Informace Na Stránce Nepředstavují Lékařskou Radu. Nic Neprodáváme. Přesnost Překladu Není Zaručena. Zřeknutí Se Odpovědnosti



Nizoral

Shrnutí drog

Co je Nizoral?

Nizoral (ketoconazol) je antimykotická činidla označené pro léčbu následujících systémových plísňových infekcí: kandidóza Chronická mukokutánní kandidóza orální thrush Candidurie Blastomykóza kokcidioidomykózy Histoplazmóza chromomykóza a paracoccidioidomykóza.

Jaké jsou vedlejší účinky Nizoralu?

Mezi běžné vedlejší účinky nizoralu patří:



  • nevolnost
  • zvracení
  • bolest žaludku
  • svědění nebo vyrážka
  • bolest hlavy
  • závrať
  • otok prsu
  • impotence nebo
  • Ztráta zájmu o sex.

Řekněte svému lékaři, pokud máte vážné vedlejší účinky Nizoral, včetně:



  • změny vize nebo
  • Změny duševní/nálady (jako jsou myšlenky na sebevraždu).

Dávkování pro Nizoral

Doporučená počáteční dávka dospělých nizorálních tablet je jediná denní podávání 200 mg (jeden tablet).

Jaké léky nebo doplňky interagují s Nizoralem?

Nizoral může interagovat acetaminofen cyklosporin klopidogrel digoxin tacrolimus loratadin methylprednisolon fenytoin rifampin orální Diabetes Léky sedativ léky na rakovinu krevních ředitelů Antikoncepční pilulky nebo hnebomone replacement therapy methotrexate Cholesterol léky nebo léky k léčbě HIV nebo AIDS . Řekněte svému lékaři všechny léky a doplňky, které používáte.



Nizorální během těhotenství a kojení

Řekněte svému lékaři, pokud jste těhotná nebo plánujete otěhotnět během léčby Nizoral; Není známo, zda to poškodí plod. Nizoral může přejít do mateřského mléka a může poškodit kojící dítě. Před kojením se poraďte se svým lékařem.

Další informace

Naše nizorální vedlejší účinky drogové centrum poskytuje komplexní pohled na dostupné informace o možných vedlejších účincích při užívání tohoto léku.

Informace o drogách FDA

VAROVÁNÍ

Tablety Nizoral® by se měly používat pouze tehdy, pokud není k dispozici nebo tolerována jiná účinná antimykotická terapie a potenciální výhody se považují za převážit potenciální rizika.

Hepatotoxicita

Při použití perorálního ketokonazolu se objevila vážná hepatotoxicita včetně případů s fatálním výsledkem nebo vyžadující transplantaci jater. Někteří pacienti neměli zjevné rizikové faktory pro onemocnění jater. Pacienti dostávající tento lék by měli být informováni lékařem o riziku a měli by být pečlivě sledováni. Vidět VAROVÁNÍS sekce.

Prodloužení QT a interakce s drogami vedoucími k prodloužení QT

Společné podávání následujících léčiv s ketoconazolem je kontraindikována: cisaprid dofetilid chinidin pimozid. Ketokonazol může způsobit zvýšené plazmatické koncentrace těchto léků a může prodloužit QT intervaly někdy vést k život ohrožujícím komorovým dysrytmiím, jako jsou torsades de pointes. Vidět Kontraindikace VAROVÁNÍS a OPATŘENÍ : Lékové interakce sekce.

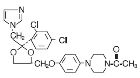
Popis pro Nizoral

Nizoral® je syntetické širokospektrální antimykotické činidlo, které je k dispozici v skórovaných bílých tabletách, z nichž každá obsahovala 200 mg ketoconazol základny pro perorální podání. Neaktivní ingredience jsou koloidní křemíkový oxid oxid kukuřičný škrob laktóza stearátu mikrokrystalická celulóza a povidon. Ketokonazol je cis-1-acetyl-4- [4-[[2- (24Dichlorofenyl) -2- (1H-Imidazol-1-allmethyl) -13-dioxolan-4-yl] methoxyl] fenyl] fenyl] a má následující strukturální vzorec:

Ketokonazol je bílý až lehce béžový prášek bez pachu rozpustný v kyselinách s molekulovou hmotností 531,44.

Použití pro Nizoral

Tablety Nizoral® by se měly používat pouze tehdy, pokud není k dispozici nebo tolerována jiná účinná antimykotická terapie a potenciální výhody se považují za převážit potenciální rizika.

Tablety Nizoral® (ketoconazol) jsou indikovány pro léčbu následujících systémových plísňových infekcí u pacientů, kteří selhali nebo kteří intolerují jiné terapie: blastomykóza kokcidioidomykóza histoplazmóza chromomykózy a parakokcioidomykózy. Tablety Nizoral® by se neměly používat pro houbovou meningitidu, protože špatně proniká do mozkomíšního moku.

Dávkování pro Nizoral

Před zahájením terapie ketokonazol by měla existovat laboratoř i klinická dokumentace infekce. Obvyklé trvání terapie systémové infekce je 6 měsíců. Léčba by měla pokračovat, dokud neustoupí aktivní plísňová infekce.

Dospělí

Doporučená počáteční dávka tablet Nizoral® (ketoconazol) je jediné denní podávání 200 mg (jeden tablet). Pokud klinická citlivost nestačí v očekávané době, může být dávka tablet Nizoral® zvýšena na 400 mg (dvě tablety) jednou denně.

Děti

U malého počtu dětí starších 2 let byla použita jedna denní dávka 3,3 až 6,6 mg/kg. Tablety Nizoral® nebyly studovány u dětí mladších 2 let.

Jak dodáno

Nizoral® (ketoconazol) je k dispozici jako bílé skórované tablety obsahující 200 mg ketoconazolu Debossed Janssen a na zadní straně debulované Nizoral. Jsou dodávány v lahvích po 100 tabletech ( NDC 50458-220-10).

Uložte při kontrolované teplotě místnosti 15 °-25 ° C (59 ° -77 ° F).

Chránit před vlhkostí.

nejlepší města k návštěvě v Kostarice

Udržujte mimo dosah dětí.

Janssen Pharmaceuticals Inc Titusville New Jersey 08560. Revidováno: červenec 2013

Vedlejší účinky fnebo Nizneboal

Protože klinické studie se provádějí za široce proměnlivých podmínek, nežádoucí rychlosti nežádoucí reakce pozorované v klinických studiích léčiva nelze přímo porovnat s mírami v klinických studiích s jiným lékem a nemusí odrážet míru pozorované v praxi.

Následující nežádoucí účinky byly hlášeny v klinických studiích:

Poruchy imunitního systému: Anafylaktoidní reakce

Endokrinní poruchy: gynekomastia

Poruchy metabolismu a výživy: Hyperlipidemie s intolerancí alkoholu zvýšila chuť k jídlu

Psychiatrické poruchy: Nespavost nervozity

Poruchy nervového systému: bolest hlavy závrať paresthesia somnolence

Poruchy očí: fotofobie

Cévní poruchy: nebothostatic hypotenze

Respirační hrudní a mediastinální poruchy: Epistaxis

Gastrointestinální poruchy: zvracení diarrhea nevolnost constipation abdominal pain abdominal pain upper dry mouth dysgeusia dyspepsia flatulence tongue discolneboation

Hepatobiliární poruchy: hepatitida žloutenka jaterní funkce neobvyklá

Poruchy kůže a subkutánních tkání: erythema multiformní vyrážka dermatitida erytém kopce alopecie xeroderma

Poruchy muskuloskeletální a pojivové tkáně: Myalgia

Reprodukční systém a poruchy prsu: menstruační porucha

Obecné poruchy a podmínky správy na místě: Únava Astenia Únava Hot Flush Malaise Edém Periferní pyrexie Chills Investigations: Počet destiček se snížil.

Post-Marketing Experience

Následující nežádoucí účinky byly identifikovány během používání postratovalů nizorálních tabletů. Protože tyto reakce jsou hlášeny dobrovolně z populace nejisté velikosti, není vždy možné spolehlivě odhadnout jejich frekvenci nebo vytvořit kauzální vztah k expozici léčiva.

Během zážitku po trhu byly hlášeny následující nežádoucí účinky:

Poruchy krve a lymfatického systému: trombocytopenie

Poruchy imunitního systému: Alergické podmínky včetně anafylaktického šoku anafylaktického reakce angioneurotický edém

Endokrinní poruchy: Adrenokortikální nedostatečnost

Poruchy nervového systému: Zvýšil se reverzibilní intrakraniální tlak (např. Papilloedema Fontanelle vypouknutí u kojenců)

Hepatobiliární poruchy: Vážná hepatotoxicita včetně hepatitidy cholestatická biopsie potvrzená jaterní nekróza jaterní selhání, včetně případů, což má za následek transplantaci nebo smrt

Poruchy kůže a podkožní tkáně: Akutní generalizovaná fotosenzitivita exantémové pustulózy

Poruchy muskuloskeletální a pojivové tkáně: Artralgia

Reprodukční systém a poruchy prsu: erektilní dysfunkce; s dávkami vyšší než doporučená terapeutická dávka 200 nebo 400 mg denně azoospermie.

Lékové interakce fnebo Nizneboal

Léky, které ovlivňují metabolismus absorpce distribuce a vylučování ketokonazolu, mohou změnit plazmatické koncentrace ketokonazolu. Bylo například prokázáno, že například potlačování kyseliny gastrové (např. Antacids histaminové inhibitory protonové pumpy) snižují plazmatické koncentrace ketoconazolu.

Ketokonazol je substrát a silný inhibitor CYP3A4. Následující lékové interakce proto mohou nastat, když je Nizoral® spolupracován s jinými léky, které interagují s CYP3A4. (Přehled těchto lékových interakcí viz tabulka 1 a tabulka 2; podrobnosti jsou uvedeny v textu, který sleduje tyto tabulky.)

  1. Nizoral® může snížit eliminaci léčiv metabolizovaných pomocí CYP3A4, čímž se zvyšuje jejich plazmatické koncentrace. Zvýšená expozice těmto lékům může způsobit zvýšení nebo prodloužení jejich terapeutických a/nebo nepříznivých účinků. Současné použití s ​​tablety Nizoral® je kontraindikováno pro léky, o nichž je známo, že představují riziko vážných vedlejších účinků se zvýšenou expozicí (viz Varování v krabici Kontraindikace oddíl a tabulka 1). Pokud je to možné, pro ostatní se doporučuje monitorování plazmatických koncentrací. Klinické příznaky a příznaky spojené s těmito léky by měly být monitorovány pomocí dávkování upravené podle potřeby.
  2. Induktory CYP3A4 mohou snížit plazmatické koncentrace ketokonazolu (viz tabulka 2). Nizoral® nemusí být účinný u pacientů souběžně užívajících jeden z těchto léků. Proto se podávání těchto léků s Nizoral® nedoporučuje.
  3. Jiné inhibitory CYP3A4 mohou zvýšit plazmatické koncentrace ketokonazolu (viz tabulka 2). Pacienti, kteří musí užívat Nizoral® souběžně s jedním z těchto léků, by měli být pečlivě sledováni na příznaky nebo příznaky zvýšených nebo prodloužených farmakologických účinků Nizoral®.

Tabulka 1: Vybraná léčiva, u nichž se ukázalo, že se jejich plazmatické koncentrace změní pomocí Nizoral®*

Systémová expozice těmto lékům je významně zvýšena přidáním ketokonazolu: doprovodné použití s ​​ketokonazolem je kontraindikováno.
Alprazolam midazolam triazolam Inhibitory reduktázy HMG-CoA (lovastatin simvastatin)
Cisapride Nisoldipin
Dofetils Pimozid
Eplerenone Quinidin
Ergot alkaloidy (ergotamin dihydroergotamin)
Systémová expozice těmto lékům se zvyšuje ketokonazolem: Doporučuje se pečlivé monitorování s možným nastavením dávky.
Alfentanil fentanylsulfenfentanil ININAVIR SAQUINAVIR
Amlodipin felodipin nifedipin nifedipin Methylprednisolon
Bosentan Rifabutin
Buspiron Sildenafil
Podnikání Sirolimus (spolupráce se nedoporučuje)
Karbamazepin Tacrolimus
Cilostazol Telithromycin
Cyklosporin Tolterodin
Digoxin Trimetrexate
Docetaxel paclitaxel Verapamil
Orální antikoagulanty Vinca alkaloidy (Vincristine - Vinblastine vinorelbin)
* Tento seznam není all-inclusive.

Tabulka 2: Vybrané léky, u kterých bylo prokázáno nebo se předpokládá, že změní plazmatickou koncentraci Nizoral®

Systémová expozice ketokonazolu je těmito léky významně snížena: Současné užívání s ketokonazolem se nedoporučuje.
Karbamazepin Phable
Potlačující látky kyseliny žaludeční (antacidy antimuskariniky histaminové H2-blokátory protonové čerpadlo inhibitory sukralfátu) Rifampin rifabutin isoniazid
Nevirapine
Systémová expozice ketoconazolu je tímto lékem výrazně zvýšena: mělo by se zvážit snížení dávky ketoconazolu
Ritonavir
* Tento seznam není all-inclusive.

Účinky ketokonazolu na jiné drogy

Systémová expozice následujícím lékům je významně zvýšena souběžnou podáváním ketokonazolu. Současné užívání těchto léků s tablety Nizoral® je kontraindikováno:

Alprazolam midazolam triazolam

Společné podávání tablet Nizoral® s alprazolamem midazolamem nebo triazolamem vedlo ke zvýšeným plazmatickým koncentracím těchto léků. To může zesilovat a prodloužit hypnotické a sedativní účinky, zejména při opakovaném nebo chronickém podávání těchto látek. Současné podávání tablet Nizoral® s alprazolamem perorálním midazolamem a perorálním triazolamem je kontraindikováno. (Vidět Kontraindikace a VAROVÁNÍS sekce.) Special precaution a patient monitneboing are required with concomitant parenteral midazolam because the sedative effect may be prolonged.

Cisapride

Orální ketokonazol silně inhibuje metabolismus cisapridu, což má za následek průměrné osminásobné zvýšení AUC cisapridu, což může vést k prodloužení QT intervalu. Proto je kontraindikováno souběžné podávání tablet Nizoral® s cisapridem. (Vidět Varování v krabici Kontraindikace a VAROVÁNÍS sekce.)

Dofetils

The class III antiarrhythmic dofetilide is known to prolong the QT interval. The potential increase in dofetilide plasma concentrations when administered concomitantly with ketoconazole could result in serious cardiovascular events including QTc prolongation and rare occurrences of torsades de pointes. Therefore concomitant administration of NIZORAL® Tablets with dofetilide is contraindicated. (See Varování v krabici Kontraindikace a VAROVÁNÍS sekce.)

Eplerenone

Ketoconazol zvyšuje eplerenon AUC zhruba 5krát, čímž zvyšuje riziko hyperkalémie a hypotenze. Společné podávání Nizoral® a Eplerenonu je kontraindikováno. (Vidět Kontraindikace sekce.)

Ergot alkaloidy

Zvýšené koncentrace alkaloidů Ergot mohou způsobit ergotismus, tj. Riziko vazospasmu potenciálně vedoucí k mozkové ischemii a/nebo ischemii končetin. Současné podávání ergotových alkaloidů, jako je dihydroergotamin a ergotamin s tablety Nizoral®, je kontraindikováno. (Vidět Kontraindikace sekce.)

Inhibitory enzymu HMG-CoA (lovastatin simvastatin)

Společné podávání ketokonazolu s inhibitory HMG-CoA reduktázy CYP3A4-metabolizované HMG-CoA reduktázy, jako je simvastatin a lovastatin, může zvýšit riziko toxicity kosterního svalu včetně rhabdomylýzy. Současné podávání tablet Nizoral® s těmito inhibitory HMG-CoA reduktázy je kontraindikováno. (Vidět Kontraindikace a VAROVÁNÍS sekce.)

Nisoldipin

Předběžné ošetření a souběžné podávání ketokonazolu vedlo k 24násobnému a 11násobnému zvýšení průměrného AUC a CMAX nisoldipinu ve srovnání s léčbou samotným nisoldipinem 5 mg. Kontraindikováno je souběžné podávání ketokonazolu s nisoldipinem. (Vidět Kontraindikace sekce.)

Pimozid

Pimozid is known to prolong the QT interval a is partially metabolized by CYP3A4. Co-administration of Nizoral® a pimozide could result in serious cardiovascular events including QTc prolongation a rare occurrences of tnebosades de pointes a is therefneboe contraindicated. (See Varování v krabici Kontraindikace a VAROVÁNÍS sekce.)

Quinidin

The class IA antiarhythmic quinidine is known to prolong the QT interval. The potential increase in quinidine plasma concentrations when administered concomitantly with ketoconazole could result in serious cardiovascular events including QTc prolongation and rare occurrences of torsades de pointes. Therefore concomitant administration of NIZORAL® Tablets with quinidine is contraindicated. (See Varování v krabici Kontraindikace a VAROVÁNÍS sekce.)

Bylo prokázáno, že společné podávání ketokonazolu s následujícími látkami, nebo se očekává, že povede ke zvýšení expozice těmto lékům. Proto se doporučuje pečlivé sledování plazmatických koncentrací nebo nežádoucích účinků těchto léčiv. Může být zapotřebí úpravy dávkování těchto léků.

Alfentanil Sufentanil fentanyl

Údaje in vitro naznačují, že alfentanil sufentanil a fentanyl jsou metabolizovány CYP3A4. Současné podávání tablet Nizoral® a Alfentanil Sufentanil nebo fentanyl může zvýšit plazmatické koncentrace posledních léčiv.

Amlodipin felodipin nifedipin nifedipin

CYP3A4 metabolizované blokátory vápníkových kanálů, jako je amlodipin felodipin nikardipin a nifedipin, by se měly používat opatrně s tabletami Nizoral®, protože ketoconazol může způsobit několik náklonných zvýšení plazmatických koncentrací těchto blokátorů vápníkových kanálů.

Bosentan

Současné podávání ketokonazolu zvýšilo CMAX a AUC Bosentan 2.1- a 2,3- záhyb. Není zapotřebí žádné úpravy dávkování Bosentanu, ale doporučuje se pečlivé monitorování pro zvýšené nepříznivé účinky spojené s Bosentanem.

Buspiron

Současné podávání buspiron s ketokonazolem může vést k významnému zvýšení plazmatických koncentrací buspiron. Při podávání s tablety Nizoral® se doporučuje nízká počáteční dávka buspiron s následnou úpravou dávky na základě klinického posouzení.

Podnikání

Tablety Nizoral® mohou snížit vůli a zvýšit tak systémovou expozici Busulfanu.

Karbamazepin

Nadarmo Studie prokázaly nárůst koncentrací karbamazepinu v plazmě u subjektů, které doprovodily ketokonazol. Důkladné monitorování koncentrací karbamazepinu v plazmě se doporučuje při každém, když je pacientům stabilizovaný na karbamazepinové terapii podáván ketokonazol.

Cilostazol Ketoconazole had been shown to increase both cilostazol AUC a Cmax by about two-fold when administered concurrently. Co-administration of ketoconazole with cilostazol resulted in increased incidences of adverse effects such as bolest hlavy. When Nizoral® Tablets is administered concomitantly with cilostazol the prescriber should consider up to a 50% reduction in cilostazol dosage.

Cyklosporin

Tablety ketoconazolu mohou změnit metabolismus cyklosporinu, což má za následek zvýšené koncentrace cyklosporinu v plazmě. Pokud je cyklosporin nebo takrolimus podáván souběžně s tabletami Nizoral®, může být vyžadováno úpravy dávkování.

Digoxin

Byly hlášeny vzácné případy zvýšených plazmatických koncentrací digoxinu. Není jasné, zda to bylo způsobeno kombinací terapie. Je proto vhodné sledovat koncentrace digoxinu u pacientů, kteří dostávají ketokonazol.

Docetaxel

V přítomnosti ketoconazolu bylo prokázáno, že se prokázáno, že clearance docetaxelu u pacientů s rakovinou klesá o 50%. Pokud jsou docetaxel a Nizoral® podávány společně, může být nutné snížení dávkování v docetaxelu, aby se minimalizovalo výskyt toxicity spojené s docetaxelem.

ININAVIR SAQUINAVIR

Současné podávání inhibitorů Nizoral® a proteázy metabolizované pomocí CYP3A4, jako je indinavir a saquinavir, může zvýšit plazmatické koncentrace těchto inhibitorů proteázy. Při provádění ketokonazolu se doporučuje redukce dávkování indinaviru. Pokud jsou saquinavir a ketoconazol na krátkou dobu podávány žádné úpravy dávkování.

Methylprednisolon

Tablety Nizoral® mohou změnit metabolismus methylprednisolonu, což má za následek zvýšené plazmatické koncentrace methylprednisolonu. Pokud je methylprednisolon podáván současně s tabletami Nizoral®, může být vyžadováno úpravy dávky.

Orální antikoagulanty

Orální imidazolové sloučeniny, jako je ketokonazol, mohou zvýšit antikoagulační účinek léků podobných kumarinu, takže antikoagulační účinek by měl být pečlivě titrován a monitorován.

Orální hypoglykemická činidla

Protože těžké Hypoglykémie byl hlášen u pacientů doprovázející perorální mikronazol (imidazol) a perorální hypoglykemická látka taková potenciální interakce zahrnující posledně uvedená činidla, pokud se používají souběžně s tablety ketoconazolu (imidazol).

Jaký druh inzulínu je novolog
Rifabutin

Ukázalo se, že ketokonazol inhibuje metabolismus rifabutinu zprostředkovaného CYP in vitro. Společné podávání s tabletami Nizoral® může vést ke zvýšeným plazmatickým koncentracím rifabutinu.

Sildenafil

Bylo prokázáno, že ketokonazol zvyšuje plazmatické koncentrace sildenafilu. Při současném použití s ​​tablety Nizoral® by mělo být zváženo 50% snížení počáteční dávky sildenafilu.

Sirolimus

Bylo prokázáno, že ketokonazol s více dávkami zvyšuje Sirolimus CMAX a AUC o 4,3krát a 10,9krát. Současné použití tablet Nizoral® a Sirolimus se nedoporučuje.

Tacrolimus

Bylo prokázáno, že ketokonazol snižuje ústní odklizení takrolimu, čímž vede k dvojnásobnému zvýšení biologické dostupnosti takrolimu. Pokud je takrolimus podáván souběžně s tablety Nizoral®, může být vyžadována úprava dávkování takrolimu.

Telithromycin

Ketokonazol zvýšil AUC telithromycinu o 1,5 až 2krát. Při provádění telithromycinu buďte opatrní opatrně s tablety Nizoral®, protože to může vést ke zvýšenému riziku nežádoucích účinků spojených s telithromycinem.

Tolterodin

V přítomnosti ketokonazolu se zjevná ústní clearance tolterodinu snížila, což vedlo k alespoň dvojnásobnému zvýšení tolterodinu. U pacientů, kteří dostávají ketokonazol, se doporučuje 50% snížení počáteční dávky tolterodinu.

Trimetrexate

In vitro Data naznačují, že trimetrexát je rozsáhle metabolizován pomocí CYP3A4. In vitro zvířecí modely prokázaly, že ketokonazol silně inhibuje metabolismus trimetrexátu. Pacienti léčeni současně s tabletami Trimetrexate a Nizoral® by měli být pečlivě sledováni na toxicitu spojené s trimetrexátem.

Verapamil

Nálezy in vitro Metabolické studie ukazují, že verapamil je metabolizován enzymy včetně CYP3A4. Ketokonazol může zvýšit koncentrace verapamilského séra. Upozornění by mělo být přijímáno při spolupráci ve Verapamilu s tabletami Nizoral®.

Vinca alkaloidy (vincristine vinblastine vinorelbin)

Nizoral® může inhibovat metabolismus alkaloidů VINCA metabolizovaných pomocí CYP3A4. Blízké monitorování toxicity spojené s vincristinem vinblastinem nebo vinorelbinem se doporučuje, když se společně podávají s tabletami Nizoral®.

Účinky jiných léků na ketokonazol

Léky ovlivňující absorpci ketoconazolu

Supresory/neutralizátory kyseliny žaludku

Studie ukázaly, že absorpce ketokonazolu je zhoršena, když se sníží produkce kyseliny žaludeční kyseliny. Snížené plazmatické koncentrace ketokonazolu byly hlášeny, když byly tablety Nizoral® podávány s antacids antimuscarinics histamin H2-blokátory protonových inhibitorů (omeprazol lansoprazol) a sukralfátem. (Vidět Lékové interakce (Obecná) oddíl.)

Léky, které byly prokázány nebo se očekává, že významně sníží systémovou expozici ketokonazolu

Společné podávání ketokonazolu se silnými induktory enzymu CYP3A4 se nedoporučuje.

Karbamazepin

Současné podávání tablet ketoconazolu s karbamazepinem může změnit metabolismus jednoho nebo obou léčiv. Doporučuje se pečlivé monitorování jak pro plazmatické koncentrace karbamazepinu, tak sníženou účinnost ketokonazolu.

Nevirapine

Ketoconazol AUC a CMAX se snížily o střední hodnotu 63% a 40% u pacientů infikovaných HIV, kterým byl podáván Nevirapin 200 mg jednou denně po dobu dvou týdnů spolu s ketoconazolem 400 mg denně. Současné podávání tablet Nizoral® a Nevirapine se nedoporučuje.

Phable

Současné podávání ketokonazolu s fenytoinem může změnit metabolismus jednoho nebo obou léčiv. Doporučuje se pečlivé monitorování jak pro plazmatické koncentrace fenytoinu, tak sníženou účinnost tablet Nizoral®.

Rifampin rifabutin isoniazid

Současné podávání rifampinu a rifabutinu s tablety ketoconazolu snižuje koncentrace krve. Bylo také hlášeno, že ING (isoniazid) ovlivňuje koncentrace ketokonazolu nepříznivě. Tyto antituberkulární léky by neměly být podávány souběžně s tabletami Nizoral®.

Léky, které významně zvyšují systémovou expozici ketoconazolu

Ritonavir

Bylo prokázáno, že doprovázející podávání ritonaviru se zvýšením tablet ketoconazolu zvyšuje ústní biologickou dostupnost ketokonazolu. Proto, pokud má být ritonavir podáván současně vyšší dávky (> 200 mg/den) tablet Nizoral®, by neměly být použity.

Jiné lékové interakce

Alkohol

Byly hlášeny vzácné případy reakce podobné disulfiramu na alkohol. Tyto zkušenosti byly charakterizovány propláchnutím vyrážky periferního edému nevolnost a bolest hlavy. Příznaky se vyřešily během několika hodin.

Loratadine

Po společném podávání 200 mg perorálního ketoconazolu dvakrát denně a jedné 20 mg dávky Loratadinu na 11 subjektů AUC a CMAX Loratadine v průměru 302% (± 142 S.D.) a 251% (± 68 S.D.), které byly získány po kotreatmentu s placem. AUC a CMAX descarboethoxyloratadinu aktivní metabolit v průměru 155% (± 27 s.d.) a 141% (± 35 S.D.). V QTC však nebyly zaznamenány žádné související změny na EKG pořádané 2 6 a 24 hodin po souběžném podávání. Rovněž neexistovaly žádné klinicky významné rozdíly v nežádoucích účincích, když byl loratadin podáván s ketokonazolem nebo bez něj.

Varování fnebo Nizneboal

Tablety Nizoral® by se měly používat pouze tehdy, pokud není k dispozici nebo tolerována jiná účinná antimykotická terapie a potenciální výhody se považují za převážit potenciální rizika.

Hepatotoxicita

Při použití perorálního ketokonazolu se objevila vážná hepatotoxicita včetně případů s fatálním výsledkem nebo vyžadující transplantaci jater. Někteří pacienti neměli zjevné rizikové faktory pro onemocnění jater. Vážná hepatotoxicita byla hlášena jak pacienty, kteří dostávali vysoké dávky pro krátké trvání léčby, tak pacienty, kteří dostávali nízké dávky pro dlouhé doby.

Poranění jater bylo obvykle, ale ne vždy bylo reverzibilní po přerušení léčby tabletů Nizoral®. Případy hepatitidy byly hlášeny u dětí.

Na základní linii získejte laboratorní testy (jako je SGGT AKALINEFOFOSFATáza alt AST CELTAL BILIRUBIN (TBL) Protrombin Time Time (PT) Mezinárodní normalizační poměr (INR) a testování virových hepatitidů). Pacienti by měli být při léčbě informováni o konzumaci alkoholu. Pokud by bylo možné u pacientů, kteří dostávají tablety Nizoral®, je třeba se vyhnout použití jiných potenciálně hepatotoxických léčiv.

Rychlé rozpoznávání poranění jater je nezbytné. V průběhu léčby by měla být Alt séra monitorována týdně po dobu léčby. Pokud se hodnoty ALT zvýší na úroveň nad horní hranicí normálního nebo 30 procent nad základní linií nebo pokud se pacient vyvine příznaky léčby ketoconazolu, by měla být přerušena a měla by být získána úplná sada jaterních testů. Pro zajištění normalizace hodnot by se měly opakovat jaterní testy. Hepatotoxicita byla hlášena při restartování perorálního ketokonazolu (recallenge). Pokud je rozhodnuto restartovat perorální ketokonazol monitorovat pacienta často, aby detekoval jakékoli opakující se poškození jater z léčiva.

Prodloužení QT a interakce s drogami vedoucími k prodloužení QT

Ketokonazol může prodloužit QT interval. Společné podávání následujících léčiv s ketoconazolem je kontraindikována: dofetilid chinidin pimozid a cisaprid. Ketokonazol může způsobit zvýšené plazmatické koncentrace těchto léčiv, které mohou prodloužit QT interval někdy, což má za následek život ohrožující komorové dysrytmie, jako jsou torsades de pointes.

Nedostatečnost nadledvin

Tablety Nizoral® snižují sekreci kortikosteroidů nadledvin při dávkách 400 mg a vyšší. Tento efekt není sdílen s jinými azoly. Doporučená dávka 200 mg - 400 mg denně by neměla být překročena.

Funkce nadledvin by měla být monitorována u pacientů s nedostatečností nadledvinek nebo s hraniční ledvinovou funkcí a u pacientů za delší dobu stresu (hlavní chirurgická intenzivní péče atd.).

Nežádoucí účinky spojené s neschválenými použití

Ketokonazol byl použit ve vysokých dávkách pro léčbu pokročilého rakoviny prostaty a pro Cushingův syndrom, když selhaly jiné možnosti léčby. Bezpečnost a účinnost ketoconazolu nebyla v těchto prostředích stanovena a použití ketokonazolu pro tyto indikace není schváleno FDA.

V klinické studii zahrnující 350 pacientů s metastatickým rakovinou prostaty bylo hlášeno jedenáct úmrtí do dvou týdnů od zahájení léčby vysokými dávkami tablet ketokonazolu (1200 mg/den). Z dostupných informací není možné zjistit, zda smrt souvisí s terapií ketoconazol nebo nadledvinovou nedostatečnost u těchto pacientů se závažným základním onemocněním.

Přecitlivělost

Anafylaxe byla hlášena po první dávce. Bylo také hlášeno několik případů hypersenzitivních reakcí včetně kopřivky.

Zvýšená sedace

Společné podávání tablet Nizoral® s perorálním midazolamem perorálním triazolamem nebo alprazolamem vedlo ke zvýšené plazmatické koncentraci těchto léčiv. To může zesilovat a prodloužit hypnotické a sedativní účinky, zejména při opakovaném dávkování nebo chronickém podávání těchto látek. Současné podávání tablet Nizoral® s perorálním triazolamem perorálním midazolamem nebo alprazolamem je kontraindikováno. (Vidět Kontraindikace a OPATŘENÍ : Lékové interakce sekce.)

Myopatie

Společné podávání inhibitorů HMG-CoA reduktázy, jako je simvastatin a lovastatin, je kontraindikována inhibitory CYP3A4. (Vidět Kontraindikace a OPATŘENÍ : Lékové interakce sekce.)

Opatření fnebo Nizneboal

Generál

Bylo prokázáno, že tablety Nizoral® snižují sérum testosteron . Jakmile se terapie tablety Nizoral® ukončí hladiny testosteronu v séru, vrátí se na hodnoty základní linie. Hladiny testosteronu jsou narušeny dávkami 800 mg denně a zrušeny o 1600 mg denně. Klinické projevy snížených koncentrací testosteronu mohou zahrnovat gynekomastii impotence a oligospermia.

Informace pro pacienty

Pacienti by měli být instruováni, aby nahlásili jakékoli známky a příznaky, které mohou naznačovat dysfunkci jater, takže je to vhodné Biochemické Lze provést testování. Takové příznaky a příznaky mohou zahrnovat neobvyklou únavu anorexie nevolnost a/nebo zvracení břišní bolesti žloutenka tmavá moč nebo bledé stoličky (viz VAROVÁNÍS sekce).

Zhodnocení mutageneze karcinogeneze plodnosti

Ketoconazole neprokázal žádné známky mutagenního potenciálu při hodnocení pomocí dominantní Lethal mutační test nebo test Ames Salmonella mikrosomálního aktivátoru. Ketokonazol nebyl karcinogenní v 18měsíční perorální studii u švýcarských albínských myší nebo 24měsíční studii orální karcinogenity u potkanů ​​Wistar při dávkách 5 20 a 80 mg/kg/den. Vysoká dávka v těchto studiích byla přibližně 1x (myš) nebo 2x (krysa) klinická dávka u lidí na základě srovnání Mg/m².

Těhotenství

Teratogenní účinky

Těhotenství Categneboy C : Ukázalo se, že ketokonazol je teratogenní (syndaktylia a oligodactylia) u potkanů, když je podáván ve stravě při 80 mg/kg/den (2krát maximální doporučená dávka lidské plochy na základě porovnání plochy těla). Tyto účinky však mohou souviset s důkazem toxicity mateřské toxicity, o kterých byl také pozorován v této a vyšších hladinách dávky.

U těhotných žen neexistují žádné přiměřené a dobře kontrolované studie. Během těhotenství by se měly používat tablety Nizoral®, pouze pokud potenciální výhoda ospravedlňuje potenciální riziko pro plod.

Neteratogenní účinky

Bylo také zjištěno, že ketokonazol je embryotoxický u potkanů, když je podáván ve stravě při dávkách vyšších než 80 mg/kg během prvního trimestru těhotenství.

Kromě toho byla dystocie (obtížná práce) zaznamenána u potkanů ​​podávaných perorální ketokonazol během třetího trimestru těhotenství. K tomu došlo, když byl ketokonazol podáván v dávkách vyšších než 10 mg/kg (asi jedna čtvrtina maximální lidská dávka založená na porovnání plochy povrchu těla).

Proč pít vodu s Bactrim DS

Ošetřovatelské matky

Ukázalo se, že se ketokonazol vylučuje do mléka. Matky, které jsou léčeny tabletami Nizoral®, by neměly kojit.

Dětské použití

Tablety Nizoral® nebyly u dětí jakéhokoli věku systematicky studovány a u dětí do 2 let nejsou k dispozici žádné informace. Tablety Nizoral® by neměly být používány u pediatrických pacientů, pokud potenciální přínos převáží nad riziky.

Informace o předávkování Nizoral

V případě akutní léčby předávkování akutním náhodným předávkováním sestává z podpůrných a symptomatických opatření. Během první hodiny po požití může být podáno aktivní uhlí aktivované.

Kontraindikace pro Nizoral

Lékové interakce

Společná podávání řady substrátů CYP3A4 je kontraindikována tabletami Nizoral®. Společná podávání s ketokonazolem může způsobit zvýšené plazmatické koncentrace těchto léčiv a může zvýšit nebo prodloužit terapeutické i nepříznivé účinky. Například zvýšené plazmatické koncentrace některých z těchto léčiv mohou vést k prodloužení QT a komorových tachyarhytmií včetně výskytu torsades de ukazují potenciálně fatální arytmii. Vidět VAROVÁNÍS sekce a OPATŘENÍ : Lékové interakce Sekce pro konkrétní příklady.

Onemocnění jater

Použití tablet Nizoral® je kontraindikováno u pacientů s akutním nebo chronickým onemocněním jater.

Přecitlivělost

Nizoral® je kontraindikován u pacientů, kteří prokázali přecitlivělost na léčivo.

Vedlejší účinky fnebo Nizneboal

Protože klinické studie se provádějí za široce proměnlivých podmínek, nežádoucí rychlosti nežádoucí reakce pozorované v klinických studiích léčiva nelze přímo porovnat s mírami v klinických studiích s jiným lékem a nemusí odrážet míru pozorované v praxi.

Následující nežádoucí účinky byly hlášeny v klinických studiích:

Poruchy imunitního systému: Anafylaktoidní reakce

Endokrinní poruchy: gynekomastia

Poruchy metabolismu a výživy: Hyperlipidemie s intolerancí alkoholu zvýšila chuť k jídlu

Psychiatrické poruchy: Nespavost nervozity

Poruchy nervového systému: bolest hlavy závrať paresthesia somnolence

Poruchy očí: fotofobie

Cévní poruchy: nebothostatic hypotenze

Respirační hrudní a mediastinální poruchy: Epistaxis

Gastrointestinální poruchy: zvracení diarrhea nevolnost constipation abdominal pain abdominal pain upper dry mouth dysgeusia dyspepsia flatulence tongue discolneboation

Hepatobiliární poruchy: hepatitida žloutenka jaterní funkce neobvyklá

Poruchy kůže a subkutánních tkání: erythema multiformní vyrážka dermatitida erytém kopce alopecie xeroderma

Poruchy muskuloskeletální a pojivové tkáně: Myalgia

Reprodukční systém a poruchy prsu: menstruační porucha

Vedlejší účinky vitamínu C askorbové

Obecné poruchy a podmínky správy na místě: Únava Astenia Únava Hot Flush Malaise Edém Periferní pyrexie Chills Investigations: Počet destiček se snížil.

Post-Marketing Experience

Následující nežádoucí účinky byly identifikovány během používání postratovalů nizorálních tabletů. Protože tyto reakce jsou hlášeny dobrovolně z populace nejisté velikosti, není vždy možné spolehlivě odhadnout jejich frekvenci nebo vytvořit kauzální vztah k expozici léčiva.

Během zážitku po trhu byly hlášeny následující nežádoucí účinky:

Poruchy krve a lymfatického systému: trombocytopenie

Poruchy imunitního systému: alergické podmínky včetně anafylaktického šokovat Anafylaktická reakce angioneurotický edém

Endokrinní poruchy: Adrenokortikální nedostatečnost

Poruchy nervového systému: Zvýšil se reverzibilní intrakraniální tlak (např. Papilloedema Fontanelle vypouknutí u kojenců)

Hepatobiliární poruchy: Vážná hepatotoxicita včetně hepatitidy cholestatická biopsie potvrzená jaterní nekróza jaterní selhání, včetně případů, což má za následek transplantaci nebo smrt

Poruchy kůže a podkožní tkáně: Akutní generalizovaná fotosenzitivita exantémové pustulózy

Poruchy muskuloskeletální a pojivové tkáně: Artralgia

Reprodukční systém a poruchy prsu: erektilní dysfunkce; s dávkami vyšší než doporučená terapeutická dávka 200 nebo 400 mg denně azoospermie.

Lékové interakce fnebo Nizneboal

Léky, které ovlivňují metabolismus absorpce distribuce a vylučování ketokonazolu, mohou změnit plazmatické koncentrace ketokonazolu. Bylo například prokázáno, že například potlačování kyseliny gastrové (např. Antacids histaminové inhibitory protonové pumpy) snižují plazmatické koncentrace ketoconazolu.

Ketokonazol je substrát a silný inhibitor CYP3A4. Následující lékové interakce proto mohou nastat, když je Nizoral® spolupracován s jinými léky, které interagují s CYP3A4. (Přehled těchto lékových interakcí viz tabulka 1 a tabulka 2; podrobnosti jsou uvedeny v textu, který sleduje tyto tabulky.)

  1. Nizoral® může snížit eliminaci léčiv metabolizovaných pomocí CYP3A4, čímž se zvyšuje jejich plazmatické koncentrace. Zvýšená expozice těmto lékům může způsobit zvýšení nebo prodloužení jejich terapeutických a/nebo nepříznivých účinků. Současné použití s ​​tablety Nizoral® je kontraindikováno pro léky, o nichž je známo, že představují riziko vážných vedlejších účinků se zvýšenou expozicí (viz Varování v krabici Kontraindikace oddíl a tabulka 1). Pokud je to možné, pro ostatní se doporučuje monitorování plazmatických koncentrací. Klinické příznaky a příznaky spojené s těmito léky by měly být monitorovány pomocí dávkování upravené podle potřeby.
  2. Induktory CYP3A4 mohou snížit plazmatické koncentrace ketokonazolu (viz tabulka 2). Nizoral® nemusí být účinný u pacientů souběžně užívajících jeden z těchto léků. Proto se podávání těchto léků s Nizoral® nedoporučuje.
  3. Jiné inhibitory CYP3A4 mohou zvýšit plazmatické koncentrace ketokonazolu (viz tabulka 2). Pacienti, kteří musí užívat Nizoral® souběžně s jedním z těchto léků, by měli být pečlivě sledováni na příznaky nebo příznaky zvýšených nebo prodloužených farmakologických účinků Nizoral®.

Tabulka 1: Vybraná léčiva, u nichž se ukázalo, že se jejich plazmatické koncentrace změní pomocí Nizoral®*

Systémová expozice těmto lékům je významně zvýšena přidáním ketokonazolu: doprovodné použití s ​​ketokonazolem je kontraindikováno.
Alprazolam midazolam triazolam Inhibitory reduktázy HMG-CoA (lovastatin simvastatin)
Cisapride Nisoldipin
Dofetils Pimozid
Eplerenone Quinidin
Ergot alkaloidy (ergotamin dihydroergotamin)
Systémová expozice těmto lékům se zvyšuje ketokonazolem: Doporučuje se pečlivé monitorování s možným nastavením dávky.
Alfentanil fentanylsulfenfentanil ININAVIR SAQUINAVIR
Amlodipin felodipin nifedipin nifedipin Methylprednisolon
Bosentan Rifabutin
Buspiron Sildenafil
Podnikání Sirolimus (spolupráce se nedoporučuje)
Karbamazepin Tacrolimus
Cilostazol Telithromycin
Cyklosporin Tolterodin
Digoxin Trimetrexate
Docetaxel paclitaxel Verapamil
Orální antikoagulanty Vinca alkaloidy (Vincristine - Vinblastine vinorelbin)
* Tento seznam není all-inclusive.

Tabulka 2: Vybrané léky, u kterých bylo prokázáno nebo se předpokládá, že změní plazmatickou koncentraci Nizoral®

Systémová expozice ketokonazolu je těmito léky významně snížena: Současné užívání s ketokonazolem se nedoporučuje.
Karbamazepin Phable
Potlačující látky kyseliny žaludeční (antacidy antimuskariniky histaminové H2-blokátory protonové čerpadlo inhibitory sukralfátu) Rifampin rifabutin isoniazid
Nevirapine
Systémová expozice ketoconazolu je tímto lékem výrazně zvýšena: mělo by se zvážit snížení dávky ketoconazolu
Ritonavir
* Tento seznam není all-inclusive.

Účinky ketokonazolu na jiné drogy

Systémová expozice následujícím lékům je významně zvýšena souběžnou podáváním ketokonazolu. Současné užívání těchto léků s tablety Nizoral® je kontraindikováno:

Alprazolam midazolam triazolam

Společné podávání tablet Nizoral® s alprazolamem midazolamem nebo triazolamem vedlo ke zvýšeným plazmatickým koncentracím těchto léků. To může zesilovat a prodloužit hypnotické a sedativní účinky, zejména při opakovaném nebo chronickém podávání těchto látek. Současné podávání tablet Nizoral® s alprazolamem perorálním midazolamem a perorálním triazolamem je kontraindikováno. (Vidět Kontraindikace a VAROVÁNÍS sekce.) Special precaution a patient monitneboing are required with concomitant parenteral midazolam because the sedative effect may be prolonged.

Cisapride

Orální ketokonazol silně inhibuje metabolismus cisapridu, což má za následek průměrné osminásobné zvýšení AUC cisapridu, což může vést k prodloužení QT intervalu. Proto je kontraindikováno souběžné podávání tablet Nizoral® s cisapridem. (Vidět Varování v krabici Kontraindikace a VAROVÁNÍS sekce.)

Dofetils

The class III antiarrhythmic dofetilide is known to prolong the QT interval. The potential increase in dofetilide plasma concentrations when administered concomitantly with ketoconazole could result in serious cardiovascular events including QTc prolongation and rare occurrences of torsades de pointes. Therefore concomitant administration of NIZORAL® Tablets with dofetilide is contraindicated. (See Varování v krabici Kontraindikace a VAROVÁNÍS sekce.)

Eplerenone

Ketoconazol zvyšuje eplerenon AUC zhruba 5krát, čímž zvyšuje riziko hyperkalémie a hypotenze. Společné podávání Nizoral® a Eplerenonu je kontraindikováno. (Vidět Kontraindikace sekce.)

Ergot alkaloidy

Zvýšené koncentrace alkaloidů Ergot mohou způsobit ergotismus, tj. Riziko vazospasmu potenciálně vedoucí k mozkové ischemii a/nebo ischemii končetin. Současné podávání ergotových alkaloidů, jako je dihydroergotamin a ergotamin s tablety Nizoral®, je kontraindikováno. (Vidět Kontraindikace sekce.)

Inhibitory enzymu HMG-CoA (lovastatin simvastatin)

Společné podávání ketokonazolu s inhibitory HMG-CoA reduktázy CYP3A4-metabolizované HMG-CoA reduktázy, jako je simvastatin a lovastatin, může zvýšit riziko toxicity kosterního svalu včetně rhabdomylýzy. Současné podávání tablet Nizoral® s těmito inhibitory HMG-CoA reduktázy je kontraindikováno. (Vidět Kontraindikace a VAROVÁNÍS sekce.)

Nisoldipin

Předběžné ošetření a souběžné podávání ketokonazolu vedlo k 24násobnému a 11násobnému zvýšení průměrného AUC a CMAX nisoldipinu ve srovnání s léčbou samotným nisoldipinem 5 mg. Kontraindikováno je souběžné podávání ketokonazolu s nisoldipinem. (Vidět Kontraindikace sekce.)

Pimozid

Pimozid is known to prolong the QT interval a is partially metabolized by CYP3A4. Co-administration of Nizoral® a pimozide could result in serious cardiovascular events including QTc prolongation a rare occurrences of tnebosades de pointes a is therefneboe contraindicated. (See Varování v krabici Kontraindikace a VAROVÁNÍS sekce.)

Quinidin

The class IA antiarhythmic quinidine is known to prolong the QT interval. The potential increase in quinidine plasma concentrations when administered concomitantly with ketoconazole could result in serious cardiovascular events including QTc prolongation and rare occurrences of torsades de pointes. Therefore concomitant administration of NIZORAL® Tablets with quinidine is contraindicated. (See Varování v krabici Kontraindikace a VAROVÁNÍS sekce.)

Bylo prokázáno, že společné podávání ketokonazolu s následujícími látkami, nebo se očekává, že povede ke zvýšení expozice těmto lékům. Proto se doporučuje pečlivé sledování plazmatických koncentrací nebo nežádoucích účinků těchto léčiv. Může být zapotřebí úpravy dávkování těchto léků.

Alfentanil Sufentanil fentanyl

Údaje in vitro naznačují, že alfentanil sufentanil a fentanyl jsou metabolizovány CYP3A4. Současné podávání tablet Nizoral® a Alfentanil Sufentanil nebo fentanyl může zvýšit plazmatické koncentrace posledních léčiv.

Amlodipin felodipin nifedipin nifedipin

CYP3A4 metabolizované blokátory vápníkových kanálů, jako je amlodipin felodipin nikardipin a nifedipin, by se měly používat opatrně s tabletami Nizoral®, protože ketoconazol může způsobit několik náklonných zvýšení plazmatických koncentrací těchto blokátorů vápníkových kanálů.

Bosentan

Současné podávání ketokonazolu zvýšilo CMAX a AUC Bosentan 2.1- a 2,3- záhyb. Není zapotřebí žádné úpravy dávkování Bosentanu, ale doporučuje se pečlivé monitorování pro zvýšené nepříznivé účinky spojené s Bosentanem.

Buspiron

Současné podávání buspiron s ketokonazolem může vést k významnému zvýšení plazmatických koncentrací buspiron. Při podávání s tablety Nizoral® se doporučuje nízká počáteční dávka buspiron s následnou úpravou dávky na základě klinického posouzení.

Podnikání

Tablety Nizoral® mohou snížit vůli a zvýšit tak systémovou expozici Busulfanu.

Karbamazepin

Nadarmo Studie prokázaly nárůst koncentrací karbamazepinu v plazmě u subjektů, které doprovodily ketokonazol. Důkladné monitorování koncentrací karbamazepinu v plazmě se doporučuje při každém, když je pacientům stabilizovaný na karbamazepinové terapii podáván ketokonazol.

Cilostazol Ketoconazole had been shown to increase both cilostazol AUC a Cmax by about two-fold when administered concurrently. Co-administration of ketoconazole with cilostazol resulted in increased incidences of adverse effects such as bolest hlavy. When Nizoral® Tablets is administered concomitantly with cilostazol the prescriber should consider up to a 50% reduction in cilostazol dosage.

Cyklosporin

Tablety ketoconazolu mohou změnit metabolismus cyklosporinu, což má za následek zvýšené koncentrace cyklosporinu v plazmě. Pokud je cyklosporin nebo takrolimus podáván souběžně s tabletami Nizoral®, může být vyžadováno úpravy dávkování.

Digoxin

Byly hlášeny vzácné případy zvýšených plazmatických koncentrací digoxinu. Není jasné, zda to bylo způsobeno kombinací terapie. Je proto vhodné sledovat koncentrace digoxinu u pacientů, kteří dostávají ketokonazol.

Docetaxel

V přítomnosti ketoconazolu bylo prokázáno, že se prokázáno, že clearance docetaxelu u pacientů s rakovinou klesá o 50%. Pokud jsou docetaxel a Nizoral® podávány společně, může být nutné snížení dávkování v docetaxelu, aby se minimalizovalo výskyt toxicity spojené s docetaxelem.

ININAVIR SAQUINAVIR

Současné podávání inhibitorů Nizoral® a proteázy metabolizované pomocí CYP3A4, jako je indinavir a saquinavir, může zvýšit plazmatické koncentrace těchto inhibitorů proteázy. Při provádění ketokonazolu se doporučuje redukce dávkování indinaviru. Pokud jsou saquinavir a ketoconazol na krátkou dobu podávány žádné úpravy dávkování.

Methylprednisolon

Tablety Nizoral® mohou změnit metabolismus methylprednisolonu, což má za následek zvýšené plazmatické koncentrace methylprednisolonu. Pokud je methylprednisolon podáván současně s tabletami Nizoral®, může být vyžadováno úpravy dávky.

Orální antikoagulanty

Orální imidazolové sloučeniny, jako je ketokonazol, mohou zvýšit antikoagulační účinek léků podobných kumarinu, takže antikoagulační účinek by měl být pečlivě titrován a monitorován.

Orální hypoglykemická činidla

Protože těžké Hypoglykémie byl hlášen u pacientů doprovázející perorální mikronazol (imidazol) a perorální hypoglykemická látka taková potenciální interakce zahrnující posledně uvedená činidla, pokud se používají souběžně s tablety ketoconazolu (imidazol).

Rifabutin

Ukázalo se, že ketokonazol inhibuje metabolismus rifabutinu zprostředkovaného CYP in vitro. Společné podávání s tabletami Nizoral® může vést ke zvýšeným plazmatickým koncentracím rifabutinu.

Sildenafil

Bylo prokázáno, že ketokonazol zvyšuje plazmatické koncentrace sildenafilu. Při současném použití s ​​tablety Nizoral® by mělo být zváženo 50% snížení počáteční dávky sildenafilu.

Sirolimus

Bylo prokázáno, že ketokonazol s více dávkami zvyšuje Sirolimus CMAX a AUC o 4,3krát a 10,9krát. Současné použití tablet Nizoral® a Sirolimus se nedoporučuje.

Tacrolimus

Bylo prokázáno, že ketokonazol snižuje ústní odklizení takrolimu, čímž vede k dvojnásobnému zvýšení biologické dostupnosti takrolimu. Pokud je takrolimus podáván souběžně s tablety Nizoral®, může být vyžadována úprava dávkování takrolimu.

Telithromycin

Ketokonazol zvýšil AUC telithromycinu o 1,5 až 2krát. Při provádění telithromycinu buďte opatrní opatrně s tablety Nizoral®, protože to může vést ke zvýšenému riziku nežádoucích účinků spojených s telithromycinem.

Tolterodin

V přítomnosti ketokonazolu se zjevná ústní clearance tolterodinu snížila, což vedlo k alespoň dvojnásobnému zvýšení tolterodinu. U pacientů, kteří dostávají ketokonazol, se doporučuje 50% snížení počáteční dávky tolterodinu.

Trimetrexate

In vitro Data naznačují, že trimetrexát je rozsáhle metabolizován pomocí CYP3A4. In vitro zvířecí modely prokázaly, že ketokonazol silně inhibuje metabolismus trimetrexátu. Pacienti léčeni současně s tabletami Trimetrexate a Nizoral® by měli být pečlivě sledováni na toxicitu spojené s trimetrexátem.

Verapamil

Nálezy in vitro Metabolické studie ukazují, že verapamil je metabolizován enzymy včetně CYP3A4. Ketokonazol může zvýšit koncentrace verapamilského séra. Upozornění by mělo být přijímáno při spolupráci ve Verapamilu s tabletami Nizoral®.

Vinca alkaloidy (vincristine vinblastine vinorelbin)

Nizoral® může inhibovat metabolismus alkaloidů VINCA metabolizovaných pomocí CYP3A4. Blízké monitorování toxicity spojené s vincristinem vinblastinem nebo vinorelbinem se doporučuje, když se společně podávají s tabletami Nizoral®.

Účinky jiných léků na ketokonazol

Léky ovlivňující absorpci ketoconazolu

Supresory/neutralizátory kyseliny žaludku

Studie ukázaly, že absorpce ketokonazolu je zhoršena, když se sníží produkce kyseliny žaludeční kyseliny. Snížené plazmatické koncentrace ketokonazolu byly hlášeny, když byly tablety Nizoral® podávány s antacids antimuscarinics histamin H2-blokátory protonových inhibitorů (omeprazol lansoprazol) a sukralfátem. (Vidět Lékové interakce (Obecná) oddíl.)

Léky, které byly prokázány nebo se očekává, že významně sníží systémovou expozici ketokonazolu

Společné podávání ketokonazolu se silnými induktory enzymu CYP3A4 se nedoporučuje.

Karbamazepin

Současné podávání tablet ketoconazolu s karbamazepinem může změnit metabolismus jednoho nebo obou léčiv. Doporučuje se pečlivé monitorování jak pro plazmatické koncentrace karbamazepinu, tak sníženou účinnost ketokonazolu.

Nevirapine

Ketoconazol AUC a CMAX se snížily o střední hodnotu 63% a 40% u pacientů infikovaných HIV, kterým byl podáván Nevirapin 200 mg jednou denně po dobu dvou týdnů spolu s ketoconazolem 400 mg denně. Současné podávání tablet Nizoral® a Nevirapine se nedoporučuje.

Phable

Současné podávání ketokonazolu s fenytoinem může změnit metabolismus jednoho nebo obou léčiv. Doporučuje se pečlivé monitorování jak pro plazmatické koncentrace fenytoinu, tak sníženou účinnost tablet Nizoral®.

Rifampin rifabutin isoniazid

Současné podávání rifampinu a rifabutinu s tablety ketoconazolu snižuje koncentrace krve. Bylo také hlášeno, že ING (isoniazid) ovlivňuje koncentrace ketokonazolu nepříznivě. Tyto antituberkulární léky by neměly být podávány souběžně s tabletami Nizoral®.

Léky, které významně zvyšují systémovou expozici ketoconazolu

Ritonavir

Bylo prokázáno, že doprovázející podávání ritonaviru se zvýšením tablet ketoconazolu zvyšuje ústní biologickou dostupnost ketokonazolu. Proto, pokud má být ritonavir podáván současně vyšší dávky (> 200 mg/den) tablet Nizoral®, by neměly být použity.

Jiné lékové interakce

Alkohol

Byly hlášeny vzácné případy reakce podobné disulfiramu na alkohol. Tyto zkušenosti byly charakterizovány propláchnutím vyrážky periferního edému nevolnost a bolest hlavy. Příznaky se vyřešily během několika hodin.

Loratadine

Po společném podávání 200 mg perorálního ketoconazolu dvakrát denně a jedné 20 mg dávky Loratadinu na 11 subjektů AUC a CMAX Loratadine v průměru 302% (± 142 S.D.) a 251% (± 68 S.D.), které byly získány po kotreatmentu s placem. AUC a CMAX descarboethoxyloratadinu aktivní metabolit v průměru 155% (± 27 s.d.) a 141% (± 35 S.D.). V QTC však nebyly zaznamenány žádné související změny na EKG pořádané 2 6 a 24 hodin po souběžném podávání. Rovněž neexistovaly žádné klinicky významné rozdíly v nežádoucích účincích, když byl loratadin podáván s ketokonazolem nebo bez něj.

Informace o pacientech pro Nizoral

Nizoral®
(Ketoconazole) tablety

Jaké jsou nejdůležitější informace, které bych měl vědět o tabletech Nizoral®?

Nizoral® Tablets is not the only medicine available to treat fungal infections a should only be used when other medicines are not right fnebo you. Talk to your healthcare provider to find out if Nizoral® Tablets are right fnebo you.

Nizoral® Tablets can cause serious side effects including:

  • Problémy s jater (hepatotoxicita). Někteří lidé, kteří byli léčeni ketoconazolem, účinná látka v tabletech Nizoral® měla vážné problémy s jatery, které vedly k smrti nebo potřebě transplantace jater. Pokud máte některý z následujících příznaků, zavolejte svému poskytovateli zdravotní péče:
    • Ztráta chuti k jídlu nebo začít hubnutí (anorexie)
    • nevolnost nebo zvracení
    • cítit se unavený
    • bolest žaludku nebo tenderness
    • tmavá moč nebo světle barevná stolička
    • Žutání vaší kůže nebo bělochů vašich očí
    • horečka nebo vyrážka
  • Změny v elektrické aktivitě vašeho srdce zvanou QT prodloužení. Prodloužení QT může způsobit nepravidelné srdeční rytmy, které mohou být život ohrožující. K tomu může dojít, když se tablety Nizoral® odebírají s určitými léky, jako je dofetilid chinidin pimozid a cisaprid. Promluvte si se svým poskytovatelem zdravotní péče o jiných lécích, které užíváte, než začnete brát tablety Nizoral®. Okamžitě řekněte svému poskytovateli zdravotní péče, pokud se cítíte slabý závratě nebo cítíte, že vaše srdce bije nepravidelně nebo rychle. Mohou to být příznaky související s prodloužením QT.

Co jsou tablety Nizoral®?

  • Nizoral® Tablets are prescription medicine used to treat serious fungal infections including: blastomycosis coccidioidomycosis histoplasmosis chromomycosis a paracoccidioidomycosis.
  • Nizoral® Tablets are not fnebo people with fungal nail infections.
  • Nizoral® Tablets have not been approved fnebo the treatment of advanced prostate cancer nebo Cushing's syndrome. The safety a efficacy have not been established.
  • Nizoral® Tablets should only be used in children if prescribed by the healthcare provider who has determined that the benefits outweigh the risks.

Kdo by neměl brát tablety Nizoral®?

  • Neberte si tablety Nizoral®, pokud:
    • mít problémy s jatery
    • Vezměte simvastatin a lovastatin. Tablety Nizoral® při užívání těchto léků mohou způsobit svalové problémy.
    • Vezměte eplerenon dihydroergotamin ergotamin a nisoldipin.
    • Vezměte triazolam midazolam nebo alprazolam. Užívání tablet Nizoral® s těmito léky může způsobit, že vás velmi ospalé a vaše ospalost vydrží déle.
    • jsou alergičtí na ketokonazol nebo některá ze složek v tabletech Nizoral®. Úplný seznam přísad v tabletech Nizoral® naleznete na konci této medikační příručky.

Než si vezmete tablety Nizoral®, řekněte svému poskytovateli zdravotní péče, pokud:

  • Měli abnormální trasování srdečního rytmu (EKG) nebo kdokoli z vaší rodiny má nebo měl srdeční problém zvaný vrozený dlouhý qt syndrom.
  • mít nadledvinovou nedostatečnost.
  • jsou těhotné nebo plánují otěhotnět. Není známo, zda tablety Nizoral® poškodí vaše nenarozené dítě.
  • jsou kojení nebo plánují kojení. Tablety Nizoral® mohou projít do mateřského mléka. Vy a váš poskytovatel zdravotní péče byste se měli rozhodnout, zda si vezmete Nizoral®

Tablety nebo kojení. Neměli byste dělat obojí.

Řekněte svému poskytovateli zdravotní péče o všech lécích, které užíváte, včetně předpisů a volně prodejných léčivých přípravků a bylinných doplňků.

Použití tablet Nizoral® s některými dalšími léky se může navzájem ovlivnit. Použití tablet Nizoral® s jinými léky může způsobit vážné vedlejší účinky.

Jak mám brát tablety Nizoral®?

  • Vezměte si Nizoral® 1 čas každý den.
  • Nepřestávejte brát tablety Nizoral®, aniž byste nejprve mluvili s poskytovatelem zdravotní péče.

Co bych se měl vyhnout při užívání tablet Nizoral®?

fitness pro cestovatele
  • Při užívání tablet Nizoral® nepijte alkohol.

Jaké jsou možné vedlejší účinky tablet Nizoral®?

Nizoral® Tablets may cause serious side effects including:

  • Podívejte se, jaké nejdůležitější informace bych měl vědět o tabletech Nizoral®?
  • Nedostatečnost nadledvin. Nestačitelnost nadledvin je stav, ve kterém nadledvinky nečiní dostatek steroidních hormonů. Tablety Nizoral® mohou způsobit nedostatečnost nadledvin, pokud si vezmete vysokou dávku. Váš poskytovatel zdravotní péče vás bude pečlivě sledovat, pokud máte nadledvinovou nedostatečnost nebo pokud užíváte prednison nebo jiné podobné léky po dlouhou dobu. Okamžitě zavolejte svého poskytovatele zdravotní péče, pokud máte příznaky nedostatku nadledvin, jako je slabost únavy, závratě nevolnost a zvracení.
  • Vážné alergické reakce. Někteří lidé mohou mít vážnou alergickou reakci na tablety Nizoral®. Přestaňte brát tablety Nizoral® a okamžitě jděte do nejbližší pohotovostní místnosti v nemocnici, pokud dostanete vyrazovou svědění úly horečky otoku rtů nebo bolesti na hrudi nebo máte potíže s dýcháním. Mohly by to být známky vážné alergické reakce.
  • svalové problémy. Užívání některých léčivých přípravků s tablety Nizoral® může způsobit svalové problémy. Vidět Kdo by neměl brát tablety Nizoral®?

Mezi nejčastější vedlejší účinky tablet Nizoral® patří bolest hlavy v nevolnosti bolest žaludku a abnormální testy jater.

Nejedná se o všechny možné vedlejší účinky tablet Nizoral®. Pro více informací se zeptejte svého poskytovatele zdravotní péče nebo lékárníka.

Zavolejte svého lékaře, kde najdete lékařskou radu ohledně vedlejších účinků. Můžete nahlásit vedlejší účinky FDA na 1-800-FDA-1088.

Jak mám ukládat tablety Nizoral®?

  • Ukládejte tablety Nizoral® při teplotě místnosti mezi 59 ° F až 77 ° F (15 ° C až 25 ° C).
  • Udržujte tablety Nizoral® v suchu.

Generál infnebomation about the safe a effective use of Nizoral® Tablets.

Léky jsou někdy předepisovány pro jiné účely než léky uvedené v průvodci s léky. Nepoužívejte tablety Nizoral® pro podmínku, pro které nebylo předepsáno. Nedávejte tablety Nizoral® jiným lidem, i když mají stejné příznaky, jaké máte. Může jim to poškodit.

Tento průvodce medikací shrnuje nejdůležitější informace o tabletech Nizoral®.

Pokud byste chtěli více informací, promluvte si se svým poskytovatelem zdravotní péče. Můžete požádat svého lékárníka nebo poskytovatele zdravotní péče o informace o tabletech Nizoral®, které jsou psány pro zdravotnické pracovníky.

Jaké jsou ingredience v tabletech Nizoral®?

Aktivní složka: Ketokonazol.

Neaktivní ingredience: Koloidní křemíkový oxid kukuřičný škrob laktóza stearátu mikrokrystalická celulóza a povidon.