli 45 let nebo starší s počátečním BMI 27 kg/m² nebo větší a zavedenou kardiovaskulární onemocnění (předchozí infarkt myokardu před předchozí mrtvicí nebo periferní arteriální onemocnění). Pacienti s anamnézou typu 1 nebo typ 2 diabetes byly vyloučeny. Současné CV terapie by mohly být upraveny podle uvážení vyšetřovatele, aby se zajistilo, že účastníci byli léčeni podle současného standardu péče o pacienty se zavedeným kardiovaskulárním onemocněním.
V této studii bylo 17604 pacientů randomizováno do Wegovy nebo placeba. Na začátku byl průměrný věk 62 let (rozmezí 45-93) 72% mužů 84% bylo bílé 4% černých nebo afrických Američanů a 8% bylo asijských a 10% hispánských nebo latino. Průměrná základní tělesná hmotnost byla 97 kg a průměrná BMI byla 33 kg/m². Na základní linii byl předchozí infarkt myokardu hlášen u 76% randomizovaných jedinců před předchozí mrtvicí u 23% a periferní arteriální onemocnění u 9%. Selhání srdce byl hlášen u 24% pacientů. Na základní linii byly kardiovaskulární onemocnění a rizikové faktory léčeny terapií snižující lipid (90%) inhibitory agregace destiček (86%) inhibitorů enzymu angiotensinu nebo blokátory receptoru angiotensinu II (74%) a blokátory beta (70%). Celkem 10% mělo mírné poškození ledvin (EGFR 30 až <60 mL/min/1.73m²) a 0.4% had severe renal impairment eGFR <30 mL/min/1.73m².
Výsledky
Celkem 96,9% pacientů dokončilo studii a pro 99,4% pacientů byl k dispozici vitální stav. Střední doba sledování byla 41,8 měsíce. Celkem 31% pacientů ošetřených Wegovy a 27% pacientů ošetřených placebem trvale ukončilo studijní lék.
Pro primární analýzu byl k testování nadřazenosti použit model COX proporcionálních rizik. Chyba typu 1 byla kontrolována na více testech.
Wegovy significantly reduced the risk fnebo first occurrence of MACE. The estimated hazard ratio (95% CI) was 0.80 (0.72 0.90) (see Figure 4 a Table 5).
Obrázek 4: Funkce kumulativního výskytu: Čas do prvního výskytu Mace ve studii 1
Data from the in-trial period. Cumulative incidence estimates are based on time from raomization to first EAC-confirmed cardiovascular death non-fatal myocardial infarction nebo non-fatal stroke with non-CV death modeled as competing risk using the Aalen-Johansen estimatnebo. Patients without events of interest were censneboed at the end of their in-trial observation period. Time from raomization to first cardiovascular death nonÂfatal myocardial infarction nebo non-fatal stroke was analyzed using a Cox propnebotional hazards model with treatment as categneboical fixed factnebo. The hazard ratio a confidence interval are adjusted fnebo the group sequential design using the likelihood ratio nebodering. HR: Hazard ratio; CI: confidence interval; CV: cardiovascular
Účinek léčby pro primární kompozitní koncový bod jeho složky a další relevantní koncové body ve studii 1 jsou uvedeny v tabulce 5.
Tabulka 5: Účinek léčby pro Mace a další události ve studii 1
| Pacienti s událostmi n (%) | Poměr nebezpečí (95% CI) | ||
| Placebo N = 8801 | Wegovy N = 8803 | ||
| Primární složený koncový bod | |||
| Kompozita kardiovaskulární smrti nefatální infarkt myokardu nebo nefatální mrtvice 1 | 701 (NULL,0%) | 569 (NULL,5%) | 0.80 (NULL,72; 0,90)* 2 |
| Klíčové sekundární koncové body | |||
| Kardiovaskulární smrt 3 | 262 (NULL,0%) | 223 (NULL,5%) | 0.85 (NULL,71; 1,01) |
| Smrt všeho příčiny 4 | 458 (NULL,2%) | 375 (NULL,3%) | 0.81 (NULL,71; 0,93) |
| Další sekundární koncové body | |||
| Fatální nebo nefatální infarkt myokardu 5 | 334 (NULL,8%) | 243 (NULL,8%) | 0.72 (NULL,61; 0,85) |
| Fatální nebo nefatální mrtvice 5 | 178 (NULL,0%) | 160 (NULL,8%) | 0.89 (NULL,72; 1,11) |
| *P-hodnota <0.001 one-sided p-value 1 Primární koncový bod 2 Upraven pro skupinový sekvenční návrh pomocí uspořádání poměru pravděpodobnosti. 3 Kardiovaskulární smrt was the first confirmatneboy secondary endpoint in the testing hierarchy a superineboity was not confirmed. 4 Potvrzující sekundární koncový bod. Není statisticky významný na základě předem specifikované hierarchie testování. 5 Není zahrnuto do předem specifikované testovací hierarchie pro kontrolu chyby typu I. Poznámka: Čas do první události byl analyzován v modelu Coxového proporcionálního rizika s léčbou jako faktorem. U pacientů s více událostmi přispěla pouze první událost do koncového bodu složeného. |
Tabulka 6: Průměrné změny v antropometrii a kardiometabolických parametrech ve 104. týdnu ve studii 1 12
| PLACEBO | Wegovy | Rozdíl od placeba (LSMEAN) | |||
| Základní linie | Změna z základní linie (LSMEAN) | Základní linie | Změna z základní linie (LSMEAN) | ||
| Tělesná hmotnost (kg) | 96.8 | -0.9 3 | 96.5 | -9.4 3 | -8.5 3 |
| Obvod pasu (cm) | 111.4 | -1.0 | 111.3 | -7.6 | -6.5 |
| Systolický krevní tlak (MMHG) | 131 | -0.5 | 131 | -3.8 | -3.3 |
| Diastolický krevní tlak (MMHG) | 79 | -0.5 | 79 | -1.0 | -0.5 |
| Srdeční frekvence | 69 | 0.7 | 69 | 3.8 | 3.1 |
| HbA1c (%) | 5.8 | 0.0 | 5.8 | -0.3 | -0.3 |
| Základní linie | % Změna od základní linie (LSMEAN) | Základní linie | % Změna od základní linie (LSMEAN) | Relativní rozdíl od placeba (%) (LSMEAN) | |
| Celkový cholesterol (mg/dl) 4 | 156.0 | -1.9 | 155.5 | -4.6 | -2.8 |
| LDL cholesterol (mg/dl) 4 | 78.5 | -3.1 | 78.5 | -5.3 | -2.2 |
| HDL cholesterol (mg/dl) 4 | 44.2 | 0.6 | 44.1 | 4.9 | 4.2 |
| Triglyceridy (mg/dl) 4 | 139.5 | -3.2 | 138.6 | -18.3 | -15.6 |
| 1 Parametry uvedené v tabulce nebyly zahrnuty do předem specifikovaného hierarchického testování. 2 Reakce byly analyzovány pomocí ANCOVA s léčbou jako pevným faktorem a základní hodnotou jako kovariát. Před analýzou byla chybějící data imputována. Imputační model (lineární regrese) byl proveden samostatně pro každé ošetřovací rameno a zahrnoval základní hodnotu jako kovariát a byl namontován všem subjektům s měřením bez ohledu na stav léčby v týdnu 104. 3 Pro tělesnou hmotnost „Zakládá se od základní linie“ a „difference k placebo“ je jednotka procentní změna od základní linie. 4 Základní linie value is the geometric mean. |
Snížení Mace s Wegovy nebylo ovlivněno etnicitou sexuální rasy BMI na začátku nebo na úrovni poškození renálních funkcí.
Snížení hmotnosti a dlouhodobé studie údržby u dospělých s obezitou nebo nadváhou
Přehled klinických studií u dospělých
Bezpečnost a účinnost Wegovy pro snížení hmotnosti a dlouhodobé udržování tělesné hmotnosti ve spojení se sníženou kalorickou stravou a zvýšenou fyzickou aktivitou byla studována ve třech 68týdenních randomizovaných dvojitě slepých placebem kontrolovaných pokusech; jeden 68týdenní randomizovaný dvojitě slepý pokus o odběr placeba; a jedna 68týdenní randomizovaná dvojitě slepá studie, která zkoumala 2 různé dávky Wegovy versus placebo. Ve studiích 2 (NCT
Ve studiích 2 3 a 5 všichni pacienti dostali instrukce pro sníženou kalorickou stravu (přibližně 500 kcal/den deficit) a zvýšené poradenství v oblasti fyzické aktivity (doporučené minimálně 150 minut/týden), která začala první dávkou studijního léku nebo placeba a pokračovala po celou zkoušku. Ve studii 4 pacienti dostávali počáteční 8týdenní nízkokalorickou stravu (celkový příjem energie 1000 až 1200 kcal/den), následovanou 60 týdnů snížené kalorické stravy (1200-1800 kcal/den) a zvýšenou fyzickou aktivitu (100 minut/týden s postupným nárůstem na 200 minut/týden).
Studie 2 byla 68týdenní studie, která zařadila 1961 pacientů s obezitou (BMI větší než nebo roven 30 kg/m²) nebo s nadváhou (BMI 27-29,9 kg/m²) a alespoň jednu komorbidní podmínku související s hmotností; Pacienti s typem 2 Diabetes mellitus byly vyloučeny. Pacienti byli randomizováni v poměru 2: 1 buď k Wegovemu nebo placebu. Při základní úrovni byl průměrný věk 46 let (rozmezí 18-86) 74% bylo 75% bílých 13% bylo asijských a 6% černých nebo afrických Američanů. Celkem 12% bylo hispánské nebo latino etnicity. Průměrná základní tělesná hmotnost byla 105,3 kg a průměrná BMI byla 37,9 kg/m².
Studie 3 byla 68týdenní studie, která zapsala 807 pacientů s diabetem 2. typu a BMI větší nebo rovnou 27 kg/m². Pacienti zahrnutý ve studii měli HbA1c 7-10% a byli léčeni buď: strava a cvičení samostatně nebo 1 až 3 perorální antidiabetická léčiva (metformin sulfonylrearea glitazon nebo inhibitor sodíku-glukózy 2). Pacienti byli randomizováni v poměru 1: 1 pro přijetí buď Wegovy nebo placeba. Na začátku byl průměrný věk 55 let (rozmezí 19-84) 51% žen 62% bílých 26% bylo asijských a 8% černých nebo afrických Američanů. Celkem 13% bylo hispánské nebo latino etnicity. Průměrná základní tělesná hmotnost byla 99,8 kg a průměrná BMI byla 35,7 kg/m².
Studie 4 byla 68týdenní studie, která zařadila 611 pacientů s obezitou (BMI větší než nebo rovna 30 kg/m²) nebo s nadváhou (BMI 27-29,9 kg/m²) a alespoň jedna komorbidní podmínka související s hmotností; Vyloučeni byli pacienti s diabetes mellitus 2. typu. Pacienti byli randomizováni v poměru 2: 1 pro přijetí buď Wegovy nebo placeba. Na začátku byl průměrný věk 46 let 81%, že ženy 76% byly bílé 19% černých nebo afrických Američanů a 2% byly asijské. Celkem 20% bylo hispánské nebo latino etnicity. Průměrná základní tělesná hmotnost byla 105,8 kg a průměrná BMI byla 38,0 kg/m².
Studie 5 byla 68týdenní studie, která zapsala 902 pacientů s obezitou (BMI větší než nebo rovnající se 30 kg/m²) nebo s nadváhou (BMI 27-29,9 kg/m²) a alespoň jedna komorbidní podmínka související s hmotností; Vyloučeni byli pacienti s diabetes mellitus 2. typu. Průměrná tělesná hmotnost na začátku 902 pacientů byla 106,8 kg a průměrná BMI byla 38,3 kg/m². Všichni pacienti dostávali Wegovy během období běhu 20 týdnů, které zahrnovalo 16 týdnů eskalace dávky. Zkušební produkt byl trvale přerušen před randomizací u 99 z 902 pacientů (11%); Nejčastějším důvodem byly nežádoucí účinky (n = 48 5,3%); 803 pacientů dosáhlo Wegovy 2,4 mg a poté byli randomizováni v poměru 2: 1, aby buď pokračovali v Wegovii nebo přijali placebo. Mezi 803 randomizovanými pacienty byl průměrný věk 46 let 79%, že ženy 84% byly bílé 13% černých nebo afrických Američanů a 2% asijských. Celkem 8% bylo hispánské nebo latino etnicity. Průměrná tělesná hmotnost při randomizaci (20. týden) byla 96,1 kg a průměrná BMI při randomizaci (20. týdnu) byla 34,4 kg/m².
Studie 6 byla 68týdenní studie, která zapsala 401 východní asijských pacientů (Japonsko a Jižní Korea) s BMI větší než nebo rovnou 35 kg/m² a alespoň jednou komorbidní podmínkou související s hmotností nebo s BMI 27-34,9 kg/m² a nejméně dvěma komorbidními podmínkami. Pacienti byli randomizováni 2: 1: 1, aby dostávali Wegovy 2,4 mg Wegovy 1,7 mg nebo placebo. Na začátku byl průměrný věk 51 let 63% mužů a všichni pacienti byli Asijci. Průměrná základní tělesná hmotnost byla 87,5 kg a průměrná BMI byla 31,9 kg/m². Na začátku mělo 24,7% pacientů diabetes mellitus 2. typu.
Výsledky
Poměry pacientů, kteří ukončili studijní lék ve studiích 2 3 a 4, byly 16,0% pro skupinu ošetřenou Wegovovou a 19,1% pro skupinu ošetřenou placebem a 6,8% pacientů léčených Wegovy a 3,2% pacientů léčených placebem ukončenou léčbou kvůli nepříznivé reakci [viz viz [viz [viz [viz [viz [viz Nežádoucí účinky ]. In Study 5 the propnebotions of patients who discontinued study drug were 5.8% a 11.6% fnebo Wegovy a placebo respectively. In Study 6 the propnebotions of patients who discontinued study drug were 7.9% 6.5% a 3.0% fnebo Wegovy 1,7 mg Wegovy 2,4 mg a placebo respectively.
Ve studiích 2 3 a 4 byly primární parametry účinnosti průměrné procentuální změnu tělesné hmotnosti a procenta pacientů, kteří dosáhli větší nebo rovné 5% úbytku hmotnosti od výchozí hodnoty do 68. týdne.
Po 68 týdnech léčby Wegovy vedlo ke statisticky významnému snížení tělesné hmotnosti ve srovnání s placebem. Větší proporce pacientů léčených Wegovovi dosáhly 5% 10% a 15% úbytku hmotnosti než u pacientů léčených placebem, jak je uvedeno v tabulce 7.
Tabulka 7: Změny tělesné hmotnosti ve 68. týdnu ve studiích 2 3 a 4
| Záměr k léčbě 1 | Studie 2 (obezita nebo nadváha s komorbiditou) | Studie 3 (diabetes typu 2 s obezitou nebo nadváhou) | Studie 4 (obezita nebo nadváha s komorbiditou podstupující intenzivní terapii životního stylu) | |||
| PLACEBO N = 655 | Wegovy N = 1306 | PLACEBO N = 403 | Wegovy N = 404 | PLACEBO N = 204 | Wegovy N = 407 | |
| Základní linie mean (kg) | 105.2 | 105.4 | 100.5 | 99.9 | 103.7 | 106.9 |
| % změna z výchozí hodnoty (Lsmean) | -2.4 | -14.9 | -3.4 | -9.6 | -5.7 | -16.0 |
| % rozdíl od placeba (Lsmean) (95% CI) | -12.4 (-13,3; -11,6)* | -6.2 (-7,3; -5,2)* | -10.3 (-11,8; -8.7)* | |||
| % pacientů, kteří ztrácí větší nebo rovnou 5% tělesné hmotnosti | 31.1 | 83.5 | 30.2 | 67.4 | 47.8 | 84.8 |
| % rozdíl od placeba (Lsmean) (95% CI) | 52.4 (NULL,1; 56.7)* | 37.2 (NULL,7; 43,8)* | 37.0 (NULL,9; 45,2)* | |||
| % pacientů, kteří ztrácí větší nebo rovnou 10% tělesné hmotnosti | 12.0 | 66.1 | 10.2 | 44.5 | 27.1 | 73.0 |
| % rozdíl od placeba (Lsmean) (95% CI) | 54.1 (NULL,4; 57,9)* | 34.3 (NULL,4; 40,2)* | 45.9 (NULL,0; 53,7)* | |||
| % pacientů, kteří ztrácí větší nebo rovnou 15% tělesné hmotnosti | 4.8 | 47.9 | 4.3 | 25.1 | 13.2 | 53.4 |
| % rozdíl od placeba (Lsmean) (95% CI) | 43.1 (NULL,8; 46,3)* | 20.7 (NULL,7; 25,8)* | 40.2 (33.1; 47.3)* | |||
| Lsmean = nejmenší čtverce; CI = interval spolehlivosti 1 Populace záměru na léčbu zahrnuje všechny randomizované pacienty. Ve studii 2 v týdnu 68 tělesná hmotnost chyběla u 7,2% a 11,9% pacientů randomizovaných do Wegovy a placeba. Ve studii 3 ve týdnu 68 tělesná hmotnost chyběla u 4,0% a 6,7% pacientů randomizovaných do Wegovy a placeba. Ve studii 4 v týdnu 68 tělesná hmotnost chyběla u 8,4% a 7,4% pacientů randomizovaných do Wegovy a placeba. Chybějící údaje byly imputovány od načtených subjektů stejného randomizovaného léčebného ramene (RD-MI). * P. <0.0001 (unadjusted 2-sided) fnebo superineboity. |
Pro studii 5 byl primární parametr účinnosti průměrnou procentuální změnou tělesné hmotnosti z randomizace (20. týden) na týden 68.
Od randomizace (20. týden) do 68 léčby Wegovy vedlo ke statisticky významnému snížení tělesné hmotnosti ve srovnání s placebem (tabulka 8). Protože pacienti, kteří během titrace ukončili Wegovy, a ti, kteří nedosáhli 2,4 mg týdení dávky, nebyli způsobilí pro období randomizované léčby, výsledky nemusí odrážet zkušenost pacientů v běžné populaci, kteří nejprve začínají Wegovy.
Tabulka 8: Změny tělesné hmotnosti ve 68. týdnu ve studii 5 (obezita nebo nadváha s komorbiditou po 20týdenním běhu)
| Wegovy N = 803 1 | ||
| Tělesná hmotnost (pouze randomizovaní pacienti) | ||
| Průměr v týdnu 0 (kg) | 107.2 | |
| PLACEBO N = 268 | Wegovy N = 535 | |
| Tělesná hmotnost | ||
| Průměr ve 20. týdnu (SD) (KG) | 95.4 (NULL,7) | 96.5 (NULL,5) |
| % Změna z 20. týdne v 68. týdnu (LSMEAN) | 6.9 | -7.9 |
| % rozdíl od placeba (Lsmean) (95% CI) | -14.8 (-16,0; -13,5)* | |
| Lsmean = nejmenší čtverce; CI = interval spolehlivosti 1 902 pacientů bylo zařazeno v 0. týdnu s průměrnou základní tělesnou hmotností 106,8 kg. Populace záměru na léčbu zahrnuje všechny randomizované pacienty. V 68. týdnu tělesná hmotnost chyběla u 2,8% a 6,7% pacientů randomizovaných do Wegovy a placeba. Chybějící údaje byly imputovány od načtených subjektů stejného randomizovaného léčebného ramene (RD-MI). *P. <0.001 (unadjusted 2-sided) fnebo superineboity controlled fnebo multiplicity. |
Pro studii 6 byly primární parametry účinnosti průměrné procentuální změny tělesné hmotnosti a procento pacientů, kteří dosáhli větší nebo rovny 5% úbytku hmotnosti od výchozí hodnoty do 68. týdne.
Po 68 týdnech léčby Wegovy 1,7 mg a 2,4 mg vedlo ke statisticky významnému snížení tělesné hmotnosti ve srovnání s placebem. Větší proporce pacientů léčených Wegovovou dosáhly 5% 10% a 15% úbytku hmotnosti než u pacientů léčených placebem, jak je uvedeno v tabulce 9.
Tabulka 9: Změny tělesné hmotnosti ve 68. týdnu ve studii 6 u východo-asijských pacientů (Wegovy 1,7 mg)
| Záměr k léčbě 1 | Studie 6 (BMI ≥ 35 kg/m² s alespoň jednou komorbiditou nebo BMI 27-34,9 kg/m² s alespoň dvěma komorbidity) | ||
| PLACEBO N = 101 | Wegovy 1,7 mg N = 101 | Wegovy 2,4 mg N = 199 | |
| Tělesná hmotnost | |||
| Základní linie mean (kg) | 90.2 | 86.1 | 86.9 |
| % změna z výchozí hodnoty (Lsmean) | -2.1 | -9.6 | -13.2 |
| % rozdíl od placeba (Lsmean) (95% CI) | -7.5 (-9,6; -5,4)* | -11.1 (-12,9; -9,2)* | |
| % pacientů, kteří ztrácí větší nebo rovnou 5% tělesné hmotnosti | 19.4 | 72.8 | 84.0 |
| % rozdíl od placeba (Lsmean) (95% CI) | 53.3 (NULL,0; 65,6)* | 64.5 (NULL,8; 74,3)* | |
| % pacientů, kteří ztrácí větší nebo rovnou 10% tělesné hmotnosti | 4.5 | 39.1 | 59.9 |
| % rozdíl od placeba (Lsmean) (95% CI) | 34.5 (NULL,9; 45,1)* | 55.4 (NULL,3; 63,6)* | |
| % pacientů, kteří ztrácí větší nebo rovnou 15% tělesné hmotnosti | 2.6 | 20.8 | 38.2 |
| % rozdíl od placeba (Lsmean) (95% CI) | 18.2 (NULL,8; 26.7)* | 35.6 (NULL,9; 43,3)* | |
| Lsmean = nejmenší čtverce; CI = interval spolehlivosti 1 Populace záměru na léčbu zahrnuje všechny randomizované pacienty. Na začátku mělo 24,7% pacientů diabetes mellitus 2. typu. V 68. týdnu tělesná hmotnost chyběla u 3% 3% a 1% pacientů randomizovaných na Wegovy 1,7 mg Wegovy 2,4 mg a placebo. Chybějící údaje byly imputovány od načtených subjektů stejného randomizovaného léčebného ramene (RD-MI). *P. <0.0001 (unadjusted 2-sided) fnebo superineboity. |
S snížením tělesné hmotnosti byla pozorována u Wegovova bez ohledu na věkovou pohlavní rasu etnicita BMI na začátku tělesné hmotnosti (kg) na začátku a na úrovni poškození renálních funkcí.
Kumulativní distribuce frekvence změny tělesné hmotnosti jsou znázorněny na obrázku 5 a na obrázku 6 pro studie 2 a 3.. Jedním ze způsobů, jak interpretovat tento obrázek, je vybrat změnu tělesné hmotnosti zájmu na vodorovné ose a zaznamenává odpovídající proporce pacientů (vertikální osa) v každé léčebné skupině, která dosáhla alespoň toho stupně úbytku hmotnosti. Například si uvědomte, že vertikální linie vznikající z -10% ve studii 2 protíná Wegovy a placebo křivky při přibližně 66% a 12%, které odpovídají hodnotám uvedeným v tabulce 7.
Obrázek 5: Změna tělesné hmotnosti (%) z výchozí hodnoty na 68 týdnů (studie 2)
Pozorované údaje z období v pokusu včetně imputovaných údajů pro chybějící pozorování (RD-MI).
Obrázek 6: Změna tělesné hmotnosti (%) z výchozí hodnoty na 68 týdnů (studie 3)
Pozorované údaje z období v pokusu včetně imputovaných údajů pro chybějící pozorování (RD-MI).
Časové průběhy hubnutí s Wegovy a placebem od výchozí hodnoty do 68 týdne jsou znázorněny na obrázku 7 Obrázek 8 a obrázek 9.
Obrázek 7: Změna z výchozí hodnoty (%) tělesné hmotnosti (studie 2 vlevo a studie 3 vpravo)
Pozorované hodnoty u pacientů, kteří dokončili každou plánovanou návštěvu a odhady s více imputacemi z načtených předčasných ukončení studia (RD-MI)
Obrázek 8: Změna ze základní hodnoty (%) tělesné hmotnosti (studie 4 vlevo a studie 5 a vpravo)
Pozorované hodnoty u pacientů, kteří dokončili každou plánovanou návštěvu a odhady s více imputacemi z načtených předčasných ukončení studia (RD-MI)
a Změna z týdne 0 nebyla primárním koncovým bodem ve studii 5. Tečkovaná čára označuje čas randomizace. Randomizovaní pacienti (ukázáni) nezahrnují 99 pacientů, kteří během 20týdenního období doba ukončili.
Obrázek 9: Změna tělesné hmotnosti (%) z výchozí hodnoty na 68 týdnů (studie 6 u východo-asijských pacientů)
Pozorované hodnoty u pacientů, kteří dokončili každou plánovanou návštěvu a odhady s více imputacemi z načtených výpadků (RDâmi). Na začátku mělo 24,7% pacientů diabetes mellitus 2. typu.
Vliv Wegovy na antropometrii a kardiometabolické parametry u dospělých
Změny obvodu pasu a kardiometabolických parametrů s Wegovy jsou uvedeny v tabulce 10 pro studie 2 3 a 4; v tabulce 11 pro studii 5; a v tabulce 12 pro studii 6.
Tabulka 10: Změny v antropometrii a kardiometabolických parametrech ve 68. týdnu ve studiích 2 3 a 4
| Záměr k léčbě | Studie 2 (obezita nebo nadváha s komorbiditou) | Studie 3 (diabetes typu 2 s obezitou nebo nadváhou) | Studie 4 (obezita nebo nadváha s komorbiditou podstupující intenzivní terapii životního stylu) | |||
| PLACEBO N = 655 | Wegovy N = 1306 | PLACEBO N = 403 | Wegovy N = 404 | PLACEBO N = 204 | Wegovy N = 407 | |
| Obvod pasu (cm) | ||||||
| Základní linie | 114.8 | 114.6 | 115.5 | 114.5 | 111.8 | 113.6 |
| Změny od základní linie (lsmean 1 ) | -4.1 | -13.5 | -4.5 | -9.4 | -6.3 | -14.6 |
| Rozdíl od placeba (LSMEAN) | -9.4 | -4.9 | -8.3 | |||
| Systolický krevní tlak (MMHG) | ||||||
| Základní linie | 127 | 126 | 130 | 130 | 124 | 124 |
| Změny od základní linie (lsmean 1 ) | -1.1 | -6.2 | -0.5 | -3.9 | -1.6 | -5.6 |
| Rozdíl od placeba (LSMEAN) | -5.1 | -3.4 | -3.9 | |||
| Diastolický krevní tlak (MMHG)2 | ||||||
| Základní linie | 80 | 80 | 80 | 80 | 81 | 80 |
| Změny od základní linie (lsmean 1 ) | -0.4 | -2.8 | -0.9 | -1.6 | -0.8 | -3.0 |
| Rozdíl od placeba (LSMEAN) | -2.4 | -0.7 | -2.2 | |||
| Srdeční frekvence 23 | ||||||
| Základní linie | 72 | 72 | 76 | 75 | 71 | 71 |
| Změny od základní linie (lsmean) | -0.7 | 3.5 | -0.2 | 2.5 | 2.1 | 3.1 |
| Rozdíl od placeba (LSMEAN) | 4.3 | 2.7 | 1.0 | |||
| HbA1c (%) 2 | ||||||
| Základní linie | 5.7 | 5.7 | 8.1 | 8.1 | 5.8 | 5.7 |
| Změny od základní linie (lsmean 1 ) | -0.2 | -0.4 | -0.4 | -1.6 | -0.3 | -0.5 |
| Rozdíl od placeba (LSMEAN) | -0.3 | -1.2 | -0.2 | |||
| Celkový cholesterol (mg/dl) 24 | ||||||
| Základní linie | 192.1 | 189.6 | 170.8 | 170.8 | 188.7 | 185.4 |
| Procento změny z výchozí hodnoty (lsmean 1 ) | 0.1 | -3.3 | -0.5 | -1.4 | 2.1 | -3.9 |
| Relativní rozdíl od placeba (LSMEAN) | -3.3 | -0.9 | -5.8 | |||
| LDL cholesterol (mg/dl) 24 | ||||||
| Základní linie | 112.5 | 110.3 | 90.1 | 90.1 | 111.8 | 107.7 |
| Procento změny z výchozí hodnoty (lsmean 1 ) | 1.3 | -2.5 | 0.1 | 0.5 | 2.6 | -4.7 |
| Relativní rozdíl od placeba (LSMEAN) | -3.8 | 0.4 | -7.1 | |||
| HDL (mg/dl) 24 | ||||||
| Základní linie | 49.5 | 49.4 | 43.8 | 44.7 | 50.9 | 51.6 |
| Procento změny z výchozí hodnoty (lsmean 1 ) | 1.4 | 5.2 | 4.1 | 6.9 | 5.0 | 6.5 |
| Relativní rozdíl od placeba (LSMEAN) | 3.8 | 2.7 | 1.5 | |||
| Triglyceridy (mg/dl) 24 | ||||||
| Základní linie | 127.9 | 126.2 | 159.5 | 154.9 | 110.9 | 107.9 |
| Procento změny z výchozí hodnoty (lsmean 1 ) | -7.3 | -21.9 | -9.4 | -22.0 | -6.5 | -22.5 |
| Relativní rozdíl od placeba (LSMEAN) | -15.8 | -13.9 | -17.0 | |||
| Chybějící údaje byly přičteny od načtených subjektů stejného randomizovaného ošetřovacího ramene (RD-MI) 1 Odhady založené na modelu založené na analýze kovariančního modelu včetně léčby (a faktorů stratifikace pouze pro studii 3) jako faktoru a hodnoty základní linie jako kovariát 2 Není zahrnuto do předem specifikovaného hierarchického testování (s výjimkou HbA1c pro studii 3) 3 Odhady založené na modelu založené na smíšeném modelu pro opakovaná opatření, včetně léčby (a faktory stratifikace pouze pro studii 3) jako faktoru a hodnoty základní linie jako kovariát 4 Základní linie value is the geometric mean |
Tabulka 11: Průměrné změny antropometrie a kardiometabolických parametrů ve studii 5 (obezita nebo nadváha s komorbiditou po 20týdenním běhu) 1
| PLACEBO N = 268 | Wegovy N = 535 | Rozdíl od placeba (LSMEAN) | |||
| Randomizace (20. týden) | Změna z randomizace (20. týden) na 68 týdnů (LSMEAN1) | Randomizace (20. týden) | Změna z randomizace (20. týden) na 68 týdnů (LSMEAN1) | ||
| Obvod pasu (cm) | 104.7 | 3.3 | 105.5 | -6.4 | -9.7 |
| Systolický krevní tlak (MMHG) | 121 | 4.4 | 121 | 0.5 | -3.9 |
| Diastolický krevní tlak (MMHG) 2 | 78 | 0.9 | 78 | 0.3 | -0.5 |
| Srdeční frekvence 23 | 76 | -5.3 | 76 | -2.0 | 3.3 |
| HbA1c (%) 2 | 5.4 | 0.1 | 5.4 | -0.1 | -0.2 |
| Randomizace (20. týden) | % Změna z randomizace (20. týden) (LSMEAN1) | Randomizace (20. týden) | % Změna z randomizace (20. týden) (LSMEAN1) | Relativní rozdíl od placeba (LSMEAN) | |
| Celkový cholesterol (mg/dl) 24 | 175.1 | 11.4 | 175.9 | 4.9 | -5.8 |
| LDL cholesterol (mg/dl) 24 | 109.1 | 7.6 | 108.7 | 1.1 | -6.1 |
| HDL cholesterol (mg/dl) 24 | 43.6 | 17.8 | 44.5 | 18.2 | 0.3 |
| Triglyceridy (mg/dl) 24 | 95.3 | 14.8 | 98.1 | -5.6 | -17.8 |
| Chybějící údaje byly přičteny od načtených subjektů stejného randomizovaného ošetřovacího ramene (RD-MI) 1 Odhady založené na modelu založené na analýze kovariančního modelu včetně léčby jako faktoru a základní hodnoty jako kovariátu 2 Není zahrnuto do předem specifikovaného hierarchického testování 3 Odhady založené na modelu založené na smíšeném modelu pro opakovaná opatření, včetně léčby jako faktoru a základní hodnoty jako kovariát 4 Základní linie value is the geometric mean |
Tabulka 12: Průměrné změny v antropometrii a kardiometabolických parametrech ve 68. týdnu ve studii 6 u východo-asijských pacientů (Wegovy 1,7 mg)
| Záměr k léčbě | Studie 6 (BMI ≥ 35 kg/m² s alespoň jednou komorbiditou nebo BMI 27-34,9 kg/m² s alespoň dvěma komorbidity) | ||
| PLACEBO N = 101 | Wegovy 1,7 mg N = 101 | Wegovy 2,4 mg N = 199 | |
| Základní linie obvodu pasu (CM) | 103.8 | 101.4 | 103.8 |
| Změna z výchozí hodnoty (LSMEAN 1 ) | -1.8 | -7.7 | -11.0 |
| Rozdíl od placeba (LSMEAN) | -5.9 | -9.3 | |
| Systolický krevní tlak (MMHG) 2 | |||
| Základní linie | 133 | 135 | 133 |
| Změna z výchozí hodnoty (LSMEAN 1 ) | -5.3 | -10.8 | -10.8 |
| Rozdíl od placeba (LSMEAN) | -5.4 | -5.5 | |
| Diastolický krevní tlak (MMHG) 2 | |||
| Základní linie | 86 | 85 | 83 |
| Změna z výchozí hodnoty (LSMEAN 1 ) | -2.2 | -4.6 | -5.3 |
| Rozdíl od placeba (LSMEAN) | -2.4 | -3.1 | |
| Srdeční frekvence 2 3 | |||
| Základní linie | 73 | 73 | 73 |
| Změna z výchozí hodnoty (LSMEAN) | 2.4 | 4.4 | 6.3 |
| Rozdíl od placeba (LSMEAN) | 2.0 | 3.9 | |
| HbA1c (%) 2 | |||
| Základní linie | 6.4 | 6.4 | 6.4 |
| Změna z výchozí hodnoty (LSMEAN 1 ) | 0.0 | -0.9 | -0.9 |
| Rozdíl od placeba (LSMEAN) | -0.9 | -0.9 | |
| Celkový cholesterol (mg/dl) 24 | |||
| Základní linie | 203.1 | 203.3 | 197.2 |
| Procento změny z výchozí hodnoty (lsmean 1 ) | 0.8 | -6.6 | -8.7 |
| Relativní rozdíl od placeba (LSMEAN) | -7.3 | -9.4 | |
| LDL cholesterol (mg/dl) 24 | |||
| Základní linie | 123.3 | 120.1 | 116.5 |
| Procento změny z výchozí hodnoty (lsmean 1 ) | -3.8 | -10.1 | -14.6 |
| Relativní rozdíl od placeba (LSMEAN) | -6.5 | -11.2 | |
| HDL cholesterol (mg/dl) 24 | |||
| Základní linie | 48.7 | 50.2 | 50.8 |
| Procento změny z výchozí hodnoty (lsmean 1 ) | 5.9 | 6.7 | 9.2 |
| Relativní rozdíl od placeba (LSMEAN) | 0.7 | 3.1 | |
| Triglycerid (mg/dl) 24 | |||
| Základní linie | 134.2 | 138.8 | 127.1 |
| Procento změny z výchozí hodnoty (lsmean 1 ) | 5.5 | -19.5 | -21.2 |
| Relativní rozdíl od placeba (LSMEAN) | -23.7 | -25.3 | |
| Chybějící údaje byly přičteny od načtených subjektů stejného randomizovaného ošetřovacího ramene (RD-MI). At baseline 24.7% of patients had typ 2 Diabetes mellitus. 1 Odhady založené na modelu založené na analýze kovariančního modelu včetně léčby a stavu diabetu typu 2 jako faktorů a hodnoty základní linie jako kovariát 2 Není zahrnuto do předem specifikovaného hierarchického testování 3 Odhady založené na modelu založené na smíšeném modelu pro opakovaná opatření, včetně stavu léčby a stavu diabetu 2. typu jako faktory a hodnoty základní linie jako kovariát 4 Základní linie value is the geometric mean |
Studie snižování hmotnosti a dlouhodobá údržba u pediatrických pacientů ve věku 12 let a starších s obezitou
Přehled klinického hodnocení u pediatrických pacientů
Wegovy was evaluated in a 68-week double-blind raomized parallel group placebo-controlled multi-center trial in 201 pubertal pediatric patients aged 12 years a older with BMI cneboresponding to ≥95th percentile staardized fnebo age a sex (Study 7) (NCT#04102189). After a 12-week lifestyle run-in period (including dietary recommendations a physical activity counseling) patients were raomized 2:1 to Wegovy once weekly nebo placebo once weekly. Wegovy nebo matching placebo was escalated to 2,4 mg nebo maximally tolerated dose during a 16-week period followed by 52 weeks on maintenance dose. Of Wegovy-treated patients who completed the trial 86.7% were on the 2,4 mg dose at the end of the trial; fnebo 5% of patients 1,7 mg was the maximum tolerated dose.
Průměrný věk byl 15 let; 38% pacientů bylo mužů; 79% bylo bílé 8% bylo černých nebo afrických Američanů 2% bylo asijských a 11% bylo jiné nebo neznámé rasy; a 11% bylo hispánské nebo latino etnicity. Průměrná základní tělesná hmotnost byla 108 kg a průměrná BMI byla 37 kg/m².
Výsledky
Poměry pacientů, kteří ukončili studijní léčivo, byly 10% pro skupinu ošetřenou Wegovy a 10% pro skupinu ošetřenou placebem.
Primárním koncovým bodem byla procento změny BMI z výchozí hodnoty na 68. týden. Po 68 týdnech léčby Wegovy vedla ke statisticky významnému snížení procenta BMI ve srovnání s placebem. Větší podíl pacientů léčených Wegovovým dosáhl ≥ 5% snížení základního BMI než u těch, které byly léčeny placebem, jak je uvedeno v tabulce 13.
Tabulka 13: Změny hmotnosti a BMI v 68. týdnu u pediatrických pacientů s obezitou ve věku 12 let a starší ve studii 7
| Záměr k léčbě a | PLACEBO N = 67 | Wegovy N = 134 |
| BMI | ||
| Základní linie mean (kg/m²) | 35.7 | 37.7 |
| % změna z výchozí hodnoty in BMI (Lsmean) | 0.6 | -16.1 |
| % rozdíl od placeba (Lsmean) (95% CI) | -16,7 (-20,3; -13,2)* | |
| % pacientů s větší nebo rovnou 5% snížením základního BMI b | 19.7 | 77.1 |
| % rozdíl od placeba (Lsmean) | 57.4 | |
| % pacientů s větší nebo rovnou 10% snížením základního BMI b | 7.7 | 65.1 |
| % rozdíl od placeba (Lsmean) | 57.5 | |
| % pacientů s více nebo rovnou 15% snížením základního BMI b | 4.0 | 57.8 |
| % rozdíl od placeba (Lsmean) | 53.9 | |
| Tělesná hmotnost b | ||
| Základní linie mean (kg) | 102.6 | 109.9 |
| % změna z výchozí hodnoty (Lsmean) a | 2.7 | -14.7 |
| % rozdíl od placeba (Lsmean) | -17.4 | |
| Lsmean = nejmenší čtverce; CI = interval spolehlivosti a Populace záměru na léčbu zahrnuje všechny randomizované pacienty. Chybějící údaje byly imputovány pomocí dostupných údajů podle hodnoty a načasování posledního dostupného pozorování při léčbě a základní hodnotě koncových bodů od načtených subjektů (RD-MI). V 68. týdnu BMI chyběla 2,2% a 7,5% pacientů randomizovaných do Wegovy a placeba. b Parametry nejsou zahrnuty do předem specifikovaného hierarchického testování. * P. <0.0001 (unadjusted 2-sided) fnebo superineboity. |
Časový průběh změny BMI s Wegovy a placebem z výchozí hodnoty do 68 týdne je znázorněn na obrázku 10. Kumulativní rozdělení frekvence změny v BMI je znázorněno na obrázku 11.
Obrázek 10: Změna z výchozí hodnoty (%) u BMI u pediatrických pacientů s obezitou ve věku 12 let a starší ve studii 7
Pozorované hodnoty u pacientů, kteří dokončili každou plánovanou návštěvu a odhady s více imputacemi z načtených předčasných ukončení studia (RD-MI)
Obrázek 11: Změna BMI (%) z výchozí hodnoty na 68 týdnů u pediatrických pacientů s obezitou ve věku 12 let a starší ve studii 7
Pozorované údaje z období v pokusu včetně imputovaných údajů pro chybějící pozorování (RD-MI)
Vliv Wegovy na antropometrii a kardiometabolické parametry u pediatrických pacientů s obezitou ve věku 12 let a starších
Změny obvodu pasu a kardiometabolických parametrech s Wegovy jsou uvedeny v tabulce 14 pro studii u pediatrických pacientů ve věku 12 let a starší.
Tabulka 14: Průměrné změny antropometrie a kardiometabolických parametrů u pediatrických pacientů s obezitou ve věku 12 let a starší ve studii 7 1
| PLACEBO N = 67 | Wegovy N = 134 | Rozdíl od placeba (LSMEAN) | |||
| Základní linie | Změna z základní linie (LSMEAN) | Základní linie | Změna z základní linie (LSMEAN) | ||
| Obvod pasu (cm) 2 | 107.3 | -0.6 | 111.9 | -12.7 | -12.1 |
| Systolický krevní tlak (MMHG) 2 | 120 | -0.8 | 120 | -2.7 | -1.9 |
| Diastolický krevní tlak (MMHG) 2 | 73 | -0.8 | 73 | -1.4 | -0.6 |
| Srdeční frekvence 3 | 76 | -2.3 | 79 | 1.2 | 3.5 |
| Halc (%) 2 4 | 5.4 | -0.1 | 5.5 | -0.4 | -0.2 |
| Základní linie | % Změna od základní linie (LSMEAN) | Základní linie | % Změna od základní linie (LSMEAN) | Relativní rozdíl od placeba (LSMEAN) | |
| Celkový cholesterol (mg/dl) 25 | 160.1 | -1.3 | 159.4 | -8.3 | -7.1 |
| LDL cholesterol (mg/dl) 25 | 91.7 | -3.6 | 89.8 | -9.9 | -6.6 |
| HDL cholesterol (mg/dl) 25 | 43.3 | 3.2 | 43.7 | 8.0 | 4.7 |
| Triglyceridy (mg/dl) 25 | 108.0 | 2.6 | 111.3 | -28.4 | -30.2 |
| 1 Parametry uvedené v tabulce nebyly zahrnuty do předem specifikovaného hierarchického testování. 2 Chybějící údaje byly imputovány pomocí dostupných údajů podle hodnoty a načasování posledního dostupného pozorování při léčbě a základní hodnotě koncových bodů od načtených subjektů (RD-MI). Odhady založené na modelu založené na analýze kovariančního modelu, včetně skupin léčby a stratifikace (skupina genderových konic) a interakce mezi skupinami stratifikace jako faktorů a základní hodnoty jako kovariátu. 3 Odhady založené na modelu založené na smíšeném modelu pro opakovaná opatření, včetně léčby jako faktoru a základní hodnoty jako kovariát vnořených v rámci návštěvy. 4 U pacientů bez diabetu typu 2 při randomizaci (n = 129 pro pacienty ošetřené Wegovy a n = 64 u pacientů léčených placebem). 5 Základní linie value is the geometric mean. |
Informace o pacientovi pro wegovy
Wegovy®
(wee-goh-vee)
(semaglutid) injekce pro subkutánní použití
Průlomové krvácení na ortho tri cykálu
Než začnete používat Wegovy a pokaždé, když dostanete doplnění, přečtěte si tento průvodce léky a pokyny k použití. Mohou existovat nové informace. Tyto informace nezavazují místo rozhovoru s poskytovatelem zdravotní péče o zdravotním stavu nebo ošetření.
Jaké jsou nejdůležitější informace, které bych měl vědět o Wegovy?
Wegovy may cause serious side effects including:
- Možné nádory štítné žlázy včetně rakoviny. Sdělte svému poskytovateli zdravotní péče, pokud dostanete hrudku nebo otok v chrapotvostních potížích s polykáním nebo dušností. To mohou být příznaky rakoviny štítné žlázy. Ve studiích s hlodavci Wegovy a léky, které pracují jako Wegovy, způsobily nádory štítné žlázy včetně rakoviny štítné žlázy. Není známo, zda Wegovy způsobí u lidí nádory štítné žlázy nebo typ rakoviny štítné žlázy zvaný medulární karcinom štítné žlázy (MTC).
- Nepoužívejte Wegovy, pokud jste jste někdy měli typ rakoviny štítné žlázy nazývanou medulární karcinom štítné žlázy (MTC) nebo pokud máte stav endokrinního systému zvaného více endokrinní neoplasie syndromu typu 2 (Men 2).
Co je Wegovy?
- Wegovy is an injectable prescription medicine used with a reduced calneboie diet a increased physical activity:
- Snížit riziko velkých kardiovaskulárních příhod, jako je infarkt smrti nebo mrtvice u dospělých se známým srdečním onemocněním a s obezitou nebo nadváhou.
- To může pomoci dospělým a dětem ve věku 12 let a starších s obezitou nebo některými dospělými s nadváhou, kteří mají také zdravotní problémy související s váhou, které jim pomohou ztratit nadměrnou tělesnou hmotnost a udržet váhu vypnuto.
- Wegovy contains Semglutide a should not be used with other Semglutide-containing products nebo other GLP-1 receptnebo agonist medicines.
- Není známo, zda je Wegovy bezpečná a účinná pro použití u dětí mladších 12 let.
Nepoužívejte Wegovy, pokud:
- Vy nebo některá z vaší rodiny jste někdy měli typ rakoviny štítné žlázy zvaný medulární karcinom štítné žlázy (MTC) nebo pokud máte stav endokrinního systému zvanou více endokrinní neoplasie syndrom typu 2 (Men 2).
- Měli jste vážnou alergickou reakci na semaglutid nebo na některou ze složek ve Wegoveu. Úplný seznam přísad ve Wegovey naleznete na konci této medikační příručky. Mezi příznaky vážné alergické reakce patří:
- Otok vašeho obličeje rty jazyk nebo krk
- mdloby nebo feeling dizzy
- problémy s dýcháním nebo polykání
- Velmi rychlý srdeční rytmus
- Těžká vyrážka nebo svědění
Před použitím Wegovy řekněte svému poskytovateli zdravotní péče, pokud máte nějaké jiné zdravotní stavy, včetně, pokud jste:
- mít nebo mít problémy s vaším slinivem břišní nebo ledvin.
- mít diabetes 2. typu a anamnézu diabetické retinopatie.
- mít nebo mít depresi nebo sebevražedné myšlenky nebo problémy duševního zdraví.
- jsou naplánovány na operaci nebo jiné postupy, které používají anestezii nebo hlubokou ospalost (hluboká sedace).
- jsou těhotné nebo plánují otěhotnět. Wegovy může poškodit vaše nenarozené dítě. Měli byste přestat používat Wegovy 2 měsíce před plánováním otěhotnění.
- Těhotenství Exposure Registry: Existuje registr expozice těhotenství pro ženy, které během těhotenství používají Wegovy. Účelem tohoto registru je shromažďovat informace o zdraví vás a vašeho dítěte. Promluvte si se svým poskytovatelem zdravotní péče o tom, jak se můžete zúčastnit tohoto registru, nebo se můžete obrátit na Novo Nordisk na čísle 1-877390-2760.
- jsou kojení nebo plánují kojení. Není známo, zda Wegovy prochází do mateřského mléka. Měli byste si promluvit se svým poskytovatelem zdravotní péče o nejlepším způsobu, jak nakrmit své dítě při používání Wegovy.
Řekněte svému poskytovateli zdravotní péče o všech lécích, které užíváte včetně předpisu a volně prodejných léků vitamínů a bylinných doplňků. Wegovy může ovlivnit způsob, jakým některé léky fungují, a některé léky mohou ovlivnit způsob, jakým Wegovy funguje. Sdělte svému poskytovateli zdravotní péče, pokud užíváte jiné léky k léčbě cukrovky včetně sulfonylmočoviny nebo inzulínu. Wegovy zpomaluje vyprazdňování žaludku a může ovlivnit léky, které musí rychle projít žaludkem. Znát léky, které užíváte. Udržujte jejich seznam, abyste ukázali svého poskytovatele zdravotní péče a lékárníka, když získáte nový lék.
Jak mám používat Wegovy?
- Přečtěte si pokyny pro použití, které přicházejí s Wegovy.
- Používejte Wegovy přesně tak, jak vám říká váš poskytovatel zdravotní péče.
- Váš poskytovatel zdravotní péče by vám měl ukázat, jak používat Wegovy, než jej poprvé použijete.
- Wegovy is injected under the skin (subcutaneously) of your stomach (abdomen) thigh nebo upper arm. Ne inject Wegovy into a muscle (intramuscularly) nebo vein (intravenously).
- Změňte (otočte) s každou injekcí. Pro každou injekci nepoužívejte stejný web.
- Používejte Wegovy 1krát každý týden ve stejný den každý týden kdykoli během dne.
- Začněte Wegovy s 0,25 mg týdně v prvním měsíci. Ve svém druhém měsíci zvyšte svou týdenní dávku na 0,5 mg. Ve třetím měsíci zvyšuje vaše týdenní dávka na 1 mg. Ve čtvrtém měsíci zvyšujte týdenní dávku na 1,7 mg. V pátém měsíci může váš poskytovatel zdravotní péče buď udržovat vaši dávku na 1,7 mg týdně, nebo zvýšit svou týdenní dávku na 2,4 mg.
- Pokud potřebujete změnit den v týdnu, můžete tak učinit, dokud bude vaše poslední dávka Wegovy dána 2 nebo více dní předtím.
- Pokud vám chybí dávka Wegovy a další naplánovaná dávka je vzdálena více než 2 dny (48 hodin), vezměte zmeškanou dávku co nejdříve. Pokud vám chybí dávka Wegovy a další dávka rozvrhu je méně než 2 dny pryč (48 hodin), dávku nepodpravujte. Vezměte si další dávku v pravidelně naplánovaném dni.
- Pokud vám chybí dávky Wegovy po více než 2 týdny, vezměte si další dávku v pravidelně naplánovaném dni nebo zavolejte svému poskytovateli zdravotní péče, abyste hovořili o tom, jak restartovat léčbu.
- Můžete brát Wegovy s jídlem nebo bez něj.
- Pokud si vezmete příliš mnoho Wegovy, můžete mít závažné zvracení a těžkou nízkou hladinu cukru v krvi. Zavolejte svému poskytovateli zdravotní péče nebo okamžitě jděte do nejbližší pohotovostní místnosti nemocnice, pokud zažijete některý z těchto příznaků.
Jaké jsou možné vedlejší účinky Wegovy?
Wegovy may cause serious side effects including:
- Vidět Jaké jsou nejdůležitější informace, které bych měl vědět o Wegovy?
- Zánět pankreatu (pankreatitida). Přestaňte používat Wegovy a okamžitě zavolejte svému poskytovateli zdravotní péče, pokud máte v oblasti žaludku vážnou bolest (břicho), která nezmizí nebo bez zvracení. Můžete cítit bolest z břicha po záda.
- problémy se žlučníkem. Wegovy may cause gallbladder problems including gallstones. Some gallbladder problems need surgery. Call your healthcare provider if you have any of the following symptoms:
- Bolest v horním žaludku (břicho)
- žloutnutí kůže nebo očí (žloutenka)
- horečka
- hliněné stoličky
- Zvýšené riziko nízké hladiny cukru v krvi (hypoglykémie), zejména těch, kteří také užívají léky k léčbě diabetes mellitus, jako je inzulín nebo sulfonylmočoviny. Nízká hladina cukru v krvi u pacientů s diabetem, kteří dostávají Wegovy, může být vážným vedlejším účinkem. Promluvte si se svým poskytovatelem zdravotní péče o tom, jak rozpoznat a léčit nízkou hladinu cukru v krvi. Než začnete brát Wegovy a během Wegovy byste měli zkontrolovat hladinu cukru v krvi. Příznaky a příznaky nízké hladiny cukru v krvi mohou zahrnovat:
- závrať nebo light-headedness
- pocení
- Shakakess
- rozmazané vidění
- Slurred řeč
- slabost
- úzkost
- hlad
- bolest hlavy
- Podrážděnost nebo změny nálady
- zmatek nebo drowsiness
- Rychlý srdeční rytmus
- Cítím se nervozita
- Problémy s ledvinami (selhání ledvin). U lidí, kteří mají problémy s ledvinami, může průjem nevolnost a zvracení způsobit ztrátu tekutin (dehydratace), což může způsobit zhoršení problémů s ledvinami. Je důležité, abyste pili tekutiny, abyste pomohli snížit vaši šanci na dehydrataci.
- Vážné alergické reakce. Přestaňte používat Wegovy a okamžitě získejte lékařskou pomoc, pokud máte nějaké příznaky vážné alergické reakce, včetně:
- Otok tvého obličeje rty jazyk
- Těžká vyrážka nebo svědění
- Velmi rychlý srdeční rytmus nebo throat
- problémy s dýcháním nebo polykání
- mdloby nebo feeling dizzy
- Změna vidění u lidí s diabetem 2. typu. Sdělte svému poskytovateli zdravotní péče, pokud máte změny ve vidění během léčby Wegovy.
- zvýšená srdeční frekvence. Wegovy can increase your heart rate while you are at rest. Your healthcare provider should check your heart rate while you take Wegovy. Tell your healthcare provider if you feel your heart racing nebo pounding in your chest a it lasts fnebo several minutes.
- deprese nebo myšlenky na sebevraždu. Měli byste věnovat pozornost jakýmkoli mentálním změnám, zejména náhlým změnám v myšlenkách nebo pocitech chování nálady. Pokud máte nějaké mentální změny, které jsou nové horší nebo se obávejte, zavolejte svému poskytovateli zdravotní péče ihned.
- Během chirurgického zákroku nebo jiných postupů, které používají anestezii nebo hlubokou ospalost (hluboká sedace), se dostanou do plic nebo kapaliny. Wegovy may increase the chance of food getting into your lungs during surgery nebo other procedures. Tell all your healthcare providers that you are taking Wegovy befneboe you are scheduled to have surgery nebo other procedures.
Nejběžnější vedlejší účinky Wegovy u dospělých nebo dětí ve věku 12 let a starších může zahrnovat:
- nevolnost
- Bolest žaludku (břicha)
- závrať
- plyn
- průjem
- bolest hlavy
- Cítit se nafouklý
- žaludeční chřipka
- zvracení
- Únava (únava)
- Belching
- pálení žáhy
- zácpa
- rozrušit žaludek
- nízká hladina cukru v krvi u lidí
- rýma nebo bolest v krku s diabetem 2. typu
Promluvte si se svým poskytovatelem zdravotní péče o jakémkoli vedlejším efektu, který vás vadí nebo neodchází. Nejedná se o všechny možné vedlejší účinky Wegovy.
Zavolejte svého lékaře, kde najdete lékařskou radu ohledně vedlejších účinků. Můžete nahlásit vedlejší účinky FDA na 1-800-FDA-1088.
Obecné informace o bezpečném a efektivním používání Wegovy.
Léky jsou někdy předepisovány pro jiné účely než ty, které jsou uvedeny v průvodci s léky. Nepoužívejte Wegovy pro podmínku, pro které nebylo předepsáno. Nedávejte Wegovey jiným lidem, i když mají stejné příznaky, jaké máte. Může jim to poškodit. Můžete požádat svého lékárníka nebo poskytovatele zdravotní péče o informace o Wegovy, která je psána pro zdravotnické pracovníky.
Jaké jsou ingredience ve Wegoveu?
Aktivní složka: Semglutide
Neaktivní ingredience: Didodský fosfát dihydrát 1,42 mg; Chlorid sodný 8,25 mg; voda pro injekci; a pro úpravu pH může být přidána kyselina chlorovodíková nebo hydroxid sodný.
Pokyny pro použití
Wegovy®
(Semaglutid) Injekce Wegovy přichází v pěti pevných stránkách: 0,25 mg/ 0,5 ml 0,5 mg/ 0,5 ml 1 mg/ 0,5 ml 1,7 mg/ 0,75 ml 2,4 mg/ 0,75 ml 2,4 mg/ 0,75 ml
Než poprvé použijete své pero Wegovy Promluvte si se svým poskytovatelem zdravotní péče nebo svým pečovatelem o tom, jak správně připravit a injikovat Wegovy.
Vytáhněte se a začněte
Důležité informace
Než začnete používat Wegovy, přečtěte si tyto pokyny pro použití. Tyto informace nenahrazují rozhovor s poskytovatelem zdravotní péče o vašem zdravotním stavu nebo léčbě.
- Vaše Wegovy pero je pouze pro 1 časové použití. Wegovové pero je pouze pro používání subkutánní (pod kůží).
- Dávka Wegovy je již umístěna na pero.
- Jehla je pokryta krytem jehly a jehla nebude vidět.
- Neodstraňujte uzávěr pera, dokud nebudete připraveni vstoupit.
- Nedotýkejte se ani netlačte na kryt jehly. Mohli byste získat zranění jehlové tyčinky.
- Vaše injekce Wegovy začne, když je kryt jehly pevně přitlačen k pokožce.
- Ne Vyjměte pero z pokožky, než se žlutá tyč v okně pera zastavila. Lék se může objevit na kůži nebo stříkance z jehly a nemusíte získat plnou dávku Wegovy, pokud:
- pero je odstraněno příliš brzy nebo
- Pro celou injekci jste pevně netlačili pero na kůži.
- Pokud žlutá lišta nezačne během injekce pohybovat nebo se nezastaví, kontaktujte svého poskytovatele zdravotní péče nebo Novo Nordisk na Startwegovy.com nebo zavolejte na Novo Nordisk Inc. na čísle 1-833-934-6891.
- Pokryt jehly se zamkne, když je pero odstraněno z pokožky. Nemůžete zastavit injekci a restartovat ji později.
- Lidé, kteří jsou slepí nebo mají problémy se zrakem, by neměli používat Wegovy Pen bez pomoci osoby vyškolené k používání Wegovyho pera.
Jak ukládám wegovy?
- Uložte pero Wegovy v lednici mezi 36 ° F až 46 ° F (2 ° C až 8 ° C).
- Pokud je to potřeba před odstraněním uzávěru pera, může být Wegovy skladována ze 46 ° F do 86 ° F (8 ° C až 30 ° C) v původním kartonu po dobu až 28 dnů.
- Udržujte Wegovy v původním kartonu, abyste ji chránili před světlem.
- Ne freeze.
- Vyhoďte pero, pokud byla Wegovy zmrazena, byla vystavena světlým nebo teplotám nad 86 ° F (30 ° C) nebo byla mimo ledničku po dobu 28 dnů nebo déle.
Udržujte Wegovy a všechny léky mimo dosah dětí.
Wegovy pen parts
Před použitím po použití
Jak používat pero Wegovy
Ne use your Wegovy pen without receiving training from your healthcare provider. Ujistěte se, že vy nebo váš pečovatel víte, jak před zahájením léčby dát injekci perem.
Přečtěte si a postupujte podle pokynů, abyste správně používali pero Wegovy:
Příprava
Krok 1.. Připravte se na vaši injekci.
- Dodávky, které budete muset poskytnout injekci Wegovy:
- Wegovy pen
- 1 alkohol tampon nebo mýdlo a voda
- 1 gázová podložka nebo bavlněná koule
- 1 Sharps jednorázový kontejner pro použitá wegovy pera
- Myjte si ruce.
- Zkontrolujte své Wegovy pero.
- Ne use your Wegovy pen if:
- Zdá se, že bylo použito pero nebo jakákoli část pera se zdá být rozbitá například pokud byla zrušena.
- Medicína Wegovy není jasný a bezbarvý oknem pera.
- Uplynulo datum vypršení platnosti (EXP).
Kontaktujte Novo Nordisk na čísle 1-833-934-6891, pokud vaše pero Wegovy selže v jakémkoli z těchto kontrol.
Krok 2.. Vyberte si svůj injekční web.
- Váš poskytovatel zdravotní péče vám může pomoci vybrat web injekce, který je pro vás nejlepší
- Můžete vstříknout do horní nohy (přední část stehen) dolní žaludek (udržujte 2 palce od tlačítka břicha) nebo na horní paži.
- Ne inject into an area where the skin is tender bruised red nebo hard. Avoid injecting into areas with scars nebo stretch marks.
- Můžete vložit do stejné oblasti těla každý týden, ale ujistěte se, že to není na stejném místě pokaždé.
Vyčistěte místo injekce pomocí alkoholového tamponu nebo mýdla a vody. Po čištění se nedotýkejte místa injekce. Před injekcí nechte pokožku uschnout.
Injekce
Krok 3. Odstraňte uzávěr pera.
- Vytáhněte čepici pera přímo z pera.
Krok 4. injekce Wegovy.
- Pero pevně zatlačte na pokožku a vyvíjejte tlak, dokud se žlutá tyč nepřestane pohybovat.
- Pokud žlutá tyč nezačne pohybovat stisknutím pero pevněji proti vaší kůži.
- Během injekce uslyšíte 2 kliknutí.
- Klikněte na 1: Injekce byla zahájena.
- Klikněte na 2: Injekce probíhá.
- Pokud máte problémy s injekcí, přejděte na sekci odstraňování problémů.
Vyhoďte pero
Krok 5. Vyhoďte (zlikvidujte) pero.
Bezpečně zlikvidujte pero Wegovy hned po každém použití. Vidět Jak mohu zahodit (zlikvidovat) wegovy pera?
Co když se po injekci objeví krev?
Pokud se v místě injekce objeví krev, stiskněte místo lehce s gázovou podložkou nebo bavlněnou koulí.
Odstraňování problémů
- Máte -li problémy vstřikováním změny do pevnějšího injekčního místa, jako je horní noha nebo horní paže, nebo zvažte vstávání při vstřikování do spodního žaludku.
- Pokud se na kůži nebo stříkání z jehly objeví lék z jehly, ujistěte se, že příště vstřikujete tlak, dokud se žlutá tyč nepřestane pohybovat. Pak můžete pero zvednout pomalu z pokožky.
Jak mohu zahodit (zlikvidovat) wegovy pera?
Použité Wegovy pero vložte do nádoby na likvidaci Sharps Cleared FDA hned po použití. Ne throw away (dispose of) pero ve vaší domácnosti.
Pokud nemáte kontejner pro likvidaci Sharps Clared FDA, můžete použít kontejner pro domácnost, která je:
- vyrobeno z těžkoprávného plastu
- Schopnost být uzavřena pevně přiléhajícím víkem odolným proti propíchnutí, aniž by ostřely mohly vyjít
- Během používání vzpřímeně a stabilní
- odolný vůči únikům a
- Správně označené tak, aby varovalo před nebezpečným odpadem uvnitř nádoby.
Pokud je vaše kontejner pro likvidaci SHARPS téměř plný, budete muset dodržovat své pokyny pro komunitu pro správný způsob, jak zlikvidovat svůj kontejner likvidace Sharps. Mohou existovat státní nebo místní zákony o tom, jak byste měli zahodit použité jehly a stříkačky. Další informace o bezpečném likvidaci Sharps a pro konkrétní likvidaci Sharps ve státě, ve kterém žijete, přejděte na web FDA na adrese https://www.fda.gov/safesharpsdisposal.
- Ne reuse the pen.
- Ne recycle the pen nebo sharps disposal container nebo throw them into household trash.
Důležité: Udržujte svůj nádobu na likvidaci pero ostře, a všechny léky mimo dosah dětí.
Jak se mohu starat o své pero?
Chraňte své pero
- Ne drop your pen nebo knock it against hard surfaces.
- Ne expose your pen to any liquids.
- Pokud si myslíte, že vaše pero může být poškozeno, nesnažte se ho opravit. Použijte nový.
- Udržujte čepici pera, dokud nebudete připraveni vstoupit. Vaše pero již nebude sterilní, pokud uložíte nepoužité pero bez čepice, pokud vytáhnete čepici pera a znovu ho nasadíte nebo pokud chybí čepice pera. To by mohlo vést k infekci.
Máte-li jakékoli dotazy týkající se Wegovy, přejděte na startwegovy.com nebo zavolejte na novo Nordisk Inc.
Tyto pokyny pro použití byly schváleny americkou správou potravin a léčiv.