Informace Na Stránce Nepředstavují Lékařskou Radu. Nic Neprodáváme. Přesnost Překladu Není Zaručena. Zřeknutí Se Odpovědnosti
Selektivní modulátory estrogenového receptoruOsphena
Shrnutí drog
Co je Osphena?
Osphena (Ospemifen) je estrogenní agonista / antagonista předepsaný pro bolestivý styk (dyspareunia), který je příznakem vulvárního a vaginového svalového plýtvání (vaginální atrofie) kvůli menopauza .
Jaké jsou vedlejší účinky Ospheny?
Osphena
- dušnost
- rychlé dýchání
- Čelist na hrudi a bolest na levé paži
- neobvyklé pocení
- zmatek
- náhlé závratě
- mdloby
- Otok bolesti nebo teplo v pěstování nebo tele
- Náhlé těžké bolesti hlavy
- potíže s mluvením
- slabost na jedné straně těla
- Náhlé změny vidění
- vyrážka
- svědění
- otok obličeje nebo krku a
- potíže s dýcháním
Získejte lékařskou pomoc okamžitě, pokud máte výše uvedené příznaky.
Mezi vedlejší účinky použití Ospheny patří:
- HORKÉ záblesky
- vaginální výtok
- svalové křeče
- zvýšené nebo nadměrné pocení a
- vyrážka svědění or hives.
Pokud máte následující vážné vedlejší účinky, vyhledejte lékařskou péči nebo zavolejte na číslo 911:
- Vážné příznaky očí, jako je ztráta náhlého vidění rozmazané vidění vidění Vision Vision Eye Eye Eye Eye Eye Eye Eye Eye nebo vidět halos kolem světel;
- Vážné příznaky srdce, jako je rychlé nepravidelné nebo bušení srdečního rytmu; třepování v hrudi; dušnost; a náhlé závratě Lightheadedness nebo omdlet;
- Těžká zmatek bolesti hlavy zkažená paže řeči nebo slabost nohou Potíže se ztrátou chůze pocitu koordinace Nestabilní velmi tuhé svaly vysoké horečky bohaté pocení nebo třes.
Tento dokument neobsahuje všechny možné vedlejší účinky a mohou dojít k jiným. Další informace o vedlejších účincích najdete u svého lékaře.
Dávkování pro Osfénu
Dávka Osphena je 60 mg tableta odebraná jednou denně s jídlem.
Jaké léky nebo doplňky interagují s Osphenou?
Osféna může interagovat flukonazol ( Diflucan ) rifampin (Rifadin) a estrogeny.
Osféna během těhotenství nebo kojení
Ženy, které jsou těhotné a ženy, které mohou otěhotnět, by neměly používat Osfénu. Osféna může způsobit poškození plodu, když je dána těhotné ženě. Před kojením se poraďte se svým lékařem.
Další informace
Naše Osphena (OSPEMIFEN) vedlejší účinky Drug Center poskytuje při užívání tohoto léku komplexní pohled na dostupné informace o možných vedlejších účincích.
Informace o drogách FDA
- Popis léku
- Indikace
- Vedlejší účinky
- Lékové interakce
- Varování
- Předávkovat
- Klinická farmakologie
- Průvodce léky
VAROVÁNÍ
Rakovina endometria a kardiovaskulární poruchy
Rakovina endometria
Osféna je estrogenový agonista/antagonista s volitelnými účinky tkání. V endometriu má Osféna agonistické účinky estrogenu. U ženy s dělohou, která používá neopakované estrogeny, existuje zvýšené riziko rakoviny endometria. Přidání progestinu k estrogenové terapii snižuje riziko endometriální hyperplázie, která může být prekurzorem rakoviny endometria. Přiměřená diagnostická opatření včetně nasměrovaného a náhodného endometriálního odběru, pokud je uvedeno VAROVÁNÍS AND OPATŘENÍ ].
Kardiovaskulární poruchy
U postmenopauzálních žen (50 až 79 let), které dostávaly denně orální konjugované estrogeny (CE) [0,625 mg]-alone terapie za 7 až 79 let (whI) [viz viz denně orální konjugované estrogeny (CE) [0,625 mg]-aloná terapie za 7 až 79 let), které dostávaly denně orální konjugované estrogeny (CE) [0,625 mg] aloná terapie po dobu 7,1 let v rámci iniciativy pro zdraví žen (WHI) [0,625 mg] aloná terapie po dobu 7,1 let v rámci menopauzálních iniciativy (whI) [0,625 mg]. VAROVÁNÍS AND OPATŘENÍ ].
V klinických studiích pro Osphenu (doba léčby do 15 měsíců) byla míra výskytu tromboembolické a hemoragické mrtvice 0,72 a 1,45 na tisíc a žen ve skupině Osphena 60 mg a 1,04 a 0 v placebu [viz viz [viz viz placeba [viz viz placeba [viz 1. VAROVÁNÍS AND OPATŘENÍ ]. The incidence of DVT was 1.45 per thous a women in Osphena 60 mg treatment group a 1.04 per thous a women in placebo [see VAROVÁNÍS AND OPATŘENÍ ]. Osphena should be prescribed for the shortest duration consistent with treatment goals a risks for the individual woman.
Popis Ospheny
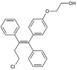
Osféna je estrogenový agonista/antagonista. Chemická struktura ospemifenu je znázorněna na obrázku 1.
|
Obrázek 1: Chemická struktura
Chemické označení je Z-2- [4- (4-chlor-12-difenylbut-1-enyl) ethanol a má empirický vzorec C C 24 H 23 Clo 2 což odpovídá molekulové hmotnosti 378,9. Ospemifen je bílý až bílý krystalický prášek, který je nerozpustný ve vodě a rozpustný v ethanolu.
Každý tablet Osphena obsahuje 60 mg ospemifenu. Neaktivní složky zahrnují koloidní křemíkový oxid hypromelóza laktóza monohydrát hořčík stearát mannitol mikrokrystalická celulóza polyethylenglykol povidon pregelatinizovaný škrobový škrobový škrob glykolát titan lioxid.
Použití pro Osfénu
Osféna je označena pro:
Léčba mírné až těžké dyspareunie symptom vulvární a vaginální atrofie v důsledku menopauzy
Léčba mírné až těžké vaginální suchosti symptom vulvární a vaginální atrofie v důsledku menopauzy
Dávkování pro Osfénu
Osféna je estrogenový agonista/antagonista, který má agonistické účinky na endometrium [viz VAROVÁNÍS AND OPATŘENÍ ].
Použijte Osphenu po nejkratší dobu v souladu s cíli léčby a riziky pro jednotlivou ženu. Pravidelně přehodnocují postmenopauzální ženy tak klinicky vhodné k určení, zda je léčba stále nutná.
Léčba střední až těžké dyspareunie Příznak vulvární a vaginální atrofie v důsledku menopauzy
Jedna tableta 60 mg pořízená orálně s jídlem jednou denně.
Léčba mírné až těžké vaginální suchost Příznak vulvární a vaginální atrofie v důsledku menopauzy
Jedna tableta 60 mg pořízená orálně s jídlem jednou denně.
Jak dodáno
Formy a silné stránky dávkování
Osphena Tablety jsou bílé až bílé oválné biconvexové filmové tablety obsahující 60 mg ospemifenu a vyryté s '60' na jedné straně.
Osphena Tablety jsou bílé až bílé oválné biconvexové filmové tablety obsahující 60 mg ospemifenu a vyryté s '60' na jedné straně. They are available as follows:
NDC 55494-580-90
NDC 55494-580-30
Skladování a manipulace
Ukládat při 20 ° C až 25 ° C (68 ° F až 77 ° F); Výlety povoleny na 15 ° C až 30 ° C (59 ° F až 86 ° F) [viz teplota místnosti s kontrolovanou USP].
Jaké dávky přichází Lunesta
Distribuováno: Duchesnay USA Inc. Princeton NJ 08540 Made ve Velké Británii. Revidováno: únor 2025.
Vedlejší účinky for Osphena
Následující závažné nežádoucí účinky jsou diskutovány jinde při označování:
- Kardiovaskulární poruchy [see Varování a VAROVÁNÍS AND OPATŘENÍ ]
- Maligní novotvary [viz Varování a VAROVÁNÍS AND OPATŘENÍ ]
Zkušenosti z klinických studií
Protože klinické studie se provádějí za široce proměnlivých podmínek, nežádoucí rychlosti nežádoucí reakce pozorované v klinických studiích léčiva nelze přímo porovnat s mírami v klinických studiích s jiným lékem a nemusí odrážet míru pozorované v praxi.
Bezpečnost Ospheny byla hodnocena v deseti studiích fáze 2/3 (n = 2209) s dávkami v rozmezí od 5 do 90 mg denně. Doba léčby v těchto studiích se pohybovala od 6 týdnů do 15 měsíců. Většina žen (n = 1683) měla expozici léčby až 12 týdnů; 847 mělo expozici až 52 týdnů (1 rok).
Míra incidence tromboembolické a hemoragické mrtvice byla 1,13 na tisíc let žen (1 uváděná případ tromboembolické mrtvice) a 3,39 na tisíc let žen (3 uváděné případy hemoragické mrtvice) v Osphena 60 mg léčebné skupině a 3,15 (1 případ tromboembolické mrtvice) a 0 za tisíce let v placebo. Mezi 1459 ženami ve skupině Osphena 60 mg a 1 případ DVT mezi 1136 ženami ve skupině s placebem byly hlášeny 2 případy DVT ve skupině Osphena 60 mg a 1 případ DVT.
Tabulka 1 uvádí nežádoucí účinky, které se vyskytují častěji ve skupině Osphena 60 mg léčené skupině než v placebu a při frekvenci ≥1% ve 12týdenním dvojitě slepém placebem kontrolovaném klinických studiích. Tabulka 2 uvádí nežádoucí účinky, které se častěji vyskytují ve skupině Osphena 60 mg léčené skupině než v placebu a při frekvenci ≥1% ve všech klinických studiích až 52 týdnů.
Tabulka 1: Nežádoucí účinky uvádějí častěji ve skupině Osphena Léčce (60 mg jednou denně) a při frekvenci ≥1,0% ve 12 týdnech dvojitě zaslepených kontrolovaných klinických studiích s Osphena vs. placebem
| Ospemifen 60 mg | Placebo | |
| (N = 1459) | (N = 1136) | |
| % | % | |
| Cévní poruchy | ||
| 6.5 | 2.6 | |
| Reprodukční systém a poruchy prsu | ||
| 3.8 | 0.4 | |
| Poruchy muskuloskeletální a pojivové tkáně | ||
| 1.8 | 0.6 | |
| Poruchy kůže a podkožní tkáně | ||
| 1.1 | 0.2 |
Tabulka 2: Nežádoucí účinky uvádějí častěji ve skupině léčené Osphena (60 mg jednou denně) a při frekvenci ≥1,0% ve všech klinických studiích až 52 týdnů (bezpečnostní populace)
| Ospemifen 60 mg | Placebo | |
| Všechny zkoušky (N = 847) | (N = 165) | |
| % | % | |
| Poruchy nervového systému | ||
| 2.8 | 2.4 | |
| Cévní poruchy | ||
| 12.2 | 4.2 | |
| Poruchy muskuloskeletální a pojivové tkáně | ||
| 4.5 | 2.4 | |
| Poruchy kůže a podkožní tkáně | ||
| 2.5 | 1.8 | |
| 1.2 | 0.0 | |
| Reprodukční systém a poruchy prsu | ||
| 6.0 | 0.6 | |
| 1.3 | 0.0 |
Zážitek z postmarketingu
Během použití ospemifenu byly identifikovány následující nežádoucí účinky. Protože tyto reakce jsou hlášeny dobrovolně z populace nejisté velikosti, není možné spolehlivě odhadnout svou frekvenci nebo vytvořit kauzální vztah k expozici léčiva.
Neoplazmy benigní maligní a nespecifikované (včetně cyst a polypů): Endometriální hyperplázie Endometria rakovina
Poruchy imunitního systému: Alergické podmínky včetně přecitlivělosti angioedému
Poruchy nervového systému: bolest hlavy
Cévní poruchy: Trombóza hluboké žily trombóza plicní embolie
Poruchy kůže a podkožní tkáně: vyrážka vyrážka erythematous vyrážka generalized pruritus urticaria
Lékové interakce for Osphena
Osphena is primarily metabolized by CYP3A4 a CYP2C9. CYP2C19 a other pathways contribute to the metabolism of NEMOCNICE.
Estrogeny a estrogenní agonista/antagonista
Nepoužívejte Osfénu souběžně s estrogeny a agonisty/antagonisty estrogenu. Bezpečnost souběžného používání Osfény s estrogeny a estrogenovými agonisty/antagonisty nebyla studována.
Flukonazol
Nepoužívejte Osfénu souběžně s flukonazolem a mírným inhibitorem CYP3A / Strong CYP2C9 / Mírný CYP2C19. Flukonazol zvyšuje systémovou expozici ospemifenu o 2,7krát. Podávání flukonazolu s ospemifenem může zvýšit riziko nežádoucích účinků souvisejících s Osphenou [viz Klinická farmakologie ].
Rifampin
Rifampin a strong CYP3A4 / moderate CYP2C9 / moderate CYP2C19 inducer decreases the systemic exposure of ospemifene by 58%. Therefore co-administration of Osphena with drugs such as rifampin which induce CYP3A4 CYP2C9 a/or CYP2C19 activity would be expected to decrease the systemic exposure of ospemifene which may decrease the clinical effect [see Klinická farmakologie ].
Ketokonazol
Ketokonazol a strong CYP3A4 inhibitor increases the systemic exposure of ospemifene by 1.4-fold. Administration of ketoconazole chronically with ospemifene may increase the risk of Osphena-related adverse reactions [see Klinická farmakologie ].
Warfarin
Opakované podávání ospemifenu nemělo žádný účinek na farmakokinetiku jediné 10 mg dávky warfarinu. Nebyla provedena žádná studie s více dávkami warfarinu. Účinek ospemifenu na dobu srážení, jako je mezinárodní normalizovaný poměr (INR) nebo protrombinový čas (PT), nebyl studován [viz viz Klinická farmakologie ].
Vysoce léky vázané na proteiny
Ospemifen je více než 99% vázán na sérové proteiny a může ovlivnit vazbu proteinu jiných léčiv. Použití Osfény s jinými léčivými přípravky, které jsou vysoce vázané na proteiny, může vést ke zvýšené expozici tohoto léčiva nebo oospemifenu [viz Klinická farmakologie ].
Inhibice více enzymů
Společné podávání Ospheny s léčivem, o kterém je známo, že inhibuje isoenzymy CYP3A4 a CYP2C9, může zvýšit riziko nežádoucích účinků souvisejících s Osfénou.
Varování pro Osfénu
Zahrnuto jako součást 'OPATŘENÍ' Sekce
Opatření pro Osfénu
Kardiovaskulární poruchy
Přizpůsobte přiměřené rizikové faktory pro kardiovaskulární poruchy arteriální vaskulární onemocnění (například hypertenze diabetes mellitus tabák užívání hypercholesterolémie a obezity) a/nebo žilní tromboembolismus (VTE) (například osobní historie nebo rodinná anamnéza a systémová lupus erythematosus).
Mrtvice
V klinických studiích pro Osfénu (doba léčby do 15 měsíců) byla míra výskytu tromboembolické a hemoragické mrtvice 1,13 a 3,39 na tisíc let žen ve skupině Osphena 60 mg a 3,15 a 0 za tisíc žen v placebu.
Okamžitě přesahujte Osfénu, pokud dojde k tromboembolické nebo hemoragické mrtvici nebo je podezřelý.
WHI estrogen-aloneone Subsudy vykázala statisticky významné zvýšené riziko mrtvice u žen ve věku 50 až 79 let, které dostávaly denní CE (NULL,625 mg)-alone ve srovnání se ženami ve stejné věkové skupině dostávající placebo (45 oproti 33 tahy za deset tisíc žen let). Zvýšení rizika bylo prokázáno v roce 1 a přetrvávalo.
Koronární srdeční choroby
Dva případy infarktu myokardu (MI) se vyskytly u žen, které v klinických studiích Osphena dostávaly 60 mg ospemifenu.
Nuda estrogenu-alone nehlásila žádný celkový účinek na události koronárních srdečních chorob (CHD) (definovaných jako nefatální MI tiché MI nebo CHD smrt) u žen, které dostávají estrogen-samostatně ve srovnání s placebem.
Žilní tromboembolismus
Dva případy DVT se vyskytly u žen, které v klinických studiích Osphena dostávaly Osphena 60 mg. Okamžitě přesahujte Osphenu, pokud dojde k VTE nebo je podezřelý.
Pokud je to proveditelná osphena nejméně 4 až 6 týdnů před operací typu spojeného se zvýšeným rizikem tromboembolismu nebo během období prodloužené imobilizace.
V rámci estrogen-samostatné substady se riziko VTE (DVT a PE) zvýšilo u žen dostávajících denně CE (NULL,625 mg)-alone ve srovnání s placebem (30 oproti 22 na deset tisíc žen), i když pouze zvýšené riziko DVT dosáhlo statistické významnosti (23 versus 15 na deset tisíc žen). Zvýšení rizika VTE bylo prokázáno během prvních 2 let.
Maligní novotvary
Rakovina endometria
Osphena is an estrogen agonist/antagonist with tissue selective effects. In the endometrium Osphena has agonistic effects. In the Osphena clinical trials (60 mg treatment group) no cases of endometrial cancer were seen with exposure up to 52 weeks. There was a single case of simple hyperplasia without atypiA. Endometrial thickening equal to 5 mm or greater was seen in the Osphena up to 52 weeks treatment groups at a rate of 101.4 per thousa women vs. 20.9 per thousa women for placebo. The incidence of any type of proliferative (weakly plus active plus disordered) endometrium was 26.3 per thousa women in the Osphena up to 52 weeks treatment groups vs. 0 per thousa women for placebo. Uterine polyps occurred at an incidence of 19.6 per thousa women in the Osphena up to 52 weeks treatment groups vs. 8.3 per thousa women for placebo.
Bylo hlášeno zvýšené riziko rakoviny endometria s použitím neopponované estrogenové terapie u ženy s dělohou. Hlášené riziko rakoviny endometria u neopakovaných uživatelů estrogenu je asi 2 až 12krát větší než u neuživatelů a zdá se, že je v závislosti na trvání léčby a na dávce estrogenu. Většina studií nevykazuje žádné významné zvýšené riziko spojené s používáním estrogenů po dobu kratší než 1 rok. Zdá se, že největší riziko je spojeno s prodlouženým používáním se zvýšeným rizikem 15 až 24krát po dobu 5 až 10 let nebo více. Ukázalo se, že toto riziko přetrvává po dobu nejméně 8 až 15 let po ukončení estrogenové terapie. Bylo prokázáno, že přidání progestinu k postmenopauzální estrogenové terapii snižuje riziko endometriální hyperplázie, což může být prekurzorem rakoviny endometria. Existují však možná rizika, která mohou být spojena s použitím progestinů s estrogeny ve srovnání s režimy estrogen-alone. Mezi ně patří zvýšené riziko rakoviny prsu. Použití progestinů s Osphenovou terapií nebylo v klinických studiích hodnoceno.
Důležité je klinické dohled všech žen používajících Osfénu. Proveďte adekvátní diagnostická opatření včetně řízeného nebo náhodného endometriálního odběru vzorků, pokud jsou uvedeny k vyloučení malignity u postmenopauzálních žen s nediagnostikovaným přetrvávajícím nebo opakujícím se abnormálním abnormálním genitálním krvácení s neznámou etiologií.
Rakovina prsu
Osphena 60 mg has not been adequately studied in women with breast cancer; therefore it should not be used in women with known or suspected breast cancer or with a history of breast cancer.
Informace o rakovině prsu u uživatelů estrogen-samostatně poskytla iniciativa zdraví žen (WHI) denní konjugované estrogen (CE) (NULL,625 mg). V samotném estrogenu WHI nebyla po průměrném sledování 7,1 let denně CE spojena se zvýšeným rizikem invazivního karcinomu prsu [relativní riziko (RR) 0,80] ve srovnání s placebem.
Po průměrném sledování po 5,6 letech vykázala WHI NUTICE Denní CE (NULL,625 mg) plus medroxyprogesteron acetát (MPA) (NULL,5 mg) zvýšené riziko invazivního karcinomu prsu u žen, které se daly denně CE plus MPA ve srovnání s placebem. V této nahrazení předchozího použití estrogen-samostatné nebo estrogen plus progestinové terapie bylo hlášeno 26 procent žen. Relativní riziko invazivního karcinomu prsu bylo 1,24 a absolutní riziko bylo 41 oproti 33 případům na 10000 žen pro CE plus MPA ve srovnání s placebem. U žen, které uváděly předchozí použití hormonální terapie, relativní riziko invazivního karcinomu prsu bylo 1,86 a absolutní riziko bylo 46 oproti 25 případům na 10000 žen pro CE plus MPA ve srovnání s placebem. U žen, které neuvedly žádné předchozí použití hormonální terapie, relativní riziko invazivního karcinomu prsu bylo 1,09 a absolutní riziko bylo 40 oproti 36 případům na 10000 žen pro CE plus MPA ve srovnání s placebem. Ve stejné substaditní invazivní rakovině prsu byly větší pravděpodobnost, že byly pozitivní uzel a byly diagnostikovány ve pokročilejším stádiu ve skupině CE (NULL,625 mg) plus MPa (NULL,5 mg) ve srovnání se skupinou placeba. Metastatické onemocnění bylo vzácné bez zjevného rozdílu mezi oběma skupinami. Jiné prognostické faktory, jako je stav histologického podtypu a stav hormonálního receptoru, se mezi skupinami nelišily.
V souladu s iniciativou pro zdraví žen (WHI) Klinické studie Observační studie také uváděly zvýšené riziko rakoviny prsu pro estrogen plus progestinovou terapii a menší, ale stále zvýšené riziko terapie estrogenem alone po několika letech používání. Jedna velká metaanalýza prospektivních kohortových studií uváděla zvýšená rizika, která byla závislá na trvání používání a mohla by trvat až> 10 let po přerušení estrogenu plus progestinové terapie a terapii estrogen. Prodloužení studií WHI také prokázalo zvýšené riziko rakoviny prsu spojené s estrogenem a terapií progestinu. Observační studie rovněž naznačují, že riziko rakoviny prsu bylo větší a ukázalo se dříve u estrogenní plus progestinové terapie ve srovnání s rizikem s terapií alone estrogen. Tyto studie však nezjistily významné rozdíly v riziku rakoviny prsu mezi různými dávkami estrogenu plus progestinových kombinací nebo podáváním.
Bylo popsáno, že použití estrogenového a estrogenu plus progestinu má za následek zvýšení abnormálních mamogramů vyžadujících další hodnocení.
Všechny ženy by měly dostávat každoroční vyšetření prsu poskytovatelem zdravotní péče a provádět měsíční sebevyjádření prsu. Kromě toho by měla být mamografická zkoušky naplánována na základě rizikových faktorů věku pacienta a předchozích výsledků mamogramu.
Těžká jaterní poškození
Osphena should not be used in women with severe hepatic impairment [see Použití v konkrétních populacích a Klinická farmakologie ].
Informace o poradenství pro pacienta
Radí ženám, aby si přečetly označení schválené FDA ( Informace o pacientu ).
Reakce přecitlivělosti
Informujte ženy po menopauze, které měly na Osphenu reakce přecitlivělosti, jako je angioedéma, vyrážka a pruritus, že by neměly používat Osphenu [Viz Klinické úvahy ].
Vaginální krvácení
Informujte ženy postmenopauzální, aby co nejdříve nahlásily neobvyklé vaginální krvácení svým poskytovatelům zdravotní péče [viz viz VAROVÁNÍS AND OPATŘENÍ ].
HORKÉ záblesky nebo Flushes
Osphena may initiate or increase the occurrence of HORKÉ záblesky in some women [see Nežádoucí účinky ].
Neklinická toxikologie
Zhodnocení mutageneze karcinogeneze plodnosti
Karcinogeneze
Ve dvouleté studii karcinogenity byl u ženských myší ospemifenu orálně podáván při 100 400 nebo 1500 mg/kg/den. U samců myší nebylo provedeno žádné hodnocení karcinogenity. Došlo k významnému nárůstu adenomů subkapsulárních buněk nadledvin při 4 a 5násobku expozice člověka na základě kortikálních nádorů AUC a nadledvin při pětinásobku lidské expozice. Ve vaječníku bylo také pozorováno zvýšení nádorů tubulostromálních nádorů a luteomů tubulostromálních nádorů sexuálních šňůr/stromálních nádorů. K těmto zjištěním došlo v dávkách 2 až 5násobku expozice člověka na základě AUC a pravděpodobně souvisí s estrogenním/antiestrogenním účinku ospemifenu u myší.
Ve dvouleté studii karcinogenity u potkanů byl ospemifen perorálně podáván při 10 50 nebo 300 mg/kg/den. Významné zvýšení thymomů bylo zaznamenáno pro muže a thymomy u žen ve všech hladinách dávky oospemifenu nebo 0,3 až 1,2násobek expozice člověka na základě AUC. V játrech byl u žen zaznamenán zvýšení hepatocelulárních nádorů při všech hladinách dávky oospemifenu.
Mutageneze
Ospemifen nebyl genotoxický in vitro V testu Ames v kmenech Salmonella typhimurium nebo v lokusu thymidin kinázy (TK) myších lymfomů L5178Y buněk v nepřítomnosti a v přítomnosti metabolického aktivátorového systému. V nadarmo Testování ospemifenu nebyl genotoxický ve standardním testu kostní dřeně myší kostní dřeně nebo ve stanovení aduktů DNA v játrech potkanů.
Poškození plodnosti
Účinek ospemifenu na plodnost nebyl přímo vyhodnocen. U ženských potkanů a opic se sníží váhy vaječníků a dělohy snížilo počet korpusů lutea zvýšené cysty vaječníků děložní atrofii a narušené cykly byly pozorovány, když byly podávány opakované denní perorální dávky. U mužských potkanů byla zaznamenána atrofie prostaty a semenných váčků. Účinky na reprodukční orgány pozorované u zvířat jsou konzistentní s aktivitou estrogenového receptoru ospemifenu a potenciálem pro zhoršení plodnosti.
Použití v konkrétních populacích
Těhotenství
Shrnutí rizika
Nedoporučuje se během těhotenství
Osphena is contraindicated in women who are or may become pregnant. If this drug is used during pregnancy or if a woman becomes pregnant while taking this drug she should be apprised of the potential hazard to a fetus [see Klinické úvahy ].
Na základě údajů o zvířatech Osphena pravděpodobně zvýší riziko nepříznivých výsledků během těhotenství a práce. Nepříznivé nálezy u mateřských toxických dávek zahrnovaly embryfetální letalitu u potkanů a králíků a novorozenecká úmrtnost a obtížná práce u potkanů. Pozorované reprodukční účinky jsou konzistentní a jsou považovány za související s aktivitou estrogenového receptoru Ospheny.
V americké obecné populaci je odhadované riziko na pozadí hlavních vrozených vad a potratu u klinicky uznávaných těhotenství 2% až 4% a 15% až 20%.
Data
Údaje o zvířatech
Účinky ospemifenu na vývoj embryo-fetálního vývoje byly studovány u potkanů (NULL,1 1 nebo 4 mg/kg/den) a králíků (3 10 nebo 30 mg/kg/den), když byly léčeny z implantace prostřednictvím organogeneze (den těhotenství (GD) 6-16 u potkana a GD6-18. U králíků došlo ke zvýšení výskytu celkových resorpcí při 30 mg/kg/den (10krát větší expozice na základě plochy povrchu těla Mg/m 2 ). Malformace vyvolané lékem nebyly pozorovány u potkanů ani králíků.
Účinky ospemifenu na vývoj pre-a postnatálního vývoje byly studovány u těhotných potkanů (NULL,01 0,05 a 0,25 mg/kg/den) léčených z implantace (GD6) prostřednictvím laktace (laktační den (LD) 21). Těhotné krysy podávané 0,05 nebo 0,25 mg/kg/den ospemifenu (NULL,8% až 4% expozice člověka na základě plochy povrchu těla mg/m 2 ) měl výrazně prodloužený a obtížný těhotenství zvýšil ztrátu po implantaci zvýšil počet mrtvých mláďat při narození a zvýšený výskyt postnatální ztráty. Ospemifen nevyvolával nepříznivé účinky u přežívajících potomků těhotných potkanů při expozicích léků až do 4% expozice člověka.
Laktace
Shrnutí rizika
Není známo, zda je Osphena vylučována v lidském mateřském mléce. Neexistují žádné údaje o účincích Osfény na kojené dítě nebo účinky na produkci mléka. Ospemifen byl vylučován v potkaním mléku [viz Data ].
Vývojové a zdravotní přínosy kojení by měly být zváženy spolu s klinickou potřebou Ospheny matky a případnými nepříznivými účinky na kojené dítě z Osfény nebo ze základního stavu matky.
Data
V neklinické studii byl ospemifen vylučován do mléka potkana a detekován při koncentracích vyšších než v koncentracích v mateřské plazmě.
Dětské použití
Osphena is not indicated in pediatric patients. Clinical studies have not been conducted in the pediatric population.
Geriatrické použití
Z 2209 žen ošetřených Osfénou zapsaných do deseti fází 2/3 pokusů Osphena> 19 procent bylo 65 let nebo starší. Nebyly pozorovány žádné klinicky smysluplné rozdíly v bezpečnosti nebo účinnosti mezi těmito ženami a mladšími ženami mladšími 65 let.
Poškození ledvin
Farmakokinetika ospemifenu u žen s těžkým poškozením ledvin (CRCL <30 mL/min) was similar to those in women with normal renal function [see Klinická farmakologie ].
U žen s poškozením ledvin není nutná žádná úprava dávky Osfény.
Poškození jater
Farmakokinetika ospemifenu nebyla studována u žen s těžkým poškozením jater (třída C Child-Pugh); proto nepoužívejte Osphenu u žen s těžkým poškozením jater [viz VAROVÁNÍS AND OPATŘENÍ a Klinická farmakologie ].
Nebyly pozorovány žádné klinicky důležité farmakokinetické rozdíly s Osphenou mezi ženami s mírným až středním jaterním poškozením a zdravými ženami [Viz Klinická farmakologie ].
U žen s mírným (třídou A) nebo mírným (dětským pugh-pugh-pugh třídou B) jaterní poškození jaterních poškození jaterních postizí.
Informace o předávkování Osphena
Žádné informace
Kontraindikace pro Osfénu
Osphena is contraindicated in women with any of the following conditions:
- Nediagnostikované abnormální krvácení genitálií.
- Neoplazie závislá na estrogenu.
- Aktivní DVT PE nebo historie těchto podmínek.
- Aktivní arteriální tromboembolické onemocnění (například mrtvice a MI) nebo historie těchto podmínek.
- Hypersenzitivita (například angioedéma Urticaria vyrážka Pruritus) na Osfénu nebo jakékoli složky.
- Osphena is contraindicated in women who are or may become pregnant. Osphena may cause fetal harm when administered to a pregnant woman. Ospemifene was embryo-fetal lethal with labor difficulties a increased pup deaths in rats at doses below clinical exposures a embryo-fetal lethal in rabbits at 10 times the clinical exposure based on mg/m 2 . Pokud se tento lék používá během těhotenství nebo pokud žena otěhotní při užívání tohoto léku, měla by být obeznámena s potenciálním rizikem pro plod.
Klinická farmakologie for Osphena
Mechanismus působení
Osphena is an estrogen receptor agonist/antagonist with tissue selective effects. Its biological actions are mediated through binding to estrogen receptors. This binding results in activation of estrogenic pathways in some tissues (agonism) a blockade of estrogenic pathways in others (antagonism).
Farmakodynamika
Obecně koncentrace estrogenu v séru nepředpovídá terapeutickou odpověď jednotlivé ženy na Osfénu ani riziko nepříznivých výsledků.
Farmakokinetika
Vstřebávání
Po jediném ústním podání Osphena 60 mg tablety u postmenopauzálních žen za původního stavu bylo dosaženo střední koncentrace séra přibližně 2 hodiny (rozmezí: 1 až ospemifenovou sérovou koncentraci (ng/ml) 8 hodin) po dávce (viz viz 8 hodin) (viz viz 8 hodin) (viz viz 8 hodin) (viz viz 8 hodin) (viz 8 hodin) (viz 8 hodin) (viz 8 hodin) (viz 8 hodin) (viz 8 hodin) po dávce (viz 8 hodin) po dávce (viz 8 hodin) po dávce (viz 8 hodin) po dávce (viz 8 hodin) po dávce (viz 8 hodin) po dávce (viz 8 hodin). Obrázek 2 ). Mean ospemifene Cmax a AUC0-inf were 533 ng/mL a 4165 ng•hr/mL respectively. After a single oral administration of Osphena 60 mg tablet in postmenopausal women with a high fat/high calorie (860 kcal) meal Cmax was reached at approximately 2.5 hours (range: 1 to 6 hours) post-dose. Mean ospemifene Cmax a AUC0-inf were 1198 ng/mL a 7521 ng•hr/mL respectively. The absolute bioavailability of ospemifene was not evaluated. Ospemifene exhibits less than dose-proportional pharmacokinetics from 25 to 200 mg with ospemifene capsule formulation. Accumulation of ospemifene with respect to AUC0-inf was approximately 2 after twelve weeks of daily administration. Steady-state was reached after nine days of ospemifene administration.
Obrázek 2: Mean Serum Concentration Profile of Ospemifene Following a Single Oral Administration of Osphena 60 mg Tablet in Postmenopausal Women Under Fed (N=28) a Fasted (N=91) Conditions
Efekt potravy
Obecně se jídlo zvýšilo biologickou dostupnost ospemifenu přibližně o 2-3krát. V porovnávání křížové studie jednorázová osphena 60 mg tableta podávaná s vysokým obsahem tuku/s vysokým obsahem kalorií (860 kcal) u postmenopauzálních žen zvýšila CMAX a AUC0-inf o 2,3 a 1,7krát ve srovnání s podmínkou na labu. Eliminace poločasu a čas do maximální koncentrace (TMAX) se v přítomnosti potravy nezměnily. Ve dvou studiích potravinového účinku u zdravých mužů používajících různé formulace ospemifenových tablet CMAX a AUC0-inf se zvýšily o 2,3 a 1,8krát s nízkým obsahem tuku/nízkokalorického jídla (300 kcal) a zvýšily se o původní jídlo (860 kcal). Osphena by měla být užívána s jídlem [viz Dávkování a podávání ].
Rozdělení
Osféna je vysoce (> 99 procent) vázána na sérové proteiny. Zjevný objem distribuce je 448 L.
Metabolismus
In vitro Pokusy s lidskými jaterními mikrozomy naznačily, že ospemifen primárně podléhá metabolismu prostřednictvím CYP3A4 CYP2C9 a CYP2C19. Hlavní metabolit byl 4-hydroxyospemifen. Zjevná celková clearance těla je 9,16 l/h pomocí populačního přístupu.
Vylučování
Zjevný terminální poločas oospemifenu u postmenopauzálních žen je přibližně 26 hodin. Po perorálním podávání ospemifenu přibližně 75% a 7% dávky bylo vylučováno ve stolici a moči. Méně než 0,2% dávky ospemifenu bylo vylučováno v moči nezměněno.
Použití v konkrétních populacích
Dětský
Farmakokinetika ospemifenu u pediatrických pacientů nebyla hodnocena [viz viz Použití v konkrétních populacích ].
Geriatric
S ohledem na věk (rozmezí 40 až 80 let) nebyly zjištěny žádné rozdíly v farmakokinetice ospemifenu [viz rozmezí 40 až 80 let) [viz Použití v konkrétních populacích ].
Rasa
Rasa did not have a clinically relevant effect on ospemifene pharmacokinetics.
Poškození ledvin
U žen s těžkým poškozením ledvin (CRCL <30 mL/min) the Cmax a AUC0-inf for ospemifene following a single 60 mg dose administered with a high fat/high calorie meal were lower by 21% a higher by 20% respectively [see Použití v konkrétních populacích ].
Poškození jater
U žen s mírným zhoršením jater (třída AUC-Pugh třída A) CMAX a AUC0-Inf pro ospemifen po jedné 60 mg dávce podávané s vysokým obsahem tuku/vysoce kalorií byly nižší o 21% a 9,1% ve srovnání s normální jaterní funkcí. U žen s mírným poškozením jater (třída B Child-Pugh třída B) CMAX a AUC0-Inf pro ospemifen po jedné 60 mg dávce podávané s vysokým obsahem tuku/vysoce kalorií byly vyšší o 1% a 29% ve srovnání s ženami s normální jaterní funkcí. Účinek těžkého jaterního poškození na farmakokinetiku ospemifenu nebyl vyhodnocen [viz viz VAROVÁNÍS AND OPATŘENÍ a Použití v konkrétních populacích ].
Lékové interakce
Ospemifen je metabolizován primárně CYP3A4 a CYP2C9. K metabolismu ospemifenu přispívají CYP2C19 a další cesty. V pořadí snižujícího se ospemifenu byl navržen slabým inhibitorem pro CYP2B6 CYP2C9 CYP2C19 CYP2C8 CYP2D6 a CYP3A4 V in vitro studie. Ospemifen není významný substrát P-glykoproteinu in vitro ;; žádný nadarmo Byla provedena studie transportéru.
Účinek spolupracovních drog na farmakokinetiku ospemifenu
Flukonazol (CYP3A4/CYP2C9/CYP2C19 Inhibitor)
Flukonazol (a moderate CYP3A / strong CYP2C9 / moderate CYP2C19 inhibitor) 400 mg was given on Day 1 followed by 200 mg on Days 2 to 5 under fasted condition. On Day 5 approximately one hour after flukonazol administration ospemifene 60 mg was administered after breakfast (two slices of bread with ham cheese a few slices of cucumber a/or tomatoes a juice). Flukonazol 200 mg was taken for three additional days under fasted condition. Multiple doses of flukonazol in fourteen postmenopausal women increased the Cmax a AUC0-inf of ospemifene by 1.7-a 2.7-fold respectively [see Lékové interakce ].
Rifampin (CYP3A4/CYP2C9/CYP2C19 Inducer)
Rifampin 600 mg was given once daily for 5 consecutive days (given at least one hour before or two hours after a meal) in the late afternoon. On Day 6 after an overnight fast ospemifene 60 mg was administered in the morning after under fed condition (two slices of bread with ham cheese a few slices of cucumber a/or tomatoes a juice). Multiple doses of rifampin 600 mg in twelve postmenopausal women reduced Cmax a AUC0-inf of ospemifene by 51% a 58% respectively. Rifampin a other inducers of CYP3A4 are expected to decrease the systemic exposure of ospemifene [see Lékové interakce ].
Ketokonazol (CYP3A4 Inhibitor)
Ketokonazol 400 mg was given once daily for 4 consecutive days after breakfast. On Day 5 after an overnight fast ketoconazole 400 mg a ospemifene 60 mg were co-administered under fed condition (two slices of bread with ham cheese a few slices of cucumber a/or tomatoes a juice). Ketokonazol administration once daily continued for an additional 3 days (Days 6 to 8). Co-administration of a single 60 mg dose of ospemifene a multiple doses of ketoconazole in twelve postmenopausal women increased Cmax a AUC0-inf by 1.5-a 1.4-fold respectively [see Lékové interakce ].
Omeprazol (inhibitor CYP2C19)
Omeprazol (mírný inhibitor CYP2C19) 40 mg byl podáván po dobu 5 dnů. V den 5 přibližně jednu hodinu po omezení Omeprazolu byl po snídani podáván 60 mg (dva plátky chleba se šunkovým sýrem několik plátků okurky a/nebo rajčat a šťávy). Více dávek omeprazolu u čtrnácti postmenopauzálních žen zvýšilo CMAX a AUC0-inf o 1,20 a 1,17krát.
Vliv Ospemifenu na farmakokinetiku spolupracovního drogy
Warfarin
Ospemifen 60 mg was given after a light breakfast (two slices of bread with ham a cheese a juice) once daily for 12 days in sixteen postmenopausal women who were determined to be rapid metabolizers of CYP2C9 (CYP2C9*1/*1 or CYP2C9*1/*2). On Day 8 a single dose of warfarin 10 mg a vitamin K 10 mg was administered one hour after a light breakfast. The geometric mean ratio (90% CI) for S-warfarin with a without ospemifene for Cmax a AUC0-inf was 0.97 (0.92-1.02) a 0.96 (0.91-1.02) respectively. Multiple doses of ospemifene did not significantly affect the pharmacokinetics of a single dose of warfarin. No study was conducted with multiple doses of warfarin.
Omeprazol
Ospemifen 60 mg was administered once daily for 7 days after a light meal in the late afternoon in fourteen postmenopausal women. On Day 8 after an overnight fast a single 20 mg dose of omeprazole was administered in the morning of at least 10 hrs; ospemifene was not given on Day 8. The geometric mean ratio for the metabolic index (omeprazole/5-hydroxyomeprazole) at the concentration at the 3 hr time point a for AUC0-8hr was 0.97 with a without NEMOCNICE. It is unclear if ospemifene will affect the pharmacokinetics of drugs metabolized by CYP2C19 due to the significant time gap between ospemifene a omeprazole administration.
Bupropion
Ospemifen 60 mg was administered once daily for seven consecutive days after the evening meal in sixteen postmenopausal women (not homozygous for CYP2B6*6). On Day 8 after an overnight fast a single 150 mg dose of sustained release bupropion was administered in morning under fasted condition. The geometric mean ratio (90% CI) for bupropion with a without ospemifene for Cmax a AUC0-inf was 0.82 (0.75-0.91) a 0.81 (0.77-0.86) respectively. The geometric mean ratio (90% CI) for hydroxybupropion an active metabolite formed via CYP2B6 with a without ospemifene for Cmax a AUC0-inf was 1.16 (1.09-1.24) a 0.98 (0.92-1.04) respectively.
Midazolam
Ospemifen 60 mg was administered once daily for 14 days in fifteen postmenopausal women. On Day 14 a single 5 mg dose of midazolam (a CYP3A4 substrate) was administered. All doses of midazolam a ospemifene were administered in morning in the fed state (i.e. after a staard breakfast a at the same time every day). The geometric mean ratio (90% CI) for midazolam with a without ospemifene for Cmax a AUC0-inf was 1.05 (0.95-1.16) a 0.87 (0.82-0.92) respectively.
existuje obecný pro Valtrex
Klinické studie
Účinnost a bezpečnost Ospheny na střední až závažné příznaky vulvární a vaginální atrofie u postmenopauzálních žen byly zkoumány ve čtyřech placebem kontrolovaných klinických studiích (tři 12týdenní studie účinnosti a jedna 52týdenní dlouhodobá bezpečnostní studie). Ve čtyřech studiích kontrolovaných placebem přijalo placebo celkem 1100 žen a 1416 žen dostalo 60 mg Osphena.
Studie 1 byla 12týdenní randomizovaná dvojitě slepá studie s paralelní skupinou s dvojitě slepá placebem, která zařadila 826 obecně zdravých postmenopauzálních žen ve věku 41 až 81 let (průměr 59 let), které měly na začátku ≤ 5 procent povrchové buňky na nejvíce sarénní (nejvíce s jejím nejvíce (nejvíce při boji (nejvíce se s nimi přibližně zablokovaly (nejvíce při boji (nejvíce se rozjeli, přičemž nejvíce séristickou symptom, který byl nejvíce při posilovaném příznaku (nejvíce usiloval o rozmnožení (nejvíce séristického ph> 5,0, které identifikovaly nejméně sérinální ph> 5,0 a které identifikovaly nejméně o to, že je to vaginální pH> 5,0 a které identifikovaly nejméně obou. pohlavní styk [dyspareunia] nebo vaginální podráždění/svědění). Léčebné skupiny zahrnovaly 30 mg ospemifenu (n = 282) 60 mg ospemifenu (n = 276) a placeba (n = 268). Všechny ženy byly hodnoceny na zlepšení průměrné změny z výchozí hodnoty do 12. týdne pro ko-primární proměnné účinnosti: nejvíce obtěžujícího symptomu (MB) vulvární a vaginální atrofie (definované jako individuální mírné až závažné symptomy, které bylo identifikováno jako nejvíce obtěžovanější) procenta vaginálních povrchů a vaginálního a vaginálního a vaginálního a vaginálního a vaginálního a vaginálního a vaginálního ph. Po dokončení 12-týdenních žen s neporušenou dělohou se nechaly přihlásit do 40týdenní studie o dvojitě slepé prodloužení a ženy bez neporušené dělohy se mohly přihlásit do 52týdenní studie o otevřeném prodloužení.
Studie 2 byla 12týdenní randomizovaná dvojitě slepá studie s paralelní skupinou s dvojitě slepá placebem, která zařadila 919 obecně zdravých postmenopauzálních žen ve věku 41 až 79 let (průměr 59 let), které měly na základním linii ≤ 5 procent povrchové buňky na vaginálním rozmazání> 5,0 a které identifikovaly buď Mírné než závažnost), nebo se snižují) nebo se snižujícím), nebo se snižují), nebo si identifikovaly buď se vyskytují (sucho), nebo se snižují) a buď s vysušením (suché vysušení) nebo na vaginálním nátlaku na vaginální kmen. (Dyspareunia kohorta) jako nejvíce obtěžující s ní na začátku. Léčebné skupiny zahrnovaly 60 mg ospemifenu (n = 463) a placebo (n = 456). Primární koncové body a chování studie byly podobné těm v pokusu 1.
Studie 3 byla 12týdenní randomizovaná dvojitě slepá studie paralelní skupiny s dvojitě slepá placebem, která zařadila 631 obecně zdravých postmenopauzálních žen mezi 40 a 80 lety věku (průměrně 60 let), které měly na začátku ≤ 5 procent povrchové buňky na vaginálním rozmazání a vaginální pH> 5,0 měly mírnou až odloučenou vaginální such. Léčebné skupiny zahrnovaly 60 mg ospemifenu (n = 316) a placebo (n = 315). Primární koncové body a chování studie byly podobné těm, které byly v pokusech 1 a 2. ve studii 3 52 zdravých postmenopauzálních žen ve skupině ošetřování 60 mg ospemifenu a 53 v placebu bylo léčeno až za 52 týdnů.
Studie 4 byla 52týdenní randomizovaná dvojitě slepá placebem kontrolovaná dlouhodobá bezpečnostní studie, která zařadila 426 obecně zdravých postmenopauzálních žen ve věku 49 až 79 let (průměrná 62 let) s neporušenou dělohou. Léčebné skupiny zahrnovaly 60 mg ospemifenu (n = 363) a placebo (n = 63).
Účinky na dyspareunii u postmenopauzálních žen
Ve studiích 1 a 2 modifikovaná populace záměru na léčbu žen léčených ospemifenem ve srovnání s placebem prokázala statisticky významné zlepšení (nejmenší čtvercová průměrná změna z výchozího hodnoty do 12. týdne) v mírném až závažném nejvýraznějším příznaku dyspareunie (studie 1 p = 0,0012 a 2 p a 2 p a 2 p a 2 p a 2 p a 2 p a 2 p a 2 P <0.0001). See Table 3. A statistically significant increase in the proportion of superficial cells a a corresponding statistically significant decrease in the proportion of parabasal cells on a vaginal smear were also demonstrated (p <0.0001 for both trials). The mean reduction in vaginal pH between baseline a Week 12 was also statistically significant (p <0.0001 for both trials).
Tabulka 3: Účinky 12. týdne na dyspareunii (sebeidentifikovaná nejvíce obtěžovanějším až závažným příznakem vulvární a vaginální atrofie na počátku). Průměrná změna závažnosti ve 12. týdnu s posledním pozorováním (LOCF) modifikovaná populace na léčbu a
| Výsledky pokusu 1 | ||
| Nejvíce obtěžující mírný až těžký příznak na počátku | Osphena (ospemifene) 60 mg (N = 110) | Placebo (N = 113) |
| Dyspareunia | ||
| 2.7 (NULL,44) | 2.7 (NULL,45) | |
| 2.7 (NULL,44) | -0,9 (NULL,11) | |
| b | 0.0012 | - |
| Zkušební 2 výsledky | ||
| Nejvíce obtěžující mírný až těžký příznak na počátku | Osphena (ospemifene) 60 mg (N = 301) | Placebo (N = 297) |
| Dyspareunia | ||
| 2.7 (NULL,47) | 2.7 (NULL,47) | |
| -1,5 (NULL,06) | -1,2 (NULL,07) | |
| b | <0.0001 | - |
| A. Modifikovaná populace na léčbu (MITT) zahrnovala pouze ženy do populace ITT, které na začátku splnily kritéria inkluze ≤ 5 procent povrchových buněk na vaginálním nátěru vaginálního pH> 5,0 a které identifikovaly mírnou nebo těžkou dyspareunii jako nejvíce obtěžující vaginální symptomy. b. P-hodnoty pro dyspareunii byly vypočteny pomocí metody Cochran-Mantel-Haenszel, která kontrolovala pro studijní centrum a stav dělohy (přítomnost nebo nepřítomnost; pouze v pokusu 1). Definice: ITT = záměr na léčbu; LOCF = poslední pozorování přenesené vpřed; SD = standardní odchylka; SE = standardní chyba; LS = nejmenší čtverec. |
Účinky na vaginální suchost u postmenopauzálních žen
Všechny tři studie hodnotily nejvíce obtěžující příznak vaginální suchosti. Studie 2 neprokázala statisticky významné zlepšení mírného až závažného nejvíce obtěžovaného příznaku vaginální suchosti. V pokusech 1 a 3 modifikovaná populace záměru léčby žen léčená ospemifenem ve srovnání s placebem prokázala statisticky významné zlepšení mírného až závažného nejvíce obtěžujícího příznaku vaginální suchosti (pokus 1 p = 0,0136 a pokus 3 p a pokus 3 p a pokus 3 p a pokus 3 P <0.0001). See Table 4. A statistically significant increase in the proportion of superficial cells a a corresponding statistically significant decrease in the proportion of parabasal cells on a vaginal smear were also demonstrated (p <0.0001 for both trials). The mean reduction in vaginal pH between baseline a Week 12 was also statistically significant (p <0.0001 for both trials).
Tabulka 4: Účinky 12. týdne na vaginální suchost (sebeidentifikovaná nejvíce obtěžovanějším až závažným příznakem vulvární a vaginální atrofie na počátku). Změna závažnosti ve 12. týdnu modifikovaná populace v záměru a
| Výsledky pokusu 1 | ||
| Nejvíce obtěžující mírný až těžký příznak na počátku | Osphena (ospemifene) 60 mg (N = 113) | Placebo (N = 104) |
| Vaginální suchost | ||
| 2,5 (NULL,50) | 2.4 (NULL,49) | |
| -1,3 (NULL,09) | -0,9 (NULL,10) | |
| b | 0.0136 | - |
| Zkušební 3 výsledky | ||
| Nejvíce obtěžující mírný až těžký příznak na počátku | Osphena (ospemifene) 60 mg (N = 269) | Placebo (N = 263) |
| Vaginální suchost | ||
| 2.6 (NULL,50) | 2.6 (NULL,50) | |
| -1.3 (NULL,00) | -0,9 (NULL,95) | |
| b | <0.0001 | - |
| A. Modifikovaná populace na léčbu (MITT) zahrnovala pouze ženy do populace ITT, které na začátku splnily kritéria pro zařazení ≤ 5 % povrchových buněk na vaginálním nátěru vaginálního pH> 5,0 a které identifikovaly mírnou nebo těžkou vaginální suchost jako nejvíce obtěžující vaginální symptomy. b. Hodnota p pro vaginální suchost v pokusu 1 byla vypočtena pomocí metody Cochran-Mantel-Haenszel, která kontrolovala studijní centrum a stav dělohy (přítomnost nebo nepřítomnost) a pomocí LOCF. P-hodnota pro vaginální suchost v pokusu 3 byla vypočtena pomocí modelu GEE s termíny pro léčbu léčebné skupiny časově a studijního centra jako fixní efekty a základní hodnota jako kovariát. Definice: ITT = záměr na léčbu; LOCF = poslední pozorování přenesené vpřed; Gee = generalizované odhadované rovnice; SD = standardní odchylka; SE = standardní chyba; LS = nejmenší čtverec |
Informace o pacientovi pro Osfénu
Osphena ®
(OS FEAT 'NAH)
(OSPEMIFEN) Tablety pro ústní použití
Než začnete přijímat Osfénu a pokaždé, když dostanete doplnění, přečtěte si tyto informace o pacientech. Mohou existovat nové informace. Tyto informace nezavazují místo rozhovoru s poskytovatelem zdravotní péče o zdravotním stavu nebo ošetření.
Jaké jsou nejdůležitější informace, které bych měl vědět o Ospheně?
- Osphena is a medicine that works like estrogen in the lining of the uterus (womb) but can work differently in other parts of the body.
- Osphena may increase your chance of getting Rakovina podšívky dělohy (lůna). Po vaginálním krvácení po menopauza Může být varovným signálem rakoviny podšívky dělohy (lůna). Váš poskytovatel zdravotní péče by měl zkontrolovat neobvyklé vaginální krvácení, aby se zjistil příčinu. Sdělte svému poskytovateli zdravotní péče ihned, pokud máte nějaké neobvyklé vaginální krvácení, když berete Osphenu.
- Osphena may increase your chance of getting mrtvices a Krevní sraženiny.
Co je Osphena?
- Osphena is a prescription medicine that contains NEMOCNICE.
- Osphena is used after menopauza for women with or without a uterus to treat:
- Mírná až těžká bolest během pohlavního styku v důsledku změn v a kolem vagíny.
- Mírná až těžká vaginální suchost v důsledku změn v a kolem vagíny.
Kdo by neměl brát Osfénu?
Nezačínejte brát Osfénu, pokud:
- mít neobvyklé vaginální krvácení. Po vaginálním krvácení po menopauza may be a warning sign of Rakovina podšívky dělohy (lůna). Your healthcare provider should check any neobvyklé vaginální krvácení to find out the cause.
- V současné době mají nebo mají určité rakoviny. Pokud jste měli nebo jste měli rakovinu mluvit se svým poskytovatelem zdravotní péče o tom, zda byste měli vzít Osfénu.
- V současné době mají nebo mají krevní sraženiny.
- měl mrtvici nebo infarkt.
- jsou alergičtí na ospemifen nebo některá ze složek v Osféně. Alergická reakce na Osfénu může zahrnovat otok obličeje nebo jazyka (angioedema) úlů (urticaria) a svědění (Pruritus). Úplný seznam složek v Osféně naleznete na konci tohoto letáku pro informace o pacientech.
- jsou těhotné nebo plánují otěhotnět. Osphena is not for pregnant women.
Co bych měl říct svému poskytovateli zdravotní péče, než vezmeme Osphenu?
Než vezmete Osfénu, řekněte svému poskytovateli zdravotní péče o všech svých zdravotních stavech, včetně, pokud jste:
- mít neobvyklé vaginální krvácení.
- mít nebo mít určité rakoviny. Vidět Kdo by neměl brát Osphenu?
- mít problémy s jatery. Osphenu byste neměli používat, pokud máte určité problémy jater.
- budou podstoupit operaci nebo budou na posteli. Váš poskytovatel zdravotní péče vám dá vědět, pokud potřebujete přestat brát Osfénu.
- jsou kojení nebo plánují kojení. Není známo, zda Osphena může projít do mateřského mléka.
Řekněte svému poskytovateli zdravotní péče o všech lécích, které užíváte včetně předpisu a volně prodejných léků vitamínů a bylinných doplňků. Některé léky mohou ovlivnit, jak Osphena funguje. Osféna může také ovlivnit to, jak fungují jiné léky.
Znát léky, které užíváte. Uchovávejte seznam svých léků a ukažte jej svému poskytovateli zdravotní péče a lékárníci pokaždé, když získáte nový lék.
Jak mám vzít Osfénu?
- Vezměte Osphenu přesně, jak vám váš poskytovatel zdravotní péče řekne, abyste to vzali.
- Každý den si vezměte 1 tabletu Osphena ústy s jídlem.
- Vy a váš poskytovatel zdravotní péče byste měli pravidelně hovořit o dávce Ospheny, kterou berete, a o tom, zda stále potřebujete ošetření s Osfénou.
Jaké jsou možné vedlejší účinky Osfény?
Osphena may cause serious side effects including:
- Vidět ' Jaké jsou nejdůležitější informace, které bych měl vědět o Ospheně? '
Mezi vážné, ale méně běžné vedlejší účinky patří:
- mrtvice
- Krevní sraženiny
- Rakovina podšívky dělohy (lůna)
Pokud získáte některý z následujících varovných signálů nebo jiných neobvyklých příznaků, které vás týkají:
- neobvyklé vaginální krvácení
- Změny vize nebo řeči
- Náhlé nové těžké bolesti hlavy
- Bolest v hrudi nebo nohách se slabostí a únavou dech nebo bez ní nebo bez něj
Mezi méně závažné, ale běžné vedlejší účinky patří:
- Hot Flushes (také známé jako HORKÉ záblesky )
- Nadměrné pocení (hyperhidróza)
- vaginální výtok
- Těžké vaginální krvácení (vaginální krvácení)
- svalové křeče
- noční pocení
- bolest hlavy
Nejedná se o všechny možné vedlejší účinky Osfény. Pro více informací se zeptejte svého poskytovatele zdravotní péče nebo lékárníka. Řekněte svému poskytovateli zdravotní péče o jakýchkoli vedlejších účincích, které vás obtěžují nebo neodejdou. Zavolejte svého lékaře, kde najdete lékařskou radu ohledně vedlejších účinků. Můžete nahlásit vedlejší účinky FDA na 1-800-FDA-1088.
Co mohu udělat, abych snížil své šance na vážný vedlejší účinek s Osphenou?
- Pravidelně hovořte se svým poskytovatelem zdravotní péče o tom, zda byste měli i nadále brát Osfénu.
- Pokud se při brát Osphenu dostanete vaginální krvácení.
- Proveďte zkoušku prsu pánevní a mamogram (rentgen prsu) každý rok, pokud vám váš poskytovatel zdravotní péče neřekne něco jiného.
- Pokud členové vaší rodiny měli rakovinu prsu nebo pokud jste někdy měli hrudky prsu nebo abnormální mamogram (rentgenový paprsek), možná budete muset častěji provést zkoušky prsu.
- Pokud máte vysoký krevní tlak s vysokým obsahem cholesterolu, má diabetes s nadváhou nebo používáte tabák, můžete mít vyšší šanci získat srdeční onemocnění. Požádejte svého poskytovatele zdravotní péče o způsoby, jak snížit své šance na získání srdečních chorob.
- Řekněte svému poskytovateli zdravotní péče, pokud se chystáte podstoupit operaci nebo budete na odpočinku v posteli.
Jak mám ukládat Osphenu?
- Uložte Osphenu při teplotě místnosti mezi 68 ° F až 77 ° F (20 ° C až 25 ° C).
Udržujte Osphenu a všechny léky mimo dosah dětí.
Obecné informace o bezpečném a efektivním používání Ospheny.
Léky jsou někdy předepsány pro jiné účely než ty, které jsou uvedeny v letáku informací o pacientech. Nebere Osphenu za podmínku, pro kterou nebyla předepsána. Nedávejte Osphenu jiným lidem, i když mají stejné příznaky, jaké máte. Může jim to poškodit.
Tento informační leták s pacientem shrnuje nejdůležitější informace o Ospheně. Pokud byste chtěli více informací, promluvte si se svým poskytovatelem zdravotní péče nebo lékárníkem. Poskytněte svého poskytovatele zdravotní péče nebo lékárníka můžete požádat o informace o Ospheně, která je napsána pro zdravotnické pracovníky.
Jaké jsou ingredience v Osféně?
Aktivní složka: NEMOCNICE.
Neaktivní ingredience: Koloidní křemíkový oxid hypromelóza laktóza monohydrát hořčík Stearát Mannitol Mikrokrystalická celulóza Polyethylenglykol Povidon pregelatinizovaný škrob škrobový škrob glykolát titaničitý oxid a triacetin.
Tyto informace o pacientech byly schváleny americkou správou potravin a léčiv.