Informace Na Stránce Nepředstavují Lékařskou Radu. Nic Neprodáváme. Přesnost Překladu Není Zaručena. Zřeknutí Se Odpovědnosti
PleuromutilinXenleta
Shrnutí drog
Co je Xenleta?
Xenleta (lefamulin) je pleuromutilin Antibakteriální indikováno pro léčbu dospělých s komunitou získané bakteriální zápal plic (CABP) způsobené citlivými mikroorganismy.
Jaké jsou vedlejší účinky Xenlety?
Xenleta
- kopřivka
- potíže s dýcháním
- Otok vašeho obličeje rty jazyk nebo krk
- Těžká bolest žaludku
- průjem, který je vodnaté nebo krvavé (i když se vyskytuje měsíce po vaší poslední dávce)
- Křeče z nohou
- zácpa
- nepravidelné srdeční rytmus
- Flutteting v hrudi
- zvýšená žízeň nebo močení
- otupělost nebo brnění
- Slabost svalů a
- Klimatický pocit
Získejte lékařskou pomoc okamžitě, pokud máte výše uvedené příznaky.
Mezi běžné vedlejší účinky Xenlety patří:
- Reakce místa injekce
- zvýšené jaterní enzymy
- nevolnost
- nízká krev draslík
- nespavost
- bolest hlavy
- průjem
- nevolnost a
- zvracení
Pokud máte následující vážné vedlejší účinky, vyhledejte lékařskou péči nebo zavolejte na číslo 911:
- Vážné příznaky očí, jako je ztráta náhlého vidění rozmazané vidění vidění Vision Vision Eye Eye Eye Eye Eye Eye Eye Eye nebo vidět halos kolem světel;
- Vážné příznaky srdce, jako je rychlé nepravidelné nebo bušení srdečního rytmu; třepování v hrudi; dušnost; a náhlé závratě lightheadness nebo omdlení;
- Těžká zmatek bolesti hlavy zkroucený řečový rameno nebo slabost nohou Potíže se ztrátou chůze pocitu koordinace Pocit nestabilní velmi tuhé svaly vysoké horečky bohaté pocení nebo třes.
Tento dokument neobsahuje všechny možné vedlejší účinky a mohou dojít k jiným. Další informace o vedlejších účincích najdete u svého lékaře.
Dávkování pro Xenleta
Doporučená dávka Xenleta je 150 mg každých 12 hodin intravenózní infuzí po dobu 60 minut po dobu 5 až 7 dnů nebo 600 mg perorálně každých 12 hodin po dobu 5 dnů.
Jaké léčivé látky nebo doplňky interagují s Xenletou?
Xenleta může interagovat se silnými induktory CYP3A4 nebo P-gp induktory silnými inhibitory CYP3A nebo P-gp inhibitory Alprazolam Diltiazem Verapamil Simvastatin Vardenafil Antiarrytmics Antipsychotics Erythromycin moxifloxacin a Tricyklická antidepresiva . Řekněte svému lékaři všechny léky a doplňky, které používáte.
Xenleta během těhotenství a kojení
Xenleta se nedoporučuje pro použití během těhotenství; Může to poškodit plod. Ženy reprodukčního potenciálu se doporučuje používat účinnou antikoncepci během léčby s Xenletou a 2 dny po konečné dávce. Není známo, zda Xenleta přejde do mateřského mléka. Kvůli potenciálu pro nežádoucí účinky u kojení kojenců se při používání Xenlety nedoporučuje kojení kojenců. Ženy by měly čerpat a zlikvidovat mateřské mléko po dobu léčby Xenletou a po dobu 2 dnů po konečné dávce.
Další informace
Naše injekce Xenleta (lefamulin) pro intravenózní použití a tablety Xenleta (lefamulin) pro perorální použití Vedlejší účinky Drugové centrum poskytuje komplexní pohled na dostupné informace o potenciálních vedlejších účincích při užívání tohoto léku.
Informace o drogách FDA
- Popis léku
- Indikace
- Dávkování
- Vedlejší účinky
- Lékové interakce
- Varování
- Předávkovat
- Klinická farmakologie
- Průvodce léky
Popis pro Xenleta
Xenleta je polosyntetické antibakteriální činidlo pro perorální a intravenózní podávání.
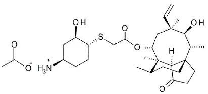
Xenleta Derivát pleuromutilinu je k dispozici jako 14- O -{[(1 R 2 R 4 R ) -4-amino-2-hydroxy-cyklohexylsulfanyl] -acetyl}-mutilin ve formě soli kyseliny octové (acetát). Je to chemická látka s molekulovou hmotností 567,79 gramů na mol. Jeho empirický vzorec je C 30 H 49 ŽÁDNÝ 7 S a její chemická struktura je:
|
Tablety Xenleta pro perorální podávání jsou k dispozici jako modré oválné tablety potažené filmem obsahujícím 671 mg lefamulinu acetátu ekvivalentu 600 mg lefamulinu. Neaktivní ingredience jsou koloidní křemíkový oxid oxid croscarmellose sodný FD
k čemu se používá naloxonový hydrochlorid
Injekce Xenleta dodávaná jako sterilní injekce pro intravenózní použití je k dispozici jako čistý bezbarvý roztok ve skleněné lahvičce obsahující 168 mg lefamulinu acetátu ekvivalentu 150 mg lefamulinu v 15 ml 0,9% chloridu sodného. To je ekvivalentní 10 mg/ml lefamulinu. Neaktivní složky jsou chlorid sodný a voda pro injekci.
Injekce xenleta musí být zředěna ředidlem dodávaným injekcí xenleta před podáním intravenózní infuzí. Každá dodávaná infuzní vaku se obsahuje 250 ml 10 mM citrátového pufrovaného (pH 5) 0,9% chloridu sodného. Ředidlo je čisté bezbarvé řešení. Neaktivní ingredience jsou kyselina citronová bezvolná chlorid sodný chlorid trisodium citrate dihydrát a voda pro injekci. Každých 100 ml obsahuje: chlorid sodný 900 mg trisodium citrát dihydrát 200 mg a kyselina citronová bezvodá 61,5 mg ve vodě pro injekci. Elektrolyty na 1000 ml: sodík 174 MEQ; Chlorid 154 meq. Osmolalita je 280-340 mosm/kg a pH je 4,5-5,5.
Použití pro Xenleta
Bakteriální pneumonie získaná komunitou (CABP)
Xenleta je indikována pro léčbu dospělých s komunitou získanou bakteriální pneumonií (CABP) způsobenou následujícími vnímavými mikroorganismy: Streptococcus pneumoniae staphylococcus aureus (izoláty citlivé na methicilin) Haemophilus influenzae legionella pneumophila mycoplasma pneumoniae a Chlamydophila pneumoniae .
Používání
Pro snížení rozvoje bakterií rezistentních na léčiva a udržení účinnosti xenlety a dalších antibakteriálních léčiv Xenleta by měla být použita pouze k léčbě nebo prevenci infekcí, které jsou prokázány nebo silně podezřelé, že jsou způsobeny vnímavými bakteriemi. Pokud jsou k dispozici informace o kultuře a citlivosti, měly by být zváženy při výběru nebo úpravě antibakteriální terapie. Při absenci takových dat může místní epidemiologie a vzorce citlivosti přispět k empirickému výběru terapie.
Dávkování pro Xenleta
Doporučené dávkování
Pro léčbu dospělých s CABP je doporučená dávka Xenlety popsána v tabulce 1 níže. U pacientů s těžkou úpravou dávky jater je vyžadován [viz Dávkování a podávání ].
Tabulka 1: Dávkování Xenlety u dospělých pacientů s CABP
| Dávkování | Trvání léčby |
| 150 mg každých 12 hodin intravenózní infuzí po 60 minutách* | 5 až 7 dní |
| 600 mg orálně každých 12 hodin | 5 dní |
| *S možností přepnutí na tablety Xenleta 600 mg každých 12 hodin pro dokončení léčebného kurzu. |
Dávkování Adjustment For Pacienti s poškozením jater
Sledujte pacienty s poškozením jater pro nežádoucí účinky spojené s injekcí Xenleta a tablety po celou dobu léčby [viz viz Použití v konkrétních populacích a Klinická farmakologie ].
Injekce xenleta
Snižte dávkování injekce Xenleta na 150 mg infuzi intravenózně po 60 minutách každých 24 hodin u pacientů s těžkým poškozením jater (třída C Child-Pugh). U pacientů s mírnou (třídou A) nebo mírným (třídou Child-Pugh-Pugh třídy B) není zapotřebí žádné úpravy dávkování injekce Xenleta.
Tablety Xenleta
Tablety Xenleta have not been studied in a are not recommended pro patients with moderate (Child-Pugh Class B) or severe (Child-Pugh Class C) hepatic impairment. No dosage adjustment of Tablety Xenleta is needed pro patients with mild hepatic impairment (Child-Pugh Class A).
Důležité pokyny pro správu
Injekce xenleta
Podávejte injekci Xenleta intravenózní infuzí po dobu 60 minut. Musí se zředit v 250 ml roztoku 10 mm citrátu pufrovaného 0,9% chloridu sodného pro injekci dodávané injekcí Xenleta před použitím [viz viz Dávkování a podávání ].
Tablety Xenleta
Vezměte si tablety Xenleta alespoň 1 hodinu před jídlem nebo 2 hodiny po jídle. Tablety Xenleta polykat celek s vodou (6 až 8 uncí). Nerušte ani nerozdělte tablety Xenleta [viz Klinická farmakologie ].
Zmeškaná dávka
Pokud je vynechána dávka, měl by pacient vzít dávku co nejdříve a kdykoli až 8 hodin před další naplánovanou dávkou. Pokud zůstane méně než 8 hodin před další plánovanou dávkou, neberte zmeškanou dávku a při další naplánované dávce pokračujte v dávkování.
Příprava injekce Xenlety pro intravenózní infuzi
- Zřeďte celou 15 ml lahvičku injekce xenlety do pílu dodávané s injekcí xenleta, která obsahuje 250 ml 10 mM citrátového pufru 0,9% chloridu sodného.
- Při přidávání injekce Xenlety do ředidla použijte aseptickou techniku. Důkladně promíchejte.
- Parenterální léčivé přípravky by měly být vizuálně kontrolovány na částice a zbarvení před podáním, kdykoli to roztok a nádoby povolí. Použijte vak na vřednutou, pouze pokud je roztok čistý a kontejner je nepoškozený.
- Nepoužívejte pílu v sérickém připojení.
- Nepřidávejte další přísady do pílu, protože jejich kompatibilita s injekcí Xenleta nebyla stanovena.
Skladování injekce Xenlety po zředění
Po zředění může být injekce Xenleta skladována po dobu až 24 hodin při teplotě místnosti a až 48 hodin při chlazení při 2 ° C až 8 ° C (36 ° F až 46 ° F).
Jak dodáno
Dávkování Forms And Strengths
Injekce xenleta
Vyčistěte bezbarvé roztok v jednodávkové čiré skleněné lahvičce. Každá lahvička obsahuje 150 mg lefamulinu v 15 ml 0,9% chloridu sodného pro další ředění [viz viz Dávkování a podávání ].
Tablety Xenleta
Blue oválný filmový potažený tablet s „lefem 600“ vytištěn v černé barvě na jedné straně. Každý tablet obsahuje 600 mg lefamulinu.
Xenleta je dodávána v následujících silných stránkách a konfiguracích balíků:
Injekce xenleta
Injekce xenleta is a clear colorless sterile nonpyrogenic solution pro intravenous administration containing 150 mg of lefamulin in 15 mL 0.9% sodium chloride in a single-dose vial intended pro dilution in 250 mL of 10 mM citrate buffered (pH 5) 0.9% sodium chloride. The drug product is provided in a clear type I glass 15 mL vial with a gray rubber snapper aluminum seal a flip off cap. The diluent is provided in infusion bags containing 250 mL of sterile nonpyrogenic 10 mM citrate buffered (pH 5) 0.9% sodium chloride solution. The vial snapper a infusion bag are not made with natural rubber latex.
Jsou dodávány takto:
150 mg lahvičky s jednou dávkou lefamulinu ( NDC 72000-120-06); zabalené v kartonech 6.
250 ml Citrate pufrovací piluentní sáčky ( NDC 72000-030-06); zabalené v kartonech 6.
Injekce xenleta should be snared at 2°C na 8°C (36°F na 46°F). Snare in a refrigeranar. Do not freeze. The diluent bags should be snared in barrier overwrap at 2°C na 25°C (36°F na 77°F) until ready na use. [see Dávkování a podávání ].
Tablety Xenleta
Tablety Xenleta are available as blue oval film-coated tablets containing 600 mg lefamulin. The tablets are printed with ‘LEF 600’ in black on one side.
Jsou dodávány takto:
Blistrové karty odolné proti dětem 10 tabletů ( NDC 72000-110-10).
Lahve HDPE s 30 tabletami s uzavřením odolném proti dítěti ( NDC 72000-110-30).
Skladování a manipulace
Tablety Xenleta should be snared at 20°C na 25°C (68°F na 77°F); excursions permitted na 15°C na 30°C (59°F na 86°F) [see USP Controlled Room Temperature].
Distribuováno: Nabriva Therapeutics US Inc. Fort Washington PA 19034 NABRIVA Therapeutics je ochranná známka společnosti Nabriva Therapeutics US Inc. Revidovaná: červen 2021
Vedlejší účinky pro Xenleta
Následující klinicky významné nežádoucí účinky jsou popsány jinde při označování:
- Prodloužení Qt [viz Varování a preventivní opatření ].
- Clostridioides difficile -Asociovaný průjem [viz Varování a preventivní opatření ].
Zkušenosti z klinických studií
Protože klinické studie se provádějí za široce proměnlivých podmínek, nežádoucí rychlosti nežádoucí reakce pozorované v klinických studiích léčiva nelze přímo porovnat s mírami v klinických studiích s jiným lékem a nemusí odrážet míru pozorované v praxi.
Xenleta byla hodnocena ve dvou klinických studiích u pacientů s CABP (studie 1 a studie 2). V těchto dvou studiích bylo celkem 641 pacientů léčeno Xenletou. Studie 1 (intravenózní [IV] na perorální dávkovací přepínací studie) zapsala 551 dospělých pacientů 276 randomizovaných do Xenleta (273 dostalo alespoň jednu dávku xenlety) a 275 randomizovaných na moxifloxacin (273 obdrželo alespoň jednu dávku moxifloxacinu). Studie 2 (pouze perorální dávkování pouze studie) zařadilo 738 dospělých pacientů 370 randomizovaných do Xenleta (368 dostalo alespoň jednu dávku xenleta) a 368 randomizovaných na moxifloxacin (všech 368 obdrželo alespoň jednu dávku moxifloxacinu).
Studie 1 Zapsala pacienty do Pneumonia Výsledky Výzkumného týmu (Port) rizika třídy III-V. Průměrná doba trvání intravenózní léčby byla 6 dní; Průměrná celková doba léčby byla 7 dní. Studie 2 zapsané pacienty s přístavním rizikem třídy II-IV. Průměrná doba léčby byla 5 dní pro Xenleta a 7 dní pro moxifloxacin.
Ve studii 1 a studie 2 (sdružovaný) byl střední věk pacientů léčených Xenletou 61 (rozmezí 19-97) let; 42% pacientů bylo 65 let a starší a 18% bylo 75 let nebo starších. Pacienti byli převážně mužský (58%) a bílý (79%) a měli střední index tělesné hmotnosti (BMI) 26,0 (rozmezí 13,0-56,8) kg/m². Přibližně 52% pacientů ošetřených Xenleta mělo clearance kreatininu (CRCL) <90 mL/min.
Vážné nežádoucí účinky a nežádoucí účinky vedoucí k přerušení
Ve studii 1 a pokus 2 (sdružené) se vyskytly vážné nežádoucí účinky u 36/641 (NULL,6%) pacientů léčených Xenleta a 31/641 (NULL,8%) pacientů léčených moxifloxacinem. Léčba byla přerušena kvůli nežádoucí reakci u 21/641 (NULL,3%) pacientů léčených xenleta a 21/641 (NULL,3%) pacientů léčených moxifloxacinem. Smrt do 28 dnů došlo u 8/641 (NULL,2%) pacientů léčených Xenleta a 7/641 (NULL,1%) pacientů léčených moxifloxacinem.
Nejběžnější nežádoucí účinky
Tabulka 2 a tabulka 3 obsahují nežádoucí reakce vyskytující se u ≥ 2% pacientů, kteří dostávali Xenleta ve studiích 1 a 2.
Tabulka 2: Nežádoucí účinky, které se vyskytují u ≥ 2% pacientů, kteří dostávali Xenleta v pokusu 1
| Nežádoucí reakce | Pokus 1 IV ± orální dávkování | |
| Xenleta N = 273 | Moxifloxacin N = 273 | |
| Reakce správy webu* | 7% | 3% |
| Zvýšení jaterního enzymu ** | 3% | 3% |
| Nevolnost | 3% | 2% |
| Hypokalémie | 3% | 2% |
| Nespavost | 3% | 2% |
| Bolest hlavy | 2% | 2% |
| *Reakce podávání lokality zahrnují místo infuzní bolesti infuze Phlebitis a reakci injekce. ** Zvýšení jaterního enzymu zahrnuje alanin aminotransferázu zvýšené aspartát aminotransferázy se zvýšila a zvýšila se test jaterní funkce. |
Tabulka 3: Nežádoucí účinky, které se vyskytují u ≥ 2% pacientů, kteří dostávali Xenleta ve studii 2
| Nežádoucí reakce | Pokus 2 orální dávkování | |
| Xenleta N = 368 | Moxifloxacin N = 368 | |
| Průjem | 12% | 1% |
| Nevolnost | 5% | 2% |
| Zvracení | 3% | 1% |
| Zvýšení jaterního enzymu ** | 2% | 2% |
| ** Zvýšení jaterního enzymu zahrnuje alanin aminotransferázu zvýšené aspartát aminotransferázy se zvýšila a zvýšila se test jaterní funkce. |
Vybrané nežádoucí účinky, které se vyskytují u méně než 2% pacientů, kteří dostávali Xenleta ve studiích 1 a 2
Poruchy krve a lymfatického systému: Anémie trombocytopenie
Srdeční poruchy: Palpitace fibrilace síní
Gastrointestinální poruchy: Břišní bolest zácpa dyspepsie Epigastrická nepohodlí erozivní gastritida
Clostridioides difficile kolitida orofaryngeální kandidóza vulvovaginální kandidóza
Vyšetřování: Alkalická fosfatáza zvýšená kreatin fosfokináza zvýšená elektrokardiogram Qt prodloužená gama-glutamyl transferáza se zvýšila
Poruchy nervového systému: spavost
Psychiatrické poruchy: úzkost
Poruchy ledvin a moči: Udržení moči
Lékové interakce pro Xenleta
Vliv jiných léků na Xenleta
Silné a mírné induktory CYP3A nebo induktory P-gp
Současné použití ústní nebo intravenózní xenlety se silnými induktory CYP3A4 nebo induktory P-gp snižuje lefamulin AUC a CMAX [viz Klinická farmakologie ], což může snížit účinnost Xenlety. Vyvarujte se souběžného použití injekce xenleta a xenleta tablet se silnými a mírnými induktory CYP3A4 nebo induktory P-gp, pokud výhoda převažuje o rizicích.
Silné a mírné inhibitory CYP3A nebo inhibitory P-gp
Současné použití xenletových tablet se silnými inhibitory CYP3A nebo P-gp inhibitory zvyšuje lefamulin AUC [viz viz Klinická farmakologie ], což může zvýšit riziko nežádoucích účinků s tabletami Xenleta. Vyvarujte se souběžného použití tablet xenleta se silnými inhibitory CYP3A nebo P-gp inhibitory. Monitorujte nepříznivé účinky tablet xenleta, když jsou podávány souběžně s mírnými inhibitory CYP3A nebo P-gp inhibitory.
Vliv xenlety na jiné drogy
Substráty CYP3A4
Současné použití tablet xenleta s citlivými substráty CYP3A4 zvyšuje AUC a CMAX substrátů CYP3A4 [viz viz Klinická farmakologie ], což může zvýšit riziko toxicity spojené s srdečním vedením. Současné použití se substráty CYP3A, o nichž je známo, že prodlužuje interval QT, je kontraindikováno [viz viz Kontraindikace ]. Concomitant use of sensitive CYP3A substrates with Tablety Xenleta requires close moninaring pro adverse effects of these drugs (pro example Alprazolam Diltiazem Verapamil Simvastatin vardenafil). Concomitant use of Injekce xenleta with CYP3A4 substrates does not affect the exposure of CYP3A4 substrates.
Léky, které prodlužují QT
Farmakodynamický interakční potenciál pro prodloužení QT intervalu elektrokardiogramu mezi Xenleta a dalšími léky, které ovlivňují srdeční vedení, není znám. Proto se vyhýbejte souběžnému použití injekce xenleta a xenleta tablet s takovými léky (například antiarytmické antipsychotiky Erythromycin moxifloxacinu třídy IA a III III).
Varování pro Xenleta
Zahrnuto jako součást OPATŘENÍ sekce.
Opatření pro Xenleta
Prodloužení Qt
Xenleta has the potential na prolong the QT interval of the electrocardiogram (ECG) in some patients. Avoid Xenleta use in the following patients:
- Pacienti se známým prodloužením QT intervalu
- Pacienti s komorovou arytmií zahrnovali zvraty Pointe
- Pacienti dostávající třídu IA (například Quinidin Procainamid) nebo třídy III (například Amiodarone Sotalol) antiarytmická činidla
- Pacienti, kteří dostávají jiné léky, které prodlužují QT interval, jako je antipsychotika erytromycin pimozid moxifloxacin a tricyklické antidepresivy
U pacientů s selháním ledvin, kteří vyžadují dialýzu metabolické poruchy spojené s selháním ledvin, může vést k prodloužení QT.
U pacientů s mírným středním nebo závažným metabolickým poruchem poškození jater může být spojeno s poškozením jater k prodloužení QT.
Pokud nelze použití s Xenletou zabránit u konkrétních populací, které jsou predisponovány k prodloužení QT, nebo se během léčby doporučuje, který dostává jiný lék, který prodlužuje monitorování EKG QT EKG.
Velikost prodloužení QT se může zvyšovat se zvyšující se koncentrací xenlety nebo zvýšit rychlost infuze intravenózní formulace. Doporučená rychlost dávky a infuze by proto neměla být překročena.
Toxicita embryo-fetální
Na základě zjištění ze studií na zvířatech může lefamulin způsobit poškození plodu při podávání těhotným ženám. Studie na zvířatech naznačují, že podávání lefamulinu vedlo ke zvýšení výskytu poimplantační ztráty plodu a mrtvých zemí u potkanů a králíků léčených v období organogeneze nebo u potkanů léčených od začátku organogeneze v době odstavení. Během časné laktace byly pozorovány další úmrtí na štěně potkanů, které pravděpodobně souvisely s léčbou matky lefamulinem. Snížené tělesné hmotnosti plodu a osifikace u potkanů a králíků a zjevné zpoždění v sexuálním zrání u potkanů mohou naznačovat vývojové zpoždění související s léčbou, zatímco jiné nálezy, jako jsou malformace u potkanů při systémových expozicích nižší než systémová expozice, mohou naznačovat riziko embryí-fetální toxicity.
Před zahájením Xenlety ověřte stav těhotenství u žen reprodukčního potenciálu. Poraďte se ženám reprodukčního potenciálu k použití účinné antikoncepce během léčby Xenleta a po dobu 2 dnů po konečné dávce. Poradit těhotné ženy a ženy reprodukčního potenciálu potenciálního rizika pro plod [viz Použití v konkrétních populacích ].
Průjem asociovaný s Clostridioides difficile
Clostridioides difficile -Asociovaná průjem (CDAD) byl hlášen s použitím téměř všech antibakteriálních látek včetně Xenleta a může se pohybovat závažností od závažnosti
Mírný průjem na fatální kolitidu. Léčba antibakteriálními látkami mění normální flóru tlustého střeva vedoucí k přerůstání C. obtížné .
C. obtížné produkuje toxiny A a B, které přispívají k rozvoji CDAD. Izoláty produkující hypertoxin C. obtížné Způsobují zvýšenou morbiditu a úmrtnost, protože tyto infekce mohou být refrakterní vůči antimikrobiální terapii a mohou vyžadovat kolektomii. CDAD musí být zvažován u všech pacientů, kteří vyskytují průjem po užívání antibakteriálních léčiv. Je nezbytná pečlivá anamnéza, protože bylo hlášeno, že CDAD dochází po dobu dvou měsíců po podání antibakteriálních látek.
Pokud je podezřelý nebo potvrzen probíhající užívání antibakteriálních drog CDAD, které není namířeno C. obtížné možná bude nutné ukončit. Vhodná tekutina a elektrolyty proteinové doplňování antibakteriální léčby léčby C. obtížné a surgical evaluation should be instituted as clinically indicated.
Vývoj bakterií odolných vůči drogám
Předepisování xenlety v nepřítomnosti prokázané nebo silně podezřelé bakteriální infekce nebo profylaktické indikace pravděpodobně neposkytne pro pacienta přínos a zvyšuje riziko rozvoje bakterií rezistentních na léčivo.
Neklinická toxikologie
Zhodnocení mutageneze karcinogeneze plodnosti
Dlouhodobé studie karcinogenity nebyly provedeny s lefamulinem.
Lefamulin nevyvolával genotoxický potenciál v testu mikronukleusů kostní dřeně in vivo pro klastogenitu nebo v testu in vitro myši lymfomu Ly5178Y Tk /- mutační test. Hlavní lidský metabolit lefamulinu (2R-hydroxy lefamulin) také nevyvolával genotoxický potenciál v testu mutací in vitro myší lymfom Ly5178Y Tk /-.
U potkanů neexistovaly žádné účinky na mužskou plodnost, které byly považovány za související s lefamulinem. Reprodukční indexy včetně chování páření a plodnosti se nezměnily v žádné skupině v žádném pohlaví při nejvyšší testované dávce (75 mg/kg/den přibližně 0,7násobek průměrné expozice pacientů s CABP léčených IV na základě AUC0-24h); Tato dávka byla NOAEL pro plodnost u samců potkanů. U žen byla při vysoké dávce pozorována abnormální estrální cyklování a zvýšená ztráta po implantaci, což NOAEL pro plodnost a časný embryonální vývoj u potkanů v nejvyšší nejvyšší dávce 50 mg/kg/den (přibližně 0,5násobek průměrné expozice pacientů s CABP léčených IV).
Použití v konkrétních populacích
Těhotenství
Shrnutí rizika
Na základě zjištění ze studií na zvířatech může lefamulin způsobit poškození plodu při podávání těhotným ženám. Neexistují žádné údaje o používání Xenleta u těhotných žen k hodnocení rizika spojeného s drogami při potratu velkých vrozených vad nebo nepříznivých výsledků matky nebo plodu.
Animal studies indicate that intravenous administration of lefamulin during organogenesis resulted in an increased incidence of prenatal mortality at mean maternal exposures 0.9 times the mean exposure in clinical patients (based on AUC0-24h) decreased fetal body weights apparent delay in sexual maturation that suggest treatment-related developmental delay and malformations in rats at maternal exposures greater than 0.4 times the mean exposure in CABP patients for which the Incidence vrhu neexistovala v souběžných kontrolách a vzácných (0 až přibližně 0,3%) v historických kontrolách. Snížená osifikace byla pozorována u plodů při všech dávkách způsobem souvisejícím s vývojem na dávku (viz viz Data ).
Odhadované riziko na pozadí hlavních vrozených vad a potratu pro uvedenou populaci není známo. Všechna těhotenství mají na pozadí riziko ztráty vrozených vad nebo jiných nepříznivých výsledků. V americké obecné populaci je odhadované riziko na pozadí hlavních vrozených vad a potratu u klinicky uznávaných těhotenství 2 až 4% a 15 až 20%.
Pro Xenleta je program těhotenství farmakovigilance. Pokud je Xenleta neúmyslně podávána během těhotenství nebo pokud pacient otěhotní při přijímání poskytovatelů zdravotní péče Xenleta, by měli nahlásit expozici Xenleta voláním 1-855-5NABRIVA.
Data
Údaje o zvířatech
Ve studii prenatálního a postnatálního vývoje u potkanů léčených od začátku organogeneze prostřednictvím laktace (den těhotenství [GD] 6 do 21 laktačních dnů) bylo procento živě narozených (NULL,4% ve srovnání se souběžnou kontrolou 98,7%) ve skupině s vysokou dávkou 100 mg/kg/den (NULL,9násobku průměrného průměru). Nejednoznačná nálezy v této studii naznačovaly časnou postnatální úmrtnost a zjevné vývojové zpoždění, které může souviset s prenatálními účinky.
Ve studii vývoje embryí s embryí-fetálními fetálními lefamulin během organogeneze (GD 6-17) patřila pozdní resorpce ve skupině s vysokou dávkou a malformace (rozštěp patra/čelisti/obratle/obratle malformace ve střední a vysoké dávce a vzácná kontrola a vzácná kontrola v historické kontrole, která byla v souladu s nimi, a vzácná v souladu s konzumní kontrolou, a vzácná v souladu s konzumní kontrolou a v souladu s nimi a vzácnou intenzitou incidentní kontroly a vzácná kontrola v historické kontrole, která byla v souladu s nimi, a vzácná, která byla v souladu s nimi a vzácná, v souladu s nimi a vzácnou kontrolou v souladu s nimi a vzácnou kontrolou s oboustrannou kontrolou a vzácnou kontrolou s jehu a vzácnou. (0 až přibližně 0,3%). Snížená nebo žádná osifikace v řadě kosterních prvků ve všech ošetřených skupinách může naznačovat vývojové zpoždění související s léčbou při všech dávkách. Průměrná expozice při nejnižší dávce byla přibližně 0,4násobek průměrné expozice u pacientů s CABP léčeným IV. Hlavní lidský metabolit 2R-hydroxy lefamulin byl hodnocen ve studii vývoje embryo-fetálního vývoje u potkanů po podání IV a byl také spojen se stejnou srdeční malformací, jak je ve výše uvedené studii zvětšená komorová komorová komora s tenkou komorovou stěnou nebo bez tenké komorové stěny (která by mohla být spojena s nedetekovaným ventilem nebo s velkými anomáliemi cévy).
Ve studii vývoje embryo-fetálního embrya-fetálu IV lefamulinu během organogeneze (GD 6-18) nízký počet živých plodů v děloze v ošetřených skupinách omezil hodnocení studie. Další nálezy při vysoké dávce zahrnovaly sníženou hmotnost plodu a sníženou nebo žádnou osifikaci kosterních prvků, které mohou svědčit o vývojovém zpoždění. NOAEL nebyl určen. Nejnižší dávka (není plně vyhodnocena v důsledku úmrtnosti plodu) by odpovídala průměrné expozici přibližně 0,1násobku průměrné expozice u pacientů s CABP.
Výsledky studií na zvířatech ukazují, že lefamulin prochází placentou a nachází se ve fetálních tkáních. Po jediném intravenózním podávání 30 mg/kg radioaktivně označeného lefamulinu na těhotné samice potkanů v den 17 radioaktivity těhotenství byla viditelná ve fetální tkáni s největšími koncentracemi měřenými v placenta a fetální játrech (NULL,3 a 8,26 mcg ekvivalenty/g). Radioaktivita ve fetálních tkáních obecně rychle klesala a radioaktivita spojená se samotným plodem byla pod hranicí kvantifikace o 12 hodin po dávce. Radioaktivita v placentě rychle klesala a byla pod hranicí kvantifikace o 24 hodin po dávkování. Koncentrace radioaktivity v amniotickém vaku zůstaly měřitelné v konečné době odběru vzorků (72 hodin) vrcholu po 6 hodinách po dávce. Amniotická tekutina neobsahovala radioaktivitu kdykoli po podání dávky.
Laktace
Shrnutí rizika
Neexistují žádné údaje o přítomnosti xenlety v lidském mléce, její účinky na kojené dítě nebo jeho účinky na produkci mléka. Studie na zvířatech naznačují, že lefamulin byl koncentrován do mléka kojících potkanů (viz Data ). When a drug is present in animal milk it is likely that the drug will be present in human milk.
Indonéská pláž Kuta
Vzhledem k potenciálu závažných nežádoucích účinků včetně prodloužení QT by žena měla pumpovat a zlikvidovat lidské mléko po dobu léčby Xenletou a po dobu 2 dnů po konečné dávce.
Data
Podávání jediné intravenózní dávky 30 mg/kg radioaktivně značeného lefamulinu na koňské potkany vedlo k maximální průměrné koncentraci radioaktivity v plazmě a mléce při 0,25 hodinovém po dávce (NULL,29 a 10,7 mcg ekvivalenty/G), které byly výrazně sníženy po 24 hodinách po ddě (NULL,0700 mcg/g-respektive). Poměry mléka/plazmy se zvýšily z 3,27 při 0,25 hodiny po dávce na 8,33 po 6 hodinách po dávce. Tato data ukazují, že štěňata by byla vystavena lefamulinu a jeho metabolitům v mateřském mléce.
Ženy a muži reprodukčního potenciálu
Těhotenství Testing
Ověřte stav těhotenství u žen reprodukčního potenciálu.
Antikoncepce
Ženy
Poraďte se ženám reprodukčního potenciálu k použití účinné antikoncepce během léčby Xenleta a po dobu 2 dnů po konečné dávce. Xenleta může způsobit poškození plodu při podání těhotné ženě [viz Použití v konkrétních populacích ].
Dětské použití
Bezpečnost a účinnost Xenlety u pacientů mladších 18 let nebyla dosud stanovena.
Geriatrické použití
Z 646 pacientů randomizovaných do Xenlety ve studiích 1 a 2 268 (NULL,5%) bylo ve věku ≥ 65 let. Míra časné klinické odpovědi (ECR) v podskupině pacientů ≥65 byly podobné míře ECR u subjektů <65 years of age a comparable across treatment groups (Xenleta versus moxifloxacin).
Profily nežádoucí reakce u pacientů ≥ 65 let a u pacientů <65 years of age were similar. The percentage of patients in the Xenleta group who had at least one adverse reaction was 30% in patients ≥65 years a 38% in patients <65 years.
Poškození jater
Injekce xenleta
Dávkování of Injekce xenleta should be reduced by extending the dosing interval pro patients with severe hepatic impairment (Child-Pugh Class C). No dosage adjustment of Injekce xenleta is needed pro patients with mild (Child-Pugh Class A) or moderate (Child-Pugh Class B) hepatic impairment.
Tablety Xenleta
Tablety Xenleta have not been studied in patients with hepatic impairment. It is not recommended na use Tablety Xenleta pro patients with moderate or severe hepatic impairment [see Dávkování a podávání a Klinická farmakologie ].
Poškození ledvin
U pacientů s poruchou ledvin není zaručeno žádné úpravy dávkování xenlety, včetně pacientů na hemodialýze.
Informace o předávkování pro Xenleta
Léčba předávkování Xenletou by měla spočívat v opatřeních pozorování a obecné podpory. Lefamulin a jeho primární metabolit nejsou dialyzovatelné.
Kontraindikace pro Xenleta
Přecitlivělost
Xenleta is contraindicated in patients with known hypersensitivity na lefamulin pleuromutilin class drugs or any of the components of Xenleta.
Substráty CYP3A4 That Prolong The QT Interval
Tablety Xenleta are contraindicated with sensitive CYP3A4 substrates that prolong the QT interval (pro example pimozide). Concomitant administration of oral Xenleta with sensitive CYP3A4 substrates may result in increased plasma concentrations of these drugs leading na QT prolongation a cases of narsades de pointes [see Varování a preventivní opatření Lékové interakce a Klinická farmakologie ].
Klinická farmakologie pro Xenleta
Mechanismus působení
Xenleta is an Antibakteriální drug [see Mikrobiologie ].
Farmakodynamika
Ukázalo se, že poměr 24hodinového AUC k minimální inhibiční koncentraci (MIC) se ukázal jako nejlepší farmakokineticky-pharmakodynamický (PK-PD) pro antibakteriální aktivitu lefamulinu v modelech Streptococcus pneumoniae a stafylokok aureus pneumonia.
Srdeční elektrofyziologie
Prodloužené riziko intervalu QTCF bylo hodnoceno pomocí 2 randomizovaných dvojitě zaslepených dvojitých aktivních aktivních kontrolovaných (moxifloxacin 400 mg jednou denně) paralelní skupinové studie (pokusy 1 a 2) u dospělých pacientů s CABP. Byl pozorován prodloužený účinek Xenlety závislý na koncentraci. Průměrná změna z výchozích hodnot QTCF (90% oboustranného intervalu horní spolehlivosti) kolem TMAX v den 3 nebo 4 byla 13,6 ms (NULL,5 ms) pro 150 mg injekci podávané dvakrát denně jako infuze a 9,3 ms (NULL,9 ms) pro 600 mg tablet podávané dvakrát denně. Průměrná změna z hodnot výchozí hodnoty QTCF (90% oboustranného intervalu horní spolehlivosti) kolem TMAX pro moxifloxacinové randomizované srovnávací rameno v den 3 nebo 4 byly 16,4 ms (NULL,3 ms) pro injekci 400 mg podané jednou denně jako infuze a 11,6 ms (NULL,2 ms) pro 400 mg tablet, které se jednou denně podávaly.
Farmakokinetika
Po intravenózním podání jedné dávky se AUC lefamulinu přibližně zvýšila přibližně propracovaná dávka, zatímco CMAX lefamulinu se zvýšila méně než dávka v rozmezí 25 mg (NULL,17krát vyšší než schválená dávka) na 400 mg (NULL,67krát vyšší než schválená dávka). Po jednodávkové perorální podání se AUC lefamulinu zvýšila o více než dávka proporcionálně v rozmezí dávky 500 mg (NULL,8násobku schválené dávky) na 750 mg (NULL,25násobek schválené dávky).
Farmakokinetické (PK) parametry lefamulinu po podání injekce Xenleta nebo tabletů pro pacienty s CABP jsou uvedeny v tabulce 4.
Průměrný lefamulin AUC0-2H a CMAX u pacientů s CABP byl ve srovnání se zdravými subjekty o 73% a 30% vyšší.
Tabulka 4: Farmakokinetické (PK) Parametry lefamulinu po jedné nebo vícenásobné dávce (každé 12 hodin) Xenleta podávané jako 150 mg (infuze během 60 minut) intravenózně (IV) nebo 600 mg ústní u pacientů s CABP a
| Parametry PK b | Správa | Aritmetický průměr (% CV) | |
| Trasa | Den 1 | Ustálený stav | |
| CMAX (MCG/ML) | IV | 3.50 (11.7) | 3.60 (14.6) |
| Ústní c | 2.24 (36.4) | 2.24 (37.1) | |
| CMIN (MCG/ML) | IV | 0,398 (NULL,1) | 0,573 (NULL,4) |
| Ústní c | 0,593 (NULL,3) | 0,765 (NULL,7) | |
| AUC0-24H (MCG • H/ML) | IV | 27.0 (NULL,8) | 28.6 (NULL,9) |
| Ústní c | 30.7 (NULL,0) | 32.7 (NULL,2) | |
| a Na základě modelování populace PK (pokus 1 pro IV Administration a Trial 2 pro perorální podávání) b CMAX = maximální plazmatická koncentrace; CMAX = koncentrace plazmatického koryta; AUC0-24H = plocha pod křivkou koncentrace v plazmě od času nula do 24 hodin c Dávka podávaná za podmínek nalačno (1 hodinu před nebo 2 hodiny po jídle) |
Vstřebávání
Průměrná orální biologická dostupnost tablet xenleta je přibližně 25% a koncentrace plazmy na špičce došlo k 0,88 až 2 hodiny po podání zdravých subjektů.
Účinek jídla
Současné podávání jedné perorální dávky 600 mg xenleta tablet s vysokým obsahem tuku (přibližně 50% celkových kalorií z tuku) s vysokou kalorií (přibližně 800-1000 kalorií) mírně sníženou biologickou dostupnost. Průměrná relativní redukce pro perorální xenleta (nalačno vs. Fed) byla v průměru 22,9% [90% CI: 12,2; 32.3] pro CMAX a 18,43% [90% CI: 11,7; 24.7] pro AUC0-inf.
Rozdělení
Průměrná vazba proteinu lefamulinu v plazmě se pohybuje od 94,8% při 2,35 mcg/ml do 97,1% při 0,25 mcg/ml u zdravých dospělých.
Střední (min až max) v ustáleném stavu distribuce lefamulinu je 86,1 l (NULL,2 až 153 l) u pacientů s CABP po podání injekce xenlety.
Po jediném IV podání lefamulinu 150 mg na zdravé subjekty byly na konci infuze pozorovány nejvyšší koncentrace lefamulinové epiteliální podšívky (ELF). Průměrný AUC ELF a plazmy byl 3,87 mcg · H/ml a 5,27 mcg · H/ml. Odhadovaný poměr ELF AUC k nevázané plazmě AUC0-8 je přibližně 15.
Odstranění
Průměrná (min až max) celková clearance těla lefamulinu je 11,9 l/h (NULL,94 až 30,0 l/h) u pacientů s CABP po podání injekce Xenleta.
Průměr (min až max) eliminační poločas lefamulinu je u pacientů s CABP přibližně 8 hodin (3 až 20 hodin).
Metabolismus
Lefamulin je primárně metabolizován CYP3A4.
Vylučování
U zdravých dospělých subjektů bylo průměrné% celkové radioaktivity vylučující ve stolici 77,3% (NULL,2% až 9,1% nezměněno) a 88,5% (NULL,8% až 24,8% nezměněno) a v moči bylo 15,5% (NULL,6% až 14,1% nezměněno).
Konkrétní populace
Nebyly pozorovány žádné klinicky významné rozdíly ve farmakokinetice Xenleta na základě hmotnosti pohlavních ras na věku nebo poškození ledvin, včetně pacientů, kteří dostávají hemodialýzu.
Pacienti s poškozením jater
Dispozice lefamulinu byla hodnocena u neinfikovaných subjektů s normální jaterní funkcí a s mírným (dětským pughem třídou B) nebo těžkým (dětským pughem třídou C) jaterní poškození po podání injekce xenlety. Poločas lefamulinu je prodloužen u subjektů se závažným jaterním poškozením ve srovnání s subjekty s normální jaterní funkcí (NULL,5 hodin oproti 11,5 h). Vazba proteinu lefamulinu je snížena u subjektů s jaterním poškozením. Proto se nevázané (biologicky aktivní) koncentrace lefamulinu zvýšily se stupněm jaterního poškození. V průměru nevázané lefamulinové plazmatické AUC0-inf byl v subjekty s těžkým poškozením jater zvýšen ve srovnání s subjekty s normální jaterní funkcí. Neexistují žádné informace pro vyhodnocení účinku poškození jater na dispozice lefamulinu po podání xenleta tabletů. Tablety Xenleta se tedy nedoporučují u pacientů se středním nebo závažným poškozením jater [viz Dávkování a podávání a Použití v konkrétních populacích ].
Studie interakce léčiva
Klinické studie
Vliv jiných léků na farmakokinetiku lefamulinu
Silné induktory CYP3A nebo induktory P-GP: Orální rifampin (silný induktor) snížil průměrný lefamulin AUC0-inf a CMAX o 28%, respektive 8%, když se podávají současně s injekcí xenleta. Navíc perorální rifampin snížil průměrný lefamulin AUC0-inf a CMAX o 72% a 57%, pokud se podávají souběžně s tabletami Xenleta.
Silné inhibitory CYP3A nebo P-GP inhibitory: perorální ketokonazol (silný inhibitor) zvýšil průměrný lefamulin AUC0-inf a CMAX o 31%, respektive 6%, když se podává při současném podávání s injekcí Xenleta. Navíc perorální ketokonazol (silný inhibitor) zvýšil lefamulin AUC0-inf a CMAX o 165% a 58%, pokud se podávají souběžně s tabletami xenleta.
Permethrin krém 5 procent pro vši
Vliv lefamulinu na farmakokinetiku jiných léků
Substráty CYP3A: Při současném podávání s injekcí Xenlety nebyly pozorovány žádné klinicky významné rozdíly ve farmakokinetice midazolamu. Průměrné AUC a C midazolamu byly zvýšeny přibližně o 200% a 100%, když perorální midazolam (substrát CYP3A) byl podáván souběžně s a 2 nebo 4 hodiny po podání xenletových tablet.
P-GP substráty: Při současném podávání s tabletami Xenleta nebyly pozorovány žádné klinicky významné rozdíly ve farmakokinetice digoxinu (p-gp substrát).
Studie in vitro, kde potenciál interakce léčiva nebyl klinicky dále hodnocen
Lefamulin inhiboval CYP2C8 (IC50 = 37,0 mcg/ml) BCRP (protein rezistence na rakovinu prsu) (IC50 = 21,4 mcg/ml) a MATE1 (IC = 0,15 mcg/ml).
Mikrobiologie
Mechanismus působení
Xenleta is a systemic pleuromutilin Antibakteriální. It inhibits bakteriální protein synthesis through interactions (hydrogen bonds hydrophobic interactions a Van der Waals proces) with the A- a P-sites of the peptidyl transferase center (PTC) in domain V of the 23s rRNA of the 50S subunit. The binding pocket of the bakteriální ribosome closes around the mutilin core pro an induced fit that prevents correct positioning of tRNA.
Xenleta is bactericidal in vitro against Pneumoniae H. chřipka a M. pneumoniae (včetně kmenů rezistentních na makrolid) a bakteriostatická proti S. aureus a S. pyogenes při klinicky relevantních koncentracích.
Xenleta is not active against Enterobacteriaceae a Pseudomonas aeruginosa .
Odpor
Frekvence odporu vůči Xenletě kvůli spontánním mutacím in vitro 2-8krát mikrofon byl 2 x 10 -9 na <2 x 10 -11 pro S. aureus <1 x 10 -9 na <3 x 10 -10 pro Pneumoniae a <4 x 10 -9 na <2 x 10 -10 pro S. pyogenes . Vývoj rezistence při koncentracích sub-MIC vyžadoval větší než 1 mutační krok bez rezistentních klonů detekovaných při ≥ 4 časových mikrofonech.
Odpor mechanisms that affect Xenleta include specific protection or modification of the ribosomal target by ABC-F proteins such as vga (A B E) lsa(E) sal(A) Cfr methyl transferase or by mutations of ribosomal proteins L3 a L4. Cfr methyl transferase has the potential na mediate cross-resistance between lefamulin a phenicols lincosamides oxazolidinones a strepnagramin A Antibakteriálnís.
Některé izoláty odolné vůči p-laktamům glykopeptidy makrolidy mupirocin chinolony tetracykliny a trimethoprim-sulfamethoxazol mohou být citlivé na Xenleta.
Interakce s jinými antimikrobiálními látkami
Studie in vitro neprokázaly žádný antagonismus mezi xenletou a jinými antibakteriálními léky (např. Amikacin azithromycin aztreonam ceftriaxon levofloxacin linezolid meropenemem penicilinu tigecyklin trimethoprim/sulfamethoxazol a vancomycin).
Xenleta has demonstrated synergy in vitro with doxycycline against S. aureus .
Antimikrobiální aktivita
Xenleta has been shown na be active against most isolates of the following microorganisms both in vitro a in clinical infections [see Indikace a použití ]:
Gram-pozitivní bakterie
Streptococcus pneumoniae
Staphylococcus aureus (izoláty citlivé na methicilin)
Gram-negativní bakterie
Haemophilus influenzae
Jiné bakterie
Mycoplasma pneumoniae
Chlamydophila pneumoniae
Legionella pneumophila
Nejméně 90% následujících bakterií vykazuje minimální inhibiční koncentraci (MIC) in vitro menší nebo rovna citlivých bodů pro Xenleta proti izolátům podobného rodu nebo skupiny organismu. Bezpečnost a účinnost xenlety při léčbě klinických infekcí způsobených těmito bakteriemi však nebyla stanovena v přiměřených a dobře kontrolovaných klinických studiích.
Gram-pozitivní bakterie
Staphylococcus aureus (izoláty [MRSA] rezistentní na methicilin)
Streptococcus agalactiae
Streptococcus kape
Streptococcus mírný
Streptococcus pyogenes
Streptococcus Salivarius
Gram-negativní bakterie
Haemophilus parainfluenzae
Moraxella catarrhalis
Metody zkoušky citlivosti
Konkrétní informace o interpretačních kritériích a souvisejících metodách testování a standardech kontroly kvality vyznačené FDA pro tento lék naleznete na adrese: https://www.fda.gov/stic.
Toxikologie zvířat a/nebo farmakologie
Po IV podávání lefamulinu na potkany po dobu 4 nebo 13 týdnů anémie (všechny dávky) zvětšily koagulační doby a nižší hmotnosti orgánů a histopatologické změny v slezině (snížená peri-arteriolární lymfoidní pláště zmenšené velikosti mezní zóny) a brzlík (kortikální atrofie) byla u potkanů po vystavení větší než u pacientů s IS po podání v rámci IS po podání v rámci i IS pod podklady, po delších průchodech) a více než v rámci IS v rámci, a více než v rámci, a to, než je to, že je u potkanů v expozicích v expozicích u potkanů v expozicích. Přibližně 0,3krát expozice u pacientů s CABP ve 13týdenní studii.
U opic Cynomolgus byla podávána IV lefamulinová anémie a pankreatická mikrovezikulární vakulizace acinárních buněk byla zaznamenána při expozicích větší než přibližně 1,6krát expozice u pacientů s CABP ve 4týdenní studii. Ve 13týdenní studii byla pankreatická mikrovezikulární vakulizace acinárních buněk a minimální alveolární makrofágové infiltráty v plicích pozorována u všech dávek a anémie byla zaznamenána při expozicích větší než přibližně 1,0krát klinická expozice.
Lefamulin byl hodnocen ve 4týdenních perorálních toxikologických studiích u potkanů a opic cynomolgus. Nálezy zahrnovaly částečně reverzibilní degenerativní změny v žaludku a důkaz deplece lymfoidní a vyčerpání hematopoetických buněk u potkanů při expozicích větší než přibližně 0,6krát expozice po perorálním podání pacientů s CABP. Nálezy u opic Cynomolgus zahrnovaly vakuolaci myokardu a fibrózu při expozicích rovných nebo větší než 0,3krát vyšší než u pacientů s CABP.
Důkaz regenerační anémie závislé na dávce u obou druhů může naznačovat, že Xenleta byla potenciálně hemolytická při koncentraci, která je přibližně desetkrát vyšší než koncentrace infuzního roztoku, který bude použit klinicky. Tento účinek nebyl patrný z hodnocení kompatibility krve in vitro pomocí lidské krve při koncentraci 0,6 mg/ml.
Klinické studie
Bakteriální pneumonie získaná komunitou
Celkem 1289 dospělých s CABP bylo randomizováno ve dvou multicentrických nadnárodních dvojitě slepých dvoupodelních pokusech o inferiority (pokus 1 NCT
Ve studii bylo 1 276 pacientů randomizováno do Xenlety (150 mg intravenózní [IV] infuzí po 60 minutách každých 12 hodin s možností přepnutí na 600 mg perorálně každých 12 hodin po alespoň 3 dnech IV léčby) a 275 pacientů bylo randomizováno na moxifloxacin (400 mg IV každé 24 hodin při přepínání na 400 mg po dobu nejméně 3 dnů). Pokud je methicilin rezistentní Staphylococcus aureus (MRSA) byl podezřelý při screeningu pacientů randomizovaných na moxifloxacin, kteří měli dostávat pomocný linezolid (600 mg IV každých 12 hodin s možností přepnutí na 600 mg perorálně každých 12 hodin po alespoň 3 dnech po léčbě IV) a pacienti randomizovaní do Xenlety mají dostávat linezolid placebo. Pacienti byli převážně mužský (60%) a bílý (87%). Přibližně 72% pacientů bylo třídy III rizika přístavu a 28% bylo třídy Port Risk IV nebo V. Střední věk byl 62 let (rozmezí 19–91) let přibližně 18% pacientů bylo 75 let nebo starší a střední index tělesné hmotnosti (BMI) byl 25,8 (rozmezí 11-58,4) kg/m. Přibližně 53% pacientů mělo clearance kreatininu (CRCL) <90 mL/min. Common comorbid conditions included hypertension (41%) asthma/chronic obstructive pulmonary disease (COPD) (17%) a diabetes mellitus (13%).
Ve studii bylo 2 370 pacientů randomizováno do Xenlety (600 mg perorálně každých 12 hodin po dobu 5 dnů) a 368 pacientů bylo randomizováno na moxifloxacin (400 mg perorálně každých 24 hodin po dobu 7 dnů). Pacienti byli převážně mužský (52%) a bílý (74%). Přibližně 50% pacientů bylo třídy rizika přístavu II a 49% bylo třídy rizika přístavu III nebo IV. Střední věk byl 59 (rozmezí 19-97) let přibližně 16% pacientů bylo 75 let a starší a medián BMI byl 26,0 (rozmezí 13-63,9) kg/m². Přibližně 50% pacientů mělo CRCL <90 mL/min. Common comorbid conditions included hypertension (36%) asthma/COPD (16%) a diabetes mellitus (13%).
V obou studiích byla účinnost stanovena časnou klinickou odpovědí (ECR) 72 až 120 hodin po první dávce v sadě analýzy záměru (ITT), která obsahovala všechny randomizované pacienty. Pacienti vstoupili do studií s nejméně třemi ze čtyř symptomů v souladu s CABP (bolest na hrudi s kašlem a/nebo dušností). Odpověď byla definována jako přežití se zlepšením alespoň dvou příznaků bez zhoršení jakéhokoli symptomu a bez přijetí nestudiální antibakteriální léčby CABP. Tabulka 5 shrnuje sazby ECR ve dvou pokusech.
Tabulka 5: Míra časné klinické odezvy ve studii 1 a studie 2 (sada analýzy ITT)
| Studie | Xenleta N/N (%) | Moxifloxacin N/N (%)* | Rozdíl léčby (95% CI) ** |
| Pokus 1 | 241/276 (87.3) | 248/275 (90.2) | -2,9 (-8,5 2,8) |
| Zkouška 2 | 336/370 (NULL,8) | 334/368 (NULL,8) | 0,1 (-4,4 4,5) |
| *Pokus 1 porovnával Xenleta s moxifloxacinem ± linezolid. ** 95% interval spolehlivosti pro rozdíl léčby. |
Klinická odpověď byla také hodnocena vyšetřovatelem při zkoušce Cure (TOC) navštívit 5 až 10 dní po poslední dávce studijního léčiva. Reakce byla definována jako přežití se zlepšením příznaků a symptomů na základě hodnocení vyšetřovatele a bez přijetí nestudiální antibakteriální léčby CABP. Tabulka 6 shrnuje rychlosti klinické odpovědi hodnocené vyšetřovatelem (IACR) v TOC v analýze ITT, která obsahovala všechny randomizované pacienty.
Tabulka 6: Míra klinické odezvy uložená vyšetřovatelem v TOC v pokusu 1 a pokus 2 (sada analýzy ITT)
| Studie | Xenleta N/N (%) | Moxifloxacin N/N (%)* | Rozdíl léčby (95% CI) ** |
| Pokus 1 | 223/276 (80.8) | 230/275 (NULL,6) | -2,8 (-9,6 3,9) |
| Zkouška 2 | 322/370 (NULL,0) | 328/368 (89.1) | -2,1 (-7,0 2,8) |
| *Pokus 1 porovnával Xenleta s moxifloxacinem ± linezolid. ** 95% interval spolehlivosti pro rozdíl léčby. |
Tabulka 7 shrnuje míry IACR v TOC nejběžnějšími základními patogeny v obou studiích v sadě microitt, které obsahovaly všechny randomizované pacienty s alespoň 1 výchozím patogenem.
Tabulka 7: Míra klinické odezvy posouzená od vyšetřovatele v TOC pomocí výchozího patogenu v pokusu 1 a pokusu 2 (sada analýzy Microitt)
| Patogen | Xenleta N/N (%) | Moxifloxacin N/N (%)* |
| Streptococcus pneumoniae | 184/216 (85.2) | 193/223 (NULL,5) |
| Meticilin-citlivé Staphylococcus aureus (MSSA) | 14/16 (NULL,5) | 5/5 (NULL,0) |
| Haemophilus influenzae | 95/107 (NULL,8) | 88/105 (NULL,8) |
| Mycoplasma pneumoniae | 35/39 (NULL,7) | 33/34 (97.1) |
| Legionella pneumophila | 27/34 (NULL,4) | 26/31 (NULL,9) |
| Chlamydophila pneumoniae | 20/27 (NULL,1) | 23/31 (NULL,2) |
| *Pokus 1 porovnával Xenleta s moxifloxacinem ± linezolid. |
Informace o pacientovi pro Xenleta
Průjem
Doporučujte pacientům, že průjem je běžným problémem způsobeným antibakteriálními léky včetně xenlety, které obvykle končí, když je antibakteriální léčivo přerušeno. Někdy po zahájení léčby pacienty s antibakteriálním léčivem mohou vyvinout vodní stolici (s žaludečními křečemi a horečkou), což může být známkou vážnější střevní infekce, a to až do 2 nebo více měsíců poté, co vzala poslední dávku antibakteriálního léčiva. Pokud k tomu dojde, pokyn pacientům, aby co nejdříve kontaktovali svého poskytovatele zdravotní péče [viz Varování a preventivní opatření a Nežádoucí účinky ].
Nevolnost And Zvracení
Radí pacientům, že nevolnost a zvracení jsou běžné nežádoucí účinky na Xenleta [viz Nežádoucí účinky ].
Lékové interakce
Poradenství pacientů o potenciální interakci, kterou mohou mít jiné léky s Xenletou, nebo účinek, který může mít Xenleta na jiné léky, protože tyto interakce mohou vést ke snížení účinnosti nebo zvýšené toxicitě buď xenlety nebo jiných léků. Pacienti by měli upozornit svého lékaře, pokud v současné době užívají nějaké léky (včetně bylinných nebo nutričních doplňků) nebo jsou během léčby Xenletou předepsany nové léky [viz [viz Lékové interakce ].
Alergické reakce
Advise patients that allergic reactions including serious allergic reactions could occur with XENLETA and that serious allergic reactions require immediate treatment. Ask the patient about any previous hypersensitivity reactions to XENLETA or other pleuromutilin class antibacterial drugs [see Kontraindikace ].
Správa With Food
Poraďte pacientům, že Xenleta by měla být užívána nejméně 1 hodinu před jídlem nebo 2 hodiny po jídle a měla by být pohlcena celek vodou (6 až 8 uncí). Xenleta by neměla být rozdrcena nebo rozdělena [viz Dávkování a podávání a Klinická farmakologie ].
Toxicita embryo-fetální
Poraďte se těhotným ženám a ženám reprodukčního potenciálu potenciálního rizika pro plod a informovat svého poskytovatele zdravotní péče o známém nebo podezření na těhotenství. Radit pacientům, aby se při přijímání tohoto léku vyhýbali otěhotnění Varování a preventivní opatření a Použití v konkrétních populacích ].
Poraďte se ženám reprodukčního potenciálu k použití účinné antikoncepce během léčby s Xenletou a 2 dny po konečné dávce [viz Varování a preventivní opatření a Použití v konkrétních populacích ].
Informujte pacienty, že Nabriva Therapeutics má program dozoru pro těhotné ženy, které během těhotenství neúmyslně vzaly Xenleta. Poraďte se s pacienty, aby zavolali na číslo 1-855-5nabriva, aby se přihlásili [viz Použití v konkrétních populacích ].
Laktace
Doporučujte kojení ženám, aby pumpovaly a zlikvidovaly lidské mléko po dobu léčby Xenletou a 2 dny po konečné dávce [viz Použití v konkrétních populacích ].
Antibakteriální rezistence
Pacienti by měli být informováni, že antibakteriální léčiva včetně Xenleta by měla být používána pouze k léčbě bakteriálních infekcí. Ne léčí virové infekce (např. Obecně nachlazení). Když je Xenleta předepsána k léčbě bakteriální infekce, pacientům by mělo být řečeno, že ačkoli je běžné se cítit lépe na začátku léčby, lék by měl být užíván přesně podle pokynů. Skipping doses or not completing the full course of therapy may (1) decrease the effectiveness of the immediate treatment and (2) increase the likelihood that bacteria will develop resistance and will not be treatable by XENLETA or other antibacterial drugs in the future [see Varování a preventivní opatření ].