Informace Na Stránce Nepředstavují Lékařskou Radu. Nic Neprodáváme. Přesnost Překladu Není Zaručena. Zřeknutí Se Odpovědnosti



Autoinjektor epinefrinu

Shrnutí drog

Co je autoinjektor epinefrinu?

Auto-injektor injekce epinefrinu obsahuje neselektivní alfa a agonista beta-adrenergního receptoru uvedeného v nouzovém léčbě alergických reakcí (typu I) včetně anafylaxe. Injekce epinefrinu je k dispozici v obecné formě.

Jaké jsou vedlejší účinky autoinjektoru epinefrinu?

Mezi běžné vedlejší účinky injekce epinefrinu patří:



  • úzkost
  • obava
  • neklid
  • tremor
  • slabost
  • závrať
  • pocení
  • Palpitace srdce
  • bledá kůže
  • nevolnost
  • zvracení
  • Bolest hlavy a
  • potíže s dýcháním

Pokud máte následující vážné vedlejší účinky, vyhledejte lékařskou péči nebo zavolejte na číslo 911:



  • Vážné příznaky očí, jako je ztráta náhlého vidění rozmazané vidění vidění Vision Vision Eye Eye Eye Eye Eye Eye Eye Eye nebo vidět halos kolem světel;
  • Vážné příznaky srdce, jako je rychlé nepravidelné nebo bušení srdečního rytmu; třepování v hrudi; dušnost; a náhlé závratě lightheartiesness nebo omdlení;
  • Těžká zmatek bolesti hlavy zkroucený řečový rameno nebo slabost nohou Potíže se ztrátou chůze pocitu koordinace Pocit nestabilní velmi tuhé svaly vysoké horečky bohaté pocení nebo třes.

Tento dokument neobsahuje všechny možné vedlejší účinky a mohou dojít k jiným. Další informace o vedlejších účincích najdete u svého lékaře.

Dávka pro autoinjektor epinefrinu

Dávka epinefrinu u pacientů vyšších nebo rovných 30 kg (66 liber) je 0,3 mg. Dávka epinefrinu pro pacienty 15 až 30 kg (33 liber-66 liber) 0,15 mg.



Jaké léčivé látky nebo doplňky interagují s autoinjektorem epinefrinu?

Injekce epinefrinu může interagovat s srdečními glykosidy Diuretika Tricyklická antidepresiva monoamin oxidáza inhibitory (MAOI) levothyroxin sodný určité antihistamininy beta-blokátory alfa-blokátory a ergot alkaloidy. Řekněte svému lékaři všechny léky a doplňky, které používáte.

Autoinjektor epinefrinu během těhotenství nebo kojení

Řekněte svému lékaři, pokud jste těhotná nebo plánujete otěhotnět před použitím injekce epinefrinu; Není známo, jak by to ovlivnilo plod. Není známo, zda epinefrin prochází do mateřského mléka. Před kojením se poraďte se svým lékařem.

xanax, pro co se používá

Další informace

Náš injektor injekce epinefrinu 0,3 mg 0,15 mg pro intramuskulární nebo subkutánní použití vedlejších účinků Drug Center poskytuje komplexní pohled na dostupné informace o možných vedlejších účincích při užívání tohoto léku.

Informace o drogách FDA

Popis pro autoinjektor epinefrinu

Injekce epinefrinu USP Auto-injektor 0,3 mg a 0,15 mg je auto-injektor a kombinovaný produkt obsahující komponenty léčiva a zařízení.

Každý injekční injekce epinefrinu USP Auto-injektor 0,3 mg poskytuje jednu dávku 0,3 mg epinefrinu z injekce epinefrinu USP (NULL,3 ml) ve sterilním roztoku.

Každý injekční injektor epinefrinu USP 0,15 mg poskytuje jednu dávku 0,15 mg epinefrinu z injekce epinefrinu USP (NULL,15 ml) ve sterilním roztoku.

Injekce injekce epinefrinu Auto-injektor 0,3 mg a injekce epinefrinu USP Auto-injektor 0,15 mg každý obsahuje 1,1 ml epinefrinového roztoku. 0,3 ml a 0,15 ml roztoku epinefrinu je vydáno pro injekční injekci epinefrinu 0,3 mg a injekci epinefrinu USP Auto-injektor 0,15 mg při aktivaci. Řešení zbývající po aktivaci není k dispozici pro budoucí použití a mělo by být vyřazeno.

Každý 0,3 ml v injekci epinefrinu USP Auto-injektor 0,3 mg obsahuje 0,3 mg epinefrinu 2,6 mg chloridu sodného sodného ne více než 1,5 mg chlorobutanolu 0,45 mg sodíku Bisulfitem hydrochlorovo kyselinou a kyselinou sodíkem pro injekci pro injekci. Rozsah pH je 2,2-5,0.

Každý 0,15 ml v injekci epinefrinu USP Auto-injektor 0,15 mg obsahuje 0,15 mg epinefrin 1,3 mg chloridu sodného sodného, ​​ne více než 0,75 mg chlorbutanolu 0,225 sodíku hydrochlorovou a kyselinou sodíkem pro injekci. Rozsah pH je 2,2-5,0.

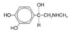
Epinefrin je sympatomimetická Katecholamin . Chemicky epinefrin je (-)-34-dihydroxy-a-[(methylamino) methyl] benzylalkohol s následující strukturou:

Roztok epinefrinu se rychle zhoršuje při vystavení vzduchu nebo světlu, který se z růžové z oxidace na adrenochrom a hnědá z tvorby melaninu. Nahraďte injekční injektor epinefrinu, pokud se zdá, že roztok epinefrinu je zbarven (narůžovělá nebo hnědá barva) zataženo nebo obsahuje částice.

Důkladně zkontrolujte pokyny pro pacienta a provoz injekce injekce epinefrinu USP Auto-injektor s pacienty a pečovateli před použitím [viz viz Informace o pacientu ].

Použití pro autoinjektor epinefrinu

Injekce injekce epinefrinu USP Auto-injektor je indikován v pohotovostním léčbě alergických reakcí (typu I), včetně anafylaxe na bodavé hmyz (např. Hymenoptera s řádem, který zahrnuje včely Hornets žluté bundy a ohnivé mravence) a radií (např. Mosquets Triatoma) alerkové testování (e. média) a další alergeny, jakož i idiopatická anafylaxe nebo cvičební anafylaxe.

Injekce injekce epinefrinu USP Auto-injektor je určen k okamžitému podání u pacientů, u nichž je rozhodnuto být vystaveno zvýšenému riziku anafylaxe, včetně jedinců s anaphylaktickou reakcí.

Anafylaktické reakce se mohou objevit během několika minut po expozici a skládat se z propláchnutí synkopy synkopy tachykardie nitě nebo nedotknutelného impulsu spojeného s poklesem krevního tlaku zvracení průjmu a břišních křečích angiosecema.

Injekce injekce epinefrinu USP Auto-injektor je určen k okamžitému podání pouze jako nouzová podpůrná terapie a není náhradou ani nenahrazuje okamžitou lékařskou péči.

Dávka pro autoinjektor epinefrinu

Výběr vhodné injekce injekce epinefrinu USP Auto-injektor dávkování je stanoven podle tělesné hmotnosti pacienta.

  • Pacienti větší nebo rovnou 30 kg (přibližně 66 liber nebo více): injekční injekce epinefrinu auto-injektor 0,3 mg
  • Pacienti 15 až 30 kg (33 liber až 66 liber): Injekce injekce epinefrinu USP.

Injekční injekce epinefrinu v injekci USP Auto injektor intramuskulárně nebo subkutánně do anterolaterálního aspektu stehna v případě potřeby oděvem. Instrujte pečovatele malých dětí, kterým je předepsáno injekci injekce epinefrinu, a kteří mohou být nespolupracující a kopat nebo se pohybovat během injekce, aby drželi nohu pevně na místě a omezili pohyb před a během injekce [viz viz injekce [viz viz injekce [viz viz injekce [Viz injekci [viz Varování a OPATŘENÍ ].

Každý injekční injektor epinefrinu USP obsahuje jednu dávku epinefrinu pro injekci jednoho použití. Protože dávky epinefrinu dodávané z injekční injekce epinefrinu jsou fixovány zvážit pomocí jiných forem injekčního epinefrinu, pokud jsou dávky nižší než 0,15 mg považovány za nezbytné.

Přední lékař by měl pečlivě posoudit každého pacienta, aby určil nejvhodnější dávku epinefrinu rozpoznávající život ohrožující povahu reakcí, pro které je tento lék označen.

Při závažných přetrvávajících anafylaxových opakovacích injekcích může být nezbytným auto-injektorem USP v injekci epinefrinu. Více než dvě sekvenční dávky epinefrinu by měly být podávány pouze pod přímým lékařským dohledem [viz viz Varování a OPATŘENÍ ].

Roztok epinefrinu v okně pozorovacího okna injekce injekce epinefrinu USP by měl být vizuálně zkontrolován z hlediska částic a zabarvení. Epinefrin je citlivý na světlo a měl by být uložen ve vnějším pouzdře, který jej chrání před světlem [viz Jak dodáno ].

Jak dodáno

Dávkování Forms And Strengths

  • Injekce 0,3 mg/0,3 ml injekce epinefrinu předem naplněná
  • Injekce 0,15 mg/0,15 ml injekce epinefrinu předem naplněná

Karton obsahující dva injekční injekční injektory epinefrinu 0,3 mg: NDC 0115-1694-49.
Karton obsahující jeden injekční injekční injekci epinefrinu 0,3 mg: NDC 0115-1694-30.
Karta obsahující dva injekční injekční injektory epinefrinu 0,15 mg: NDC 0115-1695-49.
Karton obsahující jeden injekční injekci epinefrinu USP Auto-injektor 0,15 mg: NDC 0115-1695-30.

Skladování a manipulace

Chránit před světlem. Epinefrin je citlivý na světlo a měl by být uložen v případě přenášení poskytovaného k ochraně před světlem. Ukládat při teplotě místnosti (20 ° až 25 ° C (68 ° až 77 ° F)); Výlety povoleny na 15 ° až 30 ° C (59 ° až 86 ° F) [viz USP kontrolovaná pokojová teplota]. Nevychlaďte. Před použitím kontroly, abyste se ujistili, že řešení v automatickém injektoru je čisté a bezbarvé. Vyměňte auto-injektor, pokud je roztok zbarven (narůžovělá nebo hnědá barva) zataženo nebo obsahuje částice.

Revidované: červenec

Vedlejší účinky na autoinjektor epinefrinu

Kvůli nedostatku randomizovaných kontrolovaných klinických studií epinefrinu pro léčbu anafylaxe je obtížné určit skutečný výskyt nežádoucích účinků spojených se systémovým používáním epinefrinu. Níže jsou uvedeny nežádoucí účinky hlášené v pozorovacích studiích a studiích.

Mezi běžné nežádoucí účinky na systémově podávané epinefrin patří úzkost; obavy; neklid; tremor; slabost; závrať; pocení; palpitace; bledost; nevolnost a zvracení; Bolest hlavy a/nebo respirační potíže. Tyto příznaky se vyskytují u některých osob, které dostávají terapeutické dávky epinefrinu Varování a OPATŘENÍ ].

Arytmie včetně fatální komorové fibrilace byly hlášeny zejména u pacientů se základní srdeční onemocnění nebo u pacientů, kteří dostávali určité léky [viz Varování a OPATŘENÍ a Lékové interakce ].

Rychlé zvýšení krevního tlaku způsobilo mozkové krvácení zejména u starších pacientů s kardiovaskulárním onemocněním [viz viz Varování a OPATŘENÍ ].

Angina se může objevit u pacientů s onemocněním koronárních tepen [viz Varování a OPATŘENÍ ].

Náhodná injekce do rukou nebo nohou číslic může vést ke ztrátě průtoku krve do postižené oblasti [viz Varování a OPATŘENÍ ].

Nežádoucí účinky, které se vyskytují v důsledku náhodných injekcí, mohou zahrnovat zvýšené lokální reakce srdeční frekvence, včetně injekčního místa blesku chladu a hypoestézie nebo poranění v místě injekce, což má za následek modřiny krvácení zbarvení erytému nebo kosterního poškození.

Při injektoru injektoru injektoru epinefrinu v injekci epinefrinu byly injikovány do stehen malých dětí, které jsou nekoperativní a kop nebo pohybující se během injekce, byly hlášeny tržné rány a kopné nebo pohyb [viz viz injekční injektor USP, injekční injektor USP. Varování a OPATŘENÍ ].

Injekce do hýždě vedla v případech plynové gangrény [viz Varování a OPATŘENÍ ].

Po injekci epinefrinu do stehna byly hlášeny vzácné případy vážných infekcí kůže a měkkých tkání, včetně nekrotizující fasciitidy a myonekrózy způsobené klostridií (plynová gangréna) po injekci epinefrinu [viz viz Varování a OPATŘENÍ ].

Interakce léčiva pro autoinjektor epinefrinu

Pacienti, kteří dostávají epinefrin, zatímco současně užívají srdeční glykosidy diuretika nebo anti-arrytmiku, by měli být pečlivě pozorováni pro vývoj srdečních arytmií [viz viz Varování a OPATŘENÍ ].

Účinky epinefrinu mohou být zesíleny tricyklickými antidepresivami monoamin oxidázy levothyroxin sodík a určitými antihistaminikami zejména chlorfeniramin trilennamin a difenhydraminem.

Kardiostimulační a bronchodilační účinky epinefrinu jsou antagonizovány beta-adrenergními blokovacími léky, jako je propranolol.

Vasokonstrikční a hypertenzní účinky epinefrinu jsou antagonizovány alfa-adrenergním blokováním léčiv, jako je fentolamin.

Alkaloidy ergot mohou také zvrátit tiskové účinky epinefrinu.

Varování pro autoinjektor epinefrinu

Zahrnuto jako součást 'OPATŘENÍ' Sekce

Opatření pro autoinjektor epinefrinu

Nouzové ošetření

Injekční injektor epinefrinu Auto-injektor je určen k okamžitému podání jako nouzová podpůrná terapie a není zamýšlena jako náhrada za okamžitou lékařskou péči. Ve spojení s podáváním epinefrinu by měl pacient hledat okamžitou lékařskou nebo nemocniční péči. Více než dvě sekvenční dávky epinefrinu by měly být podávány pouze pod přímým lékařským dohledem [viz viz Indikace Dávkování a podávání a Informace o pacientu ].

Komplikace související s injekcí

Injekční injektor epinefrinu USP by měl být vstříknut pouze do anterolaterálního aspektu stehna [viz Dávkování a podávání a Informace o pacientu ].

Nepřímejte intravenózně
  • Velké dávky nebo náhodná intravenózní injekce epinefrinu mohou vést k mozkovému krvácení v důsledku prudkého zvýšení krevního tlaku. Rychle působící vazodilatátory mohou působit proti výrazným tiskovým účinkům epinefrinu, pokud existuje takové neúmyslné podávání.
Nepřímejte do hýždě
  • Injekce do hýždě nemusí poskytnout účinnou léčbu anafylaxe. Poraďte pacienta, aby šel okamžitě do nejbližší pohotovostní místnosti pro další ošetření anafylaxe. Navíc injekce do hýždě byla spojena s vývojem blízkovacích infekcí (plynná gangréna). Čištění alkoholem nezabíjí bakteriální spóry, a proto nesnižuje riziko.
Nepřivádějte do číslic rukou nebo nohou
  • Protože epinefrin je silná vazokonstrikční náhodná injekce do rukou číslic nebo nohou, může vést ke ztrátě průtoku krve do postižené oblasti. Poraďte pacienta, aby šel okamžitě do nejbližší pohotovostní místnosti a informoval poskytovatele zdravotní péče v pohotovostní místnosti umístění náhodné injekce. Léčba takového neúmyslného podávání by měla kromě dalšího zacházení s anafylaxí spočívat z vazodilatace [viz viz Nežádoucí účinky ].
Během injekce pevně držte nohu
  • Když byl epinefrin injikován do stehna malých dětí, které jsou nespolupracující a kopat nebo pohybovat během injekce, byly hlášeny tržné rány a zabudované jehly. Chcete-li minimalizovat riziko poranění související s injekcí při podávání injekční injekce epinefrinu USP Auto-injektor malým dětem dává pečovatelům, aby drželi nohu dítěte pevně na místě a omezili pohyb před injekcí a během injekce.

Vážné infekce v místě injekce

V injekčním místě po injekci po injekci epinefrinu pro anafylaxi byly hlášeny vzácné případy vážných případů vážných infekcí kůže a měkkých tkání. Clostridium Spóry mohou být přítomny na kůži a zavedeny do hluboké tkáně s subkutánní nebo intramuskulární injekcí. Zatímco čištění alkoholem může snížit přítomnost bakterií na čištění alkoholu kůže, nezabíjí Clostridium spory. Snížit riziko Clostridium Infekce neinjekce injekční injekce epinefrinu USP do hýždě [viz viz Komplikace související s injekcí ]. Advise patients to seek medical care if they develop signs or symptoms of infection such as persistent červenýness warmth otok or něha at the epinefrin injection site.

Alergické reakce spojené se siřičkou

Přítomnost sulfitu v tomto produktu by neměla odradit podávání léčiva pro léčbu vážných alergických nebo jiných nouzových situací, i když je pacient citlivý na siřičitý.

Epinefrin je preferovanou léčbou závažných alergických reakcí nebo jiných nouzových situací, i když tento produkt obsahuje bisulfitu sodný sulfitem, který může v jiných produktech způsobit alergické reakce, včetně anafylaktických symptomů nebo život ohrožujících nebo méně závažných astmatických epizod.

Alternativy používání epinefrinu v život ohrožující situaci nemusí být uspokojivé.

Interakce onemocnění

Někteří pacienti mohou být po podání epinefrinu vystaveni většímu riziku rozvoje nežádoucích účinků. Navzdory těmto obavám by mělo být uznáno, že přítomnost těchto podmínek není kontraindikací pro podávání epinefrinu v akutní situaci ohrožující život. Pacienti s těmito podmínkami a/nebo jinou osobou, kteří by mohli být schopni podávat injekci injekce epinefrinu, by mělo být pečlivě poučeno k okolnostem, za kterých by se měl epinefrin používat, by měl být používán epinefrin.

  • Pacienti se srdečními chorobami

Epinefrin by měl být podáván s opatrností pacientům, kteří mají srdeční onemocnění, včetně pacientů se srdeční arytmií koronární tepny nebo organické srdeční choroby nebo hypertenze. U takových pacientů nebo u pacientů, kteří jsou na drogách, kteří mohou senzibilizovat srdce na arytmií epinefrin, může vysrážit nebo zhoršit anginu pectoris a produkovat komorové arytmie [viz viz Lékové interakce a Nežádoucí účinky ].

  • Ostatní pacienti a nemoci

Epinefrin by měl být podáván s opatrností pacientům s hypertyreózou diabetes starší jedinci a těhotnými ženami. Pacienti s Parkinsonovou chorobou si mohou všimnout dočasného zhoršení příznaků.

Informace o poradenství pro pacienta

[Viz označení pacienta schváleného FDA ( Informace o pacientu a Pokyny pro použití )

Poskytovatel zdravotní péče by měl s pacientem nebo pečovatelem podrobně zkontrolovat pokyny pro pacienta a provoz injektoru injekce epinefrinu.

Epinefrin je nezbytný pro léčbu anafylaxe. Pečlivě instrujte pacienty, kteří jsou ohroženi nebo s anamnézou závažných alergických reakcí (anafylaxe) na hmyzí bodnutí nebo kousnutí potravin a jiných alergenů, jakož i idiopatická a cvičená anafylaxe o okolnostech, za kterých by se měl používat epinefrin.

Správa a školení

Instrujte pacienty a/nebo pečovatele při vhodném použití auto-injektoru injekce epinefrinu. Injekční injektor epinefrinu USP Auto-injektor by měl být injikován do středu vnějšího stehna (v případě potřeby oděvem).

Pokyny pečovatelům, aby drželi nohu malých dětí pevně na místě a omezili pohyb před injekcí a během injekce. Byly hlášeny tržné rány ohnuté jehly a zabudované jehly, když byl do stehna malých dětí, které jsou nespolupracující a kop během injekce Varování a OPATŘENÍ ].

Každý injektor injekční injektor epinefrinu je injektor USP injekcí s jedním použitím. Doporučujte pacientům, aby hledali okamžitou lékařskou péči ve spojení s podáváním automatického injektoru injekční injekci epinefrinu.

Úplné informace o pacientech včetně směrů dávkování pro správné podávání a preventivní opatření lze nalézt uvnitř každé injekce injekci epinefrinu USP AutoInjector Carton. Vytištěná štítek na povrchu injekční injekční injektor epinefrinu ukazuje pokyny pro použití a diagram zobrazující proces injekce.

Poučte pacienty a/nebo pečovatele, aby využili trenéra k seznámení s používáním auto-injektoru injektoru epinefrinu v alergické nouzi. Trenér může být použit vícekrát.

Nežádoucí účinky

Epinefrin může vytvářet příznaky a příznaky, které zahrnují zvýšení srdeční frekvence Pocit silnějšího srdečního rytvače pocení nevolnosti a zvracení potíží s dýcháním bledové závratě slabost nebo chvění bolesti hlavy nervozita nebo úzkost. Tyto příznaky a příznaky obvykle rychle zmizí, zejména s klidem v klidu a ležících. Pacienti s hypertenzí nebo hypertyreózou se mohou vyvinout závažnější nebo přetrvávající účinky a pacienti s onemocněním koronárních tepen by mohli anginu dojít. Patients with diabetes may develop increased blood glucose levels following epinephrine administration. Patients with Parkinson's disease may notice a temporary worsening of symptoms [see Varování a OPATŘENÍ ].

Náhodná injekce

Doporučujte pacientům, aby v případě náhodné injekce hledali okamžitou lékařskou péči. Protože epinefrin je silným vazokonstriktorem, když je vstřikován do číslic rukou nebo nohou, mělo by být nasměrováno na vazodilataci, pokud dojde k takové náhodné injekci do těchto oblastí [viz viz Varování a OPATŘENÍ ].

Vážné infekce v místě injekce

V injekčním místě po injekci epinefrinu pro anafylaxi byly hlášeny vzácné případy infekcí kůže a měkkých tkání. Poraďte pacientům, aby vyhledali lékařskou péči, pokud si vyvinou příznaky nebo příznaky infekce, jako je přetrvávající otok nebo něha v injekci epinefrinu [viz viz Varování a OPATŘENÍ ].

Skladování a manipulace

Poskytněte pacientům, aby pravidelně vizuálně kontrolovali roztok epinefrinu vizuálně. Nahraďte injekční injektor epinefrinu, pokud se zdá, že roztok epinefrinu je zbarven (narůžovělý nebo hnědý) zatažený nebo obsahuje částice. Epinefrin je světlý obchod ve vnějším pouzdře, který jej chrání před světlem. Pokyn pacientům, že injekční injektor epinefrinu musí být správně zlikvidován, jakmile budou modré čepice odstraněny nebo po použití [viz viz Jak dodáno ].

V každém injekci injekce epinefrinu je poskytována úplná informace o pacientech včetně dávkovacích pokynů pro správné podávání a opatření.

Neklinická toxikologie

Zhodnocení mutageneze karcinogeneze plodnosti

Dlouhodobé studie na vyhodnocení karcinogenního potenciálu epinefrinu nebyly provedeny.

Bylo prokázáno, že epinefrin a další katecholaminy mají mutagenní potenciál in vitro a to be an oxidative mutagen in a WP2 Test bakteriální reverzní mutace.

Epinefrin byl pozitivní v testu opravy DNA s B. jemný (Rec) test, ale nebyl mutagenní v Salmonella Test bakteriální reverzní mutace.

Potenciál epinefrinu narušit plodnost nebyl vyhodnocen.

To by nemělo zabránit použití epinefrinu za podmínek zaznamenaných Indikace .

Použití v konkrétních populacích

Těhotenství

Teratogenní účinky

Těhotenství Category C.

Neexistují žádné přiměřené a dobře kontrolované studie akutního účinku epinefrinu u těhotných žen.

Epinefrin byl teratogenní u králíků myší a křečků. Epinefrin by se měl používat během těhotenství pouze tehdy, pokud potenciální přínos ospravedlňuje potenciální riziko pro plod (spontánní potraty plodu nebo obou).

Bylo prokázáno, že epinefrin má teratogenní účinky při podávání subkutánně u králíků při přibližně 30násobku maximální doporučené denní subkutánní nebo intramuskulární dávky (na mg/m m 2 Základ v mateřské dávce 1,2 mg/kg/den po dobu dvou až tří dnů) u myší při přibližně 7násobek maximální denní podkožní nebo intramuskulární dávky (na mg/m m/m 2 Základ v mateřské subkutánní dávce 1 mg/kg/den po dobu 10 dnů) a u křečků přibližně 5násobek maximálního doporučeného denního subkutánního nebo intramuskulárního dávky (na mg/m Mg/m 2 Základ v mateřské subkutánní dávce 0,5 mg/kg/den po dobu 4 dnů).

Tyto účinky nebyly pozorovány u myší přibližně 3násobek maximálního doporučeného denního subkutánního nebo intramuskulárního dávky (na mg/m 2 Základ při podkožní dávce matek 0,5 mg/kg/den po dobu 10 dnů).

Ošetřovatelské matky

Není známo, zda je epinefrin vylučován v lidském mléce. Protože mnoho drog je vylučováno v lidském mléce opatrnost, by měla být uplatněna, když je injekční injektor epinefrinu podáván ošetřovatelské ženě.

Dětské použití

Injekce injekce epinefrinu USP Auto-injektor může být podáván pediatrickým pacientům při dávce vhodné pro tělesnou hmotnost [Viz Dávkování a podávání ]. Clinical experience with the use of epinefrin suggests that the adverse reactions seen in children are similar in nature a extent to those both expected a reported in adults. Since the dose of epinefrin delivečervený from epinefrin injection USP auto-injector is fixed consider using other forms of injectable epinefrin if doses lower than 0.15 mg are deemed necessary.

Geriatrické použití

Klinické studie pro léčbu anafylaxe nebyly provedeny u subjektů ve věku 65 let a více, aby se určilo, zda reagují odlišně od mladších subjektů. Jiné hlášené klinické zkušenosti s použitím epinefrinu pro léčbu anafylaxe však zjistily, že geriatričtí pacienti mohou být zvláště citliví na účinky epinefrinu. Injekční injektor epinefrinu by proto měl být podáván s opatrností u starších jedinců, kteří mohou být vystaveni většímu riziku rozvoje nežádoucích účinků po podání epinefrinu [viz viz Varování a OPATŘENÍ a PŘEDÁVKOVAT ].

Informace o předávkování epinefrinem autoinjektoru

Předávkování epinefrinu může způsobit extrémně zvýšený arteriální tlak, který může vést k cerebrovaskulárnímu krvácení, zejména u starších pacientů. Předávkování může také vést k plicnímu edému kvůli periferním vaskulárnímu zúžení spolu se srdeční stimulací. Léčba sestává z rychle působících vazodilatátorů nebo alfa-adrenergních blokovacích léků a/nebo respirační podpory.

Overdosage epinefrinu může také způsobit přechodnou bradykardii následovanou tachykardií, které mohou být doprovázeny potenciálně fatálními srdečními arytmiemi. Předčasná komorová kontrakce se mohou objevit do jedné minuty po injekci a mohou následovat multifokální komorová tachykardie (prefibrilační rytmus). Po poklesu komorových účinků může následovat síňová tachykardie a občas atrioventrikulárním blokem. Léčba arytmie sestává z podávání beta-adrenergního blokujícího léku, jako je propranolol.

Předávkování někdy má za následek extrémní bledost a chlad metabolické acidózy kůže a selhání ledvin. V takových situacích musí být přijata vhodná nápravná opatření.

Jaké je jiné jméno pro klopidogrel

Kontraindikace pro autoinjektor epinefrinu

Žádný.

Klinická farmakologie for Epinephrine Autoinjector

Mechanismus působení

Epinefrin působí jak na alfa- i beta-adrenergní receptory.

Farmakodynamika

Díky působení na alfa-adrenergní receptory epinefrin snižuje vazodilataci a zvýšenou vaskulární propustnost, ke které dochází během anafylaxe, což může vést ke ztrátě intravaskulární tekutiny a hypotenze.

Díky působení na beta-adrenergní receptory epinefrin způsobuje bronchiální relaxaci hladkého svalstva a pomáhá zmírnit bronchospasmové sípání a dušnost, ke které může dojít během anafylaxe.

Epinefrin také zmírňuje Pruritus Urticaria a Angioedema a může zmírnit gastrointestinální a genitourinární symptomy spojené s anafylaxí z důvodu jeho relaxerových účinků na hladké svalstvu střevní dělohy a močového měchýře.

Při intramuskulárně nebo subkutánně epinefrinu má rychlý nástup a krátkou dobu účinku.

Informace o pacientovi pro autoinjektor epinefrinu

Epinefrin
Injekční automatické injektor USP
(Ep-in-iph-rine)
Autorizovaný generický adrenaclick ®
Pro alergické mimořádné události (anafylaxe)

Než použijete autoinjektor USP Injection v injekci epinefrinu, přečtěte si tento leták pro pacienta pečlivě a pokaždé, když dostanete doplnění. Mohou existovat nové informace. Vy, váš rodičovský pečovatel nebo jiní, kteří mohou být schopni podávat injekční injekci epinefrinu, by měli vědět, jak jej používat před alergickou nouzovou situací.

Tyto informace nezavazují místo rozhovoru s poskytovatelem zdravotní péče o zdravotním stavu nebo ošetření.

Jaké jsou nejdůležitější informace, které bych měl vědět o auto-injektoru injekce epinefrinu?

  1. Injekce injekce epinefrinu USP Auto-injektor obsahuje lék na epinefrin používaný k léčbě alergických mimořádných událostí (anafylaxe). Anafylaxe může být život ohrožující může dojít během několika minut a může být způsobena bodem a kousáním hmyzích alergických injekcí Potravinky Léky cvičení nebo jinými neznámými příčinami. Příznaky anafylaxe mohou zahrnovat:
    • potíže s dýcháním
    • síť
    • Chrapot (změny ve způsobu zní váš hlas)
    • úly (zvednutá zčervenalá vyrážka, která může svědění)
    • Těžké svědění
    • Otok vašich obličejových rtů ústa nebo jazyk
    • zarudnutí nebo otoky
    • Rychlý srdeční rytmus
    • slabý puls
    • Cítím se velmi úzkostně
    • zmatek
    • bolest žaludku
    • Ztráta kontroly pohybů moči nebo střev (inkontinence)
    • průjem nebo křeče žaludku
    • závrať fainting or passing out (unconsciousness)
  2. Vždy noste s sebou svůj injektor injekci epinefrinu USP, protože nemusíte vědět, kdy se může stát anafylaxe. Promluvte si se svým poskytovatelem zdravotní péče, pokud potřebujete další jednotky, abyste udrželi pracovní školu nebo na jiných místech. Řekněte si pečovatelům rodinných příslušníků a další, kde udržujete svůj injekční injektor injekci epinefrinu a jak jej používat, než je potřebujete. Možná nebudete schopni mluvit v alergické nouzi.
  3. Pokud máte alergickou nouzovou situaci (anafylaxe)
    • Okamžitě použijte injekční injektor epinefrinu.
    • Okamžitě získejte pohotovostní lékařskou pomoc. Možná budete potřebovat další lékařskou péči. Možná budete muset použít druhý injektor injekci epinefrinu USP, pokud příznaky pokračují nebo se opakují. Pouze poskytovatel zdravotní péče by měl poskytnout další dávky epinefrinu, pokud potřebujete více než 2 injekce pro jednu epizodu anafylaxe.

Co je to injekční injektor epinefrinu?

  • Injekce injekce epinefrinu USP Auto-injektor je jednorázové předplněné automatické injekční zařízení (auto-injektor) používané k léčbě alergických mimořádných událostí ohrožujících život, včetně anafylaxe u lidí, kteří jsou ohroženi nebo mají anamnézu vážných alergických mimořádných událostí. Každé zařízení obsahuje jednu dávku epinefrinu.
  • Injekce injekce epinefrinu USP Auto-injektor je pro okamžité správy sebe (nebo pečovatele) a nahrazuje pohotovostní lékařskou péči. Po použití auto-injektoru USP Injection v injekci epinefrinu byste měli okamžitě získat pohotovostní lékařskou pomoc.
  • Injekce injekce epinefrinu USP Auto-injektor je pro lidi, kterým byl tento lék předepsán jejich poskytovatelem zdravotní péče.
  • Injekční injektor epinefrinu Auto-injektor 0,3 mg auto-injektor je u pacientů, kteří váží 66 liber nebo více (30 kilogramů nebo více).
  • Injekce injekce epinefrinu USP Auto-injektor 0,15 mg auto-injektor je u pacientů, kteří váží asi 33 až 66 liber (15 až 30 kilogramů).
  • Není známo, zda je injektor injekce epinefrinu USP bezpečný a účinný u dětí, které váží méně než 33 liber (15 kilogramů).

Co bych měl říct svému poskytovateli zdravotní péče před použitím injekčního injektoru epinefrinu?

Než použijete injekční injektor epinefrinu, řekněte automatickému injektoru USP poskytovateli zdravotní péče o všech svých zdravotních stavech, zejména pokud:

  • mít problémy se srdcem nebo vysoký krevní tlak
  • mít cukrovku
  • mít problémy se štítnou žlázou
  • mít astma
  • mít historii deprese
  • mít Parkinsonovu nemoc
  • mít jakékoli jiné zdravotní stavy
  • jsou těhotné nebo plánují otěhotnět. Není známo, zda epinefrin poškodí vaše nenarozené dítě.
  • jsou kojení nebo plánují kojení. Není známo, zda epinefrin prochází do mateřského mléka.

Řekněte svému poskytovateli zdravotní péče o všech lécích, které užíváte včetně předpisu a volně prodejných léků vitamínů a bylinných doplňků. Řekněte svému poskytovateli zdravotní péče všech známých alergií.

Zejména řekněte svému poskytovateli zdravotní péče, pokud užíváte určité léky astmatu.

Injekce injekce epinefrinu USP Auto-injektor a další léky se mohou navzájem ovlivnit a způsobovat vedlejší účinky. Injekce injekce epinefrinu USP Auto-injektor může ovlivnit způsob, jakým pracují jiné léky a jiné léky mohou ovlivnit, jak funguje injekční injekční injektor epinefrinu.

Znát léky, které užíváte. Udržujte jejich seznam, abyste ukázali svého poskytovatele zdravotní péče a lékárníka, když získáte nový lék.

Použijte svůj injekční injektor epinefrinu pro léčbu anafylaxe, jak je předepsán poskytovatelem zdravotní péče bez ohledu na vaše zdravotní stavy nebo lék, který užíváte.

Jak mám použít injekční injektor USP Injection v injektoru epinefrinu?

  • Každý injektor injekční injektor epinefrinu obsahuje pouze 1 dávku medicíny.
  • Injekce injekce epinefrinu USP Auto-injektor by měl být injikován pouze do středu vnějšího stehna (horní noha). V případě potřeby to může být injikováno oblečením.
  • Informace o správném způsobu používání automatického injektoru USP Injekce epinefrinu přečtěte pokyny pro použití na konci tohoto letáku pro pacienta.
  • Váš poskytovatel zdravotní péče vám ukáže, jak bezpečně používat injektor injekční injekční injektor epinefrinu.
  • Použijte injekci injekci epinefrinu USP auto-injektor přesně tak, jak vám říká váš poskytovatel zdravotní péče, abyste jej používali. Možná budete muset použít druhý injektor injekci epinefrinu USP, pokud příznaky pokračují nebo se opakují. Pouze poskytovatel zdravotní péče by měl poskytnout další dávky epinefrinu, pokud potřebujete více než 2 injekce pro jednu epizodu anafylaxe.
  • UPOZORNĚNÍ: Nikdy neložte palce nebo předejte červenou špičku. Nikdy netlačte ani netlačte na červenou špičku palci nebo rukou. Jehla vychází z červené špičky. Náhodná injekce do rukou nebo nohou může způsobit ztrátu průtoku krve do těchto oblastí. Pokud k tomu dojde, přejděte okamžitě do nejbližší pohotovostní místnosti. Řekněte poskytovateli zdravotní péče, kde jste na svém těle obdrželi náhodnou injekci.
  • Váš injekční injektor injekce epinefrinu je zabalen do kartonu obsahujícího 1 nebo 2 injekční injekční injektory epinefrinu.
  • Můžete požádat o samostatný trenér, který je zabalen s pokyny. Další video pokyny k použití injekční injekční injektor epinefrinu jsou k dispozici www.epinephrineautoinject.com. Injekční injekce epinefrinu USP Auto-injektory má béžovou barvu. Trenér béžové injekce epinefrinu v injekci USP neobsahuje žádný lék ani jehlu. Procvičujte si s injekcí epinefrinu v injekci USP auto-injektory před alergickou nouzovou situací, abyste se ujistili, že jste schopni bezpečně používat skutečný injektor USP v nouzovém injektoru USP. V případě alergické nouze s sebou vždy noste svůj skutečný injektor injekci epinefrinu v injekci epinefrinu.
  • Neodpustí auto-injektor USP Injection Injection Injection Injection Injection. Pokud je upuštěn auto-injektor USP v injekci přenosu nebo injekci epinefrinu, zkontrolujte, zda je poškození a únik. Zlikvidujte auto-injektor a pouzdro na přepravu a vyměňte, pokud je poškození nebo únik zaznamenáno nebo podezřelé.

Jaké jsou možné vedlejší účinky injektoru injekce epinefrinu USP?

Injekce injekce epinefrinu USP Auto-injektor může způsobit vážné vedlejší účinky.

  • Injekce injekce epinefrinu USP Auto-injektor by měl být injikován pouze do středu vnějšího stehna (horní noha). Ne Injekční injekce epinefrinu do vašeho injektoru USP do vašeho:
    • žíly
    • hýždě
    • prsty na nohou nebo nohou.

Pokud náhodně vstřikujete injekční injektor epinefrinu do jakékoli jiné části těla, jděte hned na nejbližší pohotovostní místnost. Řekněte poskytovateli zdravotní péče, kde jste na svém těle obdrželi náhodnou injekci.

  • Zřídka pacienti, kteří používají autoinjektor USP injekci epinefrinu, se mohou vyvinout infekce v místě injekce během několika dnů po injekci. Některé z těchto infekcí mohou být vážné. Pokud máte některá z následujících míst, zavolejte svému poskytovateli zdravotní péče ihned:
    • zarudnutí, které nezmizí
    • otok
    • něha
    • Tato oblast se cítí teplá na dotek
  • Křezy na kůži ohnuté jehly a jehly, které zůstávají v kůži poté, co došlo k injekci u malých dětí, které během injekce nespolupracují a nekopnou ani se nepohlují. Pokud injekci malého dítěte injekcí epinefrinu injekci USP Auto-injektor držte nohu pevně na místě před a během injekce, aby se zabránilo zranění. Požádejte svého poskytovatele zdravotní péče, aby vám ukázal, jak správně držet nohu malého dítěte během injekce.
  • Pokud máte určité zdravotní stavy nebo užíváte určité léky, váš stav se může zhoršit nebo můžete mít více nebo delší trvalé vedlejší účinky, když používáte injekční injektor epinefrinu. Promluvte si se svým poskytovatelem zdravotní péče o všech vašich zdravotních stavech.

Mezi běžné vedlejší účinky injektoru USP Injekce epinefrinu patří:

  • rychlejší nepravidelný nebo bušící srdeční rytmus
  • pocení
  • bolest hlavy
  • slabost
  • Shakakess
  • Bledost
  • pocity nadměrné nervozity nebo úzkosti
  • závrať
  • nevolnost or zvracení
  • Dýchací problémy

Tyto vedlejší účinky mohou zmizet s odpočinkem. Sdělte svému poskytovateli zdravotní péče, pokud máte jakýkoli vedlejší účinek, který vás vadí nebo z nich nezmizí.

Nejedná se o všechny možné vedlejší účinky automatického injektoru injekce epinefrinu. Pro více informací se zeptejte svého poskytovatele zdravotní péče nebo lékárníka.

Zavolejte svému poskytovateli zdravotní péče o lékařskou pomoc o vedlejších účincích. Můžete nahlásit vedlejší účinky FDA na 1-800-FDA-1088.

Jak mám ukládat injekční injektor injekci epinefrinu?

  • Ukládejte injekční injektor epinefrinu Auto-injektor při teplotě místnosti mezi 68 ° až 77 ° F (20 ° až 25 ° C).
  • Chránit před světlem.
  • Ne Vystavte extrémnímu teplu nebo chladu. Například neukládejte do rukavice ve vozidle a neukládejte do chladničky nebo mrazničky.
  • Pravidelně prozkoumejte obsah v okně s čistým zobrazením vašeho injektoru automatického injektoru. Řešení by mělo být jasné. Pokud je roztok zbarven (narůžovělý nebo hnědý) zataženo nebo obsahuje pevné částice, nahraďte jednotku.
  • V přepravním pouzdru vždy udržujte svůj injekční injektor injekci epinefrinu, abyste jej chránili před poškozením; Případ pro přenášení však není vodotěsný.
  • Dvě modré koncové čepice pomáhají zabránit náhodnému injekci. Neodstraňujte modré koncové uzávěry, dokud nebudete připraveni použít injekční injekční injektor epinefrinu.
  • Váš injektor injekci epinefrinu má autoinjektor USP datum vypršení platnosti. Vyměňte jej před datem vypršení platnosti.

Udržujte injekci epinefrinu v injektoru USP a všechny léky mimo dosah dětí.

Obecné informace o bezpečném a efektivním používání automatického injektoru injekce epinefrinu:

Léky jsou někdy předepsány pro jiné účely než ty, které jsou uvedeny v letáku informací o pacientech. Nepoužívejte injekční injektor injekci epinefrinu pro stav, pro který nebyl předepsán. Nedávejte injekci injekce epinefrinu USP pro jiné lidi.

Tento leták s informacemi o pacientech shrnuje nejdůležitější informace o auto-injektoru USP injekci epinefrinu. Pokud byste chtěli více informací, promluvte si se svým poskytovatelem zdravotní péče. Můžete požádat svého lékárníka nebo poskytovatele zdravotní péče o informace o auto-injektoru injektoru USP Epinefrine, který je psán pro zdravotnické pracovníky.

Další informace a video pokyny k používání injekčního injekce epinefrinu www.epinephrineautoinject.com nebo volejte 1-800-934-6729.

Jaké jsou ingredience v injekci injekční injekční injektor epinefrinu?

Aktivní složka: epinefrin

Neaktivní ingredience: Kyselina chlorovodíková chlorobutanol sodný chlorbutanol sodný a hydroxid sodný a voda.

Důležité informace

  • Injekční injektor epinefrinu USP Auto-injektor 0,3 mg auto-injektor má žlutý barevný štítek.
  • Injekční injektor epinefrinu USP Auto-injektor 0,15 mg auto-injektor má oranžovou barevnou štítku.
  • Injekční injekce epinefrinu USP Auto-injektory má béžovou barvu a neobsahuje žádný lék a žádnou jehlu.
  • Váš auto-injektor je navržen tak, aby pracoval prostřednictvím oblečení.
  • Dvě modré koncové čepice na injekci epinefrinu USP Auto-injektor pomáhají zabránit náhodnému injekci zařízení. Neodstraňujte modré koncové uzávěry, dokud nebudete připraveni jej použít.
  • Pouze vstříkněte do středu vnějšího stehna (horní noha). Nikdy se nestřílejte do žádné jiné části těla.
  • Nikdy neložte palce nebo ruku přes červenou špičku. Jehla vychází z červené špičky.
  • Pokud dojde k náhodnému injekci, získejte okamžitě lékařskou pomoc.
  • Ne place patient information or any other foreign objects in carrier with the auto-injector as this may prevent you from removing the auto-injector for use.
Pokyny pro použití

EpinefrinK
Injekční automatické injektor USP
(Ep-in-iph-rine)
Pro alergické mimořádné události (anafylaxe)

Před použitím injekčního injektoru USP Epinefrine si přečtěte tyto pokyny pro použití pečlivě. Než budete potřebovat používat autoinjektor USP Epinefrine Injection Injection, ujistěte se, že váš poskytovatel zdravotní péče vám ukáže správný způsob, jak jej používat. Pečovatelé rodičů a další, kteří mohou být schopni podávat injekční injekci epinefrinu, by také měli pochopit, jak je dobře používat. Máte -li jakékoli dotazy, zeptejte se svého poskytovatele zdravotní péče.

Váš injektor injekci epinefrinu v injektoru USP

Epinephrine injection USP auto-injector 0.15mg - Illustration
Epinephrine injection USP auto-injector 0.3mg - Illustration

Krok 1.

  • Odstraňte injekční injektor epinefrinu USP Auto-injektor z jeho ochranného přepravního pouzdra.
  • Vytáhněte modré koncové čepice; Nyní uvidíte červenou špičku. Uchopte auto-injektor v pěst s červenou špičkou směřující dolů. Viz obrázek A.

Poznámka:

  • Jehla vychází z červené špičky.
  • Aby se zabránilo náhodné injekci, nikdy neložte palce nebo předejte červenou špičku. Pokud dojde k náhodnému injekci, získejte okamžitě lékařskou pomoc.
Pull off blue end caps; We will now see a red tip - Illustration

Krok 2.

  • Pokud podáváte injekci injekce epinefrinu USP auto-injektoru malého dítěte, držte nohu pevně na místě a omezujte pohyb před a při podávání injekce.
  • Položte červenou špičku na střed vnějšího stehna (horní noha) pod úhlem 90 ° (kolmý) na stehno.
  • Tvrdě stiskněte a pevně držte proti stehně po dobu přibližně 10 sekund doručit lék. Viz obrázek B.
  • Press down hard and hold firmly against the thigh for approximately 10 seconds to deliver the medicine - Illustration
  • Pouze vstříkněte do středu vnějšího stehna. Ne vstříkněte do jakékoli jiné části těla.
  • Odstraňte injekci injekce epinefrinu USP z stehna.
  • Masírujte plochu po dobu 10 sekund.
  • Zkontrolujte červenou špičku. Injekce je kompletní a jste obdrželi správnou dávku léku, pokud vidíte, že jehla vyčnívá z červený tip. Pokud nevidíte, jehla opakujte krok 2.

Krok 3.. Okamžitě získejte pohotovostní lékařskou pomoc. Možná budete potřebovat další lékařskou péči. Možná budete muset použít druhý injektor injekci epinefrinu USP, pokud příznaky pokračují nebo se opakují.

Krok 4. po použití / likvidaci

Opatrně zakryjte jehlu s pouzdrem pro nošení.

  • Položte označenou polovinu krytu pouzdra na rovnou plochu. Pomocí jedné ruky pečlivě zasuňte konec jehly auto-injektoru nejprve do značeného přenosového krytu. Viz obrázek C.
  • Use one hand to carefully slide the end of the auto-injector needle first into the labeled carrying case cover - Illustration
  • Poté, co je jehla uvnitř značeného krytu, zatlačte neznačenou polovinu krytu nosného pouzdra pevně přes konec needlového konec automatického injektoru. Viz obrázek D.
  • Push the unlabeled half of the carrying case cover firmly over the non-needle end of the auto-injector - Illustration
  • Když jdete za poskytovatelem zdravotní péče, vezměte si s použitím automatického injektoru injekce epinefrinu.
  • Řekněte poskytovateli zdravotní péče, že jste obdrželi injekci epinefrinu. Ukažte poskytovateli zdravotní péče, kde jste obdrželi injekci.
  • Poskytněte poskytovateli zdravotní péče a správnou likvidaci dejte svému použitému injekčnímu injektoru epinefrinu.
  • V případě potřeby požádejte o doplnění.

Poznámka:

  • Injekční injektor epinefrinu Auto-injektor je zařízení s jedním použitím, které poskytuje pevnou dávku epinefrinu. Auto-injektor nelze znovu použít. Po aktivaci zařízení se nepokoušejte znovu použít injekční injektor USP Epinefrin Injection USP. Je normální, že většina léku zůstane po injekci dávky v auto-injektoru. Správná dávka byla podána, pokud vidíte, že jehla vyčnívá z červené špičky.
  • K dispozici je samostatná injekční injekční injekční injekce epinefrinu. Injekční injekce epinefrinu USP Auto-injektory má béžovou barvu. Trenér béžové injekce epinefrinu v injekci USP neobsahuje žádný lék ani jehlu. Procvičte si s injekcí epinefrinu v injekci USP Auto-Injektory, ale vždy v případě alergické nouze nesete skutečný injektor injekci epinefrinu v injekci epinefrinu.
  • Pokud budete podávat auto-injektor USP Injection Injection Epinefrine Injection Injection AUTO-injektor, požádejte svého poskytovatele zdravotní péče, aby vám ukázal, jak správně držet nohu na místě při podávání dávky.
  • Ne try to take the epinefrin injection USP auto-injector apart.

Tyto informace a pokyny pro použití pacienta byly schváleny americkou správou potravin a léčiv.