Informace Na Stránce Nepředstavují Lékařskou Radu. Nic Neprodáváme. Přesnost Překladu Není Zaručena. Zřeknutí Se Odpovědnosti
Opioidní antagonisté
Narcan
Shrnutí drog
Co je Narcan?
Narcan (naloxon) je opioidní antagonista používaný pro úplné nebo částečné zvrácení předávkování opioidy, včetně respirační deprese. Narcan se také používá pro diagnostiku podezření nebo známého akutního předávkování opioidy a také pro podporu krevního tlaku v septickém šoku. Narcan je k dispozici v obecný formulář.
Jaké jsou vedlejší účinky Narcan?
Narcan
- kopřivka
- potíže s dýcháním a
- Otok vašeho obličeje rty jazyk nebo krk
Získejte lékařskou pomoc okamžitě, pokud máte výše uvedené příznaky.
Běžné vedlejší účinky narcan a narkotického stažení drog jsou:
- spláchnutí
- závrať
- únava
- slabost
- nervozita
- neklid
- podrážděnost
- Bolesti těla
- průjem
- bolest žaludku
- nevolnost
- horečka
- zimnice
- Goosebumps
- kýchání
- dušnost nebo
- rýma nosu.
Mezi závažné vedlejší účinky Narcan patří:
- míchání
- vysoká nebo nízký krevní tlak
- srdeční arytmie
- dušnost
- Plicní edém
- abnormální funkce mozku ( encefalopatie )
- záchvaty
- kóma a
- smrt.
Pokud máte následující vážné vedlejší účinky, vyhledejte lékařskou péči nebo zavolejte na číslo 911:
- Vážné příznaky očí, jako je ztráta náhlého vidění rozmazané vidění vidění Vision Vision Eye Eye Eye Eye Eye Eye Eye Eye nebo vidět halos kolem světel;
- Vážné příznaky srdce, jako je rychlé nepravidelné nebo bušení srdečního rytmu; třepování v hrudi; dušnost; a náhlé závratě Lightheadedness nebo omdlet;
- Těžká zmatek bolesti hlavy zkroucený řečový rameno nebo slabost nohou Potíže se ztrátou chůze pocitu koordinace Pocit nestabilní velmi tuhé svaly vysoké horečky bohaté pocení nebo třes.
Tento dokument neobsahuje všechny možné vedlejší účinky a mohou dojít k jiným. Další informace o vedlejších účincích najdete u svého lékaře.
Dávkování pro Narcan?
Narcan je k dispozici jako sterilní roztok pro intravenózní intramuskulární a subkutánní podávání ve třech silných stránkách: 0,02 0,4 a 1 mg naloxonového hydrochloridu na ml ve sterilním roztoku; Dávky 0,4 a 1 mg jsou také k dispozici ve vícenásobných lahvičkách. Použití u novorozenců a dalších dětských pacientů je založeno na hmotnosti (obvykle 0,01 mg na kg) a může být upraveno; Pediatrický konzultant může pomoci spravovat takové pacienty. U některých pacientů se může dojít k syndromu odběru opioidů podání velkých dávek Narcan.
Narcan během těhotenství a kojení
Studie užívání tohoto léčiva u těhotných a žen, které kojí, nebyly provedeny. Řekněte svému lékaři, pokud jste těhotná nebo kojení.
Další informace
Naše středisko drog na narcan vedlejší účinky poskytuje při užívání tohoto léku komplexní pohled na dostupné informace o potenciálních vedlejších účincích.
Informace o drogách FDA
- Popis léku
- Indikace
- Dávkování
- Vedlejší účinky
- Varování
- Opatření
- Předávkovat
- Klinická farmakologie
- Průvodce léky
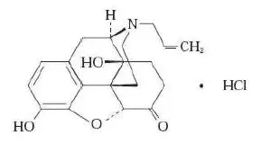
Popis pro Narcan
Narcan (naloxonový hydrochlorid injekce USP) Antagonistou opioidů je syntetický kongener oxymorfonu. Ve struktuře se liší od oxymorfonu v tom, že methylová skupina na atomu dusíku je nahrazena allylovou skupinou.
|
Naloxonový hydrochlorid se vyskytuje jako bílá až mírně off-bílý prášek a je rozpustný ve vodě ve zředěných kyselinách a v silné alkálii; Mírně rozpustný v alkoholu; Prakticky nerozpustný v etheru a v chloroformu.
Injekce Narcan (naloxon) je k dispozici jako sterilní roztok pro intravenózní intramuskulární a subkutánní podávání ve třech koncentracích: 0,02 mg 0,4 mg a 1 mg naloxonu hydrochloridu na ml. PH je upraveno na 3,5 ± 0,5 s kyselinou chlorovodíkovou.
Síla 0,02 mg/ml je bezpuštěná formulace bez parabenu obsahující 9 mg/ml chloridu sodného.
prednison 40 mg po dobu 7 dnů
Vial 0,4 mg/ml obsahuje 8,6 mg/ml chloridu sodného a 2 mg/ml methylparabenu a propylparabenu jako konzervační látky v poměru 9: 1. Ampul 0,4 mg/ml je k dispozici také v bezvěřené formulaci bez parabenu obsahující 9 mg/ml chloridu sodného.
Vial 1 mg/ml obsahuje 8,35 mg/ml chloridu sodného a 2 mg/ml methylparabenu a propylparabenu jako konzervační látky v poměru 9: 1. 1 mg/ml ampul je také k dispozici v bezvěřené formulaci bez parabenu obsahující 9 mg/ml chloridu sodného.
Použití pro Narcan
Narcan (naloxon) je indikován pro úplné nebo částečné zvrácení opioidní deprese, včetně respirační deprese vyvolané přírodními a syntetickými opioidy včetně propoxyfenu metadonu a určité smíšené agonistické antagonistické analgetiky: nalbuphine pentazocin butorfanol a cykluzocin. Narcan (naloxon) je také indikován pro diagnostiku podezření nebo známého akutního opioidního předávkování.
Narcan (naloxon) může být užitečný jako pomocný činidlo ke zvýšení krevního tlaku při řízení septického šoku (viz Klinická farmakologie ;; Doplňkové použití v septickém šoku ).
Dávkování for Narcan
Narcan (naloxon) může být podáván intravenózně intramuskulárně nebo subkutánně. Nejrychlejší nástup akce je dosaženo intravenózním podáváním, které se doporučuje v nouzových situacích.
Vzhledem k tomu, že doba účinku některých opioidů může překročit dobu narcan (naloxon), měl by být pacient udržován pod pokračujícím dohledem. Opakované dávky Narcan (naloxon) by měly být podávány podle potřeby.
Intravenózní infuze
Narcan (naloxon) může být zředěn pro intravenózní infuzi v normálním fyziologickém roztoku nebo 5% dextrózových roztocích. Přidání 2 mg narcan (naloxon) v 500 ml obou roztoků poskytuje koncentraci 0,004 mg/ml. Směsi by se měly používat do 24 hodin. Po 24 hodinách musí být zbývající nevyužitá směs vyřazena. Míra podání by měla být titrována v souladu s reakcí pacienta.
Narcan (naloxon) by neměl být smíchán s přípravky obsahujícími bisulfitový metabisulfitový anionty s dlouhým řetězcem nebo vysokou molekulovou hmotnost nebo jakýkoli roztok mající alkalické pH. Do Narcan (naloxon) by neměl být přidán žádný léčivo nebo chemické činidlo, pokud nebyl poprvé stanoven jeho účinek na chemickou a fyzikální stabilitu roztoku.
Generál
Parenterální léčivé přípravky by měly být vizuálně kontrolovány na částice a zbarvení před podáním, kdykoli to roztok a nádoby povolí.
Použití u dospělých
Opioid předávkování nebo podezření: Počáteční dávka 0,4 mg až 2 mg Narcan (naloxon) může být podávána intravenózně. Pokud není získán požadovaný stupeň protiofrakce a zlepšení respiračních funkcí, může být opakován ve dvou až tříminutových intervalech. Pokud není pozorována žádná odpověď po 10 mg narcan (naloxon), měla být podána diagnóza opioidního indukovaného nebo částečné toxicity indukované opioidy. Intramuskulární nebo subkutánní podávání může být nutné, pokud není k dispozici intravenózní trasa.
Pooperační opioidní deprese: Pro částečné zvrácení opioidní deprese po použití opioidů během chirurgického zákroku jsou obvykle dostatečné dávky narcan (naloxon). Dávka Narcan (naloxon) by měla být titrována podle reakce pacienta. Pro počáteční obrácení respirační deprese narcan (naloxon) by měl být injikován do přírůstků 0,1 až 0,2 mg intravenózně ve dvou až tříminutových intervalech do požadovaného stupně zvratu, tj. Přiměřená ventilace a bdělost bez významné bolesti nebo nepohodlí. Větší než nutné dávkování narcan (naloxon) může vést k významnému zvrácení analgezie a zvýšení krevního tlaku. Podobně příliš rychlé zvrácení může vyvolat zvracení nevolnosti nebo oběhové stres.
Opakované dávky narcan (naloxon) mohou být vyžadovány v jednom až dvouhodinovém intervalu v závislosti na typu množství (tj. Krátké nebo dlouhé působení) a časovém intervalu od posledního podání opioidu. Ukázalo se, že doplňkové intramuskulární dávky způsobují delší trvalý účinek.
Septický šok: Optimální dávka narcan (naloxon) nebo trvání terapie pro léčbu hypotenze u pacientů se septickým šokem nebylo stanoveno (viz viz Klinická farmakologie ).
Použití u dětí
Opioid předávkování nebo podezření: Obvyklá počáteční dávka u dětí je 0,01 mg/kg tělesné hmotnosti vzhledem k i.v, pokud tato dávka nevede k požadovanému stupni klinického zlepšení, může být podána následná dávka 0,1 mg/kg tělesné hmotnosti. Pokud je i.v. Trasa podávání není k dispozici Narcan (naloxon) může být podávána i.m. nebo s.c. v rozdělených dávkách. V případě potřeby může být narcan (naloxon) zředěn sterilní vodou pro injekci.
Pooperační opioidní deprese: Postupujte podle doporučení a upozornění pod dospělou pooperační depresí. Pro počáteční zvrácení respirační deprese narcan (naloxon) by měl být injikován do přírůstků 0,005 mg do 0,01 mg intravenózně ve dvou až tříminutových intervalech do požadovaného stupně reverzace.
Použití u novorozenců
Deprese vyvolaná opioidy: Obvyklá počáteční dávka je 0,01 mg/kg tělesné hmotnosti podávané i.v. I.M. nebo S.C. Tato dávka může být opakována v souladu s pokyny pro podávání dospělých pro pooperační opioidní depresi.
Jak dodáno
Narcan (naloxonový hydrochlorid injekce USP) pro intravenózní intramuskulární a subkutánní podání je k dispozici jako:
Více dávkových lahviček
0,4 mg/ml .......................... 10 ml více dávkových lahviček 1 NDC 63481-365-05
1 mg/ml ............................. 10 ml více dávkových lahviček 1 NDC 63481-368-05
Watson 3203 Vedlejší účinky bílé pilulky
Ampuly bez konzervačních látek
0,02 mg/ml ............................. 2 ml jednotky dávky ampule-box 10 NDC 63481-359-10
0,4 mg/ml ............................. 1 ml jednotky dávky ampule-box 10 NDC 63481-358-10
k čemu je ledové horké dobré
1 mg/ml ............................. 2 ml jednotky dávky ampule-box 10 NDC 63481-377-10
Skladovat při 25 ° C (77 ° F); Exkurze jsou povoleny na 15 ° -30 ° C (59 ° -86 ° F). Chránit před světlem. Uložte v kartonu, dokud nebude použit obsah.
Vyrobeno pro: Endo Pharmaceuticals Inc. Chadds Ford Pennsylvania 19317. Říjen 2001.
Vedlejší účinky pro Narcan
Pooperační
Následující nežádoucí účinky byly spojeny s použitím Narcan (naloxon) u pacientů s pooperací: hypotenze hypertenze komorová tachykardie a fibrilační dyspnea plicní edém a srdeční zastavení. Smrtící kóma a encefalopatie byly hlášeny jako následky těchto událostí. Nadměrné dávky Narcan (naloxon) u pooperačních pacientů mohou vést k významnému zvrácení analgezie a mohou způsobit agitaci (viz viz OPATŘENÍ a Dávkování a podávání ;; Použití u dospělých pooperativních opioidních deprese ) Opioidní deprese
Náhlé zvrácení opioidní deprese může vést k zvracení nevolnosti pocení tachykardie zvýšené krevní tlak chmurné záchvaty komor tachykardie a fibrilace plicního edému a srdeční zástava, což může vést k smrti (viz viz (viz viz smrt (viz viz smrt (viz viz smrt (viz viz smrt (viz viz smrt (viz viz smrt (viz viz smrt (viz viz smrt (viz viz smrt (viz viz smrt (viz viz smrt (viz viz smrt (viz viz smrt (viz viz smrt (viz viz smrt (viz viz smrt (viz viz smrt (viz viz smrt (viz viz smrt (viz viz smrt (viz viz smrt (viz viz OPATŘENÍ ).
Závislost opioidů
Náhlé zvrácení účinků opioidů u osob, které jsou fyzicky závislé na opioidech, může vysrážit syndrom akutního stažení, který může zahrnovat, ale neomezuje se na následující příznaky a příznaky: Body Boles pocení potit nos kýchání piloerikční piloerikční tření nebo ohromující nervozita Neklidnost nebo dráždivost Abdomita adodonling Adoming Adoming Adoming Chopsing Abdoming Abdoming Adomins Chopsing Abdoming Abdoming Abdoming Abdoming Adomins Abominning Abdoming Abdoming Abdoming Adoming Abdoming. Tachykardie. V novorozeneckém stažení opioidů může zahrnovat také: křeče; nadměrný pláč; hyperaktivní reflexy (viz Varování ).
Nežádoucí účinky spojené s pooperačním používáním Narcan (naloxon) jsou uvedeny podle orgánového systému a v klesajícím pořadí frekvence takto:
Srdeční poruchy: Plicní edém cardiac arrest or failure tachycardia ventricular fibrillation a ventricular tachycardia. Death kóma a encefalopatie have been reported as sequelae of these events.
Gastrointestinální poruchy: zvracení nevolnosti
Poruchy nervového systému: křeče parestezie Grand Mal Chřčení
Psychiatrické poruchy: míchání hallucination tremulousness
Respirační hrudní a mediastinální poruchy: Hypoxie dyspnea respirační deprese
Poruchy kůže a podkožní tkáně: Nevyspecifické reakce na injekci pocení
Cévní poruchy: Hypertenze hypotenze horké nával nebo propláchnutí.
Viz také OPATŘENÍ a Dávkování a podávání ;; Použití u dospělých; Pooperační opioidní deprese.
Zneužívání a závislost drog
Narcan (naloxon) je opioidní antagonista. Fyzická závislost spojená s používáním Narcan (naloxon) nebyla hlášena. Není známo, že by to bylo tolerance vůči účinku na antagonisty opioidu (naloxon).
Interakce drog pro Narcan
K antagonizaci buprenorfinu jsou vyžadovány velké dávky naloxonu, protože posledně jmenovaný má dlouhou dobu účinku kvůli jeho pomalé míře vazby a následné pomalé disociaci z opioidního receptoru. Antagonismus buprenorfinu je charakterizován postupným nástupem reverzních účinků a zkráceným trváním působení normálně prodloužené respirační deprese. Zdá se, že barbiturátový methohexital blokuje akutní nástup abstinenčních symptomů vyvolaných naloxonem u narkomanů opiátů.
Varování for Narcan
Závislost na drogách
Narcan (naloxon) by měl být podáván opatrně osobám, včetně novorozenců matek, které jsou známy nebo podezřelé, že jsou fyzicky závislé na opioidech. V takových případech může náhlé a úplné zvrácení opioidních účinků vysrážit syndrom akutního stažení.
Příznaky a příznaky stažení opioidů u pacienta fyzicky závislého na opioidech mohou zahrnovat, ale nejsou omezeny na následující: Bolest Boles je průjem tachykardie horečka tekoucí nos kýchání piloerikcí pocení nevolnosti nebo zvracení neklidu nebo zavlažování nebo třpyt se nebo chvějící se broušením slabosti a slabosti. V novorozeneckém odběru opioidů může zahrnovat také: křeče nadměrný pláč a hyperaktivní reflexy.
Opakujte správu
Pacient, který uspokojivě reagoval na Narcan (naloxon), by měl být udržován pod pokračujícím dohledem a opakované dávky Narcan (naloxon) by měly být podávány podle potřeby, protože doba účinku některých opioidů může překročit trvání Narcan (naloxon).
Respirační deprese v důsledku jiných léků
Narcan (naloxon) není účinný proti respirační depresi v důsledku nepioidních léků a při léčbě akutní toxicity způsobené levopropoxyfenem. Zvrácení respirační deprese částečnými agonisty nebo smíšenými agonisty/antagonisty, jako je buprenorfin a pentazocin, může být neúplný nebo vyžaduje vyšší dávky naloxonu. Pokud dojde k neúplné odezvě, by měla být mechanicky podporována, jak je to klinicky uvedeno.
Opatření for Narcan
Generál
Kromě Narcan (naloxon) by měla být k dispozici další resuscitativní opatření, jako je udržování volného umělého ventilačního masáže a vazopresorových látek, které jsou nutné, pokud je to nutné k protiplnění akutní otravě opioidů.
Hodnota Vicodin 5/300 Street
Náhlé pooperační zvrácení opioidní deprese může vést k tomu, že zvracení nevolnosti pocení Tremulousness Tachykardie zvýšila záchvaty krevního tlaku komoří tachykardie a fibrilační plicní edém a srdeční zástavu, což může vést k smrti. Nadměrné dávky Narcan (naloxon) u pooperačních pacientů mohou vést k významnému zvrácení analgezie a mohou způsobit agitaci (viz viz OPATŘENÍ a Dávkování a podávání ;; Použití u dospělých pooperativních opioidních deprese )
U pooperačních pacientů bylo hlášeno několik příkladů hypotenze hypertenze komorové tachykardie a fibrilace plicního edému a srdeční zástavy. Smrtící kóma a encefalopatie byly hlášeny jako následky těchto událostí. K tomu došlo u pacientů, z nichž většina měla již existující kardiovaskulární poruchy nebo dostávala jiné léky, které mohou mít podobné nepříznivé kardiovaskulární účinky. Přestože nebyl u pacientů s již existujícím srdečním onemocněním nebo pacienty, kteří dostávali léky s potenciálními nežádoucími kardiovaskulárními účinky, jako je hypotenzní komorová tachykardie nebo fibrilace a plicního edému, měl by být použit s přímým příčinným a účinným vztahem, jako je tachykardie hypotenze, jako je hypotenzní komora tachykardie nebo fibrilace tachykardie hypotenze, jako je příčina a účinnost. Bylo navrženo, že patogeneze plicního edému spojené s použitím Narcan (naloxon) je podobná neurogennímu plicnímu edému, tj. Centrálně zprostředkovaný masivní masivní Katecholamin Odpověď vedoucí k dramatickému posunu objemu krve do plicního vaskulárního lože, což vede ke zvýšeným hydrostatickým tlakům.
Zhodnocení mutageneze karcinogeneze plodnosti
Studie u zvířat k posouzení karcinogenního potenciálu Narcan (naloxon) nebyly provedeny. Narcan (naloxon) byl slabě pozitivní v mutagenitě Ames a v in vitro Test aberačního aberace chromozomu lidského lymfocytů, ale byl negativní v in vitro Čínský křeček V79 buněčný test mutagenity HGPRT a v nadarmo Studie aberace kostní dřeně potkana kostní dřeně. Reprodukční studie prováděné u myší a potkanů v dávkách 4-časy a 8krát dávka 50 kg člověka podávaná 10 mg/den (když je založena na povrchové ploše nebo Mg/M 2 ) neprokázaly žádné embryotoxické nebo teratogenní účinky v důsledku narcan (naloxon).
Použití v těhotenství
Teratogenní účinky: Kategorie těhotenství C: Teratologické studie prováděné u myší a potkanů v dávkách 4-časy a 8krát dávka 50 kg člověka podávaná 10 mg/den (když je založena na povrchové ploše nebo Mg/M 2 ) neprokázaly žádné embryotoxické nebo teratogenní účinky v důsledku narcan (naloxon). There are however no adequate a well-controlled studies in pregnant women. Because animal reproduction studies are not always predictive of human response NARCAN (naloxone) should be used during pregnancy only if clearly needed.
Neteratogenní účinky: Riziko-přínos musí být zvažován dříve, než je Narcan (naloxon) podáván těhotné ženě, o které je známo, že nebo podezřívá, že je závislá na opioidech, protože závislost na matce může být často doprovázena závislostí na plodu. Naloxon prochází placentou a může vyvolat stažení plodu i v matce. Pacienti s mírnou až střední hypertenzí, kteří během porodu dostávají naloxon, by měli být pečlivě sledováni, protože může dojít k závažné hypertenzi.
Používejte při práci a dodávce
Není známo, zda Narcan (naloxon) ovlivňuje dobu trvání práce a/nebo doručení. Zveřejněné zprávy však naznačují, že podávání naloxonu během porodu nepříznivě neovlivnilo status matky nebo novorozence.
Ošetřovatelské matky
Není známo, zda je Narcan (naloxon) vylučován v lidském mléce. Protože mnoho drog je vylučováno v lidském mléce opatrnosti by mělo být uplatněno, když je Narcan (naloxon) podáván ošetřovatelské ženě.
Dětské použití
Narcan (naloxon hydrochlorid injekce USP) může být podáván intravenózně intramuskulárně nebo subkutánně u dětí a novorozenců, aby zvrátil účinky opiátů. Americká akademie pediatrie však neschvaluje subkutánní ani intramuskulární podávání v intoxikaci opiátů, protože absorpce může být nevyzpytatelná nebo zpožděna. Ačkoli dítě intoxikované opiátem dramaticky reaguje na Narcan (naloxon), musí být pečlivě monitorován po dobu nejméně 24 hodin, protože relaps může dojít, protože naloxon je metabolizován.
Když je Narcan (naloxon) dán matce krátce před doručením, trvá trvání jeho účinku pouze první dvě hodiny novorozeneckého života. Je výhodné podávat Narcan (naloxon) přímo k novorozenci, pokud je to potřeba po dodání. Narcan (naloxon) nemá zjevný přínos jako další metoda resuscitace u nově narozeného dítěte s intrauterinní asfyxií, která nesouvisí s používáním opioidů.
Použití u pediatrických pacientů a novorozenců pro septický šok: Bezpečnost a účinnost Narcan (naloxon) při léčbě hypotenze u dětských pacientů a novorozenců septickým šokem nebyla stanovena. Jedna studie dvou novorozenců v septickém šoku uváděla pozitivní odpověď na tlak; Jeden pacient však následně zemřel po neřešitelných záchvatch.
Geriatrické použití
Klinické studie Narcan (naloxon) nezahrnovaly dostatečný počet subjektů ve věku 65 let a více, aby se určilo, zda reagují odlišně od mladších subjektů. Jiné hlášené klinické zkušenosti nezjistily rozdíly v odpovědích mezi staršími a mladšími pacienty. Obecně by měl být výběr dávky pro staršího pacienta opatrný, obvykle začínající na dolním konci rozsahu dávkování, což odráží větší frekvenci snížené funkce ledvin nebo srdeční jater a souběžné onemocnění nebo jiné léčivé terapie.
Renální nedostatečnost/selhání
Bezpečnost a účinnost Narcan (naloxon) u pacientů s renální nedostatečností/selháním nebyla stanovena v dobře kontrolovaných klinických studiích. Upozornění by mělo být posouzeno, když je Narcan (naloxon) podáván této populaci pacientů
Onemocnění jater
Bezpečnost a účinnost narcan (naloxon) u pacientů s onemocněním jater nebyla stanovena v dobře kontrolovaných klinických studiích. Upozornění by mělo být provedeno, když je Narcan (naloxon) podáván pacientům s onemocněním jater.
Informace o předávkování pro Narcan
U lidí je omezená klinická zkušenost s předávkováním Narcan (naloxon).
Dospělí pacienti
V jedné malé studii dobrovolníci, kteří dostali 24 mg/70 kg, neprokázali toxicitu.
V jiné studii dostalo 36 pacientů s akutním mozkem dávku zatížení 4 mg/kg (10 mg/m 2 /min) Narcan (naloxon) následovaný okamžitě 2 mg/kg/h po dobu 24 hodin. Dvacet tři pacientů došlo k nežádoucím účinkům spojeným s používáním naloxonu a naloxon byl u sedmi pacientů z důvodu nepříznivých účinků přerušen. Nejzávažnější nežádoucí účinky byly: záchvaty (2 pacienti) závažná hypertenze (1) a hypotenze a/nebo bradykardie (3).
Při dávkách 2 mg/kg u normálních subjektů byly hlášeny kognitivní poškození a symptomy chování, včetně podrážděnosti úzkostné napětí, potíže se soustředění a nedostatek chuti k jídlu. Kromě toho byly hlášeny také somatické příznaky včetně závratě těžkosti pocení nevolnosti a žaludku. Přestože byly popsány úplné informace, které nejsou k dispozici, často přetrvávají po dobu 2-3 dnů.
Pediatričtí pacienti
Až 11 dávek 0,2 mg naloxonu (NULL,2 mg) bylo podáno dětem po předávkování difenoxylát hydrochloridu s atropin sulfát. Pediatrické zprávy zahrnují 2-1/2leté dítě, které neúmyslně obdrželo dávku 20 mg naloxonu pro léčbu respirační deprese po předávkování difenoxylát hydrochloridem atropin sulfát. Dítě reagovalo dobře a zotavilo se bez nepříznivých následků. Existuje také zpráva o 4-1/2letém dítěti, které dostávalo 11 dávek během 12hodinového období bez nepříznivých následků.
Řízení pacientů
Pacienti, kteří zažívají předávkování narcan (naloxon), by se mělo v pečlivě pod dohledem léčit. Lékaři by měli kontaktovat středisko pro kontrolu jedu pro nejaktuálnější informace o správě pacientů.
Kontraindikace pro Narcan
Narcan (naloxon) je kontraindikován u pacientů, o nichž je známo, že jsou přecitlivělý na naloxonový hydrochlorid nebo na některou z jiných složek v Narcan (naloxon).
Oregano zdravotní přínosy a vedlejší účinky
Klinická farmakologie for Narcan
Úplné nebo částečné obrácení opioidní deprese
Narcan (naloxon) zabraňuje nebo zvrátí účinky opioidů, včetně sedace respirační deprese a hypotenze. Také Narcan (naloxon) může zvrátit psychotomimetické a dysforické účinky agonistických antagonistů, jako je pentazocin.
Narcan (naloxon) je v podstatě čistý opioidní antagonista, tj. Nemá „agonistické“ nebo morfinové vlastnosti charakteristické pro jiné opioidní antagonisty. Při podávání v obvyklých dávkách a v nepřítomnosti opioidů nebo agonistických účinků jiných opioidních antagonistů nevykazuje v podstatě žádnou farmakologickou aktivitu.
Nebylo prokázáno, že Narcan (naloxon) způsobuje toleranci nebo způsobuje fyzickou nebo psychologickou závislost. V přítomnosti fyzické závislosti na opioidech Narcan (naloxon) způsobí abstinenční příznaky. Avšak v přítomnosti závislosti na opioidních závislostí se mohou symptomy odběžných opiátů objevit během několika minut od podávání narcan (naloxonu) a ustupují asi za 2 hodiny. Závažnost a doba trvání abstinenčního syndromu souvisí s dávkou Narcan (naloxon) a stupněm závislosti na opioidech.
Zatímco mechanismus účinku Narcan (naloxon) není plně pochopen in vitro Důkazy naznačují, že Narcan (naloxon) antagonizuje účinky opioidů tím, že soutěží o místa µ κ a σ receptoru opiátů v CNS s největší afinitou k receptoru µ.
Když je Narcan (naloxon) podáván intravenózně (i.v.), nástup účinku je obecně patrný během dvou minut. Počátek účinku je o něco méně rychlý, když je podáván subkutánně (S.C.) nebo intramuskulárně (I.M.). Délka působení závisí na dávce a trase podávání narcan (naloxon). Intramuskulární podávání způsobuje dlouhodobější účinek než intravenózní podávání. Vzhledem k tomu, že doba účinku narcan (naloxon) může být kratší než u některých opiátů, účinky opiátu se mohou vrátit, protože účinky Narcan (naloxon) se rozptýlí. Požadavek na opakované dávky Narcan (naloxon) bude také závislý na typu množství a trase podávání opioidu, který je antagonizován.
Doplňkové použití v septickém šoku
Narcan (naloxon) byl v některých případech septického šoku prokázán, aby se zvýšil krevní tlak, který může trvat až několik hodin; Nebyla však prokázána, že tato odpověď na tlak zlepšila přežití pacienta. V některých studiích byla léčba narcan (naloxon) v nastavení septického šoku spojena s nepříznivými účinky, včetně agitační nevolnosti a zvracení plicního edému Hypotenze srdeční arytmie a záchvatů. Rozhodnutí používat Narcan (naloxon) v septickém šoku by mělo být posouzeno s opatrností, zejména u pacientů, kteří mohli mít základní bolest nebo dříve dostávali terapii opioidů a mohly se vyvinout toleranci opioidů.
Vzhledem k omezenému počtu pacientů, kteří byli léčeni optimálním dávkovacím a léčebným režimům, nebyly stanoveny.
Farmakokinetika
Rozdělení
Po parenterální podávání je Narcan (naloxon) rychle distribuován v těle a snadno protíná placentu. Vazba proteinu v plazmě nastává, ale je relativně slabá. Plazmatický albumin je hlavní vazebnou složkou, ale významná vazba naloxonu se také vyskytuje na plazmatické složky jiné než albumin. Není známo, zda je naloxon vylučován do lidského mléka.
Metabolismus a eliminace
Narcan (naloxon) je metabolizován v játrech primárně glukuronidovou konjugací s naloxonem-3-glukoronidem jako hlavní metabolit. V jedné studii se sérový poločas u dospělých pohyboval od 30 do 81 minut (průměr 64 ± 12 minut). V novorozenecké studii bylo pozorováno, že průměrný poločas plazmy je 3,1 ± 0,5 hodiny. Po perorální nebo intravenózní dávce je asi 25-40% léčiva vylučována jako metabolity v moči do 6 hodin asi 50% za 24 hodin a 60-70% za 72 hodin.
Informace o pacientovi pro Narcan
Vidět Varování OPATŘENÍ a Kontraindikace .