Informace Na Stránce Nepředstavují Lékařskou Radu. Nic Neprodáváme. Přesnost Překladu Není Zaručena. Zřeknutí Se Odpovědnosti



Nexplanon

Shrnutí drog

Co je nexplanon?

Nexplanon (implantát Etonogestrel) je antikoncepční implantát označený pro použití ženami k prevenci těhotenství po dobu až tří let. Nexplanon je k dispozici v obecný formulář.

Jaké jsou vedlejší účinky nexplanonu?

Nexplanon může způsobit vážné vedlejší účinky včetně:



  • Tvorba krevní sraženiny
  • onemocnění jater
  • Ektopické těhotenství
  • vážná deprese a
  • Odstranění implantátu v důsledku vedlejších účinků

Získejte lékařskou pomoc okamžitě, pokud máte výše uvedené příznaky.



Mezi vedlejší účinky nexplanonu patří:

  • Změny v menstruačních obdobích
  • nepravidelná menstruační období
  • změny nálady
  • citlivost nebo bolest prsu
  • Bolest břicha
  • Bolest zad
  • Změny chuti k jídlu
  • nevolnost
  • akné
  • slabost
  • bolest hlavy
  • deprese
  • vaginální infekce nebo zánět
  • vaginální výtok
  • bolest v krku
  • Příznaky chřipky
  • Bolest injekce
  • závrať
  • Ektopická těhotenství
  • onemocnění jater
  • přibývání na váze
  • nervozita a
  • Retence tekutin.

Mezi vážné vedlejší účinky nexplanonu patří:



  • Tvorba krevní sraženiny
  • onemocnění jater
  • Ektopické těhotenství a
  • vážná deprese;
  • Vedlejší účinky mohou zaručit odstranění implantátu.

Pokud máte následující vážné vedlejší účinky, vyhledejte lékařskou péči nebo zavolejte na číslo 911:

  • Vážné příznaky očí, jako je ztráta náhlého vidění rozmazané vidění vidění Vision Vision Eye Eye Eye Eye Eye Eye Eye Eye nebo vidět halos kolem světel;
  • Vážné příznaky srdce, jako je rychlé nepravidelné nebo bušení srdečního rytmu; třepování v hrudi; dušnost; a náhlé závratě lightheartiesness nebo omdlení;
  • Těžká zmatek bolesti hlavy zkroucený řečový rameno nebo slabost nohou Potíže se ztrátou chůze pocitu koordinace Pocit nestabilní velmi tuhé svaly vysoké horečky bohaté pocení nebo třes.

Tento dokument neobsahuje všechny možné vedlejší účinky a mohou dojít k jiným. Další informace o vedlejších účincích najdete u svého lékaře.

Dávkování pro nexplanon

Nexplanon (implantát Etonogestrel) je k dispozici ve sterilním jednorázovém kontejneru, který má biodegradovatelný polymer 4 cm dlouhý a 2 mm široký obsahující 68 mg etonogestrelu. Jeden nexplanonový implantát je vložen pomocí sterilní techniky subdermálně do horní části paže jednotlivci vyškolenými k provedení této techniky.

Nexplanon během těhotenství a kojení

Nexplanon může být použit během kojení po čtvrtém poporodním týdnu. Neexistuje žádný důkaz, že riziko spojené s etonogestrelem se liší od rizika kombinované perorální antikoncepce. Nexplanon by měl být odstraněn, pokud osoba otěhotní a má zájem o udržení těhotenství, ale je nezbytné vyloučit těhotenství před vložením implantátu. Implantát by měl být odstraněn na konci tří let; Další lze vložit, pokud pacient stále chce prevenci těhotenství. Tento implantát nebyl studován u pacientů mladších 18 let.

Další informace

Naše nexplanon (etonogestrel implantát) vedlejší účinky léky na vedlejší účinky poskytuje komplexní pohled na dostupné informace o drogách o možných vedlejších účincích při užívání tohoto léku.

Informace o drogách FDA

Popis pro nexplanon

Nexplanon je radiopaktní progestin pouze měkký flexibilní implantát předem načtený ve sterilním jednorázovém aplikátoru pro subdermální použití. Implantát je bílý/off-bílý nebiodegradovatelný a 4 cm na délku s průměrem 2 mm (viz obrázek 18). Každý implantát sestává z jádra kopolymeru ethylen -vinylacetátu (EVA) obsahujícího 68 mg syntetického progestinu etonogestrel barium síran (radiopaky) a může také obsahovat magnezium stearate obklopenou kopolymerní kůží EVA. Po vložení subdermálně je míra uvolnění 60-70 mcg/den v 5-6 týdne a snižuje na přibližně 35-45 mcg/den na konci prvního roku na přibližně 30-40 mcg/den na konci druhého roku a poté na přibližně 25-30 mcg/den na konci třetího roku. Nexplanon je antikoncepce pouze progestinu a neobsahuje estrogen. Nexplanon neobsahuje latex.

Obrázek 18

Etonogestrel [13-ethyl-17-hydroxy-11-methylen-1819-dinor-17a-pregn-4-en-y-y-3-one] strukturálně odvozený z 19-Nortestosteronu je syntetický biologicky aktivní metabolit syntetického progestin desogestru. Má molekulovou hmotnost 324,46 a následující strukturální vzorec (obrázek 19).

Obrázek 19

Použití pro nexplanon

Nexplanon® je indikován pro použití ženami k prevenci těhotenství.

Dávkování pro nexplanon

Účinnost nexplanonu nezávisí na denní týdenní nebo měsíční správě.

Všichni zdravotničtí pracovníci by měli před provedením vložení a/nebo odstranění nexplanonu dostávat výuku a školení.

Jediný nexplanonový implantát je vložen subdermálně těsně pod kůží na vnitřní straně dominantního horního paže. Místo vložení překrývá tricepsový svaly asi 8-10 cm (3-4 palce) od mediálního epicondyle humeru a 3-5 cm (NULL,25-2 palce) za (dole) sulku (drážky) mezi biceps a tricepsové svaly. Účelem tohoto umístění je zabránit velkým krevním cévám a nervům ležícím uvnitř a obklopujícím sulcus (viz obrázky 2a 2b a 2c). Vložení implantátu hlouběji než subdermálně (hluboké vložení) může ztěžovat nebo nemožné odstranění a lokalizaci ztěžovat [viz viz [Viz Dávkování a podávání a Varování a preventivní opatření ].

Nexplanon musí být vložen do data vypršení platnosti uvedeného na obalu. Nexplanon je dlouhodobě působící (až 3 roky) reverzibilní hormonální antikoncepční metoda. Implantát musí být odstraněn do konce třetího roku a může být nahrazen novým implantátem v době odstranění, pokud je požadována pokračující antikoncepční ochrana.

Zahájení antikoncepce s nexplanonem

Důležité: Vyloučit těhotenství před vložením implantátu.

Načasování vložení závisí na nedávné antikoncepční historii ženy takto:

Žádné předchozí hormonální antikoncepční použití v posledním měsíci

Nexplanon by měl být vložen mezi 1. den (první den menstruačního krvácení) a 5. den menstruačního cyklu, i když žena stále krvácí.

Pokud je vložena jako doporučená záložní antikoncepce, není nutná. Pokud se odchyluje od doporučeného načasování vložení, mělo by být doporučeno používat bariérovou metodu až do 7 dnů po zavedení. Pokud již došlo k pohlavnímu styku, mělo by být vyloučeno těhotenství.

Přepínání antikoncepční metody na nexplanon

Kombinované hormonální antikoncepční prostředky:

Nexplanon by měl být s výhodou vložen den po posledním aktivním tabletu předchozí kombinované perorální antikoncepce nebo v den odstranění vaginálního kroužku nebo transdermální náplasti. V posledním nexplanonu by měl být vložen do dne po obvyklém intervalu náplasti bez náplasti nebo placebového tabletu bez tabletu předchozího kombinovaného hormonálního antikoncepce.

Pokud je vložena jako doporučená záložní antikoncepce, není nutná. Pokud se odchyluje od doporučeného načasování vložení, mělo by být doporučeno používat bariérovou metodu až do 7 dnů po zavedení. Pokud již došlo k pohlavnímu styku, mělo by být vyloučeno těhotenství.

Progestinská antikoncepční prostředky

Existuje několik typů pouze metod progestinu. Nexplanon by měl být vložen následovně:

  • Injekční antikoncepční prostředky: Vložte nexplanon v den, kdy je příští injekce splatná.
  • Minipill: Žena může přejít na Nexplanon každý den v měsíci. Nexplanon by měl být vložen do 24 hodin po užití posledního tabletu.
  • Antikoncepční implantát nebo intrauterinový systém (IUS): Vložte nexplanon ve stejný den, kdy je předchozí antikoncepční implantát nebo IUS odstraněn.

Pokud je vložena jako doporučená záložní antikoncepce, není nutná. Pokud se odchyluje od doporučeného načasování vložení, mělo by být doporučeno používat bariérovou metodu až do 7 dnů po zavedení. Pokud již došlo k pohlavnímu styku, mělo by být vyloučeno těhotenství.

Po potratu nebo potratu
  • První trimestr: Nexplanon by měl být vložen do 5 dnů po potratu nebo potratu prvního trimestru.
  • Druhý trimestr: Vložte nexplanon mezi 21 až 28 dny po potratu nebo potratu druhého trimestru.

Pokud je vložena jako doporučená záložní antikoncepce, není nutná. Pokud se odchyluje od doporučeného načasování vložení, mělo by být doporučeno používat bariérovou metodu až do 7 dnů po zavedení. Pokud již došlo k pohlavnímu styku, mělo by být vyloučeno těhotenství.

Poporodní
  • Ne kojení: Nexplanon by měl být vložen mezi 21 až 28 dnů po porodu. Pokud je vložena jako doporučená záložní antikoncepce, není nutná. Pokud se odchyluje od doporučeného načasování vložení, mělo by být doporučeno používat bariérovou metodu až do 7 dnů po zavedení. Pokud již došlo k pohlavnímu styku, mělo by být vyloučeno těhotenství.
  • Kojení: Nexplanon by neměl být vložen až po čtvrtém poporodním týdnu. Ženě by měla být doporučena používat bariérovou metodu až do 7 dnů po zavedení. Pokud již došlo k pohlavnímu styku, mělo by být vyloučeno těhotenství.

Vložení nexplanonu

Základem pro úspěšné použití a následné odstranění nexplanonu je správné a pečlivě provedené subdermální vložení implantátu ve tvaru tyče v souladu s pokyny. Zdravotnický profesionál i žena by měli být schopni cítit implantát pod kůži po umístění.

Všichni zdravotničtí pracovníci, kteří provádějí inzerce a/nebo odstranění Nexplanonu, by měli před vložením nebo odstraněním implantátu dostávat pokyny a školení.

Příprava

Před vložením Nexplanonu si pečlivě přečtěte pokyny pro vložení a úplné informace o předepisování. Pokud si nejste jisti nezbytnými kroky k bezpečnému vložení a/nebo odstranění nexplanonu, nepokoušejte se tento postup.

Pokud máte nějaké dotazy, zavolejte do Organon Service Center na čísle 1-844-674-3200. Videa demonstrující inzerci a odstranění jsou k dispozici online pro vyškolené zdravotnické pracovníky (www.nexplanontraining.com).

Před vložením nexplanonu by měl zdravotnický profesionál potvrdit, že:

  • Žena není těhotná a nemá žádné jiné kontraindikace pro použití nexplanonu [viz Kontraindikace ].
  • Žena provedla lékařskou anamnézu a fyzické vyšetření včetně gynekologického vyšetření.
  • Žena chápe výhody a rizika Nexplanonu.
  • Žena obdržela kopii označování pacienta zahrnuté v obalu.
  • Žena nemá alergie na antiseptické a anestetiku, která se má použít během inzerce.

Vložte nexplanon za aseptických podmínek.

  • Pro vložení implantátu je zapotřebí následující zařízení:
  • Zkušební stůl pro ženu
  • Sterilní chirurgické závěsy sterilní rukavice antiseptický roztok Chirurgický marker
  • Místní anestetické jehly a stříkačku
  • Sterilní gázová lepivá obvaz tlaku
Postup vložení

Aby se ujistil, že je implantát vložen těsně pod kůži, měli by být zdravotničtí pracovníci umístěni tak, aby viděli pokrok jehly prohlížením aplikátoru ze strany a ne nad paží. Z pohledu boku lze jasně vizualizovat místo vložení a pohyb jehly těsně pod kůží.

Pro ilustrativní účely znázorňují obrázky levé vnitřní paže.

Krok 1.. Nechte ženu ležet na zádech na zkušebním stole s nedominantním paží ohnuté na loktu a externě otočenou tak, aby její ruka byla pod hlavou (nebo co nejblíže) (obrázek 1).

Obrázek 1

Krok 2.. Identifikujte místo vložení, které je na vnitřní straně nedominantního horního paže. Místo vložení překrývá tricepsový svaly asi 8-10 cm (3-4 palce) od mediálního epicondyle humeru a 3-5 cm (NULL,25-2 palce) za (dole) sulkus (drážky) mezi biceps a tricepsové svaly (obrázky 2A 2B a 2c). Účelem tohoto umístění je zabránit velkým krevním cévám a nervům ležícím uvnitř a obklopujícím sulku. Pokud není možné vložit implantát do tohoto místa (např. U žen s tenkými pažemi), měl by být vložen co nejdale za zadní část sulku. [Vidět Varování a preventivní opatření ]

Krok 3.. Vytvořte dvě značky s chirurgickým značkou: Nejprve označte místo, kde bude vložen implantát Etonogestrel, a druhou značkou na 5 centimetrech (2 palce) proximální (směrem k rameni) k první značce (obrázek 2A a 2B). Tato druhá značka (hlavní značka) bude později sloužit jako průvodce směrem během vložení.

Obrázek 2a: P â € Proximal (směrem k rameni) D - distální (směrem k loktu)

Obrázek 2b

Obrázek 2C: Průřez levého horního paže, jak je pohledu z loketního mediálního (vnitřní strany paže) boční (vnější strana paže)

Krok 4. Po označení paže potvrzujte, že místo je na správném místě na vnitřní straně paže.

Krok 5. Vyčistěte pokožku z místa vložení do hlavní značky antiseptickým roztokem.

Krok 6. Anestetizujte oblast inzerce (například anestetickým sprejem nebo injekcí 2 ml 1% lidokainu těsně pod kůží podél plánovaného tunelu vložení).

Krok 7. Odstraňte sterilní předem načtený jednorázový nexplanonový aplikátor obsahující implantát z jeho blistrového obalu. Před použitím vizuálně zkontrolujte obal pro porušení integrity nebo poškození (např. Roztrhané propíchnuté atd.). Pokud má balení nějaké vizuální poškození, které by mohlo ohrozit sterilitu, produkt nepoužívá.

Krok 8. Držte aplikátor těsně nad jehlou na povrchové ploše. Odstraňte průhlednou ochrannou uzávěr tím, že jej vodorovně posunete ve směru šipky od jehly (obrázek 3). Pokud se čepice snadno nevyjde, by se aplikátor neměl používat. Měli byste vidět bílý barevný implantát pohledem do špičky jehly. Nedotýkejte se fialového posuvníku, dokud plně vložíte subdermálně jehlu, protože takto zasune jehlu a předčasně uvolní implantát z aplikátoru.

Krok 9. Pokud je fialový posuvník uvolněn předčasně restartujte postup pomocí nového aplikátoru.

Obrázek 3

Krok 10. S volnou rukou natáhněte pokožku kolem místa vložení směrem k loktu (obrázek 4).

Obrázek 4

Krok 11. Implantát by měl být vložen subdermálně těsně pod kůží [viz varování a preventivní opatření].

Chcete -li se ujistit, že je implantát vložen těsně pod kůži, měli byste se umístit, abyste viděli pokrok jehly pozorováním aplikátoru ze strany a ne nad paží. Z pohledu bočního pohledu (viz obrázek 6) můžete jasně vidět místo vložení a temovelení jehly těsně pod kůží.

Krok 12. Propíchněte pokožku špičkou jehly mírně nakloněné méně než 30 ° (obrázek 5A).

Obrázek 5a

Krok 13. Vložte jehlu, dokud není zkosení (šikmé otevření špičky) těsně pod kůží (a dále) (obrázek 5B). Pokud jste vložili jehlu hlouběji, než zkosení, stáhněte jehlu, dokud není pod kůží pouze zkosení.

Obrázek 5b

Krok 14. Snižte aplikátoru na téměř vodorovnou polohu. Aby se usnadnilo subdermální umístění, zvedněte pokožku jehlou při posunutí jehly do celé délky (obrázek 6). Můžete se cítit mírný odpor, ale nevyvíjejte nadměrnou sílu. Pokud jehla není vložena na svou celou délku, implantát nebude správně vložen.

Pokud se špička jehly vynoří z pokožky před dokončením zavedení jehly, měla by být jehla zatažena dozadu a před dokončením vložení vložení.

Obrázek 6

Krok 15. Udržujte aplikátor ve stejné poloze s jehlou vloženou do celé délky (obrázek 7). Pokud je to potřeba, můžete použít volnou ruku ke stabilizaci aplikátoru. Odemkněte fialový posuvník tím, že jej lehce zatlačíte (obrázek 8A). Posuňte posuvník úplně zpět, dokud se nezastaví. Nepřesuňte aplikátorem při pohybu fialového posuvníku (obrázek 8B). Implantát je nyní ve své konečné poloze subdermální a jehla je uzamčena uvnitř těla aplikátoru. Aplikátor lze nyní odstranit (obrázek 8c).

Obrázek 7

Obrázek 8a a obrázek 8b

Obrázek 8c

Pokud aplikátor během tohoto postupu není uchováván ve stejné poloze nebo pokud není fialový posuvník přesunut úplně zpět, dokud nezastaví implantát, nebude správně vložen a může vyčnívat z místa vložení.

Pokud se implantát vyčnívá z místa vložení, odstraňte implantát a proveďte nový postup na stejném místě vložení pomocí nového aplikátoru. Netlačte vyčnívající implantát zpět do řezu.

Krok 16. Naneste na místo vložení malou adhezivní obvaz.

Dlouhodobé vedlejší účinky propranololu

Krok 17. Always ověřte přítomnost implantátu do paže ženy ihned po vložení palpací. Tmalem obou konců implantátu byste měli být schopni potvrdit přítomnost 4 cm tyče (obrázek 9). Zjistěte, zda tyč není hmatatelný po vložení níže.

Obrázek 9

Krok 18. Požadovat, aby žena palpatovala implantát.

Krok 19. Naneste tlakový obvaz se sterilní gázou, abyste minimalizovali modřiny. Žena může odstranit obvaz tlaku za 24 hodin a malý obvaz lepidla nad místem vložení po 3 až 5 dnech.

Krok 20. Dokončete štítek pacienta a připevněte jej k ženskému lékařskému záznamu.

Krok 21. Aplikátor je pouze pro jedno použití a měl by být zlikvidován v souladu s pokyny pro kontrolu a prevenci Centra pro nakládání s nebezpečným odpadem.

Pokud tyč po inzerci není hmatatelný:

Pokud nemůžete cítit implantát nebo máte pochybnosti o jeho přítomnosti, implantát nemusel být podněcován nebo mohl být vložen hluboce:

  • Zkontrolujte aplikátor. Jehla by měla být plně zasunutá a měla by být viditelná pouze fialová špička obturátoru.
  • K potvrzení přítomnosti implantátu použijte jiné metody. Vzhledem k radiopaque povaze implantátu vhodných metod pro lokalizaci jsou dvourozměrná rentgenová a rentgenová počítačová tomografie (CT skenování). Ultrazvukové skenování (USS) s vysokofrekvenčním převodníkem lineárního pole (10 MHz nebo vyšší) nebo magnetickou rezonancí (MRI). Pokud tyto metody selhávají, zavolejte na servisní středisko Organon na čísle 1-844-674-3200 pro informace o postupu pro měření hladin krve etonogestrelu, které lze použít pro ověření přítomnosti implantátu.

Dokud nebude přítomnost implantátu ověřena, by mělo být doporučeno používat nehormonální antikoncepční metodu, jako jsou kondomy.

Hluboce umístěné implantáty by měly být lokalizovány a odstraněny co nejdříve, aby se zabránilo potenciálu vzdálené migrace [viz Varování a preventivní opatření ].

Odstranění nexplanonu

Příprava

Odstranění implantátu by mělo být prováděno pouze za aseptických podmínek zdravotnickým odborníkem, který je obeznámen s technikou odstranění. Pokud nejste obeznámeni s technikou odstranění, volejte 1-844-674-3200 pro další informace.

Před zahájením postupu odstranění by měl zdravotnický odborník posoudit umístění implantátu a pečlivě si přečíst pokyny k odstranění. Přesné umístění implantátu v paži by mělo být ověřeno palpací. Pokud implantát není hmatatelný, poraďte se s lékařským záznamem a ověřte rameno, které obsahuje implantát. Pokud implantát nelze hmatat, může být hluboce umístěn nebo migrován. Zvažte, že to může ležet blízko k nádobám a nervům. Odstranění nevznikatelných implantátů by mělo provádět pouze zdravotnický odborník, který má zkušenosti s odstraňováním hluboce umístěných implantátů a známý s lokalizací implantátu a anatomie paže. Volejte 1-844-674-3200 pro další informace. [Vidět Lokalizace a odstranění nevzdušitelného implantátu níže.]

Postup pro odstranění implantátu, který je hmatatelný

Před odstraněním implantátu by měl zdravotnický odborník potvrdit, že:

  • Žena nemá alergie na antiseptikum nebo anestetiku, která se má použít.

Pro odstranění implantátu je nutné následující zařízení:

  • Zkušební stůl pro ženu
  • Sterilní chirurgické závěsy sterilní rukavice antiseptický roztok Chirurgický marker
  • Místní anestetické jehly a stříkačku
  • Sterilní kleště skalpelu (rovné a zakřivené komáry)
  • Uzavření kůže sterilní gáza a tlakový obvaz
Postup odstranění

Pro ilustrativní účely znázorňují číslo levé vnitřní paže

Krok 1. Nechte ženu ležet na zádech na stole. Rameno by mělo být umístěno s ohýbanou loktem a rukou pod hlavou (nebo co nejblíže). (Viz obrázek 1.)

Krok 2. Vyhledejte implantát palpací. Stiskněte dolů konec implantátu nejblíže k rameni (obrázek 10), abyste jej stabilizovali; Měla by se objevit boule označující špičku implantátu, který je nejblíže k loktu. Pokud se špička nevyskytuje odstranění implantátu, může být náročnější a měli by být prováděni odborníky, kteří mají zkušenosti s odstraňováním hlubších implantátů. Pro další informace volejte 1-844-6743200.

Označte distální konec (konec nejblíže k lokte) například chirurgickým značkou.

Obrázek 10 : P †Proximal (toward the shoulder) D †Distal (toward the elbow)

Krok 3. Vyčistěte místo antiseptickým roztokem.

Krok 4. Anestetizujte místo například s 0,5 až 1 ml 1% lidokainu, kde bude řez proveden (obrázek 11). Nezapomeňte injikovat lokální anestetiku pod implantátem, aby byl implantát blízko povrchu kůže. Injekce lokálního anestetiku přes implantát může ztěžovat odstranění.

Obrázek 11

Krok 5. Stiskněte konec implantátu nejblíže k rameni (obrázek 12), abyste jej stabilizovali během postupu. Počínaje špičkou implantátu nejblíže k lokte vytvoří podélný (rovnoběžný s implantátem) řezem 2 mm směrem k loktu. Dávejte pozor, abyste neříkali špičku implantátu.

Obrázek 12

Krok 6. Špička implantátu by měla vyskočit z řezu. Pokud jemně netlačí implantát směrem k řezu, dokud není špička viditelná. Uchopte implantát pomocí kleští a pokud je to možné, odstraňte implantát (obrázek 13). V případě potřeby jemně odstraňte adherentní tkáň ze špičky implantátu pomocí tupé pitvy. Pokud hrot implantátu není vystaven po tupé pitvě, proveďte řez do tkáňového pláště a poté implantát odstraňte kleštěmi (obrázky 14 a 15).

Obrázek 13

Obrázek 14 a Obrázek 15

Krok 7. Pokud špička implantátu není viditelná v insert vložcích kleští (nejlépe zakřivené kleště komáry s špičkami nasměrovanými nahoru) povrchně do řezu (obrázek 16). Jemně uchopte implantát a poté převrátíte kleště do druhé ruky (obrázek 17).

Obrázek 16 a Obrázek 17

Krok 8. S druhým párem kleští pečlivě rozebírá tkáň kolem implantátu a uchopte implantát (obrázek 18). Implantát pak může být odstraněn. Pokud implantát nelze uchopit, zastavte postup a pošlete ženu na odborníka na zdravotnictví, které se zažívá se složitými odstraněními nebo zavolejte na číslo 1-844-674-3200.

Obrázek 18

Krok 9. Potvrďte, že celý implantát, který je dlouhý 4 cm, byl odstraněn měřením jeho délky. V paži pacienta byly zprávy o rozbitých implantátech. V některých případech bylo hlášeno obtížné odstranění rozbitého implantátu. Pokud je odstraněn částečný implantát (méně než 4 cm), zbývající část by měla být odstraněna podle pokynů v části 2.3. Pokud by žena chtěla pokračovat v používání Nexplanonu, může být vložen nový implantát ihned po odstranění starého implantátu pomocí stejného řezu, pokud je místo na správném místě [viz viz Dávkování a podávání ].

Krok 10. Po odstranění implantátu zavřete řez sterilním lepicímu uzavření rány.

Krok 11. Naneste tlakový obvaz se sterilní gázou, abyste minimalizovali modřiny. Žena může odstranit obvaz tlaku za 24 hodin a sterilní lepicí lepidlo za 3 až 5 dní.

Lokalizace a odstranění nevzdušitelného implantátu

Byly zprávy o migraci implantátu; Obvykle to zahrnuje menší pohyb vzhledem k původní poloze [viz Varování a preventivní opatření ] ale může vést k tomu, že implantát nebyl hmatatelný v místě, ve kterém byl umístěn. Implantát, který byl hluboce vložen nebo migrován, nemusí být hmatatelný, a proto mohou být pro lokalizaci vyžadovány zobrazovací postupy, jak je popsáno níže.

Před pokusem o odstranění by měl být vždy umístěn nelatatelný implantát. Vzhledem k radiopaktní povaze vhodných metod implantátu patří dvourozměrná rentgenová a rentgenová počítačová tomografie (CT). Ultrazvukové skenování (USS) s vysokofrekvenčním převodníkem lineárního pole (10 MHz nebo vyšší) nebo magnetickou rezonancí (MRI). Jakmile je implantát lokalizován do paže, měl by být implantát odstraněn zdravotnickým odborníkem, který má zkušenosti s odstraňováním hluboce umístěných implantátů a obeznámen s anatomií paže. Mělo by se zvážit použití ultrazvukového vedení během odstranění.

Pokud implantát nelze nalézt v paži po komplexních pokusech o lokalizaci zvažte použití zobrazovacích technik na hrudník, protože byly hlášeny události migrace na plicní vaskulaturu. Pokud je implantát umístěn v chirurgickém nebo endovaskulárním postupech hrudníku; Měli by být konzultováni zdravotničtí pracovníci obeznámeni s anatomií hrudníku.

Pokud tyto metody zobrazování kdykoli nedokážou lokalizovat určení hladiny krve etonogestrelu, lze použít pro ověření přítomnosti implantátu. Podrobnosti o stanovení úrovně krve Etonogestrel volejte 1-844-674-3200 pro další pokyny.

Pokud implantát migruje v rámci odstraňování paže, může vyžadovat menší chirurgický zákrok s větším řezem nebo chirurgickým zákrokem na operačním sále. Odstranění hluboce inhered implantátů by mělo být prováděno s opatrností, aby se zabránilo poškození hlubších nervových nebo vaskulárních struktur v paži. Neopatřitelné a hluboce inhered implantáty by měly být odstraněny zdravotnickými pracovníky, kteří jsou obeznámeni s anatomií paže a odstraněním hluboce inhered implantátů.

Průzkumná chirurgie bez znalosti o přesném umístění implantátu je silně odrazována.

Výměna nexplanonu

Okamžitá náhrada může být provedena po odstranění předchozího implantátu a je podobná postupu vložení popsané v části 2.2 Vložení nexplanonu.

Nový implantát může být vložen do stejné paže a stejným řezem, ze kterého byl předchozí implantát odstraněn, pokud je místo na správném místě, tj. 8-10 cm od mediálního epicondyle humeru a 3-5 cm za (níže) sulcus [viz viz Dávkování a podávání ]. If the same incision is being used to insert a new implant anesthetize the insertion site [for example 2 mL lidocaine (1%)] applying it just under the skin along the ‘insertion canal.’

Postupujte podle následujících kroků v pokynech vložení Dávkování a podávání ].

Jak dodáno

Formy a silné stránky dávkování

Jednoduchý bílý/off-bílý měkký radiopaky flexibilní ethylen-vinylacetát (EVA) kopolymerní implantát 4 cm na délku a 2 mm v průměru obsahující 68 mg etonogestrel 15 mg síranu barria a 0,1 mg stearátu hořčíku.

Nexplanon je dodáván takto:

NDC 78206-145-01

Jeden nexplanonový balíček sestává z jediného implantátu obsahujícího 68 mg etonogestrel 15 mg síranu barria a 0,1 mg hořečnatého stearátu, který má délku 4 cm a průměr 2 mm, který je předem naložen v jehlu disponibilního aplikátoru. Sterilní aplikátor obsahující implantát je zabalen do blistrového balíčku.

Skladování a manipulace

Ukládat nexplanon (implantát Etonogestrel) Radiopaque při 25 ° C (77 ° F); Výlety povoleny na 15-30 ° C (59-86 ° F) [viz Teplota místnosti s kontrolou USP ]. Avoid storing Nexplanon at temperatures above 30°C (86°F).

Vyrobeno N.V. Organon OSS Nizozemsko jako dceřiná společnost Organon

Vedlejší účinky for Nexplanon

Následující nežádoucí účinky hlášené při použití hormonální antikoncepce jsou diskutovány jinde při označování:

  • Změny ve vzorcích menstruačního krvácení [viz Varování a preventivní opatření ]
  • Ektopická těhotenství [viz Varování a preventivní opatření ]
  • Trombotické a jiné cévní příhody [viz Varování a preventivní opatření ]
  • Onemocnění jater [viz Varování a preventivní opatření ]

Zkušenosti z klinických studií

Míra nežádoucí reakce pozorovaná v klinických studiích léčiva nelze přímo porovnat s mírami v klinických studiích jiného léčiva a nemusí odrážet rychlosti pozorované v praxi, protože klinické studie se provádějí za značně proměnlivých podmínek.

V klinických studiích zahrnujících 942 žen, které byly hodnoceny na změnu bezpečnosti ve vzorcích menstruačního krvácení (nepravidelné menstruace), byla nejčastějším nežádoucím reakcí způsobujícím ukončení použití neradiopačního implantátu etonogestrelu (Implonan) (NULL,1% žen).

V tabulce 3 jsou uvedeny nežádoucí účinky, které vedly k rychlosti přerušení ≥1%.

Tabulka 3: Nežádoucí účinky vedoucí k přerušení léčby u 1% nebo více subjektů v klinických studiích neradiopaque etonogestrel implantát (Implonan)

Nežádoucí účinky Všechny studie
N = 942
Krvácení nepravidelnosti* 11,1%
Emocionální labilita † 2,3%
Zvýšení hmotnosti 2,3%
Bolest hlavy 1,6%
Akné 1,3%
Deprese‡ 1,0%
* Zahrnuje časté těžké prodloužené skvrny a další vzorce krvácení nepravidelnosti.
† Mezi americkými subjekty (n = 330) 6,1% zažilo emoční labilitu, která vedla k přerušení.
‡ mezi americkými subjekty (n = 330) 2,4% zažila deprese, která vedla k přerušení.

Jiné nežádoucí účinky, které byly hlášeny nejméně 5% subjektů v klinických studiích ne-radiopaque etonogestrel implantáty v tabulce 4.

Tabulka 4: Běžné nežádoucí účinky hlášené ≥ 5% subjektů v klinických studiích s neradiopakským implantátem Etonogestrel (Implonan)

Nežádoucí účinky Všechny studie
N = 942
Bolest hlavy 24,9%
Vaginitida 14,5%
Zvýšení hmotnosti 13,7%
Akné 13,5%
Bolest prsu 12,8%
Bolest břicha 10,9%
Zánět hltanu 10,5%
Leukorrhea 9,6%
Příznaky podobné chřipce 7,6%
Závrať 7,2%
Dysmenorea 7,2%
Bolest zad 6,8%
Emoční labilita 6,5%
Nevolnost 6,4%
Bolest 5,6%
Nervozita 5,6%
Deprese 5,5%
Přecitlivělost 5,4%
Bolest vložení místa 5,2%

V klinické studii nexplanonu, ve kterém byli vyšetřovatelé požádáni, aby prozkoumali místo implantátu po reakcích na místě vložení implantátu u 8,6% žen. Erytém byl nejčastější komplikací místa implantátu hlášeného během nebo krátce po zavedení do 3,3% subjektů. Kromě toho byla hlášena hematom (NULL,0%) modřina (NULL,0%) (NULL,0%) a otok (NULL,7%).

Zážitek z postmarketingu

Nežádoucí účinky And Events From Postmarketing Study

Studie hodnocení rizika Nexplanonu (NORA)

Byla provedena postmarketingová prospektivní studie aktivního dohledu u 7364 pacientů ve Spojených státech, aby se charakterizovala frekvenci událostí souvisejících s lokalizací a odstraněním.

Vložení implantátu

Obtížnost vložení nebo událost související s vložením došlo u 2,6% účastníků studie. Celkový výskyt nesprávného zavedení (nerozpoznávané nepoznávání částečné vložení a hluboké inzerce) hlášené zdravotnickými pracovníky byl 12,6 na 1000 inzercí (95% CI 10,2 15,5). Tabulka 5 shrnuje typy a frekvence těchto nesprávných inzercí.

Tabulka 5: Nesprávné typy vložení a incidence hlášené zdravotnickými pracovníky

Typ nesprávné události vložení Počet událostí* Incidence na 1000 inzercí (95% CI)
(Zpočátku) nerozpoznávající neinverze 1 0,1 (NULL,0-0,8)
Částečné inzerce 27 3.7 (2.4-5.3)
Hluboké inzerce 65 8.8 (6.8-11.2)
Zranění nervu nebo krevní cévy 1 0,1 (NULL,0-0,8)
Implantát umístěný ve svalu 2 0,3 (NULL,0-1,0)
Implantát umístěný sousedící s fasciální tkáni 56 7.6 (NULL,8-9,9)
Implantát není hmatatelný 6 0,8 (NULL,3-1,8)
*Postupy celkového vložení = 7364
Odstranění implantátu

Informace o odstraňování implantátu od zdravotnických pracovníků i pacientů byly shromážděny u 5159 pacientů (70% studijní populace). Z těchto údajů o pacientů byly k dispozici od zdravotnických pracovníků ohledně 4373 postupů odstraňování. Zdravotničtí odborníci vykázali potíže nebo komplikace související s odstraněním v 1,5% postupech odstranění. Tabulka 6 poskytuje shrnutí.

Tabulka 6: Události související s odstraněním hlášené zdravotnickými pracovníky

Události související s odstraněním Počet událostí* Incidence na 1000 odstranění (95% CI)
Jakákoli událost † 60 13.7 (10.5-17.6)
Uzavřen ve fibrotické tkáni 29 6.6 (4.4-9,5)
Implantát příliš hluboký 11 2.5 (1.3-4,5)
Implantát migrován ‡ 6 1,4 (NULL,5-3,0)
Požadováno několik pokusů 13 3.0 (1.6-5.1)
Ostatní 14 3.2 (NULL,8-5,4)
*Postupy celkového odstranění: n = 4373
† Omezeno na jednu událost na postup odstranění
‡ hlášeno pouze místní migrace v rámci paže
§Ther zahrnoval fragmentované nebo ohnuté implantáty problémy s pacientem souvisejícím s pacientem, péče o rány vyžadovaly dva řezy a potíže s identifikací konec zařízení.

V době odstranění implantátu nebylo zdravotnické pracovníky hmatatelné osmnáct implantátů (NULL,4% všech lokalizací nebo odstranění). Z těchto osmnácti jedenácti bylo lokalizováno a odstraněno a jeden byl lokalizován, ale ponechán in situ. Odstranění se nepokusilo o šest nevznikatelných implantátů z důvodu podkladových zdravotních podmínek administrativních problémů nebo nespecifikovaných důvodů.

Nebyly zjištěny žádné zprávy o tom, že by implantáty migrovaly více než několik centimetrů z místa vložení a žádné zprávy o implantátech lokalizovaných v jiném místě než na paži. Zdravotničtí pracovníci nebyli hlášeni žádná neurovaskulární poranění.

Nežádoucí účinky Reported By Patients

Tabulka 7 poskytuje shrnutí nežádoucích účinků hlášených pacienty v době inzerce implantátu a po odstranění.

Tabulka 7: Nežádoucí účinky hlášené pacienty při inzerci implantátu a po odstranění

Pacient hlásil nežádoucí účinky Při vložení Po odstranění
N* Incidence na 1000 inzercí (95% CI) N* Incidence na 1000 inzercí (95% CI)
Jakákoli událost † 49 6.7
(4.9-8.8)
42 ‡ 5.7
(4.1-7.7)
Kolíky a jehly/necitlivost
(ARM/HAND/FINGERS)
17 2.3
(1.4-3.7)
24 3.3
(2.1-4.9)
Silná bolest 10 1.4
(NULL,7-2,5)
11 1.5
(NULL,8-2,7)
Změněná síla/pohyb 3 0.4
(NULL,1-1.2)
8 1.1
(NULL,5-2.1)
Zranění krevních cév nebo krevních sraženin v paži 2 0.3
(0-1.0)
- -
Ostatní¶ 22 3.0
(1.9-4,5)
18 2.4
(NULL,5-3,9)
*Postupy celkového vložení: n = 7364
† Omezeno na jednu událost na ženu
‡ Na základě 3447 dotazníků § Během studie byly pozorovány krevní sraženiny
Mezi další patřily lokalizované nebo vložení místa bolesti bolestivosti bolesti dermatologické změny svědění modřin a lokální migrace infekce v rámci paže a fyzické poškození implantátu (např. Zlomený nebo ohnutý implantát).

Stručně řečeno, tato prospektivní aktivní sledovací studie ukázala, že frekvence událostí souvisejících s lokalizací a odstraněním je v souladu s výsledky dříve uvedenými z klinických studií.

Nežádoucí účinky From Postmarketing Spontaneous Reports

Během po schválení používání Implanonu a nexplanonu byly identifikovány následující další nežádoucí účinky. Není možné spolehlivě odhadnout jejich frekvenci nebo vytvořit kauzální vztah k expozici léčiva, protože tyto reakce jsou hlášeny dobrovolně z populace nejisté velikosti.

Gastrointestinální poruchy: zácpa průjem nadýmání zvracení.

Obecné poruchy a podmínky správy na místě: Reakce místa únava edému únava Pyrexia.

Poruchy imunitního systému: Anafylaktické reakce.

Vedlejší účinky meloxikam 15 mg tablet

Infekce a zamoření: infekce nosiče močového cesty.

Vyšetřování: Klinicky relevantní nárůst hmotnosti krevního tlaku se snížil.

Poruchy metabolismu a výživy: zvýšená chuť k jídlu.

Poruchy muskuloskeletální a pojivové tkáně: Artralgia Musculoskeletal Bolest Myalgia.

Poruchy nervového systému: křeče migrény somnolence.

Těhotenství Puerperia a Perinatální podmínky: Ektopické těhotenství.

Psychiatrické poruchy: Nespavost úzkosti se snížila.

Poruchy ledvin a moči: Dysurie.

Reprodukční systém a poruchy prsu: Výtok prsu Zvětšení prsu ovariální cyst Pruritus Genital vulvovaginální nepohodlí.

Poruchy kůže a podkožní tkáně: Angioedéma zhoršení angioedému a/nebo zhoršení dědičného angioedému alopecie chloasma hypertrichóza Pruritus vyrážka Seborrhea Urticaria.

Cévní poruchy: Hot Flush.

Hlášené komplikace související s inzercí nebo odstraněním implantátů etonogestrelu zahrnují vazovagální reakce (např. Závratě hypotenze nebo synkopa), která je modřivá mírná lokální podrážděná bolest svědění fibrózy v místě implantátu nebo parestezijské události a absence. Byly také hlášeny i implantátové vyhoštění a migrace. V některých případech implantáty migrovaly na hrudní stěnu nebo do vaskulatury včetně plicní tepny. Některé případy implantátů migrujících do plicní tepny vykazovaly příznaky bolesti na hrudi a/nebo respirační poruchy (např. Kašel dušnosti nebo hemoptysis); Jiné případy byly hlášeny jako asymptomatické. Při odstraňování implantátů spojených s komplikacemi mohou být nutné chirurgické intervence na pacientu [Viz [viz Varování a preventivní opatření ].

Lékové interakce for Nexplanon

Poraďte se s označováním souběžně používaných léčiv a získejte další informace o interakcích s hormonálními antikoncepčními prostředky nebo potenciálu změn enzymu.

Účinky jiných léků na hormonální antikoncepci

Látky snižují plazmatické koncentrace hormonálních antikoncepčních prostředků (HCS) a potenciálně snižují účinnost HCS

Léky nebo bylinné produkty, které indukují určité enzymy včetně cytochromu P450 3A4 (CYP3A4), mohou snížit plazmatické koncentrace HCS a potenciálně snižovat účinnost HCS nebo zvýšit průlomové krvácení.

Některé léky nebo bylinné produkty, které mohou snižovat účinnost HCS, zahrnují efavirenz fenytoin barbituruty karbamazepinem bosentan felbamate griseofulvin oxcarbazepin rifampicin topiramate rifabutin rufinamid aprepitant a produkty, které zaznamenávají závěs St. John's Wort. Interakce mezi HCS a jinými léky mohou vést k průlomovému krvácení a/nebo antikoncepčnímu selhání. Poradenství ženám k použití alternativní nehormonální metody antikoncepce nebo záložní metody, když se používají induktory enzymu s HCS a pokračují v zálohování nehormonální antikoncepce po dobu 28 dnů po ukončení induktoru enzymu, aby se zajistila spolehlivost antikoncepce.

Látky zvyšující plazmatické koncentrace HCS

Společné podávání některých HCS a silných nebo mírných inhibitorů CYP3A4, jako je itrakonazol voriconazol fluconazol grapefruitová šťáva nebo ketokonazol, může zvýšit koncentrace progestinů v séru včetně etonogestrelu.

Inhibitory proteázy viru viru lidské imunodeficience (HIV)/hepatitida C (HCV) a inhibitory nenukleosidu reverzní transkriptázy

Significant changes (increase or decrease) in the plasma concentrations of progestin have been noted in cases of co-administration with HIV protease inhibitors (decrease [e.g. nelfinavir ritonavir darunavir/ritonavir (fos)amprenavir/ritonavir lopinavir/ritonavir and tipranavir/ritonavir] or increase [e.g. Indinavir a Atazanavir/ritonavir])/HCV inhibitory proteázy (snížení [např. Boceprevir a telaprevir]) nebo inhibitory nenukleosidu reverzní transkriptázy (snižování [např. Nevirapin efavirenz] nebo zvýšení [např. Etravirine]). Tyto změny mohou být v některých případech klinicky relevantní.

Konzultujte předepisovací informace o antivirových a antiretrovirových doprovodných lécích za účelem identifikace potenciálních interakcí.

Účinky hormonálních antikoncepčních prostředků na jiné léky

Hormonální antikoncepční prostředky mohou ovlivnit metabolismus jiných léků. V důsledku toho se koncentrace plazmy mohou zvýšit (například cyklosporin) nebo snížit (například lamotrigin). Poraďte se s označením všech souběžně používaných léků a získejte další informace o interakcích s hormonálními antikoncepčními prostředky nebo potenciálu změn enzymů.

Varování pro Nexplanon

Zahrnuto jako součást OPATŘENÍ sekce.

Opatření pro Nexplanon

Následující informace jsou založeny na zkušenostech s implantáty Etonogestrel (Implanon a/nebo nexplanon) jiných antikoncepčních prostředků pouze progestinu nebo zkušeností s kombinací (estrogen plus progestin) orální antikoncepční prostředky.

Komplikace inzerce/odstranění a rozbitých/ohnutých implantátů

Komplikace inzerce a odstranění

Nexplanon should be inserted subdermally so that it will be palpable after insertion a this should be confirmed by palpation immediately after insertion. Failure to insert Nexplanon properly may go unnoticed unless it is palpated immediately after insertion. Undetected failure to insert the implant may lead to an unintended pregnancy. Complications related to insertion a removal procedures may occur e.g. pain paresthesia bleeding hematoma scarring or infection.

Pokud je nexplanon vložen hluboce (intramuskulární nebo intrafasciální) nervové nebo vaskulární poškození. Aby se pomohlo snížit riziko nervového nebo vaskulárního poškození Nexplanon, by měl být vložen subdermálně těsně pod kůží na vnitřní straně dominantního horního ramene překrývajícího tricepsový sval asi 8-10 cm (3-4 palce) od středního epicondylu a 3-5 cm (NULL,25 až 2 palce) před (níže) mezi bicely a tóny) a brouky a trořením) a brouky) mezi biceps a trováním) a trozeňů) a brouky a troření) (3-4 palce) (3-4 palce) (tóny) (3-4 palce) (3-4 palce) mezi (NULL,25-2 palce) (3-4 palce) (3-4 palce) (3-4 palce) (3-4 palce) (3-4 palce) (3-4 palce) (3-4 palce). Účelem tohoto místa je zabránit velkým nervům a krevním cévám ležícím uvnitř a obklopujícím sulku. Hluboká inzerce nexplanonu byla spojena s parestezií (kvůli nervovému poškození) migraci implantátu (v důsledku intramuskulárního nebo fasciálního vložení) a intravaskulární inzercí. Pokud se v místě vložení vyvíjí infekce, spusťte vhodnou léčbu. Pokud infekce přetrvává, by měl být implantát odstraněn. Neúplné inzerce nebo infekce mohou vést k vyhoštění.

Zprávy o migraci implantátu v paži mohou souviset s hlubokým zavedením. Zprávy o postmarketingu o implantátech umístěných v cévách ramene a plicní tepny mohou také souviset s hlubokými inzercemi nebo intravaskulárními inzercemi. Některé případy implantátů nalezených v plicní tepně byly spojeny s bolestí na hrudi a/nebo respiračními poruchami (jako je kašel nebo hemoptysis dušnosti); Jiní byli asymptomatičtí. V případech, kdy implantát migroval do plicní tepny endovaskulární nebo chirurgické zákroky pro odstranění.

Odstranění implantátu může být obtížné nebo nemožné, pokud se implantát není vložen správně, je vložen příliš hluboko, ne hmatatelný uzavřený do vláknité tkáně nebo migroval. Pokud implantát nelze kdykoli hmatat, měl by být lokalizován a doporučuje se odstranění. Když je implantát odstraněn, je důležité jej odstranit jako celek [viz Dávkování a podávání ].

Průzkumná chirurgie bez znalosti o přesném umístění implantátu je silně odrazována. Removal of deeply inserted implants should be conducted with caution in order to prevent injury to deeper neural or vascular structures in the arm a be performed by healthcare professionals familiar with the anatomy of the arm. If the implant is located in the chest healthcare professionals familiar with the anatomy of the chest should be consulted. Failure to remove the implant may result in continued effects of etonogestrel such as compromised fertility Ektopické těhotenství or persistence or occurrence of a drug-related adverse event.

Rozbité nebo ohnuté implantáty

Byly hlášeny případy rozbití nebo ohýbání implantátů při vložení do paže pacienta. Rovněž se vyskytly případy migrace rozbitého fragmentu implantátu v paži. Tyto případy mohou souviset s vnějšími silami, např. manipulace s implantátem nebo kontaktním sportem. Míra uvolňování etonogestrelu může být mírně zvýšena u rozbitého nebo ohnutého implantátu na základě údajů in vitro. Jak již bylo uvedeno výše, když je implantát odstraněn, je důležité jej odstranit v celém rozsahu [viz Dávkování a podávání ].

Změny ve vzorcích menstruačního krvácení

Po založení Nexplanonových žen se pravděpodobně změní na jejich normální menstruační vzorec krvácení. Mohou zahrnovat změny frekvence krvácení (nepřítomnosti méně častější nebo kontinuální) intenzity (snížená nebo zvýšená) nebo doba trvání. V klinických studiích ne-radiopaque etonogestrel implantát (Implanon) krvácení se pohybovaly od amenorey (1 z 5 žen) po časté a/nebo prodloužené krvácení (1 z 5 žen). Vzorec krvácení, který se vyskytuje během prvních tří měsíců používání nexplanonu, je pro mnoho žen široce prediktivní pro budoucí vzorec krvácení. Ženy by měly být poraženy ohledně změn vzorce krvácení, které mohou zažít, aby věděli, co očekávat. Abnormální krvácení by mělo být vyhodnoceno podle potřeby k vyloučení patologických podmínek nebo těhotenství.

Nejčastějším důvodem pro zastavení léčby (NULL,1%) byly v klinických studiích ne-radiopaque etonogestrel implantátové zprávy o změnách ve vzorci krvácení. Nepravidelné krvácení (NULL,8%) bylo jediným nejčastějším důvodem, proč se ženy zastavily léčbou, zatímco amenorea (NULL,3%) byla citována méně často. V těchto studiích měly ženy v průměru 17,7 dnů krvácení nebo špinění každých 90 dnů (na základě 3315 intervalů 90 dnů zaznamenaných 780 pacienty). Procento pacientů s 0 1-7 8-21 nebo> 21 dnů skvrnitého nebo krvácení během 90denního intervalu při použití neradiopačního implantátu etonogestrelu jsou uvedeny v tabulce 1.

Tabulka 1: Bleeding nebo špinění: Incidence a trvání v 90denním intervalu při použití implantátu non-radiopaque etonogestrel (Implanon)

Celkové dny krvácení nebo špinění Procento pacientů
Dny léčby 91-180
(N = 745)
Dny léčby 271-360
(N = 657)
Dny léčby 631-720
(N = 547)
0 dní 19% 24% 17%
1 -7 dní 15% 13% 12%
8-21 dní 30% 30% 37%
> 21 dní 35% 33% 35%

Vzory krvácení pozorované při použití neradiopaque etonogestrel implantátu po dobu až 2 let a podíl 90denních intervalů s těmito krvácivými vzory je shrnut v tabulce 2.

Bílá pilulka s 15

Tabulka 2: Vzory krvácení pomocí ne-radiopakského implantátu Etonogestrel (Implanon) během prvních 2 let používání*

Vzory krvácení Definice %†
Obavní Méně než tři epizody krvácení a/nebo špinění za 90 dnů (s výjimkou Amenorea) 33.6
Amenorea Žádné krvácení a/nebo špinění za 90 dní 22.2
Prodloužený Jakékoli epizody krvácení a/nebo špinění trvající déle než 14 dní za 90 dnů 17.7
Časté Více než 5 epizod krvácení a/nebo špinění za 90 dnů 6.7
* Na základě 3315 záznamových období trvání 90 dnů u 780 žen s výjimkou prvních 90 dnů po inzerci implantátu
† % = procento 90denních intervalů s tímto vzorem

V případě nediagnostikovaných přetrvávajících nebo opakujících se abnormálních vaginálních krvácení by měla být provedena vhodná opatření k vyloučení malignity.

Ektopická těhotenství

Stejně jako u všech antikoncepčních produktů pouze progestinu je ostražitý na možnost mimoděložního těhotenství u žen používajících nexplanon, které otěhotní nebo si stěžují na nižší bolest břicha. Ačkoli mezi ženami používajícími nexplanon, těhotenství, které se vyskytuje u ženy používající nexplanon, může být s větší pravděpodobností ektopické než těhotenství, které se vyskytuje u ženy, která nepoužívá žádnou antikoncepci, neobvyklé těhotenství.

Trombotické a jiné cévní příhody

Použití kombinovaných hormonálních antikoncepčních prostředků (progestin plus estrogen) zvyšuje riziko vaskulárních příhod, včetně arteriálních příhod (mrtvice a infarktů myokardu) nebo hlubokých žilních trombotických událostí (žilní tromboembolismus hluboká žilní trombóza žida a plicní embolie). Nexplanon je antikoncepce pouze progestin. Není známo, zda je toto zvýšené riziko použitelné pouze na etonogestrel. Doporučuje se však, aby ženy s rizikovými faktory, o nichž je známo, že zvyšují riziko žilního a arteriálního tromboembolismu pečlivě.

Zprávy o ponorku o vážných arteriálních trombotických a žilních tromboembolických událostech, včetně případů plicních embolií (některých fatálních) infarktu myokardu s hlubokým žilním trombózou a tahy u žen pomocí implantátů etonogestrelu. Nexplanon by měl být odstraněn v případě trombózy.

Vzhledem k riziku tromboembolismu spojeného s těhotenstvím a bezprostředně po doručení by se nexplanon neměl používat před 21 dny po porodu. Ženy s anamnézou tromboembolických poruch by měly být informovány o možnosti recidivy.

Okamžitě vyhodnoťte na trombózu sítnicové žíly, pokud dojde k nevysvětlitelné ztrátě vize Proptóza diplopie papilema nebo vaskulární léze sítnice.

Zvažte odstranění implantátu Nexplanonu v případě dlouhodobé imobilizace v důsledku chirurgického zákroku nebo nemoci.

Ovariální cysty

Pokud dojde k vývoji folikulárního vývoje, atresie folikulu je někdy zpožděna a folikul může i nadále růst nad velikost, kterou by dosáhla v normálním cyklu. Obecně tyto zvětšené folikuly zmizí spontánně. Při vzácných příležitostech může být vyžadována operace.

Karcinom prsu a reprodukčních orgánů

Ženy, které v současné době mají nebo měly rakovinu prsu, by neměly používat hormonální antikoncepci, protože rakovina prsu může být hormonálně citlivá [viz Kontraindikace ]. Some studies suggest that the use of combination hormonal contraceptives might increase the incidence of breast cancer; however other studies have not confirmed such findings.

Některé studie naznačují, že použití kombinovaných hormonálních antikoncepčních prostředků je spojeno se zvýšením rizika rakoviny děložního čípku nebo intraepiteliální neoplazie. Existuje však diskuse o tom, do jaké míry jsou tato zjištění způsobena rozdíly v sexuálním chování a jiných faktorech.

Ženy s rodinnou anamnézou rakoviny prsu nebo vyvíjející se uzly prsu by měly být pečlivě sledovány.

Onemocnění jater

Poruchy funkce jater mohou vyžadovat přerušení hormonálního antikoncepčního užívání, dokud se markery funkce jater nevrátí k normálu. Pokud se vyvíjí žloutenka, odstraňte nexplanon.

Jaterní adenomy jsou spojeny s používáním kombinovaných hormonálních antikoncepčních prostředků. Odhad přičítatelného rizika je 3,3 případy na 100 000 pro uživatele kombinovaných hormonálních antikoncepčních prostředků. Není známo, zda podobné riziko existuje s metodami pouze progestinu, jako je nexplanon.

Progestin v nexplanonu může být špatně metabolizován u žen s poškozením jater. Použití nexplanonu u žen s aktivním onemocněním jater nebo rakovinou jater je kontraindikováno [viz Kontraindikace ].

Přibývání na váze

V klinických studiích znamenalo přírůstek hmotnosti u amerických uživatelů ne-radiopaque etonogestrel implantátu (Implanon) 2,8 liber po jednom roce a 3,7 liber po dvou letech. To, kolik přírůstku na váze souvisí s neradiopaque etonogestrel implantát, není známo. Ve studiích 2,3% uživatelů uvádělo přírůstek na váze jako důvod, proč byl odstraněn neradiopaque etonogestrel implantát.

Zvýšený krevní tlak

Ženy s anamnézou onemocnění souvisejících s hypertenzí nebo onemocněním ledvin by měly být odrazovány od používání hormonální antikoncepce. U žen s dobře kontrolovanou hypertenzí lze zvážit použití nexplanonu. Ženy s hypertenzí pomocí nexplanonu by měly být pečlivě sledovány. Pokud se během používání nexplanonu vyvíjí trvalá hypertenze, nebo pokud významný zvýšení krevního tlaku přiměřeně nereaguje na antihypertenzivní terapii Nexplanon.

Onemocnění žlučníku

Studie naznačují, že malé zvýšené relativní riziko rozvoje onemocnění žlučníku u kombinovaných hormonálních antikoncepčních uživatelů. Není známo, zda podobné riziko existuje s metodami pouze progestinu, jako je nexplanon.

Metabolické účinky uhlohydrátů a lipidů

Použití nexplanonu může vyvolat mírnou rezistenci na inzulín a malé změny v koncentracích glukózy neznámého klinického významnosti. Pečlivě sledujte prediabetické a diabetické ženy pomocí nexplanonu.

Ženy, s nimiž se léčí na hyperlipidémii, by měly být pečlivě sledovány, pokud se rozhodnou používat nexplanon. Někteří progestiny mohou zvýšit hladiny LDL a mohou ztížit kontrolu hyperlipidemie.

Depresivní nálada

Ženy s anamnézou depresivní nálady by měly být pečlivě pozorovány. Mělo by být zváženo při odstraňování nexplanonu u pacientů, kteří se významně depresivní.

Návrat k ovulaci

V klinických studiích s ne-radiopaktním implantátem Etonogestrel (Implanon) se hladiny etonogestrelu v krvi snížily pod citlivostí testu o jeden týden po odstranění implantátu. Kromě toho bylo pozorováno, že těhotenství dochází již 7 až 14 dní po odstranění. Proto by žena měla znovu zahájit antikoncepci ihned po odstranění implantátu, pokud je požadována pokračující antikoncepční ochrana.

Retence tekutin

Hormonální antikoncepční prostředky mohou způsobit určitý stupeň retence tekutin. Měly by být předepsány opatrností a pouze s pečlivým monitorováním u pacientů s stavy, které by mohly být zhoršeny retencí tekutin. Není známo, zda nexplanon způsobí retenci tekutin.

Kontaktní čočky

Nositelé kontaktních čoček, kteří vyvíjejí vizuální změny nebo změny v toleranci čočky, by měli být hodnoceni oftalmologem.

Monitorování

Žena, která používá Nexplanon, by měla mít každoroční návštěvu se svým zdravotnickým odborníkem na kontrolu krevního tlaku a na další naznačenou zdravotní péči.

Interakce laboratorních testů

Koncentrace globulinu vázajícího pohlavní hormony mohou být sníženy po dobu prvních šesti měsíců po inzerci nexplanonu a následuje postupné zotavení. Koncentrace tyroxinu mohou být zpočátku mírně sníženy, po kterém následuje postupné zotavení na základní linii.

Informace o poradenství pro pacienta

Doporučujte pacientovi, aby si přečetl značení pacienta schváleného FDA ( Informace o pacientu ).

  • Poradenství ženám o postupu vložení a odstranění implantátu Nexplanonu. Poskytněte ženě kopii označování pacienta a zajistěte, aby předložila informace ve označování pacienta před vložením a odstraněním.
  • Poradenství ženám, aby okamžitě kontaktovaly svého zdravotnického profesionála, pokud kdykoli nejsou schopni implantát hmalit.
  • Poradenství ženám, které nexplanon nechrání před infekcí HIV (AIDS) nebo jinými sexuálně přenosnými nemocemi.
  • Poradenství ženám, že použití nexplanonu může být spojeno se změnami v jejich normálních menstruačních vzorcích krvácení, aby věděli, co očekávat.
  • Informace o bezpečnosti MRI: Nexplanon je MR SAFE.

Neklinická toxikologie

Zhodnocení mutageneze karcinogeneze plodnosti

Ve 24měsíční studii karcinogenity u potkanů ​​se subdermálními implantáty uvolňujícími 10 a 20 mcg etonogestrel denně (rovnající se přibližně 1,8-3,6násobek expozice systémového ustáleného stavu u žen pomocí nexplanonu) nebyl pozorován žádný karcinogenní potenciál související s lékem. Etonogestrel nebyl genotoxický v testu in vitro Ames/Salmonella reverzní mutace test chromozomální aberace v buňkách vaječníků čínského křečka nebo v testu in vivo myší mikronukleus. Plodnost u potkanů ​​se vrátila po odběru z léčby.

Použití v konkrétních populacích

Těhotenství

Shrnutí rizika

Nexplanon is contraindicated during pregnancy because there is no need for pregnancy prevention in a woman who is already pregnant [see Kontraindikace ]. Epidemiologic studies a meta-analyses have not shown an increased risk of genital or non-genital birth defects (including cardiac anomalies a limb-reduction defects) following maternal exposure to low dose CHCs prior to conception or during early pregnancy. No adverse development outcomes were observed in pregnant rats a rabbits with the administration of etonogestrel during organogenesis at doses of 315 or 781 times the anticipated human dose (60 μg/day) (see Data ).

Nexplanon should be removed if maintaining a pregnancy.

Data

Údaje o zvířatech

Teratologické studie byly provedeny u potkanů ​​a králíků s použitím perorálního podávání až do 315 a 781krát větší dávky lidské etonogestrel (na základě povrchu těla) a neodhalily žádný důkaz o poškození plodu v důsledku expozice etonogestrelu.

Laktace

Shrnutí rizika

V lidském mléce je přítomna malá množství antikoncepčních steroidů a/nebo metabolitů včetně etonogestrelu. Při výrobě nebo kvalitě mateřského mléka nebo na fyzickém a psychomotorickém vývoji kojených kojenců nebyly pozorovány žádné významné nepříznivé účinky (viz viz fyzický a psychomotorický vývoj (viz Data ).

Hormonální antikoncepční prostředky včetně etonogestrelu mohou snížit produkci mléka u kojení matek. K tomu je méně pravděpodobné, že dojde, jakmile je kojení zavedeno; U některých žen se však může vyskytnout kdykoli. Pokud je to možné, radí ošetřovatelské matce jak o hormonálních, tak nehormonálních antikoncepčních možnostech, protože steroidy nemusí být pro tyto pacienty počáteční volbou. Vývojové a zdravotní přínosy kojení by měly být zváženy spolu s klinickou potřebou Nexplanonu matky a jakýmkoli potenciálním nepříznivým účinkům na kojené dítě z nexplanonu nebo ze základního mateřského stavu.

Data

Množství etonogestrelu obsaženého v mateřském mléce bylo měřeno u 38 kojených žen, které začaly používat Implonan během čtvrtého až osmého týdne poporodní. Studie vyhodnocená Implanon versus další antikoncepce nebyla randomizovaná a data byla považována za observační a průzkumné; Proto nebylo možné provést srovnání. Na základě nálezů této studie během prvních měsíců po zavedení implannonu, kdy jsou hladiny mateřské krve etonogestrelu nejvyšší asi 100 ng etonogestrelu, může být dítětem požíváno za den na základě průměrného denního požití mléka 658 ml. Na základě denního požití mléka 150 ml/kg je průměrná denní kojenecká dávka Etonogestrel jeden měsíc po zavedení Implononu asi 2,2% denní dávky upravené na hmotnosti nebo asi 0,2% odhadované absolutní mateřské denní dávky. Nežádoucí účinky nebyly pozorovány u kojených kojenců vystavených etonogestrelu prostřednictvím mateřského mléka. Nebyly detekovány žádné nepříznivé účinky na produkci nebo kvalitu mateřského mléka.

Dětské použití

U žen v reprodukčním věku byla stanovena bezpečnost a účinnost nexplanonu. Očekává se, že bezpečnost a účinnost nexplanonu bude stejná pro postpubertální adolescenty. U žen však nebyly provedeny žádné klinické studie mladší 18 let. Použití tohoto produktu před menarche není indikováno.

Geriatrické použití

Tento produkt nebyl studován u žen starších 65 let a není v této populaci indikován.

Poškození jater

Nebyly provedeny žádné studie za účelem vyhodnocení účinku jaterního onemocnění na dispozice nexplanonu. Použití nexplanonu u žen s aktivním onemocněním jater je kontraindikováno [viz Kontraindikace ].

Ženy s nadváhou

Účinnost implantátu etonogestrelu u žen, které vážily více než 130% své ideální tělesné hmotnosti, nebyla definována, protože takové ženy nebyly studovány v klinických studiích. Koncentrace séra etonogestrelu nepřímo souvisí s tělesnou hmotností a snižují se s časem po inzerci implantátu. Je proto možné, že nexplanon může být méně účinný u žen s nadváhou, zejména v přítomnosti dalších faktorů, které snižují koncentrace etonogestrelu v séru, jako je souběžné použití induktorů jaterních enzymů.

Informace o předávkování pro nexplanon

Pokud je vloženo více než jeden implantát, může to vyplynout. V případě podezření na předávkování by měl být implantát odstraněn.

Kontraindikace pro nexplanon

Nexplanonshould not be used in women who have

  • Známé nebo podezřelé těhotenství
  • Současná nebo minulá historie trombózy nebo tromboembolických poruch
  • Nádory jater Benigní nebo maligní nebo aktivní onemocnění jater
  • Nediagnostikované abnormální krvácení po genitách
  • Známá nebo podezřelá na rakovinu prsu Osobní anamnéza rakoviny prsu nebo jiné rakoviny citlivé na progestin nyní nebo v minulosti
  • Alergická reakce na některou ze složek nexplanonu [viz Nežádoucí účinky ]

Klinická farmakologie for Nexplanon

Mechanismus působení

K antikoncepčnímu účinku nexplanonu je dosaženo potlačením ovulace zvýšenou viskozitou hlenby děložního čípku a změnami v endometriu.

Farmakodynamika

Vztahy Nexplanonu expozice nejsou známy.

Farmakokinetika

Vstřebávání

Po subdermálním zavedením implantátu etonogestrelu je etonogestrel uvolněn do oběhu a je přibližně 100% biologicky dostupný.

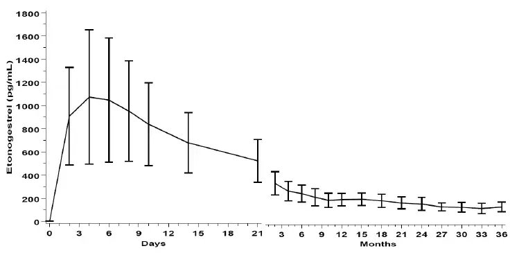
Ve tříletém klinickém studii nexplanon a neradiopaque etonogestrel implantát (Implnonon) poskytly srovnatelné systémové expozici etonogestrelu. Pro nexplanon byly průměrné (± SD) maximální koncentrace etonogestrelu v séru 1200 (± 604) Pg/ml a bylo dosaženo během prvních dvou týdnů po inzerci (n = 50). Koncentrace průměrného (± SD) séra etonogestrel se v průběhu času postupně snižovala na 202 (± 55) pg/ml po 12 měsících (n = 41) 164 (± 58) pg/ml po 24 měsících (n = 37) a 138 (± 43) pg/ml (n = 32). Pro neradiopaque etonogestrel implantát (Implnonon) byl průměrný (± SD) maximální koncentrace etonogestrelu v séru 1145 (± 577) Pg/ml a bylo dosaženo během prvních dvou týdnů po vložení (n = 53). Koncentrace průměrného (± SD) séra etonogestrel se v průběhu času postupně snižovala na 223 (± 73) pg/ml po 12 měsících (n = 40) 172 (± 77) Pg/ml po 24 měsících (n = 32) a 153 (± 52) PG/ml (n = 30).

Farmakokinetický profil nexplanonu je znázorněn na obrázku 21.

Obrázek 21: Průměrný (± SD) profil koncentrace séra po inzerci nexplanonu během 3 let používání po inzerci nexplanonu

Rozdělení

Zjevný objem distribuce průměruje o 201 L. etonogestrel je přibližně 32% vázán na globulin vázající pohlavní hormony (SHBG) a 66% vázán na albumin v krvi.

Metabolismus

Data in vitro ukazují, že etonogestrel je metabolizován v jaterních mikrozomech pomocí izoenzymu cytochromu P450 3A4. Biologická aktivita metabolitů etonogestrelu není známa.

Vylučování

Eliminační poločas etonogestrelu je přibližně 25 hodin. Vylučování etonogestrelu a jeho metabolitů buď jako volný steroid nebo jako konjugáty je hlavně v moči a v menší míře ve výkalech. Po odstranění implantátu koncentrace etonogestrelu se snížila pod citlivostí testu o jeden týden.

Klinické studie

Těhotenství

V klinických studiích až 3 roky trvání, které zahrnovaly 923 subjektů ve věku 18-40 let ve vstupu a 1756 žen s používáním s neradiopakským implantátem Etonogestrel (Implinon) byly celkové expozice vyjádřené jako ekvivalenty 28denního cyklu ve studijním roce:

  • Rok 1: 10866 cyklů
  • Rok 2: 8581 cyklů
  • Rok 3: 3442 cyklů

Klinické studie vyloučily ženy, které:

  • Vážil více než 130% své ideální tělesné hmotnosti
  • Chronicky užívali léky, které indukují jaterní enzymy

V podskupině žen ve věku 18-35 let při vstupu 6 těhotenství během 20648 bylo hlášeno cykly používání. V každé z let 1 2 a 3. došlo k dvěma těhotenstvím. U těchto 6 těhotenství byl kumulativní index perly 0,38 těhotenství na 100 žen.

Návrat k ovulaci

V klinických studiích s ne-radiopaktním implantátem Etonogestrel (Implanon) se hladiny etonogestrelu v krvi snížily pod citlivostí testu o jeden týden po odstranění implantátu. Kromě toho bylo pozorováno, že těhotenství dochází již 7 až 14 dní po odstranění. Proto by žena měla znovu zahájit antikoncepci ihned po odstranění implantátu, pokud je požadována pokračující antikoncepční ochrana.

Vložení implantátu And Removal Characteristics

Z 301 inzercí implantátu Nexplanonu do klinické studie byla průměrná doba inzerce (z odstranění ochranného uzávěru aplikátoru až do zatažení jehly z paže) 27,9 ± 29,3 sekundy. Po vložení 300 z 301 (NULL,7%) nexplanonových implantátů bylo hmatatelné. Jediný nelamorný implantát nebyl vložen podle pokynů.

Pro 112 z 114 (NULL,2%) subjektů ve 2 klinických studiích, u nichž byly údaje o inzerci a odstranění k dispozici nexplanonové implantáty, byly jasně viditelné s použitím dvourozměrného rentgenového paprsku po inzerci. Dva implantáty, které nebyly jasně viditelné po inzerci, byly jasně viditelné s dvourozměrným rentgenem před odstraněním.

Informace o pacientovi pro nexplanon

Nexplanon®
(Etonogestrel Implant) pouze Subdermální použití Radiopaque

Nexplanon® does not protect against HIV infection (the virus that causes AIDS) or other sexually transmitted diseases.

Než se rozhodnete, zda je pro vás ten pravý, přečtěte si tento leták pro pacienta pečlivě. Tyto informace nezavazují místo rozhovoru se svým zdravotnickým profesionálem. Máte -li jakékoli dotazy týkající se Nexplanonu, zeptejte se svého zdravotnického profesionála.

Co je nexplanon?

Nexplanon is a hormone-releasing birth control implant for use by women to prevent pregnancy for up to 3 years. The implant is a flexible plastic rod about the size of a matchstick that contains a progestin hormone called etonogestrel. It contains a small amount of barium sulfate (15 mg) so that the implant can be seen by X-ray an ethylene vinyl acetate (EVA) copolymer (28% vinyl acetate 43 mg) core a magnesium stearate (0.1 mg). Your healthcare professional will insert the implant just under the skin of the inner side of your nadloktí. You can use a single Nexplanon implant for up to 3 years. Nexplanon does not contain estrogen.

Co když potřebuji antikoncepci déle než 3 roky?

Implantát nexplanonu musí být odstraněn do konce 3 let. Váš odborník na zdravotnictví může po odstranění starého implantátu vložit do pokožky nový implantát, pokud se rozhodnete pokračovat v používání Nexplanonu pro antikoncepci.

Co když změním názor na kontrolu porodnosti a chci přestat používat Nexplanon před 3 roky?

Váš zdravotnický profesionál může implantát kdykoli odstranit. Můžete otěhotnět již v prvním týdnu po odstranění implantátu. Pokud nechcete otěhotnět poté, co váš zdravotnický profesionál odstraní implantát Nexplanon, měli byste okamžitě zahájit další metodu kontroly antikoncepce.

Jak funguje nexplanon?

Nexplanon prevents pregnancy in several ways. The most important way is by stopping the release of an egg from your ovary. Nexplanon also thickens the mucus in your cervix a this change may keep sperm from reaching the egg. Nexplanon also changes the lining of your uterus.

Jak dobře funguje Nexplanon?

Když je implantát nexplanonu správně umístěn, vaše šance na otěhotnění je velmi nízká (méně než 1 těhotenství na 100 žen, které používají nexplanon po dobu 1 roku). Není známo, zda je nexplanon stejně účinný u žen s velmi nadváhou, protože studie nezahrnovaly mnoho žen s nadváhou.

Následující graf ukazuje šanci na otěhotnění pro ženy, které používají různé metody kontroly antikoncepce. Každé pole v grafu obsahuje seznam metod kontroly antikoncepce, které mají podobnou účinnost. Nejúčinnější metody jsou na vrcholu grafu. Krabice na dně grafu ukazuje šanci na otěhotnění pro ženy, které nepoužívají antikoncepci a snaží se otěhotnět.

Kdo by neměl používat Nexplanon?

Nexplanon nepoužívejte, pokud máte některou z následujících podmínek:

  • Jsou těhotné nebo si myslíte, že můžete být těhotná
  • Mít nebo mít krevní sraženiny, jako jsou krevní sraženiny v nohou (hluboká žilní trombóza) plic (plicní embolie) oči (celková nebo částečná slepota) srdce ( infarkt ) nebo mozek (mrtvice)
  • Onemocnění jater nebo nádor jater
  • Nevysvětlitelné vaginální krvácení
  • Rakovina prsu nebo jiná rakovina, která je citlivá na progestin (ženský hormon) nyní nebo v minulosti
  • Alergie na cokoli v nexplanonu

Sdělte svému zdravotnickému profesionálovi, pokud máte nebo máte výše uvedenou podmínku. Váš zdravotnický odborník může navrhnout odlišnou metodu kontroly antikoncepce.

Kromě toho si promluvte se svým zdravotnickým profesionálem o používání Nexplanonu, pokud máte některá z následujících podmínek:

  • Diabetes
  • Vysoký cholesterol nebo triglyceridy
  • Bolest hlavys
  • Problémy se žlučníkem nebo ledvinami
  • Historie depresivní nálady
  • Vysoký krevní tlak
  • Alergie na znecitlivující léky (anestetika) nebo léky používané k čištění pokožky (antiseptiky). Tyto léky budou použity, když je implantát umístěn nebo odstraněn z paže.

Interakce s jinými léky

Řekněte svému zdravotnickému profesionálu o všech lécích, které užíváte, včetně vitamínů na předpis a volně prodejných léčivých přípravků a bylinných doplňků. Použití některých léků s nexplanonem, včetně níže uvedených, může být nexplanon méně účinný:

  • Aprepitant
  • Barbituráty
  • Bosentan
  • Karbamazepin
  • Felbamát
  • Griseofulvin
  • oxcarbazepin
  • Phable
  • rifampin
  • Wort sv. Jana
  • Topiramate
  • HIV léky
  • Léky viru hepatitidy C

Zeptejte se svého zdravotnického profesionála, pokud si nejste jisti, zda je váš lék na uvedený výše uvedený.

Pokud užíváte léky nebo bylinné výrobky, které by mohly způsobit, že Nexplanon méně efektivní, můžete se vy a váš zdravotnický profesionál rozhodnout nechat Nexplanon na místě; V takovém případě by měla být použita další nehormonální antikoncepce. Je nutné používat další hormonální antikoncepci po dobu 28 dnů po zastavení léku nebo bylinného produktu, protože jeho účinek na nexplanon může trvat tak dlouho.

Když používáte Nexplanon, řekněte všem svým zdravotnickým pracovníkům, že máte v paži na místě nexplanon.

Bezpečnostní informace o magnetické rezonanci (MRI)

Nexplanon is MRI safe.

Jak je umístěn a odstraněn implantát Nexplanon?

Váš zdravotnický odborník umístí a odstraní implantát Nexplanon pomocí menšího chirurgického zákroku ve své kanceláři. Implantát je umístěn těsně pod kůží na vnitřní straně vašeho dominantní nadloktí.

Načasování vložení je důležité. Váš zdravotnický odborník může podniknout následující kroky k vedení načasování vložení:

  • Před vložením nexplanonu proveďte těhotenský test
  • Naplánujte vložení v určité době menstruačního cyklu (například během prvních 5 dnů od běžného menstruačního krvácení). Pokud je implantát umístěn po pátém dni menstruací, měli byste použít další antikoncepční metodu (jako je kondom) po dobu prvních 7 dnů po vložení.

Váš zdravotnický profesionál pokryje web, kde byl Nexplanon umístěn s 2 obvazy. Na místě vložení bude umístěn malá obvaz. Nad menší obvaz bude umístěn větší obvaz tlaku. Nechte větší obvaz tlaku po dobu 24 hodin. Udržujte menší obvaz v čistotě a na místě po dobu 3 až 5 dnů.

Bezprostředně po umístění implantátu Nexplanonu vás a váš zdravotnický profesionál měl zkontrolovat, zda je implantát ve vaší paži pociťovaným.

Pokud nemůžete cítit implantát ihned po zavedení, implantát nemusí být vložen nebo může být vložen hluboko. Hluboké vložení může způsobit problémy s lokalizací a odstraněním implantátu. Když zdravotnický profesionál lokalizoval implantát, měl by být odstraněn.

Pokud kdykoli nemůžete cítit, že implantát Nexplanon okamžitě kontaktujte svého zdravotnického profesionála a použijte metodu nehormonální antikoncepce (jako jsou kondomy), dokud váš zdravotnický odborník nepotvrdí, že je zavedena theimplant. Možná budete potřebovat speciální testy, abyste zkontrolovali, zda je implantát na místě, nebo aby pomohl najít implantát, když je čas jej vyjmout. Pokud implantát nelze najít v paži po důkladném prohledávání, váš zdravotnický profesionál může používat rentgenové paprsky nebo jiné zobrazovací metody na hrudi.

V závislosti na přesné poloze odstraňování implantátu může být obtížná a může vyžadovat chirurgický zákrok.

Na co se používá červený olej

Sledujte datum, kdy má být implantát odstraněn. Naplánujte si schůzku se svým zdravotnickým odborníkem na odstranění implantátu k datu odstranění nebo předtím.

Nezapomeňte mít kontroly, jak doporučuje váš zdravotnický profesionál.

Jaké jsou nejčastější vedlejší účinky, které mohu očekávat při používání nexplanonu?

  • Změny ve vzorcích menstruačního krvácení (menstruační období)

Nejběžnějším vedlejším účinkem nexplanonu je změna ve vašem normálním vzoru menstruačního krvácení. Ve studiích jeden z deseti žen přestal používat implantát kvůli nepříznivé změně v jejich krvácení. Během období můžete zažít delší nebo kratší krvácení nebo nemáte vůbec krvácení. Čas mezi obdobími se může lišit a můžete mít také pozorování mezi obdobími.

Pokud máte následující obavy, řekněte svému zdravotnickému odborníkovi hned:

  • Myslíš si, že jsi těhotná
  • Vaše menstruační krvácení je těžké a prodloužené

Následující další časté vedlejší účinky také způsobily, že ženy přestaly používat implantát:

  • Swings nálady
  • Depresivní nálada
  • Přibývání na váze
  • Bolest hlavy
  • Akné

Mezi další běžné vedlejší účinky patří následující podmínky:

  • Bolest hlavy
  • Vaginitida (inflammation of the vagina)
  • Přibývání na váze
  • Akné
  • Bolest prsu
  • Virové infekce, jako jsou bolestivé krk nebo příznaky podobné chřipce
  • Bolest žaludku
  • Bolestful periods
  • Swings nálady nervousness or depressed mood
  • Bolest zad
  • Nevolnost
  • Závrať
  • Bolest
  • Bolest at the site of insertion

Bylo hlášeno, že implantáty jsou nalezeny v krevní cévě včetně krevní cévy v plicích, která může být spojena s dušností dechového kašle a/nebo kašlem po krvi nebo krve.

Nejedná se o všechny možné vedlejší účinky nexplanonu. Zavolejte svého lékaře, kde najdete lékařskou radu ohledně vedlejších účinků. FDA můžete nahlásit vedlejší účinky na 1-800-FDA-1088.

Jaká jsou možná rizika používání Nexplanonu?

Problémy s vložením a odstraněním

Implantát nemusí být ve skutečnosti ve vaší paži kvůli neúspěšnému vložení. Pokud k tomu dojde, můžete otěhotnět. Bezprostředně po vložení a za pomoci vašeho zdravotnického profesionála byste měli být schopni cítit implantát pod kůží. Pokud nemůžete cítit, že implantát řekněte svému zdravotnickému profesionálu.

Umístění a odstranění implantátu může být obtížné nebo nemožné, protože implantát není tam, kde by měl být. K odstranění implantátu mohou být zapotřebí speciálních postupů včetně chirurgického zákroku v nemocnici. Pokud není implantát odstraněn, budou účinky nexplanonu pokračovat delší dobu.

Implantáty byly nalezeny v plicní tepně (krevní céva v plicích). Pokud implantát nelze najít v paži, váš zdravotnický profesionál může používat rentgenové paprsky nebo jiné zobrazovací metody na hrudi. Pokud je implantát umístěn v chirurgii hrudníku.

Mohou také dojít k následujícím problémům souvisejícím s vložením a odstraněním:

  • Vazovagální reakce (jako je pokles závratě krevního tlaku nebo mdloby )
  • Bolest irritation swelling or bruising at the insertion site
  • Otupělost a brnění v místě vložení
  • Zjizvení včetně silné jizvy zvané keloid kolem místa vložení
  • Infekce
  • Tkáň jizvy se může tvořit kolem implantátu, což ztěžuje odstranění
  • Implantát může vyjít sám. Pokud implantát vyjde sám, můžete otěhotnět. Pokud vyjde implantát, použijte metodu záložního antikoncepce a okamžitě zavolejte svého zdravotnického profesionála.
  • Potřeba operace v nemocnici odstranit implantát
  • Zranění nervů nebo krevních cév v paži
  • Implantát se zlomí ztěžování odstranění

Ektopické těhotenství

Pokud otěhotníte při používání nexplanonu, máte mírně vyšší šanci, že těhotenství bude ektopické (vyskytující se mimo lůno) než ženy, které nepoužívají antikoncepci. Neobvyklá vaginální krvácení nebo dolní žaludek (břišní) bolest může být známkou mimoděložního těhotenství. Ektopické těhotenství je lékařská pohotovost, která často vyžaduje chirurgický zákrok. Ektopická těhotenství mohou způsobit vážnou vnitřní krvácení neplodnost a dokonce i smrt. Okamžitě zavolejte svému zdravotnickému profesionálovi, pokud si myslíte, že jste těhotná nebo máte nevysvětlitelnou bolest dolního žaludku (břicha).

Ovariální cysty

Cysty se mohou vyvíjet na vaječnících a obvykle zmizí bez léčby, ale k jejich odstranění je někdy zapotřebí chirurgického zákroku.

Rakovina prsu

Není známo, zda použití nexplanonu mění riziko ženy pro rakovinu prsu. Pokud máte nyní rakovinu prsu nebo jste ji v minulosti nepoužívali nexplanon, protože některé rakoviny prsu jsou citlivé na hormony.

Vážné krevní sraženiny

Nexplanon may increase your chance of serious blood clots especially if you have other risk factors such as smoking. It is possible to die from a problem caused by a blood clot such as a infarkt or a stroke.

V krevních cévách různých částí těla se mohou vyskytnout vážné krevní sraženiny, včetně následujících příkladů:

  • Nohy (hluboká žilní trombóza)
  • Plíce (plicní embolie)
  • Mozek (mrtvice)
  • Srdce (infarkt)
  • Oči (celková nebo částečná slepota)

Riziko vážných krevních sraženin se zvyšuje u žen, které kouří. Pokud kouříte a chcete použít Nexplanon, měli byste přestat. Váš zdravotnický profesionál může pomoci.

Řekněte svému zdravotnickému profesionálu alespoň 4 týdny předtím, pokud se chystáte podstoupit operaci nebo budete muset být na odpočinku v posteli. Máte zvýšenou šanci na získání krevních sraženin během operace nebo odpočinku v posteli.

Další rizika

Několik žen, které používají antikoncepci, která obsahuje hormony, může získat následující podmínky:

Vysoký krevní tlak

Problémy se žlučníkem

Vzácné rakovinné nebo nekancerózní nádory jater

Zlomený nebo ohnutý implantát

Zlomení nebo ohýbání implantátu, zatímco je ve vaší paži, může nastat v důsledku vnějších sil (jako je manipulace s implantátem nebo kontaktní sporty). Z místa vložení se může přesunout rozbitý implantát. Pokud máte pocit, že implantát se mohl zlomit nebo ohnout, zatímco ve vaší paži kontaktujte svého zdravotnického profesionála.

Kdy mám zavolat svému zdravotnickému profesionálu?

Pokud máte některou z následujících podmínek, zavolejte svému zdravotnickému profesionálu:

  • Bolest in your lower leg that does not go away
  • Těžká bolest na hrudi nebo těžkost v hrudi
  • Náhlá dušnost dechů ostré bolesti na hrudi nebo kašli
  • Příznaky těžké alergické reakce, jako je oteklý jazyk nebo krk; potíže s dýcháním nebo polykání
  • Náhlá těžká bolest hlavy na rozdíl od vašich obvyklých bolesti hlavy
  • Slabost nebo necitlivost ve vaší noze nebo potíže s mluvením
  • Náhlá částečná nebo úplná slepota
  • Žutání vaší kůže nebo bílých očí, zejména se ztrátou únavy horečky tmavě zbarvené moči nebo světle zbarvených střev
  • Silná otok bolesti nebo něha ve spodním žaludku (břicho)
  • Hručka v prsou
  • Problémy se spánkem Nedostatek energetické únavy nebo se cítíte velmi smutní
  • Těžké menstruační krvácení

Co když při používání nexplanonu otěhotním?

Pokud si myslíte, že můžete být těhotná, měli byste svého zdravotnického profesionála hned vidět. Je důležité odstranit implantát a ujistit se, že těhotenství není ektopické (vyskytuje se mimo lůno). Na základě zkušeností s jinými hormonálními antikoncepčními prostředky nexplanon pravděpodobně nezpůsobí vrozené vady.

Mohu použít nexplanon, když kojím?

Pokud kojíte své dítě, můžete použít nexplanon, pokud uběhlo 4 týdny od doby, kdy jste měli své dítě. Do mateřského mléka prochází malé množství hormonu obsaženého v nexplanonu. Zdraví kojených dětí, jejichž matky používaly implantát, bylo u malého počtu dětí studováno do 3 let. Nebyly vidět žádné účinky na růst a vývoj dětí. Pokud kojíte a chcete použít Nexplanon Talk se svým zdravotnickým profesionálem pro více informací.

Obecné informace o bezpečném a efektivním používání nexplanonu

Léky jsou někdy předepsány pro jiné účely než ty, které jsou uvedeny v letáku informací o pacientech. Pokud byste chtěli více informací, promluvte si se svým zdravotnickým profesionálem. Můžete požádat svého zdravotnického profesionála o informace o Nexplanonu, který je napsán pro zdravotnické pracovníky.

Tyto informace o pacientech byly schváleny americkou správou potravin a léčiv.