Informace Na Stránce Nepředstavují Lékařskou Radu. Nic Neprodáváme. Přesnost Překladu Není Zaručena. Zřeknutí Se Odpovědnosti



Trintellix

Shrnutí drog

Co je Trintellix?

Tablety Trintellix (Vortioxetine) jsou antidepresivum indikováno pro léčbu hlavní depresivní poruchy (MDD).

Jaké jsou vedlejší účinky Trintellix?

Trintellix může způsobit vážné vedlejší účinky včetně:



  • míchání
  • neklid
  • zmatek
  • rychlá srdeční frekvence
  • vysoký krevní tlak
  • rozšířené žáky
  • Ztráta koordinace svalů
  • svalové škubání
  • Ztušení svalu (rigida)
  • těžké pocení
  • průjem
  • bolest hlavy
  • Chvění
  • husí rány
  • krvácení, které se nezastaví
  • manické chování
  • rozmazané vidění
  • halos kolem světla
  • Těžká bolest očí a hlavy
  • nevolnost
  • zvracení
  • náhlá ztráta zraku
  • zmatek a
  • únava

Získejte lékařskou pomoc okamžitě, pokud máte výše uvedené příznaky.



Mezi běžné vedlejší účinky Trintellix patří:

  • nevolnost
  • průjem
  • sucho v ústech
  • zácpa
  • zvracení
  • plyn
  • závrať
  • abnormální sny
  • svědění a
  • snížená sexuální touha

Antidepresiva, jako je Trintellix, zvýšilo riziko sebevražedných myšlenek a chování u dospívajících dětí a mladých dospělých v krátkodobých studiích. Řekněte svému lékaři, pokud zažijete nějaké myšlenky na sebevraždu při užívání Trintellixe.



Pokud máte následující vážné vedlejší účinky, vyhledejte lékařskou péči nebo zavolejte na číslo 911:

pilulka 3604 V na druhé straně
  • Vážné příznaky očí, jako je ztráta náhlého vidění rozmazané vidění vidění Vision Vision Eye Eye Eye Eye Eye Eye Eye Eye nebo vidět halos kolem světel;
  • Vážné příznaky srdce, jako je rychlé nepravidelné nebo bušení srdečního rytmu; třepování v hrudi; dušnost; a náhlé závratě lightheartiesness nebo omdlení;
  • Těžká zmatek bolesti hlavy zkroucený řečový rameno nebo slabost nohou Potíže se ztrátou chůze pocitu koordinace Pocit nestabilní velmi tuhé svaly vysoké horečky bohaté pocení nebo třes.

Tento dokument neobsahuje všechny možné vedlejší účinky a mohou dojít k jiným. Další informace o vedlejších účincích najdete u svého lékaře.

Dávkování pro Trintellix

Doporučená počáteční dávka Trintellix je 10 mg podávána orálně jednou denně bez ohledu na jídlo. Dávkování by pak mělo být zvýšeno na 20 mg/den, jak je tolerováno.

Jaké léky nebo doplňky interagují s Trintellixem?

Trintellix může interagovat s inhibitory monoamin oxidázy (MAOI) selektivní serotonin zpětný vychytávání Inhibitory (SSRIS) inhibitory zpětného vychytávání serotoninu serotoninu (SNRIS) Triptans Buspiron Tramadol Tryptofan Products NSAIDS aspirin warfarin bupropion fluoxetin paroxetin chinidin rifampicin karbamazepin a fenytoin. Řekněte svému lékaři všechny léky a doplňky, které používáte.

Trintellix během těhotenství a kojení

Během těhotenství by měl být Trintellix použit pouze v případě předepsání. Není známo, zda by to ovlivnilo plod. Není známo, zda Trintellix přejde do mateřského mléka. Kojení při používání Trintellix se nedoporučuje.

Další informace

Naše tablety Trintellix (Vortioxetine) Vedlejší účinky Drugové centrum poskytuje komplexní pohled na dostupné informace o drogách o možných vedlejších účincích při užívání tohoto léku.

Informace o drogách FDA

VAROVÁNÍ

Sebevražedné myšlenky a chování

Antidepresiva zvýšila riziko sebevražedných myšlenek a chování u adolescentů dětí a mladých dospělých v krátkodobých studiích. Tyto studie neprokázaly zvýšení rizika sebevražedných myšlenek a chování při použití antidepresiv u pacientů starších 24 let; U pacientů ve věku 65 let a starších byl trend směrem ke snížení rizika u pacientů ve věku 65 let [viz varování a OPATŘENÍ ].

U pacientů všech věkových skupin, kteří jsou zahájeni na antidepresivní terapii, pečlivě sledují zhoršení a pro vznik sebevražedných myšlenek a chování. Poraďte rodinám a pečovatelům potřeby pečlivého pozorování a komunikace s předepisujícím lékařem [viz varování a OPATŘENÍ ].

Trintellix nebyl vyhodnocen pro použití u dětských pacientů [viz Použití v konkrétních populacích ].

Popis pro Trintellix

Trintellix je tablet s okamžitým uvolňováním pro perorální podání, který obsahuje polymorf beta (p) vortioxetinu hydrobromidu (HBR) antidepresiva. Vortioxetin HBR je chemicky známý jako 1- [2- (24-dimethyl-fenylsulfanyl) -fenyl]-piperazin hydrobromid. Empirický vzorec je C 18 H 22 N 2 S HBR s molekulovou hmotností 379,36 g/mol. Strukturální vzorec je:

Vortioxetin HBR je bílý až velmi mírně béžový prášek, který je ve vodě mírně rozpustný.

Každý tablet Trintellix obsahuje 6,355 mg 12,71 mg nebo 25,42 mg vortioxetinu HBR ekvivalentu 5 mg 10 mg nebo 20 mg vortioxetinu. Mezi neaktivní složky v tabletách Trintellix patří mannitol mikrokrystalická celulóza hydroxypropylcelulóza sodný škrob glykolát magnezium stearátu a filmového povlaku, který se skládá z hypromelózy titaniového oxidu polyethylenglykolu 400 oxidu železa (červená oxid železa (10 mg).

Použití pro Trintellix

Trintellix je indikován pro léčbu hlavní depresivní poruchy (MDD) u dospělých.

Dávkování pro Trintellix

Doporučené dávkování

Doporučená počáteční dávka je 10 mg podávána orálně jednou denně bez ohledu na jídlo. Dávkování by pak mělo být zvýšeno na 20 mg/den, jak je tolerováno. Účinnost a bezpečnost dávek nad 20 mg/den nebyla hodnocena v kontrolovaných klinických studiích. U pacientů, kteří netolerují vyšší dávky [viz, lze zvážit dávku na 5 mg/den. Klinické studie ].

Před zahájením Trintellix obrazovka pro bipolární poruchu

Před zahájením léčby Trintellixem nebo jinými pacienty s antidepresivní obrazovkou pro osobní nebo rodinnou anamnézu bipolární poruchy mánie nebo hypomanie [viz VAROVÁNÍS AND OPATŘENÍ ].

Ukončení léčby

Ačkoli Trintellix může být náhle přerušen u placebem kontrolovaných studií Pacienti zažili přechodné nežádoucí účinky, jako je bolest hlavy a svalové napětí po prudkém přerušení Trintellix 15 mg/den nebo 20 mg/den. Doporučuje se, aby se dávka snížila na 10 mg/den po dobu jednoho týdne před úplným přerušením Trintellix 15 mg/den nebo 20 mg/den [viz viz VAROVÁNÍS AND OPATŘENÍ a Nežádoucí účinky ].

Přepínání pacienta na nebo z inhibitoru monoamin oxidázy (MAOI) určené k léčbě psychiatrických poruch

Mezi přerušením maoi musí uplynout nejméně 14 dní, které mělo léčit psychiatrické poruchy a zahájení terapie s Trintellixem, aby se zabránilo riziku syndromu serotoninu [viz viz VAROVÁNÍS AND OPATŘENÍ ]. Conversely at least 21 days must elapse after stopping Trintellix before starting an MAOI intended to treat psychiatric disorders [see Kontraindikace ].

Použití Trintellix ve známých chudých metabolizátorech CYP2D6 nebo u pacientů, kteří užívají silné inhibitory CYP2D6

Maximální doporučená dávka Trintellix je 10 mg/den ve známých špatných metabolizátorech CYP2D6. Snižte dávku Trintellix o polovinu, když pacienti dostávají současně silný inhibitor CYP2D6 (např. Bupropion fluoxetin nebo chinidin). Dávka by měla být zvýšena na původní úroveň, když je inhibitor CYP2D6 přerušen [viz Lékové interakce Použití v konkrétních populacích ].

Použití Trintellix u pacientů užívajících silné induktory CYP

Zvažte zvýšení dávky Trintellix, když se silný induktor CYP (např. Rifampin karbamazepin nebo fenytoin) podává po dobu delší než 14 dní. Maximální doporučená dávka by neměla překročit trojnásobek původní dávky. Dávka Trintellix by měla být snížena na původní úroveň do 14 dnů, kdy je induktor přerušen [viz Lékové interakce ].

Jak dodáno

Formy a silné stránky dávkování

Trintellix je k dispozici jako tablety potažené filmem s okamžitým uvolňováním v následujících silných stránkách:

  • 5 mg: Pink Almond ve tvaru biconvexové filmové tablety potažené tabletem s „5“ na jedné straně a na druhé straně “
  • 10 mg: Biconvexový filmový tablet z žlutého mandlového ve tvaru mandlí na jedné straně a na druhé straně „na druhé straně“
  • 20 mg: Trablet potaženého biconvexem ve tvaru red mandlí na jedné straně na jedné straně a na druhé straně na druhé straně „na druhé straně“

Skladování a manipulace

Trintellix Tablety jsou k dispozici následovně:

Funkce Silné stránky
5 mg 10 mg 20 mg
Barva růžový žluť červený
Odsuzování 5 Na jedné straně tabletu TL na druhé straně tabletu 10 Na jedné straně tabletu TL na druhé straně tabletu 20 Na jedné straně tabletu TL na druhé straně tabletu
Prezentace a kódy NDC
Lahve 30 64764-720-30 64764-730-30 64764-750-30
Lahve 90 64764-720-90 64764-730-90 64764-750-90
Lahve 500 64764-720-77 64764-730-77 64764-750-77

Skladovat při 77 ° F (25 ° C); Výlety povoleny na 59 ° F až 86 ° F (15 ° C až 30 ° C) [viz viz Teplota místnosti s kontrolou USP ].

Distribuováno a uváděno na trh: Takeda Pharmaceuticals America Inc. Lexington MA 02421.

Vedlejší účinky for Trintellix

Následující nežádoucí účinky jsou podrobněji diskutovány v jiných částech štítku.

  • Hypersenzitivita [viz Kontraindikace ]
  • Klinické zhoršení a sebevražedné riziko [viz VAROVÁNÍS AND OPATŘENÍ ]
  • Serotonův syndrom [viz VAROVÁNÍS AND OPATŘENÍ ]
  • Zvýšené riziko krvácení [viz VAROVÁNÍS AND OPATŘENÍ ]
  • Aktivace mánie/hypomanie [viz VAROVÁNÍS AND OPATŘENÍ ]
  • Syndrom přerušení [viz VAROVÁNÍS AND OPATŘENÍ ]
  • Uzavření úhlu glaukomu [viz VAROVÁNÍS AND OPATŘENÍ ]
  • Hyponatremie [viz VAROVÁNÍS AND OPATŘENÍ ]

Klinické studie Experience

Protože klinické studie se provádějí za velmi proměnlivých podmínek, nežádoucí rychlosti nežádoucí reakce pozorované v klinických studiích léčiva nelze přímo porovnat s mírami v klinických studiích jiného léčiva a nemusí odrážet míru pozorované v klinické praxi.

Expozice pacienta

Trintellix was evaluated for safety in 5852 patients (18 years to 88 years of age) diagnosed with MDD who participated in pre- a postmarketing clinical studies; 2616 of those patients were exposed to Trintellix in 6 to 8 week placebo-controlled studies at doses ranging from 5 mg to 20 mg once daily; 204 patients were exposed to Trintellix in a 24 to 64 week placebo-controlled maintenance study at doses of 5 mg to 10 mg once daily; a 429 patients were exposed to Trintellix in a 32 week placebo-controlled maintenance study in the U.S. at doses of 5 mg 10 mg a 20 mg once daily. Patients from the 6 to 8 week studies continued into 12-month open-label studies. A total of 2586 patients were exposed to at least one dose of Trintellix in open-label studies 1727 were exposed to Trintellix for 6 months a 885 were exposed for at least 1 year.

Nežádoucí účinky uváděné jako důvody pro přerušení léčby

Ve sdružených 6 až 8 týdnech placebem kontrolovaných studiích byl výskyt pacientů, kteří dostávali Trintellix 5 mg/den 10 mg/den 15 mg/den a 20 mg/den a ukončená léčba z důvodu nežádoucí reakce, 5% 6% 8% a 8% ve srovnání se 4% pacientů s placebem. Nevolnost byla nejběžnější nežádoucí reakcí uváděná jako důvod pro přerušení.

Běžné nežádoucí účinky ve studiích MDD s kontrolou placebem

Nejčastěji pozorované nežádoucí účinky u pacientů s MDD léčené Trintellix v 6 až 8 týdnů placebem kontrolovaných studiích (incidence ≥ 5% a alespoň dvojnásobná míra placeba) byla nevolnost a zvracení.

Tabulka 2 ukazuje výskyt běžných nežádoucích účinků, ke kterým došlo u ≥ 2% pacientů s MDD léčených jakoukoli dávkou Trintellix a nejméně 2% častěji než u pacientů s placebem u 6 až 8 týdnů placebem kontrolovaných studií.

Tabulka 2: Běžné nežádoucí účinky, které se vyskytují u ≥ 2% pacientů léčených jakoukoli dávkou Trintellix a nejméně o 2% vyšší než incidence u pacientů ošetřených placebem

Preferovaný termín třídy systémových orgánů Trintellix 5 mg/day
N = 1013 %
Trintellix 10 mg/day
N = 699 %
Trintellix 15 mg/day
N = 449
%
Trintellix 20 mg/day
N = 455 %
Placebo
N = 1621 %
Gastrointestinální poruchy
Nevolnost 21 26 32 32 9
Průjem 7 7 10 7 6
Sucho v ústech 7 7 6 8 6
Zácpa 3 5 6 6 3
Zvracení 3 5 6 6 1
Nadýmání 1 3 2 1 1
Poruchy nervového systému
Závrať 6 6 8 9 6
Psychiatrické poruchy
Abnormální sny <1 <1 2 3 1
Poruchy kůže a podkožní tkáně
Pruritus* 1 2 3 3 1
* Zahrnuje Pruritus zobecněný

Nevolnost

Nevolnost was the most common adverse reaction a its frequency was dose-related (Table 2). It was usually considečervený mild or moderate in intensity a the median duration was two weeks. Nevolnost was more common in females than males. Nevolnost most commonly occurčervený in the first week of Trintellix treatment with 15 to 20% of patients experiencing nevolnost after one to two days of treatment. Approximately 10% of patients taking Trintellix 10 mg/day to 20 mg/day had nevolnost at the end of the 6 to 8 week placebo-controlled studies.

Sexuální dysfunkce

Problémy se sexuální touhou sexuální výkon a sexuální spokojenost často vyskytují jako projevy psychiatrických poruch nebo komorbidních podmínek, ale mohou to být také důsledky farmakologické léčby včetně Trintellix. Kromě údajů ze studií MDD uvedených níže byl Trintellix prospektivně posouzen na jeho účinky u pacientů s MDD se stávajícím TESD vyvolaným předchozí léčbou SSRI a u zdravých dospělých s normální sexuální funkcí na začátku studie [viz viz Klinické studie ].

Dobrovolně hlášeny nežádoucí účinky sexuální dysfunkce

V MDD 6 až 8 týdnů byly kontrolované studie s Trintellix dobrovolně uváděny nežádoucí účinky související se sexuální dysfunkcí jako jednotlivé události. Tyto podmínky události byly agregovány a celkový výskyt byl následující. U mužských pacientů byl celkový incidence 3% 4% 4% 5% v Trintellix 5 mg/den 10 mg/den 15 mg/den 20 mg/den ve srovnání s 2% v placebu. U pacientů byl celkový výskyt <1% 1% <1% 2% in Trintellix 5 mg/day 10 mg/day 15 mg/day 20 mg/day respectively compačervený to <1% in placebo.

Nežádoucí účinky sexuální dysfunkce u pacientů s normálním sexuálním fungováním na počátku

Protože dobrovolně hlášené nepříznivé sexuální reakce jsou známo, že jsou částečně podřízeny, protože pacienti a lékaři se mohou zdráhat diskutovat o nich stupnici sexuálních zážitků v Arizoně (ASEX), bylo protektivně použity ověřené opatření určené k identifikaci sexuálních vedlejších účinků v sedmi placebech kontrolovaných studiích. ASEX stupnice obsahuje pět otázek, které se týkají následujících aspektů sexuální funkce: 1) sexuální touha 2) Snadnost vzrušení 3) Schopnost dosáhnout erekce (muži) nebo mazání (ženy) 4) Snadnoho dosažení orgasmu a 5) uspokojení orgasmu.

Přítomnost nebo nepřítomnost sexuální dysfunkce u pacientů vstupujících do klinických studií byla založena na jejich vlastním skóre ASEX. U pacientů bez sexuální dysfunkce na začátku (přibližně 1/3 populace napříč všemi léčenými skupinami v každé studii) tabulka 3 ukazuje výskyt pacientů, kteří se vyvinuli TESD, když byli léčeni Trintellix nebo placebem v jakékoli skupině pevné dávky. Lékaři by se měli rutinně ptát na možné sexuální vedlejší účinky.

Tabulka 3: ASEX Incidence léčby vznikající sexuální dysfunkce*

Trintellix 5 mg/day
N = 65: 67 †
Trintellix 10 mg/day
N = 94: 86 †
Trintellix 15 mg/day
N = 57: 67 †
Trintellix 20 mg/day
N = 67: 59 †
Placebo
N = 135: 162 †
Ženy 22% 23% 33% 34% 20%
Muži 16% 20% 19% 29% 14%
* Výskyt založený na počtu subjektů se sexuální dysfunkcí během studie/počtu subjektů bez sexuální dysfunkce na začátku. Sexuální dysfunkce byla definována jako subjekt, který během studie při dvou po sobě jdoucích návštěvách bodoval jakoukoli z následujících hodnot: 1) celkové skóre ≥19; 2) jakákoli jediná položka ≥5; 3) Tři nebo více položek se skóre ≥4
† Velikost vzorku pro každou skupinu dávky je počet pacientů (ženy: muži) bez sexuální dysfunkce na začátku studie

Nežádoucí účinky po náhlém přerušení léčby Trintellix

Příznaky přerušení byly prospektivně hodnoceny u pacientů užívajících Trintellix 10 mg/den 15 mg/den a 20 mg/den pomocí měřítka vyvolaných příznaků a symptomů (DESS) v klinických studiích. Někteří pacienti zažili příznaky přerušení, jako je nálada napětí bolesti hlavy, náhlé výbuchy závratě hněvu a rýma v prvním týdnu náhlého přerušení Trintellix 15 mg/den a 20 mg/den.

Laboratorní testy

Trintellix has not been associated with any clinically important changes in laboratory test parameters in serum chemistry (except sodium) hematology a urinalysis as measučervený in the 6 to 8 week placebo-controlled studies. Hyponatrémie has been reported with the treatment of Trintellix [see VAROVÁNÍS AND OPATŘENÍ ]. In the 6-month double-blind placebo-controlled phase of a long-term study in patients who had responded to Trintellix during the initial 12 week open-label phase there were no clinically important changes in lab test parameters between Trintellix a placebo-treated patients.

Hmotnost

Trintellix had no significant effect on body weight as measučervený by the mean change from baseline in the 6 to 8 week placebo-controlled studies. In the six month doubleblind placebo-controlled phase of a long-term study in patients who had responded to Trintellix during the initial 12-week open-label phase there was no significant effect on body weight between Trintellix a placebo-treated patients.

Vitální příznaky

Trintellix has not been associated with any clinically significant effects on vital signs including systolic a diastolic blood pressure a heart rate as measučervený in placebo-controlled studies.

Další nežádoucí účinky pozorované v klinických studiích

Následující seznam nezahrnuje reakce: 1) již uvedené v předchozích tabulkách nebo jinde při označování 2), pro které byla příčina léčiva vzdálená 3), které byly tak obecné, že byly neinformativní 4), které nebyly považovány za významné klinické důsledky nebo 5), které se vyskytovaly rychlostí rovnající se nebo méně placebo.

Poruchy ucha a labyrintu - závrať

Gastrointestinální poruchy - Dyspepsia

Poruchy nervového systému - Dysgeusia

Cévní poruchy - spláchnutí

Zážitek z postmarketingu

Během použití Trintellix byly identifikovány následující nežádoucí účinky. Protože tyto reakce jsou hlášeny dobrovolně z populace nejisté velikosti, není vždy možné spolehlivě odhadnout jejich frekvenci nebo vytvořit kauzální vztah k expozici léčiva.

Endokrinní poruchy - Hyperprolaktinémie

Gastrointestinální systém - Akutní pankreatitida

Poruchy imunitního systému - reakce přecitlivělosti (včetně anafylaxe a kopřivky)

Kolik amoxicilinu pro dospělého

Metabolické poruchy - přibývání na váze

Poruchy nervového systému - Bolest hlavy na záchvaty

Psychiatrické poruchy - Agresivní rozrušení hněv nepřátelství podrážděnost nepřátelství

Respirační hrudní a mediastinální poruchy - Hyposmie anosmie

Poruchy kůže a podkožní tkáně - vyrážka generalizovaná vyrážka hyperhidróza

Lékové interakce for Trintellix

Léky s klinicky důležitými interakcemi s Trintellixem

Tabulka 4: Klinicky důležité lékové interakce s Trintellixem

Inhibitory monoamin oxidázy (MAOI)
Klinický dopad Současné použití SSRI a SNRIS včetně Trintellix s MAOIS zvyšuje riziko serotoninového syndromu.
Zásah Současné použití Trintellix je kontraindikováno:
  • S maoi určeným k léčbě psychiatrických poruch nebo do 21 dnů od zastavení léčby s Trintellixem.
  • Do 14 dnů od zastavení maoi, který měl v úmyslu léčit psychiatrické poruchy.
  • U pacienta, který je léčen linezolidovou nebo intravenózní methylenovou modrou. [vidět Dávkování a podávání Kontraindikace VAROVÁNÍS AND OPATŘENÍ ].
Příklady selegilin tranylcypromin isokarboxazid fenelzin linezolid methylenová modrá
Další serotonergní léky
Klinický dopad Současné použití Trintellix s jinými serotonergními léky zvyšuje riziko serotoninového syndromu.
Zásah Monitorujte příznaky syndromu serotoninu, když se Trintellix používá souběžně s jinými léky, které mohou ovlivnit serotonergní neurotransmiterové systémy. Pokud dojde ke serotoninovému syndromu, zvažte přerušení Trintellix a/nebo souběžné serotonergní léky [viz viz VAROVÁNÍS AND OPATŘENÍ ].
Příklady Další Snris Ssris Triptans Tricyklické antidepresivy opioidy lithium Buspiron Amfetamins Tryptophan a St. John's Wort
Silné inhibitory CYP2D6
Klinický dopad Současné použití Trintellix se silnými inhibitory CYP2D6 zvyšuje plazmatické koncentrace vortioxetinu.
Zásah Snižte dávku Trintellix o polovinu, když je silný inhibitor CYP2D6 podváděn [viz Dávkování a podávání ].
Příklady bupropion fluoxetin paroxetin chinidin
Silné induktory CYP
Klinický dopad Současné použití Trintellix se silným induktorem CYP snižuje plazmatické koncentrace vortioxetinu.
Zásah Zvažte zvýšení dávky Trintellix, když je společně podáván silný induktor CYP. Maximální dávka se nedoporučuje překročit trojnásobek původní dávky [viz Dávkování a podávání ].
Příklady rifampin karbamazepin fenytoin
Léky, které narušují hemostázu (látky a antikoagulanty)
Klinický dopad Současné použití Trintellix s antiaagulačním léčivem nebo antikoagulačním léčivem může potenciální riziko krvácení.
Zásah Informujte pacienty o zvýšeném riziku krvácení spojeného se souběžným používáním Trintellix a antiaagulantů a antikoagulantů. U pacientů užívajících warfarin pečlivě sleduje mezinárodní normalizovaný poměr [viz VAROVÁNÍS AND OPATŘENÍ ) Lékové interakce ].
Příklady aspirin clopidogrel heparin warfarin
Léčiva vysoce vázaná na plazmatický protein
Klinický dopad Trintellix is highly bound to plasma protein. The concomitant use of Trintellix with another drug that is highly bound to plasma protein may increase free concentrations of Trintellix or other tightly-bound drugs in plasma.
Zásah Monitorujte nežádoucí účinky a snižte dávkování Trintellix nebo jiných léků vázaných na proteiny, jak je to zaručeno [viz Lékové interakce ].
Příklady Warfarin

Vliv Trintellix na jiné drogy

Ostatní aktivní agenti CNS

Na expozici lithia v ustáleném stavu nebyl pozorován žádný klinicky relevantní účinek po souběžné podávání s více denními dávkami Trintellix. Více dávek Trintellix neovlivnilo farmakokinetiku nebo farmakodynamiku (kompozitní kognitivní skóre) diazepamu [viz viz Klinická farmakologie ].

Klinická studie ukázala, že Trintellix (jediná dávka 20 nebo 40 mg) nezvýšila zhoršení mentálních a motorických dovedností způsobených alkoholem (jediná dávka 0,6 g/kg) [Viz Klinická farmakologie ].

Drogy, které zasahují do hemostázy

Po souběžném podávání stabilních dávek warfarinu (1 až 10 mg/den) s více denními dávkami Trintellix nebyly pozorovány žádné významné účinky v INR protrombinových hodnotách nebo celkové farmakokinetice vázané na protein plus volný lék) pro R- i S-warfarín. Společná podávání aspirinu 150 mg/den s více denními dávkami Trintellix nemělo významný inhibiční účinek na agregaci destiček nebo farmakokinetiku aspirinu a kyseliny salicylové [viz viz Klinická farmakologie ]. Patients receiving other drugs that interfere with hemostasis should be carefully monitočervený when Trintellix is initiated or discontinued [see VAROVÁNÍS AND OPATŘENÍ Lékové interakce ].

Léky vázané na vysoce proteiny

V klinické studii s souběžnou podáváním Trintellix (10 mg/den) a warfarinu (1 mg/den až 10 mg/den) vysoce proteinový lék nebyl pozorován žádná významná změna v INR [viz viz [viz Lékové interakce Klinická farmakologie ].

Rušení imunotestujících močí enzymu pro metadon

U pacientů, kteří užívali vortioxetin, byly hlášeny falešně pozitivní výsledky v imunotestů moči enzymu pro metadon. Aby se potvrdila pozitivní výsledky obrazovky metadonového moči moči, měla by být zvážena alternativní analytická technika (např. Chromatografické metody).

Varování pro Trintellix

Zahrnuto jako součást OPATŘENÍ sekce.

Opatření pro Trintellix

Sebevražedné myšlenky a chování u dospívajících a mladých dospělých

Ve sdružených analýzách placebem kontrolovaných studií antidepresiv (SSRI a dalších tříd antidepresiv), které zahrnovaly přibližně 77 000 dospělých pacientů a 4500 pediatrických pacientů, výskyt sebevražedných myšlenek a chování u antidepresivních pacientů věk 24 let byl vyšší než mladší. Mezi drogami došlo k značnému rozdílu v riziku sebevražedných myšlenek a chování, ale u většiny studovaných léčiv bylo zjištěno zvýšené riziko u mladých pacientů. Byly rozdíly v absolutním riziku sebevražedných myšlenek a chování v různých indikacích s nejvyšším výskytem u pacientů s MDD. V tabulce 1 jsou uvedeny rozdíly v oblasti drog-placebo v počtu případů sebevražedných myšlenek a chování na 1000 pacientů.

Tabulka 1: Rizikové rozdíly počtu pacientů sebevražedných myšlenek a chování ve sdružených placebech kontrolovaných studiích antidepresiv u pediatrických a dospělých pacientů

Věkové rozmezí Rozdíl s drogami v počtu pacientů s sebevražednými myšlenkami a chováním na 1000 léčených pacientů
Zvyšuje se ve srovnání s placebem
<18 years old 14 dalších pacientů
18-24 let 5 dalších pacientů
Snižuje se ve srovnání s placebem
25-64 let 1 Méně pacienta
≥ 65 let 6 méně pacientů

Trintellix is not approved for use in pediatric patients.

Není známo, zda riziko sebevražedných myšlenek a chování u dospívajících a mladých dospělých sahá na dlouhodobější používání, tj. Po čtyřech měsících. Z pokusů o údržbu placebem však u dospělých s MDD však existují značné důkazy, že použití antidepresivums Může zpozdit opakování deprese a samotná deprese je rizikovým faktorem sebevražedných myšlenek a chování.

Monitorujte všechny pacienty ošetřené antidepresivem pro všechny schválené populace pro klinické zhoršení a vznik sebevražedných myšlenek a chování, zejména během počátečních několika měsíců lékové terapie a v době změn dávkování. Poraďte členy rodiny nebo pečovatelé pacientů, aby sledovali změny v chování a upozornili poskytovatele zdravotní péče. Zvažte změnu terapeutického režimu, včetně možného přerušení Trintellix u pacientů, jejichž deprese je trvale horší nebo která zažívá vznikající sebevražedné myšlenky a chování.

Serotonův syndrom

Serotonergní antidepresiva včetně Trintellix může vysrážit serotoninový syndrom potenciálně život ohrožující stav. Riziko se zvyšuje s doprovodným užíváním jiných serotonergních léků (včetně tricyklických antidepresiv Triptans fentanyl lithium tramadol tryptofan mesperidin metadon buspiron amfetaminy a amfetaminy sv. Jana a wort) a wort) a wort) a viz i.e. maois [viz [i.e. Kontraindikace Lékové interakce ]. Serotonin syndrome can also occur when these drugs are used alone.

Příznaky a symptomy serotoninu a symptomy mohou zahrnovat změny duševního stavu (např. Agitační halucinace delirium a kóma) Autonomická nestabilita (např. Tachykardie Labilní krevní tlak závratě Shmennost s hypertermií hypertermií) neuromuskulární symptomy (např. RIGISTITITY Hyperreflexie Incoordination) a na nanueusea Symptomy) (E.G. na nanuausea symptomy) (E.G. na nanuausea symptomy) (e -g. průjem).

Současné použití Trintellix s Maois je kontraindikováno. Kromě toho nezaházejte Trintellix u pacienta léčeného maois, jako je linezolidová nebo intravenózní methylenová modrá. Žádné zprávy nezahrnovaly podávání methylenové modré na jiných trasách (jako jsou perorální tablety nebo injekce místní tkáně). Pokud je nutné zahájit léčbu maoi, jako je linezolid nebo intravenózní methylenová modrá u pacienta, který Trintellix přestává Trintellix, před zahájením léčby maoi [viz viz Kontraindikace Lékové interakce ].

Monitorujte všechny pacienty užívající Trintellix pro vznik syndromu serotoninu. Pokud dojde k výše uvedeným příznakům a zahájí podpůrnou symptomatickou léčbu, okamžitě přerušit léčbu Trintellixem a jakýmikoli souběžnými serotonergními látkami. Je -li souběžné použití Trintellix s jinými serotonergními léky klinicky zaručeno, informujte pacienty o zvýšeném riziku syndromu serotoninu a monitorují příznaky.

Zvýšené riziko krvácení

Užívání drog, které narušují serotonin zpětný vychytávání Inhibice včetně Trintellix může zvýšit riziko krvácení. K tomuto riziku může přispět doprovodné použití nesteroidních protizánětlivých léčiv aspirinu nesteroidní protizánětlivé léky (NSAID) a dalších antikoagulancií. Případové zprávy a epidemiologické studie (návrh kontroly a kohorty) prokázaly souvislost mezi užíváním léčiv, které narušují zpětné vychytávání serotoninu a výskytem gastrointestinálního krvácení. Krvácející události související s léky, které inhibují zpětné vychytávání serotoninu, se pohybovaly od ekchymózy hematom epistaxe a Petechiae na život ohrožující krvácení.

Informujte pacienty o zvýšeném riziku krvácení, když je Trintellix spojen s aspirinem NSAID nebo jinými léky, které ovlivňují koagulaci nebo krvácení. U pacientů užívajících warfarin pečlivě sleduje koagulační indexy při zahájení titrace nebo přerušení Trintellix [viz viz Lékové interakce ].

Aktivace mánie/hypomanie

U pacientů s bipolární porucha Léčba depresivní epizody s Trintellixem nebo jiným antidepresivem může vyvolat smíšenou/manickou epizodu. Příznaky mánie/hypomanie byly hlášeny v <0.1% of patients treated with Trintellix in premarketing clinical studies. Prior to initiating treatment with Trintellix screen patients for any personal or family history of bipolární porucha mania or Hypomanie.

Syndrom přerušení

Nežádoucí účinky byly hlášeny při náhlém přerušení léčby Trintellixem v dávkách 15 mg/den a 20 mg/den [viz viz Nežádoucí účinky ]. A gradual červenýuction in dosage rather than abrupt cessation is recommended whenever possible [see Dávkování a podávání ].

Nežádoucí účinky po přerušení serotonergních antidepresiv, zejména po prudkém přerušení, zahrnují: nevolnost pocení dysforická nálada podrážděnost rozrušení závratě smyslové poruchy (např. Parestezie, jako je elektrická šokovat pocity) Tremor úzkost Zmatek bolest hlavy letargie Emocionální labilita Insomnia Hypomanie Tinnitus a záchvaty.

Uzavření úhlu glaukomu

Pupilární dilatace, ke které dochází po použití mnoha antidepresivních léků, včetně Trintellix, může vyvolat útok na uzavření úhlu u pacienta s anatomicky úzkými úhly, který nemá patentovou iridektomii.

Hyponatrémie

Hyponatrémie has occurčervený as a result of treatment with serotonergic drugs including Trintellix. In many cases hyponatremia appears to be the result of the syndrome of inappropriate antidiuretic hormone secretion (SIADH). One case with serum sodium lower than 110 mmol/L was reported in a subject treated with Trintellix in a premarketing clinical study. Elderly patients may be at greater risk of developing hyponatremia with a serotonergic antidepresivum. Also patients taking Diuretika or who are otherwise volume-depleted can be at greater risk. Discontinuation of Trintellix in patients with symptomatic hyponatremia a appropriate medical intervention should be instituted. Signs a symptoms of hyponatremia include bolest hlavy potíže se soustředění memory impairment zmatek weakness a unsteadiness which can lead to falls. More severe a/or acute cases have included halucinace Sykopová záchvaty respirační zatčení a smrt.

Sexuální dysfunkce

Použití serotonergních antidepresiv včetně Trintellix může způsobit příznaky sexuální dysfunkce [Viz Nežádoucí účinky ]. In male patients serotonergic antidepresivum use may result in ejaculatory delay or failure decreased libido a erectile dysfunction. In female patients use may result in decreased libido a delayed or absent orplynm.

Pro předepisovatele je důležité se zeptat na sexuální funkci před zahájením Trintellixe a konkrétně se zeptat na změny sexuální funkce během léčby, protože sexuální funkce nemusí být spontánně hlášena. Při hodnocení změn v sexuální funkci získání podrobné historie (včetně načasování nástupu symptomů) je důležité, protože sexuální příznaky mohou mít jiné příčiny, včetně základní psychiatrické poruchy. Diskutujte o potenciálních strategiích řízení na podporu pacientů při rozhodování o informovaných rozhodnutích o léčbě.

Informace o poradenství pro pacienta

Doporučujte pacientovi, aby si přečetl značení pacienta schváleného FDA ( Průvodce léky ).

Sebevražedné myšlenky a chování

Poraďte pacientům a pečovatelům, aby hledali vznik sebevražedných myšlenek a chování, zejména brzy během léčby a když je dávka upravena nahoru nebo dolů a dává je nařídit, aby takové příznaky nahlásily poskytovateli zdravotní péče [viz viz Varování v krabici VAROVÁNÍS AND OPATŘENÍ ].

Současné léky

Poraďte pacientům, aby informovali svého poskytovatele zdravotní péče, zda berou nebo plánují užívat jakékoli léky na předpis nebo volně prodejné léky kvůli potenciálu pro interakce. Poskytněte pacientům, aby nebrali Trintellix s maoi nebo do 14 dnů od zastavení maoi a povolili 21 dní po zastavení Trintellixu před zahájením maoi [viz viz Dávkování a podávání Kontraindikace VAROVÁNÍS AND OPATŘENÍ Lékové interakce ].

Serotonův syndrom

Caution patients about the risk of serotonin syndrome particularly with the concomitant use of TRINTELLIX and triptans tricyclic antidepressants opioids lithium tryptophan supplements busipirone and St. John’s Wort and with drugs that impair metabolism of serotonin (in particular MAOIs both those intended to treat psychiatric disorders and also others such as linezolid) [see VAROVÁNÍS AND OPATŘENÍ Lékové interakce ]. Instruct patients to contact their health care provider or report to the emergency room if they experience signs or symptoms of serotonin syndrome.

Zvýšené riziko krvácení

Informujte pacienty o souběžném použití Trintellix s NSAIDS aspirin warfarin nebo jinými léky, které ovlivňují koagulaci, protože kombinované použití bylo spojeno se zvýšeným rizikem krvácení. Poraďte pacientům, aby informovali svého poskytovatele zdravotní péče, pokud berou nebo plánují užívat jakékoli léky na předpis nebo volně prodejné léky, které zvyšují riziko krvácení [viz viz VAROVÁNÍS AND OPATŘENÍ ].

Aktivace mánie/hypomanie

Poraďte pacientům a jejich pečovatelům, aby hledali známky aktivace mánie/hypomanie [viz VAROVÁNÍS AND OPATŘENÍ ].

Přerušení léčby

Doporučujte pacientům, aby náhle nepřestali brát Trintellix, aniž by nejprve mluvili se svým poskytovatelem zdravotní péče. Pacienti by si měli být vědomi toho, že při zastavení Trintellix může dojít k účinkům na přerušení a měly by sledovat příznaky přerušení [viz VAROVÁNÍS AND OPATŘENÍ a Nežádoucí účinky ].

Uzavření úhlu glaukomu

Pacienti by měli být informováni, že užívání Trintellix může způsobit mírnou dilataci pupilárního glaukom . Preewististing glaukom je téměř vždy otevřený glaukom, protože glaukom uzavření úhlu může být při diagnostice definitivně léčen iridektomií. Glaukom s otevřeným úhlem není rizikovým faktorem pro glaukom uzavření úhlu. Pacienti mohou být chtít být prozkoumáni, aby určili, zda jsou náchylní k uzavření úhlu a mají profylaktický postup (např. Iridektomie), pokud jsou náchylní [viz viz VAROVÁNÍS AND OPATŘENÍ ].

Hyponatrémie

Radí pacientům, že pokud jsou léčeni diuretiky nebo jsou jinak vyčerpány nebo jsou starší, mohou být vystaveni většímu riziku rozvoje hyponatrémie při užívání Trintellix [viz viz VAROVÁNÍS AND OPATŘENÍ ].

Sexuální dysfunkce

Poraďte se s pacienty, že použití Trintellix může způsobit příznaky sexuální dysfunkce u pacientů s muži i ženami. Informujte pacienty, že by měli diskutovat o jakýchkoli změnách v sexuálních funkcích a potenciálních strategiích řízení se svým poskytovatelem zdravotní péče [Viz VAROVÁNÍS AND OPATŘENÍ ].

Nevolnost

Poraďte pacientům, že nevolnost je jednou z nejčastějších nežádoucích účinků a souvisí s dávkou. Nevolnost se obvykle vyskytuje během prvního týdne léčby, pak se snižuje frekvence, ale může přetrvávat u některých pacientů [viz [viz Nežádoucí účinky ].

Alergické reakce

Doporučujte pacientům, aby informovali svého poskytovatele zdravotní péče, pokud si vyvinou alergickou reakci, jako je otoky vyrážka nebo potíže s dýcháním.

Těhotenství

Poraďte se těhotné ženě nebo ženě, která plánuje otěhotnět, že Trintellix může způsobit abstinenční příznaky u novorozence nebo přetrvávající plicní hypertenze novorozence (PPHN) [Viz Použití v konkrétních populacích ]. Advise the patients that there is a pregnancy exposure registry that monitors pregnancy outcomes in women exposed to Trintellix during pregnancy [see Použití v konkrétních populacích ].

Neklinická toxikologie

Zhodnocení mutageneze karcinogeneze plodnosti

Karcinogeneze

Byly provedeny studie karcinogenity, při nichž byly myši CD-1 a WISTAR potkanů ​​podávány perorální dávky vortioxetinu až do 50 a 100 mg/kg/den u mužů a ženských myší a 40 a 80 mg/kg/den u mužů a ženských potkanů ​​po dobu dvou let. Dávky u obou druhů byly přibližně 12 24 20 a 39krát, respektive maximální doporučená lidská dávka (MRHD) 20 mg na základě mg/m².

U potkanů ​​byl výskyt benigních polypoidních adenomů rektumu statisticky významně zvýšen u žen v dávkách 39krát MRHD, ale ne 15násobek MRHD. Ty byly považovány za související se zánětem a hyperplázií a pravděpodobně způsobenou interakcí se složkou vehikulu formulace použité pro studii. K zjištění nedošlo u samců potkanů ​​ve 20násobku MRHD.

U myší nebyl vortioxetin karcinogenní u mužů nebo žen v dávkách až 12 a 24krát MRHD.

Mutagenita

Vortioxetin nebyl genotoxický v testu in vitro bakteriální reverzní mutace (AMES test) in vitro chromozomové aberační test v kultivovaných lidských lymfocytech a in vivo potkaní kostní dřeně mikronukleus mikronukleus.

Poškození plodnosti

Léčba potkanů ​​vortioxetinem v dávkách až do 120 mg/kg/den neměla žádný účinek na plodnost mužů nebo žen, což je 58násobek maximální doporučené dávky člověka (MRHD) 20 mg na mg/m².

Použití v konkrétních populacích

Těhotenství

Těhotenství Exposure Registry

Existuje registr expozice těhotenství, který monitoruje výsledky těhotenství u žen vystavených antidepresivům během těhotenství. Poskytovatelé zdravotní péče se vyzývají, aby pacienty registrovali voláním do národního registru těhotenství pro antidepresiva na čísle 1-844-405-6185 nebo navštěvovali online na adrese https://womensmentalhealth.org/clinical-and-researchprograms/pregnancyregistry/antidepressants/.

Shrnutí rizika

Na základě údajů z publikovaných observačních studií expozice SSRIS nebo SNRIS, zejména v měsíci před tím, než bylo doručení spojeno s méně než dvojnásobným zvýšením rizika krvácení po porodu [viz viz VAROVÁNÍS AND OPATŘENÍ a Klinické úvahy ].

Existují omezené lidské údaje o použití Trintellix během těhotenství k informování o jakýchkoli rizicích s drogami. Existují však klinické úvahy týkající se novorozenců vystavených SSRIS a SNRIS, včetně Trintellix během třetího trimestru těhotenství [Viz Klinické úvahy ]. Vortioxetine administečervený to pregnant rats a rabbits during the period of organogenesis at doses ≥15 times a 10 times the maximum recommended human dose (MRHD) respectively resulted in decreased fetal body weight a delayed ossification. No malformations were seen at doses up to 77 times a 58 times the MRHD respectively. Vortioxetine administečervený to pregnant rats during gestation a lactation at oral doses ≥20 times the MRHD resulted in a decrease in the number of live-born pups a an increase in early postnatal pup mortality. Decreased pup weight at birth to weaning occurčervený at 58 times the MRHD a delayed physical development occurčervený at ≥20 times the MRHD. These effects were not seen at 5 times the MRHD [see Data]. Advise a pregnant woman of the potential risk to a fetus.

Odhadované riziko na pozadí hlavních vrozených vad a potratu pro uvedenou populaci není známo. Všechna těhotenství mají riziko na pozadí vrozená vada ztráta nebo jiné nepříznivé výsledky. V americké obecné populaci je odhadované riziko na pozadí hlavních vrozených vad a potratu u klinicky uznávaných těhotenství 2-4% a 15–20%.

Klinické úvahy

Mateřské a/nebo embryo/fetální riziko spojené s nemocí

Prospektivní longitudinální studie následovala 201 těhotných žen s anamnézou velké depresivní poruchy, které byly euthymické a na začátku těhotenství užívaly antidepresiva. Ženy, které během těhotenství ukončily antidepresiva, častěji zažily relaps hlavní deprese než ženy, které pokračovaly v antidepresivách. Zvažte rizika neošetřené deprese při přerušení nebo změně léčby antidepresivními léky během těhotenství a po porodu.

Fetální/novorozenecké nežádoucí účinky

Expozice serotonergním antidepresivům včetně Trintellix v pozdním těhotenství může vést ke zvýšenému riziku novorozeneckých komplikací vyžadujících prodlouženou hospitalizaci respirační podpory a krmení trubicí a/nebo přetrvávající plicní hypertenzi novorozence (PPHN). Monitorujte novorozence, kteří byli vystaveni Trintellix ve třetím trimestru těhotenství pro syndrom PPHN a přerušení léčiva [viz Data ].

Nežádoucí účinky matky

Použití Trintellix v měsíci před doručením může být spojeno se zvýšeným rizikem krvácení po porodu [viz VAROVÁNÍS AND OPATŘENÍ ].

Data

Lidská data

Expozice třetího trimestru

Novorozenci vystaveni SSRI nebo SNRIS pozdě ve třetím trimestru vyvinuli komplikace vyžadující prodlouženou hospitalizaci respirační podpory a krmení trubic. Tato zjištění jsou založena na ponorkových zprávách. Takové komplikace mohou nastat ihned po dodání. Hlášené klinické nálezy zahrnovaly respirační tísně apnoe záchvaty Apnoe Teplota Nestabilita Nestabilita krmení Potíže zvracení Hypoglykémie Hypotonia hypertonia hyperreflexie Tremor chvění podrážděnost a konstantní pláč. Tyto rysy jsou v souladu s přímým toxickým účinkem SSRIS a SNRIS nebo možná syndromem přerušení léčiva. V některých případech byl klinický obraz v souladu se syndromem serotoninu [viz VAROVÁNÍS AND OPATŘENÍ ].

Expozice během pozdního těhotenství SSRI může mít zvýšené riziko přetrvávající plicní hypertenze novorozence (PPHN). PPHN se vyskytuje u jednoho až dvou na 1000 živě narozených v běžné populaci a je spojena s podstatnou novorozeneckou morbiditou a úmrtností. V retrospektivní studii případové kontroly s 377 žen, jejichž kojenci se narodili s PPHN, a 836 žen, jejichž kojenci se narodili zdravě, bylo riziko vývoje PPHN přibližně o šestkrát vyšší u kojenců vystavených SSRI po 20. týdnu těhotenství ve srovnání s kojenci, které nebyly vystaveny antidepresisům během těhotenství. A study of 831324 infants born in Sweden in 1997 - 2005 found a PPHN risk ratio of 2.4 (95% CI 1.2-4.3) associated with patient-reported maternal use of SSRIs in early pregnancy and a PPHN risk ratio of 3.6 (95% CI 1.2- 8.3) associated with a combination of patient-reported maternal use of SSRIs in early pregnancy and an antenatal Předpis SSRI v pozdějším těhotenství.

Údaje o zvířatech

U těhotných potkanů ​​a králíků nebyly pozorovány žádné malformace, když byl vortioxetin podáván během období organogeneze v perorálních dávkách až do 160 a 60 mg/kg/den. Tyto dávky jsou 77 a 58krát vyšší než maximální doporučená dávka člověka (MRHD) 20 mg na základě mg/m² u potkanů ​​a králíků. Vývojové zpoždění považované za sníženou tělesnou hmotnost plodu a zpožděné osifikace došlo u potkanů ​​a králíků v dávkách rovných a větší než 30 a 10 mg/kg (15 a 10krát vyšší než MRHD) v přítomnosti mateřské toxicity (snížená spotřeba potravin a snížená přírůstek tělesné hmotnosti). Když byl vortioxetin podáván těhotným potkanům v perorálních dávkách 40 a 120 mg/kg (20 a 58krát MRHD) během těhotenství a laktace byl snížen počet živých štěňat a byla zvýšena časná postnatální úmrtnost na štěně. Kromě toho se hmotnosti štěňat při narození při narození při narození při 120 mg/kg snížila a vývoj (konkrétně otevírání očí) byl mírně zpožděn při 40 a 120 mg/kg. Tyto účinky nebyly pozorovány při 10 mg/kg (5násobek MRHD).

Laktace

Shrnutí rizika

Neexistují žádné informace týkající se přítomnosti vortioxetinu v lidském mléce Účinky na kojené dítě nebo účinky na produkci mléka. Vortioxetin je přítomen v mléce potkana [viz Data ]. The developmental a health benefits of breastfeeding should be considečervený along with the mother's clinical need for Trintellix a any potential adverse effects on the breastfed child from Trintellix or from the underlying maternal condition.

Data

Údaje o zvířatech

Správa [ 14 C]-Vortioxetin na kojící krysy při perorální dávce 20krát vyšší doporučené dávky lidské (MRHD) 20 mg na základě mg/m² vedl k materiálu souvisejícím s lékem při sekreci mléka. Poměr mléka k plazmě u kojených potkanů ​​byl 1 1,2 0,5 a 0,5 při 2 6 24 a 72 hodinách po dávce.

Dětské použití

Bezpečnost a účinnost Trintellix nebyla u pediatrických pacientů stanovena pro léčbu MDD.

Účinnost nebyla stanovena v 8týdenní randomizované dvojitě zaslepené placebocontrolled Active-referenční studii u 615 pediatrických pacientů 12 až 17 let s MDD. Koncovým bodem primární účinnosti byla změna z dvojitě zaslepené základní linie na 8. týden na verzi deprese s hodnocením deprese. Účinek léčby vortioxetinem se významně nelišil od placeba (placebem podávaný rozdíl 0,21 (95% CI: -2,41 2,82; p = 0,88). V této věkové skupině byly nežádoucí účinky na Trintellix obecně podobné těm, které byly uvedeny u dospělých.

Antidepresiva, jako je Trintellix, zvyšují riziko sebevražedných myšlenek a chování u pediatrických pacientů [viz Varování v krabici a VAROVÁNÍS AND OPATŘENÍ ].

Údaje o toxicitě zvířat pro mladistvé

Podávání vortioxetinu pro juvenilní potkany (perorální dávky 10 20 a 40 mg/kg/den dvakrát denně od postnatálního dne 21 až 91) vedlo k neurobehaviorálnímu účinku při nejvyšší dávce 40 mg/kg dvakrát denně (zvýšená špičková sluchová amplituda). Účinek nebyl pozorován na konci období zotavení. Když byla zvířata spářena po 4týdenní periodě zotavení životaschopnost u potomků párovaných párů ošetřených 40 mg/kg dvakrát denně. Dávka nesledovaná nepříznivý účinek byla 20 mg/kg dvakrát denně na základě neurobehaviorálních i reprodukčních účinků. Tato dávka byla spojena s expozicí vortioxetinu v plazmě (AUC) přibližně 2krát vyšší než u pediatrických pacientů.

Geriatrické použití

Na základě věku se nedoporučuje žádné nastavení dávky (obrázek 1). Výsledky farmakokinetické studie s jednou dávkou u starších osob (> 65 let) vs. mladých (ve věku 24 až 45 let) prokázaly, že farmakokinetika byla mezi oběma věkovými skupinami obecně podobná.

Z 2616 subjektů v klinických studiích Trintellix 11% (286) bylo 65 a více, které zahrnovaly subjekty z placebem kontrolované studie konkrétně u starších pacientů [viz viz Klinické studie ]. No overall differences in safety or effectiveness were observed between these subjects a younger subjects a other reported clinical experience has not identified differences in responses between the elderly a younger patients.

Serotonergní antidepresiva byla spojena s případy klinicky významné hyponatrémie u starších pacientů, kteří mohou být pro tuto nežádoucí událost vystaveni většímu riziku [viz [viz VAROVÁNÍS AND OPATŘENÍ ].

Špatné metabolizátory CYP2D6

U pacientů, o nichž je známo, že jsou to špatné metabolizátory CYP2D6, je doporučena redukce dávkování, protože tito pacienti mají vyšší koncentrace vortioxetinu než rozsáhlé metabolizátory CYP2D6 [viz viz Dávkování a podávání a Klinická farmakologie ].

Informace o předávkování Trintellix

Lidská zkušenost

Existuje omezená zkušenost s klinickým hodnocením týkající se lidského předávkování s Trintellixem. V premarketingových klinických studiích byly případy předávkování omezeny na pacienty, kteří náhodou nebo úmyslně spotřebovali až do maximální dávky 40 mg Trintellix. Maximální testovaná dávka byla 75 mg u mužů. Požití Trintellix v rozmezí dávky 40 až 75 mg bylo spojeno se zvýšenou rychlostí nevolnosti závratě průjem břišního nepohodlí zobecněné somnolence a propláchnutí.

Zprávy o předávkování Trintellixem se objevily poštovní zprávy. Nejčastěji hlášené příznaky s předávkováním až 80 mg (čtyřikrát vyšší maximální doporučená denní dávka) byla nevolnost a zvracení. S předávkováním větší než 80 mg a případu serotoninového syndromu v kombinaci s jiným serotonergním léčivem a záchvaty byly hlášeny.

Řízení předávkování

Nejsou známy žádné specifické antidoty pro Trintellix. Při řízení předávkování zvažte možnost zapojení více drog. V případě střediska řízení jedu o předávkování na 1-800-222-1222 pro nejnovější doporučení.

Kontraindikace pro Trintellix

  • Hypersenzitivita na vortioxetin nebo jakoukoli složku formulace. U pacientů léčených Trintellixem byly hlášeny hypersenzitivní reakce včetně anafylaxe angioedému a kopřivky [viz viz Nežádoucí účinky ].
  • Použití MAOI určené k léčbě psychiatrických poruch s Trintellix nebo do 21 dnů od zastavení léčby Trintellix je kontraindikováno kvůli zvýšenému riziku syndromu serotoninu. Použití Trintellix do 14 dnů od zastavení maoi určené k léčbě psychiatrických poruch je také kontraindikováno [Viz Dávkování a podávání VAROVÁNÍS AND OPATŘENÍ ].

Zahájení Trintellix u pacienta, který je léčen maois, jako je linezolid nebo intravenózní methylenová modrá, je také kontraindikována kvůli zvýšenému riziku syndromu serotoninu [viz viz VAROVÁNÍS AND OPATŘENÍ ].

Klinická farmakologie for Trintellix

Mechanismus působení

Mechanismus antidepresivního účinku vortioxetinu není plně objasněn, ale předpokládá se, že souvisí se zvýšením serotonergní aktivity v CNS inhibicí zpětného vychytávání serotoninu (5-HT). Má také několik dalších aktivit včetně 5-HT3 receptorového antagonismu a 5-HT1A receptorového agonismu. Příspěvek těchto činností k antidepresivnímu účinku vortioxetinu nebyl stanoven.

Farmakodynamika

Vortioxetin se váže s vysokou afinitou k transportéru lidského serotoninu (KI = 1,6 nm), ale ne k norepinefrinu (ki = 113 nm) nebo dopamin (KI> 1000 nm) Transportéry. Vortioxetin silně a selektivně inhibuje zpětné vychytávání serotoninu (IC50 = 5,4 nm). Vortioxetine binds to 5-HT3 (Ki=3.7 nM) 5-HT1A (Ki=15 nM) 5-HT7 (Ki=19 nM) 5- HT1D (Ki=54 nM) and 5-HT1B (Ki=33 nM) receptors and is a 5-HT3 5-HT1D and 5- HT7 receptor antagonist 5-HT1B receptor partial agonist and Agonista receptoru 5-HT1A.

U lidí průměrná obsazenost 5-HT transportéru na základě výsledků ze dvou klinických studií PET s použitím 5-HTT ligandů ([ 11 C] -Madam nebo [ 11 C] -DASB) byl přibližně 50% při 5 mg/den 65% při 10 mg/den a přibližně 80% při 20 mg/den v oblasti zajímavých oblastí.

Účinek na srdeční repolarizaci

Účinek vortioxetinu 10 mg a 40 mg podávaných jednou denně na QTC interval byl vyhodnocen u randomizované dvojitě slepé placebo a aktivní kontrolované (moxifloxacin 400 mg) paralelní studie se čtyřmi léčbami u 340 mužských subjektů. Ve studii byla horní hranice jednostranného 95% intervalu spolehlivosti pro QTC pod 10 ms prahem pro regulační zájem. Orální dávka 40 mg je dostatečná k posouzení účinku metabolické inhibice.

Vliv na výkon jízdy

V klinické studii u zdravých subjektů Trintellix nenarušil výkon hnacího řízení nebo měl nepříznivé psychomotorické nebo kognitivní účinky po jednotlivých a více dávkách 10 mg/den.

Farmakokinetika

Vortioxetinová farmakologická aktivita je způsobena mateřským lékem. Farmakokinetika vortioxetinu (NULL,5 mg až 60 mg) je lineární a úměrná dávky, pokud se vortioxetin podává jednou denně. Průměrný terminální poločas je přibližně 66 hodin a koncentrace v ustáleném stavu se obvykle dosahují do dvou týdnů po dávkování.

Vstřebávání

Maximální koncentrace vortioxetinu v plazmě (CMAX) po dávkování je dosaženo do 7 až 11 hodin podolózy (TMAX). Průměrné hodnoty CMAX v ustáleném stavu byly 9 18 a 33 ng/ml po dávkách 5 10 a 20 mg/den. Absolutní biologická dostupnost je 75%.

Účinek jídla

Nebyl pozorován žádný účinek potravy na farmakokinetiku.

Rozdělení

Zjevný objem distribuce vortioxetinu je přibližně 2600 l, což ukazuje na rozsáhlou extravaskulární distribuci. Vazba vortioxetinu u lidí u lidí je 98% nezávislá na plazmatických koncentracích. Není pozorován žádný zjevný rozdíl ve vazbě na proteinu v plazmě mezi zdravými subjekty a subjekty s jaterními (mírnými středně těžkými nebo těžkými) nebo ledvinovými (mírnými mírnými sníženými poruchami ESRD).

Odstranění

Metabolismus

Vortioxetin je rozsáhle metabolizován primárně oxidací prostřednictvím cytochromu p450 izozymů CYP2D6 CYP3A4/5 CYP2C19 CYP2C9 CYP2A6 CYP2C8 a CYP2B6 a CYPONSKÉHO KINGUGACE GLUCURONOVÉ KYSELY. CYP2D6 je primární enzym katalyzující metabolismus vortioxetinu na jeho hlavní farmakologicky neaktivní metabolit kyseliny karboxylové a špatné metabolizátory CYP2D6 má přibližně dvojnásobek vortioxetinové plazmy koncentrace rozsáhlých metabolizátorů [viz viz [viz [viz [viz [viz [viz Dávkování a podávání ].

Vylučování

Po jedné perorální dávce [ 14 C]-jmenovaný vortioxetin přibližně 59% a 26% podávané radioaktivity bylo získáno v moči a stolicích jako metabolity. Zanedbatelné množství nezměněného vortioxetinu bylo vylučováno v moči až 48 hodin. Přítomnost jater (mírný mírný nebo těžký) nebo poškození ledvin (mírný mírný těžký a ESRD) neovlivnil zjevnou vůli vortioxetinu.

Konkrétní populace

Nebyly pozorovány žádné klinicky významné rozdíly v expozicích vortioxetinu na základě funkce ledviny pohlaví nebo jaterní etnicity.

Účinky vnitřních faktorů pacienta na farmakokinetiku vortioxetinu jsou uvedeny na obrázku 1.

Obrázek 1: Dopad vnitřních faktorů na vortioxetin PK

Studie interakce léčiva

Klinické studie

Další léky na Trintellix

Účinky jiných léků na expozici vortioxetinu jsou shrnuty na obrázku 2.

Obrázek 2: Dopad jiných léků na vortioxetin PK

Trintellix On Other Drugs

Účinky vortioxetinu na expozice jiných léčiv jsou shrnuty na obrázku 3.

Obrázek 3: Dopad vortioxetinu na PK jiných léků

In vitro

Vortioxetin a jeho metabolit (y) pravděpodobně nebudou inhibovat následující enzymy CYP a transportér na základě dat in vitro: CYP1A2 CYP2A6 CYP2C8 CYP2C9 CYP2C19 CYP2D6 CYP2E1 CYP3A4/5 P-GP BCEP BSE1 OAT1 OAT1 Oat1 OAT1 OAT1 OT1 OAT1 OT1 OT1 OT1 OT19 OT19 OatP19 Oat. OATP1B3 OCT1 a OCT2. Jako takové by se neočekávaly žádné klinicky relevantní interakce s léky metabolizovanými/transportovanými těmito enzymy nebo transportéry CYP.

Vortioxetin navíc neindukoval CYP1A2 CYP2A6 CYP2B6 CYP2C8 CYP2C9 CYP2C19 a CYP3A4/5 ve studii in vitro v kultivovaných lidských hepatocytech. Je nepravděpodobné, že by chronické podávání Trintellix vyvolalo metabolismus léčiv metabolizovaných těmito izoformami CYP. Kromě toho v řadě studií klinické interakce léčiva Kodministrace Trintellix se substráty pro CYP2B6 (např. Bupropion) CYP2C9 (např. Warfarin) a CYP2C19 (např. Diazepam) na farmakokinetiku těchto substrátů.

Ranexa 500 mg tablety rozšířené uvolnění

Klinické studie

Účinnost Trintellix při léčbě MDD byla stanovena v šesti 6 až 8 týdnů randomizované dvojitě slepé placebem kontrolované studie s pevnou dávkou (včetně jedné studie u starších osob) a jednu studii údržby u dospělých pacientů a ambulantních pacientů, kteří splnili kritéria MDD.

Dospělí (ve věku 18 let do 75 let)

Účinnost Trintellix u pacientů ve věku 18 až 75 let byla prokázána u pěti 6 až 8 týdnů placebem kontrolovaných studií (studie 1 až 5 v tabulce 5). V těchto studiích byli pacienti randomizováni na Trintellix 5 mg 10 mg 15 mg nebo 20 mg nebo placeba jednou denně. U pacientů, kteří byli randomizováni do Trintellix 15 mg/den nebo 20 mg/den, byly konečné dávky titrovány z 10 mg/den po prvním týdnu.

Primárními měřeními účinnosti bylo celkové skóre Hamilton Depression Scale (HAMD-24) ve studii 2 a celkové skóre hodnocení deprese Montgomery-Asberg ve všech ostatních studiích. V každé z těchto studií byla alespoň jedna skupina dávky Trintellix lepší než placebo při zlepšování depresivních symptomů, měřeno průměrnou změnou z výchozí hodnoty na koncovou návštěvu při měření primární účinnosti (viz tabulka 5). Analýza podskupiny podle věku pohlaví nebo rasy nenavrhovala žádný jasný důkaz diferenciální citlivosti. Dvě studie dávky 5 mg v USA (nejsou zastoupeny v tabulce 5) neprokázaly účinnost.

Starší studium (ve věku 64 let do 88 let)

Účinnost Trintellix pro léčbu MDD byla také prokázána v randomizované dvojitě slepé placebem kontrolované studii fixní dávky Trintellix u starších pacientů (ve věku 64 let až 88 let) s MDD (studie 6 v tabulce 5). Pacienti splňující diagnostická kritéria pro opakující se MDD s nejméně jednou předchozí hlavní depresivní epizodou před věkem 60 let a bez komorbidního kognitivního poškození (skóre pro zkoumání mini duševního stavu <24) received Trintellix 5 mg or placebo.

Tabulka 5: Výsledky primární účinnosti 6 týdnů až 8 týdnů klinických hodnocení

Studie č. [Primární opatření] Léčena skupina Počet pacientů Průměrné základní skóre
(SD)
LS průměrná změna od základní linie
(SE)
Placebo-subtracted Difference†
(95% tam)
Studie 1 Trintellix
(5 mg/den) ‡
108 34.1
(2.6)
-20.4
(1.0)
-5.9
(-8,6 -3,2)
[Madrs] Non-US Trintellix
(10 mg/den) ‡
100 34.0
(2.8)
-20.2
(1.0)
-5.7
(-8,5 -2,9)
Studie Placebo 105 33.9
(2.7)
-14.5
(1.0)
-
Studie 2 Trintellix
(5 mg/den)
139 32.2
(5.0)
-15.4
(NULL,7)
-4.1
(-6.2 -2.1)
[HAMD-24] Non-US Trintellix
(10 mg/den) ‡
139 33.1
(4.8)
-16.2
(NULL,8)
-4.9
(-7,0 -2,9)
Studie Placebo 139 32.7
(4.4)
-11.3
(NULL,7)
-
Studie 3 Trintellix
(15 mg/den) ‡
149 31.8
(3.4)
-17.2
(NULL,8)
-5.5
(-7,7 -3,4)
[Madrs] Non-US Trintellix
(20 mg/den) ‡
151 31.2
(3.4)
-18.8
(NULL,8)
-7.1
(-9,2 -5,0)
Studie Placebo 158 31.5
(3.6)
-11.7
(NULL,8)
-
Studie 4 Trintellix
(15 mg/den)
145 31.9
(4.1)
-14.3
(NULL,9)
-1.5
(-3,9 0,9)
[Madrs] US Studie Trintellix
(20 mg/den) ‡
147 32.0
(4.4)
-15.6
(NULL,9)
-2.8
(-5,1 -0,4)
Placebo 153 31.5
(4.2)
-12.8
(NULL,8)
-
Studie 5 Trintellix
(10 mg/den)
154 32.2
(4.5)
-13.0
(NULL,8)
-2.2
(-4,5 0,1)
[Madrs] Trintellix
(20 mg/den) ‡
148 32.5
(4.3)
-14.4
(NULL,9)
-3.6
(-5,9 -1.4)
Americká studie Placebo 155 32.0
(4.0)
-10.8
(NULL,8)
-
Studie 6
Starší) [Hamd-24]
Trintellix
(5 mg/den) ‡
155 29.2
(5.0)
-13.7
(NULL,7)
-3.3
(-5,3 -1.3)
Nás a ne-USA Placebo 145 29.4
(5.1)
-10.3
(NULL,8)
--
SD: Standardní odchylka; SE: Standardní chyba; LS průměr: nejmenší čtverce znamená; CI: Neopravený interval spolehlivosti.

(Drug Minus Placebo) V nejmenším čtvercích průměrně změna oproti základní linii.
„Dávky, které jsou statisticky významně lepší než placebo po úpravě pro mnohonásobnost.

Trintellix was superior to placebo on the Clinical Global Impression of Improvement (CGI-I) scale which is a clinician’s impression of how much the patient's clinical condition has improved or worsened relative to baseline on a scale of 1 (very much improved) to 7 (very much worse).

Časový průběh léčebné reakce

V 6 až 8 týdnech placebem kontrolovaných studiích byl účinek Trintellix založený na primárním měřítku účinnosti obecně pozorován počínaje týdnem 2 a v následujících týdnech se zvýšil s plným antidepresivním účinkem Trintellix obecně až do studie 4. týdne nebo později. Obrázek 4 zobrazuje časový průběh reakce v USA na základě primárního měřítka účinnosti (MADR) ve studii 5.

Obrázek 4: Změna z výchozího hodnoty v Madrs celkové skóre studií (týden) ve studii 5

Obrázek 5: Rozdíl od placeba v průměrné změně od výchozí hodnoty v Madrs celkové skóre v 6. nebo 8. týdnu

Test substituce nahrazení číslic u hlavní depresivní poruchy

Byly provedeny dva osmi týdny randomizované dvojitě zaslepené placebem kontrolované studie, aby se vyhodnotil účinek Trintellix na test substituční symbol (DSST) během léčby akutního MDD. DSST je neuropsychologický test, který nejvíce měří rychlost zpracování aspekt kognitivní funkce, která může být na MDD narušena. Pacienti jsou požadováni, aby odpovídali devíti symbolům s jejich odpovídajícím číslem (1 až 9) podle klíče; Skóre je správný počet zápasů dosažených za 90 sekund. Pro odkaz je průměrné skóre pro zdravé 45 až 54leté subjekty 50 (SD = 15).

Studie 7 raomized adult patients meeting the diagnostic criteria for recurrent MDD to receive Trintellix 10 mg Trintellix 20 mg or placebo once daily. Studie 8 raomized adult patients meeting the diagnostic criteria for recurrent MDD a reporting subjective potíže se soustředění or slow thinking to receive a flexible dose of Trintellix (10 or 20 mg) or placebo once daily. Neither study included patients whose MDD was in remission yet who continued to experience potíže se soustředění or slow thinking. Patients’ mean age was 46 (SD=12) a 45 (SD=12) in Studie 7 a 8 respectively. In both studies patients in the Trintellix group had a statistically significantly greater improvement in number of correct responses on the DSST (Table 6); depressed mood as assessed by change from baseline in MADRS total score also improved in both studies.

Tabulka 6: Účinek Trintellix na test substituce číslic (DSST)

Studie No. Léčena skupina Počet pacientů Průměrné základní skóre
(SD)
LS průměrná změna od základní linie
(SE)
Placebo-subtracted Difference§
(95% tam)
Studie 7 Trintellix
(10 mg/den) ‡
193 42.0
(12.6)
9.0
(NULL,6)
4.2
(2.5 5.9)
Trintellix
(20 mg/den) ‡
204 41.6
(12.7)
9.1
(NULL,6)
4.3
(2.6 5.9)
Placebo 194 42.4
(13.8)
4.8
(NULL,6)
-
Studie 8 Trintellix
(10/20 mg/den) ‡
175 42.1
(11.9)
4.6
(NULL,5)
1.8
(NULL,3 3.2)
Placebo 167 43.0
(12.3)
2.9
(NULL,5)
-
SD: Standardní odchylka; SE: Standardní chyba; LS průměr: nejmenší čtverce znamená; CI: Neopravený interval spolehlivosti.
§Rozdíl
(Drug Minus Placebo) V nejmenším čtvercích průměrně změna oproti základní linii.
‡ Dávky jsou statisticky výrazně lepší než placebo.

Účinky pozorované na DSST mohou odrážet zlepšení deprese. Srovnávací studie nebyly provedeny za účelem prokázání terapeutické výhody oproti jiným antidepresivům na DSST.

Studie údržby

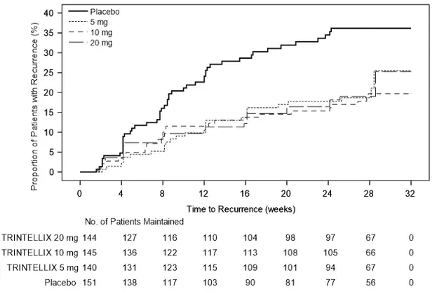
Ve studii údržby mimo USA (studie 9 na obrázku 6) 639 pacientů s kritériích DSM-IV-TR pro MDD dostávalo flexibilní dávky Trintellix (5 mg nebo 10 mg) jednou denně během počáteční 12týdenní fáze léčby otevřené značky; Dávka Trintellix byla fixována během týdnů 8 až 12. Tři sta devadesát šesti (396) pacientů, kteří byli v remisi (celkové skóre MADRS ≤ 10 v týdnu 10 a 12) po otevřené léčbě bylo náhodně přiděleno k pokračování pevné dávky Trintellix v konečné dávce v konečné dávce, na které reagovali asi 75% pacientů na 64 týdnů pro 60 týdnů pro 24 týdnů pro 24 týdnů pro 24 týdnů pro 24 týdnů pro 24 týdnů. Přibližně 61% randomizovaných pacientů splňovalo kritérium remise (celkové skóre MADRS ≤ 10) po dobu nejméně čtyř týdnů (od 8. týdne) a 15% po dobu nejméně osmi týdnů (od 4. týdne). Pacienti na Trintellix zažili statisticky výrazně delší dobu, aby se opakovali depresivní epizody než pacienti na placebu. Recidiva depresivní epizody byla definována jako celkové skóre MADRS ≥ 22 nebo nedostatek účinnosti, jak je posuzován vyšetřovatelem.

Obrázek 6: Kaplan-Meier odhady podílu pacientů s recidivou (studie 9)

Ve studii údržby založené na USA (studie 10 na obrázku 7) 1106 pacientů, kteří splňovali DSMIV-TR kritéria pro MDD, byla léčena pevnou dávkou Trintellix 10 mg jednou denně během počáteční 16týdenní fáze léčby otevřené značky. Pět set osmdesát (580) pacientů, kteří byli v remisi (celkové skóre MADRS ≤12 v obou týdnech 14 a 16) po léčbě s otevřenou značkou bylo randomizováno v poměru 1: 1: 1: 1 k Trintellix 5 mg/den 10 mg/den 20 mg/den denně po dobu 32 týdnů. Definice recidivy depresivních epizod byla stejná jako pro studii 9. U všech tří dávek Trintellix hodnocených pacientů léčených Trintellix zažilo statisticky významně delší dobu na recidivu depresivních epizod než u pacientů léčených placebem.

Obrázek 7: Kaplan-Meier odhady podílu pacientů s recidivou (studie 10)

Prospektivní hodnocení léčby vznikající sexuální dysfunkce (TESD)

Byly provedeny dvě randomizované dvojitě zaslepené aktivní kontrolované studie, aby se prospektivně porovnávaly výskyt TESD mezi Trintellixem a SSRIS prostřednictvím ověřeného sebehodnocovaného měřítka sexuální funkce Změny v krátké formě sexuálního fungování (CSFQ-14). CSFQ-14 je navržen tak, aby měřil změny v sexuálním fungování souvisejících s léky a léky, které se skládají ze 14 položek, které měří sexuální fungování jako celkové skóre. CSFQ-14 se skládá z dílčích stupnic, které hodnotí tři fáze cyklu sexuální reakce (touha vzrušení a orgasmus). Vyšší skóre na CSFQ-14 naznačují větší sexuální funkci a pro odkaz je změna bodu 2-3 považována za klinicky smysluplnou.

Vliv přepínání z SSRI na Trintellix na TESD

Účinek Trintellix na TESD vyvolaný předchozí léčbou SSRI u pacientů s MDD, jejichž depresivní příznaky byly adekvátně léčeny, byl hodnocen v osmitýdenní randomizované dvojitě zaslepené aktivní kontrolované (escitalopram) flexibilní dávkové studii (studie 11). Pacienti užívající citalopram sertralin nebo paroxetin po dobu nejméně osmi týdnů trvání a kteří zažívali sexuální dysfunkci přisuzovanou jejich léčbě SSRI, byli přepnut na Trintellix (n = 217) nebo escitalopram (n = 207). Pro pacienti s Trintellix i escitalopram byli zahájeni na 10 mg na 20 mg v 1. týdnu a následovali flexibilní dávkování. Většina subjektů dostala během studie 20 mg dávku Trintellix (NULL,6%) nebo 20 mg dávky escitalopram (NULL,9%).

Zlepšení TESD vyvolané předchozí léčbou SSRI u subjektů přepnuto na Trintellix bylo lepší než zlepšení pozorované u subjektů, kteří přešli na escitalopram (NULL,2 bodové zlepšení vs. escitalopram o změně z výchozí hodnoty v celkovém skóre CSFQ-14, s 95% důvěrou intervalu, což je předchozí předběžnou reagourkou, což je předchozí předběžnou reagování. Změna z výchozí hodnoty v CSFQ-14 viz obrázek 8.

Obrázek 8: Změna z výchozí hodnoty v celkovém skóre CSFQ-14 pomocí návštěvy studie (týden) ve studii 11

Účinky zdravých dobrovolníků s normálním sexuálním fungováním na začátku

In a randomized Healthy Volunteer study (Study 12) with 348 subjects aged 18 years to 40 years with normal sexual functioning without the confounding effect of depression TESD with TRINTELLIX 10 mg (n=85) but not with TRINTELLIX 20 mg (n=91) was statistically significantly less than with paroxetine 20 mg (n=83) [see Nežádoucí účinky ]. Paroxetine 20 mg was statistically significantly worse than placebo (n=89) confirming assay sensitivity in this study. For change from Baseline in CSFQ-14 see Figure 9.

Obrázek 9: Změna ze základní linie v celkovém skóre CSFQ-14 pomocí návštěvy studie (týden) u zdravých dobrovolníků (studie 12)

Informace o pacientovi pro Trintellix

Trintellix
(Trintell-ix)
(Vortioxetin) tablety

Jaké jsou nejdůležitější informace, které bych měl vědět o Trintellix?

Trintellix can cause serious side effects including:

  • Zvýšené riziko sebevražedných myšlenek a akcí. Trintellix a other antidepresivum medicines may increase suicidal thoughts a actions in some people 24 years of age a younger especially within the first few months of treatment or when the dose is changed. Trintellix is not for use in children.
    • Deprese nebo jiné duševní choroby jsou nejdůležitějšími příčinami sebevražedných myšlenek nebo akcí.

Jak mohu sledovat a pokusit se zabránit sebevražedným myšlenkám a činům?

  • Věnujte velkou pozornost jakýmkoli změnám, zejména náhlým změnám v myšlenkách nebo pocitech chování nálady. To je velmi důležité, když je spuštěn antidepresivní lék nebo při změně dávky.
  • Okamžitě zavolejte svého poskytovatele zdravotní péče a nahlásí nové nebo náhlé změny v myšlenkách nebo pocitech chování nálady nebo pokud rozvíjíte sebevražedné myšlenky nebo činy.
  • Udržujte všechny následné návštěvy u svého poskytovatele zdravotní péče podle plánu. Zavolejte svému poskytovateli zdravotní péče mezi návštěvami podle potřeby, zejména pokud máte obavy z příznaků.

Zavolejte svému poskytovateli zdravotní péče nebo okamžitě získejte nouzovou pomoc, pokud máte některý z následujících příznaků, zejména pokud jsou nové horší nebo se obávejte:

  • Pokusy o spáchání sebevraždy
  • působí na nebezpečné impulsy
  • herectví agresivní nebo násilné
  • myšlenky na sebevraždu nebo umírání
  • Nová nebo horší deprese
  • nové nebo horší útoky úzkosti nebo paniky
  • Cítíte rozrušené neklidné rozzlobené nebo podrážděné
  • potíže se spánkem
  • zvýšení aktivity nebo mluvení více než to, co je pro vás normální
  • další neobvyklé změny v chování nebo náladě

Co je Trintellix?

Trintellix is a prescription medicine used in adults to treat a certain type of depression called Major Depressive Disorder (MDD).

Neberte si Trintellix, pokud:

  • jsou alergické na vortioxetin nebo některá ze složek v Trintellix. Úplný seznam přísad v Trintellix naleznete na konci této medikační příručky
  • Vezměte inhibitor monoamin oxidázy (MAOI)
  • přestali brát maoi za posledních 14 dní
  • se léčí antibiotikum linezolidová nebo intravenózní methylenová modrá

Zeptejte se svého poskytovatele zdravotní péče nebo lékárníka, pokud si nejste jisti, zda si užíváte maoi nebo jeden z těchto léčivých přípravků, včetně linezolidové nebo intravenózní methylenové modré antibiotiky.

Nezačínejte Trintellix, pokud jste za posledních 14 dní přestali brát Maoi.

Nezačínejte maoi po dobu nejméně 21 dnů po zastavení léčby Trintellixem.

Než vezmete Trintellix, řekněte svému poskytovateli zdravotní péče o všech vašich zdravotních stavech, včetně, pokud:

  • mít nebo mít záchvaty nebo křeče
  • mít nebo mít problémy s krvácením
  • mít nebo mít rodinnou anamnézu bipolární poruchy mánie nebo hypomanie
  • mít vysoký tlak v oku (glaukom)
  • mít v krvi nízké hladiny sodíku
  • jsou těhotné nebo plánují otěhotnět. Trintellix může poškodit vaše nenarozené dítě. Užívání Trintellix během třetího trimestru těhotenství může způsobit, že vaše dítě po narození má abstinenční příznaky nebo může způsobit, že vaše dítě bude při narození zvýšené riziko vážného problému s plicemi. Promluvte si se svým poskytovatelem zdravotní péče o rizicích pro vás a vaše nenarozené nebo novorozené dítě, pokud si během těhotenství vezmete Trintellix.
    • Okamžitě řekněte svému poskytovateli zdravotní péče, pokud otěhotníte nebo si myslíte, že jste během léčby s Trintellixem těhotná.
    • Existuje registr těhotenství pro ženy, které jsou během těhotenství vystaveny Trintellixu. Účelem registru je shromažďovat informace o zdraví žen vystavených Trintellixovi a jejich dítěti. Pokud během léčby s Trintellixem otěhotníte, promluvte si se svým poskytovatelem zdravotní péče o registraci v Národním registru těhotenství pro antidepresiva na čísle 1-844-405-6185 nebo navštivte online na adrese https://womensmentalhealth.org/clinical and-research-programs/pregnancyregistry/.
  • jsou kojení nebo plánují kojení. Není známo, zda Trintellix prochází do mateřského mléka. Promluvte si se svým poskytovatelem zdravotní péče o nejlepším způsobu, jak nakrmit své dítě během léčby Trintellixem.

Řekněte svému poskytovateli zdravotní péče o všech lécích, které užíváte včetně předpisu a volně prodejných léků vitamínů a bylinných doplňků.

Trintellix a some other medicines may affect each other causing possible serious side effects. Trintellix may affect the way other medicines work a other medicines may affect the way Trintellix works.

Zejména řekněte svému poskytovateli zdravotní péče, pokud vezmete:

  • léky používané k léčbě migréna volal triptans
  • Tricyklická antidepresiva
  • lithium
  • tramadol fentanyl meperidin metadon nebo jiné opioidy
  • Tryptofan
  • Buspiron
  • Wort sv. Jana
  • Léky, které mohou ovlivnit srážení krve, jako je aspirin Nesteroidální protizánětlivá léčiva (NSAID) Warfarin
  • Diuretika

Zeptejte se svého poskytovatele zdravotní péče, zda si nejste jisti, zda užíváte některý z těchto léků. Váš poskytovatel zdravotní péče vám může říct, zda je bezpečné užívat Trintellix s vašimi dalšími léky.

Během léčby s Trintellix nezačněte ani nezastavujte žádné jiné léky, aniž byste nejprve mluvili s poskytovatelem zdravotní péče. Zastavení Trintellix najednou může způsobit, že máte vážné vedlejší účinky. Vidět „Co jsou to možné vedlejší účinky Trintellixe?“

Znát léky, které užíváte. Když získáte nový lék, ponechte si jejich seznam, který vám ukáže svému poskytovateli zdravotní péče a lékárníkům.

Jak mám vzít Trintellix?

  • Vezměte si Trintellix přesně tak, jak vám říká váš poskytovatel zdravotní péče, abyste to vzali. Váš poskytovatel zdravotní péče možná bude muset změnit dávku Trintellix, dokud nebude pro vás správnou dávkou.
  • Vezměte Trintellix 1 čas každý den.
  • Trintellix may be taken with or without food.
  • Pokud si vezmete příliš mnoho Trintellix, zavolejte svému středisku Poison Control Center na čísle 1-800-222-1222 nebo hned jděte do nejbližší pohotovostní místnosti nemocnice.

Jaké jsou možné vedlejší účinky Trintellix?

Trintellix may cause serious side effects including:

  • Vidět „Co je to nejdůležitější informace, které bych měl vědět o Trintellix?“
  • Serotonův syndrom. Potenciálně život ohrožující problém zvaný serotoninový syndrom může nastat, když si vezmete Trintellix s některými dalšími léky. Viz „Kdo by neměl brát Trintellix?“ Zavolejte svému poskytovateli zdravotní péče nebo hned jděte do nejbližší pohotovostní pohotovostní místnosti Pokud máte některý z následujících příznaků a příznaků syndromu serotoninu:
    • míchání
    • pocení
    • vidět nebo slyšet věci, které nejsou skutečné (halucinace)
    • spláchnutí
    • zmatek
    • vysoká tělesná teplota (hypertermie)
    • kóma
    • třes (třes) tuhé svaly nebo svalové škubnutí
    • Rychlý rytmus srdce
    • ztráta koordinace
    • Změny krevního tlaku
    • záchvaty
    • závrať
    • nevolnost zvracení průjem
  • Zvýšené riziko krvácení. K tomuto riziku může přinést Trintellix s nesteroidními protizánětlivými léky (NSAID) warfarin nebo ředidla krve. Okamžitě řekněte svému poskytovateli zdravotní péče o jakémkoli neobvyklém krvácení nebo modřinách.
  • Manické epizody. Manické epizody se mohou vyskytnout u lidí s bipolární poruchou, kteří berou Trintellix. Příznaky mohou zahrnovat:
    • značně zvýšená energie
    • Těžké problémy spánku
    • závodní myšlenky
    • bezohledné chování
    • neobvykle velké nápady
    • Nadměrné štěstí nebo podrážděnost
    • mluvit více nebo rychleji než obvykle
  • Syndrom přerušení. Najednou zastavení Trintellix může způsobit, že máte vážné vedlejší účinky. Váš poskytovatel zdravotní péče možná bude chtít pomalu snížit vaši dávku. Příznaky mohou zahrnovat:
    • nevolnost
    • Pocit elektrického šoku (parestézie)
    • únava
    • pocení
    • tremor
    • Problémy spánku
    • Změny vaší nálady
    • úzkost
    • Hypomanie
    • podrážděnost a agitace
    • zmatek
    • vyzvánění v uších (tinnitus)
    • závrať
    • bolest hlavy
    • záchvaty
  • Problémy očí (glaukom úhlu). Trintellix may cause a type of eye problem called Glaukom úhlu u lidí s určitými jinými očními podmínkami. Možná budete chtít podstoupit vyšetření očí, abyste zjistili, zda jste v ohrožení, a pokud jste, dostanete preventivní léčbu. Pokud máte změny bolesti očí ve své vidění nebo otoku nebo zarudnutí v očích nebo kolem něj, zavolejte svému poskytovateli zdravotní péče.
  • Nízké hladiny sodíku v krvi (hyponatrémie). Nízké hladiny sodíku v krvi, které mohou být vážné a mohou způsobit smrt, může dojít během léčby Trintellixem. Starší lidé a lidé, kteří užívají určité léky, mohou být vystaveni většímu riziku rozvoje nízké hladiny sodíku ve vaší krvi. Příznaky a příznaky mohou zahrnovat:
    • bolest hlavy
    • potíže se soustředění
    • změny paměti
    • zmatek
    • slabost a nestabilita na nohou, která může vést k pádům

U závažnějších nebo více náhlých případů Mezi příznaky a příznaky patří:

    • vidět nebo slyšet věci, které nejsou skutečné (halucinace)
    • mdloby
    • záchvaty
    • kóma
    • zastavení dýchání (zatčení respirací)
  • Sexuální problémy (dysfunkce). Užívání Trintellix může způsobit sexuální problémy. Příznaky u mužů mohou zahrnovat:
    • Zpožděná ejakulace nebo neschopnost ejakulace
    • Snížená sexuální touha
    • Problémy s získáváním nebo udržováním erekce
  • Příznaky u žen mohou zahrnovat:
    • Snížená sexuální touha
    • Zpožděný orgasmus nebo neschopnost mít orgasmus

Promluvte si se svým poskytovatelem zdravotní péče, pokud rozvíjíte nějaké změny ve své sexuální funkci nebo pokud máte nějaké dotazy nebo obavy ohledně sexuálních problémů během léčby s Trintellixem. Mohou existovat léčba, kterou může váš poskytovatel zdravotní péče navrhnout.

Mezi nejčastější vedlejší účinky Trintellix patří nevolnost zácpa zvracení.

Nejedná se o všechny možné vedlejší účinky Trintellix.

Zavolejte svého lékaře, kde najdete lékařskou radu ohledně vedlejších účinků. Můžete nahlásit vedlejší účinky FDA na 1-800-FDA-1088.

Jak mám ukládat Trintellix?

  • Ukládejte Trintellix při pokojové teplotě mezi 68 ° F až 77 ° F (20 ° C až 25 ° C).
  • Udržujte Trintellix a všechny léky mimo dosah dětí.

Obecné informace o bezpečném a efektivním používání Trintellix.

Léky jsou někdy předepisovány pro jiné účely než ty, které jsou uvedeny v průvodci s léky. Neberte Trintellix za podmínku, pro kterou nebyl předepsán. Nedávejte Trintellix jiným lidem, i když mají stejné příznaky, jaké máte. Může jim to poškodit. Můžete požádat svého lékárníka nebo poskytovatele zdravotní péče o informace o Trintellix, který je napsán pro zdravotnické pracovníky.

Jaké jsou ingredience v Trintellix?

k čemu se používá doxepin hcl

Aktivní složka: Vortioxetin hydrobromid

Neaktivní ingredience: Mikrokrystalická celulóza hydroxypropylcelulóza sodíku sodný škrobový glykolát hořečnan a filmový povlak sestávající z hypromelózového oxidu polyethylenoglykolu 400 mg a 20 mg) a žluté oxid železa (5 mg) a žlutého oxidu (10 mg) (10 mg) (10 mg) (10 mg) (10 mg) (10 mg) (10 mg) a oxidu železa) a oxidu železa) a oxidu železa) a oxidu železa) a oxidu železa) (10 mg) a oxidu železa) a oxidu železa) a oxid železa (10 mg).

Tento průvodce medikací byl schválen americkou správou potravin a léčiv.