Informace Na Stránce Nepředstavují Lékařskou Radu. Nic Neprodáváme. Přesnost Překladu Není Zaručena. Zřeknutí Se Odpovědnosti
Agenti akné, lokální komba
Onexton
Shrnutí drog
Co je to Onexton?
Onexton ( Clindamycin gel fosfát a benzoyl) je kombinací antibiotikum A Antibakteriální a keratolytické činidlo naznačeno pro aktuální ošetření Akné vulgaris u pacientů ve věku 12 let a starších.
Jaké jsou vedlejší účinky Onextonu?
Mezi běžné vedlejší účinky Onextonu patří:
- Snížení nebo bodnutí
- podráždění kůže ( Kontaktujte dermatitidu )
- svědění
- vyrážka
- suchost
- loupání nebo
- zarudnutí kůže
Dávkování pro Onexton
Před nanesením Onextonova gelu jemně omyjte obličej jemným mýdlem teplou vodou a osušte kůži. Naneste na obličej množství gelu o velikosti hrachu o velikosti jeden denně.
Jaké léčivé látky nebo doplňky interagují s Onextonem?
Onexton může interagovat s aktuálním nebo ústním Erythromycin Jiná lokální terapie akné používaná současně a činidla neuromuskulárního blokování. Řekněte svému lékaři všechny léky a doplňky, které používáte.
Onexton během těhotenství a kojení
Před použitím Onextona řekněte svému lékaři, pokud jste těhotná nebo plánujete otěhotnět. Není známo, zda Onexton přejde do mateřského mléka. Orálně a parenterálně podávané klindamycinové průchody v mateřském mléce. Kvůli potenciálu vážných nežádoucích účinků u kojeneckých kojenců se Onexton nedoporučuje pro použití při kojení; poraďte se se svým lékařem.
Další informace
Naše jednoxton (clindamycin fosfát a benzoyl peroxid) gelové vedlejší účinky lékové centrum poskytuje komplexní pohled na dostupné informace o možných vedlejších účincích při užívání tohoto léku.
Informace o drogách FDA
- Popis léku
- Indikace
- Vedlejší účinky
- Lékové interakce
- Varování
- Předávkovat
- Klinická farmakologie
- Průvodce léky
Popis pro Onexton
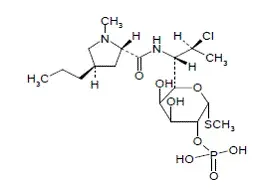
Onexton Gel je kombinovaný produkt se dvěma aktivními složkami v bílé až bílé neprůhledné hladké vodné gelové formulaci určené pro aktuální použití. Clindamycin fosfát je ve vodě rozpustný ester polosyntetiky antibiotikum Produkované 7 (S)-chlor-substitucí 7 (R)-hydroxylové skupiny rodičovského antibiotického lincomycinu.
Chemický název pro fosfát clindamycin je Methyl 7-Chloro-678-Trideoxy-6- (1-methyl-trans-4-propyl-L-2pyrrolididinecarboxamido) -1-thio-l-threo- a-d-galaktopyranosid 2 -(dihydrogen fosfát). Strukturální vzorec pro clindamycin fosfát je reprezentován níže:
Clindamycin fosfát
|
Molekulární vzorec: c 18 H 34 CLN 2 O 8 Ps
Benzoyl Peroxid je antibakteriální a keratolytické činidlo. Strukturální vzorec pro peroxid benzoyl je reprezentován níže:
Benzoyl Peroxid
|
Molekulární vzorec: c 14 H 10 O 4
Onexton Gel obsahuje následující neaktivní ingredience: Carbomer 980 hydroxid hydroxidu propylenglykolu draselného a čištěnou vodu. Každý gram gelu Onexton obsahuje 12 mg (NULL,2%) clindamycin fosfát ekvivalentní 10 mg (1%) clindamycinu a 37,5 mg (NULL,75%) benzoyl peroxidu.
Použití pro Onexton
Onexton ™ (clindamycin fosfát a benzoyl peroxid) gel 1,2%/3,75% je indikován pro topickou léčbu akné vulgaris u pacientů ve věku 12 let a starší.
Dávkování pro Onexton
Před nanesením Onextonova gelu jemně omyjte obličej jemným mýdlem teplou vodou a osušte kůži. Naneste na obličej jednou denně množství hrášku o velikosti hrachu. Vyvarujte se očí ústa rty rty sliznice nebo oblasti rozbité kůže.
Použití Onexton Gel po 12 týdnech nebylo vyhodnoceno.
Onexton gel není pro orální oftalmické nebo intravaginální použití.
Jak dodáno
Formy a silné stránky dávkování
Gel 1,2%/3,75%
Každý gram gelu Onexton obsahuje 12 mg (NULL,2%) clindamycin fosfát ekvivalentní 10 mg (1%) clindamycinu a 37,5 mg (NULL,75%) benzoyl peroxidu v bílé až bělé bílém neprůhledným hladkém gelu.
Onexton Gel 1,2%/3,75% je bílý až bílý hladký gel dodávaný jako 50 g čerpadlo ( NDC 0187-3050-50)
Pokyny pro lékárny pro lékárníka
- Vysvětlete jeden gel s jedním datem vypršení platnosti 10 týdnů.
- Určete úložiště při teplotě místnosti až do 25 ° C (77 ° F). Ne zmrazení.
Skladování a manipulace
- FARMACEUT: Před vydáváním: Uložte v chladničce 2 ° C až 8 ° C (36 ° F až 46 ° F).
- PACIENT: Uložte při pokojové teplotě nebo pod 25 ° C (77 ° F).
- Chránit před mrazem.
- Uložte čerpadlo ve svislé poloze.
Vyrobeno pro: Valeant Pharmaceuticals North America LLC Bridgewater NJ 08807 USA. Autor:: Contract Pharmaceuticals Limited Mississauga Ontario Canada L5N 6L6 USA pro více informací o jednomxtonovém gel volání 1-800-321-4576. 11/2014
Vedlejší účinky for Onexton
Následující nežádoucí reakce je podrobněji popsána v Varování a OPATŘENÍ část štítku:
- Kolitida [viz Varování a OPATŘENÍ ].
Zkušenosti z klinických studií
Protože klinické studie se provádějí za široce proměnlivých podmínek, které nežádoucí reakce pozorovaná v klinických studiích léčiva nelze přímo porovnat s mírami pozorovanými v klinických studiích jiného léčiva a nemusí odrážet míry pozorované v klinické praxi.
K těmto nežádoucím účinkům došlo u méně než 0,5% subjektů ošetřených jedním gelem: pocit pálení (NULL,4%); Kontaktovat dermatitidu (NULL,4%); Pruritus (NULL,4%); a vyrážka (NULL,4%).
Během klinického hodnocení byly subjekty hodnoceny na místní kožní příznaky a symptomy škálování erytému svědění a bodnutí. Většina lokálních kožních reakcí byla buď stejná jako základní linie nebo se zvýšila a vrcholila kolem 4. týdne a byla blízko nebo zlepšena z hladiny základní linie do 12. týdne. Procento subjektů, které měly příznaky přítomné před léčbou (na začátku) během léčby, a procento přítomných přítomných ve 12. týdnu je uvedeno v tabulce 1.
Tabulka 1: Lokální kožní reakce -vstupem subjektů s přítomnými příznaky. Výsledky studie fáze 3 s Onexton Gel 1,2%/3,75% (n = 243)
| Před léčbou (základní linie) | Během léčby | Konec léčby (12. týden) | |||||||
| Mírný | Proti.* | Těžké | Mírný | Proti.* | Těžké | Mírný | Proti.* | Těžké | |
| Erythema | 20 | 6 | 0 | 28 | 5 | <1 | 15 | 2 | 0 |
| Škálování | 10 | 1 | 0 | 19 | 3 | 0 | 10 | <1 | 0 |
| Svědění | 14 | 3 | <1 | 15 | 3 | 0 | 7 | 2 | 0 |
| Hořící | 5 | <1 | <1 | 7 | 1 | <1 | 3 | <1 | 0 |
| Bodnutí | 5 | <1 | 0 | 7 | 0 | <1 | 3 | 0 | <1 |
| * Mod. = Mírný |
Zážitek z postmarketingu
Protože postmarketingové nežádoucí účinky jsou hlášeny dobrovolně z populace nejisté velikosti, není vždy možné spolehlivě odhadnout jejich frekvenci nebo vytvořit kauzální vztah k expozici léčiva.
Anafylaxe a alergické reakce vedoucí k hospitalizacím byly hlášeny v postmarketingovém používání produktů obsahujících clindamycin fosfát/benzoyl peroxid.
Lékové interakce for Onexton
Erythromycin
Vyvarujte se používání Onextonova gelu v kombinaci s aktuálními nebo perorálními produkty obsahujícími erytromycin díky své komponentě clindamycinu. Studie in vitro prokázaly antagonismus mezi erytromycinem a clindamycinem. Klinický význam toho in vitro Antagonismus není znám.
Současné topické léky
Současná lokální terapie akné by měla být používána s opatrností, protože možný kumulativní účinek podráždění může dojít zejména s použitím peelingových desquamačních nebo abrazivních látek. Pokud dojde k podrážděnosti nebo dermatitidě, snižují frekvenci aplikace nebo dočasně přerušení léčby a pokračujte, jakmile podráždění ustoupí. Léčba by měla být přerušena, pokud podráždění přetrvává.
Činidla neuromuskulárního blokování
Ukázalo se, že clindamycin má neuromuskulární blokovací vlastnosti, které mohou zvýšit působení jiných neuromuskulárních blokovacích látek. U pacientů, kteří takové látky dostávají, by měl být použit s opatrností s opatrností.
Varování pro Onexton
Zahrnuto jako součást OPATŘENÍ sekce.
Opatření pro Onexton
Kolitida
Systémová absorpce clindamycinu byla prokázána po lokálním použití clindamycinu. Průjemní krvavá průjem a kolitida (včetně pseudomembranózní kolitidy) byly hlášeny s použitím topického a systémového klindamycinu. Pokud dojde k významnému průjmu, měl by být přerušen jeden gel.
Těžké colitis has occurred following oral and parenteral administration of Clindamycin with an onset of up to several weeks following cessation of therapy. Antiperistaltic agents such as opiates and diphenoxylate with atropine may prolong and/or worsen severe colitis. Těžké colitis may result in death.
Studie ukazují, že toxin (y) produkované Clostridií je jednou z primárních příčin kolitidy spojené s antibiotiky. Kolitida je obvykle charakterizována těžkým přetrvávajícím průjmem a těžkými břišními křečemi a může být spojena s průchodem krve a hlenu. Kultury stolice pro Clostridium difficile a stolici pro toxin C. difficile mohou být užitečné diagnosticky.
Ultrafialové světlo a environmentální expozice
Po aplikaci léčiva minimalizujte slunce (včetně používání soláv Neklinická toxikologie ].
Jaký druh antibiotiku je Cipro
Informace o poradenství pro pacienta
Vidět Označování pacienta schváleného FDA ( Informace o pacientu ).
- Pacienti, kteří vyvinou alergické reakce, jako je závažný otok nebo dušnost, by měli přestat používat a okamžitě kontaktovat svého lékaře.
- Onexton Gel může způsobit podráždění, jako je škálování erytému svědění nebo pálení, zejména pokud se používá v kombinaci s jinými topickými terapiemi akné.
- Pacienti by měli omezit nadměrné nebo prodloužené vystavení slunečnímu světlu. Pro minimalizaci expozice slunečnímu světlu by se měl nosit klobouk nebo jiné oblečení. Může být také použito opalovací krém.
- Onexton Gel může bělit vlasy nebo barevnou látku.
Neklinická toxikologie
Zhodnocení mutageneze karcinogeneze plodnosti
Mutagenita karcinogenity a zhoršení testování plodnosti na jednomxtonovém gelu nebyly provedeny.
Ukázalo se, že peroxid benzoyl je nádorový promotor a progresivní činidlo v řadě studií na zvířatech. Benzoyl peroxid v acetonu v dávkách 5 a 10 mg podávaných lokálně dvakrát týdně po dobu 20 týdnů vyvolaných kožních nádorů u transgenních myší TG.AC. Klinický význam tohoto není znám.
Byly provedeny studie karcinogenity s gelovou formulací obsahující 1% klindamycinu a 5% benzoyl peroxidu. Ve dvouleté studii dermální karcinogenity u léčby myší s formulací gelu v dávkách 900 2700 a 15 000 mg/kg/den (NULL,8 5,4 a 30krát množství clindamycinu a 2,4 7,2 a 40násobné množství benzoyl peroxidu v nejvyšší doporučené dospělé dávce člověka, které nebyly na základě Mg/mg/mg/mg/mg/mg/mg/mg/mg/mG/mg-resp. Avšak topická léčba jinou gelovou formulací obsahující 1% clindamycin a 5% peroxidu benzoyl v dávkách 100 500 a 2000 mg/kg/den způsobilo zvýšení výskytu keratoakanthomu u potkanů závislé na dávce. Ve studii perorální (sonda) karcinogenity u potkanů léčba s gelovou formulací v dávkách 300 900 a 3000 mg/kg/den (NULL,2 3,6 a 12krát a 12násobné množství clindamycinu a 1,6 4,8 a 16krát a 16krát, které se zvyšují až o 2,5 g jednotného gelů, které byly na nárůstu až o 97 týdnů. nádory. V 52týdenní studii dermální fotokarcinogenity u bezsrstých myší (40 týdnů léčby následované 12 týdny pozorování) střední doba na nástup tvorby kožního nádoru se snížil a počet nádorů na myši se zvýšil ve srovnání s kontrolami po chronickém topickém podávání vyšší koncentrace peroxidu (5000 mg/kg/denního týdne) a 5 000 dnů) a 5. den) a 5 000 dnů) a 5. den) a 5 000 dnů) a 5. den) a 5. den) a 5 000 dnů) a 5 000 dnů).
Clindamycin fosfát nebyl genotoxický v testu aberace aberace chromozomu lidského lymfocytů. Bylo zjištěno, že peroxid benzoyl způsobuje zlomy pramenů DNA v různých typech savčích buněk, které jsou mutagenní v S. Typhimurium Testy některých, ale ne všichni vyšetřovatelé a způsobují výměny sesterských chromatidů v buňkách vaječníků čínského křečka.
Studie plodnosti nebyly provedeny s jedním gelem nebo peroxidem benzoyl, ale schopnost plodnosti a páření byla studována u clindamycinu. Studie plodnosti u potkanů léčených perorálně s až 300 mg/kg/den clindamycinu (přibližně 120násobek množství clindamycinu v nejvyšší doporučené dospělé lidské dávce 2,5 g jednoxtonového gelu založené na Mg/m²) neodhalily žádné účinky na plodnost nebo plnění schopnosti.
Použití v konkrétních populacích
Těhotenství
Těhotenství Category C
Neexistují žádné adekvátní a dobře kontrolované studie u těhotných žen léčených jedním gelem. Během těhotenství by se měl používat gel Onexton, pouze pokud potenciální výhoda ospravedlňuje potenciální riziko pro plod.
Studie reprodukční/vývojové toxicity zvířat nebyly provedeny s jedním gelem nebo peroxidem benzoyl. Studie vývojové toxicity clindamycinu prováděné u potkanů a myší s použitím perorálních dávek až 600 mg/kg/den (240 a 120krát větší množství clindamycinu v nejvyšší doporučené dospělé dávce na základě Mg/m² na základě Mg/m² na základě nejvyššího dospělého doporučení na základě uchovávání na základě na základě na základě na základě nejvyšších dopochyby na základě na základě na základě uchovávání na základě uchovávání na základě uchovávání na základě uchovávání na základě uchovávání na základě na základě na základě nejvyšších dopodnikových na základě na základě na základě na základě nejvyššího dospělého Doporučeného na základě na základě na základě uchovávání na základě na základě uchovávání na základě Mg/m² v resp. Mg/m²) neodhalil žádný důkaz teratogenity.
Ošetřovatelské matky
Není známo, zda je clindamycin vylučován v lidském mléce po lokální aplikaci Onexton Gel. Bylo však hlášeno, že se v mateřském mléce objevuje ústně a parenterálně podávaný clindamycin. Vzhledem k potenciálu vážných nežádoucích účinků u ošetřovatelských kojenců by mělo být rozhodnuto, zda použít Onexton Gel, zatímco ošetřovatelství zohledňuje význam léku pro matku.
Dětské použití
Bezpečnost a účinnost gelu Onexton Gel u pediatrických pacientů mladších 12 let nebyla hodnocena.
Geriatrické použití
Klinické studie Onexton Gel nezahrnovaly dostatečný počet subjektů ve věku 65 let a starší, aby se určily, zda reagují odlišně od mladších subjektů.
Informace o předávkování pro Onexton
Žádné informace.
Kontraindikace pro Onexton
Přecitlivělost
Onexton gel je kontraindikován u jedinců, kteří prokázali přecitlivělost na clindamycin benzoyl peroxid jakékoli složky formulace nebo lincomycinu. Anafylaxe a alergické reakce vedoucí k hospitalizaci byly hlášeny při používání postmarketingu s Onexton Gel [viz Nežádoucí účinky ].
Kolitida/Enteritis
Onexton gel je kontraindikován u pacientů s anamnézou regionální enteritidy ulcerativní kolitida nebo kolitida spojenou s antibiotiky [viz Varování a OPATŘENÍ ].
Klinická farmakologie for Onexton
Mechanismus působení
Clindamycin : Clindamycin is a lincosamide Antibakteriální [see Mikrobiologie ].
Benzoyl Peroxid : Benzoyl Peroxid je oxidační činidlo s baktericidními a keratolytickými účinky, ale přesný mechanismus účinku není znám.
Farmakokinetika
Systémová absorpce Onexton Gel nebyla vyhodnocena. Systémová absorpce clindamycinu byla zkoumána v otevřené studii s více dávkami u 16 dospělých subjektů se středním až závažným akné vulgaris ošetřený 1 gramem na trh gelu obsahujícím clindamycin 1%/benzoyl peroxid 2,5% jednou denně po dobu 30 dnů. Tento produkt má stejnou formulaci jako Onexton Gel, ale s nižší koncentrací benzoyl peroxidu. Twelve subjects (75%) had at least one quantifiable clindamycin plasma concentration above the lower limit of quantification (LOQ = 0.5 ng/mL) on Day 1 or Day 30. On Day 1 the mean (± standard deviation) peak plasma concentrations (Cmax) was 0.78 ± 0.22 ng/mL (n=9 with measurable concentrations) and the mean AUC0-t was 5.29 ± 0.81 h.ng/ml (n = 4). Den 30 byl průměrný CMAX 1,22 ± 0,88 ng/ml (n = 10) a průměrný AUC0-T byl 8,42 ± 6,01 h.ng/ml (n = 6). Koncentrace plazmy clindamycinu byly pod LOQ u všech subjektů po 24 hodinách po dávce ve třech testovaných dnech (den 1 15 a 30).
Ukázalo se, že peroxid benzoyl je absorbován kůží, kde je přeměněn na kyselinu benzoovou.
Mikrobiologie
Clindamycin binds to the 50S ribosomal subunits of susceptible bacteria and prevents elongation of peptide chains by interfering with peptidyl transfer thereby suppressing bacterial protein synthesis.
Clindamycin and benzoyl peroxide individually have been shown to have in vitro aktivita proti Propionibacterium acnes Organismus, který byl spojen s akné vulgaris. V in vitro Studujte mikrofon pro peroxid benzoyl proti Propionibacterium acnes je 128 mg/l. Klinický význam této činnosti proti P. Acnes není známo.
P. Acnes Byla zdokumentována odolnost vůči clindamycinu. Odolnost vůči klindamycinu je často spojena s rezistencí na erytromycin.
Klinické studie
Bezpečnost a účinnost kdysi denního používání jednoho gelu Onexton byla hodnocena u 12-týdenního randomizovaného oslepeného studie s vícecedenními slepými hodnotami u subjektů 12 let a starší se středním až závažným akné vulgaris. Tento pokus vyhodnotil jeden gel Onexton ve srovnání s gelem vozidla.
Proměnné ko-primární účinnosti pro tuto studii byly:
- Průměrná absolutní změna z výchozí hodnoty ve 12. týdnu
- Počty zánětlivých lézí
- Počty nezánětlivých lézí
- Procento subjektů, které měly snížení dvou stupňů z výchozí hodnoty na skóre globální závažnosti hodnotitele (EGS).
Měřítko bodování EGS použité v klinické studii pro Onexton Gel je následující:
Tabulka 2: Stupnice bodování EGS
| Stupeň | Popis |
| Jasný | Normální čistá pokožka bez důkazu akné |
| Téměř jasné | Vzácné neodzánětlivé léze jsou přítomny se vzácnými nezazářeními papuly (papuly musí být řešeny a mohou být hyperpigmentovány, i když nejsou růžové červené) |
| Mírný | Některé nezánětlivé léze jsou přítomny s několika zánětlivými lézemi (pouze papuly/pustuly; žádné nodulocystické léze) |
| Mírný | Nezánětlivé léze převažují s více zřejmými zánětlivými lézemi: Několik až mnoho komedonů a papulí/pustulů a může nebo nemusí existovat jedna malá nodulocystická léze |
| Těžké | Zánětlivé léze jsou patrnější mnoho komedonů a papulí/pustulů, které mohou nebo nemusí existovat až 2 nodulocystické léze |
| Velmi závažné | Vysoce zánětlivé léze převažují variabilní počet komedonů Mnoho papulí/pustulů a více než 2 nodelocystické léze |
Výsledky pokusu ve 12. týdnu jsou uvedeny v tabulce 3:
Tabulka 3: Výsledky studie fáze 3 s Onexton Gel 1,2%/3,75% ve 12. týdnu
| Onexton Gel N = 253 | Gel vozidla N = 245 | |
| EGSS: | ||
| Jasný or Téměř jasné | 29% | 15% |
| 2-grade reduction from baseline | 35% | 17% |
| Zánětlivé léze: | ||
| Mean absolute reduction | 16.3 | 8.2 |
| Mean percent (%) reduction | 60,4% | 31,3% |
| Nezánětlivé léze: | ||
| Mean absolute reduction | 19.2 | 9.6 |
| Mean percent (%) reduction | 51,8% | 27,6% |
Informace o pacientu pro Onexton
Onexton ™
(On-ex-tun)
(Clindamycin fosfát a Benzoyl Peroxid) Gel 1,2%/3,75%
Důležité informace: Pro použití pouze na pokožce (aktuální použití). Nedostaňte v ústech na rty nebo na řezech nebo otevřených ránách.
Co je to Onexton Gel?
Onexton Gel is a prescription medicine used on the skin (topical) to treat Akné vulgaris in people 12 years of age and older. Onexton Gel contains Clindamycin phosphate and benzoyl peroxide.
Není známo, zda je Onexton Gel bezpečný a účinný pro použití déle než 12 týdnů.
Není známo, zda je u dětí mladších 12 let bezpečný a účinný.
Kdo by neměl používat Onexton Gel?
Pokud máte:
- měl alergickou reakci na clindamycin benzoyl peroxid lincomycin nebo na některou z ingrediencí v jednom gelu. Úplný seznam ingrediencí v gelu Onexton naleznete na konci tohoto letáku.
- Crohnova nemoc nebo ulcerativní kolitida
- měl zánět tlustého střeva (kolitida) nebo těžký průjem s minulým užíváním antibiotik
Co bych měl říct svému lékaři před použitím Onexton Gel?
Před použitím gelu Onexton Sdělte svému lékaři o všech vašich zdravotních stavech, včetně, pokud jste:
- Plánujte operaci s celkovou anestézií
- jsou těhotné nebo plánují otěhotnět. Není známo, zda Onexton Gel poškodí vaše nenarozené dítě.
- jsou kojení nebo plánují kojení. Není známo, zda se do mateřského mléka projde jeden gel. Onexton Gel obsahuje lék Clindamycin. Bylo hlášeno, že v mateřském mléce se objevuje klindamycin při užívání ústy nebo injekcí. Vy a váš lékař byste se měli rozhodnout, zda budete při kojení používat Onexton Gel.
Řekněte svému lékaři o všech lécích, které užíváte včetně předpisů a volně prodejných léčivých přípravků bylinné doplňky a kožních výrobků, které používáte. Použití jiných aktuálních akné produktů může zvýšit podráždění vaší pokožky, pokud se používá s jedním gelem Onexton.
- Zejména řekněte svému lékaři, pokud užíváte lék, který obsahuje erytromycin. Onexton gel by neměl být používán s produkty, které obsahují erytromycin.
Jak mám použít Onexton Gel?
- Použijte Onexton Gel přesně tak, jak vám lékař říká, abyste jej použili.
- Naneste na obličej jeden den 1 čas na obličej.
- Než nanesete na jednomxtonovým gelu, jemně si umyjte obličej jemným mýdlem teplou vodou a poklepejte pokožku.
- Chcete-li použít na obličej gel, použijte čerpadlo k výsunu 1 hrací velikosti onextonu na prst (viz viz Obrázek 1 ). One pea-sized amount of Onexton Gel should be enough to cover your entire face.
Obrázek 1
|
- Dotkněte 1 hrachu velikosti Onexton Gel na šest oblastí obličeje (brada vlevo na tvář vlevo levý čela vlevo čela). Vidět Obrázek 2 .
Obrázek 2
|
- Po nanesení Onextonova gelu tímto způsobem rozložte gel na obličej a jemně ho vtřete. Je důležité šířit gel po celé tváři.
- Umyjte si ruce mýdlem a vodou po nanesení jednoho gelu.
- Pokud vám váš lékař řekne, abyste dal Onexton Gel na jiné oblasti vaší pokožky s akné, nezapomeňte se zeptat, kolik byste měli použít.
- Nepoužívejte více gelu Onexton, než je předepsáno.
Co bych se měl vyhnout při používání Onexton Gel?
- Omezte svůj čas na slunci. Vyvarujte se používání opalovacích lůžek nebo slunečních lamp. Pokud musíte být na slunečním světle, noste širokopásmový klobouk nebo jiný ochranný oděv a opalovací krém s hodnocením SPF 15 nebo vyšší.
- Vyhněte se získání jednoho gelu na vlasy nebo na barevnou látku. Onexton Gel může bělit vlasy nebo barevnou látku.
Jaké jsou možné vedlejší účinky s Onexton Gel?
Onexton Gel may cause serious side effects including:
nejlevnější webová stránka pro rezervaci hotelů
- Zánět tlustého střeva (kolitida). Přestaňte používat Onexton Gel a okamžitě zavolejte svého lékaře, pokud máte těžký vodnatý průjem nebo krvavý průjem.
- Alergické reakce. Přestaňte používat Onexton Gel Zavolejte svému lékaři a okamžitě získejte pomoc, pokud dostanete závažné svědění otoku na tváři Eyes Lith Loungoat nebo Throat nebo potíže s dýcháním.
Nejběžnějším vedlejším účinkem s jedním gelem je podráždění kůže. Přestaňte používat gel Onexton a zavolejte svého lékaře, pokud máte kožní vyrážku nebo hoření nebo vaše pokožka se stane velmi červenou svědění nebo oteklé.
Promluvte si se svým lékařem o jakémkoli vedlejším efektu, který vás vadí nebo z toho nezmizí. Nejedná se o všechny možné vedlejší účinky s jedním gelem.
Zavolejte svého lékaře, kde najdete lékařskou radu ohledně vedlejších účinků.
FDA můžete nahlásit vedlejší účinky na 1-800-FDA1088. Můžete také nahlásit vedlejší účinky společnosti Valeant Pharmaceuticals North America LLC na čísle 1-800-321-4576.
Jak mám ukládat Onexton Gel?
- Uložte jeden gel při pokojové teplotě při nebo pod 77 ° F (25 ° C). Ne zmrazení.
- Uložte čerpadlo ve svislé poloze.
- Udržujte kontejner pevně zavřený.
- Datum vypršení platnosti Onexton Gel je 10 týdnů ode dne, kdy vyplníte svůj předpis. Bezpečně vyhodit vypršení vypršeného gel.
Udržujte Onexton Gel a všechny léky mimo dosah dětí.
Obecné informace o bezpečném a efektivním používání gelu Onexton
Léky jsou někdy předepsány pro jiné účely než ty, které jsou uvedeny v letáku informací o pacientech. Nepoužívejte jeden gel Onexton pro podmínku, pro kterou nebyl předepsán. Nedávejte jednomu lidem na jednomxtonovi, i když mají stejné příznaky, jaké máte. Může jim to poškodit. Můžete také požádat svého lékaře nebo lékárníka o informace o jednomgtonském gelu, který je napsán pro zdravotnické pracovníky.
Jaké jsou ingredience v gelu Onexton?
Aktivní složky: Clindamycin phosphate 1.2% and benzoyl peroxide 3.75%
Neaktivní ingredience: Karbomer 980 hydroxid draselný propylenglykol a čištěná voda