Informace Na Stránce Nepředstavují Lékařskou Radu. Nic Neprodáváme. Přesnost Překladu Není Zaručena. Zřeknutí Se Odpovědnosti



PSORCON E EMOLIENT CREAM

Shrnutí drog

Co je psorcon e emallient krém?

Krém psorcon e (diflorason diecetát) 0,05% je aktuální (pro kůži) steroid používaný k léčbě zánětu a svědění způsobené řadou kožních stavů, jako jsou alergické reakce ekzém a Psoriáza . Značka psorcon e je přerušena, ale obecný mohou být k dispozici verze.

Jaké jsou vedlejší účinky psorcon e ekollient krému?

PSORCON E EMOLIENT CREAM



  • kopřivka
  • potíže s dýcháním
  • Otok vašeho obličeje rty jazyk nebo krk
  • otok
  • přibývání na váze (zejména ve tváři nebo na horní části zad a trupu)
  • nepravidelná menstruační období
  • Změny v sexuální funkci
  • Problémy s pamětí
  • dráždivost
  • rozmazané vidění
  • Vize tunelu
  • bolest očí
  • Vidět halos kolem světla
  • závažné podráždění pokožky, kde byl lék aplikován a
  • Známky infekce kůže (otoky zarudnutí tepla vytekla)

Získejte lékařskou pomoc okamžitě, pokud máte výše uvedené příznaky.

Mezi běžné vedlejší účinky krému pSorcon E (Diflorasone Diacetát) patří:

  • svědění kůže
  • hořící
  • suchost
  • Ředění nebo změkčení pokožky
  • vyrážka nebo podráždění kolem úst
  • oteklé vlasové folikuly
  • Změny barvy ošetřené kůže
  • puchýře
  • pupínky
  • kůrku ošetřené kůže nebo
  • strie.

Pokud máte následující vážné vedlejší účinky, vyhledejte lékařskou péči nebo zavolejte na číslo 911:



Spalované vedlejší účinky červených krvinek
  • Vážné příznaky očí, jako je ztráta náhlého vidění rozmazané vidění vidění Vision Vision Eye Eye Eye Eye Eye Eye Eye Eye nebo vidět halos kolem světel;
  • Vážné příznaky srdce, jako je rychlé nepravidelné nebo bušení srdečního rytmu; třepování v hrudi; dušnost; a náhlé závratě lightheartiesness nebo omdlení;
  • Těžká zmatek bolesti hlavy zkažená paže řeči nebo slabost nohou Potíže se ztrátou chůze pocitu koordinace Nestabilní velmi tuhé svaly vysoké horečky bohaté pocení nebo třes.

Tento dokument neobsahuje všechny možné vedlejší účinky a mohou dojít k jiným. Další informace o vedlejších účincích najdete u svého lékaře.

Dávka pro psorcon e ekollient krém

Psorcon e emallient krém by měl být aplikován na postižené oblasti jako tenký film od jednoho do tříkrát denně v závislosti na závažnosti nebo odolné povaze stavu.

Jaké léčivé látky nebo doplňky interagují s emollientským krémem PSORCon E?

Psorcon e může interagovat s jinými léky. Řekněte svému lékaři všechny léky a doplňky, které používáte.

PSORCON E EMOLLIEL CREAM Během těhotenství nebo kojení

Psorcon e může být škodlivé pro plod. Řekněte svému lékaři, pokud jste těhotná nebo plánujete otěhotnět během léčby. Není známo, zda tento lék přechází do mateřského mléka nebo by to mohlo poškodit kojící dítě. Před kojením se poraďte se svým lékařem.

Další informace

Náš krém PSORCON E (Diflorason Diacetát) 0,05% vedlejší účinky Drug Center poskytuje komplexní pohled na dostupné informace o potenciálních vedlejších účincích při užívání tohoto léku.

Informace o drogách FDA

Popis pro psorcon e ekollient krém

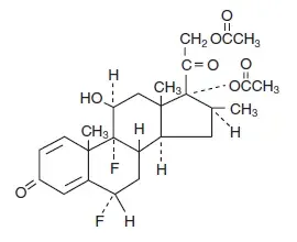
Každý gram PSORCON E. Mollientská mast obsahuje 0,5 mg diflorasonového diacetátu v masti. Chemicky diflorasonový diacetát je: 6α9-difluoro-11p1721-trihydroxy-16p-methyl-pregna-14-diene-320-dione 1721-diacetát. Strukturální vzorec je reprezentován níže:

PSORCON E. Mollientská mast obsahuje diflorasonový diacetát v změkčovalé okluzivní bázi sestávající z polyoxypropylenu 15-stearytherového lanolinu kyseliny stearové a bílé petrolatum.

Použití pro psorcon e emallient krém

Lokální kortikosteroidy jsou indikovány pro reliéf zánětlivých a svěžích projevů dermatóz reagujících na kortikosteroidy.

Dávka pro psorcon e ekollient krém

Lokální kortikosteroidy by měly být aplikovány na postiženou oblast jako tenký film od jednoho do čtyřkrát denně v závislosti na závažnosti stavu.

cyklobenzaprin hydrochlorid 10 mg vedlejší účinky

Pouze pro aktuální použití. Vyvarujte se kontaktu s očima.

Umyjte ruce po každé aplikaci.

Nepoužívejte s okluzivními obvazy, pokud to není režírováno lékařem (viz OPATŘENÍ ).

Pokud se infekce rozvine, mělo by být použití okluzivních obvazů ukončeno a zahájena vhodná antimikrobiální terapie.

Jak dodáno

PSORCON E. Mollient Mast je k dispozici následovně:

15 gramová trubice: NDC 0066–0275–17
30 gramová trubice: NDC 0066–0275–31
60 gramová trubice: NDC 0066–0275–60

Uložte při kontrolované teplotě místnosti 20 ° až 25 ° C (68 ° až 77 ° F) [viz USP].

Vyrobeno pro: Dermik Laboratories Inc. Berwyn PA USA 19312. Revidováno: Říjen 2017

Vedlejší účinky pro psorcon e ekollient krém

Následující nežádoucí účinky byly identifikovány z klinických hodnocení nebo postmarketingového dohledu. Protože jsou hlášeny z populace z neznámé velikosti, není vždy možné spolehlivě odhadnout jejich frekvenci nebo vytvořit kauzální vztah k lokální expozici kortikosteroidů.

K těmto nežádoucím účinkům se mohou vyskytovat častěji s použitím okluzivních obvazů nebo dlouhodobého použití topických kortikosteroidů.

Poruchy kůže a podkožní tkáně: hořící itching irritation suchost folliculitis hypertrichosis acneiform eruptions hypopigmentation perioral dermatitis allergic contact dermatitis maceration of the skin secondary infection skin atrophy striae a miliaria

Poruchy vidění: šedý zákal glaukom Centrální serózní chorioretinopatie

Lékové interakce pro psorcon e ekollient krém

Žádné informace

k čemu se používá tolterodin tartrát

Varování pro psorcon e ekollient krém

Žádné informace.

Opatření pro psorcon e ekollient krém

Generál

Systémová absorpce lokálních kortikosteroidů vyvolala reverzibilní hypothalamicko-hypofýz-nadledvinovou (HPA) projev a u některých pacientů u některých pacientů.

Podmínky, které zvyšují systémovou absorpci, zahrnují aplikaci účinnějších steroidů využívajících při velkých povrchových plochách prodloužených používání a přidání okluzivních obvazů.

Pacienti, kteří dostávají velkou dávku silného topického steroidu aplikovaného na velkou povrchovou plochu nebo pod okluzivním obvazem, by proto měli být pravidelně vyhodnoceni, aby se dokazovaly o potlačení osy HPA pomocí testů stimulace volného kortizolu a ACTH. Pokud je zaznamenáno potlačení osy HPA, měl by být proveden pokus o odstoupení léčiva ke snížení frekvence aplikace nebo nahrazení méně účinného steroidu.

Obnovení funkce osy HPA je obecně rychlé a úplné po přerušení léčiva. Obavě příznaky a příznaky stažení steroidů mohou nastat vyžadující doplňkové systémové kortikosteroidy.

Pediatričtí pacienti mohou absorbovat úměrně větší množství lokálních kortikosteroidů, a proto jsou náchylnější k systémové toxicitě. (Vidět OPATŘENÍ : Dětské použití .)

Pokud se podráždění vyvine lokální kortikosteroidy, měly by být přerušeny a zavedena vhodná terapie.

V přítomnosti dermatologických infekcí by mělo být zavedeno použití vhodného antimykotického nebo antibakteriálního činidla. Pokud k příznivé reakci nedochází okamžitě, měl by být kortiko-steroid přerušen, dokud nebude infekce přiměřeně kontrolována.

Laboratorní testy

Následující testy mohou být užitečné při hodnocení potlačení osy HPA:

Test kortizolu bez moči
ACTH stimulační test

Mutageneze karcinogeneze a zhoršení plodnosti

Dlouhodobé studie na zvířatech nebyly provedeny za účelem vyhodnocení karcinogenního potenciálu nebo účinku na plodnost topických kortikosteroidů.

Studie pro stanovení mutagenity s prednisolonem a hydrokortisonem odhalily negativní výsledky.

lék, který vám pomůže zůstat vzhůru

Kategorie těhotenství c

Corticosteroids are generally terato-genic in laboratory animals when administered systemically at relatively low dosage levels. The more potent corticosteroids have been shown to be teratogenic after dermal application in laboratory animals. There are no adequate and well-controlled studies in pregnant women on teratogenic effects from topically applied corticosteroids. Therefore topical corticosteroids should be used during pregnancy only if the potential benefit justifies the potential risk to the fetus. Drugs of this class should not be used extensively on pregnant patients in large amounts or for prolonged periods of time.

Ošetřovatelské matky

Není známo, zda topické podávání kortikosteroidů může vést k dostatečné systémové absorpci, aby se vytvořila detekovatelná množství v mateřském mléce. Systemicky podávané kortikosteroidy jsou vylučovány do mateřského mléka v množství, které pravděpodobně nebudou mít škodlivý účinek na dítě. Nicméně by měla být opatrná, pokud se ošetřovatelské ženě podávají lokální korti-costeroidy.

Dětské použití

Bezpečnost a účinnost psorcon e (diflor-asone diacetátový krém) u pediatrických pacientů nebyla stanovena. Kvůli vyššímu poměru plochy povrchu kůže k tělesné hmotnosti jsou pediatričtí pacienti vystaveni většímu riziku než dospělí potlačení ose HPA, když jsou léčeni topickými kortikosteroidy. Jsou proto také vystaveny většímu riziku nedostatečnosti glukokortikosteroidů po odběru léčby a Cushingova syndromu při léčbě. Nepříznivé účinky včetně striae byly hlášeny s nevhodným použitím topických kortikosteroidů u pediatrických pacientů.

U pediatrických pacientů, kteří dostávali lokální kortikosteroidy, byly hlášeny syndrom a intrakraniální hypertenze HPA Axis Suppression Cushing. Projevy potlačení nadledvin u pediatrických pacientů zahrnují lineární retardaci růstu zpožděné nárůst hmotnosti nízkých hladin kortizolu v plazmě a nepřítomnost reakce na stimulaci ACTH. Projevy intrakraniální hypertenze zahrnují vypouklé fontanely bolesti hlavy a bilaterální papiledema.

Informace o předávkování pro pórcon e ekollient krém

Topicky aplikované kortikosteroidy mohou být absorbovány v dostatečném množství k vytváření systémových účinků. (Vidět OPATŘENÍ .)

Kontraindikace pro psorcon e ekollient krém

Lokální steroidy jsou kontraindikovány u pacientů s anamnézou přecitlivělosti na některou ze složek přípravy.

Klinická farmakologie for PSORCON E. Emollient Cream

Lokální kortikosteroidy sdílejí protizánětlivé antipruritické a vazokonstrikční účinky.

Mechanismus protizánětlivé aktivity topických kortikosteroidů je nejasný. K porovnání a predikci potence a/nebo klinické účinnosti topických kortikosteroidů se používají různé laboratorní metody včetně vazokonstrikčních testů. Existují důkazy, které naznačují, že existuje rozpoznatelná korelace mezi vazokonstrikční účinností a terapeutickou účinností u člověka.

Kolik kodeinu v Tylenolu 4

Farmakokinetika

Rozsah perkutánní absorpce topických kortikosteroidů je určen mnoha faktory, včetně vehikula, integrita epidermální bariéry a použití okluzivních obvazů.

Lokální kortikosteroidy mohou být absorbovány z normální neporušené kůže. Zánět a/nebo jiné procesy onemocnění v kůži zvyšují perkutánní absorpci. Okluzivní obvazy podstatně zvyšují perkutánní absorpci topických kortikosteroidů. Okluzivní obvazy tedy mohou být cenným terapeutickým doplňkem pro léčbu rezistentních dermatóz (viz Dávkování a podávání ).

Jakmile jsou absorbovány kůží lokální kortikosteroidy zpracovávány farmakokinetickými cestami podobnými systémově podávanými kortikosteroidy. Kortikosteroidy jsou vázány na plazmatické proteiny v různých stupních. Jsou metabolizovány primárně v játrech a poté jsou vylučovány ledvinami. Některé z aktuálních kortikosteroidů a jejich metabolitů jsou také vylučovány do dokonce .

Informace o pacientovi pro psorcon e ekollient krém

Pacienti používající lokální kortikosteroidy by měli dostávat následující informace a pokyny:

  1. Tento lék má být používán jako pokyn lékařem. Je to pouze pro externí použití. Vyvarujte se kontaktu s očima.
  2. Pacienti by měli být doporučeni, aby tento lék nepoužívali pro jinou poruchu, než na kterou byla předepsána.
  3. Ošetřená oblast kůže by neměla být ovázaná nebo jinak zakrytá nebo zabalena jako okluzivní, pokud není nařízena lékařem.
  4. Pacienti by měli hlásit jakékoli známky místních nežádoucích účinků, zejména při okluzivním obvazu.
  5. Rodičům dětských pacientů by mělo být doporučeno, aby nepoužívali pevně padnoucí plenky nebo plastové kalhoty na kojence nebo dítě léčené v oblasti plenky, protože tyto oděvy mohou představovat okluzivní obvazy.