Informace Na Stránce Nepředstavují Lékařskou Radu. Nic Neprodáváme. Přesnost Překladu Není Zaručena. Zřeknutí Se Odpovědnosti
Arbs
Diovan
Shrnutí drog
Co je Diovan?
Diovan ( Valsartan ) je blokátor receptoru angiotensinu II používaného pro kontrolu srdečního selhání hypertenze a po infarktu. Diovan je k dispozici jako obecný.
Jaké jsou vedlejší účinky Diovanu?
Mezi běžné vedlejší účinky Diovanu patří:
- bolest hlavy
- závrať
- Lightheadedness
- únava
- Příznaky chřipky
- infekce horních cest dýchacích
- průjem
- Symmptomy nachlazení (kašel nebo ucpaný nos kýchání bolest v krku)
- sinusitida
- nevolnost
- bolest žaludku
- otok
- rozmazané vidění
- svědění nebo vyrážka
- Bolest zad a
- bolest kloubů.
Mezi vážné vedlejší účinky Diovanu patří:
- bolest na hrudi
- mdloby
- Palpitace
- dušnost
- hubnutí
- zvracení a
- otok of the skin most often around the lips a eyes.
Dávkování pro Diovan
Diovan is available as tablets for oral administration in strengths of 40 80 160 or 320 mg of Valsartan. Usual beginning dose is a total of 80 mg per day but this may vary. For children with pediatric hypertension (ages 6–16) the dose is weight based at 1.3 mg per Kg weight not to exceed 40 mg per day. Diovan is not recommended for children under the age of 6 or in children with certain renal problems
Jaké léčivé látky nebo doplňky interagují s Diovan?
Diovan may interact with cyklosporin Diuretika (pilulky na vodu) rifampin Ritonavir nebo nesteroidní protizánětlivé léky (NSAID). Řekněte svému lékaři všechny léky a doplňky, které používáte.
Diovan During Těhotenství a Breastfeeding
Diovan is not recommended for use during pregnancy; it may cause injury or death to a fetus when the medicine is taken during the second or third trimester. Talk to your doctor about use of birth control while taking Diovan. It is unknown if Diovan passes into breast milk or if it could harm a nursing baby. Breastfeeding while using Diovan is not recommended.
Další informace
Naše drogové centrum Diovan vedlejší účinky poskytuje při užívání tohoto léku komplexní pohled na dostupné informace o možných vedlejších účincích.
Informace o drogách FDA
- Popis léku
- Indikace
- Dávkování
- Vedlejší účinky
- Lékové interakce
- Varování
- Předávkovat
- Klinická farmakologie
- Průvodce léky
VAROVÁNÍ
Fetální toxicita
- Když je těhotenství detekováno co nejdříve diovan. (vidět VAROVÁNÍS AND OPATŘENÍ )
- Drogy, které působí přímo na renin-angiotens v systému, mohou způsobit vývoj plodu zranění a smrt. (vidět VAROVÁNÍS AND OPATŘENÍ )
Popis pro Diovan
Diovan (Valsartan) is a nonpeptide orally active a specific angiotensin II receptor blocker acting on the AT 1 Podtyp receptoru.
Valsartan je chemicky popsán jako N -(1-oxopentyl)- N -[[2 '-(1 H -tetrazol-5-yl) [11'-bifenyl] -4- yl] methyl] -l-valin. Jeho empirický vzorec je C 24 H 29 N 5 O 3 Jeho molekulová hmotnost je 435,5 a její strukturální vzorec je:
|
Valsartan je bílý až prakticky bílý jemný prášek. Je rozpustný v ethanolu a methanolu a mírně rozpustný ve vodě.
Diovan is available as tablets for oral administration containing 40 mg 80 mg 160 mg or 320 mg of Valsartan. The inactive ingredients of the tablets are colloidal silicon dioxide crospovidone hydroxypropyl methylcellulose iron oxides (yellow black a/or red) magnesium stearate microcrystalline cellulose polyethylene glycol 8000 a titanium dioxide.
Použití pro Diovan
Hypertenze
Diovan® is indicated for the treatment of hypertension to lower blood pressure in adults a pediatric patients one year of age a older. Lowering blood pressure reduces the risk of fatal a nonfatal cardiovascular events primarily strokes a myocardial infarctions. These benefits have been seen in controlled trials of antihypertensive drugs from a wide variety of pharmacologic classes including the class to which Valsartan principally belongs. There are no controlled trials in hypertensive patients demonstrating risk reduction with Diovan.
Kontrola vysokého krevního tlaku by měla být součástí komplexního léčby kardiovaskulárních rizik, včetně vhodné kontroly lipidů Diabetes Management Antitrombotic Therapy Cvičení kouření a omezeného příjmu sodíku. Mnoho pacientů bude vyžadovat více než jeden lék k dosažení cílů krevního tlaku. Konkrétní rady o cílech a managementu viz zveřejněné pokyny, jako jsou pokyny národního vzdělávacího programu s vysokým krevním tlakem, společný národní výbor pro hodnocení detekce prevence a léčbu vysokého krevního tlaku (JNC).
V randomizovaných kontrolovaných studiích byla prokázána četná antihypertenziva z různých farmakologických tříd as různými mechanismy účinku, aby se snížila kardiovaskulární morbidita a úmrtnost a lze dojít k závěru, že se jedná o snížení krevního tlaku a nikoli jiná farmakologická vlastnost léků, která za tyto přínosy jsou do značné míry odpovědné. Největším a nejkonzistentnějším přínosem pro kardiovaskulární výsledky bylo snížení rizika mrtvice, ale pravidelně bylo také pozorováno snížení mrtvice, ale také snížení infarktu myokardu a kardiovaskulární úmrtnosti.
Zvýšený systolický nebo diastolický tlak způsobuje zvýšené kardiovaskulární riziko a absolutní zvýšení rizika na mmHg je vyšší při vyšších krevních tlacích, takže i mírné snížení těžké hypertenze může poskytnout značné přínosy. Relativní snížení rizika ze snižování krevního tlaku je napříč populacemi podobné s různým absolutním rizikem, takže absolutní přínos je větší u pacientů, kteří jsou vystaveni vyššímu riziku nezávisle na jejich hypertenzi (např. Pacienti s diabetem nebo hyperlipidemií) a očekává se, že tito pacienti budou mít prospěch z agresivní léčby k nižším krevnímu tlaku.
Některá antihypertenzivní léčiva mají menší účinky na krevní tlak (jako monoterapie) u černých pacientů a mnoho antihypertenziv má další schválené indikace a účinky (např. Na srdeční selhání anginy nebo diabetické onemocnění ledvin). Tyto úvahy mohou vést výběr terapie.
Diovan may be used alone or in combination with other antihypertensive agents.
Selhání srdce
Diovan is indicated to reduce the risk of hospitalization for heart failure in adult patients with heart failure (NYHA class II-IV). There is no evidence that Diovan provides added benefits when it is used with an adequate dose of an angiotensin converting enzyme (ACE) inhibitor [see Klinické studie ].
Infarkt po myokardu
U klinicky stabilních dospělých pacientů s selháním levé komory nebo dysfunkcí levé komory po infarktu myokardu Diovan sníží riziko kardiovaskulární úmrtnosti [viz viz Klinické studie ].
Dávkování pro Diovan
Důležité informace o dávkování a přípravě
Diovan tablets a oral suspension are not substitutable on a milligram-per-milligram basis. Do not combine two dosage forms to achieve the total dose. The systemic exposure to Valsartan (AUC) is 60% higher with the suspension compared to tablets [see Klinická farmakologie ].
Doporučuje se použití perorální suspenze:
- u pediatrických pacientů ve věku 1 až 5 let
- u pacientů> 5 let, kteří nemohou polykat tablety a
- U pediatrických pacientů, u nichž vypočítaná dávka (mg/kg) neodpovídá dostupným silům tabletu Diovana.
Při přepínání mezi zavěšením a tabletami může být nutné upravit dávku Valsartanu.
Příprava suspenze (po dobu 160 ml 4 mg/ml suspenze)
- Přidejte 80 ml ORA-PLUS® ORAL SUSPUSSIVE VOZIDLOSTI DO JINE SKÁNÍ LAVES obsahující 8 diovan 80 mg tabletů a protřepejte po dobu minimálně 2 minut.
- Nechte zavěšení stát minimálně 1 hodinu.
- Po stálé době protřepejte odpružení po dobu minimálně 1 další minuty.
- Přidejte do láhve 80 ml ORA-Sweet SF®* Orální sladicí vozidlo a protřepejte zavěšení po dobu nejméně 10 sekund, abyste rozptýlili ingredience.
- Suspenze je homogenní a může být skladována po dobu až 30 dnů při teplotě místnosti (pod 30 ° C/86 ° F) nebo až 75 dnů za chlazených podmínek (2 ° C až 8 ° C/35 ° F až 46 ° F) ve skleněné láhvi s odolnou proti dítěti.
- Před vydáním zavěšení protřepejte láhev dobře (nejméně 10 sekund).
*ORA-Sweet SF® a ORA-PLUS® jsou registrované ochranné známky Paddock Laboratories Inc.
Dospělá hypertenze
Doporučená počáteční dávka diovanu je 80 mg nebo 160 mg jednou denně, když se používá jako monoterapie u pacientů, kteří nejsou ochutnání objemu. Pacienti vyžadující větší snížení mohou být zahájeni při vyšší dávce. Diovan může být použit v rozmezí dávky 80 mg až 320 mg denně podávaný jednou denně.
Antihypertenzivní účinek je v podstatě přítomen do 2 týdnů a maximální snížení je obecně dosaženo po 4 týdnech. Pokud je během počátečního rozmezí dávky vyžadován další antihypertenzivní účinek, může být dávka zvýšena na maximálně 320 mg nebo diuretikum. Přidání diuretiky má větší účinek než zvyšování dávky nad 80 mg.
Diovan may be administered with other antihypertensive agents.
Dětská hypertenze ve věku 1 až 16 let
Obvyklá doporučená počáteční dávka je 1 mg/kg jednou denně (celkem až 40 mg). Vyšší počáteční dávka 2 mg/kg může být zvážena ve vybraných případech, kdy je zapotřebí větší snížení krevního tlaku. Dávka by měla být upravena podle odezvy na krevní tlak a snášenlivost až do maximální dávky 4 mg/kg jednou denně (maximální denní dávka 160 mg).
U dětských pacientů nejsou k dispozici žádné údaje, které podstupují dialýzu, ani s rychlostí glomerulární filtrace <30 mL/min/1.73 m² [see Použití v konkrétních populacích ].
Použití Diovan se nedoporučuje u dětí mladších 1 rok [viz Nežádoucí účinky Dětské použití v konkrétních populacích Neklinická toxikologie ].
Selhání srdce
Doporučená počáteční dávka Diovanu je 40 mg dvakrát denně. Uptitrát na 80 mg a 160 mg dvakrát denně nebo na nejvyšší dávku tolerovanou pacientem. Zvažte snížení dávky doprovodných diuretik. Maximální denní dávka podávaná v klinických studiích je 320 mg v rozdělených dávkách.
Infarkt po myokardu
Diovan may be initiated as early as 12 hours after a myocardial infarction. The recommended starting dose of Diovan is 20 mg twice daily. Patients may be uptitrated within 7 days to 40 mg twice daily with subsequent titrations to a target maintenance dose of 160 mg twice daily as tolerated by the patient. If symptomatic hypotension or renal dysfunction occurs consider dosage reduction. Diovan may be given with other staard post-myocardial infarction treatment including thrombolytics aspirin beta-blockers a statins.
Zmeškaná dávka
Pokud je dávka diovanu vynechána, měla by být podávána co nejdříve, pokud není téměř čas na další dávku. Dávka by se neměla zdvojnásobit, aby se vyrovnala zmeškaná dávka.
Jak dodáno
Dávkování Forms And Strengths
40 mg jsou hodnoceny žluté ovaloidní tablety se zkosenými hranami potiženými NVR/DO (strana 1/strana 2)
80 mg jsou bledě červené mandlové tablety se zkosenými hranami potištěnými NVR/DV
160 mg jsou šedooranžové tablety mandlového tvaru se zkosenými hranami potištěnými NVR/DX
320 mg jsou tmavé tablety s mandlí ve tvaru mandlového tvaru s zkosenými hranami potištěnými NVR/DXL
Skladování a manipulace
Diovan (Valsartan) je k dispozici jako tablety obsahující Valsartan 40 mg 80 mg 160 mg nebo 320 mg. Všechny silné stránky jsou zabaleny do lahví, jak je popsáno níže.
40 mg tablety jsou hodnoceny na jedné straně a ovaloid se zkosenými hranami. Tablety 80 mg 160 mg a 320 mg jsou netrápené a mandlové tvarované zkosených omámezích.
| Tableta | Barva | Deboss | NDC 0078- | ||
| Strana 1 | Strana 2 | Láhev | |||
| 30 | 90 | ||||
| 40 mg | Žluť | NVR | DĚLAT | 0423-15 | - |
| 80 mg | Bledě červená | NVR | Dv | - | 0358-34 |
| 160 mg | Grey-Orange | NVR | Dx | - | 0359-34 |
| 320 mg | Tmavý šedý fialový | NVR | DxL | - | 0360-34 |
Ukládat při 20 ° C až 25 ° C (68 ° F až 77 ° F); Exkurze povolené mezi 15 ° C a 30 ° C (59 ° F a 86 ° F) [viz viz Teplota místnosti s kontrolou USP ].
Chránit před vlhkostí.
Vydejte se v těsném kontejneru (USP).
Distribuováno od: Novartis Pharmaceuticals Corporation East Hannover New Jersey 07936. Revidováno: duben 2021
Vedlejší účinky for Diovan
Zkušenosti z klinických studií
Protože klinické studie jsou prováděny za široce měnících se podmínek, které nelze pozorované v klinických studiích léčiva, nelze přímo porovnat s mírami v klinických studiích jiného léčiva a nemusí odrážet míru pozorované v praxi.
Dospělá hypertenze
Diovan has been evaluated for safety in more than 4000 patients including over 400 treated for over 6 months a more than 160 for over 1 year. Nežádoucí účinky have generally been mild a transient in nature a have only infrequently required discontinuation of therapy. The overall incidence of adverse reactions with Diovan was similar to placebo.
Celková frekvence nežádoucích účinků nebyla ani související s dávkou ani s režimem věku pohlaví. U 2,3% pacientů s valsartanem a 2,0% pacientů s placebem bylo vyžadováno přerušení terapie v důsledku vedlejších účinků. Nejčastějšími důvody pro přerušení terapie diovanem byly bolesti hlavy a závratě.
Nežádoucí účinky, které se vyskytly u klinických studií kontrolovaných placebem, u alespoň 1% pacientů léčených diovanem a při vyšším výskytu valsartanu (n = 2316) než placebo (n = 888) pacienti zahrnovali virovou infekci (3% vs. 2%) únavu (2% vs. 1%) a 2%).
Ve studiích, ve kterých byl valsartan porovnán s inhibitorem ACE s placebem nebo bez placeba, byl výskyt suchého kašle výrazně větší ve skupině ACE-inhibitor (NULL,9%) než ve skupinách, které obdržely Valsartan (NULL,6%) nebo placebo (NULL,5%). Ve zkoušce 129-pacientů omezených na pacienty, kteří měli suchý kašel, když dříve obdrželi inhibitory ACE, incidence kašle u pacientů, kteří dostávali Valsartan HCTZ nebo lisinopril, byly 20% 19% a 69% (P. <0.001).
Ortostatické účinky související s dávkou byly pozorovány u méně než 1% pacientů. U pacientů léčených diovanem 320 mg (8%) ve srovnání s 10 až 160 mg (2%až 4%) bylo pozorováno zvýšení výskytu závratě.
Pediatrická hypertenze
Diovan has been evaluated for safety in 290 pediatric patients aged 1 to less than 6 years a over 400 patients aged 6 to 17 years. No relevant differences were identified between the adverse experience profile for pediatric patients a that previously reported for adult patients. Hyperkalémie was more frequently observed in pediatric patients aged 1 to 17 years with underlying chronic kidney disease (CKD).
U pediatrických pacientů byly hlášeny případy zvýšené ALT a/nebo AST 1 až 6 let. K těmto událostem došlo ve studijní populaci, která měla často významné komorbidity; Proto nemohl být vytvořen kauzální vztah k Valsartanu.
Selhání srdce
V pokusu o srdeční selhání Valsartanu (VAL-HEFT) porovnávající Valsartan v celkových denních dávkách až 320 mg (n = 2506) s placebem (n = 2494) 10% pacientů s Valsartanem přerušilo na nežádoucí reakce vs. 7% pacientů s placebem.
Tabulka ukazuje nežádoucí účinky v dvojitě zaslepených krátkodobých pokusech o srdeční selhání, včetně prvních 4 měsíců pokusu o srdeční selhání Valsartanu s výskytem alespoň 2%, které byly častější u pacientů ošetřených valsartanem než u pacientů s placebem. Všichni pacienti dostávali standardní lékovou terapii pro srdeční selhání často jako více léků, které by mohly zahrnovat diuretiku digitalis-blokátory. Asi 93% pacientů dostávalo souběžné inhibitory ACE.
| Valsartan (n = 3282) | Placebo (n = 2740) | |
| Závrať | 17% | 9% |
| Hypotenze | 7% | 2% |
| Průjem | 5% | 4% |
| Artralgia | 3% | 2% |
| Únava | 3% | 2% |
| Bolest zad | 3% | 2% |
| Závrať postural | 2% | 1% |
| Hyperkalémie | 2% | 1% |
| Hypotenze postural | 2% | 1% |
Diskontinuace se vyskytla u 0,5% pacientů ošetřených valsartanem a 0,1% pacientů s placebem pro každý z následujících: zvýšení kreatininu a zvýšení draslíku.
Jiné nežádoucí účinky s incidencí větší než 1% a větší než placebo zahrnovaly nevolnost hlavy nevolnosti narušení ledvin Synkop rozmazané vidění horní bolesti břicha a závratě.
Z dlouhodobých údajů v pokusu o srdeční selhání Valsartanu se nezdálo, že by došlo k žádným významným nežádoucím účinkům, které nebyly dříve identifikovány.
Infarkt po myokardu
Tabulka ukazuje procento pacientů ukončených ve skupinách ošetřených Valsartanem a captopril ve Valsartanu v akutním infarkčním infarktu myokardu (Valiant) s rychlostí alespoň 0,5% v jedné z léčebných skupin.
Diskontinuace v důsledku dysfunkce ledvin se vyskytla u 1,1% pacientů ošetřených valsartanem a 0,8% pacientů s captopriltrety.
| Valsartan (n = 4885) | Captopril (n = 4879) | |
| Přerušení pro nežádoucí reakci | 5,8% | 7,7% |
| Nežádoucí účinky | ||
| Hypotenze NOS | 1,4% | 0,8% |
| Kašel | 0,6% | 2,5% |
| Kreatinin krve se zvýšil | 0,6% | 0,4% |
| Rash nás | 0,2% | 0,6% |
Zjištění klinických laboratorních testů
Kreatinin
Ve studiích srdečního selhání bylo vyšší než 50% zvýšení kreatininu pozorováno u 3,9% diovantézovaných pacientů ve srovnání s 0,9% pacientů ošetřených placebem. U post-myokardiálního infarktu pacientů bylo pozorováno zdvojnásobení sérového kreatininu u 4,2% pacientů ošetřených valsartanem a 3,4% pacientů ošetřených captopril.
Neutropenie
Neutropenie was observed in 1.9% of patients treated with Diovan a 0,8% of patients treated with placebo.
Krevní močovina dusík (buchta)
Ve studiích srdečního selhání bylo u 16,6% pacientů léčených Diovan pozorováno vyšší než 50% zvýšení BUN ve srovnání s 6,3% pacientů ošetřených placebem [viz viz VAROVÁNÍS AND OPATŘENÍ ].
Zážitek z postmarketingu
Následující další nežádoucí účinky byly hlášeny v postmarketingovém použití Diovanu. Protože tyto reakce jsou hlášeny dobrovolně z populace nejisté velikosti, není vždy možné spolehlivě odhadnout jejich frekvenci nebo vytvořit kauzální vztah k expozici léčiva.
Hypersenzitivita: Byl hlášen angioedema. Někteří z těchto pacientů dříve zažili angioedém s jinými léky, včetně inhibitorů ACE. Diovan by neměl být znovu přidán k pacientům, kteří měli angioedém.
Zažívací: Zvýšené jaterní enzymy a velmi vzácné zprávy o hepatitidě
Muskuloskeletální: Rhabdomyolýza
Renal: Poškozené selhání ledvin
Dermatologická: Alopecia bulózní dermatitida
Krev a lymfatický: Trombocytopenie
Cévní: Vaskulitida
Lékové interakce for Diovan
Látky zvyšující sérový draslík
Současné použití valsartanu s jinými činidly, která blokují diuretika šetřící draselným systémem renin-angiotensinem (např. Spironolakton amilorid amilorid) Draselné doplňují náhrady soli a jiných léčiv, které mohou zvýšit hladinu potazníku (Heparin) může vést ke zvýšení pacientů s pelassium a srdeční pacienta ke zvýšení seriánu ve sérovém kreatinu. Pokud je kolizovaná ko-medikace považována za nezbytné monitorování draslíku v séru.
Nesteroidní protizánětlivá činidla včetně selektivních inhibitorů cyklooxygenázy-2 (inhibitory COX-2)
U pacientů, kteří jsou seniory depletováni (včetně pacientů na diuretické terapii) nebo s kompromitovanou renální funkcí, může podávání NSAID, včetně selektivních inhibitorů COX-2 antagonisty receptoru angiotensinu II, včetně valsartanu, včetně Valsartanu, včetně valsartanu, včetně možného akutního selhání renálu. Tyto účinky jsou obvykle reverzibilní. Pravidelně monitorujte funkci ledvin u pacientů, kteří dostávají terapii Valsartan a NSAID.
Antihypertenzivní účinek antagonistů receptoru angiotensinu II, včetně Valsartanu, může být oslaben NSAID včetně selektivních inhibitorů COX-2.
Duální blokáda systému renin-angiotensin (RAS)
Duální blokáda RAS s blokátory angiotensinového receptoru ACE inhibitory nebo aliskiren je spojena se zvýšeným rizikem hypotenze hyperkalémie a změnami funkce ledvin (včetně akutního selhání ledvin) ve srovnání s monoterapií. Většina pacientů, kteří dostávají kombinaci dvou inhibitorů RAS, nezískává ve srovnání s monoterapií žádný další přínos [viz Klinické studie ]. In general avoid combined use of RAS inhibitors. Closely monitor blood pressure renal function a electrolytes in patients on Diovan a other agents that affect the RAS.
Nepodvašte aliskiren s Diovanem u pacientů s diabetem. Vyvarujte se používání aliskirenu s Diovanem u pacientů s poškozením ledvin (GFR <60 mL/min).
Lithium
Během souběžného podávání lithia s antagonisty receptoru angiotensinu II bylo hlášeno zvýšení koncentrací lithia v séru a lithiové toxicitě. Monitorujte hladiny lithia v séru během souběžného použití.
Varování pro Diovana
Zahrnuto jako součást OPATŘENÍ sekce.
Opatření pro Diovan
Fetální toxicita
Diovan can cause fetal harm when administered to a pregnant woman. Use of drugs that act on the reninangiotensin system during the second a third trimesters of pregnancy reduces fetal renal function a increases fetal a neonatal morbidity a death. Resulting oligohydramnios can be associated with fetal lung hypoplasia a skeletal deformations. Potential neonatal adverse effects include skull hypoplasia anuria hypotension renal failure a death. When pregnancy is detected discontinue Diovan as soon as possible [see Použití v konkrétních populacích ].
Hypotenze
Nadměrná hypotenze byla pozorována jen zřídka (NULL,1%) u pacientů s nekomplikovanou hypertenzí léčenou samotným Diovanem. U pacientů s aktivovaným systémem renin-angiotensinu, jako jsou pacienti s objem a/nebo sůl, kteří dostávají vysoké dávky diuretické symptomatické hypotenze. Tato podmínka by měla být opravena před podáním Diovanu nebo by se léčba měla začít pod těsným lékařským dohledem.
Pacienti se srdečním selháním nebo pacienti s infarktem po myokardiálním infarktu, kterým se dostanou do diovanu, mají obvykle určité snížení krevního tlaku, ale přerušení terapie z důvodu pokračující symptomatické hypotenze obvykle není nutné, když jsou pokyny dávkování. V kontrolovaných studiích u pacientů s srdečním selháním byl výskyt hypotenze u pacientů ošetřených valsartanem 5,5% ve srovnání s 1,8% u pacientů ošetřených placebem. Ve Valsartanu ve akutní infarkční studii myokardu (Valiant) hypotenze u pacientů s infarktem po myokardu vedla k trvalému přerušení terapie u 1,4% pacientů ošetřených valsartanem a 0,8% pacientů s captopriltreted.
Pokud dojde k nadměrné hypotenzi, umístěte pacienta do polohy na zádech a v případě potřeby poskytne intravenózní normální fyziologický roztok. Přechodná hypotenzní odpověď není kontraindikací na další léčbu, která může obvykle pokračovat bez obtíží, jakmile se krevní tlak stabilizuje.
Zhoršená funkce ledvin
Změny ve funkci ledvin včetně akutního selhání ledvin mohou být způsobeny léky, které inhibují systém renin-angiotensin a diuretika. Pacienti, jejichž funkce ledvin může částečně záviset na aktivitě reninangiotensinového systému (např. Pacienti se stenózou renální tepny chronické onemocnění ledvin Silné městné srdeční selhání nebo vyčerpání objemu) mohou být zvláště riziko vzniku akutního selhání ledvin na diovan. U těchto pacientů pravidelně monitorujte renální funkci. Zvažte zadržení nebo ukončení terapie u pacientů, u nichž se vyvine klinicky významný pokles funkce ledvin na Diovanu [viz Lékové interakce ].
Hyperkalémie
Někteří pacienti se srdečním selháním se vyvinuli zvýšení draslíku. Tyto účinky jsou obvykle malé a přechodné a je pravděpodobnější, že se vyskytují u pacientů s již existujícím poškozením ledvin. Může být vyžadováno snížení dávky a/nebo přerušení Diovanu [viz Nežádoucí účinky ].
Informace o poradenství pro pacienta
Doporučujte pacientovi, aby si přečetl značení pacienta schváleného FDA (informace o pacientech).
Těhotenství
Poraďte pacientům o porodu věku o důsledcích vystavení Diovanu během těhotenství. Diskutujte o možnostech léčby se ženami, které plánují otěhotnět. Požádejte pacienty, aby co nejdříve nahlásili těhotenství svému poskytovateli zdravotní péče VAROVÁNÍS AND OPATŘENÍ Použití v konkrétních populacích ].
Laktace
Doporučujte ženám, aby během léčby diovanem nebyly kojeno [viz Použití v konkrétních populacích ].
Symptomatická hypotenze
Poraďte se s pacienty, že spuštění může dojít zejména v prvních dnech terapie a že by měl být nahlášen jejich poskytovateli zdravotní péče. Řekněte pacientům, že pokud dojde k synkopě, aby se diovan ukončil, dokud nebude lékař konzultován. UPOZORNĚNÍ VŠECHNO pacienti, kteří nedostatečný příjem tekutiny Nadměrné pocení průjem nebo zvracení může vést k nadměrnému poklesu krevního tlaku se stejnými důsledky lightheadedness a možné synkopy [viz viz VAROVÁNÍS AND OPATŘENÍ ].
Hyperkalémie
Doporučujte pacientům, aby nepoužívali náhražky soli bez konzultace s jejich poskytovatelem zdravotní péče [viz Lékové interakce ].
nejlevnější způsob cestování po celé zemi
Neklinická toxikologie
Zhodnocení mutageneze karcinogeneze plodnosti
Neexistoval žádný důkaz karcinogenity, když byl Valsartan podáván ve stravě myším a potkanům po dobu až 2 let v dávkách až 160 a 200 mg/kg/den. Tyto dávky u myší a potkanů jsou asi 2,6 a 6krát MRHD na základě mg/m² (výpočty předpokládají perorální dávku 320 mg/den a 60 kg pacienta).
Testy mutagenity neodhalily žádné účinky související s valsartanem na úrovni genu ani chromozomu. Tyto testy zahrnovaly testy bakteriální mutagenicity s Salmonella (Ames) a E coli; gen mutační test s buňkami čínského křečka V79; cytogenetický test s buňkami vaječníků čínského křečka; a test mikronukleus potkana.
Valsartan had no adverse effects on the reproductive performance of male or female rats at oral doses up to 200 mg/kg/day. This dose is 6 times the MRHD on a mg/m² basis (Calculations assume an oral dose of 320 mg/day a a 60-kg patient).
Použití v konkrétních populacích
Těhotenství
Shrnutí rizika
Diovan can cause fetal harm when administered to a pregnant woman. Use of drugs that act on the reninangiotensin system during the second a third trimesters of pregnancy reduces fetal renal function a increases fetal a neonatal morbidity a death. Most epidemiologic studies examining fetal abnormalities after exposure to antihypertensive use in the first trimester have not distinguished drugs affecting the reninangiotensin system from other antihypertensive agents. Published reports include cases of anhydramnios a oligohydramnios in pregnant women treated with Valsartan (see Klinické úvahy ).
Když je detekováno těhotenství, zvažte alternativní léčbu léčiva a co nejdříve ukončete Diovana.
Odhadované riziko na pozadí hlavních vrozených vad a potratu pro uvedenou populaci není známo. Všechna těhotenství mají na pozadí riziko ztráty vrozených vad nebo jiných nepříznivých výsledků. V americké obecné populaci je odhadované riziko na pozadí velkých vrozených vad a potratu u klinicky uznávaných těhotenství 2% až 4% a 15% až 20%.
Klinické úvahy
Mateřské a/nebo embryo/fetální riziko spojené s nemocí
Hypertenze in pregnancy increases the maternal risk for pre-eclampsia gestational diabetes premature delivery a delivery complications (e.g. need for cesarean section a post-partum hemorrhage). Hypertenze increases the fetal risk for intrauterine growth restriction a intrauterine death. Pregnant women with hypertension should be carefully monitored a managed accordingly.
Fetální/novorozenecké nežádoucí účinky
Oligohydramnios u těhotných žen, které užívají drogy ovlivňující systém renin-angiotensin ve druhém a třetím trimestru těhotenství, může vést k následujícímu: snížená funkce ledviny fetálního ledviny vedoucí k anurii a selhání renálních plicních plicních hypoplázií kosterních deformací a smrti. V neobvyklém případě, že neexistuje žádná vhodná alternativa k terapii léků ovlivňujícími systém renin-angiotensinu pro konkrétní pacient, který uveďte matku potenciálního rizika pro plod.
U pacientů užívajících diovan během těhotenství provádějí sériové ultrazvukové vyšetření k posouzení intra-amniotického prostředí. Testování plodu může být vhodné na základě týdne těhotenství. Pacienti a lékaři by si však měli být vědomi toho, že oligohydramnios se nemusí objevit, dokud plod utrpěl nevratné zranění. Pokud je pozorována oligohydramnios, zvažte alternativní léčbu. Pečlivě pozorujte novorozence s historií v děloze expozice diovanu pro hypotenzi oligurie a hyperkalémii. U novorozenců s anamnézou v expozici dělohy diovanu, pokud dochází k oligurii nebo hypotenzi, podporuje krevní tlak a renální perfuzi. Výměnné transfuze nebo dialýza mohou být vyžadovány jako prostředek k obrácení hypotenze a nahrazení funkce ledvin.
Data
Údaje o zvířatech
Nebyly pozorovány žádné teratogenní účinky, když byl valsartan podáván těhotným myším a potkanům v perorálních dávkách až 600 mg/kg/den (9 a 18krát vyšší než maximální doporučená lidská dávka (MRHD) na základě mg/m²) a těhotným králíkům na základě 10 mg/den.
U potkanů perorální valsartan podávaný v mateřských toxických dávkách (600 mg/kg/den) během organogeneze nebo pozdního těhotenství a laktace vedla ke snížení přežití štěňat plodu a štěně a zpožděné vývojové milníky. U králíků byly pozorovány fetotoxicity podávané mateřsky toxické dávky 5 a 10 mg/kg/den.
Laktace
Shrnutí rizika
Neexistují žádné informace o přítomnosti diovanu v lidském mléce účinky na kojené dítě nebo účinky na produkci mléka. Diovan je přítomen v mléce potkana. Vzhledem k potenciálu vážných nežádoucích účinků u kojených kojenců z vystavení Valsartanu radí ošetřovatelské ženě, že kojení se během léčby diovanem nedoporučuje.
Data
Valsartan was detected in the milk of lactating rats 15 minutes after oral administration of a 3 mg/kg dose.
Dětské použití
Antihypertenzivní účinky diovanu byly hodnoceny v 5 klinických studiích u pediatrických pacientů ve věku 1-16 let [viz Klinické studie ]. The pharmacokinetics of Diovan have been evaluated in pediatric patients 1 to 16 years of age [see Klinická farmakologie ]. The adverse experience profile of Diovan was similar to that described for adults [see Nežádoucí účinky ].
U dětí a adolescentů s hypertenzí, kde mohou být základní renální abnormality častější renální funkcí a draslík v séru by měl být pečlivě monitorován, jak bylo uvedeno klinicky.
Použití Diovan se nedoporučuje u dětí mladších 1 rok [viz Neklinická toxikologie ]. It is not known whether post-natal use of Valsartan before maturation of renal function is complete has a long-term deleterious effect on the kidney.
U dětských pacientů nejsou k dispozici žádné údaje, které podstupují dialýzu, ani s rychlostí glomerulární filtrace less than 30 mL/min/1.73 m².
Geriatrické použití
V kontrolovaných klinických studiích u Valsartanu 1214 (NULL,2%) hypertenzních pacientů léčených valsartanem byli ≥ 65 let a 265 (NULL,9%) bylo ≥ 75 let. V této populaci pacientů nebyl pozorován žádný celkový rozdíl v účinnosti nebo bezpečnosti Valsartanu, ale nelze vyloučit větší citlivost některých starších jedinců. Expozice [měřeno podle plochy pod křivkou (AUC)] na Valsartan je u starších lidí vyšší o 70% než u mladých, ale není nutné žádné nastavení dávkování [viz viz [Viz Klinická farmakologie ].
Z 2511 pacientů se srdečním selháním randomizovaným na Valsartan ve studii srdečního selhání Valsartanu bylo 45% (1141) ve věku 65 let nebo starší. Ve Valsartanu v akutní studii infarktu myokardu (Valiant) 53% (2596) ze 4909 pacientů léčených Valsartanem a 51% (2515) 4885 pacientů léčených valsartanským captoprilem bylo ve věku 65 let nebo starších. V obou studiích nebyly žádné pozoruhodné rozdíly v účinnosti nebo bezpečnosti mezi staršími a mladšími pacienty.
Poškození ledvin
Bezpečnost a účinnost diovanu u pacientů s těžkým poškozením ledvin (rychlost glomerulární filtrace menší než 30 ml/min/1,73 m²) nebyla stanovena. U pacientů s mírnou (mírou filtrace glomerulární filtrace 60 až 90 ml/min/1,73 m²) nebo středním (míra glomerulární filtrace 30 až 60 ml/min/1,73 m²) není nutná žádná úprava dávky.
Poškození jater
U pacientů s mírným až středním onemocněním jater není nutná žádná úprava dávky. U pacientů s těžkým onemocněním jater nelze poskytnout žádná doporučení pro dávkování.
Informace o předávkování pro Diovan
K dispozici jsou omezené údaje týkající se předávkování u lidí. Nejpravděpodobnějším projevem předávkování by byla hypotenze a tachykardie; Bradykardie by se mohla objevit z parasympatické (vagální) stimulace. Byla hlášena depresivní úroveň oběhového kolapsu a šoku. Pokud by měla dojít k symptomatické hypotenzi podpůrnou léčbou.
Diovan (Valsartan) is not removed from the plasma by hemodialysis.
Valsartan was without grossly observable adverse effects at single oral doses up to 2000 mg/kg in rats a up to 1000 mg/kg in marmosets except for salivation a průjem in the rat a vomiting in the marmoset at the highest dose (60 a 31 times respectively the MRHD dose on a mg/m² basis) (Calculations assume an oral dose of 320 mg/day a a 60-kg patient).
Kontraindikace pro Diovan
Nepoužívejte u pacientů se známou přecitlivělostí na žádnou složku.
Nepodvacujete aliskiren s Diovan u pacientů s diabetem [viz Lékové interakce ].
Klinická farmakologie for Diovan
Mechanismus působení
Angiotensin II je tvořen angiotensinem I v reakci katalyzované enzymem konvertujícím angiotensin (ACE Kinináza II). Angiotensin II je hlavním tiskovým činidlem systému renin-angiotensinu s účinky, které zahrnují vazokonstrikční stimulaci syntézy a uvolňování srdeční stimulace aldosteronu a reabsorpci sodíku. Diovan (Valsartan) blokuje účinky angiotensinu II vylučujícím vazokonstrikční a aldosteron selektivním blokováním vazby angiotensinu II na receptor AT1 v mnoha tkáních, jako je vaskulární hladký sval a nadledvinová žláza. Jeho působení je proto nezávislé na cestách pro syntézu angiotensinu II.
V mnoha tkáních je také nalezen receptor AT2, ale není známo, že AT2 je spojen s kardiovaskulární homeostázou. Valsartan má pro receptor AT1 mnohem větší afinitu (asi 20000krát) než pro receptor AT2. Zvýšené hladiny plazmy angiotensinu II po blokádě receptoru AT1 s valsartanem mohou stimulovat odblokovaný receptor AT2. Primární metabolit valsartanu je v podstatě neaktivní s afinitou k receptoru AT1 asi o jeden-200 th A th ) samotný Valsartan.
Blokáda systému renin-angiotensinu s ACE inhibitory, které inhibují biosyntézu angiotensinu II z angiotensinu I, se široce používá při léčbě hypertenze. Inhibitory ACE také inhibují degradaci bradykininu A reakce také katalyzovaná ACE. Protože Valsartan neinhibuje ACE (kinináza II), neovlivňuje reakci na bradykinin. Zda má tento rozdíl klinický význam, dosud není známo. Valsartan se neváže na jiné hormonální receptory nebo iontové kanály, o kterých je známo, že jsou důležité při kardiovaskulární regulaci.
Blokáda receptoru angiotensinu II inhibuje negativní regulační zpětnou vazbu angiotensinu II na sekreci renninu, ale výsledná zvýšená aktivita reninu v plazmě a cirkulující hladiny angiotensinu II nepřekonává účinek valsartanu na krevní tlak.
Farmakodynamika
Valsartan inhibits the pressor effect of angiotensin II infusions. An oral dose of 80 mg inhibits the pressor effect by about 80% at peak with approximately 30% inhibition persisting for 24 hours. No information on the effect of larger doses is available.
Odstranění negativní zpětné vazby angiotensinu II způsobuje 2- až 3krát nárůst plazmatického reninu a následné zvýšení plazmatické koncentrace angiotensinu II u pacientů s hypertenzí. Po podání Valsartanu bylo pozorováno minimální snížení plazmatického aldosteronu; Byl pozorován velmi malý účinek na sérový draslík.
Ve studiích s více dávkami u hypertenzních pacientů se stabilní renální nedostatečností a pacienti s renovaskulární hypertenzí Valsartan neměl klinicky významné účinky na glomerulární filtraci filtrační frakce kreatininové clearance nebo tok ledvin.
Ve studiích s více dávkami u pacientů s hypertenzními pacienty neměl Valsartan žádné významné účinky na celkový cholesterol nalačno triglyceridy nalačno sérovou glukózou nebo kyselinu močové.
Farmakokinetika
Vstřebávání
U zdravých dobrovolníků je koncentrace Plazma Valsartan dosažena 2 až 4 hodiny po dávkování. Valsartan ukazuje bi-exponenciální kinetiku rozpadu po intravenózní podání s průměrnou eliminačním poločasem asi 6 hodin. Absolutní biologická dostupnost pro Diovan je asi 25% (rozmezí 10% až 35%). Biologická dostupnost pozastavení [viz DĚLATSAGE AND ADMINISTRATION ] je 1,6krát větší než u tabletu. Hodnoty AUC a CMAX valsartanu se zvyšují přibližně lineárně se zvyšující se dávkou v rozsahu klinického dávkování (80-320 mg). Valsartan se v plazmě po opakovaném podání 200 mg denně nehrozí v plazmě.
U pacientů se srdečním selháním je průměrná doba na maximální plazmatickou koncentraci a eliminaci poločasu Valsartanu podobné těm pozorovaným u zdravých dobrovolníků. Průměrný akumulační faktor je asi 1,7 u pacientů se srdečním selháním po opakovaném podání 160 mg dvakrát denně. Hodnoty AUC a CMAX valsartanu lineárně rostou a jsou téměř úměrné se zvyšující se dávkou ze 40 na 160 mg dvakrát denně.
Účinek jídla
Při jídle tablety snižuje expozice (měřeno pomocí AUC) na Valsartan asi o 40% a koncentrace maximální plazmy (CMAX) asi o 50%. Diovan může být podáván s jídlem nebo bez něj.
Rozdělení
Objem distribuce Valsartanu po intravenózním podání je malý (17 l), což naznačuje, že Valsartan se rozsáhle nerozděluje do tkání. Valsartan je vysoce vázán na sérové proteiny (95%) hlavně sérový albumin.
Metabolismus
Primárním metabolitem, který představuje asi 9% dávky, je Valeryl 4-Hydroxy Valsartan. Studie metabolismu in vitro zahrnující rekombinantní enzymy CYP 450 naznačily, že izoenzym CYP 2C9 je zodpovědný za tvorbu valeryl-4-hydroxy valsartanu. Valsartan neinhibuje izozymy CYP 450 při klinicky relevantních koncentracích. Interakce léčiva CYP 450 mezi Valsartanem a společně podávanými léky je nepravděpodobná kvůli nízkému rozsahu metabolismu.
Vylučování
Valsartan when administered as an oral solution is primarily recovered in feces (about 83% of dose) a urine (about 13% of dose). The recovery is mainly as unchanged drug with only about 20% of dose recovered as metabolites.
Po intravenózním podání plazmatické clearance valsartanu je asi 2 l/h a jeho renální clearance je 0,62 l/h (asi 30% celkové clearance).
Zjevná clearance Valsartanu po ústním podání je u pacientů s srdečním selháním přibližně 4,5 l/h. Věk neovlivňuje zjevnou clearance u pacientů se srdečním selháním.
Konkrétní populace:
Geriatric
Expozice (měřená pomocí AUC) na Valsartan je vyšší o 70% a poločas je u starších lidí o 35% než u mladých [viz viz Použití v konkrétních populacích ].
Dětský
A
Pohlaví
Farmakokinetika of Valsartan does not differ significantly between males a females.
Renální nedostatečnost
Neexistuje žádná zjevná korelace mezi funkcí ledvin (měřeno clearancem kreatininu) a expozicí (měřeno pomocí AUC) s Valsartanem u pacientů s různými stupni poškození ledvin (až na clearance kreatininu 10 ml/min). Valsartan není z plazmy odstraněn hemodialýzou [viz Použití v konkrétních populacích ].
Jaterní nedostatečnost
V průměru pacienti s mírným až středním chronickým onemocněním jater mají dvojnásobek expozice (měřené hodnotami AUC) na Valsartan zdravých dobrovolníků (odpovídající věku pohlaví a hmotnosti) [viz viz Použití v konkrétních populacích ].
Studie interakce léčiva
Nebyly pozorovány žádné klinicky významné farmakokinetické interakce, když byl Diovan (Valsartan) spojen s amlodipinem atenololem cimetidinem digoxinem furosemidem hydrochlorothiazidem nebo indometacinem. Kombinace valsartan-atenololu byla více antihypertenzivní než jedna složka, ale nesnižovala srdeční frekvenci více než samotný atenolol.
Společné podávání Valsartanu a Warfarinu nezměnilo farmakokinetiku Valsartanu ani časovou hřiště antikoagulačních vlastností warfarinu.
Transportéry
Výsledky studie in vitro s lidskou jaterní tkáň naznačují, že Valsartan je substrátem transportéru absorpce játra OATP1B1 a jaterního výtokového transportéru MRP2. Souběžné podávání inhibitorů transportéru absorpce (rifampin cyklosporin) nebo efluxního transportéru (ritonavir) může zvýšit systémovou expozici Valsartanu.
Toxikologie zvířat a/nebo farmakologie
Denní perorální dávkování novorozeneckých/juvenilních potkanů s valsartanem v dávkách až 1 mg/kg/den (asi 10% z maximální doporučené pediatrické dávky na základě mg/m²) od postnatálního dne 7 až 70 vyvolalo přetrvávající nezvratné poškození ledvin. Tyto účinky ledvin u novorozeneckých potkanů představují očekávané přehnané farmakologické účinky, které jsou pozorovány, pokud jsou potkany léčeny během prvních 13 dnů života. Toto období se shoduje s 36 týdny těhotenství u lidí, které by se mohly občas prodloužit až 44 týdnů po početí u lidí. U lidí se považuje za nefrogeneze kolem narození; Zrání jiných aspektů funkce ledvin (jako je glomerulární filtrace a tubulární funkce) však může pokračovat až do věku přibližně 2 let. Není známo, zda posmrtné použití Valsartanu před zrání funkcí ledvin je úplné, že na ledvinu má dlouhodobé škodlivé účinky [viz Použití v konkrétních populacích ].
Klinické studie
Hypertenze
Dospělá hypertenze
Antihypertenzivní účinky diovanu (Valsartan) byly prokázány hlavně u 7 placebem kontrolovaných 4 až 12týdenních studií (1 u pacientů po 65 letech) dávek od 10 do 320 mg/den u pacientů s výchozím diastolickým krevním tlakem 95-115 mmhg. Studie umožnily srovnání režimů jednou denně a dvakrát denně 160 mg/den; srovnání efektů píku a koryta; Srovnání (ve sdružených údajích) reakce podle věku pohlaví a rasy; a hodnocení přírůstkových účinků hydrochlorothiazidu.
Podávání valsartanu pro pacienty s esenciální hypertenzí vede k významnému snížení sedícího vleže a stojícího systolického a diastolického krevního tlaku obvykle s malou nebo žádnou ortostatickou změnou.
U většiny pacientů po podání jediného nástupu perorální dávky antihypertenzivy se vyskytuje přibližně 2 hodiny a maximální snížení krevního tlaku je dosaženo do 6 hodin. Antihypertenzivní účinek přetrvává po dobu 24 hodin po dávkování, ale došlo k poklesu maximálního účinku při nižších dávkách (40 mg) pravděpodobně odrážející ztrátu inhibice angiotensinu II. Při vyšších dávkách však (160 mg) je malý rozdíl v efektu píku a koryta. Při opakovaném dávkování je snížení krevního tlaku s jakoukoli dávkou podstatně přítomno do 2 týdnů a maximální snížení je obecně dosaženo po 4 týdnech. V dlouhodobých následných studiích (bez kontroly placeba) se zdálo, že účinek Valsartanu je udržován až 2 roky. Antihypertenzivní účinek je nezávislý na věku pohlaví nebo rase. Posledně jmenované zjištění týkající se rasy je založeno na sdružených datech a mělo by být vnímáno s opatrností, protože antihypertenzivní léky, které ovlivňují systém renin-angiotensin (tj. Inhibitory ACE a blokátory angiotensin-II), byly obecně shledány méně účinnými u hypertenziva s nízkým reninem (často černošské) než u vysoce reminových hypertenzí (často bílých). Ve sdružených randomizovaných kontrolovaných studiích Diovan byly u černých jako bílé celkem 140 černochů a 830 bílých valsartanů a kontrola inhibitoru ACE. Vysvětlení tohoto rozdílu z předchozích zjištění je nejasné.
Náhlé stažení Valsartanu nebylo spojeno s rychlým zvýšením krevního tlaku.
Účinek diuretika typu valsartanu a thiazidu je přibližně aditivní.
7 studií monoterapie valsartanu zahrnovalo více než 2000 pacientů randomizovaných do různých dávek valsartanu a asi 800 pacientů randomizovaných na placebo. Dávky pod 80 mg nebyly trvale odlišeny od dávek placeba v korytu, ale dávky 80 160 a 320 mg způsobily poklesy systolického a diastolického krevního tlaku s rozdílem od placeba přibližně 6-9/3-5 mmHg při 80 mmhg při 320 mHg. V kontrolované studii vedlo k dalšímu snížení systolického a diastolického krevního tlaku přibližně 6/3 a 12/5 mmHg pro 12,5 a 25 mg HCTZ ve srovnání se samotným valsartanem 80 mg.
Pacienti s nedostatečnou odpovědí na 80 mg jednou denně byli titrováni na 160 mg jednou denně nebo 80 mg dvakrát denně, což mělo za následek podobnou odpověď v obou skupinách.
V kontrolovaných studiích byl antihypertenzivní účinek kdysi denně valsartan 80 mg podobný účinku enalaprilu 20 mg nebo jednou denně Lisinopril 10 mg.
Neexistují žádné studie o Diovanu prokazující snížení kardiovaskulárního rizika u pacientů s hypertenzí, ale alespoň jeden farmakologicky podobný lék prokázal takové přínosy.
V kontrolovaných studiích v podstatě nedošlo k žádné změně srdeční frekvence u pacientů ošetřených Valsartanem.
Pediatrická hypertenze
Děti od 1 do méně než 6 let
Antihypertenzivní účinek valsartanu u 290 dětí ve věku od 1 do méně než 6 let byl hodnocen ve třech randomizovaných dvojitě slepých klinických studiích. V první studii u 90 pacientů pacientů, kteří vážili méně než 18 kg, dostali 5 20 nebo 40 mg valsartanu denně (nízké střední a vysoké dávky) a pacienti, kteří vážili větší nebo rovnou 18 kg, dostali 10 40 a 80 mg valsartanu denně (nízké střední a vysoké dávky). Na konci 2 týdnů tři hladiny dávky valsartanu (nízké střední a vysoké) snížily systolický krevní tlak ze základní linie o 8,4 8,3 a 8,6 mmHg, ale nelze prokázat dávkovou odezvu. Ve druhé studii 74 pacientů vyšších dávek (1 mg/kg a 4 mg/kg denně) Valsartanu byly spojeny s numericky většími sníženími krevního tlaku než nejnižší dávka (NULL,25 mg/kg) na konci léčby 6 týdnů. Třetí studie byla 6týdenní randomizovaná dvojitě zaslepená studie, která vyhodnotila dávkovou odezvu valsartanu u 126 dětí ve věku 1 až 5 let s hypertenzí s chronickým onemocněním ledvin nebo bez chronického onemocnění ledvin (CKD), která denně dostává buď valsartan 0,25 mg/kg nebo 4 mg/kg. Na konci 6 týdnů bylo pozorováno snížení závislé na dávce průměrného systolického krevního tlaku (MSBP). Snížení MSBP bylo 8,5 mmHg s valsartanem 4 mg/kg a 4,1 mmHg s valsartanem 0,25 mg/kg. Podobně podskupina CKD vykazovala snížení MSBP s valsartanem 4 mg/kg ve srovnání s 0,25 mg/kg (NULL,2 mmHg vs. 1,2 mmHg).
Děti ve věku 6 až 16 let
V klinické studii zahrnující 261 hypertenzních pediatrických pacientů ve věku 6 až 16 let, kteří vážili méně než 35 kg, dostali 10 40 nebo 80 mg valsartanu denně (nízké střední a vysoké dávky) a pacienti, kteří vážili více než nebo rovnou 35 kg, dostávali 20 80 a 160 mg valsartanu denně (nízké střední a vysoké dávky). Nejběžnějšími základními příčinami hypertenze u dětí zapsaných do této studie byly nejčastějšími základními příčinami hypertenze u dětí zapsaných do této studie u dětí zapsaných u dětí zařazených do této studie u dětí zařazených do této studie u dětí zařazených do ledviny a esenciální hypertenze. Na konci 2 týdnů Valsartan snížil systolický i diastolický krevní tlak způsobem závislým na dávce. Celkově tři hladiny dávky valsartanu (nízké střední a vysoké) významně snížily systolický krevní tlak o 8 10 a 12 mm Hg od základní linie. Pacienti byli znovu randomizováni, aby buď nadále dostávali stejnou dávku Valsartanu, nebo byli přepnut na placebo. U pacientů, kteří nadále dostávali střední a vysoké dávky systolického krevního tlaku valsartanu při korytu, byla o 4 a 7 mm Hg nižší než pacienti, kteří byli léčba placebem. U pacientů, kteří dostávali nízkou dávku systolického krevního tlaku valsartanu, byla podobná dávce pacientů, kteří byli léčba placebem. Celkově byl ve všech demografických podskupinách konzistentní antihypertenzivní účinek valsartanu závislý na dávce.
Selhání srdce
The Valsartan Heart Failure Trial (Val-HeFT) was a multinational double-blind study in which 5010 patients with NYHA class II (62%) to IV (2%) heart failure and LVEF less than 40% on baseline therapy chosen by their physicians were randomized to placebo or valsartan (titrated from 40 mg twice daily to the highest tolerated dose or 160 mg twice daily) and followed for a mean of about 2 years. Although Val-HeFT’s primary goal was to examine the effect of valsartan when added to an ACE inhibitor about 7% were not receiving an ACE inhibitor. Other background therapy included diuretics (86%) digoxin (67%) and beta-blockers (36%). The population studied was 80% male 46% 65 years or older and 89% Caucasian. At the end of the trial patients in the valsartan group had a blood pressure that was 4 mmHg systolic and 2 mmHg diastolic lower than the placebo group. There were two primary end points both assessed as time to first event: all-cause mortality and heart failure morbidity the latter defined as all-cause mortality sudden death with resuscitation hospitalization for heart failure and the need for intravenous inotropic or vasodilatory drugs for at least 4 hours. These results are summarized in the following table.
| Placebo (N = 2499) | Valsartan (N = 2511) | Poměr rizika (95% tam*) | Nominální hodnota p | |
| Úmrtnost na všechny příčiny | 484 | 495 | 1.02 | 0.8 |
| (NULL,4%) | (NULL,7%) | (NULL,90-1,15) | ||
| HF morbidita | 801 (NULL,1%) | 723 (NULL,8%) | 0,87 (NULL,79-0,97) | 0.009 |
| * CI = interval spolehlivosti |
Ačkoli celkový výsledek morbidity upřednostňoval Valsartan tento výsledek byl z velké části poháněn 7% pacientů, kteří nedostali inhibitor ACE, jak je uvedeno v následující tabulce.
| Bez inhibitoru ACE | S inhibitorem ACE | |||
| Placebo (N = 181) | Valsartan (N = 185) | Placebo (N = 2318) | Valsartan (N = 2326) | |
| Události (%) | 77 (NULL,5%) | 46 (NULL,9%) | 724 (NULL,2%) | 677 (NULL,1%) |
| Poměr nebezpečí (95% CI) | 0,51 (NULL,35 0,73) | 0,92 (NULL,82 1,02) | ||
| P-hodnota | 0.0002 | 0.0965 |
Skromný příznivý trend ve skupině, která dostávala inhibitor ACE, byl z velké části poháněn pacienty, kteří dostávali méně než doporučená dávka inhibitoru ACE. Existuje tedy jen málo důkazů o dalším klinickém přínosu, když je Valsartan přidán k přiměřené dávce inhibitoru ACE.
Sekundární koncové body v podskupině, které nedostaly inhibitory ACE, byly následující.
| Placebo (N = 181) | Valsartan (N = 185) | Poměr nebezpečí (95% CI) | |
| Komponenty morbidity HF | |||
| Úmrtnost na všechny příčiny | 49 (NULL,1%) | 32 (NULL,3%) | 0,59 (NULL,37 0,91) |
| Náhlá smrt s resuscitací | 2 (NULL,1%) | 1 (NULL,5%) | 0,47 (NULL,04 5,20) |
| Terapie CHF | 1 (NULL,6%) | 0 (NULL,0%) | - |
| Hospitalizace CHF | 48 (NULL,5%) | 24 (NULL,0%) | 0.43 (NULL,27 0,71) |
| Kardiovaskulární úmrtnost | 40 (NULL,1%) | 29 (NULL,7%) | 0.65 (NULL,40 1,05) |
| Nefatální morbidita | 49 (NULL,1%) | 24 (NULL,0%) | 0.42 (NULL,26 0,69) |
U pacientů, kteří nedostávali inhibitor ACE, měli pacienti ošetřené valsartanem zvýšení ejekční frakce a snížení vnitřního diastolického průměru levé komory (LVIDD).
Účinky byly obecně konzistentní napříč podskupinami definovanými věkem a pohlaví pro populaci pacientů, kteří nedostali inhibitor ACE. Počet černých pacientů byl malý a neumožňuje smysluplné hodnocení v této podskupině pacientů.
Infarkt po myokardu
Valsartan v akutním infarkčním infarkčním studii myokardu (Valiant) byla randomizovaná nadnárodní dvojitá slepá studie u 14703 pacientů s akutním infarktem myokardu a buď srdečním selháním (příznaky příznaků nebo radiologické důkazy) nebo ejekční frakce ≤ 40% radionuclidem ventrikulografii nebo ventrikulárním kontrastem nebo ventrikulárním kontrastem ≤ 45% esicardis. Angiografie). Pacienti byli randomizováni do 12 hodin až 10 dnů po nástupu symptomů infarktu myokardu na jednu ze tří léčebných skupin: valsartan (titrován z 20 nebo 40 mg dvakrát denně na nejvyšší tolerovanou dávku až do maximálně 160 mg dvakrát denně) AC Valsartan plus captopril. V kombinované skupině byla dávka valsartanu titrována z 20 mg dvakrát denně na nejvyšší tolerovanou dávku až do maximálně 80 mg dvakrát denně; Dávka captoprilu byla stejná jako pro monoterapii. Studovaná populace byla 69% mužského 94% bělošského a 53% věku nebo starších. Základní terapie zahrnovala aspirin (91%) beta-blokátory (70%) inhibitory ACE (40%) trombolytiky (35%) a statiny (34%). Průměrná doba léčby byla 2 roky. Průměrná denní dávka Diovan ve skupině monoterapie byla 217 mg.
Primárním koncovým bodem byl čas na úmrtnost na příčinu. Sekundární koncové body zahrnovaly (1) čas na kardiovaskulární (CV) úmrtnost a (2) čas do první události reinfarktu nebo hospitalizace kardiovaskulární úmrtnosti na srdeční selhání. Výsledky jsou shrnuty v následující tabulce.
| Valsartan vs. Capto (N=4909) (N=490 | Valsartan + Captopril vs. Captopril (N = 4885) (n = 4909) | |||||
| Počet úmrtí Valsartan/ Captopril | Poměr rizika | P-hodnota | Počet úmrtí p hodnoty hřeben/ cappopril | Poměr rizika | P-hodnota | |
| Úmrtnost na všechny příčiny | 979 (NULL,9%) /958 (NULL,5%) | 1,001 (NULL,902 1,111) | 0.98 | 098 941 (NULL,3%) /958 (NULL,5%) | 0,984 (NULL,886 1,093) | 0.73 |
| Úmrtnost CV | 827 (NULL,8%) /830 (NULL,9%) | 0,976 (NULL,875 1,090) | ||||
| Úmrtnost CV hospitalization for HF a recurrent non-fatal MI | 1529 (NULL,1%) /1567 (NULL,9%) | 0,955 (NULL,881 1,035) |
Mezi třemi léčebnými skupinami nebyl žádný rozdíl v celkové úmrtnosti. Neexistoval tedy žádný důkaz, že by kombinace inhibitoru ACE captopril a blokátor angiotensinu II valsartan mělo hodnotu.
Data byla hodnocena, aby se zjistilo, zda by účinnost Valsartanu mohla být prokázána ukázáním v analýze bez inferiority, že zachovala zlomek účinku léku captopril s prokázaným účinku přežití v tomto prostředí. Konzervativním odhadem účinku captoprilu (založeného na sdružené analýze 3 postinfarkčních studií captoprilu a 2 dalších inhibitorů ACE) bylo o 14% až 16% snížení úmrtnosti ve srovnání s placebem. Valsartan by byl považován za účinný, kdyby zachoval smysluplný zlomek tohoto účinku a jednoznačně zachoval část tohoto účinku. Jak je uvedeno v tabulce, horní hranice CI pro poměr rizika (Valsartan/captopril) pro celkovou nebo CV úmrtnost je 1,09 až 1,11 přibližně 9% až 11%, což činí nepravděpodobné, že Valsartan má méně než asi polovinu odhadovaného účinku captoprilu a jasně prokazuje účinek valsartanu. Ostatní sekundární koncové body byly v souladu s tímto závěrem.
Účinky na úmrtnost mezi podskupinami ve Valiant
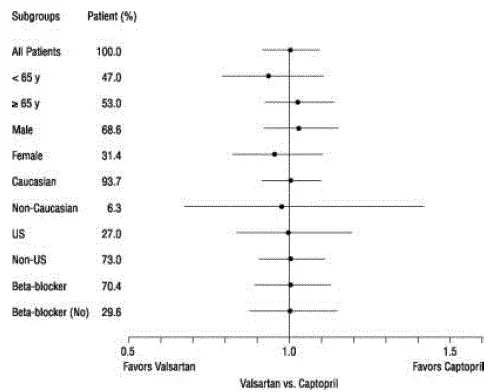
|
Nebyly zjištěny žádné jasné rozdíly v úmrtnosti na všechny příčiny založené na věkových genderových rasech nebo základních terapiích, jak je znázorněno na obrázku výše.
Informace o pacientovi pro Diovan
Diovan®
(Dye-O-van) (Valsartan) tablety
Jaké jsou nejdůležitější informace, které bych měl vědět o Diovan?
Diovan může způsobit újmu nebo smrt nenarozenému dítěti.
- Promluvte si se svým poskytovatelem zdravotní péče o jiných způsobech, jak snížit krevní tlak, pokud plánujete otěhotnět.
- Pokud otěhotníte během léčby Diovan, přestaňte brát Diovan a okamžitě řekněte svému poskytovateli zdravotní péče.
Co je Diovan?
Diovan je lék na předpis používaný v:
- Dospělí a děti ve věku 1 rok a starší, aby snižovali vysoký krevní tlak (hypertenze). Diovan lze použít samostatně nebo v kombinaci s jinými léky na krevní tlak.
- dospělí k léčbě srdečního selhání. Diovan může pomoci snížit vaši potřebu hospitalizace, ke které dochází se srdečním selháním.
- Dospělí s určitými typy srdečního selhání při zvýšení šance na život déle po infarktu (infarkt myokardu).
Diovan by neměl být používán k léčbě vysokého krevního tlaku u dětí mladších 1 rok.
Není známo, zda je Diovan bezpečný a efektivní u dětí s určitými problémy s ledvinami.
Neberte si Diovan, pokud:
- jsou alergické na některou ze složek v Diovanu. Úplný seznam složek v Diovanu naleznete na konci tohoto letáku.
- mají cukrovku a také berou Aliskiren. Pokud si nejste jisti, promluvte si se svým poskytovatelem zdravotní péče.
Než vezmete Diovan, řekněte svému poskytovateli zdravotní péče o všech vašich zdravotních stavech, včetně, pokud jste:
- mít problémy se srdcem
- mít problémy s ledvinami
- jsou těhotné nebo plánují otěhotnět. Vidíte, jaké jsou nejdůležitější informace, které bych měl vědět o Diovanu?
- jsou kojení nebo plánují kojení. Není známo, zda Diovan přejde do mateřského mléka. Během léčby Diovan byste neměli kojit. Promluvte si se svým poskytovatelem zdravotní péče o nejlepším způsobu, jak nakrmit své dítě během léčby s Diovanem.
Řekněte svému poskytovateli zdravotní péče o všech lécích, které užíváte včetně předpisu a nadřízených vitamínů a bylinných doplňků. Diovan může ovlivnit způsob, jakým fungují ostatní léky.
Zejména řekněte svému poskytovateli zdravotní péče, pokud vezmete:
- jiné léky na vysoký krevní tlak nebo srdeční problém
- Vodové pilulky (také nazývané diuretika)
- Léky obsahující draslík doplňky draslíku nebo náhražky soli obsahující draslík. Váš poskytovatel zdravotní péče může pravidelně kontrolovat množství draslíku v krvi.
- Nesteroidní protizánětlivé léky (NSAID)
- Lithium . Your healthcare provider will check the amount of lithium in your blood regularly.
Znát léky, které užíváte. Udržujte seznam svých léčiv s sebou, abyste se ukázali svému poskytovateli zdravotní péče a lékárníci, když je předepsán nový lék. Než začnete užívat jakýkoli nový lék, promluvte si se svým poskytovatelem zdravotní péče nebo lékárníkem.
Jak mám vzít Diovana?
- Vezměte Diovan přesně tak, jak předepsal váš poskytovatel zdravotní péče.
- Pro léčbu vysokého krevního tlaku berte diovan 1krát každý den
- Pro děti: Váš lékárník bude smíchat Diovan jako kapalinové odpružení pro vaše dítě, pokud:
- Vaše dítě je ve věku 1 až 5 let nebo
- Vaše dítě je starší než 5 let a nemůže spolknout tablety nebo
- Pokud tablety nejsou k dispozici v předepsané síle potřebné pro vaše dítě
- Pokud vaše dítě přepne mezi užíváním tabletu a pozastavením, váš poskytovatel zdravotní péče upraví dávku podle potřeby.
- Po dobu 10 sekund protřepejte láhev odpružení, než nalijte dávku léku, aby vašemu dítěti dal.
- Pro dospělé se srdečním selháním nebo kteří měli infarkt, berou Diovan dvakrát každý den. Váš poskytovatel zdravotní péče vás může začít s nízkou dávkou Diovanu a může zvýšit dávku během vaší léčby.
- Diovan lze užívat s jídlem nebo bez něj.
- Pokud vám chybí dávka, vezměte si ji, jakmile si pamatujete. Pokud je blízko vaší další dávce, neberte zmeškanou dávku. Vezměte další dávku v pravidelném čase.
Pokud si vezmete příliš mnoho Diovan, zavolejte svému poskytovateli zdravotní péče nebo přejděte do nejbližší pohotovostní místnosti nemocnice.
Jaké jsou možné vedlejší účinky Diovanu?
- Diovan může způsobit vážné vedlejší účinky včetně: Viz, jaké jsou nejdůležitější informace, které bych měl vědět o Diovanu?
- Nízký krevní tlak (hypotenze). Nízký krevní tlak může dojít u Diovanu, zejména když jej poprvé začnete brát a může způsobit, že se cítíte smazeným. Cítíte se s největší pravděpodobností, že se stane, pokud:
- Vezměte pilulky na vodu
- jsou na nízkopojekové dietě
- Získejte léčbu dialýzy
- Nepijte dostatek tekutin
- jsou dehydratovány (snížené tělesné tekutiny) kvůli zvracení a průjmu
- Nadměrně se potíte
- mít problémy se srdcem
Lehněte si, pokud se cítíte závratě nebo slabý. Okamžitě zavolejte svému poskytovateli zdravotní péče.
- Problémy s ledvinami. Problémy s ledvinami se mohou zhoršit u lidí, kteří již mají onemocnění ledvin nebo srdeční problémy. Váš lékař může provést krevní testy, aby to zkontroloval.
- Zvýšený draslík v krvi. Někteří lidé mohou během léčby diovanem vyvinout zvýšený draslík v krvi. Váš lékař může provést krevní test, aby podle potřeby zkontroloval hladinu draslíku.
Mezi nejčastější vedlejší účinky Diovanu při léčbě lidí s vysokým krevním tlakem patří:
- bolest hlavy
- závrať
- Příznaky chřipky
- únava
- Bolest žaludku (břicha)
Nejběžnější vedlejší účinky Diovanu při používání k léčbě lidí se srdečním selháním zahrnují:
- závrať
- nízký krevní tlak
- průjem
- Bolest kloubů a zad
- únava
- vysoký krevní draslík
Nejběžnější vedlejší účinky Diovanu, když se používají k léčbě lidí po infarktu, který způsobí, že přestanou užívat Diovan, zahrnují:
- nízký krevní tlak
- kašel
- vysoký kreatinin krve (snížená funkce ledvin)
Neměli byste přestat brát Diovan, aniž byste mluvili s poskytovatelem zdravotní péče. Nejedná se o všechny možné vedlejší účinky Diovanu. Pro více informací se zeptejte svého poskytovatele zdravotní péče nebo lékárníka.
Zavolejte svého lékaře, kde najdete lékařskou radu ohledně vedlejších účinků. Můžete nahlásit vedlejší účinky FDA na 1-800-FDA-1088.
Jak mám ukládat Diovan?
- Ukládejte tablety Diovan při teplotě místnosti mezi 68 ° F až 77 ° F (20 ° C až 25 ° C).
- Udržujte kontejner Diovan tablety pevně zavřený a na suchém místě, abyste chránili před vlhkostí.
- Diovan Suspension je poskytován ve skleněné láhvi s uzavřením šroubovací kapitoly odolný vůči dítěti.
- Ukládejte lahve diovanového suspenze při teplotě místnosti menší než 86 ° C (30 ° C) po dobu až 30 dnů nebo chlazte mezi 35 ° F až 46 ° F (2 ° C až 8 ° C) po dobu až 75 dnů.
Udržujte Diovan a všechny léky mimo dosah dětí.
Obecné informace o bezpečném a efektivním používání Diovan.
Léky jsou někdy předepsány pro jiné účely než ty, které jsou uvedeny v letáku informací o pacientech. Nepoužívejte Diovan pro podmínku, pro kterou nebyl předepsán. Nedávejte Diovan jiným lidem, i když mají stejné příznaky, jaké máte. Může jim to poškodit.
Požádejte svého poskytovatele zdravotní péče nebo lékárníka o informace o Diovanu, který je napsán pro zdravotnické pracovníky.
Jaké jsou ingredience v Diovanu?
Aktivní složka: Valsartan
Neaktivní ingredience: Koloidní křemíkový oxid Crospovidon hydroxypropylmethylcelulózový oxidy železa (žlutá černá a/nebo červená) hořčík Stearát Mikrokrystalická celulóza Polyethylenglykol 8000 a oxid titanium oxid titanium
Tato informace o pacientech byla schválena revidovaným USA: duben 2021