Informace Na Stránce Nepředstavují Lékařskou Radu. Nic Neprodáváme. Přesnost Překladu Není Zaručena. Zřeknutí Se Odpovědnosti

Halog-e krém

Shrnutí drog

Co je krém Halog-E?

volný -E krém (halcinonid) 0,1% je aktuální kortikosteroid používaný k léčbě zánětu a svědění způsobené řadou kožních stavů, jako jsou alergické reakce ekzém a psoriáza. Krém značky Halog-E je přerušen, ale obecný mohou být k dispozici verze.

Jaké jsou vedlejší účinky krému Halog-E?

Mezi běžné vedlejší účinky krému Halog-E (halcinonid) 0,1% patří:

  • svědění kůže
  • hořící
  • suchost
  • Ředění nebo změkčení kůže
  • vyrážka nebo podráždění kolem úst
  • oteklé vlasové folikuly
  • Změny barvy ošetřené kůže
  • puchýře
  • pupínky
  • kůrku ošetřené kůže nebo
  • strie

Pokud máte následující vážné vedlejší účinky, vyhledejte lékařskou péči nebo zavolejte na číslo 911:



  • Vážné příznaky očí, jako je ztráta náhlého vidění rozmazané vidění vidění Vision Vision Eye Eye Eye Eye Eye Eye Eye Eye nebo vidět halos kolem světel;
  • Vážné příznaky srdce, jako je rychlé nepravidelné nebo bušení srdečního rytmu; třepování v hrudi; dušnost; a náhlé závratě lightheartiesness nebo omdlení;
  • Těžká zmatek bolesti hlavy zkažená paže řeči nebo slabost nohou Potíže se ztrátou chůze pocitu koordinace Nestabilní velmi tuhé svaly vysoké horečky bohaté pocení nebo třes.

Tento dokument neobsahuje všechny možné vedlejší účinky a mohou dojít k jiným. Další informace o vedlejších účincích najdete u svého lékaře.

Dávkování pro krém halog-e

Naneste krém Halog-E 0,1% na postiženou oblast jeden až třikrát denně. Jemně si protřete.

Jaké léčivé látky nebo doplňky interagují s krémem Halog-E?

volný-E Cream may interact with other drugs. Tell your doctor all medications and supplements you use.

volný-E Cream During Těhotenství or Breastfeeding

volný-E Cream may be harmful to a fetus. Tell your doctor if you are pregnant or plan to become pregnant during treatment. It is unknown if this drug passes into breast milk or if it could harm a nursing baby. Consult your doctor before breastfeeding.

Další informace

Náš krém Halog-E (halcinonid) 0,1% vedlejší účinky léčiva poskytuje komplexní pohled na dostupné informace o drogách o potenciálních vedlejších účincích při užívání tohoto léku.

Informace o drogách FDA

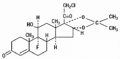
Popis pro krém Halog-E

The topical corticosteroids constitute a class of primarily synthetic steroids used as antiinflammatory and antipruritic agents. The steroids in this class include halcinonide. Halcinonide is designated chemically as 21-Chloro-9-fluoro-11β16α 17-trihydroxy-pregn-4-ene-320-dione cyclic 1617-acetal with acetone. Graphic formula:


C 24 H 32 Rána 5

Každý gram 0,1% krému Halog-E® (Halcinonide Cream Usp) obsahuje 1 mg halcinonidu v hydrofilním zmizejícím krémové základně sestávající z ricinového oleje Ceteareth-20 (a) Cetearylalkohol Dimethicone 350 propylenoglykol propylenglykol spuštěné vodní a bílé kolísání. Tato formulace je bezmotorovatelná a nestartovaná s hydratačními a změkčovatelnými vlastnostmi.

Použití pro krém halog-e

Krém Halog-E (halcinonidový krém USP) 0,1% je indikován pro reliéf zánětlivých a svěžích projevů dermatóz reagujících na kortikosteroidy.

Dávkování pro krém halog-e

Naneste krém Halog-E (Halcinonide Cream Usp) 0,1% do postižené oblasti jednou až třikrát denně. Jemně si protřete.

Okluzivní technika oblékání

Okluzivní obvazy mohou být použity pro správu psoriázy nebo jiných vzpomínek. Do léze jemně vtřete malé množství krému, dokud nezmizí. Znovu aplikujte přípravu, která ponechává tenký povlak na krytu léze s podávaným netvolným filmem a utěsněte okraje. V případě potřeby může být poskytnuta další vlhkost zakrytím léze tlumeným čistým bavlněným hadříkem před použitím netvolného filmu nebo krátkým smáčením postižené oblasti vodou bezprostředně před nanesením léku. Frekvence měnících se obvazů je nejlépe stanovena na individuálním základě. Může být vhodné aplikovat krém Halog-E (Halcinonide Cream) pod okluzivním obvazem večer a ráno odstranit obvaz (tj. 12hodinovou okluzi). Při použití 12hodinového okluzního režimu by měl být aplikován další krém bez okluze během dne. Při každé změně obvazu je nezbytná opětovná aplikace.

Pokud se infekce rozvine, mělo by být ukončeno použití okluzivních obvazů a zavedena vhodná antimikrobiální terapie.

Jak dodáno

Krém Halog-E® (Halcinonide Cream Usp) 0,1% je dodáván jako trubice obsahující trubice 30 g ( NDC 0003-1494-21) a 60 g ( NDC 0003-1494-31) krému.

Skladování

Skladovat při pokojové teplotě; Vyvarujte se mrazu a chlazení.

Westwood-Squibb Pharmaceuticals Inc. Společnost Bristol-Myers Squibb Company Princeton NJ 08543 USA. Revidováno v dubnu 2003. Datum revize FDA: 29/29/2004

Vedlejší účinky pro krém halog-e

The following local adverse reactions are reported infrequently with topical corticosteroids but may occur more frequently with the use of occlusive dressings (reactions are listed in an approximate decreasing order of occurrence): burning itching irritation dryness folliculitis hypertrichosis acneiform eruptions hypopigmentation perioral dermatitis allergic contact dermatitis maceration of the skin secondary infection skin atrophy striae a miliaria.

Interakce léčiva pro krém Halog-E

Žádné informace.

Varování pro krém Halog-E

Žádné informace.

Opatření pro krém Halog-E

Generál

Systémová absorpce lokálních kortikosteroidů vyvolala reverzibilní hypothalamicko-hypofýz-nadledvinovou (HPA) projev a u některých pacientů u některých pacientů.

Podmínky, které zvyšují systémovou absorpci, zahrnují aplikaci účinnějších steroidů využívajících při velkých povrchových plochách prodloužených používání a přidání okluzivních obvazů.

Proto pacienti, kteří dostávají velkou dávku jakéhokoli silného topického steroidu aplikovaného na velkou povrchovou plochu nebo pod okluzivním obvazem, by proto měli být pravidelně hodnoceni, aby se dokazovali o potlačení osy HPA pomocí testů stimulace volného kortizolu a ACTH a pro zhoršení tepelné homeostázy. Pokud dojde k potlačení osy HPA nebo zvýšení tělesné teploty, měl by být učiněn pokus o vyloučení léčiva, aby se snížila frekvence aplikace nahradit méně účinný steroid nebo použít sekvenční přístup při využití okluzivní techniky.

Obnovení funkce osy HPA a tepelné homeostázy je obecně rychlé a úplné po přerušení léčiva. Obavě příznaky a příznaky stažení steroidů mohou nastat vyžadující doplňkové systémové kortikosteroidy. Občas může pacient vyvinout reakci citlivosti na konkrétní okluzivní oblékání nebo lepidlo a může být nutný náhradní materiál.

Děti mohou absorbovat úměrně větší množství topických kortikosteroidů, a proto jsou náchylnější k systémové toxicitě (viz Opatření: Pediatrické použití ).

Pokud se podráždění vyvine lokální kortikosteroidy, měly by být přerušeny a zavedena vhodná terapie.

V přítomnosti dermatologických infekcí by mělo být zavedeno použití vhodného antimykotického nebo antibakteriálního činidla. Pokud k příznivé reakci nedochází okamžitě, měl by být kortikosteroid přerušen, dokud nebude infekce přiměřeně kontrolována.

Tato příprava není pro oftalmické použití.

Laboratorní testy

Při hodnocení potlačení osy HPA může být užitečný test volného kortizolu v moči a test stimulace ACTH.

Mutageneze karcinogeneze a zhoršení plodnosti

Dlouhodobé studie na zvířatech nebyly provedeny za účelem vyhodnocení karcinogenního potenciálu nebo účinku na plodnost topických kortikosteroidů.

Studie pro stanovení mutagenity s prednisolonem a hydrokortisonem vykazovaly negativní výsledky.

Těhotenství

Teratogenní účinky: kategorie C

Corticosteroids are generally teratogenic in laboratory animals when administered systemically at relatively low dosage levels. The more potent corticosteroids have been shown to be teratogenic after dermal application in laboratory animals. There are no adequate and well-controlled studies in pregnant women on teratogenic effects from topically applied corticosteroids. Therefore topical corticosteroids should be used during pregnancy only if the potential benefit justifies the potential risk to the fetus. Drugs of this class should not be used extensively on pregnant patients in large amounts or for prolonged periods of time.

Ošetřovatelské matky

Není známo, zda topické podávání kortikosteroidů může vést k dostatečné systémové absorpci, aby se vytvořila detekovatelná množství v mateřském mléce. Systemicky podávané kortikosteroidy jsou vylučovány do mateřského mléka v množství ne Pravděpodobně bude mít škodlivý účinek na dítě. Pokud jsou však ošetřovatelskou ženu podávány lokální kortikosteroidy.

Dětské použití

Pediatričtí pacienti mohou prokázat větší náchylnost k topickému kortikosteroidskému potlačení osy HPA a syndromu Cushingu než zranění pacienti kvůli většímu poměru povrchu kůže k tělesné hmotnosti.

U dětí, které dostávají lokální kortikosteroidy, byly hlášeny syndrom a intrakraniální hypertenze HPA. Projevy potlačení nadledvin u dětí zahrnují lineární retardaci růstu zpožděné nárůst hmotnosti nízký plazmatický kortizol a absence reakce na stimulaci ACTH. Projevy intrakraniální hypertenze zahrnují vypouklé fontanely bolesti hlavy a bilaterální papiledema.

Podávání topických kortikosteroidů pro děti by mělo být omezeno na nejmenší množství kompatibilní s účinným terapeutickým režimem. Chronická kortikosteroidní terapie může narušit růst a vývoj dětí.

Vedlejší účinky Prometria 200 mg

Geriatrické použití

Z přibližně 1000 pacientů zahrnutých do klinických studií 0,1% krému Halog-E bylo 12% 60 let nebo starší, zatímco 4% bylo 70 let nebo starší. Mezi těmito pacienty a mladšími pacienty nebyly pozorovány žádné celkové rozdíly v bezpečnosti. Údaje o účinnosti nebyly hodnoceny z hlediska rozdílů mezi staršími a mladšími pacienty. Jiné hlášené klinické zkušenosti nezjistily rozdíly v odpovědích mezi staršími a mladšími pacienty, ale nelze vyloučit větší citlivost některých starších jedinců.

Informace o předávkování pro krém Halog-E

Topicky aplikované kortikosteroidy mohou být absorbovány v dostatečném množství k vytvoření systémových účinků (viz OPATŘENÍ : Generál ).

Kontraindikace pro krém halog-e

Lokální kortikosteroidy jsou kontraindikovány u pacientů s anamnézou přecitlivělosti na některou ze složek příprav.

Klinická farmakologie for volný-E Cream

Lokální kortikosteroidy sdílejí protizánětlivé antipruritické a vazokonstrikční účinky.

Mechanismus protizánětlivé aktivity topických kortikosteroidů je nejasný. K porovnání a predikci potence a/nebo klinické účinnosti topických kortikosteroidů se používají různé laboratorní metody včetně vazokonstrikčních testů. Existují důkazy, které naznačují, že existuje rozpoznatelná korelace mezi vazokonstrikční účinností a terapeutickou účinností u člověka.

Farmakokinetika

Rozsah perkutánní absorpce topických kortikosteroidů je určen mnoha faktory, včetně vehikula, integrita epidermální bariéry a použití okluzivních obvazů.

Lokální kortikosteroidy mohou být absorbovány z normální neporušené kůže. Zánět a/nebo jiné procesy onemocnění v kůži zvyšují perkutánní absorpci. Okluzivní obvazy podstatně zvyšují perkutánní absorpci topických kortikosteroidů. Okluzivní obvazy tedy mohou být cenným terapeutickým doplňkem pro léčbu rezistentních dermatóz (viz Dávkování a podávání ).

Jakmile jsou absorbovány kůží lokální kortikosteroidy zpracovávány farmakokinetickými cestami podobnými systémově podávanými kortikosteroidy. Kortikosteroidy jsou vázány na plazmatické proteiny v různých stupních. Kortikosteroidy jsou metabolizovány primárně v játrech a poté jsou vylučovány ledvinami. Některé z aktuálních kortikosteroidů a jejich metabolitů jsou také vylučovány do dokonce .

Informace o pacientovi pro krém Halog-E

Pacienti používající lokální kortikosteroidy by měli dostávat následující informace a pokyny:

  1. Tento lék má být používán jako pokyn lékařem. Je to pouze pro dermatologické použití. Vyvarujte se kontaktu s očima.
  2. Pacienti by měli být doporučeni, aby tento lék nepoužívali pro jinou poruchu, než na kterou byla předepsána.
  3. Ošetřená oblast kůže by neměla být ovázaná nebo jinak zakrytá nebo zabalena jako okluzivní, pokud není nařízena lékařem.
  4. Pacienti by měli hlásit jakékoli známky místních nežádoucích účinků, zejména při okluzivním obvazu.
  5. Rodičům dětských pacientů by mělo být doporučeno, aby nepoužívali pevně padnoucí plenky nebo plastové kalhoty na dítě léčené v oblasti plenky, protože tyto oděvy mohou představovat okluzivní obvazy.