Informace Na Stránce Nepředstavují Lékařskou Radu. Nic Neprodáváme. Přesnost Překladu Není Zaručena. Zřeknutí Se Odpovědnosti



Pavilon

Shrnutí drog

Co je Pavulon?

Injekce pavulonu (pancuronium bromid) je neuromuskulární blokovací činidlo používané k zajištění relaxace kosterního svalstva během tracheální intubace a chirurgického zákroku. Pavulon je k dispozici v obecný formulář.

Jaké jsou vedlejší účinky pavulonu?

Mezi běžné vedlejší účinky pavulonu patří zvýšená slabost kosterního svalu slin. nízký krevní tlak Vysoký krevní tlak a rychlý srdeční rytmus.



Dávkování pro Pavulon

Doporučený rozsah dávkování pavulonu je 0,04 až 0,1 mg/kg tělesné hmotnosti. Pavulon by měl být podáván pouze pod dohledem zkušených lékařů.



Jaké léčivé látky nebo doplňky interagují s Pavulonem?

Sukcinylcholin vekuronium enflurane isoflurane neomycin Bacitracin a Colistin může interagovat s Pavulonem. Řekněte svému lékaři všechny léky, které užíváte. Pozornost, pokud máte plicní jaterní nebo ledvinové onemocnění při užívání pavulonu.

Pavulon během těhotenství nebo kojení

Pokud jste těhotná nebo kojení, promluvte si se svým lékařem a vezměte si Pavulon, pouze pokud potenciální výhoda převažuje nad potenciálním rizikem.



Další informace

Naše pavulon (pancuronium bromid) injekční účinky vedlejší účinky léky poskytují komplexní pohled na dostupné informace o možných vedlejších účincích při užívání tohoto léku.

Informace o drogách FDA

Tento lék by měl být podáván adekvátně vyškolenými jednotlivci, kteří jsou obeznámeni s charakteristikami a riziky.

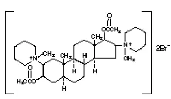
Popis pro Pavulon

Injekce Pavulon® (Pancuronium Bromid) je nedepolarizující neuromuskulární blokovací činidlo chemicky označené jako aminosteroid 2 ß 16 ß-dipiperidino-5a-a-androstane3a 17-p diol dimethotromid.

Strukturální vzorec je:

Pavulon® (injekce bromidu pancuronium) je dodáván jako sterilní izotonický nepyrogenní roztok pro injekci. Každá ML obsahuje 1 mg nebo 2 mg pancuronium bromid 2 mg acetát sodný sodný a 1% benzylalkohol jako konzervační látky. Roztok je upraven na izotonicitu chloridem sodným a pH 4 s kyselinou octovou a/nebo hydroxidem sodným; Voda se používá jako rozpouštědlo.

Použití pro Pavulon

Injekce Pavulon® (Pancuronium Bromid) je označena jako doplněk k celkové anestézii, aby se usnadnila tracheální intubaci a zajistila relaxaci kosterního svalu během chirurgického zákroku nebo mechanické větrání.

Dávkování pro Pavulon

Poznámka: Obsahuje benzylalkohol (viz Kontraindikace Varování a OPATŘENÍ : Dětské použití)

Injekce Pavulon® (Pancuronium Bromid) je pouze pro intravenózní použití. Tento lék by měl být podáván nebo pod dohledem zkušených lékařů, kteří jsou obeznámeni s používáním neuromuskulárních blokovacích látek. Dávkování musí být v každém případě individualizováno. Informace o dávkování, které následují, jsou odvozeny ze studií založených na jednotkách léčiva na jednotku tělesné hmotnosti a mají sloužit pouze jako vodítko. Protože silná inhalační anestetika nebo předchozí použití sukcinylcholinu mohou zvýšit intenzitu a trvání Pavulon® (viz OPATŘENÍ : Lékové interakce )) Dolní konec doporučeného počátečního rozsahu dávkování může stačit, když se spustí Pavulon® (injekce pancuronium bromidu) po intubaci sukcinylcholinu a/nebo po udržování dávek těkavé kapalinové inhalační anestetika. Pro získání maximálních klinických přínosů Pavulon® (injekce pancuronium bromidu) a minimalizaci možnosti předávání je doporučeno monitorování reakce na záškuby na periferní nervové stimulátor.

U dospělých pod vyváženou anestezií je počáteční intravenózní rozsah dávkování 0,04 až 0,1 mg/kg. Mohou být použity pozdější přírůstkové dávky začínající na 0,01 mg/kg. Tyto přírůstky mírně zvyšují velikost blokády a významně prodlužují dobu blokády, protože významný počet myoneurálních křižovatek je stále blokován, pokud existuje klinická potřeba více léčiva.

Pokud se použije k zajištění relaxace kosterního svalstva pro endotracheální intubaci, doporučuje se Bolusova dávka 0,06 až 0,1 mg/kg. Podmínky uspokojivé v intubaci jsou obvykle přítomny do 2 až 3 minut. (vidět OPATŘENÍ ).

Dávkování u dětí

Studie odpovědi na dávku u dětí ukazují, že s výjimkou požadavků na dávkování novorozenců jsou stejné jako u dospělých. Vzhledem k potenciální toxicitě benzylalkoholu v roztocích novorozenců obsahující benzylalkohol nesmí být v této populaci pacientů používán (viz viz Kontraindikace ).

Cesaan Section

Dávka pro zajištění relaxace pro intubaci a provoz je stejná jako pro obecné chirurgické zákroky. Dávka k zajištění relaxace po použití sukcinylcholinu pro intubaci (viz OPATŘENÍ : Lékové interakce ) je stejné jako u obecných chirurgických zákroků.

má pro vzduchové inhalátor steroidy

Kompatibilita

0,9% injekce chloridu sodného 5% injekce chloridu dextrózy a chloridu sodného
5% injekce dextrózy Lactated Ringerova injekce

Parenterální léčivé přípravky by měly být vizuálně kontrolovány na částice a zbarvení před podáním, kdykoli to roztok a nádoby povolí. Při smíchání s výše uvedenými roztoky ve skleněných nebo plastových nádobách Pavulon® (injekce pancuronium bromidu) zůstane stabilní v roztoku po dobu 48 hodin bez změny v účinnosti nebo pH; Není pozorován žádný rozklad a není absorpce na skleněné ani plastové nádobě.

Jak dodáno

Pavulon® (injekce bromidu Pancuronium) je zabalen v následujících formách:

2 ml Ampuls - 2 mg/ml - boxy 25 NDC
5 ml Ampuls - 2 mg/ml - boxy 25 NDC
10 ml lahviček - 1 mg/ml - boxy z 25 NDC

Skladování

Obě koncentrace Pavulon® (injekce pancuronium bromidu) budou udržovat plnou klinickou účinnost po dobu šesti měsíců, pokud budou udržovány při pokojové teplotě 18 ° až 22 ° C (65 ° až 72 ° F); nebo po dobu 3 let, když se chlazí při 2 ° až 8 ° C (36 ° až 46 ° F).

Pozor

Federální zákon zakazuje vydávání bez předpisu.

Organon Inc. West Orange New Jersey 07052

Vedlejší účinky for Pavulon

Neuromuskulární

The most frequent adverse reaction to nondepolarizing blocking agents as a class consists of an extension of drug's pharmacological action beyond the time period needed. This may vary from skeletal muscle weakness to profound and prolonged skeletal muscle paralysis resulting in respiratory insufficiency or apnea.

Nedostatečný obrácení neuromuskulární blokády je možné u Pavulon® (injekce pancuronium bromidu) jako u všech kurárních léků. Tyto nepříznivé zážitky jsou řízeny manuálním nebo mechanickým ventilací, dokud nebude zotavení považováno za přiměřené.

Po dlouhodobém použití k podpoře mechanické ventilace v jednotce intenzivní péče byla hlášena prodloužená ochrnutí a/nebo slabost kosterního svalu.

Kardiovaskulární

Viz diskuse o oběhu Klinická farmakologie .

Gastrointestinal

Salivace je někdy zaznamenána během velmi lehké anestezie, zejména pokud se nepoužije žádná anticholinergní premedikace.

Kůže

Občasná přechodná vyrážka je zaznamenána doprovázející použití Pavulon® (injekce pancuronium bromidu).

Ostatní

Ačkoli uvolňování histaminu není charakteristickým působením Pavulon® (injekce pancuronium bromidu) vzácné reakce přecitlivělosti, jako je bronchospasm propláchnutí zarudnutí hypotenze Byly hlášeny tachykardie a další reakce pravděpodobně zprostředkované uvolňováním histaminu.

Post-marketing

Probíhají zprávy o závažných alergických reakcích (anafylaktické a anafylaktoidní reakce) spojené s použitím neuromuskulárních blokovacích látek včetně Pavulon® (injekce pancuronium bromid). Tyto reakce v některých případech byly život ohrožující a fatální. Protože tyto reakce byly hlášeny dobrovolně z populace nejisté velikosti, není možné spolehlivě odhadnout jejich frekvenci (viz viz Varování a OPATŘENÍ ).

Lékové interakce for Pavulon

Předchozí podávání sukcinylcholinu může zvýšit účinek neuromuskulárního blokování Pavulon® (injekce pancuronium bromidu) a zvýšit jeho trvání účinku. Pokud se sukcinylcholin používá před Pavulon® (injekce pancuronium bromidu), by se podávání pavulon® (injekce pancuronium bromidu) mělo zpožděna, dokud se pacient nezačne zotavovat z neuromuskulární blokády vyvolané sukcinylcholinem.

Pokud je malá dávka Pavulon® (injekce bromidu pancuronium) podávána nejméně 3 minuty před podáním sukcinylcholinu, aby se snížila incidence a intenzitu fascikulace indukovaných sukcinylcholinem u některých pacientů.

Ostatní nondepolarizing neuromuscular blocking agents (vecuronium atracurium d-tubocurarine metocurine a gallamine) behave in a clinically similar fashion to PAVULON® (pancuronium bromide injection) . The combinations of PAVULON® (pancuronium bromide injection) -metocurine a PAVULON® (pancuronium bromide injection) -d-tubocurarine are significantly more potent than the additive effects of each of the individual drugs given alone; however the duration of blockade of these combinations is not prolonged. There are insufficient data to support concomitant use of pancuronium a the other three above mentioned muscle relaxants in the same patients.

Inhalační anestetika

Použití těkavé inhalační anestetiky, jako je enflurane isofluran a halothan s Pavulon® (injekce pancuronium bromidu), zlepší neuromuskulární blokádu. Potenciace je nejvýznamnější s použitím enflurane a isofluranu.

U výše uvedených látek může být intubutační dávka Pavulon® (injekce pancironium bromidu) stejná jako u vyvážené anestezie, pokud inhalační anestetikum nebylo podáno po dostatečnou dobu v dostatečné dávce, aby dosáhla klinická rovnováha. Při relativně dlouhém trvání účinku Pancuronium by se mělo brát v úvahu, když je lék za těchto okolností vybrán pro intubaci.

Klinické zkušenosti a experimenty na zvířatech naznačují, že pancuronium by mělo být věnováno opatrnosti pacientům, kteří dostávají chronickou tricyklickou antidepresivní terapii, kteří jsou anestetizováni halothanem, protože z této kombinace mohou vyplynout závažné komorové arytmie. Závažnost arytmií se objevuje částečně související s dávkou pancuronia.

Antibiotika

Parenterální/intraperitoneální podávání vysokých dávek určitých antibiotik může zesílit nebo produkovat neuromuskulární blok sám. Následující antibiotika byla spojena s různými stupni ochrnutí: aminoglykosidy (jako je neomycin streptomycin kanamycin gentamicin a dihydrostreptomycin); Tetracykliny; Bacitracin; Polymyxin B; Colistin; a kolistimethate sodný. Pokud se tato nebo jiná nově zavedená antibiotika používají předoperačně nebo ve spojení s Pavulon® (injekce pancuronium bromidu) neočekávané prodloužení neuromuskulárního bloku by mělo být považováno za možnost.

Ostatní

Zkušenost týkající se injekce chinidinu během zotavení z používání jiných svalových relaxantů naznačuje, že může dojít k opakujícímu se ochrnutí. Tuto možnost je třeba také zvážit pro injekci Pavulon® (Pancuronium Bromid).

skvělá místa k návštěvě v USA

Ukázalo se, že nerovnováha elektrolytů a onemocnění, které vedou k nerovnováze elektrolytu, jako je nadledvin pro kortikální nedostatečnost, mění neuromuskulární blokádu. V závislosti na povaze nerovnováhy lze očekávat buď vylepšení nebo inhibici. Soli hořčíku podávané pro léčbu toxémie těhotenství mohou zvýšit neuromuskulární blokádu.

Interakce léčiva/laboratorní testy

Žádný známý.

Varování for Pavulon

Pavulon® (injekce bromidu Pancuronium) by měla být podávána v pečlivě upravených dávkách podle nebo pod dohledem zkušených lékařů, kteří jsou obeznámeni s jeho činy a možnými komplikacemi, ke kterým by se mohlo vyskytnout po jeho použití. Lék by neměl být podáván, pokud nejsou okamžitě k dispozici zařízení pro intubační umělé dýchání a zvraty. Lékař musí být připraven na pomoc nebo kontrolu dýchání.

Anafylaxe

Byly hlášeny závažné anafylaktické reakce na činidla neuromuskulárního blokování včetně Pavulon® (injekce pancuronium bromidu). Tyto reakce byly v některých případech život ohrožující a fatální. Vzhledem k potenciální závažnosti těchto reakcí by měla být přijata nezbytná opatření, jako je okamžitá dostupnost vhodného nouzového ošetření. U těch jedinců, kteří měli předchozí anafylaktické reakce na jiná neuromuskulární blokovací činidla, by měla být přijata také preventivní opatření, protože byla hlášena zkřížená reaktivita mezi neuromuskulárními blokovacími látkami jak depolarizací, tak nedepolarizací.

U pacientů, o nichž je známo, že mají myasthenia gravis nebo myasthenický (eaton-lambert) syndrom, mohou mít malé dávky Pavulon® (injekce pancuronium bromidu) hluboké účinky. U takových pacientů může být při sledování reakce na podávání svalových relaxantů hodnota periferní nervová stimulátor a použití malé testovací dávky.

Pavulon® (injekce bromidu Pancuronium) obsahuje benzylalkohol, který je potenciálně toxický, když je podáván lokálně do nervové tkáně. Expozice nadměrnému množství benzylalkoholu byla spojena s toxicitou (metabolická acidóza hypotenze), zejména u novorozenců a zvýšeným výskytem Kernicterus, zejména u malých předčasně narozených dětí. Byly došlo k vzácným zprávám o úmrtích především u předčasně narozených dětí spojených s expozicí nadměrnému množství benzylalkoholu. Množství benzylalkoholu z léků je obvykle považováno za zanedbatelné ve srovnání s množstvím obdržených v splachovacích roztocích obsahujících benzylalkohol. Podávání vysokých dávek léků obsahujících tento konzervační látku musí zohlednit celkové množství podávaného benzylalkoholu. Množství benzylalkoholu, u kterého může dojít k toxicitě, není známo. Pokud pacient vyžaduje více než doporučené dávky nebo jiné léky obsahující tento konzervační látka, musí praktikující zvážit denní metabolickou zátěž benzylalkoholu z těchto kombinovaných zdrojů (viz viz Varování a OPATŘENÍ : Dětské použití ).

Opatření for Pavulon

Použití stimulátoru periferního nervu bude obvykle mít hodnotu pro monitorování neuromuskulárního blokovacího účinku, který se vyhýbá předávkování a pomáhá při hodnocení zotavení.

Generál

V těchto situacích by měla být v těchto situacích úspěšně použita Pavulon® (injekce pancuronium bromid) úspěšně u mnoha pacientů s již existujícím plicním jaterním nebo ledvinovým onemocněním.

Anafylaxe

Since allergic cross-reactivity has been reported in this class request information from your patients about previous anaphylactic reactions to other neuromuscular blocking agents. In addition inform your patients that severe anaphylactic reactions to neuromuscular blocking agents including PAVULON® (pancuronium bromide injection) have been reported.

Selhání ledvin

V moči se získává hlavní část Pancuroniumas a aktivní metabolit. Eliminační poločas se zdvojnásobí a u pacientů s selháním ledvin je snížena plazmatická clearance; Současně je rychlost zotavení neuromuskulární blokády variabilní a někdy velmi pomalejší než obvykle (viz Farmakokinetika ). This information should be taken into consideration if pancuronium is selected for other reasons to be used in a patient with renal failure.

Změněná doba oběhu

Stavy spojené s pomalejším dobou cirkulace u kardiovaskulárních chorob stáří Edematózní stavy, které vedou ke zvýšenému objemu distribuce, mohou přispět ke zpoždění v době nástupu; Proto by se dávkování nemělo zvýšit.

Onemocnění jater a/nebo biliárního traktu

Zdvojnásobená eliminační poločas a snížená plazmatická clearance stanovená u pacientů s onemocněním jater a/nebo biliárního traktu, jakož i omezené údaje, které ukazují, že doba zotavení se prodlužuje v průměru 65% u pacientů s obstrukcí biliárního traktu, naznačuje, že může dojít k prodloužení neuromuskulární blokády. Současně jsou tyto podmínky charakterizovány přibližně 50% zvýšením objemu distribuce pancuronia, což naznačuje, že celková počáteční dávka k dosažení přiměřené relaxace může být v některých případech vysoká. Možnost pomalejšího nástupu vyššího celkového dávkování a prodloužení neuromuskulární blokády je třeba vzít v úvahu, když se u těchto pacientů použije pancuronium (viz viz také Farmakokinetika ).

Dlouhodobé použití v I.C.U.

Na jednotce intenzivní péče ve vzácných případech může být dlouhodobé užívání neuromuskulárních blokovacích léčiv k usnadnění mechanické ventilace spojeno s prodlouženou ochrnoucí a/nebo slabostí kosterního svalu, které lze poprvé zaznamenat během pokusů o odstavení takových pacientů z ventilátoru. Obvykle tito pacienti dostávají jiná léčiva, jako jsou narkotika a/nebo steroidů široká spektra antibiotiky a mohou mít nerovnováhu a nemoci elektrolytu, které vedou k hypoxickému epizodě elektrolytu, které se mění nerovnováha na bázi kyseliny a extrémní desilitaci, které může zlepšit působení neuromuskulárního blokovacího činidla. Kromě toho pacienti imobilizovaní po delší dobu se často vyvíjejí příznaky konzistentní s zneužíváním svalové atrofie. Proto, pokud existuje potřeba dlouhodobé mechanické ventilace, je třeba vzít v úvahu poměr rizika benefitu na neuromuskulární blokádu.

Kontinuální infuze nebo přerušované dávkování bolusu na podporu mechanické ventilace nebylo dostatečně studováno pro podporu doporučení dávkování.

Za výše uvedených podmínek může odpovídající monitorování, jako je použití stimulátoru periferního nervu k posouzení stupně neuromuskulární blokády, vyloučit neúmyslné nadbytečné dávkování.

Těžká obezita nebo neuromuskulární onemocnění

Pacienti s těžkým obezita nebo neuromuskulární onemocnění může představovat dýchací cesty a/nebo ventilační problémy vyžadující zvláštní péči před a po použití neuromuskulárních blokovacích látek, jako je Pavulon® (injekce pancuronium bromidu).

C.N.S.

Pavulon® (injekce bromidu pancuronium) nemá žádný známý účinek na vědomí prahovou hodnotu nebo mozkový mozek. Podávání by mělo být doprovázeno adekvátní anestézií nebo sedací.

Zhodnocení mutageneze karcinogeneze plodnosti

Dlouhodobé studie u zvířat nebyly provedeny za účelem vyhodnocení karcinogenního nebo mutagenního potenciálu nebo zhoršení plodnosti.

Těhotenství

Těhotenství Category C

Studie reprodukce zvířat nebyly provedeny. Není známo, zda Pavulon® (injekce bromidu pancuronium) může způsobit poškození plodu při podání těhotné ženě nebo může ovlivnit reprodukční kapacitu. Pavulon® (injekce pancuronium bromidu) by měla být věnována těhotné ženě pouze tehdy, pokud se podávací lékař rozhodne, že výhody převažují nad riziky. Pavulon® (injekce bromidu Pancuronium) může být použita v operativní porodnictví (císařský řez), ale obrácení pancuronia může být neuspokojivé u pacientů, kteří dostávají síran v hořčíku pro toxemii těhotenství, protože soli magnesium zvyšují neuromuskulární blokádu. Dávkování by mělo být obvykle sníženo, jak je uvedeno v takových případech. Doporučuje se také, aby interval mezi používáním pancionia a dodáváním byl přiměřeně krátký, aby se zabránilo klinicky významnému přenosu placenty.

Dětské použití

Studie odpovědi na dávku u dětí ukazují, že s výjimkou požadavků na dávkování novorozenců jsou stejné jako u dospělých. Vzhledem k potenciální toxicitě benzylalkoholu v roztocích novorozenců obsahující benzylalkohol nesmí být v této populaci pacientů používán (viz viz Kontraindikace ).

Tento produkt obsahuje benzylalkohol jako konzervační látka. Benzylalkohol Složka tohoto produktu byla spojena s vážnými nežádoucími účinky a smrtí, zejména u pediatrických pacientů. Syndrom za lapání po dechu (charakterizovaný metabolickou acidózou deprese centrálního nervového systému za lapal popíjející dýchání a vysokou hladinou benzylalkoholu a jeho metabolitů nalezených v krvi a moči) byl spojen s dávkami benzylalkoholu> 99 mg/kg/den u novorozenců a novorozenci s nízkým birth. Další příznaky mohou zahrnovat postupné neurologické zhoršení záchvaty intrakraniální krvácení hematologické abnormality rozkladu kůže a hypotenze renálního selhání a kardiovaskulární kolaps. Ačkoli normální terapeutické dávky tohoto produktu dodávají množství benzylalkoholu, které jsou podstatně nižší než dávky uvedené ve spojení se syndromem zalapání po dechu, není známo minimální množství benzylalkoholu, u kterého může dojít k toxicitě. Předčasně narozené a s nízkou porodnou hmotností a pacienti, kteří dostávají vysoké dávky, mohou s větší pravděpodobností vyvinout toxicitu. Praktikující podávají toto a další léky obsahující benzylalkohol by měli zvážit kombinované denní metabolické zátěž benzylalkoholu ze všech zdrojů.

Informace o předávkování Pavulon

Možnost iatrogenního předávání lze minimalizovat pečlivým monitorem svalové záškuby na stimulaci periferního nervu.

Nadměrné dávky Pavulon® (injekce pancuronium bromidu) způsobují zvýšené farmakologické účinky. Zbytková neuromuskulární blokáda za potřebnou časovou období může dojít u Pavulon® (injekce pancuronium bromidu) jako u jiných neuromuskulárních blokátorů. To se může projevit slabostí kosterního svalu snížilo respirační rezervu nízký objem přílivu nebo apnoe. Periferní nervový stimulátor může být použit k posouzení stupně zbytkové neuromuskulární blokády a pomoci odlišit zbytkovou neuromuskulární blokádu od jiných příčin snížené respirační rezervy.

Injekce regonol® (pyridostigmin bromid) Nestigmin nebo edrofonium ve spojení s atropinem nebo glykopyrrolátem obvykle znečišťuje relaxační účinek kosterního svalu Pavulon® (injekce pancuronium bromidu). Uspokojivé zvrácení lze posoudit přiměřeností kosterního svalu a přiměřeností dýchání. Stiplátor periferního nervu může být také použit ke sledování obnovy záškubí odezvy.

Selhání rychlého zvrácení (do 30 minut) může dojít v přítomnosti extrémní desilitační karcinomatózy a při souběžném použití určitých širokých spektrálních antibiotik nebo anestetických látek a jiných léčiv, která zvyšují jejich vlastní neuromuskulární blokádu nebo způsobují respirační depresi. Za takových okolností je řízení stejná jako u prodlouženého neuromuskulární blokády. Ventilace musí být podporována umělými prostředky, dokud pacient obnoví kontrolu nad jeho dýcháním. Před použitím odkazu na obrácení agentů by měla být provedena na konkrétní vložku balíčku reverzního činidla.

Kontraindikace pro Pavulon

Pavulon® (injekce pancuronium bromidu) je kontraindikován u pacientů, o nichž je známo, že jsou přecitlivělé na léčivo. Pavulon® (injekce pancuronium bromidu) je kontraindikován pro použití u novorozenců včetně předčasně narozených kojenců, protože formulace obsahuje benzylalkohol (viz viz Varování a OPATŘENÍ : Dětské použití ).

Klinická farmakologie for Pavulon

PAVULON® (pancuronium bromide injection) is a nondepolarizing neuromuscular blocking agent possessing all of the characteristic pharmacological actions of this class of drugs (curariform). It acts by competing for cholinergic receptors at the motor end-plate. The antagonism to acetylcholine is inhibited and neuromuscular block is reversed by anticholinesterase agents such as pyridostigmine neostigmine and edrophonium. PAVULON® (pancuronium bromide injection) is approximately 1/3 less potent than vecuronium and approximately 5 times as potent as d-tubocurarine; the duration of neuromuscular blockade produced by PAVULON® (pancuronium bromide injection) is longer than that of vecuronium at initially equipotent doses. The ED 95 (dávka potřebná k vytvoření 95% potlačení reakce na svalové záškuby) je přibližně 0,05 mg/kg při vyvážené anestézii a 0,03 mg/kg při halothanové anestézii. Tyto dávky způsobují účinnou relaxaci kosterního svalu (jak je posuzováno časem od maximálního účinku do 25% obnovy výšky kontrolních škubnutí) po dobu přibližně 22 minut; Doba trvání od injekce na 90% obnovení výšky kontrolního škubnutí je přibližně 65 minut. Intubovací dávka 0,1 mg/kg (vyvážená anestézie) účinně zruší záškubí odezvu během přibližně 4 minut; Čas od injekce do 25% zotavení z této dávky je přibližně 100 minut. Doplňkové dávky pro udržení relaxace svalů mírně zvyšují velikost bloku a výrazně prodlužují dobu trvání bloku. Použití stimulátoru periferního nervu je přínosem při hodnocení stupně neuromuskulární blokády.

Nejuznávanější cirkulační účinky pancuronium studované při halothanové anestezii jsou mírný nárůst srdeční frekvence středního arteriálního tlaku a srdečního výdeje; Systémová vaskulární odolnost se významně nezmění a centrální žilní tlak může mírně klesat. Zvýšení srdeční frekvence je nepřímo spojeno s rychlostí bezprostředně před podáním pancuronia je blokováno předchozím podáváním atropinu a zdá se, že nesouvisí s koncentrací halothanu nebo dávky pancironia.

Údaje o testech histaminu a klinických zkušenostech s variabilními klinickými zkušenostmi naznačují, že reakce přecitlivělosti, jako je bronchospasm propláchnutí hypotenze zarudnutí tachykardie a další reakce běžně spojené s uvolňováním histaminu, jsou vzácné. (vidět Nežádoucí účinky ).

Pendimetrazin tartrát

Farmakokinetika

Bylo hlášeno, že eliminační poločas paňáka se pohybuje mezi 89–161 minutami. Objem distribuce se pohybuje od 241–280 ml/kg a plazmatická clearance je přibližně 1,1–1,9 ml/kg. Přibližně 40% z celkové dávky Pancuronium bylo získáno v moči jako nezměněné pancionium a jeho metabolity, zatímco přibližně 11% bylo získáno v regeneru dokonce . Až 25% injikované dávky může být získáno jako 3-hydroxy metabolit, který je napůl tak silný blokovací činidlo jako pancuronium. Méně než 5% injikované dávky se získává jako metabolit 17-hydroxy a metabolit 3,17-dihydroxy, které byly považovány za přibližně 50krát méně účinné než pancuronium. Pancuronium vykazuje silnou vazbu na gama globulin a mírnou vazbu na albumin. Přibližně 13% je nevázané plazmové protein. U pacientů s cirhózou se objem distribuce zvyšuje přibližně o 50% plazmatická clearance je snížena přibližně o 22% a poločas eliminace se zdvojnásobí. Podobné výsledky byly zaznamenány u pacientů s biliární obstrukcí, s výjimkou toho, že plazmatická clearance byla menší než polovina normální míry. Počáteční celková dávka pro dosažení adekvátní relaxace tedy může být vysoká u pacientů s dysfunkcí jater a/nebo biliárního traktu, zatímco doba účinku je větší než obvykle.

Eliminační poločas se zdvojnásobí a u pacientů s selháním ledvin se u pacientů s renálním selháním sníží přibližně 60%. Distribuční objem je variabilní a v některých případech zvýšený. Rychlost obnovy neuromuskulární blokády, jak je stanovena stimulací periferního nervu, je variabilní a někdy velmi pomalejší než obvykle.

Informace o pacientovi pro pavulon

Žádné informace. Viz prosím Varování a OPATŘENÍ sekce.