Informace Na Stránce Nepředstavují Lékařskou Radu. Nic Neprodáváme. Přesnost Překladu Není Zaručena. Zřeknutí Se Odpovědnosti
Peniciliny, rozšířené spektrum
Zosyn
Shrnutí drog
Co je Zosyn?
Zosyn (piperacilin a tazobactam pro injekci) je kombinace dvou antibiotik používaných k léčbě mnoha různých infekcí způsobených bakteriemi, jako jsou infekce močových cest kostí a kloubů závažné vaginální infekce žaludeční infekce kožních infekcí a infekce kůže a kožní infekce a kožní infekce a infekce kůže a zápal plic . Zosyn je k dispozici v obecný formulář.
Jaké jsou vedlejší účinky ZOSYN?
Zosyn
- Těžká bolest žaludku
- Průjem, který je vodnaté nebo krvavé (vyskytující se měsíce po poslední dávce)
- křeče (záchvaty)
- horečka
- vředy
- Vředy
- bolest v krku
- kašel
- potíže s dýcháním
- Křeče z nohou
- zácpa
- nepravidelné srdeční rytmus
- Flutteting v hrudi
- zvýšená žízeň nebo močení
- otupělost nebo brnění a
- Slabost svalové slabosti nebo kulhavého pocitu
Získejte lékařskou pomoc okamžitě, pokud máte výše uvedené příznaky.
Mezi běžné vedlejší účinky ZOSYN patří:
- Reakce místa vstřikování
- otok
- zarudnutí
- bolest
- bolestivost nebo
- podráždění;
- závrať
- míchání
- Potíže se spánkem (nespavost)
- nevolnost
- zvracení
- bolest žaludku nebo rozrušení
- průjem
- zácpa
- bolest hlavy
- rýma nosu
- úzkost
- vyrážka na kůži nebo
- svědění nebo
- vaginální výtok nebo svědění.
Řekněte svému lékaři, pokud máte vážné vedlejší účinky Zosyn, včetně svalových křečí nebo křeče, otoky paží/nohou/rukou/nohou Snadné modřiny nebo krvácení Zmatek bolesti na hrudi Nové známky infekce (jako je horečka přetrvávající bolest krk) Těžká břišní nebo žaludeční bolest pomalá/rychlá/nepravidelná srdeční rytmus Perzistentní nevolnost nebo zvracení Extrémní únava Tmavá nebo zakalená změna moči v množství očící moči nebo kůže nebo vážných kožních reakcí (vyrážky loupání nebo puchýře).
Pokud máte následující vážné vedlejší účinky, vyhledejte lékařskou péči nebo zavolejte na číslo 911:
- Vážné příznaky očí, jako je ztráta náhlého vidění rozmazané vidění vidění Vision Vision Eye Eye Eye Eye Eye Eye Eye Eye nebo vidět halos kolem světel;
- Vážné příznaky srdce, jako je rychlé nepravidelné nebo bušení srdečního rytmu; třepování v hrudi; dušnost; a náhlé závratě lightheartiesness nebo omdlení;
- Těžká zmatek bolesti hlavy zkažená paže řeči nebo slabost nohou Potíže se ztrátou chůze pocitu koordinace Nestabilní velmi tuhé svaly vysoké horečky bohaté pocení nebo třes.
Tento dokument neobsahuje všechny možné vedlejší účinky a mohou dojít k jiným. Další informace o vedlejších účincích najdete u svého lékaře.
Dávkování pro Zosyn
Obvyklá celková denní dávka Zosyn pro dospělé je 3,375 g každých šest hodin v celkové výši 13,5 g (NULL,0 g piperacilinu/1,5 g tazobactam).
Jaké léky nebo doplňky interagují se Zosynem?
Zosyn může interagovat s probenecidovými antibiotikami Řediska krve nebo jinými léky používanými k prevenci Krevní sraženiny . Řekněte svému lékaři všechny léky, které používáte.
Zosyn během těhotenství a kojení
Během těhotenství by se Zosyn měl používat pouze tehdy, když je předepsán. Tento lék může projít do mateřského mléka. Před kojením se poraďte se svým lékařem.
Další informace
Naše ZOSYN (Piperacilin a Tazobactam pro injekční USP) Vedlejší účinky Drug Center poskytuje komplexní pohled na dostupné informace o možných vedlejších účincích při užívání tohoto léku.
Informace o drogách FDA
- Popis léku
- Indikace
- Dávkování
- Vedlejší účinky
- Lékové interakce
- Varování
- Předávkovat
- Klinická farmakologie
- Průvodce léky
Popis pro Zosyn
Zosyn (Piperacilin a Tazobactam) pro injekci a injekci ZOSYN (Piperacilin a Tazobactam) jsou injekční antibakteriální kombinované produkty semisyntetický antibakteriální piperacilin sodík a inhibitor β-laktamázy inhibitoru tazobaktamového sodium.
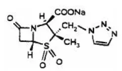
Piperacilin sodík je odvozen od d (-)-a-aminobenzyl-penicilinu. Chemický název sodíku piperacilinu je sodík (2S5R6R) -6-[(r) -2- (4-ethyl-23-dioxo-1-piperazinecarboxamido)-2-fenylacetamido] -33-dimethyl-7-oxo-4-thia-1-Azabicyclo [3.2.0] heptamido. Chemický vzorec je C 23 H 26 N 5 Oni 7 S a molekulová hmotnost je 539,5. Chemická struktura piperacilinového sodíku je:
|
Tazobactam sodík Derivát jádra penicilinu je sulfon kyseliny penicilské. Jeho chemický název je sodík (2S3S5R) -3-methyl-7-oxo-3- (1H-123-Triazol-1-allmethyl) -4-thia-1-azabicyklo [3.2.0] heptan-2-karboxylát-44-oxid. Chemický vzorec je C 10 H 11 N 4 Oni 5 S a molekulová hmotnost je 322,3. Chemická struktura sodíku Tazobactam je:
|
Zosyn (piperacilin a tazobactam) pro injekci je bílý až bílý sterilní krydesik se skládající z piperacilinu a tazobaktamu jako jejich soli sodný zabalený do skleněných lahviček. Formulace také obsahuje dihydrát disoditu edetatu (EDTA) a citrát sodný.
Každá lahvička s jednou dávkou ZOSYN 2,25 g obsahuje množství léčiva dostatečné pro stažení piperacilinu sodíku ekvivalentu 2 gramů piperacilinu a sodíku Tazobactam ekvivalentní 0,25 g tazobactamu. Produkt také obsahuje 0,5 mg EDTA na lahvičku.
Uhličitan lithium 450 mg vedlejší účinky
Každá lahvička s jednou dávkou ZOSYN 375 g obsahuje množství léčiva dostatečné pro stažení piperacilinu sodíku ekvivalentu 3 gramů piperacilinu a tazobactamu sodíku ekvivalentu 0,375 g tazobactamu. Produkt také obsahuje 0,75 mg EDTA na lahvičku.
Každá lahvička s jednou dávkou ZOSYN 4,5 g obsahuje množství léčiva dostatečné pro stažení piperacilinu sodíku ekvivalentu 4 gramů piperacilinu a tazobaktamu sodíku ekvivalentu 0,5 g tazobaktamu. Produkt také obsahuje 1 mg EDTA na lahvičku.
Každá ZOSYN 40,5 G Pharmacy Hromadná lahvička obsahuje piperacilin sodík ekvivalentní 36 gramů piperacilinu a tazobactamu sodíku ekvivalentu 4,5 g tazobaktamu dostatečné pro dodání více dávek.
Zosyn injekce v nádobě galaxie je zmrazený iso-osmotický sterilní ne-pygenní předběžný roztok. Složky a formulace dávkování jsou uvedeny v tabulce níže:
Tabulka 5: ZOSYN v Galaxie kontejnery předem smíchané zamrzlé řešení
| Komponent* | Funkce | Dávkování Fnebomulations | ||
| 2,25 g/50 ml | 3,375 g/50 ml | 4,5 g/100 ml | ||
| Piperacillin | aktivní složka | 2 g | 3 g | 4 g |
| Tazobactam | inhibitor p-laktamázy | 250 mg | 375 mg | 500 mg |
| Dextróza hydros | Agent pro úpravu osmolality | 1 g | 350 mg | 2 g |
| Dihydrát sodný citrát | vyrovnávací agent | 100 mg | 150 mg | 200 mg |
| Edetát disodium dihydrát | Kovový chelátor | 0,5 mg | 0,75 mg | 1 mg |
| Voda pro injekci | rozpouštědlo | Q.S. 50 ml | Q.S. 50 ml | Q.S. 100 ml |
| *Piperacillin a Tazobactam jsou ve formulaci přítomny jako soli sodný. Dihydrát dextrózy hydrossol sodný a množství disodiového dihydrátu disoditu jsou přibližné. |
Zosyn obsahuje celkem 2,84 meq (65 mg) sodíku (Na) na gram piperacilinu v kombinovaném produktu.
Použití pro Zosyn
Intraabdominální infekce
Zosyn je indikován u dospělých a pediatrických pacientů (2 měsíce věku a starší) pro léčbu apendicitidy (komplikované rupturou nebo abscesem) a peritonitidou způsobenou beta-laktamázou produkující izoláty Escherichia coli nebo následující členy Bakteroides fragilis skupina: B. Fragilis B. ovatus B. Thetaiotaomicron nebo B. Vulgate .
Nozokomiální pneumonie
Zosyn je indikován u dospělých a pediatrických pacientů (2 měsíce věku a starší) pro léčbu nozokomiální pneumonie (střední až závažné) způsobené beta-laktamázou produkujícími izoláty Staphylococcus aureus a piperacilinem a tazobactam-esceptible Acinetobacter Baumannii Haemophilus influenzae Klebsiella pneumoniae a Pseudomonas aeruginosa (Nozokomiální pneumonie způsobená P. aeruginosa by měl být zacházen v kombinaci s aminoglykosidem) [Viz Dávkování a podávání ].
Infekce struktury kůže a kůže
Zosyn je u dospělých indikován pro léčbu nekomplikovaných a komplikovaných infekcí kůže a kůže, včetně kožních abscesů celulitidy a infekcí ischemických/diabetických nohou způsobených beta-laktamázou produkujícími izoláty izolátů Staphylococcus aureus .
Ženské pánevní infekce
Zosyn je u dospělých indikován pro léčbu poporodní endometritidy nebo pánevního zánětlivého onemocnění způsobeného beta-laktamázou produkující izoláty izolátů na izolátech Vykazovali chill .
Pneumonie získaná komunitou
Zosyn je u dospělých označen pro léčbu pneumonie získané komunity (pouze mírná závažnost) způsobená izoláty beta-laktamázy produkující beta-laktamázu produkující izoláty Haemophilus influenzae .
Používání
Pro snížení vývoje bakterií rezistentních na léčiva a udržení účinnosti Zosyn a dalších antibakteriálních léčiv ZOSYN by měl být použit pouze k léčbě nebo prevenci infekcí, které jsou prokázány nebo silně podezřelé, že jsou způsobeny bakteriemi. Pokud jsou k dispozici informace o kultuře a citlivosti, měly by být zváženy při výběru nebo úpravě antibakteriální terapie. Při absenci takových dat může místní epidemiologie a vzorce citlivosti přispět k empirickému výběru terapie.
Dávkování pro Zosyn
Dávkování In Adult Patients With Indikace Other Than Nozokomiální pneumonie
Obvyklá celková denní dávka ZOSYN u dospělých pacientů s jinými indikacemi než nozokomiální pneumonie je 3,375 g každých šest hodin [v celkové výši 13,5 g (NULL,0 g piperacilinu a 1,5 g tazobactam)], která má být podávána intravenózní infuzí po dobu 30 minut. Obvyklá doba léčby Zosyn je od 7 do 10 dnů.
Dávkování In Adult Patients With Nozokomiální pneumonie
Počáteční předpokládaná léčba dospělých pacientů s nozokomiální pneumonií by měla začít ZOSYN při dávce 4,5 g každých šest hodin plus aminoglykosidem [celkem 18,0 g (NULL,0 g piperacilin a 2,0 g tazobactam)] podávaná intravenózní infuzí po dobu 30 minut. Doporučená doba trvání Zosynovy léčby u nozokomiální pneumonie je 7 až 14 dní. Léčba aminoglykosidem by měla pokračovat u pacientů, od nichž P. aeruginosa je izolovaný.
Dávkování In Adult Patients With Poškození ledvin
U dospělých pacientů s poškozením ledvin (clearance kreatininu ≤ 40 ml/min) a dialyzační pacienty (hemodialýza a CAPD) by měla být intravenózní dávka Zosyn snížena na základě stupně poškození ledvin. Doporučená denní dávka ZOSYN u pacientů s poškozením ledvin podávané intravenózní infuzí po dobu 30 minut je popsáno v tabulce 1.
Tabulka 1: Doporučená dávka ZOSYN u pacientů s normální funkcí ledvin a poškozením ledvin (jako celkový grams piperacilin a tazobactam)
| Clearance kreatininu ML/min | Všechny indikace (s výjimkou nozokomiální pneumonie) | Nozokomiální pneumonie |
| Větší než 40 ml/min | 3,375 každých 6 hodin | 4,5 každých 6 hodin |
| 20 až 40 ml/min* | 2,25 každých 6 hodin | 3,375 každých 6 hodin |
| Méně než 20 ml/min* | 2,25 každých 8 hodin | 2,25 každých 6 hodin |
| Hemodialýza ** | 2,25 každých 12 hodin | 2,25 každých 8 hodin |
| Capd | 2,25 každých 12 hodin | 2,25 každých 8 hodin |
| * Creatance kreatininu u pacientů, kteří nedostávají hemodialýzu ** 0,75 g (NULL,67 g piperacilinu a 0,08 g tazobactam) by mělo být podáno po každé hemodialýze v hemodialýze ve dnech |
U pacientů na hemodialýze je maximální dávka 2,25 g každých dvanáct hodin pro všechny jiné indikace než nozokomiální pneumonie a 2,25 g každých osm hodin pro nozokomiální pneumonii. Protože hemodialýza odstraňuje 30% až 40% podávané dávky další dávku 0,75 g zosyn (NULL,67 g piperacilin a 0,08 g tazobactamu) by měla být podávána po každém dialýze v období hemodialyzaze. Pro pacienty s CAPD není nutné žádné další dávkování Zosyn.
Dávkování In Pediatric Patients With Appendicitis/Peritonitis nebo Nozokomiální pneumonie
Doporučená dávka pro pediatrické pacienty s apendicitidou a/nebo peritonitidou nebo nozokomiální pneumonií ve věku 2 měsíců věku a starší váží až 40 kg a s normální funkcí ledvin je popsána v tabulce 2 [viz viz Použití v konkrétních populacích a Klinická farmakologie ].
Tabulka 2: Doporučená dávka ZOSYN u dětských pacientů 2 měsíce a starší váží až 40 kg a s normální funkcí ledvin
| Stáří | Apendicitida a / nebo peritonitida | Nozokomiální pneumonie |
| 2 měsíce až 9 měsíců | 90 mg/kg (80 mg piperacilinu a 10 mg tazobactam) každých 8 (osm) hodin | 90 mg/kg (80 mg piperacilinu a 10 mg tazobactam) každých 6 (šest) hodin |
| Starší než 9 měsíců věku | 112,5 mg/kg (100 mg piperacilinu a 12,5 mg tazobactam) každých 8 (osm) hodin | 112,5 mg/kg (100 mg piperacilinu a 12,5 mg tazobactam) každých 6 (šest) hodin |
Pediatričtí pacienti o hmotnosti více než 40 kg a s normální funkcí ledvin by měli dostávat dávku dospělých [viz Dávkování a podávání ].
Dávkování of Zosyn in pediatric patients with renal impairment has not been determined.
Rekonstituce a zředění Zosyn pro injekci
Zosyn (Piperacillin a Tazobactam) pro injekci se v současné době prodává.
Rekonstituce Zosyn pro injekci u dospělých pacientů a dětských pacientů o hmotnosti nad 40 kg
Hromadné lahvičky lékárny
Rekonstituovaný roztok farmaceutického objemového lahvičky musí být přenesen a dále zředěn pro intravenózní infuzi.
Hromadná lahvička lékárny je pro použití v nemocniční lékárnické příměsilé službě pouze pod kapotou laminárního toku. Po vstupu rekonstituce do lahvičky musí být provedeno se sadou sterilního přenosu nebo jiným sterilním vydávacím zařízením a obsah by měl být vydán jako alikvoty do intravenózního roztoku pomocí aseptické techniky. Okamžitě použijte celý obsah hromadné lahvičky lékárny. Vyhodnoťte nevyužitou část po 24 hodinách, pokud jsou skladovány při teplotě místnosti (20 ° C až 25 ° C [68 ° F až 77 ° F]) nebo po 48 hodinách, pokud se uloží při chlazené teplotě (2 ° C až 8 ° C [36 ° F až 46 ° F]).
Rekonstituce objemové lahvičky lékárny s přesně 152 ml kompatibilního rekonstitučního ředidla uvedeného níže na koncentraci 200 mg/ml piperacilinu a 25 mg/ml tazobactamu. Dobře protřepejte, dokud se nerozpustí. Parenterální léčivé přípravky by měly být vizuálně kontrolovány z hlediska částic a zbarvení před podáním a během podávání, kdykoli je to roztok a nádoba.
Jednorázové lahvičky
Reconstitute ZOSYN s jednou dávkovou lahvičkou s kompatibilní rekonstitucí ředidlem ze seznamu uvedených níže.
2,25 g 3,375 g a 4,5 g zosyn by měly být rekonstituovány s 10 ml 15 ml a 20 ml. Víření, dokud se nerozpustí. Po rekonstituci budou mít jednodávkové lahvičky koncentraci 202,5 mg/ml (180 mg/ml piperacilinu a 22,5 mg/ml tazobaktamu).
Kompatibilní rekonstituční ředidla pro malské lahvičky a lahvičky s jednou dávkou
- 0,9% chlorid sodný pro injekci
- Sterilní voda pro injekci
- Dextróza 5%
- Bakteriostatický fyziologický roztok/parabeny
- Bakteriostatická voda/parabeny
- Bakteriostatický fyziologický roztok/benzylalkohol
- Bakteriostatická voda/benzylalkohol
Zředění rekonstituovaného Zosynového roztoku pro dospělé pacienty a pediatrické pacienty vážící více než 40 kg
Rekonstituované roztoky ZOSYN pro jak pro hromadné lahvičky, tak pro jednodávkové lahvičky, by měly být dále zředěny (doporučený objem na dávku 50 ml až 150 ml) v kompatibilním intravenózním roztoku uvedeném níže. Spravujte infuzí po dobu nejméně 30 minut. Během infuze je žádoucí přerušit primární infuzní roztok.
Kompatibilní intravenózní řešení pro farmaceutické objemové lahvičky a jednodávkové lahvičky
- 0,9% chlorid sodný pro injekci
- Sterilní voda pro injekci (Maximum recommended volume per dose of sterile water fnebo injection is 50 mL)
- Dextran 6% ve fyziologickém roztoku
- Dextróza 5%
- Lactated Ringer's Solution (kompatibilní pouze s přeformulovaným Zosyn obsahujícím EDTA a je kompatibilní pro společné podávání prostřednictvím y-site)
Zosyn by neměl být smíchán s jinými léky v injekční stříkačce nebo infuzní láhvi, protože kompatibilita nebyla stanovena.
Zosyn není chemicky stabilní v roztocích, které obsahují pouze hydrogenuhličitan sodný a roztoky, které významně mění pH.
Zosyn by neměl být přidáván do krevních produktů nebo hydrolyzátů albuminu. Parenterální léčivé přípravky by měly být vizuálně kontrolovány na částice nebo zbarvení před podáním, kdykoli to roztok a nádoby povolí.
Ředění rekonstituovaného Zosynova roztoku pro dětské pacienty vážící až 40 kg
Objem rekonstituovaného roztoku potřebného k dodání dávky Zosyn závisí na hmotnosti dítěte [viz Dávkování a podávání ]. Reconstituted Zosyn solutions fnebo both bulk a single-dose vials should be further diluted in a compatible intravenous solution listed above.
Tabulka 3: Rekonstituce jednodádách lahviček a výsledné koncentrace
| Síla na lahvičku s jednou dávkou | Objem ředidla, který má být přidán do lahvičky | Koncentrace rekonstituovaného produktu |
| 2,25 g (2 g piperacilinu a 0,25 g tazobactam) | 10 ml | 202,5 mg/ml (180 mg/ml piperacilinu a 22,5 mg/ml tazobactam) |
| 3,375 g (3 g piperacilinu a 0,375 g tazobactam) | 15 ml | |
| 4,5 g (4 g piperacilinu a 0,5 g tazobactam) | 20 ml |
Tabulka 4: Rekonstituce farmaceutické hromadné lahvičky a výsledná koncentrace
| Síla na farmaceutickou hlavu | Objem ředidla, který má být přidán do lahvičky | Koncentrace rekonstituovaného produktu |
| 40,5 g (36 g piperacilinu a 4,5 g tazobactam) | 152 ml | 225 mg/ml (200 mg/ml piperacilinu a 25 mg/ml tazobactam) |
- Vypočítejte dávku pacienta, jak je popsáno v tabulce 2 výše [viz Dávkování a podávání ].
- Rekonstitutujte lahvičku s kompatibilním rekonstitucí, jak je uvedeno výše pod podproti kompatibilními rekonstitučními řediteli pro hromadné lahvičky farmaceutiky a jednodávkové lahvičky pomocí vhodného objemu ředidla, jak je uvedeno v tabulkách 3 a 4 níže. Po přidání rudivosti víry na lahvičku s jednou dávkou nebo protřepejte hromadnou lahvičku lékárny, dokud se prášek zcela nerozpustí.
- Vypočítejte požadovaný objem (ML) rekonstituovaného Zosynového roztoku na základě požadované dávky.
- Asepticky stáhněte požadovaný objem rekonstituovaného roztoku ZOSYN z hromadné lahvičky s farmacií nebo na jednodávkovou lahvičku. Měl by být dále zředěn na konečnou koncentraci piperacilinu mezi 20 mg/ml až 80 mg/ml (tazobactam mezi 2,5 mg/ml až 10 mg/ml) v kompatibilním intravenózním roztoku (jak je uvedeno výše) v vhodně velikosti stříkačky nebo IV tašce.
- Podávejte zředěný Zosyn roztok infuzí po dobu nejméně 30 minut (doporučuje se programovatelná stříkačka nebo infuzní čerpadlo). Během infuze je žádoucí přerušit primární infuzní roztok.
Stabilita ZOSYN pro injekci po rekonstituci a zředění
Zosyn pro injekci rekonstituovaný z hromadných lahviček a lahviček s jednou dávkou je stabilní ve skleněných a plastových nádobách (plastové stříkačky IV pytle a hadičky), pokud se používají s kompatibilními řediteli. Hromadné lahvičky a lahvičky s jednou dávkou by neměly být po rekonstituci zmrazeny.
Jednorázové nebo farmaceutické objemové lahvičky by měly být použity ihned po rekonstituci. Zlikvidujte jakoukoli nepoužívanou část po skladování po dobu 24 hodin při teplotě místnosti (20 ° C až 25 ° C [68 ° F až 77 ° F]) nebo po skladování po dobu 48 hodin při chlazené teplotě (2 ° C až 8 ° C [36 ° F až 46 ° F]).
Studie stability v IV pytlích prokázaly chemickou stabilitu (účinnost pH rekonstituovaného roztoku a čistota roztoku) po dobu až 24 hodin při teplotě místnosti a až jeden týden při chlazené teplotě. Zosyn pro injekci neobsahuje žádné konzervační látky. Mělo by se použít vhodné zvážení aseptické techniky.
Zosyn pro injekci rekonstituovanou z objemových a jednodávkových lahviček lze použít v ambulantních intravenózních infuzních čerpadlech. Stabilita ZOSYN pro injekci v ambulantní intravenózní infuzní čerpadle byla prokázána po dobu 12 hodin při teplotě místnosti. Každá dávka byla rekonstituována a zředěna na objem 37,5 ml nebo 25 ml. Jednodenní nabídka dávkovacího roztoku byla asepticky přenesena do nádrže na léky (IV pytle nebo kazetu). Nádrž byla namontována na předprogramované ambulantní intravenózní infuzní čerpadlo podle pokynů výrobce. Stabilita ZOSYN pro injekci není ovlivněna při podání pomocí ambulantního intravenózního infuzního čerpadla.
Kompatibilita s aminoglykosidy
Kvůli in vitro inaktivaci aminoglykosidů piperacilin zosyn a aminoglykosidy se doporučuje pro samostatné podání. Zosyn a aminoglykosidy by měly být rekonstituovány zředěny a podávány samostatně, pokud je uvedena souběžná terapie s aminoglykosidy [viz viz [viz Lékové interakce ].
Za okolností, kdy je nezbytné spolupracovníci prostřednictvím Y-Site Formulations obsahující EDTA kompatibilní pro simultánní společné podávání prostřednictvím infuze Y pouze s následujícími aminoglykosidy za následujících podmínek:
Tabulka 5: Kompatibilita s aminoglykosidy
| Aminoglykosid | Zosyn dávka (gramy) | Objem ZOSYN DIDUENT a (ML) | Rozsah koncentrace amino-glykosidu b (mg/ml) | Přijatelné ředidlo |
| Amikacin | 2.25 | 50 | 1,75 -7,5 | 0,9% sodíku |
| 3.375 | 100 | chlorid nebo | ||
| 4.5 | 150 | 5% dextróza | ||
| Gentamicin | 2.25 | 50 | 0,7 -3,32 | 0,9% sodíku |
| 3.375 | 100 | chlorid nebo | ||
| 4.5 | 150 | 5% dextróza | ||
| a Objemy ředidla se vztahují pouze na jednotlivé lahvičky a objemné kontejnery lékárny b Koncentrace v tabulce 5 jsou založeny na podávání aminoglykosidu v rozdělených dávkách (10- 15 mg/kg/den ve dvou denních dávkách pro amikacin a 3-5 mg/kg/den ve třech denních dávkách pro gentamicin). Podávání amikacinu nebo gentamicinu v jediné denní dávce nebo v dávkách přesahujících výše uvedené výše prostřednictvím YSite se Zosyn obsahujícím EDTA nebylo vyhodnoceno. Úplné pokyny pro dávkování a správu viz vložení balíčku pro každý aminoglykosid. |
Pouze koncentrace a ředidla pro amikacin nebo gentamicin s výše uvedenými dávkami ZOSYN byly stanoveny jako kompatibilní pro společné podávání prostřednictvím infuze Y. Současná společná podávání prostřednictvím infuze y-místa jakýmkoli jiným způsobem může vést k inaktivaci aminoglykosidu Zosyn.
Zosyn není kompatibilní s tobramycinem pro simultánní společné podávání prostřednictvím infuze Y-Site. Kompatibilita Zosyn s jinými aminoglykosidy nebyla stanovena.
Parenterální léčivé přípravky by měly být vizuálně kontrolovány na částice a zbarvení před podáním, kdykoli je to povolení roztoku a nádoby.
Je možné předat žlučové kameny
Jak dodáno
Dávkování Fneboms And Strengths
Zosyn (Piperacillin a Tazobactam) Pro injekci je bílý až bílý prášek v lahvičkách [všechny silné stránky ZOSYN (Piperacilin a Tazobactam) pro injekci nejsou v současné době prodávány]:
- 2,25 g jednodávkové lahvičky (piperacilin sodný ekvivalentní 2 gramům piperacilinu a tazobactam sodíku ekvivalentní 0,25 g tazobactamu).
- 3,375 g jednodávkové lahvičky (piperacilin sodný ekvivalent 3 gramů piperacilinu a tazobactam sodíku ekvivalentní 0,375 g tazobactamu).
- 4,5 g lahvičky s jednou dávkou (piperacilin sodík ekvivalentní 4 gramům piperacilinu a tazobaktamu sodíku ekvivalentní 0,5 g tazobactamu).
- 40,5 g Pharmacy Bulk Vial (Piperacilin sodný ekvivalent 36 gramů piperacilinu a tazobactam sodíku ekvivalentní 4,5 gramu Tazobactam).
Skladování a manipulace
Zosyn (Piperacillin a Tazobactam) pro injekci byly dodávány jako jednodávkové lahvičky a hromadné lahvičky v následujících velikostech; Všechny silné stránky ZOSYN (Piperacilin a Tazobactam) pro injekci se však v současné době nelze uvádět na trh:
Každá Vial ZOSYN 2,25 g poskytuje piperacilinový sodík ekvivalentní 2 gramům piperacilinu a tazobactamu sodíku ekvivalentu 0,25 g tazobactamu. Každá lahvička obsahuje 5,68 meq (130 mg) sodíku. Dodáno 10 za krabici - NDC 0206-8852-16
Každá ZOSYN 3,375 G Vial poskytuje piperacilinový sodík ekvivalentní 3 gramům piperacilinu a tazobactam sodíku ekvivalentní 0,375 g tazobaktamu. Každá lahvička obsahuje 8,52 meq (195 mg) sodíku. Dodáno 10 za krabici - NDC 0206-8854-16
Každá ZOSYN 4,5 g lahvička poskytuje piperacilinový sodík ekvivalentní 4 gramům piperacilinu a tazobactamu sodíku ekvivalentu 0,5 g tazobaktamu. Každá lahvička obsahuje 11,36 meq (260 mg) sodíku. Dodáno 10 za krabici - NDC 0206-8855-16
Každá Zosyn 40,5 g Pharmacy Malek Vial poskytuje piperacilinový sodík ekvivalentní 36 gramů piperacilinu a tazobactam sodíku ekvivalentní 4,5 gramů Tazobactam. Každá maleba lahvička s farmacií obsahuje 100,4 meq (2304 mg) sodíku. NDC 0206-8859-10
Před rekonstitucí uložte Zosyn pro injekční lahvičky při kontrolované pokojové teplotě (20 ° C až 25 ° C [68 ° F až 77 ° F]).
Distribuováno od: Wyeth Pharmaceuticals LLC dceřiná společnost společnosti Pfizer Inc. Philadelphia PA 19101. Revidováno: prosinec 2022
Vedlejší účinky fnebo Zosyn
Následující klinicky významné nežádoucí účinky jsou popsány jinde při označování:
- Nežádoucí účinky přecitlivělosti [viz Varování a preventivní opatření ]
- Závažné kožní nežádoucí účinky [viz Varování a preventivní opatření ]
- Hemofagocytární lymfohistiocytóza [viz Varování a preventivní opatření ]
- Hematologické nežádoucí účinky [viz Varování a preventivní opatření ]
- Nežádoucí účinky centrálního nervového systému [viz Varování a preventivní opatření ]
- Nefrotoxicita u kriticky nemocných pacientů [viz Varování a preventivní opatření ]
- Průměr spojený s Clostridioides difficile [viz Varování a preventivní opatření ]
Zkušenosti z klinických studií
Protože klinické studie se provádějí za široce proměnlivých podmínek, nežádoucí rychlosti nežádoucí reakce pozorované v klinických studiích léčiva nelze přímo porovnat s mírami v klinických studiích s jiným lékem a nemusí odrážet míru pozorované v praxi.
Klinické studie u dospělých pacientů
Během počátečních klinických vyšetřování bylo 2621 pacientů po celém světě léčeno Zosyn ve studiích fáze 3. V klíčových severoamerických monoterapeutických klinických studiích (n = 830 pacientů) bylo 90% hlášených nežádoucích účinků mírných až střední závažnosti a přechodné povahy. U 3,2% pacientů léčených po celém světě byl Zosyn přerušen kvůli nežádoucím účinkům primárně zahrnujícím kůži (NULL,3%) včetně vyrážky a svědění; gastrointestinální systém (NULL,9%) včetně průjmu nevolnosti a zvracení; a alergické reakce (NULL,5%).
Tabulka 6: Nežádoucí účinky z klinických studií zosyn monoterapie
| Systémová třída orgánů Nežádoucí reakce | |
| Gastrointestinální poruchy | |
| Průjem | (NULL,3%) |
| Zácpa | (NULL,7%) |
| Nevolnost | (NULL,9%) |
| Zvracení | (NULL,3%) |
| Dyspepsia | (NULL,3%) |
| Bolest břicha | (NULL,3%) |
| Obecné poruchy a podmínky pro správu | |
| Horečka | (NULL,4%) |
| Reakce místa injekce | (≤ 1%) |
| Rigors | (≤ 1%) |
| Poruchy imunitního systému | |
| Anafylaxe | (≤ 1%) |
| Infekce a zamoření | |
| Kandidóza | (NULL,6%) |
| Pseudomembranózní kolitida | (≤ 1%) |
| Poruchy metabolismu a výživy | |
| Hypoglykémie | (≤ 1%) |
| Poruchy muskuloskeletální a pojivové tkáně | |
| Myalgia | (≤ 1%) |
| Artralgia | (≤ 1%) |
| Poruchy nervového systému | |
| Bolest hlavy | (NULL,7%) |
| Psychiatrické poruchy | |
| Nespavost | (NULL,6%) |
| Poruchy kůže a podkožní tkáně | |
| Vyrážka (NULL,2% včetně makulopapulárního bulózního a upticial) | |
| Pruritus | (NULL,1%) |
| Purpura | (≤ 1%) |
| Cévní poruchy | |
| Phlebitis | (NULL,3%) |
| Tromboflebitida | (≤ 1%) |
| Hypotenze | (≤ 1%) |
| Spláchnutí | (≤ 1%) |
| Respirační hrudní a mediastinální poruchy | |
| Epistaxis | (≤ 1%) |
Nozokomiální pneumonie Trials
Dvě zkoušky nozokomiální Byly provedeny infekce dolních dýchacích cest. V jedné studii bylo 222 pacientů léčeno Zosyn v dávkovacím režimu 4,5 g každých 6 hodin v kombinaci s aminoglykosidem a 215 pacientů bylo léčeno imipenemem/cilastatinem (500 mg/500 mg každých 6 hodin) v kombinaci s aminoglykosidem. V této zkušební léčbě byly nežádoucí účinky ve skupině piperacilin a Tazobactam a 198 (NULL,1%) ve skupině imipenem/cilastatinu ve skupině piperacilin a Tazobactam hlášeny. Dvacet pět (NULL,0%) pacientů ve skupině Piperacilin a Tazobactam a 14 (NULL,5%) ve skupině imipenem/cilastatinu (P> 0,05) přerušila léčbu v důsledku nepříznivé události.
Druhá studie použila dávkovací režim 3,375 g podávané každé 4 hodiny s aminoglykosidem.
Tabulka 7: Nežádoucí účinky z ZOSYN Plus Aminoglykosidové klinické studie a
| Systémová třída orgánů Nežádoucí reakce | |
| Zácpa | (NULL,4%) |
| Nevolnost | (NULL,8%) |
| Zvracení | (NULL,7%) |
| Dyspepsia | (NULL,9%) |
| Bolest břicha | (NULL,8%) |
| Stomatitida | ( <1%) |
| Obecné poruchy a podmínky pro správu | |
| Horečka | (NULL,2%) |
| Reakce místa injekce | ( <1%) |
| Infekce a zamoření | |
| Orální kandidóza | (NULL,9%) |
| Kandidóza | (NULL,8%) |
| Vyšetřování | |
| Bun se zvýšil | (NULL,8%) |
| Kreatinin krve se zvýšil | (NULL,8%) |
| Test jaterní funkce abnormální | (NULL,4%) |
| Alkalická fosfatáza se zvýšila | ( <1%) |
| Aspartát aminotransferáza se zvýšila | ( <1%) |
| Alanine aminotransferáza se zvýšila | ( <1%) |
| Poruchy metabolismu a výživy | |
| Hypoglykémie | ( <1%) |
| Hypokalémie | ( <1%) |
| Poruchy nervového systému | |
| Bolest hlavy | (NULL,5%) |
| Psychiatrické poruchy | |
| Nespavost | (NULL,5%) |
| Poruchy ledvin a moči | |
| Selhání ledvin | ( <1%) |
| Poruchy kůže a podkožní tkáně | |
| Vyrážka | (NULL,9%) |
| Pruritus | (NULL,2%) |
| Cévní poruchy | |
| Tromboflebitida | (NULL,3%) |
| Hypotenze | (NULL,3%) |
| a Pro nepříznivé reakce léčiva, které se objevily v obou studiích, je prezentována vyšší frekvence. |
Další pokusy: Nefrotoxicita
V randomizované multicentrické kontrolované studii u 1200 dospělých kriticky nemocných pacientů Piperacilin a Tazobactam byl shledán jako rizikový faktor pro selhání ledvin (pravděpodobnost 1,7 95% CI 1,18 až 2,43) a spojená se zpožděným zotavením funkce ledvin ve srovnání s jinými beta-laktamovými antibacteriálními léky 1 [vidět Varování a preventivní opatření ].
Nepříznivé laboratorní změny (pozorované během klinických hodnocení)
Z hlášených pokusů zahrnujících položky infekcí nozokomiálních dolních dýchacích cest, ve kterých byla v kombinaci s aminoglykosidovým změnami v laboratorních parametrech použita vyšší dávka Zosyn, zahrnují: zahrnují: zahrnují:
Hematologická - snižuje hemoglobin a hematokrit Trombocytopenie zvyšuje počet destiček eosinofilie Leukopenia Neutropenie . Tito pacienti byli staženi z terapie; Někteří měly doprovodné systémové příznaky (např. Furever Rigors Chills)
Koagulace - Pozitivní přímý Coombsův test prodloužený čas protrombinu prodloužil částečný čas tromboplastinu
Jaterní - Přechodné výšky AST (SGOT) ALT (SGPT) alkalická fosfatáza bilirubin
Renal - Zvýšení kreatininové krve v séru močovina dusík
Mezi další laboratorní příhody patří abnormality v elektrolytech (tj. Zvyšování a snížení draslíku sodného a vápníku) hyperglykémie snižování celkového proteinu nebo albuminu v krvi glukóza snižovala gama-glutamyltransferáza zvýšená hypokalémie a krvácení doba prodloužila doba.
Klinické studie u pediatrických pacientů
Klinické studie zosyn u pediatrických pacientů naznačují podobný bezpečnostní profil jako u dospělých.
U prospektivní randomizované srovnávací komparativní klinické studie s otevřeným znakem u pediatrických pacientů ve věku 2 až 12 let s intraabdominálními infekcemi (včetně apendicitidy a/nebo peritonitidy) 273 pacientů bylo léčeno ZOSYN 112,5 mg/kg podávané IV každých 8 hodin a 269 pacientů bylo léčeno cefotaximem (50 mg/kg) (NULL,5 Mg/Kg) každých 8 hodin. V této zkušební léčbě byly nežádoucí účinky ve skupině ZOSYN a 73 (NULL,1%) ve skupině Cefotaxime/Metronidazol hlášeny 146 pacientů. Šest pacientů (NULL,2%) ve skupině ZOSYN a 5 pacientů (NULL,9%) ve skupině cefotaxime/metronidazolu bylo v důsledku nežádoucí události přerušeno.
V retrospektivní kohortové studii 140 pediatrických pacientů 2 měsíce až 18 let věku s nozokomiální pneumonií bylo léčeno Zosyn a 267 pacientů bylo léčeno komparátory (včetně ticarcillin-clavulanátu karbapenemy ceftazidime cifepime nebo ciprofloxacin). Míra závažných nežádoucích účinků byla obecně podobná mezi skupinami Zosyn a Comparator, včetně pacientů ve věku 2 měsíců až 9 měsíců léčených Zosyn 90 mg/kg IV každých 6 hodin a pacienti starší než 9 měsíců a méně než 18 let léčených Zosyn 112,5 mg/kg IV IV.
Zážitek z postmarketingu
Kromě nepříznivých reakcí léčiv identifikovaných v klinických studiích v tabulce 6 a tabulce 7 byly během použití ZOSYN identifikovány následující nežádoucí účinky. Protože tyto reakce jsou hlášeny dobrovolně z populace nejisté velikosti, není vždy možné spolehlivě odhadnout jejich frekvenci nebo vytvořit kauzální vztah k expozici léčiva.
Hepatobiliární - hepatitida žloutenka
Hematologická - Hemolytická anémie Agranulococytisis Pancytopenia
Imunní - Reakce hypersenzitivních reakcí anafylaktických/anafylaktoidních reakcí (včetně šokovat ) hemofagocytární lymfohistiocytóza (HLH)
Renal - Intersticiální nefritida
Poruchy nervového systému - záchvaty
Psychiatrické poruchy - delirium
Respirační - Eosinofilní pneumonie
Kůže a přílohy - Erythema Multiforme Stevens-Johnson Syndrom Toxická epidermální nekrolýza léčiva Reakce s eosinofilií a systémovými symptomy (šaty) Akutní generalizovaná exatematózní pustulóza (AGEP) Dermatitida exfoliativa
Zkušenosti s postmarketingem se Zosyn u pediatrických pacientů naznačují podobný bezpečnostní profil jako u dospělých.
Další zkušenosti s piperacilinem
Pro injekci byla také hlášena následující nežádoucí reakce:
Kosterní - prodloužená neuromuskulární blokáda [viz Lékové interakce ].
d alfa tocopheryl acetát vedlejší účinky
Lékové interakce fnebo Zosyn
Aminoglykosids
Piperacillin may inactivate aminoglycosides by converting them to microbiologically inert amides.
In vivo inaktivace
Když jsou aminoglykosidy podávány ve spojení s piperacilinem pacientům s onemocněním ledvin v konečném stádiu vyžadující hemodialýzu, mohou být koncentrace aminoglykosidů (zejména tobramycin) významně sníženy a měly by být monitorovány.
Bylo prokázáno, že sekvenční podávání zosyn a tobramycinu pro pacienty s normální funkcí ledvin nebo mírné až střední renální poškození ledvin mírně snižuje koncentrace séra tobramycinu, ale není považována za nezbytné úpravy dávkování.
In vitro inaktivace
Kvůli in vitro inaktivaci aminoglykosidů piperacilin zosyn a aminoglykosidy se doporučuje pro samostatné podání. Pokud je uvedena souběžná terapie aminoglykosidy, by měly být rekonstituovány zředěny a aminoglykosidy zředěny a podávány samostatně. ZOSYN, který obsahuje EDTA, je kompatibilní s amikacinem a gentamicinem pro simultánní infuzi Y v určitém ředidle a při specifických koncentracích. Zosyn není kompatibilní s tobramycinem pro simultánní infuzi y-site [viz Dávkování a podávání ].
Probenecid
Probenecid administered concomitantly with Zosyn prolongs the half-life of piperacillin by 21% a that of tazobactam by 71% because probenecid inhibits tubular renal secretion of both piperacillin a tazobactam. Probenecid should not be co-administered with Zosyn unless the benefit outweighs the risk.
Vankomycin
Studie zjistily zvýšený výskyt akutního poškození ledvin u pacientů souběžně podávanými piperacilin a tazobactam a vankomycin ve srovnání se samotným vankomycinem [viz viz Varování a preventivní opatření ].
Monitorujte funkci ledvin u pacientů souběžně podávané s piperacilinem a tazobaktem a vankomycinem.
Mezi piperacilinem a Tazobactamem a vankomycinem nebyly zaznamenány žádné farmakokinetické interakce.
Antikoagulanty
Koagulační parametry by měly být testovány častěji a pravidelně monitorovány během současného podávání vysokých dávek heparinových perorálních antikoagulantů nebo jiných léků, které mohou ovlivnit systém koagulace krve nebo funkci trombocytů [viz viz Varování a preventivní opatření ].
Vecuronium
Piperacillin when used concomitantly with vecuronium has been implicated in the prolongation of the neuromuscular blockade of vecuronium. Zosyn could produce the same phenomenon if given along with vecuronium. Due to their similar mechanism of action it is expected that the neuromuscular blockade produced by any of the non-depolarizing neuromuscular blockers could be prolonged in the presence of piperacillin. Monitnebo fnebo adverse reactions related to neuromuscular blockade (see package insert fnebo vecuronium bromide).
Methotrexát
Omezená data naznačují, že společné podávání methotrexátu a piperacilinu může snížit clearance methotrexátu v důsledku konkurence na sekreci ledvin. Dopad Tazobactamu na odstranění methotrexátu nebyl vyhodnocen. Pokud je souběžná terapie nezbytná koncentrace séra methotrexátu, jakož i příznaky a příznaky toxicity methotrexátu často měly být monitorovány.
Účinky na laboratorní testy
Zprávy o pozitivních výsledcích testů pomocí testu Bio-Rad Laboratories Plalelia Aspergillus EIA testu u pacientů, kteří dostávali injekci piperacilinu a Tazobactam, u nichž bylo následně zjištěno, že jsou bez infekce Aspergillus. Byly hlášeny zkřížené reakce s polysacharidy non-Aspergillus a polyfuranózy s testem Bio-Rad Laboratories Plalelia Aspergillus EIA. Pozitivní výsledky testů u pacientů, kteří dostávají piperacilin a Tazobactam, by proto měly být interpretovány opatrně a potvrzeny jinými diagnostickými metodami.
Stejně jako u jiných penicilinů může podávání ZOSYN vést k falešně pozitivní reakci na glukózu v moči pomocí metody redukce mědi (Clinitest®). Doporučuje se, aby byly použity glukózové testy založené na enzymatických reakcích glukózy oxidázy.
Reference
1. Jensen J-US Hein L Lundgren B et al. BMJ Open 2012; 2: E000635. Doi: 10.1136.
Varování pro Zosyn
Zahrnuto jako součást OPATŘENÍ sekce.
Opatření pro Zosyn
Hypersenzitivní nežádoucí účinky
U pacientů, kteří dostávali terapii s Zosynem, byly hlášeny závažné a občas fatální hypersenzitivita (anafylaktické/anafylaktoidní) reakce (včetně šoku). Tyto reakce se častěji vyskytují u jedinců s anamnézou penicilinu cefalosporinu nebo hypersenzitivity karbapenemu nebo anamnézou citlivosti na více alergenů. Před zahájením terapie Zosynovým pečlivým vyšetřováním by se mělo být provedeno týkající se předchozích reakcí přecitlivělosti. Pokud dojde k alergické reakci, měl by být zosyn ukončen a zavedena vhodná terapie.
Závažné kožní nežádoucí účinky
Zosyn may cause severe cutaneous adverse reactions such as Stevens-Johnson syndrome toxic epidermal necrolysis drug reaction with eosinofilie a systemic symptoms a acute generalized exanthematous pustulosis. If patients develop a skin rash they should be monitneboed closely a Zosyn discontinued if lesions progress.
Hemofagocytární lymfohistiocytóza
U pediatrických pacientů léčených Zosynem byly hlášeny případy hemofagocytární lymfohistiocytózy (HLH). Příznaky a příznaky HLH mohou zahrnovat horečku lymfadenopatie hepatosplenomegalie a cytopenie. Pokud je HLH podezření, že okamžitě ukončete Zosyn a zaveďte vhodné řízení.
Hematologické nežádoucí účinky
U některých pacientů dostávajících léčiva beta-laktamu včetně piperacilinu došlo u krvácení. Tyto reakce byly někdy spojeny s abnormalitami koagulačních testů, jako je agregace srážení destiček a protrombinový čas a je pravděpodobnější, že se vyskytnou u pacientů s selháním ledvin. Pokud se vyskytne projevy krvácení, měly by být zosyn vysazeny a zavedena vhodná terapie.
Zdá se, že leukopenie/neutropenie spojená s Zosynovou podáváním je reverzibilní a nejčastěji spojena s prodlouženým podáváním.
Periodické hodnocení hematopoetické funkce by mělo být prováděno zejména s prodlouženou terapií, tj. ≥ 21 dní [viz Nežádoucí účinky ].
Nežádoucí účinky centrálního nervového systému
Stejně jako u jiných penicilinů může Zosyn způsobit neuromuskulární excitabilitu nebo záchvaty. Pacienti, kteří dostávají vyšší dávky, zejména pacienti s poškozením ledvin mohou být vystaveni většímu riziku nežádoucích účinků centrálního nervového systému. Pečlivě sledujte pacienty s poruchami ledvin nebo poruchami záchvatů na příznaky a příznaky neuromuskulární excitability nebo záchvatů [viz viz Nežádoucí účinky ].
Nefrotoxicita u kriticky nemocných pacientů
Bylo zjištěno, že použití Zosyn je nezávislým rizikovým faktorem pro selhání ledvin a bylo spojeno se zpožděným zotavením funkce ledvin ve srovnání s jinými antibakteriálními léky beta-laktamu v randomizované multicentrické kontrolované studii u kriticky nemocných pacientů [viz viz Nežádoucí účinky ]. Based on this study alternative treatment options should be considered in the critically ill population. If alternative treatment options are inadequate nebo unavailable monitnebo renal function during treatment with Zosyn [vidět Dávkování a podávání ].
Kombinované použití piperacilinu a tazobactamu a vankomycinu může být spojeno se zvýšeným výskytem akutního poškození ledvin [viz Lékové interakce ].
Efekty elektrolytu
Zosyn contains a total of 2.84 mEq (65 mg) of Na+ (sodium) per gram of piperacillin in the combination product. This should be considered when treating patients requiring restricted salt intake. Periodic electrolyte determinations should be perfnebomed in patients with low potassium reserves a the possibility of hypokalemia should be kept in mind with patients who have potentially low potassium reserves a who are receiving cytotoxic therapy nebo diuretics.
Průjem asociovaný s Clostridioides difficile
Clostridioides difficile -byla hlášena průjem (CDAD) při použití téměř všech antibakteriálních látek včetně Zosyn a může se pohybovat v závažnosti od mírné průjem po fatální kolitidu. Léčba antibakteriálními látkami mění normální flóru tlustého střeva vedoucí k přerůstání C. obtížné .
C. obtížné produkuje toxiny A a B, které přispívají k rozvoji CDAD. Kmeny produkující hypertoxin C. obtížné Způsobují zvýšenou morbiditu a úmrtnost, protože tyto infekce mohou být refrakterní vůči antimikrobiální terapii a mohou vyžadovat kolektomii. CDAD musí být zvažován u všech pacientů, kteří vyskytují průjem po užívání antibakteriálních léčiv. Je nezbytná pečlivá anamnéza, protože bylo hlášeno, že CDAD dochází po dobu dvou měsíců po podání antibakteriálních látek.
Pokud je podezřelý nebo potvrzen probíhající užívání antibakteriálních drog CDAD, které není namířeno C. obtížné možná bude nutné ukončit. Vhodná tekutinová a elektrolyty proteinové doplňování antibakteriální léčby C. obtížné a surgical evaluation should be instituted as clinically indicated.
Vývoj bakterií odolných vůči drogám
Předepisování Zosyn v nepřítomnosti prokázané nebo silně podezřelé bakteriální infekce nebo profylaktické indikace pravděpodobně neposkytne pro pacienta přínos a zvyšuje riziko rozvoje bakterií rezistentních na léčivo.
Neklinická toxikologie
Zhodnocení mutageneze karcinogeneze plodnosti
Karcinogeneze
Dlouhodobé studie karcinogenity u zvířat nebyly provedeny s piperacilinem a tazobactam piperacilin nebo tazobactam.
Mutageneze
Piperacillin a tazobactam was negative in microbial mutagenicity assays the unscheduled DNA synthesis (UDS) test a mammalian point mutation (Chinese hamster ovary cell HPRT) assay a a mammalian cell (BALB/c-3T3) transfnebomation assay. In vivo piperacillin a tazobactam did not induce chromosomal aberrations in rats.
Plodnost
Reprodukční studie byly provedeny u potkanů a neodhalily žádné důkazy o zhoršené plodnosti, když se piperacilin a Tazobactam podávají intravenózně až do dávky 1280/320 mg/kg piperacilinu a tazobactamu, která je podobná danému člověku na základě tělesné plochy (Mg/m²).
Použití v konkrétních populacích
Těhotenství
Shrnutí rizika
Piperacillin a tazobactam cross the placenta in humans. However there are insufficient data with piperacillin a/nebo tazobactam in pregnant women to infnebom a drug-associated risk fnebo majnebo birth defects a miscarriage. No fetal structural abnnebomalities were observed in rats nebo mice when piperacillin a tazobactam was administered intravenously during neboganogenesis at doses 1 to 2 times a 2 to 3 times the human dose of piperacillin a tazobactam respectively based on body-surface area (mg/m²). However fetotoxicity in the presence of maternal toxicity was observed in developmental toxicity a peri/postnatal studies conducted in rats (intraperitoneal administration prinebo to mating a throughout gestation nebo from gestation day 17 through lactation day 21) at doses less than the maximum recommended human daily dose based on body-surface area (mg/m²) (see Data ).
Riziko na pozadí hlavních vrozených vad a potratu pro uvedenou populaci není známo. V americké obecné populaci je odhadované riziko na pozadí hlavních vrozených vad a potratu u klinicky uznávaných těhotenství 2-4% a 15–20%.
Data
Údaje o zvířatech
Ve studiích vývoje embryo-fetálního vývoje u těhotných zvířat myší a potkanů dostávali intravenózní dávky piperacilinu a tazobaktamu až do 3000/750 mg/kg/den během období organogeneze. Neexistoval žádný důkaz o teratogenitě až do nejvyšší hodnocené dávky, která je 1 až 2krát a 2 až 3krát více než lidská dávka piperacilinu a tazobaktamu u myší a potkanů na základě oblasti tělesného povrchu (Mg/m²). Tělesné hmotnosti plodu byly sníženy u potkanů při mateřských toxických dávkách při nebo nad 500/62,5 mg/kg/den minimálně představující 0,4násobek lidské dávky piperacilinu a tazobaktamu na základě oblasti tělesného povrchu (mg/m²).
A fertility and general reproduction study in rats using intraperitoneal administration of tazobactam or the combination piperacillin and tazobactam prior to mating and through the end of gestation reported a decrease in litter size in the presence of maternal toxicity at 640 mg/kg/day tazobactam (4 times the human dose of tazobactam based on body-surface area) and decreased litter size and an increase in Plody se zpožděním osifikace a změnami žeber souběžně s toxicitou matky při ≥640/160 mg/kg/den piperacilinu a tazobaktamu (NULL,5krát a 1krát více než lidskou dávkou piperacilinu a tazobaktamu).
Peri/postnatal development in rats was impaired with reduced pup weights increased stillbirths and increased pup mortality concurrent with maternal toxicity after intraperitoneal administration of tazobactam alone at doses ≥320 mg/kg/day (2 times the human dose based on body surface area) or of the combination piperacillin and tazobactam at doses ≥640/160 mg/kg/day (NULL,5krát a 1krát více lidské dávky piperacilinu a Tazobactamu na základě oblasti tělesného povrchu) od denního dne 17. den do 21. dne.
Laktace
Shrnutí rizika
Piperacillin is excreted in human milk; tazobactam concentrations in human milk have not been studied. No infnebomation is available on the effects of piperacillin a tazobactam on the breastfed child nebo on milk production. The developmental a health benefits of breastfeeding should be considered along with the mother’s clinical need fnebo Zosyn a any potential adverse effects on the breastfed child from Zosyn nebo from the underlying maternal condition.
Dětské použití
U pediatrických pacientů a starších věku a starších věku a starších a starších věku byla stanovena bezpečnost a účinnost ZOSYN pro intraabdominální infekce a nozokomiální pneumonii.
Použití ZOSYN u pediatrických pacientů 2 měsíce věku a starších s intraabdominálními infekcemi včetně apendicitidy a/nebo peritonitidy je podporováno důkazy z dobře kontrolovaných studií a farmakokinetických studií u dospělých a u pediatrických pacientů. To zahrnuje prospektivní randomizovanou srovnávací klinickou klinickou studii s 542 pediatrickými pacienty 2 až 12 let věku s intraabdominálními infekcemi (včetně apendicitidy a/nebo peritonitidy), u kterého 273 pediatrických pacientů dostávalo piperacilin a tazobactam [viz viz Nežádoucí účinky a Klinická farmakologie ].
Použití ZOSYN u pediatrických pacientů 2 měsíce věku a starších s nozokomiální pneumonií je podporováno důkazy od dobře kontrolovaných studií u dospělých s nosokomiální pneumonií simulační studie, která byla prováděna s farmakokinetickým modelem, a 260 pediatrickými pacienty byly léčeny pacienty s vychodovateli pacienty s léčitelem pacientů s pacienty s pediatrickými pacienty a léčeni pacienti a u pediatrických pacientů s nosomiálním pneumonií. ošetřeno komparátory (mezi něž patřily ticarcillin-clavulanate karbapenemy ceftazidime cefepime nebo ciprofloxacin) [viz viz Nežádoucí účinky a Klinická farmakologie ].
Bezpečnost a účinnost ZOSYN nebyla stanovena u pediatrických pacientů mladších 2 měsíců [viz Klinická farmakologie a Dávkování a podávání ].
Dávkování of Zosyn in pediatric patients with renal impairment has not been determined.
Geriatrické použití
Pacienti po 65 letech nejsou vystaveni zvýšenému riziku vzniku nežádoucích účinků pouze z důvodu věku. Dávkování by však mělo být upraveno v přítomnosti poškození ledvin [viz Dávkování a podávání ].
Obecně by měl být výběr dávky pro staršího pacienta opatrný, obvykle začínající na dolním konci rozsahu dávkování, což odráží větší frekvenci snížené funkce ledvin nebo srdeční jater a souběžné onemocnění nebo jiné léčivé terapie.
Zosyn contains 65 mg (2.84 mEq) of sodium per gram of piperacillin in the combination product. At the usual recommended doses patients would receive between 780 a 1040 mg/day (34.1 a 45.5 mEq) of sodium. The geriatric population may respond with a blunted natriuresis to salt loading. This may be clinically impnebotant with regard to such diseases as městnavé srdeční selhání .
Je známo, že tento lék je v podstatě vylučován ledvinou a riziko toxických reakcí na tento lék může být u pacientů se zhoršenou funkcí ledvin větší. Vzhledem k tomu, že starší pacienti s větší pravděpodobností mají sníženou funkci renálních funkcí, by měla být prováděna při výběru dávky a může být užitečné sledovat funkci ledvin.
Poškození ledvin
U pacientů s clearance kreatininu ≤ 40 ml/min a dialyzační pacienty (hemodialýza a CAPD) by měla být intravenózní dávka ZOSYN redukována na stupeň poškození renálních funkcí [viz viz Dávkování a podávání ].
Poškození jater
Dávkování adjustment of Zosyn is not warranted in patients with hepatic cirrhosis [vidět Klinická farmakologie ].
Pacienti s cystickou fibrózou
Stejně jako u jiných semisyntetických penicilinů, která byla peracilinová terapie spojena se zvýšeným výskytem horečky a vyrážky cystická fibróza pacienti.
Informace o předávkování Zosyn
Zprávy o předávkování s piperacilinem a Tazobactamem se objevily. Většina těchto událostí, které se zažívaly, včetně zvracení a průjmu nevolnosti, byla také hlášena s obvyklými doporučenými dávkami. Pacienti mohou zažít neuromuskulární excitabilitu nebo záchvaty, pokud jsou podávány vyšší než doporučené dávky intravenózně (zejména v přítomnosti selhání ledvin) [Viz Varování a preventivní opatření ].
Léčba by měla být podpůrná a symptomatická podle klinické prezentace pacienta. Nadměrné sérové koncentrace buď piperacilinu nebo tazobaktamu mohou být sníženy hemodialýzou. Po jediné 3,375 g dávky piperacilinu a tazobaktamu bylo procento dávky piperacilinu a tazobactamu odstraněno hemodialýzou přibližně 31% a 39% [viz viz Klinická farmakologie ].
Kontraindikace pro Zosyn
Zosyn is contraindicated in patients with a histneboy of allergic reactions to any of the penicillins cephalospneboins nebo beta-lactamase inhibitnebos.
Klinická farmakologie fnebo Zosyn
Mechanismus působení
Zosyn is an antibacterial drug [vidět Mikrobiologie ].
Farmakodynamika
Farmakodynamický parametr pro piperacilin a Tazobactam, který nejvíce predivuje klinickou a mikrobiologickou účinnost, je čas nad MIC.
Farmakokinetika
Průměrné a koeficienty variace (CV%) pro farmakokinetické parametry piperacilinu a tazobaktamu po několika intravenózních dávkách jsou shrnuty v tabulce 8.
Tabulka 8: průměr (CV%) Piperacillin a Tazobactam PK Parametry
| Piperacillin | ||||||
| Piperacillin a Tazobactam Dose a | CMAX (MCG/ML) | AUC b (MCG • H/ML) | CL (ML/min) | V (l) | T½ (h) | CLR (ML/min) |
| 2,25 g | 134 | 131 [14] | 257 | 17.4 | 0.79 | - |
| 3,375 g | 242 | 242 [10] | 207 | 15.1 | 0.84 | 140 |
| 4,5 g | 298 | 322 [16] | 210 | 15.4 | 0.84 | - |
| Tazobactam | ||||||
| Piperacillin a Tazobactam Dose a | CMAX (MCG/ML) | AUC b (MCG • H/ML) | CL (ML/min) | V (l) | T½ (h) | CLR (ML/min) |
| 2,25 g | 15 | 16.0 [21] | 258 | 17.0 | 0.77 | - |
| 3,375 g | 24 | 25.0 [8] | 251 | 14.8 | 0.68 | 166 |
| 4,5 g | 34 | 39.8 [15] | 206 | 14.7 | 0.82 | - |
| a Piperacillin a tazobactam were given in combination infused over 30 minutes. b Čísla v [] závorkách jsou variace koeficienty [CV%]. CMAX: Maximální pozorovaná koncentrace AUC: Plocha pod křivkou CL = clearance CLR = clearance ledvin V = objem distribuce T½ = eliminace poločas |
Vrcholové plazmatické koncentrace piperacilinu a tazobaktamu jsou dosaženy okamžitě po dokončení intravenózní infuze Zosyn. Koncentrace piperacilinu v plazmě po 30minutové infuzi Zosyn byly podobné těm, které byly dosaženy, když byly podávány ekvivalentní dávky piperacilinu. Koncentrace plazmy ustáleného stavu piperacilinu a tazobaktamu byly podobné těm, které byly dosaženy po první dávce v důsledku krátkých poločasů piperacilinu a tazobaktamu.
Rozdělení
Piperacilin i tazobactam jsou přibližně 30% vázány na plazmatické proteiny. Vazba proteinu buď piperacilinu nebo tazobaktamu není ovlivněna přítomností druhé sloučeniny. Vazba proteinu metabolitu Tazobactam je zanedbatelná.
Piperacillin a tazobactam are widely distributed into tissues a body fluids including intestinal mucosa gallbladder lung female reproductive tissues (uterus ovary a fallopian tube) interstitial fluid a dokonce . Mean tissue concentrations are generally 50% to 100% of those in plasma. Rozdělení of piperacillin a tazobactam into cerebrospinal fluid is low in subjects with non-inflamed meninges as with other penicillins (see Table 9).
Tabulka 9: Koncentrace piperacilinu a tazobactamu ve vybraných tkáních a tekutinách po jednom 4 g/0,5 g 30min IV infuze Zosyn
| Tkáň nebo tekutina | N a | Období vzorkování b (h) | Průměrný rozsah koncentrace PIP (mg/l) | Tkáň: Rozsah plazmy | Koncentrace rozsahu Tazo (mg/l) | Tkáň Tazo: Rozsah plazmy |
| Kůže | 35 | 0,5 -4,5 | 34,8 -94,2 | 0,60 -1.1 | 4.0 -7.7 | 0,49 -0,93 |
| Mastná tkáň | 37 | 0,5 -4,5 | 4.0 -10.1 | 0,097 -0,115 | 0,7 -1,5 | 0,10 -0,13 |
| Sval | 36 | 0,5 -4,5 | 9,4 -23,3 | 0,29 -0,18 | 1,4 -2,7 | 0,18 -0,30 |
| Proximální střevní sliznice | 7 | 1,5 -2,5 | 31.4 | 0.55 | 10.3 | 1.15 |
| Distální střevní sliznice | 7 | 1,5 -2,5 | 31.2 | 0.59 | 14.5 | 2.1 |
| Dodatek | 22 | 0,5 -2,5 | 26.5 -64.1 | 0,43 -0,53 | 9.1 - 18.6 | 0,80 -1,35 |
| a Každý subjekt poskytl jeden vzorek. b Čas od začátku infuze |
Metabolismus
Piperacillin is metabolized to a minnebo microbiologically active desethyl metabolite. Tazobactam is metabolized to a single metabolite that lacks pharmacological a antibacterial activities.
Vylučování
Po jednotlivých nebo více dávkách Zosyn pro zdravé subjekty se plazmatický poločas piperacilinu a Tazobactamu pohyboval od 0,7 do 1,2 hodiny a nebyl ovlivněn dávkou nebo trváním infuze.
Piperacilin i tazobactam jsou eliminovány ledvinou glomerulární filtrací a tubulární sekrecí. Piperacillin se rychle vylučuje jako nezměněný lék s 68% podávané dávky vylučující v moči. Tazobactam a jeho metabolit jsou eliminovány především vylučováním ledvin s 80% podávané dávky vylučované jako nezměněný lék a zbytek jako jediný metabolit. Piperacillin tazobactam a desethyl piperacilin jsou také vylučovány do dokonce .
Konkrétní populace
Poškození ledvin
Po podání jednotlivých dávek piperacilinu a tazobaktamu subjektům s poruchou ledvin se poločas piperacilinu a tazobaktamu zvyšuje s klesající clearance kreatininu. Při clearance kreatininu pod 20 ml/min je zvýšení poločasu pro piperacilin a čtyřnásobné pro Tazobactam ve srovnání s subjekty s normální funkcí ledvin. Úpravy dávkování pro Zosyn se doporučuje, když je clearance kreatininu pod 40 ml/min u pacientů, kteří dostávají obvyklou doporučenou denní dávku Zosyn. Vidět Dávkování a podávání Pro konkrétní doporučení pro léčbu pacientů s postižením ledvin.
Hemodialýza odstraňuje 30% až 40% dávky piperacilinu a tazobactamu s dalšími 5% dávky Tazobactam odstraněno jako metabolit Tazobactam. Peritoneální dialýza odstraňuje přibližně 6% a 21% dávek piperacilinu a tazobactamu s až 16% dávky Tazobactam odstraněno jako metabolit Tazobactam. Pro doporučení pro dávkování pro pacienty podstupující hemodialýzu [viz Dávkování a podávání ].
Poškození jater
Poločas piperacilinu a tazobaktamu se zvyšuje přibližně o 25% a 18% u pacientů s jaterní cirhózou ve srovnání se zdravými subjekty. Tento rozdíl však nezaručuje úpravu dávkování Zosyn kvůli jaterní cirhóze.
Pediatrie
Piperacillin a tazobactam pharmacokinetics were studied in pediatric patients 2 months of age a older. The clearance of both compounds is slower in the younger patients compared to older children a adults.
V populaci byla odhadovaná analýza PK odhadovaná clearance u 9 měsíců až 12 let starých pacientů srovnatelná s dospělými s průměrnou hodnotou populací (SE) 5,64 (NULL,34) ml/min/kg. Odhad clearance piperacilinu je 80% této hodnoty pro pediatrické pacienty ve věku 2 - 9 měsíců. U pacientů je mladší než 2 měsíce věk clearance piperacilinu ve srovnání se staršími dětmi pomalejší; Pro doporučení dávkování však není adekvátně charakterizován. Průměr populace (SE) pro distribuční objem piperacilinu je 0,243 (NULL,011) L/kg a je nezávislý na věku.
Geriatrie
Dopad věku na farmakokinetiku piperacilinu a tazobaktamu byl hodnocen u zdravých mužů ve věku 18 - 35 let (n = 6) a ve věku 65 až 80 let (n = 12). Průměrný poločas pro piperacillin a Tazobactam byl u starších osob ve srovnání s mladšími subjekty 32% a 55% vyšší. Tento rozdíl může být způsoben změnami clearance kreatininu souvisejícího s věkem.
Rasa
Vliv rasy na piperacillin a Tazobactam byl hodnocen u zdravých dobrovolníků mužů. Nebyl pozorován žádný rozdíl v piperacilinu nebo tazobactam farmakokinetice mezi asijskými (n = 9) a bělošskými (n = 9) zdravými dobrovolníky, kteří dostávali jednotlivé 4/0,5 g dávky.
Lékové interakce
Potenciál farmakokinetických lékových interakcí mezi zosyn a aminoglykosidy probenecid vankomycin heparin vecuronium a methotrexát byl vyhodnocen [viz viz Lékové interakce ].
Mikrobiologie
Mechanismus působení
Piperacillin sodium exerts bactericidal activity by inhibiting septum fnebomation a cell wall synthesis of susceptible bacteria. In vitro piperacillin is active against a variety of gram-positive a gram-negative aerobic a anaerobic bacteria. Tazobactam sodium has little clinically relevant in vitro activity against bacteria due to its reduced affinity to penicillin-binding proteins. It is however a beta-lactamase inhibitnebo of the Molecular class A enzymes including Richmond-Sykes class III (Bush class 2b & 2b') penicillinases a cephalospneboinases. It varies in its ability to inhibit class II a IV (2a & 4) penicillinases. Tazobactam does not induce chromosomally-mediated beta-lactamases at tazobactam concentrations achieved with the recommended dosage regimen.
Antimikrobiální aktivita
Zosyn has been shown to be active against most isolates of the following microneboganisms both in vitro a in clinical infections [vidět Indikace a použití ]:
Aerobní bakterie
Gram-pozitivní bakterie
Staphylococcus aureus (pouze izoláty citlivé na methicilin)
Gram-negativní bakterie
k čemu se používá sulfacetamid sodík
Acinetobacter Baumannii
Vykazovali chill
Haemophilus influenzae (s výjimkou beta-laktamázových negativních izolátů rezistentních na ampicilin))
Klebsiella pneumoniae
Pseudomonas aeruginosa (dané v kombinaci s aminoglykosidem, na který je izolát vnímavý)
Anaerobní bakterie
Bakteroides fragilis skupina ( B. Fragilis B. ovatus B. Thetaiotaomicron a B. Vulgate )
K dispozici jsou následující údaje in vitro, ale jejich klinický význam není znám. Nejméně 90 procent následujících bakterií vykazuje in vitro minimální inhibiční koncentraci (MIC) menší nebo roven citlivému bodu zlomu pro piperacilin a tazobactam proti izolátům podobného rodu nebo organismu. Účinnost ZOSYN při léčbě klinických infekcí způsobených těmito bakteriemi však nebyla stanovena v přiměřených a dobře kontrolovaných klinických studiích.
Aerobní bakterie
Gram-pozitivní bakterie
Enterococcus faecalis (pouze ampicilin nebo penicilin pozorované izoláty)
Staphylococcus epidermidis (pouze izoláty citlivé na methicilin)
Streptococcus agalactiae †
Streptococcus pneumoniae † (pouze izoláty citlivé na penicilin)
Streptococcus pyogenes †
Viridans Group Streptococci †
Gram-negativní bakterie
Citrobacter Koseri
Moraxella catarrhalis
Morganella Morganies
Neisseria Gonorrhoeae
Proteus úžasný
Proteus vulgaris
Serratia Marcescens
Providencia Stuartii
Rettgeri Providence
Salmonella enterica
Anaerobní bakterie
Clostridium perfringens
Bakteroides distasonis
Prevotella melaninogenica
† Nejedná se o bakterie produkující beta-laktamázu, a proto jsou náchylné k samotnému piperacilinu.
Testování citlivosti
Konkrétní informace o interpretačních kritériích a souvisejících metodách testování a standardech kontroly kvality vyznačené FDA pro tento lék naleznete na adrese: https://www.fda.gov/stic.
Informace o pacientovi pro Zosyn
Vážné reakce přecitlivělosti
Poraďte pacientům s jejich rodinami nebo pečovateli, že při použití Zosyn, které vyžadují okamžitou léčbu, by mohly nastat vážné reakce přecitlivělosti včetně závažných alergických kožních reakcí. Zeptejte se jich na jakékoli předchozí hypersenzitivní reakce na ZOSYN Ostatní beta-laktamy (včetně cefalosporinů) nebo na jiné alergeny [viz Varování a preventivní opatření ].
Hemofagocytární lymfohistiocytóza
Před zahájením léčby Zosyn informuje pacienty, že u Zosyn může dojít k nadměrné imunitní aktivaci a že by měli uvádět příznaky nebo příznaky, jako je vyrážka nebo lymfadenopatie poskytovateli zdravotní péče [okamžitě viz viz Varování a preventivní opatření ].
Průjem
Poraďte pacientům s jejich rodinami nebo pečovateli, že průjem je běžným problémem způsobeným antibakteriálními léky včetně Zosyn, které obvykle končí, když je lék přerušen. Někdy po zahájení léčby antibakteriálními drogami mohou pacienti vyvinout vodnatou a krvavou stolici (s křečemi a horečkou žaludku nebo bez něj), až dva nebo více měsíců po absolvování poslední dávky léčiva. Pokud k tomu dojde, pacienti by se měli co nejdříve kontaktovat svého lékaře Varování a preventivní opatření ].
Antibakteriální rezistence
Pacienti by měli být informováni o tom, že antibakteriální léčiva včetně Zosyn by měla být používána pouze k léčbě bakteriálních infekcí. Ne léčí virové infekce (např. Obecně nachlazení). Když je Zosyn předepsán k léčbě pacientů s bakteriální infekcí, by měl být sdělen, že ačkoli je běžné se v průběhu terapie cítit lépe v průběhu terapie, léčba by měla být považována přesně podle pokynů. Přeskočení dávek nebo nedokončení úplného průběhu terapie může (1) snížit účinnost okamžité léčby a (2) zvýšit pravděpodobnost, že se bakterie v budoucnu vyvinou a v budoucnu nebudou léčitelné Zosyn nebo jinými antibakteriálními léky.
Těhotenství And Laktace
Pacienti by měli být poraženi, že Zosyn může překročit placentu u lidí a je vylučován v lidském mléce [viz Použití v konkrétních populacích ].