Informace Na Stránce Nepředstavují Lékařskou Radu. Nic Neprodáváme. Přesnost Překladu Není Zaručena. Zřeknutí Se Odpovědnosti



Proair

Shrnutí drog

Co je to proair?

Proair ( ALBUTEROL FULFÁN ) je bronchodilatátor, který uvolňuje svaly v dýchacích cestách a zvyšuje průtok vzduchu do plic používaných k prevenci a léčbě sípání a dušnosti způsobené dýchacími problémy astma a chronické obstrukční plicní onemocnění . Proair se také používá k zabránění astmatu vyvolané cvičením.

Jaké jsou vedlejší účinky proairu?

Mezi běžné vedlejší účinky proairu patří:



  • nervozita
  • třesení ( tremor )
  • bolest hlavy
  • závrať
  • suchost nebo podráždění úst/krku
  • bolest v krku
  • kašel
  • nevolnost
  • zvracení
  • závrať
  • Problémy se spánkem (nespavost)
  • chrapot
  • Runy nebo ucpaný nos
  • bolest svalů nebo
  • průjem

Dávkování pro proaira

Proair je inhalátor suchého prášku dodávaný pro 200 měřených inhalačních dávek.



Jaké léky nebo doplňky interagují s Proair?

Proair může interagovat s jinými inhalovanými léky jiné astmatické léky beta-blokátory diuretika digoxin monoamin oxidáza inhibitory (MAOI) a antidepresiva . Řekněte svému lékaři všechny léky a doplňky, které používáte.

Proair během těhotenství a kojení

Během těhotenství by se měl použít pouze v případě předepsání. Není známo, zda Proair prochází do mateřského mléka. Před kojením se poraďte se svým lékařem.



Další informace

Náš inhalační účinky na inhalační účinky proairu (albuterol sulfátu) poskytuje při užívání tohoto léku komplexní pohled na dostupné informace o možných vedlejších účincích.

Informace o drogách FDA

Popis pro Proair HFA

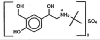
Účinnou složkou inhalačního aerosolu proair HFA (albuterol sulfát) je sulfát albuterol racemickou sůl albuterolu. Albuterol sulfát má chemický název α -[( terc -butylamino) methyl] -4- hydroxy- m -xylen-aa'-diol sulfát (2: 1) (sůl) a má následující chemickou strukturu:

Molekulová hmotnost síranu albuterolu je 576,7 a empirický vzorec je (c 13 H 21 ŽÁDNÝ 3 ) 2 • H. 2 TAK 4 . Abuterol sulfát je bílý až bílý krystalický prášek. Je rozpustný ve vodě a mírně rozpustný v ethanolu. Albuterol sulfát je oficiální obecný název ve Spojených státech a salbutamol sulfát je Světová zdravotnická organizace doporučená generické jméno. Proair HFA inhalační aerosol je aerosolová jednotka s dávkovou dávkou s dávkovou dávkou. Proair HFA je pouze pro orální inhalaci. Obsahuje mikrokrystalický suspenze sulfátu albuterolu v hnacím hFA-134A (1 1 1 2- tetrafluoreethan) a ethanol.

Před poprvé a v případech, kdy se inhalátor nepoužil déle než 2 týdny, vydáním tří sprejů do vzduchu od obličeje. Po zařazení každé aktivace poskytuje 108 mcg albuterol sulfát z náustku pohonu (ekvivalent 90 mcg albuterol). Každý kanystr poskytuje 200 aktivit (inhalace).

Tento produkt neobsahuje chlorofluorokarbony (CFCS) jako hnací látka.

Použití pro Proair HFA

Bronchospasmus

Proair HFA inhalační aerosol je indikován pro léčbu nebo prevenci bronchospasmu u pacientů ve věku 4 let a starší s reverzibilní obstrukční onemocnění dýchacích cest.

Bronchospasmus vyvolaný cvičením

Proair HFA inhalační aerosol je indikován pro prevenci bronchospasmu vyvolaného cvičení u pacientů ve věku 4 let a starší.

Dávkování pro Proair HFA

Bronchospasmus

Pro léčbu akutních epizod bronchospasmu nebo prevence symptomů spojených s bronchospasmem je obvyklá dávka pro dospělé a děti 4 roky a starší dvě inhalace opakované každé 4 až 6 hodin. Častější podávání nebo větší počet inhalací se nedoporučuje. U některých pacientů může stačit jedna inhalace každé 4 hodiny.

Bronchospasmus vyvolaný cvičením

Obvyklou dávkování pro dospělé a děti ve věku 4 let nebo starší jsou dvě inhalace 15 až 30 minut před cvičením.

Informace o správě

Spravujte proair HFA pouze perorální inhalací. Před každým sprejem protřepejte dobře. Pro udržení správného používání tohoto produktu a zabránění hromadění a blokování léků je důležité pečlivě sledovat pokyny čištění.

Priming

Před poprvé a v případech, kdy se inhalátor nepoužil déle než 2 týdny, vydáním tří sprejů do vzduchu od obličeje.

Čištění

Stejně jako u všech inhalátorů albuterolu obsahujících HFA k udržení správného používání tohoto produktu a k zabránění hromadění a blokování léků je důležité pravidelně čistit plastový náustek. Inhalátor může přestat dodávat léky, pokud není náustek plastového pohonu správně vyčištěn a sušen. K čištění: Plastový náustek umyjte teplou tekoucí vodou po dobu 30 sekund, aby se přebytečnou vodu otřásla alespoň jednou týdně. Pokud má pacient více než jeden proair HFA inhalátor, měl by pacient každý z nich samostatně umýt, aby se zabránilo připojení nesprávného nádoby k nesprávnému plastovému ovladači. Tímto způsobem může být pacient určitě vždy znát správný počet zbývajících dávek. Nikdy nepřipojují kanystr léků z jakéhokoli jiného inhalátoru k pohonu HFA a nikdy nepřipevněte k nádobě HFA k pohonu od jakéhokoli jiného inhalátoru. Pokud se náustek zablokuje, promytí náustek odstraní blokování. Pokud je nutné používat inhalátor dříve, než bude zcela suchý protřepávání přebytečné vody, nahradíte sprej kanystr dvakrát do vzduchu od obličeje a vezměte předepsanou dávku. Po takovém použití by měl být náustek znovu vymýván a ponechán důkladně vyschnout. [vidět FDA schválen Označení pacientů ].

Počítadlo dávky

Proair HFA má k pohonu připojený čítač dávky. Když pacient obdrží inhalátor, v okně pozorování se objeví černá tečka, dokud nebude aktivována třikrát, kdy se zobrazí číslo 200. Počítadlo dávky se odpočít bude pokaždé, když se uvolní sprej. Když čítač dávky dosáhne 20, barva čísel se změní na červenou, aby pacientovi připomnělo, aby kontaktoval svého lékárníka o doplnění léku nebo poradil se svým lékařem o doplnění předpisu.

Když čítač dávky dosáhne 0, pozadí se změní na pevnou červenou. Inhalátor proair HFA by měl být vyřazen, když se čítač dávky zobrazí 0 nebo po datu vypršení platnosti na produktu, podle toho, co nastane nejprve.

Jak dodáno

Formy dávkování

Proair HFA je inhalační aerosol. Proair HFA je dodáván jako 8,5 g/200 ovládané hliníkové nádoby s červeným plastovým pohonem s dávkovým čítačem a bílým prachovým uzávěrem každý v krabicích jednoho. Každé ovládání poskytuje 120 mcg síranu albuterolu z kanystrového ventilu a 108 mcg síranu albuterolu z náustku pohonu (ekvivalentní 90 mcg albuterolu).

Skladování

Proair HFA (albuterol sulfát) inhalační aerosol je dodáván jako tlakový hliníkový nádobu s červeným plastovým ovladačem s dávkovým čítačem a bílým prachovým uzávěrem v krabicích jednoho. Každý kanystr obsahuje 8,5 g formulace a poskytuje 200 vláken ( NDC 59310-579-22). Každé ovládání poskytuje 120 mcg síranu albuterolu z kanystrového ventilu a 108 mcg síranu albuterolu z náustku pohonu (ekvivalentní 90 mcg albuterolu).

Co je inhalační roztok albuterolu síranu

Před použitím se protřepejte dobře. Uložte mezi 15 ° a 25 ° C (59 ° a 77 ° F). Obsah pod tlakem. Nepřipsačujte se ani nesparujte. Chraňte před mrazicími teplotami a prodlouženou expozicí přímému slunečnímu světlu. Expozice teplotám nad 120 ° F může způsobit prasknutí. Pro nejlepší výsledky by měla být kanystr před použitím na teplotě místnosti. Vyvarujte se postřiku v očích. Udržujte mimo dosah dětí.

Vidět FDA schválen Označení pacientů Pro pokyny pro aktivaci a čištění.

Červený ovladač dodávaný s inhalačním aerosolem HFA proair HFA by se neměl používat s nádobou z jiných inhalačních aerosolových produktů. Proair HFA inhalační aerosolový kanystr by se neměl používat s pohonem z jakýchkoli jiných inhalačních aerosolových produktů.

Inhalátor HFA proair má připojený čítač dávky. Pacienti by se nikdy neměli pokoušet změnit čísla pro dávka čítače nebo manipulovat s mechanismem PIN uvnitř ovladače. Zlikvidujte inhalátor HFA proair, když se čítač zobrazí 0 nebo po datu vypršení platnosti na produktu, podle toho, co nastane na prvním místě. Označené množství léků v každém ovládání nelze zajistit poté, co pult zobrazí 0, i když kanystr není zcela prázdný a bude i nadále fungovat. Nikdy neponořte kanystr do vody, abyste určili, jak je kanystr plný (float test).

Aerosol Proair HFA aerosol neobsahuje chlorofluorokarbony (CFC) jako hnací látka.

MKTD BY: Teva Respiratory LLC Frazer PA 19355. MFD: IVAX Pharmaceuticals Irsko Waterford Ireland.

Vedlejší účinky for Proair HFA

Použití proair HFA může být spojeno s následujícím:

Zkušenosti z klinických studií

Celkem 1090 subjektů bylo ošetřeno inhalačním aerosolem proair HFA nebo stejnou formulací albuterolu jako v inhalačním aerosolu HFA v proair během celosvětového programu klinického vývoje.

Protože klinické studie se provádějí za široce proměnlivých podmínek, nežádoucí rychlosti nežádoucí reakce pozorované v klinických studiích léčiva nelze přímo porovnat s mírami v klinických studiích s jiným lékem a nemusí odrážet míru pozorované v praxi.

Dospělí a adolescenti ve věku 12 let a starší

The adverse reaction information presented in the table below concerning PROAIR HFA Inhalation Aerosol is derived from a 6-week blinded study which compared PROAIR HFA Inhalation Aerosol (180 mcg four times daily) with a double-blinded matched placebo HFA-Inhalation Aerosol and an evaluator-blinded marketed active comparator HFA-134a albuterol inhaler in 172 asthmatic patients 12 to 76 years of věk. Tabulka uvádí výskyt všech nežádoucích účinků (ať už uvažovaných vyšetřovateli souvisejícím s léčivem nebo nesouvisejícím s lékem) z této studie, která se vyskytla rychlostí 3% nebo vyšší ve skupině pro léčbu aerosolu HFA a častěji ve skupině s aerosolem HFA než ve skupině placebo. Celkově byly incidence a povaha nežádoucích účinků hlášených pro inhalační aerosol Proair HFA a inhalátor albuterolu HFA-134A pro nakládání s aktivním komparátorem.

Nepříznivé výskyty zkušeností (% pacientů) v šestitýdenní klinické studii*

Systém těla/ Nežádoucí událost (jako preferovaný termín) Proair HFA inhalační aerosol
(N = 58)
Prodávaný aktivní komparátor HFA-134A albuterol inhaler
(N = 56)
Odpovídající placebo HFA-134A inhalační aerosol
(N = 58)
Tělo jako celek Bolest hlavy 7 5 2
Kardiovaskulární Tachykardie 3 2 0
Muskuloskeletální Bolest 3 0 0
Nervový systém Závrať 3 0 0
Respirační systém Zánět hltanu 14 7 9
Rhinitida 5 4 2
* Tato tabulka zahrnuje všechny nežádoucí účinky (ať už se uvažováno o léčivech souvisejících s lékem nebo nesouvisejícím s lékem), ke kterému došlo při výskytu nejméně 3,0% ve skupině s inhalační aerosol HFA a častěji ve skupině s inhalační aerosolem HFA.

Nežádoucí účinky uváděné méně než 3% pacientů, kteří dostávali proair HFA inhalační aerosol, ale větší podíl proair HFA inhalační aerosol pacientů než pacienti s odpovídajícím placebem, kteří mají potenciál souviset s inhalační inhalací HFA pro aerosol, zahrnovala bolest uší a aerosol a aerosol inhalační aerosol inhalační a aerosol inhalační aerosol inhalační a aerosol inhalační aerosol inhalační a aerosol inhalační inhalační inhalační inhalační inhalační aerosol.

Nejčastěji se vyskytující nežádoucí účinky v malých kumulativních studiích dávky byly nervozity a bolesti hlavy.

Pediatričtí pacienti ve věku 4 až 11 let

Nežádoucí účinky hlášené ve třídenní pediatrické klinické studii porovnávající stejnou formulaci albuterolu jako v inhalačním aerosolu HFA (180 mcg albuterolu denně denně) s odpovídajícím placebem HFA inhalační aerosol se vyskytovaly při nízké míře incidence (ne větší než 2% v aktivní léčebné skupině) a nebyly podobné těm, které byly u dospělých a adolescelních adosol vyskytovaly.

Zážitek z postmarketingu

Během postgrapovalu HFA byly identifikovány následující nežádoucí účinky. Protože tyto reakce jsou hlášeny dobrovolně z populace nejisté velikosti, není vždy možné spolehlivě odhadnout jejich frekvenci nebo vytvořit kauzální vztah k expozici léčiva. Zprávy zahrnovaly vzácné případy zhoršené bronchospasm nedostatek exacerbace astmatu účinnosti (v jednom případě fatální) svalové křeče a různé vedlejší účinky orofaryngeální, jako je podráždění krku změněné chuťové glossitidy ulcerace jazyka a roubívání.

Při používání inhalovaného albuterolu: Urticaria angioedema vyrážka bronchospasm chrapot a arytmie (včetně síňové fibrilace supraventrikulárních extrasystolů arytmie). Kromě toho albuterol jako jiná sympatomimetická činidla mohou způsobit nežádoucí účinky, jako je: angina hypertenze nebo hypotenze palpitace centrálního nervového systému Stimulace Nespalostí hlavy nervozity třes svalové křeče sušení nebo podráždění orofarynx hypokalémie hyperglykémie a metabolická acidóza.

Lékové interakce for Proair HFA

Jiné krátkodobě působící sympatomimetické aerosolové bronchodilatátory by neměly být používány souběžně s inhalačním aerosolem HFA proair HFA. Pokud mají být podána další adrenergní léčiva jakoukoli cestou, měly by být použity s opatrností, aby se zabránilo škodlivým kardiovaskulárním účinkům.

Beta-blokátory

Beta-adrenergní receptorová činidla nejen blokují plicní účinek beta-agonistů, jako je proair HFA inhalační aerosol, ale u astmatických pacientů může produkovat závažný bronchospasmus. Pacienti s astmatem by proto neměli být obvykle léčeni beta-blokátory. Za určitých okolností však např. Jako profylaxe po infarktu myokardu nemusí existovat žádné přijatelné alternativy k použití beta-adrenergních látek u pacientů s astmatem. V tomto nastavení zvažte kardioselektivní beta-blokátory, i když by měly být podávány s opatrností.

Diuretika

Změny a/nebo hypokalémie EKG, které mohou vyplynout z podávání diuretik šetřících nepotasia (jako je smyčka nebo diuretika thiazidu), mohou být akutně zhoršeny beta-agonisty, zejména pokud je doporučená dávka beta-agonisty překročena. Ačkoli klinický význam těchto účinků není známý opatrně, je doporučena při souhrnném podávání beta-agonistů s diuretikou šetřící nepotasium. Zvažte monitorování hladiny draslíku.

Digoxin

Průměrné pokles o 16% a 22% v hladinách digoxinu v séru byly prokázány po jedné dávce intravenózní a perorální podávání albuterolu na normální dobrovolníky, kteří dostávali digoxin po dobu 10 dnů. Klinický význam těchto zjištění u pacientů s obstrukční onemocnění dýchacích cest, kteří dostávají albuterol a digoxin na chronickém základě, je nejasná. Přesto by však bylo rozumné pečlivě vyhodnotit hladiny séra digoxinu u pacientů, kteří v současné době dostávají inhalační aerosol HFA aerosolu HFA pro aerosolu HFA.

Inhibitory monoamin oxidázy nebo tricyklická antidepresiva

Proair HFA inhalační aerosol should be administered with extreme caution to patients being treated with Inhibitory monoamin oxidázy or Tricyklická antidepresiva or within 2 weeks of discontinuation of such agents because the action of albuterol on the cardiovascular system may be potentiated. Consider alternative therapy in patients taking MAO inhibitors or Tricyklická antidepresiva.

Varování pro Proair HFA

Zahrnuto jako součást OPATŘENÍ sekce.

Opatření pro Proair HFA

Paradoxní bronchospasmus

Proair HFA inhalační aerosol can produce paradoxical bronchospasm that may be life threatening. If paradoxical bronchospasm occurs Proair HFA inhalační aerosol should be discontinued immediately a alternative therapy instituted. It should be recognized that paradoxical bronchospasm when associated with inhaled formulations frequently occurs with the first use of a new canister.

Zhoršení astmatu

Astma se může akutně zhoršovat po dobu hodin nebo chronicky během několika dnů nebo déle. Pokud pacient potřebuje více dávek inhalačního aerosolu HFA aerosolu HFA než obvykle, může to být markerem destabilizace astmatu a vyžaduje přehodnocení pacienta a léčebné režimy, které dává zvláštní zvážení možné potřeby protizánětlivé léčby, např. kortikosteroidy.

Použití protizánětlivých látek

Použití samotných bronchodilatátorů beta-adrenergních agonistů nemusí být u mnoha pacientů dostatečné pro kontrolu astmatu. Včasné zvážení by mělo být věnováno přidávání protizánětlivých látek, např. kortikosteroidy na terapeutický režim.

Kardiovaskulární Effects

Proair HFA inhalační aerosol like other beta-adrenergic agonists can produce clinically significant cardiovascular effects in some patients as measured by pulse rate blood pressure a/or symptoms. Although such effects are uncommon after administration of Proair HFA inhalační aerosol at recommended doses if they occur the drug may need to be discontinued. In addition beta-agonists have been reported to produce ECG changes such as flattening of the T wave prolongation of the QTc interval a ST segment depression. The clinical significance of these findings is unknown. Therefore Proair HFA inhalační aerosol like all sympathomimetic amines should be used with caution in patients with cardiovascular disorders especially coronary insufficiency cardiac arrhythmias a hypertension.

Nepřekračujte doporučenou dávku

Úmrtí byly hlášeny ve spojení s nadměrným užíváním inhalačních sympatomimetických léků u pacientů s astmatem. Přesná příčina smrti není známa, ale podezření na srdeční zástavu po neočekávaném rozvoji závažné akutní astmatické krize a následné hypoxie.

Okamžité reakce přecitlivělosti

Okamžité hypersenzitivní reakce mohou nastat po podání albuterol sulfátu, jak prokazuje vzácné případy urticaria angioedéma vyrážka bronchospasm anafylaxe a orofaryngeální edém. Potenciál přecitlivělosti je třeba vzít v úvahu při klinickém hodnocení pacientů, kteří zažívají okamžité reakce přecitlivělosti při přijímání inhalačního aerosolu HFA.

Koexistující podmínky

Proair HFA inhalační aerosol like all sympathomimetic amines should be used with caution in patients with cardiovascular disorders especially coronary insufficiency cardiac arrhythmias a hypertension; in patients with convulsive disorders hyperthyroidism or diabetes mellitus; a in patients who are unusually responsive to sympathomimetic amines. Clinically significant changes in systolic a diastolic blood pressure have been seen in individual patients a could be expected to occur in some patients after use of any beta-adrenergic bronchodilator. Large doses of intravenous albuterol have been reported to aggravate preexisting diabetes mellitus a ketoacidosis.

Hypokalémie

Stejně jako u jiných beta-agonistů Proair HFA inhalace aerosol může produkovat významnou hypokalémii u některých pacientů pravděpodobně prostřednictvím intracelulárního posunu, což má potenciál produkovat nežádoucí kardiovaskulární účinky. Pokles je obvykle přechodný, nevyžaduje doplnění.

Informace o poradenství pro pacienta

Vidět FDA schválen Označení pacientů

Pacienti by měli mít následující informace:

Frekvence použití

Aerosol inhalation aerosolu HFA HFA by měl trvat 4 až 6 hodin. Nepoužívejte inhalační aerosol proair HFA častěji, než se doporučuje. Poskytněte pacientům, aby nezvyšovali dávku nebo frekvenci dávek inhalačního aerosolu proair HFA bez konzultace s lékařem. Pokud pacienti zjistí, že léčba inhalační inhalační aerosol proair HFA se stane méně účinnou pro symptomatické příznaky reliéfy se zhoršují a/nebo musí produkt používat častěji než obvykle, měli by okamžitě vyhledat lékařskou pomoc.

Priming And Čištění

Priming

Priming is essential to ensure appropriate albuterol content in each actuation. Instruct patients to prime the inhaler before using for the first time a in cases where the inhaler has not been used for more than 2 weeks by releasing three sprays into the air away from the face.

Co Xanax dělá tělu

Čištění

Aby se zajistilo správné dávkování a zabránilo zablokování otvoru pohonu a uplatnil pacienty, aby umyli červený plastový pohon, a nejméně jednou týdně důkladně osuchý. Poskytněte pacientům, že pokud mají více než jeden proair HFA inhalátor, měli by každý z nich umýt v samostatných časech, aby se zabránilo připojení nesprávného nádoby k nesprávnému plastovému ovladači. Tímto způsobem si mohou být jisti, že budou vždy znát správný počet zbývajících dávek. Pacienti by měli být instruováni, aby nikdy nepřipojili medicínu z jakéhokoli jiného inhalátoru k pohonu HFA a nikdy nepřipojili proair HFA kanystr k ovladači jakéhokoli jiného inhalátoru. Pacienti by neměli odstranit kanystr z ovladače, s výjimkou čištění, protože opětovné přihlášení může uvolnit dávku do vzduchu a počítadlo dávky se odpočítá pokaždé, když se uvolní sprej. Podrobné pokyny pro čištění jsou zahrnuty do ilustrovaných informací pro leták pacienta.

Počítadlo dávky

Pacienti by měli být informováni o tom, že Proair HFA má k pohonu připojený čítač dávky. Když pacient obdrží inhalátor, v okně pozorování se objeví černá tečka, dokud nebude aktivována třikrát, kdy se zobrazí číslo 200. Počítadlo dávky se odpočít bude pokaždé, když se uvolní sprej. Okno dávkového postřelu zobrazuje počet sprejů ponechaných v inhalátoru v jednotkách dvou (např. 200 198 196 atd.). Když čítač zobrazí 20, barva čísel se změní na červenou, aby pacientovi připomněla, aby kontaktoval svého lékárníka o doplnění léku nebo poradil se svým lékařem o doplnění předpisu. Když čítač dávky dosáhne 0, pozadí se změní na pevnou červenou. Pacienti by měli být informováni, aby zlikvidovali inhalátor HFA proair, když čítač dávky zobrazí 0 nebo po datu exspirace na produkt, který přichází na prvním místě.

Paradoxní bronchospasmus

Informujte pacienty, že proair HFA inhalační aerosol může produkovat paradoxní bronchospasmus. Poskytněte pacientům, aby přerušili inhalační aerosol HFA, pokud dojde k paradoxnímu bronchospasmu.

Současné užívání drog

Zatímco pacienti užívají proair HFA inhalační aerosol Ostatní inhalační léky a astmatické léky by měly být užívány pouze podle pokynů lékaře.

Běžné nežádoucí účinky

Mezi běžné nepříznivé účinky léčby inhalovaným albuterolem patří Palpitations Rychlá srdeční třes nebo nervozita.

Těhotenství

Pacienti, kteří jsou těhotní nebo ošetřovatelství, by se měli obrátit na svého lékaře o používání inhalačního aerosolu proair HFA.

Existuje registr expozice těhotenství, který monitoruje výsledky těhotenství u žen vystavených lékům astmatu během těhotenství [viz viz Použití v konkrétních populacích ].

Obecné informace o použití

Efektivní a bezpečné používání inhalačního aerosolu proair HFA zahrnuje pochopení způsobu, jakým by měl být podáván.

Před každým sprejem protřepejte dobře.

Použijte inhalační aerosol proair HFA pouze s pohonem dodávaným s produktem. Zlikvidujte inhalátor HFA proair, když se čítač dávky zobrazí 0 nebo po datu vypršení platnosti na produktu, podle toho, co nastane na prvním místě. Nikdy neponořte kanystr do vody, abyste určili, jak je kanystr plný (float test).

Obecně je technika pro podávání inhalačního aerosolu HFA pro děti podobné technice pro dospělé. Děti by měly používat inhalační aerosol proair HFA pod dohledem dospělých podle pokynů lékaře pacienta.

FDA schválen Označení pacientů

Vidět tear-off illustrated Informace pro pacienta leták.

Neklinická toxikologie

Zhodnocení mutageneze karcinogeneze plodnosti

Ve dvouleté studii u potkanů ​​Sprague-Dawley způsobil albuterol sulfát albuterol sulfátu nárůst výskytu benigních leiomyomů mezovarium v ​​a nad stravovací dávky 2 mg/kg (přibližně 15krát a 6krát vyšší než maximální doporučená lidská inhalační dávka (MRHDID) pro dospělé a děti). V jiné studii byl tento účinek blokován souběžnou podáváním propranololu a neselektivního beta-adrenergního antagonisty. V 18měsíční studii u CD-1 myší albuterol sulfátu neprokázal žádný důkaz tumorigenicity při stravovacích dávkách až 500 mg/kg (přibližně 1900krát a 740násobek MRHDID pro dospělé a děti na základě Mg/m²). Ve 22měsíční studii u zlatých křečků albuterol sulfát neprokázal žádný důkaz tumorigenicity při stravovacích dávkách až 50 mg/kg (přibližně 250krát a 100krát větší než MRHDID pro dospělé a děti na základě Mg/m²).

Abuterol sulfát nebyl v testu Ames nebo mutační test v kvasinkách mutagenní. Abuterol sulfát nebyl klastogenní v testu lidského periferního lymfocytů nebo v testu myší mikronukleus kmenů AH1.

Reprodukční studie u potkanů ​​neprokázaly žádný důkaz zhoršené plodnosti při perorálních dávkách až do 50 mg/kg (přibližně 380krát větší než MRHDID pro dospělé na základě Mg/m²).

Použití v konkrétních populacích

Těhotenství

Těhotenství Exposure Registry

Existuje registr expozice těhotenství, který monitoruje výsledky těhotenství u žen vystavených lékům astmatu během těhotenství. Pro více informací kontaktujte matky na baby těhotenství studie prováděné organizací teratologických informačních specialistů na čísle 1-877-311-8972 nebo navštivte https://mothertobaby.org/pregnancystudies/.

Shrnutí rizika

Během těhotenství neexistují žádné randomizované klinické studie používání albuterolu. Dostupné údaje z publikovaných epidemiologických studií a zprávy o postmarketingu o výsledcích těhotenství po inhalačním používání albuterolu neustále neprokazují riziko velkých vrozených vad nebo potratu. Existují klinické úvahy s používáním albuterolu u těhotných žen [viz Klinické úvahy ]. In animal reproduction studies when ALBUTEROL FULFÁN was administered subcutaneously to pregnant mice there was evidence of cleft palate at less than a up to 9 times the maximum recommended human daily inhalation dose (MRHDID) [see Data ].

Odhadované riziko pozadí hlavních vrozených vad a potratu pro uvedené populace (populace) není známo. V americké obecné populaci je odhadované riziko velkých vrozených vad a potratu u klinicky uznávaných těhotenství 2 až 4% a 15 až 20%.

Klinické úvahy

Mateřské a/nebo embryo/fetální riziko spojené s nemocí

U žen se špatně nebo mírně kontrolovaným astmatem existuje zvýšené riziko preeklampsie u matky a předčasné porodní hmotnosti a malé pro gestační věk u novorozence. Těhotné ženy by měly být pečlivě sledovány a léky upraveny podle potřeby, aby se udržela optimální kontrola.

Práce nebo doručení

Vzhledem k potenciálu interference beta-agonistů s kontraktilitou děložního s kontraktilitou inhalačního aerosolu HFA pro reliéf bronchospasmu během porodu by měl být omezen na pacienty, u nichž přínosy jasně převažují o riziku. Proair HFA inhalation aerosol nebyl schválen pro léčbu předčasné práce. Během nebo po léčbě předčasné práce s beta2-agonisty včetně albuterolu byly hlášeny vážné nežádoucí účinky včetně plicního edému.

Data

Údaje o zvířatech

Ve studii reprodukce myši subkutánně podávaný albuterol sulfát produkoval tvorbu rozštěpu patra v 5 z 111 (NULL,5%) plodů v expozici devět desetin mrhdid pro dospělé (na mg/m² na základě mateřské dávky 0,25 mg/kg) a 10 z 108 (NULL,3%) (při přibližně 9,3%) (při přibližně 9,3%) (přibližně 9,3%) (přibližně 9,3%) (přibližně 9,3%) (přibližně 9,3%). Mg/m² na základě mateřské dávky 2,5 mg/kg). Podobné účinky nebyly pozorovány přibližně při přibližně jednodeventh MRHDID pro dospělé (na základě mg/m² v dávce matek 0,025 mg/kg). Rozštěp patra se také vyskytl u 22 ze 72 (NULL,5%) plodů od žen léčených subkutánně isoproterenolem (pozitivní kontrola).

V reprodukční studii králíka orálně podávaná cranioschisis indukovala albuterol sulfát u 7 z 19 plodů (37%) přibližně 750krát větší než MRHDID (na základě mg/m² v mateřské dávce 50 mg/kg).

V reprodukční studii potkana formulace albuterolu/HFA-134A podávaná inhalací nevyvolala žádné teratogenní účinky při expozicích přibližně 80krát větší než MRHDID (na základě mg/m² v mateřské dávce 10,5 mg/kg).

Studie, u které byly těhotné potkany dávkovány radioaktivně značeným síranem albuterolu, prokázala, že materiál související s léčivem je přenesen z mateřského oběhu na plod.

Laktace

Shrnutí rizika

Neexistují žádné dostupné údaje o přítomnosti albuterolu v lidském mléce Účinky na kojené dítě nebo účinky na produkci mléka. Plazmatické hladiny albuterolu po inhalačních terapeutických dávkách jsou však u lidí nízké a pokud jsou přítomny v albuterolu v mateřském mléce, má nízkou biologickou dostupnost [viz [viz Klinická farmakologie ].

Vývojové a zdravotní přínosy kojení by měly být zváženy spolu s klinickou potřebou matek albuterolu a jakýmikoli potenciálními nepříznivými účinky na kojené dítě z albuterolu nebo ze základního stavu matek.

Dětské použití

The safety and effectiveness of PROAIR HFA Inhalation Aerosol for the treatment or prevention of bronchospasm in children 12 years of age and older with reversible obstructive airway disease is based on one 6-week clinical trial in 116 patients 12 years of age and older with asthma comparing doses of 180 mcg four times daily with placebo and one single-dose crossover study comparing doses of 90 180 and 270 mcg with placebo in 58 patients [see Klinické studie ]. The safety a effectiveness of Proair HFA inhalační aerosol for treatment of exercise-induced bronchospasm in children 12 years of age a older is based on one single-dose crossover study in 24 adults a adolescents with exercise-induced bronchospasm comparing doses of 180 mcg with placebo [see Klinické studie ].

Bezpečnost inhalačního aerosolu HFA Aerosolu HFA u dětí ve věku 4 až 11 let je založena na jedné 3týdenní klinické studii u 50 pacientů 4 až 11 let s astmatem za použití stejné formulace albuterolu jako u inhalačního aerosolu HFA porovnávajících dávky 180 mcg čtyřikrát denně s placebem. The effectiveness of PROAIR HFA Inhalation Aerosol in children 4 to 11 years of age is extrapolated from clinical trials in patients 12 years of age and older with asthma and exercise-induced bronchospasm based on data from a single-dose study comparing the bronchodilatory effect of PROAIR HFA 90 mcg and 180 mcg with placebo in 55 patients with asthma and a 3-week clinical trial using the same formulation of albuterol Stejně jako v inhalační aerosolu HFA HFA u 95 astmatických dětí ve věku 4 až 11 let ve srovnání s dávkou 180 mcg albuterolu čtyřikrát denně s placebem [viz viz Klinické studie ].

Bezpečnost a účinnost inhalačního aerosolu HFA u pediatrických pacientů mladších 4 let nebyla stanovena.

Geriatrické použití

Klinické studie inhalačního aerosolu proair HFA nezahrnovaly dostatečný počet pacientů ve věku 65 let a více, aby se určilo, zda reagují odlišně od mladších pacientů. Jiné hlášené klinické zkušenosti nezjistily rozdíly v odpovědích mezi staršími a mladšími pacienty. Obecně by měl být výběr dávky pro staršího pacienta opatrný, obvykle začínající na dolním konci rozsahu dávkování, což odráží větší frekvenci snížené renální nebo srdeční funkce jater a souběžné onemocnění nebo jiné léčebné terapie [viz viz Varování a OPATŘENÍ ].

Je známo, že všechny agonisté Beta2-adrenergní agonisté včetně albuterolu jsou ledvinami podstatně vylučováni a riziko toxických reakcí může být u pacientů se zhoršenou funkcí ledvin větší. Vzhledem k tomu, že starší pacienti s větší pravděpodobností mají sníženou funkci renálních funkcí, by měla být prováděna při výběru dávky a může být užitečné sledovat funkci ledvin.

Informace o předávkování pro PROAIR HFA

Očekávané příznaky s předávkováním jsou příznaky nadměrné betaadrenergní stimulace a/nebo výskyt nebo přehnané příznaky uvedené za nepříznivých účinků, např. záchvaty angina hypertenze nebo hypotenze tachykardie s rychlostí až 200 rytmů za minutu arytmie nervozita bolesti hlavy Tremor sucho v ústech nevolnost závratě únava malátnost a nespavost.

Hypokalémie may also occur. As with all sympathomimetic medications cardiac arrest a even death may be associated with abuse of Proair HFA inhalační aerosol.

Léčba spočívá v přerušení inhalačního aerosolu HFA proair HFA spolu s vhodnou symptomatickou terapií. S ohledem na to, že takové léky mohou produkovat bronchospasmus, lze považovat za rozumné použití kardioselektivního blokátoru beta-receptoru. Neexistuje nedostatečný důkaz, který by určil, zda je dialýza prospěšná pro předávkování inhalačního aerosolu HFA proair HFA.

Perorální mediánová letální dávka síranu albuterolu u myší je větší než 2000 mg/kg (přibližně 6800krát větší doporučená denní inhalační dávka pro dospělé na základě mg/m² a přibližně 3200krát vyšší než maximální doporučená denní dávka pro děti na základě Mg/m²). U zralých potkanů ​​je subkutánní střední letální dávka síranu albuterolu přibližně 450 mg/kg (přibližně 3000krát vyšší než maximální doporučená denní inhalační dávka pro dospělé na základě mg/m² a přibližně 1400krát vyšší než maximální doporučená dávka inhalace pro děti na základě Mg/m²). U mladých potkanů ​​je subkutánní střední letální dávka přibližně 2000 mg/kg (přibližně 14000krát vyšší než maximální doporučená denní inhalační dávka pro dospělé na základě mg/m² a přibližně 6400krát větší doporučenou denní inhalační dávku pro děti Mg/m²). Inhalační mediánová letální dávka nebyla stanovena u zvířat.

Kontraindikace pro Proair HFA

Proair HFA inhalační aerosol is contraindicated in patients with a history of hypersensitivity to albuterol a any other Proair HFA inhalační aerosol components. Rare cases of hypersensitivity reactions including urticaria angioedema a vyrážka have been reported after the use of ALBUTEROL FULFÁN [see Varování a OPATŘENÍ ].

Klinická farmakologie for Proair HFA

Mechanismus působení

Albuterol sulfát je beta 2-adrenergní agonista. Farmakologické účinky síranu albuterolu lze přičíst aktivaci beta 2-adrenergních receptorů na hladkém svalstvu dýchacích cest. Aktivace beta2-adrenergních receptorů vede k aktivaci adenylcylázy a ke zvýšení intracelulární koncentrace cyklického-3 '5'-adenosin monofosfát (cyklický AMP). Toto zvýšení cyklického AMP je spojeno s aktivací proteinové kinázy A, která zase inhibuje fosforylaci myosinu a snižuje intracelulární koncentrace iontového vápníku, což má za následek relaxaci svalů. Albuterol uvolňuje hladký sval všech dýchacích cest od průdušnice po terminální bronchioles. Albuterol působí jako funkční antagonista, aby uvolnil dýchací cesty bez ohledu na to, že je zapojený spasmogen, čímž chrání před všemi bronchokonstrikčními výzvami. Zvýšené koncentrace cyklického AMP jsou také spojeny s inhibicí uvolňování mediátorů z žírných buněk v dýchacích cestách. I když se uznává, že beta2adrenergní receptory jsou převládajícími receptory na bronchiálních datech hladkého svalstva naznačují, že v lidském srdci existují beta-receptory 10% až 50%, z nichž jsou srdeční beta2-adrenergní receptory. Přesná funkce těchto receptorů nebyla stanovena [viz Varování a OPATŘENÍ ].

Ve většině kontrolovaných klinických studií bylo prokázáno, že albuterol má větší účinek na respirační trakt ve formě relaxace bronchiálního hladkého svalstva než isoproterenol ve srovnatelných dávkách a zároveň způsobuje méně kardiovaskulárních účinků. Inhalovaný albuterol jako jiné beta-adrenergní agonistické léky však u některých pacientů může způsobit významný kardiovaskulární účinek, měřeno příznaky krevního tlaku v pulsu a/nebo elektrokardiografické změny [viz viz Varování a OPATŘENÍ ].

Farmakokinetika

Po inhalaci doporučených dávek jsou systémové hladiny albuterolu nízké. Ve studii crossoveru provedené ve zdravých samčích a ženách se dobrovolníky vysoko kumulativní dávky proair HFA inhalační aerosol (1080 mcg albuterolové základny podávané po dobu jedné hodiny) přinesly průměrné koncentraci v oblasti plazmy (CMAX) a přibližně 4100 pg/ml a 28426 Pg/ml*Hr ve srovnání s přibližně 3900 pg/ML a přibližně 3900 pg/ML a přibližně 3900 pg/ML a přibližně 3900 pg/ml) a přibližně 3900 pg/ml a 28426 pg/ml a 28426 pg/ml a 28426 pg/ml a 28426 pg/ml. 28395 pg/ml*HR po stejné dávce aktivního komparátoru inhalátoru inhalátoru albuterolu HFA-134A. Terminální plazmatický poločas albuterolu dodávaný aerosolem proair HFA byl přibližně 6 hodin. Porovnání farmakokinetických parametrů neprokázalo žádné rozdíly mezi produkty.

Farmakokinetický profil inhalačního aerosolu proair HFA byl hodnocen ve dvoucestné křížové studii u 11 zdravých dětských dobrovolníků 4 až 11 let. Jedinou dávkovou podávání inhalačního aerosolu HFA proair HFA (180 mcg albuterol) přinesla průměrnou (SE) CMAX a AUC0-∞ 1100 (NULL,18) Pg/ml a 5120 (NULL,15) PG/ml*HR. Průměrná (SE) terminálová plazmatická plazmatická poločas albuterolu dodávaného proair HFA inhalační aerosol byl 166 (NULL,8) minuty.

nejlevnější způsob rezervace hotelu
Metabolismus a eliminace

Informace dostupné v publikované literatuře naznačují, že primárním enzymem odpovědným za metabolismus albuterolu u lidí je Sultia3 (sulfotransferáza). Když byl racemický albuterol podáván intravenózně nebo inhalací po podání ústního uhlí, došlo k 3 až čtyřnásobnému rozdílu v oblasti pod křivkami koncentrace mezi koncentračními křivkami mezi (R)-a (S) albuterol enantiomery s (S)-albuterolskými koncentracemi, která byla konzistentně vyšší. Avšak bez předběžného ošetření uhlí po perorálním nebo inhalačním podávání byly rozdíly 8 až 24krát, což naznačuje, že (R)-albuterol je přednostně metabolizován v gastrointestinálním traktu pravděpodobně pomocí SULTIA3.

Primární trasa eliminace albuterolu je prostřednictvím vylučování ledvin (80% až 100%) buď rodičovské sloučeniny nebo primárního metabolitu. Méně než 20% léčiva je detekováno ve stolici. Po intravenózním podávání racemického albuterolu mezi 25% a 46% (R)-albuterolové frakce dávky byl vyloučen jako nezměněný (R)-albuterol v moči.

Geriatrický dětský pokles jater/ledvin

U novorozenců nebo starších subjektů nebyly provedeny žádné farmakokinetické studie pro inhalační aerosol proair HFA.

Účinek poškození jater na farmakokinetiku inhalačního aerosolu proair HFA nebyl vyhodnocen.

Účinek poškození ledvin na farmakokinetiku albuterolu byl hodnocen u 5 subjektů s kreatininovou clearance 7 až 53 ml/min a výsledky byly porovnány s výsledky ze zdravých dobrovolníků. Onemocnění ledvin nemělo žádný účinek na poločas, ale došlo k 67% poklesu clearance albuterolu. Upozornění by mělo být použito při podávání vysokých dávek inhalačního aerosolu HFA pro pacienty s poškozením ledvin [viz [viz Použití v konkrétních populacích ].

Toxikologie zvířat a/nebo farmakologie

Předklinické

Intravenózní studie u potkanů ​​s síranem albuterolu prokázaly, že albuterol prochází hematoencefalickou bariérou a dosáhne koncentrací mozku ve výši přibližně 5% plazmatických koncentrací. Ve strukturách mimo bariéru krve-křemene (pineal a hypofýza) se zjistilo, že koncentrace albuterolu jsou 100krát vyšší než v celém mozku.

Studie na laboratorních zvířatech (minipigs hlodavců a psů) prokázaly výskyt srdečních arytmií a náhlé smrti (s histologickým důkazem nekrózy myokardu), když byli souběžně podáni p-agonisté a methylxanthiny. Klinický význam těchto zjištění není znám.

Pohonná HFA -134A postrádá farmakologickou aktivitu, s výjimkou velmi vysokých dávek u zvířat (380 -1300krát maximální lidská expozice na základě srovnání hodnot AUC) primárně produkující dušnost ataxie třes. Jedná se o účinky produkované strukturálně příbuznými chlorofluorokarbony (CFC), které byly rozsáhle používány v inhalátorech měřených dávek.

U zvířat a lidí hnací látky HFA -134A bylo zjištěno, že je rychle absorbován a rychle eliminován eliminačním poločasem 3 -27 minut u zvířat a 5 -7 minut u lidí. Čas do maximální plazmatické koncentrace (TMAX) a průměrná doba pobytu jsou extrémně krátké, což vede k přechodnému vzhledu HFA-134A v krvi bez důkazu akumulace.

Klinické studie

Bronchospasmus Associated With Asthma

Dospělí a dospívající pacienti ve věku 12 let a starší

U 6týdenního randomizovaného dvojitě slepého placebem kontrolovaného zkušebního proairu inhalačního aerosolu (58 pacientů) byl porovnán s odpovídajícím placebo HFA inhalační aerosolem (58 pacientů) u astmatických pacientů 12 až 76 let ve věku 180 mcg albuterolu čtyřikrát denně. Zahrnuta byla zařazena hodnotitelka slepá na trh Active Comparator HFA-134A albuterol (56 pacientů).

Sériové Fev 1 Měření uvedená níže jako procenta změny oproti základní linii v den 1 a v den 43 prokázala, že dvě inhalace inhalačního aerosolu HFA proair způsobily výrazně větší zlepšení v FEV 1 Přes hodnotu předúpravy než odpovídající placebo a také srovnatelný efekt bronchodilatoru s inhalátorem aktivního komparátoru HFA-134A albuterol inhalátoru.

Fev 1 Jako průměrné procento se změní z předběžného dne v 6týdenním klinickém hodnocení

Fev <sub> 1 </sub>  Jako průměrné procento se změní z předběžného dne v 6týdenním klinickém hodnocení </td>  </tr>  </tbody>  </table></div>  </center>  <p >    <b> Den 43 </b>      <br>  </p>  <center>  <div class="table-responsive"><table class="table">  <tbody>  <tr>  <td>   <img src= (síran albuterol) inhalace aerosolu

Než začnete používat Proair HFA a pokaždé, když dostanete doplnění, přečtěte si tyto informace o pacientech. Mohou existovat nové informace. Tyto informace nezavazují místo rozhovoru se svým lékařem o vašem zdravotním stavu nebo léčbě.

Co je to Proair HFA?

Dělá vám Flomax více čůrat

Proair HFA je lék na předpis používaný u lidí ve věku 4 let a starší:

  • léčit nebo zabránit bronchospasmu u lidí, kteří mají reverzibilní obstrukční onemocnění dýchacích cest
  • Zabraňte bronchospasmu vyvolaným cvičením

Není známo, zda je HFA Proair bezpečný a účinný u dětí mladších 4 let.

Kdo by neměl používat Proair HFA?

Nepoužívejte proair HFA, pokud jste jsou alergické na albuterol sulfát nebo některá ze složek v proair HFA. Úplný seznam složek v Proair HFA naleznete na konci tohoto letáku.

Co bych měl říct svému lékaři, než použiji Proair HFA?

Než použijete Proair HFA, řekněte svému lékaři, pokud:

  • mít problémy se srdcem
  • mít vysoký krevní tlak (hypertenze)
  • mít křeče (záchvaty)
  • mít problémy se štítnou žlázou
  • mít cukrovku
  • mít v krvi nízké hladiny draslíku
  • jsou těhotné nebo plánují otěhotnět. Není známo, zda Proair HFA poškodí vaše nenarozené dítě. Promluvte si se svým lékařem, pokud jste těhotná nebo plánujete otěhotnět.
  • jsou kojení nebo plánují kojení. Není známo, zda Proair HFA prochází do mateřského mléka. Pokud používáte Proair HFA, promluvte si se svým lékařem o nejlepším způsobu krmení svého dítěte.

Řekněte svému lékaři o všech lécích, které užíváte včetně vitamínů a bylinných doplňků léčivých přípravků na předpis a předpisu.

Proair HFA a další léky se mohou navzájem ovlivnit a způsobit vedlejší účinky. Proair HFA může ovlivnit způsob, jakým jiné léky a další léky mohou ovlivnit způsob, jakým Proair HFA funguje.

Zejména řekněte svému lékaři, pokud vezmete:

  • Jiné léky na inhalační léky nebo léky na astma
  • Léčiva beta blokátorů
  • Diuretika
  • digoxin
  • Inhibitory monoamin oxidázy
  • Tricyklická antidepresiva

Pokud si nejste jisti, požádejte svého lékaře nebo lékárníka o seznam těchto léků.

Znát léky, které užíváte. Udržujte jejich seznam, abyste ukázali svého lékaře a lékárníka, když získáte nový lék.

Jak mám použít Proair HFA?

  • Podrobné pokyny viz Pokyny pro použití Na konci této informace o pacientu.
  • Použijte Proair HFA přesně tak, jak vám lékař říká, abyste jej použili.
  • Pokud vaše dítě potřebuje používat Proair HFA, sledujte vaše dítě pečlivě, aby se ujistilo, že vaše dítě správně používá inhalátor. Váš lékař vám ukáže, jak by vaše dítě mělo používat Proair HFA.
  • Každá dávka proair HFA by měla trvat až 4 hodiny až 6 hodin.
  • Ne Zvyšte dávku nebo si vezměte další dávky proair HFA, aniž byste nejprve mluvili se svým lékařem.
  • Okamžitě získejte lékařskou pomoc, pokud Proair HFA již nepomáhá vašim příznakům.
  • Pokud se vaše příznaky zhoršují, získejte lékařskou pomoc, nebo pokud potřebujete používat inhalátor častěji.
  • I když používáte Proair HFA, nepoužívejte jiné inhalační záchranné léky a léky na astma, pokud vám to lékař neřekne.
  • Zavolejte svého lékaře, pokud se vaše příznaky astmatu, jako je sípání a potíže s dýcháním, zhoršují během několika hodin nebo dní. Váš lékař vám bude možná muset poskytnout další lék (například kortikosteroidy) k léčbě vašich příznaků.

Jaké jsou možné vedlejší účinky HFA proair?

Proair HFA může způsobit vážné vedlejší účinky včetně:

  • Zhoršení potíže s dýchajícím kašlem a sípání (paradoxní bronchospasmus). Pokud k tomu dojde, přestaňte používat HFA proair a zavolejte svého lékaře nebo okamžitě získejte nouzovou pomoc. Paradoxní bronchospasmus se pravděpodobně stane s prvním použitím nového medicíny.
  • srdeční problémy, včetně rychlejšího srdeční frekvence a vyššího krevního tlaku
  • možná smrt u lidí s astmatem, kteří používají příliš mnoho proair HFA
  • alergické reakce. Okamžitě zavolejte svého lékaře, pokud máte následující příznaky alergické reakce:
    • svědivá kůže
    • otok pod kůží nebo v krku
    • vyrážka
    • Zhoršení potíže s dýcháním
  • nízké hladiny draslíku v krvi
  • Zhoršení dalších zdravotních problémů u lidí, kteří také používají Proair HFA, včetně zvýšení hladiny cukru v krvi

Mezi nejčastější vedlejší účinky proair HFA patří:

  • Vaše srdce se cítí, jako by to bušilo nebo závodilo (palpitace)
  • bolest na hrudi
  • Rychlá srdeční frekvence
  • Shakakess
  • nervozita
  • bolest hlavy
  • závrať
  • bolest v krku
  • rýma nosu

Řekněte svému lékaři, pokud máte jakýkoli vedlejší účinek, který vás vadí nebo že nezmizí.

Nejedná se o všechny možné vedlejší účinky HFA proair. Pro více informací se zeptejte svého lékaře nebo lékárníka.

Zavolejte svého lékaře, kde najdete lékařskou radu ohledně vedlejších účinků. Můžete nahlásit vedlejší účinky FDA na 1-800-FDA-1088.

Jak mám ukládat proair HFA?

  • Ukládejte HFA proair při teplotě místnosti mezi 59 ° F a 77 ° F (15 ° C a 25 ° C).
  • Vyvarujte se vystavení extrémnímu teplu a chladu.
  • Před použitím protřepejte proair HFA kanystr.
  • Ne propíchněte proair hfA kanystr.
  • Ne Uložte kanystr HFA proair poblíž Heat nebo Flame. Teploty nad 120 ° F mohou způsobit prasknutí nádoby.
  • Ne Házejte proair HFA kanystr do ohně nebo spalovny.
  • Vyvarujte se postřiku proair HFA ve vašich očích.

Udržujte Proair HFA a všechny léky mimo dosah dětí.

Obecné informace o bezpečném a efektivním používání proair HFA

Léky jsou někdy předepisovány pro jiné účely než ty, které jsou uvedeny v průvodci s léky. Nepoužívejte proair HFA pro podmínku, pro kterou nebyl předepsán. Nedávejte proair HFA jiným lidem, i když mají stejné příznaky, jaké máte. Může jim to poškodit.

Tato informace o pacientech shrnuje nejdůležitější informace o Proair HFA. Pokud byste chtěli více informací, promluvte si se svým lékařem. Můžete požádat svého lékárníka nebo lékaře o informace o HFA proair, který je napsán pro zdravotnické pracovníky.

Další informace naleznete na adrese www.proairhfa.com nebo volejte na číslo 1-888-482-9522.

Jaké jsou ingredience v Proair HFA?

Aktivní složka: Abuterol sulfát

Neaktivní ingredience: hnací látka HFA-134A a ethanol.

Pokyny pro použití

Proair® HFA
(Pro 'ar)
(síran albuterol) inhalace aerosolu

Přečtěte si tyto pokyny pro použití, než začnete používat Proair HFA a pokaždé, když získáte doplnění. Mohou existovat nové informace. Tyto informace nezavazují místo rozhovoru se svým lékařem o vašem zdravotním stavu nebo léčbě.

Části vašeho zařízení proair HFA Inhaler:

Existují 2 hlavní části vašeho zařízení proair HFA inhalátoru včetně:

  • Červený plastový pohon, který rozprašuje lék z nádoby. Viz obrázek A.
  • Ochranná čepice prachu, která zakrývá náustek ovladače. Viz obrázek A.

K dispozici je také kovový kanystr, který drží lék. Viz obrázek A.

nejlevnější místa pro dovolenou

K dispozici je také čítač dávky připojený k zadní části ovladače s prohlížecím oknem, které vám ukazuje, kolik medicíny zbýváte. Viz obrázek B.

V okně pozorování uvidíte černou tečku na ovladači, dokud nebude zařízení aktivováno třikrát. Viz obrázek B a napište níže uvedené zařízení HFA proair.

Obrázek A a obrázek B

Parts of HFA - Illustration
  • Ne Použijte proair HFA ovladač s medicínem z jakéhokoli jiného inhalátoru.
  • Ne Použijte proair HFA kanystr s ovladačem z jakéhokoli jiného inhalátoru včetně jiného inhalátoru HFA proair.

Priming Your PROAIR HFA Device:

Vaše zařízení ProAir musí být připraveno před jeho poprvé nebo pokud se vaše zařízení nepoužilo déle než 14 dní v řadě. Ne Preming Your Proair HFA zařízení každý den.

  • Odstraňte zařízení HFA proair z jeho balíčku.
  • Vyjměte ochranný prachový uzávěr z náustku.
  • Dobře protřepejte inhalátor a nastříkejte jej do vzduchu od obličeje. Viz obrázek C.

Obrázek c

Shake the inhaler well and spray it into the air away from your face - Illustration
  • Protřepejte a nastříkejte inhalátor, jako je tento, ještě dvakrát, abyste jej dokončili. Počítadlo dávky na ovladači by mělo poprvé zobrazovat číslo 200 po zahájení ovladače. Viz obrázek D.

Obrázek d

Dose counter - Illustration

Pokaždé, když použijete zařízení proair HFA:

  • Ujistěte se, že se kanystr pevně hodí do plastového ovladače.
  • Podívejte se do náustku a ujistěte se, že neexistují žádné cizí předměty, zejména pokud se čepice nepoužila k pokrytí náustku.

Čtení čítače dávky na vašem pohonu HFA proair

  • Počítadlo dávky se odpočít bude pokaždé, když se uvolní sprej. Okno dávky ukazuje počet sprejů ponechaných v inhalátoru v jednotkách 2 sprejů. Například zbývá 190 sprejů, pokud je šipka přesně naproti číslu 190 nebo 189 sprejů zbývajících, pokud šipka body mezi lety 190 a 188. Viz obrázek D.
  • Když čítač dávky dosáhne 0, bude i nadále zobrazovat 0 a měli byste vyměnit zařízení proair HFA.
  • Počítadlo dávky nelze resetovat a je trvale připojeno k ovladači. Nikdy nezměňte čísla pro čítač dávky ani se dotýkejte kolíku uvnitř ovladače.
  • Ne Vyjměte kanystr z plastového ovladače, s výjimkou čištění. Znovu připojení kanystru k pohonu může náhodně uvolnit dávku proair HFA do vzduchu. Počítadlo dávky se odpočít bude pokaždé, když se uvolní sprej.

Použití zařízení HFA proair:

Krok 1. Dobře protřepejte inhalátor před každým sprejem. Sundejte čepici z náustku ovladače.

Krok 2.. Držte inhalátor s náustkem dolů. Viz obrázek E.

Obrázek e

Hold the inhaler with the mouthpiece down - Illustration

Krok 3. Dýchejte ústy a push as much air from your lungs as you can. Put the mouthpiece in your mouth a close your lips around it. Vidět Obrázek f.

Krok 4. Zatlačte horní část kanystry až dolů, zatímco vy dýcháte hluboce a pomalu ústy. Vidět Obrázek f.

Obrázek f

Push the top of the canister all the way down while you breathe in deeply and slowly through your mouth - Illustration

Krok 5. Hned poté, co vyjde sprej, sundejte prst z nádoby. Poté, co jste nadechli celou cestu, vytáhněte inhalátor z vašich úst a zavřete ústa.

Krok 6. Zadržte dech, jak můžete Až 10 sekund pak normálně dýchejte.

Pokud vám váš lékař řekl, abyste použili více sprejů Počkejte 1 minutu a znovu zatřepejte inhalátor. Opakujte kroky 2 až krok 6.

Krok 7. Vložte čepici zpět na náustek po každém použití inhalátoru. Ujistěte se, že čepice pevně zaskočí na místo.

Čištění Your PROAIR HFA Device:

Je velmi důležité udržovat plastový pohon čistý, takže lék se nebude hromadit a blokovat sprej. Vidět Obrázek G a obrázek H.

Obrázek G a obrázek H

It is very important to keep the plastic actuator clean so the medicine will not build-up and block the spray - Illustration
  • Ne try to clean the metal canister or let it get wet. Pokud není správně vyčištěn, může inhalátor přestat stříkat.
  • Pokud máte více než 1 proair HFA inhalátor promyjte každé zařízení v samostatných časech, abyste zabránili spojování nesprávného nádoby dohromady s nesprávným plastovým pohonem. Tímto způsobem si můžete být jisti, že vždy budete znát správný počet zbývajících dávek Proair HFA.
  • Umyjte pohon alespoň 1krát každý týden následovně:
    • Vyjměte kanystr z ovladače a sundejte čepici z náustku.
    • Držte ovladač pod faucetem a protáhněte přes něj teplou vodu po dobu asi 30 sekund. Viz obrázek I.

Obrázek i

Hold the actuator under the faucet and run warm water through it for about 30 seconds - Illustration
    • Otočte ovladač vzhůru nohama a protáhněte teplou vodu náustkem asi 30 sekund. Viz obrázek J.

Obrázek J.

Turn the actuator upside down and run warm water through the mouthpiece for about 30 seconds - Illustration
  • Otřesete z pohonu co nejvíce vody, kolik jen můžete. Podívejte se do náustku, abyste se ujistili, že jakékoli nahromadění léku bylo zcela odplaveno. Pokud existuje nějaké nahromadění, opakujte pokyny pro mytí.
  • Nechte pohonu vzduchu zcela například přes noc. Viz obrázek K.

Obrázek k

Let the actuator air-dry completely such as overnight - Illustration
  • Když je pohon suchý, vložte kanystr do ovladače a ujistěte se, že se pevně hodí. Dobře protřepejte inhalátor a nastříkejte jej dvakrát do vzduchu od obličeje. Vložte čepici zpět na náustek.

Pokud potřebujete používat inhalátor, než je ovladač zcela suchý:

  • Protřepejte co nejvíce vody z ovladače, kolik jen můžete.
  • Vložte kanystr do ovladače a ujistěte se, že se pevně hodí.
  • Dobře protřepejte inhalátor a spray it twice into the air away from your face.
  • Vezměte si dávku HFA proair podle předepsaného.
  • Postupujte podle výše uvedených pokynů pro čištění.

Výměna zařízení HFA proair

  • Když čítač dávky na ovladači řekne číslo 20 Barva čísel se změní na červenou. Červená čísla vám připomínají, abyste doplnili předpis nebo požádali svého lékaře o další předpis pro Proair HFA. Když čítač dávky dosáhne 0, barva pozadí se změní na pevnou červenou.
  • Vyhoďte inhalátor HFA proair Jakmile čítač dávky řekne 0 nebo po datu vypršení platnosti na balení Proair HFA, podle toho, co nastane na prvním místě. Po 200 sprejích byste neměli používat inhalátor, i když nádoba nemusí být úplně prázdná. Nemůžete si být jisti, že po použití 200 sprejů obdržíte lék.
  • Ne use the inhaler Po datu vypršení platnosti na obalu HFA Proair.

Tyto informace a pokyny pro použití pacienta byly schváleny americkou správou potravin a léčiv.