Informace Na Stránce Nepředstavují Lékařskou Radu. Nic Neprodáváme. Přesnost Překladu Není Zaručena. Zřeknutí Se Odpovědnosti



Tablety morfin sulfátu

Shrnutí drog

Co je morfin?

Tablety morfin sulfátu prodlouženým uvolňováním jsou opioidní agonistický produkt indikovaný pro léčbu bolesti, která je dostatečně vážná, aby vyžadovala každodenní nepřetržité dlouhodobé ošetření opioidů a pro které jsou alternativní možnosti léčby nedostatečné. Tablety prodlouženým uvolňováním morfinu jsou k dispozici v obecný formulář.

Jaké jsou vedlejší účinky morfinu?

Mezi běžné vedlejší účinky tablet s prodlouženým uvolňováním morfin sulfátu patří:



  • zácpa
  • nevolnost
  • ospalost
  • závrať
  • zvracení
  • pocení
  • Cítím se neklidný a
  • Euforická nálada.

Dávkování pro morfin

U pacientů s neopravu o opioidech a opioidních netolerantních pacientů je počáteční dávka prodlouženého uvolňování morfinu sulfátu 15 mg perorálně každých 8 až 12 hodin.



Jaké léčivé látky nebo doplňky interagují s morfinem?

Tablety morfin sulfátu prodlužujícího uvolňování mohou interagovat s jiným depresivními prostředky na centrální nervový systém (CNS) (jako jsou sedativy anxiolytiky Hypnotiky Tranquilizátory Obecné anestetiky Fenothiaziny Neuroleptiky Opioidy a alkohol) Pentazocin Nalbuphin BUTORPHONAL BUPRONORPORPHINU SUPLORFINE SULEPORITY VELIKOSTI) Cimetidin diuretika Antocholinergika a inhibitory PGP (např. Quinidin). Řekněte svému lékaři všechny léky a doplňky, které používáte.

Morfin během těhotenství a kojení

Morfin sulfát se nedoporučuje pro použití během těhotenství; Může to poškodit plod. Prodloužené použití morfin sulfátu během těhotenství může vést k náznakům novorozenců. Morfin sulfát prochází do mateřského mléka a může způsobit nepříznivé účinky na kojící dítě. Kojení při použití morfin sulfátu se nedoporučuje. Příznaky abstinenčních příznaků mohou nastat, pokud náhle přestanete brát morfin sulfát.



Další informace

Naše morfin sulfátové tablety Vedlejší účinky Drugové centrum poskytuje komplexní pohled na dostupné informace o možných vedlejších účincích při užívání tohoto léku.

Informace o drogách FDA

VAROVÁNÍ

Zneužívání a zneužívání závislosti; Život ohrožující respirační deprese; Náhodné požití; a syndrom stažení novorozenců opioidů

Wellbutrin SR 150 mg vedlejší účinky

Zneužívání a zneužívání závislosti

Tablety s prodlouženým uvolňováním morfinu vystavují pacienty a další uživatele rizikům zneužívání a zneužití závislosti na opioidech, což může vést k předávkování a smrti. Posouďte riziko každého pacienta před předepisováním tablet na prodloužení morfinu sulfátu a pravidelně sledujte všechny pacienty pro rozvoj těchto chování nebo podmínek [viz viz VAROVÁNÍS AND OPATŘENÍ ].

Život ohrožující respirační deprese

Při použití tablet prodlouženým uvolňováním morfinu sulfátu může dojít k vážnému život ohrožujícímu nebo fatálnímu respirační depresi. Monitorujte respirační depresi, zejména při zahájení tablet s prodlouženým uvolňováním morfinu nebo po zvýšení dávky. Pokyn pacientům, aby polykali celek tablety morfin sulfátu; Rozdrcení žvýkání nebo dis řešení tablet morfin sulfátu prodlouženým uvolňováním může způsobit rychlé uvolňování a absorpci potenciálně fatální dávky morfinu [viz viz VAROVÁNÍS AND OPATŘENÍ ].

Náhodné požití

Náhodné požití i jedné dávky tablet s prodlouženým uvolňováním morfin sulfátu, zejména u dětí, může vést k fatálnímu předávkování morfinem [viz viz VAROVÁNÍS AND OPATŘENÍ ].

Syndrom odběru novorozeneckého opioidu

Dlouhodobé použití tablet morfin sulfátu prodlouženým uvolňováním během těhotenství může mít za následek syndrom stažení novorozence opioidů, který může být život ohrožující, pokud není rozpoznán a léčen, a vyžaduje řízení podle protokolů vyvinutých odborníky na novorozence. Pokud je užívání opioidů vyžadováno po delší dobu u těhotné ženy, radí pacientovi o riziku syndromu stažení opioidů a zajistí, aby byla k dispozici vhodná léčba [viz viz VAROVÁNÍS AND OPATŘENÍ ].

Popis tabletů morfinu sulfátu

Tablety morfin sulfátu prodlouženým uvolňováním jsou pro perorální použití a obsahují morfin sulfát agonisty v mu-opioidním receptoru.

Každá tableta obsahuje následující neaktivní složky společné pro všechny silné stránky: cetostearyl alkohol hydroxyethyllulóza hypromelóza hořčíku stearát polyethylenglykol mast a titaničitý oxid.

Silné stránky tabletu popisují množství morfinu na tabletu jako pentahydratovanou sulfátovou soli (morfin sulfát).

15 mg tablet také obsahují: FD

30 mg tablety také obsahují: D

Tablety 60 mg také obsahují: D

100 mg tablety také obsahují: černý oxid železa

200 mg tablet také obsahují: D

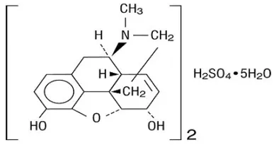
Morfin sulfát je bílý krystalický prášek bez zápachu s hořkou chutí. Má rozpustnost 1 z 21 částí vody a 1 z 1000 částí alkoholu, ale je prakticky nerozpustné v chloroformu nebo etheru. Octanol: koeficient morfinu ve vodě je 1,42 při fyziologickém pH a PK b je 7,9 pro terciární dusík (většinou ionizovaný při pH 7,4). Jeho strukturální vzorec je:

Použití pro tablety morfin sulfátu

Tablety pro rozšířené uvolňování morfin sulfátu jsou indikovány pro léčbu bolesti natolik závažné, aby vyžadovaly každodenní nepřetržité dlouhodobé ošetření opioidy a pro které jsou alternativní možnosti léčby nedostatečné.

Omezení použití

  • Because of the risks of addiction abuse and misuse with opioids even at recommended doses and because of the the greater risks of overdose and death with extended-release opioid formulations reserve morphine sulfate extended-release tablets for use in patients for whom alternative treatment options (e.g. non-opioid analgesics or immediate-release opioids) are ineffective not tolerated or would be otherwise inadequate to provide sufficient management bolesti.
  • Tablety s prodlouženým uvolňováním morfin sulfátu nejsou označeny jako analgetikum AS-potřebný (PRN).

Dávkování pro morfin Sulfate Tablets

Počáteční dávkování

Tablety s prodlouženým uvolňováním morfinu by měly předepsat pouze zdravotničtí pracovníci, kteří jsou znali při používání silných opioidů pro léčbu chronické bolesti.

Zahajte dávkovací režim pro každého pacienta individuálně s ohledem na předchozí zkušenost s analgetickou léčbou pacienta a rizikové faktory pro zneužívání a zneužití závislosti [viz viz VAROVÁNÍS AND OPATŘENÍ ]. Monitor patients closely for respiratory depression especially within the first 24 to 72 hours of initiating therapy with morphine sulfate extended-release tablets [see VAROVÁNÍS AND OPATŘENÍ ].

Tablety prodloužený uvolňování morfinu sulfátu musí být užívány celé. Rozdrcení žvýkání nebo rozpuštění morfin sulfátu prodloužený uvolňování povede k nekontrolovanému doručení morfinu a může vést k předávkování nebo smrti [viz viz VAROVÁNÍS AND OPATŘENÍ ].

Použití tablet morfin sulfátu prodlouženým uvolňováním jako prvního opioidního analgetiku

Inicializujte léčbu tabletami morfin sulfátu s prodlouženým uvolňováním s 15 mg tablety orálně každých 8 nebo 12 hodin.

Použití tablet morfin sulfátu pro prodloužený uvolňování u pacientů, kteří nejsou tolerantní opioidy

Počáteční dávka pro pacienty, kteří nejsou tolerantními opioidy, jsou tablety prodlužovaného uvolňování morfin sulfátu 15 mg perorálně každých 12 hodin. Pacienti, kteří jsou tolerantními opioidy, jsou pacienti, kteří dostávají jeden týden nebo déle nejméně 60 mg perorálního morfinu za den 25 mcg transdermální fentanyl za hodinu 30 mg perorální oxykodon za den 8 mg orální hydromorphone za den 25 mg orální oxymorphone za den nebo ekianalgesic dávka dalšího opioidu.

Použití vyšších počátečních dávek u pacientů, kteří nejsou tolerantními opioidy, může způsobit fatální respirační depresi.

Přeměna z jiného perorálního morfinu na tablety s prodlouženým uvolňováním morfinu

Pacienti, kteří dostávají jiné formulace perorálního morfinu, mohou být přeměněni na tablety prodlužované relevence morfinu sulfátem podáváním jedné poloviny 24hodinového požadavku pacienta jako morfinového prodlouženého tablety na tablety na každém plánu na každém plánu, na každém plánu, na každém plánu, na každém, 8-hodinovém plánu.

Přeměna z jiných opioidů na tablety pro rozšířené uvolňování morfinu

Neexistují žádné stanovené poměry konverze pro přeměnu z jiných opioidů na tablety pro rozšířené uvolňování morfin sulfátu definované klinickými studiemi. Přerušte všechny ostatní nepřetržité opioidní léky, když je zahájena terapie tabletů morfin sulfátu, a zahájí dávkování pomocí tablet prodlouženým uvolňováním morfinu sulfátu 15 mg každých 8 až 12 hodin.

Je bezpečnější podceňovat 24hodinové požadavky na perorální morfin pacienta a poskytovat záchranné léky (např. Morfin s okamžitým uvolňováním), než přeceňovat 24hodinové perorální morfinové požadavky a zvládnout nežádoucí reakci. Přestože jsou snadno dostupné užitečné tabulky ekvivalentů opioidů, existuje značná variabilita mezi pacienty v relativní účinnosti různých opioidních léků a produktů.

Převod z parenterálního morfinu nebo jiných opioidů (parenterální nebo ústní) na tablety prodlužujícího morfin sulfátu

Při převodu z parenterálního morfinu nebo jiných nemorfinových opioidů (parenterální nebo perorální) na tablety s prodlouženým uvolňováním morfin sulfátu zvažte následující obecné body:

  • Poměr parenterálního a perorálního morfinu: Mezi 2 až 6 mg perorálního morfinu může být vyžadováno pro zajištění analgezie ekvivalentní 1 mg parenterálního morfinu. Obvykle je dostatečná dávka morfinu, která je přibližně trojnásobně předchozí denní požadavek parenterálního morfinu.
  • Jiné parenterální nebo perorální nemorfinové opioidy na perorální morfin sulfát: Konkrétní doporučení nejsou k dispozici kvůli nedostatku systematických důkazů pro tyto typy analgetických substitucí. Jsou k dispozici publikovaná data relativní účinnosti, ale takové poměry jsou aproximace. Obecně začínají polovinou odhadovaného denního morfinového požadavku jako počáteční dávkovou neadekvátní analgezii suplementací morfinem s okamžitým uvolňováním.
Přeměna z metadonu na tablety s prodlouženým uvolňováním morfinu

Při přeměně metadonu na jiné agonisty opioidů je zvláště významné monitorování. Poměr mezi metadonem a jinými opioidními agonisty se může značně lišit v závislosti na předchozí expozici dávky. Metadon má dlouhý poločas a může se hromadit v plazmě.

Titrace a udržování terapie

Individuálně titrují tablety morfinu sulfátu prodlouženým uvolňováním na dávku, která poskytuje dostatečnou analgezii a minimalizuje nežádoucí účinky. Neustále přehodnocují pacienty, kteří dostávají tablety morfin sulfátu prodloužený, aby vyhodnotili udržování kontroly bolesti a relativní výskyt nežádoucích účinků a sledování pro rozvoj zneužívání nebo zneužití závislosti. Častá komunikace je důležitá mezi lékaři ostatními členy týmu zdravotnictví Pacienta a pečovatel/rodina v období měnících se analgetických požadavků včetně počáteční titrace. Během chronické terapie pravidelně přehodnotí pokračující potřebu používání opioidních analgetik.

Pacienti, kteří trpí průlomovou bolestí, mohou vyžadovat zvýšení dávky tablet morfin sulfátu prodlužované relevence nebo mohou vyžadovat záchranné léky s vhodnou dávkou analgetiky s okamžitým uvolňováním. Pokud se úroveň bolesti po stabilizaci dávky pokouší identifikovat zdroj zvýšené bolesti před zvýšením dávky tablet s prodlouženým uvolňováním morfinu. Protože koncentrace plazmy ustáleného státu jsou aproximovány u 1 denního morfinu sulfátu prodlouženým uvolňováním tabletů, mohou být prováděny úpravy dávkování každých 1 až 2 dny.

Pokud jsou pozorovány nepřijatelné nežádoucí účinky související s opioidy, mohou být sníženy následující dávky. Upravte dávku a získejte vhodnou rovnováhu mezi léčbou bolesti a nežádoucích účinků souvisejících s opioidy.

Přerušení tablet morfin sulfátu prodloužený uvolňování

Pokud pacient již nevyžaduje terapii morfinem sulfátem prodlouženým uvolňováním, použijte postupnou titraci dávky dolů, aby se zabránilo příznakům a příznakům stažení u fyzicky závislého pacienta. Nezakrývejte náhle nepřerušejte tablety morfin sulfátu prodlouženým uvolňováním.

Podávání tablet morfin sulfátu prodlouženým uvolňováním

Tablety prodloužený uvolňování morfinu sulfátu musí být užívány celé. Rozdrcení žvýkání nebo rozpuštění morfin sulfátu prodloužený uvolňování povede k nekontrolovanému doručení morfinu a může vést k předávkování nebo smrti [viz viz VAROVÁNÍS AND OPATŘENÍ ].

Jak dodáno

Formy a silné stránky dávkování

  • Tablety morfin sulfát prodloužený uvolňování 15 mg
    Kulaté modré barvy potažené filmové tablety nesoucí symbol ABG na jedné straně a 15 na druhé straně
  • Tablety morfin sulfátu prodloužený uvolňování 30 mg
    Kulaté levandulové zbarvené tablety potažené filmem nesoucí symbol ABG na jedné straně a 30 na druhé straně
  • Tablety morfin sulfátu prodloužený uvolňování 60 mg
    Kulaté pomerančové filmové tablety nesoucí symbol ABG na jedné straně a 60 na druhé straně
  • Tablety morfin sulfát prodloužený uvolňování 100 mg*
    Kulaté šedé barvy filmové tablety nesoucí symbol ABG na jedné straně a 100 na druhé straně
  • Tablety morfin sulfátu prodlouženým uvolňováním 200 mg*
    Tablety potažené filmové filmy ve tvaru kapsle nesoucí symbol ABG na jedné straně a 200 na druhé straně

*100 mg a 200 mg tablet jsou pro nás e pouze u pacientů s tolerantními opioidy

Skladování a manipulace

Tablety morfin sulfát prodloužený uvolňování 15 mg jsou kulaté modré barvy potažené filmové tablety nesoucí symbol ABG na jedné straně a 15 na druhé straně. Jsou dodávány takto:

NDC 42858-801-01: Neprůhledné plastové láhve obsahující 100 tablet

Tablety morfin sulfátu prodloužený uvolňování 30 mg jsou kulaté levandule -rozložené tablety potažené filmem nesoucí symbol ABG na jedné straně a 30 na druhé straně. Jsou dodávány takto:

NDC 42858-802-01: Neprůhledné plastové láhve obsahující 100 tablet

Tablety morfin sulfátu prodloužený uvolňování 60 mg jsou kulaté pomerančové filmové tablety nesoucí symbol ABG na jedné straně a 60 na druhé straně. Jsou dodávány takto:

NDC 42858-803-01: Neprůhledné plastové láhve obsahující 100 tablet

Tablety morfin sulfátu prodloužený uvolňování 100 mg jsou kulaté šedé barvy potažené filmové tablety nesoucí symbol ABG na jedné straně a 100 na druhé straně. Jsou dodávány takto:

NDC 42858-804-01: Neprůhledné plastové láhve obsahující 100 tablet

Tablety morfin sulfát prodloužený uvolňování 200 mg jsou to kapsle ve tvaru zeleně zbarvené filmové tablety nesoucí symbol ABG na jedné straně a 200 na druhé straně. Jsou dodávány takto:

NDC 42858-805-01: Neprůhledné plastové láhve obsahující 100 tablet

Skladovat při 25 ° C (77 ° F); Exkurze jsou povoleny mezi 15 ° až 30 ° C (59 ° až 86 ° F).

Vydejte se v těsném kontejneru odolném proti světlu.

POZOR

Vyžaduje se formulář DEA

K čemu je včela propolis dobrá

Vyrobeno: Purdue Pharmaceuticals L.P. Wilson NC 27893. Revidováno: květen 2015

Vedlejší účinky for Morphine Sulfate Tablets

Následující závažné nežádoucí účinky jsou popsány jinde při označování:

  • Zneužívání a zneužívání závislosti [see VAROVÁNÍS AND OPATŘENÍ ]
  • Život ohrožující respirační deprese [see VAROVÁNÍS AND OPATŘENÍ ]
  • Syndrom odběru novorozeneckého opioidu [see VAROVÁNÍS AND OPATŘENÍ ]
  • Interakce s jinými depresivními prostředky CNS [viz VAROVÁNÍS AND OPATŘENÍ ]
  • Hypotenzní efekt [viz VAROVÁNÍS AND OPATŘENÍ ]
  • Gastrointestinální účinky [viz VAROVÁNÍS AND OPATŘENÍ ]
  • Záchvaty [viz VAROVÁNÍS AND OPATŘENÍ ]

Zkušenosti klinického hodnocení

Protože klinické studie se provádějí za široce proměnlivých podmínek, nežádoucí rychlosti nežádoucí reakce pozorované v klinických studiích léčiva nelze přímo porovnat s mírami v klinických studiích s jiným lékem a nemusí odrážet míru pozorované v praxi.

Tablety prodlouženým uvolňováním morfinu síranu mohou zvýšit riziko závažných nežádoucích účinků, jako jsou ty, které byly pozorovány u jiných opioidních analgetik, včetně hypotenze nebo šoku respirační deprese respirační deprese [Viz viz PŘEDÁVKOVAT ].

Nejčastěji pozorované reakce

V klinických studiích byly nejběžnějšími nežádoucími účinky s tabletami prodlužovaným uvolňováním morfinu sulfátu zácpy sedací sedace nevolnosti zvracení potící dysforie a euforickou náladou.

Některé z těchto účinků se zdají být výraznější u ambulantních pacientů a u pacientů, kteří nezažívají vážnou bolest.

Méně často pozorované reakce

Kardiovaskulární poruchy : Palpitace Tachycardia Bradycardia

Poruchy očí : Vizuální zraka vize rozmazaná diplopie mióza

Gastrointestinální poruchy : sucho v ústech průjem břišní bolest zácpa dyspepsie

Obecné poruchy a podmínky pro správu : zimnice pocit neobvyklé otoky Edém Periferní slabost

Hepatobiliární poruchy : Biliární kolika

Poruchy metabolismu a výživy : anorexie

Poruchy muskuloskeletální a pojivové tkáně : Twitching svalů svalové tuhosti

Poruchy nervového systému : Presyncope Syncope bolest hlavy Tremor Neoorordinované pohyby svalu Křeh Intrakraniální tlak Zvýšený změna chuti Parestézie nystagmus

Psychiatrické poruchy : Agitace nálada změnila úzkost Deprese Abnormální sny halucinace dezorientace nespavosti

Poruchy ledvin a moči : Antidiuretické účinky váhání moči pro retence moči

Reprodukční systém a poruchy prsu: snížené libido a/nebo účinnost

Respirační hrudní a mediastinální poruchy : Laryngospaspasp

Poruchy kůže a podkožní tkáně : Evolidus Urticaria vyrážka

Cévní poruchy : spláchnutí hypotenze hypertenze

Post-Marketing Experience

Následující nežádoucí účinky byly identifikovány během postgrapovačního používání tablet na prodloužení morfin sulfátu: amenorea asthenia bronchospasm Zmatená stavová hypersenzitivita Únava Hypertonia ileus Ileus Zvýšená enzymy jaterní enzymy Lethargie Malaise Pulmonary EDEME.

Anafylaxe byla hlášena s přísadami obsaženými v tabletách s prodlouženým uvolňováním morfin. Poraďte pacientům, jak rozpoznat takovou reakci a kdy vyhledat lékařskou péči.

Lékové interakce for Morphine Sulfate Tablets

CNS depresivní

Současné použití tablet morfin sulfátu s prodlouženým uvolňováním s jinými depresivními látkami CNS včetně sedativ hypnotics Tranquilizers Obecné anestetiky Fenothiaziny Ostatní opioidy a alkohol mohou zvýšit riziko respirační deprese, které je nejvýraznější sedací kómy a smrti. Monitorujte pacienty, kteří dostávají depresivní látky CNS a tablety s prodlouženým uvolňováním morfinu sulfátu pro známky sedace respirační deprese a hypotenze.

Pokud se kombinovaná terapie s některým z výše uvedených léků považuje za dávku jednoho nebo obou látek, která by měla být snížena [viz Dávkování a podávání a VAROVÁNÍS AND OPATŘENÍ ].

Interakce se smíšeným agonistou/antagonistou a částečnými agonistickými opioidními analgetikami

Smíšený agonista/antagonista (tj. Pentazocin nalbuphin a butorfanol) a částečný agonista (buprenorfin) analgetika může snížit analgetický účinek tablet prodlužovaného uvolnění morfin sulfátu nebo vyvolávat abstinenční příznaky. Vyvarujte se používání agonisty/antagonisty a částečného agonistického analgetiky u pacientů, kteří dostávají tablety s prodlouženým uvolňováním morfinu.

Svalové relaxanty

Morfin může zvýšit neuromuskulární blokovací účinek relaxantu kosterního svalu a produkovat zvýšený stupeň respirační deprese. Monitorujte pacienty, kteří dostávají svalové relaxanty a tablety pro prodloužený uvolňování morfinu sulfátu pro známky respirační deprese, které mohou být větší než jinak.

Inhibitory monoamin oxidázy (MAOI)

Účinky morfinu mohou být potenciálními Maois. Monitorujte pacienty na souběžné terapii maoi a morfinem sulfátem prodlouženým uvolňováním pro zvýšenou depresi respiračního a centrálního nervového systému. Bylo popsáno, že Maois zesilují účinky záměny morfinové úzkosti a významné deprese dýchání nebo kómatu. Tablety s prodlouženým uvolňováním morfinu by se neměly používat u pacientů užívajících MAOI nebo do 14 dnů od zastavení takové léčby.

Cimetidin

Cimetidin can potentiate morphine-induced respiratory depression. There is a report of confusion a severe respiratory depression when a patient undergoing hemodialysis was concurrently administered morphine a cimetidine. Monitor patients for respiratory depression when morphine sulfate extendedrelease tablets a cimetidine are used concurrently.

Diuretika

Morfin může snížit účinnost diuretik indukcí uvolňování antidiuretického hormonu. Morfin může také vést k akutní retenci moči tím, že způsobí křeč svěrače močového měchýře, zejména u mužů se zvětšenými prostaty.

Anticholinergika

Anticholinergika or other medications with anticholinergic activity when used concurrently with opioid analgesics may result in increased risk of urinary retention a/or severe zácpa which may lead to paralytic ileus. Monitor patients for signs of urinary retention or reduced gastric motility when morphine sulfate extended-release tablets are used concurrently with anticholinergic drugs.

Inhibitory p-glykoproteinu (PGP)

Inhibitory PGP (např. Quinidin) mohou zvýšit absorpci/expozici morfin sulfátu přibližně dvojím. Proto monitorujte pacienty na příznaky deprese dýchacího a centrálního nervového systému, když se tablety prodlouženým uvolňováním morfinu sulfátu používají souběžně s inhibitory PGP.

Zneužívání a závislost drog

Kontrolovaná látka

Tablety morfin sulfátu prodlouženým uvolňováním obsahují morfin A Schedule II kontrolovanou látku s vysokým potenciálem pro zneužívání podobné ostatním opioidy včetně fentanyl hydromorfonu metadonu oxykodonu a oxymorphone. Tablety prodlouženým uvolňováním morfinu mohou být zneužívány a jsou předmětem zneužití závislosti a trestního odklonu [viz VAROVÁNÍS AND OPATŘENÍ ].

Vysoký obsah léčiva ve formulacích s prodlouženým uvolňováním zvyšuje riziko nepříznivých výsledků zneužívání a zneužití.

Zneužívání

Všichni pacienti léčeni opioidy vyžadují pečlivé monitorování příznaků zneužívání a závislosti, protože používání analgetických produktů opioidů přináší riziko závislosti i při vhodném lékařském použití. Zneužívání drog je úmyslné neterapeutické užívání volně prodejného nebo léčiva na předpis, i jednou pro jeho odměňující psychologické nebo fyziologické účinky. Zneužívání drog zahrnuje, ale není omezeno na následující příklady: použití předpisu nebo volně prodejného léčiva k získání vysokého nebo použití steroidů pro zvýšení výkonu a nahromadění svalů.

Drogová závislost je shluk kognitivních a fyziologických jevů, které se vyvíjejí po opakovaném užívání návykových látek a zahrnují: silná touha užívat drogové potíže při kontrole jeho užívání přetrvávajícího v jeho používání, a to i přes škodlivé důsledky, která je dána k užívání drog, než na jiné činnosti a závazky zvýšily toleranci a někdy i fyzickou stažení.

Chování „hledání drog“ je pro závislé a drogové zneužívání velmi běžné. Mezi taktika hledání drog patří tísňová volání nebo návštěvy na konci úředních hodin odmítnutí podstoupit příslušné zkoušky nebo doporučení opakované nároky na ztrátu předpisů, které manipulují s předpisy a neochota poskytovat předchozí lékařské záznamy nebo kontaktní informace pro jiné léčby lékaře (lékaře). Nakupování lékaře (návštěva více předepisujících předepisovatelů), aby se získala další recepty, je běžná u zneužívajících drog a lidmi trpících neléčenou závislostí.

Zájem o dosažení přiměřené úlevy od bolesti může být vhodným chováním u pacienta se špatnou kontrolou bolesti.

Zneužívání a addiction are separate a distinct from physical dependence a tolerance. Physicians should be aware that addiction may not be accompanied by concurrent tolerance a symptoms of physical dependence in all addicts. In addition abuse of opioids can occur in the absence of true addiction.

Tablety prodlouženým uvolňováním morfinu, jako jsou ostatní opioidy, mohou být odkloněny pro nelékařské použití do nezákonných distribučních kanálů. Pečlivé záznamy o předpisování informací včetně požadavků na frekvenci kvantity a obnovy, jak vyžaduje státní právo.
Správné posouzení pacienta správné předepisování praktik Periodické přehodnocení terapie a řádného výdeje a skladování jsou vhodnými opatřeními, která pomáhají snižovat zneužívání opioidních léků.

Rizika specifická pro zneužívání tablet s morfinem sulfátem

Tablety prodlouženým uvolňováním morfinu jsou pouze pro ústní použití. Zneužívání tablet morfin sulfátu prodlužovalo se riziko předávkování a smrti. Toto riziko se zvyšuje souběžným zneužíváním tablet prodlužovaného uvolňování morfin s alkoholem a jinými látkami. Užívání rozbitého žvýkaného drceného nebo rozpuštěného morfin sulfátu prodloužený uvolňování zvyšuje uvolňování léčiva a zvyšuje riziko předávkování a smrti.

Vzhledem k přítomnosti mastku jako jednoho z pomocných látek v tabletách s prodlouženým uvolňováním morfin sulfátu může mít za následek zneužívání parenterálního zneužívání parenterálního zneužívání parenterální zneužívání lokální tkáňové nekrózy infekce plicních granulomů a zvýšené riziko endokarditidy a poškození srdce. Zneužívání parenterálního léčiva je běžně spojeno s přenosem infekčních chorob, jako je hepatitida a HIV.

Závislost

Tolerance i fyzikální závislost se mohou vyvinout během chronické terapie opioidy. Tolerance je potřeba zvyšování dávek opioidů k ​​udržení definovaného účinku, jako je analgezie (v nepřítomnosti progrese onemocnění nebo jiné vnější faktory). Tolerance může dojít k požadovaným i nežádoucím účinkům léčiv a může se rozvíjet různou rychlostí pro různé účinky.

Fyzická závislost má za následek abstinenční příznaky po prudkém přerušení nebo významnému snížení dávky léčiva. Stažení může být také vysráženo podáváním drog s aktivitou antagonisty opioidů, např. Naloxone nalmefen smíšená agonista/antagonistická analgetika (pentazocin butorfanol nalbuphine) nebo částečný agonisté (buprenorfin). Fyzikální závislost nemusí dojít do klinicky významného míry až po několika dnech až týdnech pokračujícího používání opioidů.

Tablety morfin sulfátu prodloužený uvolňování by neměly být náhle přerušeny [viz Dávkování a podávání ]. If morphine sulfate extended-release tablets are abruptly discontinued in a physically-dependent patient an abstinence syndrome may occur. Some or all of the following can characterize this syndrome: restlessness lacrimation rhinorrhea yawning perspiration chills myalgia a mydriasis. Other signs a symptoms also may develop including: irritability anxiety backache joint pain weakness abdominal cramps insomnia nevolnost anorexia zvracení diarrhea or increased blood pressure respiratory rate or heart rate.

Kojenci narozené matkám fyzicky závislým na opioidech budou také fyzicky závislé a mohou vykazovat respirační potíže a nápisy pro stažení [viz Použití v konkrétních populacích ].

Varování pro tablety morfinu sulfátu

Zahrnuto jako součást 'OPATŘENÍ' Sekce

Opatření pro tablety morfinu sulfátu

Zneužívání a zneužívání závislosti

Tablety prodlouženým uvolňováním morfinu obsahují látku s kontrolovanou morfinem II. Jako opioidní morfin sulfát sulfát prodloužený uvolňování vystavují své uživatele rizikům zneužívání a zneužití závislosti. Vzhledem k tomu, že výrobky modifikované uvolňování, jako je tablety pro rozšířené uvolňování morfin sulfátu, dodávají opioid po delší dobu, existuje větší riziko předávkování a smrti v důsledku většího množství přítomného morfinu [viz viz Zneužívání a závislost drog ].

Ačkoli riziko závislosti u jakéhokoli jednotlivce není známo, může se vyskytnout u pacientů vhodně předepsaných tabletů morfinu sulfátu s prodlouženým uvolňováním a u těch, kteří lék získají nezákonně. Závislost může nastat při doporučených dávkách a pokud je lék zneužíván nebo zneužíván.

Před předepisováním tablet prodlouženým uvolňováním morfinu sulfátu a sledováním všech pacientů, kteří dostávají opioidy pro rozvoj těchto chování nebo podmínek, posoudit riziko každého pacienta pro zneužívání závislosti na opioidech nebo zneužití. Rizika se zvyšují u pacientů s osobní nebo rodinnou anamnézou zneužívání návykových látek (včetně zneužívání nebo závislosti na drogách nebo alkoholu) nebo duševním onemocněním (např. Hlavní deprese). Potenciál těchto rizik by však neměl zabránit správnému řízení bolesti u daného pacienta. Pacienti se zvýšeným rizikem mohou být předepsány modifikovaným uvolňováním opioidních formulací, jako jsou tablety pro rozšířené uvolňování morfinu sulfátu, ale použití u takových pacientů vyžaduje intenzivní poradenství o rizicích správného používání tablet s prodlouženým uvolňováním morfinu sulfátu spolu s intenzivním sledováním příznaků zneužívání závislosti.

Zneužívání or misuse of morphine sulfate extended-release tablets by crushing chewing snorting or injecting the dissolved product will result in the uncontrolled delivery of morphine a can result in overdose a death [see PŘEDÁVKOVAT ].

Agonisté opioidních agonisté, jako je tablety na prodloužený uvolňování morfin sulfátu, hledají zneužívání drog a lidé s poruchami závislosti a podléhají trestnému odklonu. Zvažte tato rizika při předepisování nebo vydávání tablet morfinu sulfátu prodlouženým uvolňováním. Strategie ke snížení těchto rizik zahrnují předepisování léku v nejmenším vhodném množství a poradenství pacientovi k řádné likvidaci nepoužitého léčiva [viz Informace o poradenství pro pacienta ]. Contact local state professional licensing board or state controlled substances authority for information on how to prevent a detect abuse or diversion of this product.

Život ohrožující respirační deprese

Při použití modifikovaných opioidů byla hlášena vážná život ohrožující život nebo fatální respirační deprese, i když se používá podle doporučení. Despirační deprese z užívání opioidů, pokud není okamžitě rozpoznána a léčena, může vést k zatčení a smrti dýchacích cest. Řízení respirační deprese může zahrnovat podpůrné opatření a použití antagonistů opioidů v závislosti na klinickém stavu pacienta [viz viz PŘEDÁVKOVAT ]. Carbon dioxide (CO 2 ) Retence z respirační deprese vyvolané opioidy může zhoršit sedační účinky opioidů.

Zatímco vážné život ohrožující nebo fatální respirační deprese může nastat kdykoli během používání tablet s prodlouženým uvolňováním morfinu sulfátu, riziko je největší během zahájení terapie nebo po zvýšení dávky. Při zahájení terapie morfinem sulfátem s prodlouženým uvolňováním a po zvýšení dávky pečlivě sledujte pacienty s respirační depresí.

Pro snížení rizika respirační deprese Správné dávkování a titrace tabletů morfin sulfátu jsou nezbytné [Viz Dávkování a podávání ]. Overestimating the morphine sulfate extended-release tablets dose when converting patients from another opioid product can result in a fatal overdose with the first dose.

Náhodné požití i jedné dávky tablet morfin sulfátu prodlouženým uvolňováním, zejména u dětí, může vést k despirační depresi a smrti v důsledku předávkování morfinem.

Syndrom odběru novorozeneckého opioidu

Dlouhodobé použití tablet morfin sulfátu prodlouženým uvolňováním během těhotenství může mít za následek stažení novorozence. Neonatální syndrom odběru opioidů na rozdíl od syndromu odběru opioidů u dospělých může být život ohrožující, pokud není rozpoznán a léčen a vyžaduje řízení podle protokolů vyvinutých odborníky na novorozence. Pokud je užívání opioidů vyžadováno po delší dobu u těhotné ženy, radí pacientovi o riziku syndromu stažení opioidů a zajistí, že bude k dispozici vhodná léčba.

Syndrom stažení novorozeneckého opioidu představuje jako podrážděnost hyperaktivita a abnormální vzor spánku Vysoký výkřik zvracení Cry Tremor zvracení a selhání přibývání na váze. Doba trvání nástupu a závažnost syndromu stahování opioidů novorozence se liší v závislosti na specifickém opioidu používaném trvání načasování používání a množství posledního užívání matek a míry eliminace léčiva novorozencem.

Interakce s depresivními prostředky centrálního nervového systému

Hypotenze a hluboká sedační kóma nebo deprese dýchacích cest mohou mít za následek, pokud se tablety prodlouženým uvolňováním morfinu sulfátu používají souběžně s jinými depresivními činidlami centrálního nervového systému (CNS) (např. Sedativa axiolytiky neuroleptiky neuroleptik).

Při zvažování použití tablet na prodloužený uvolňování morfin sulfátu u pacienta s depresivním depresí posoudí dobu používání depresivu CNS a reakce pacienta, včetně stupně tolerance, která se vyvinula na depresi CNS. Dále vyhodnoťte užívání alkoholu a/nebo nezákonných drog pacienta, které způsobují depresi CNS. Pokud se rozhodne zahájit tablety pro prodloužený uvolňování morfinu sulfátu, začne nejnižší možnou dávkou 15 mg každých 12 hodin pacientů s monitorem pro známky sedace a respirační deprese a zvažte použití nižší dávky souběžné depresivní CNS [viz viz Lékové interakce ].

Používejte u starších kachektických a oslabených pacientů

Životní respirační deprese je pravděpodobnější, že se vyskytne u starších kachektických nebo desilitovaných pacientů, protože mohou ve srovnání s mladšími zdravějšími pacienty změnit farmakokinetiku nebo změněnou vůli. Sledujte takové pacienty, zejména při zahájení a titraci tablet morfin sulfátu prodloužený uvolňování a při morfinu sulfátu prodlouženým uvolňováním jsou podávány souběžně s jinými léky, které snižují respiraci [viz viz respirace [viz viz [viz Život ohrožující respirační deprese ].

Používání u pacientů s chronickým plicním onemocněním

Monitorujte pacienty s významným chronickým obstrukčním plicním onemocněním nebo cor pulmonale a pacienti, kteří mají podstatně sníženou hypercapnii hypoxie respirační rezervy nebo již existující respirační depresi pro respirační depresi, zejména při iniciaci terapie a titraci morfin sulfátu, které se mohou u těchto pacientů snižovat, a dokonce i u těchto pacientů může dokonce obvyklé terapeutické dávky sulfíny pro prodloužení, které mohou snižovat taneály, které mohou snižovat taneály, které se mohou snížit taneály, které se mohou snížit tableárními taneáta Apnoe [viz Život ohrožující respirační deprese ]. Consider the use of alternative non-opioid analgesics in these patients if possible.

může premarin krém způsobit infekce kvasinek

Hypotenzní účinky

Tablety morfin sulfátu prodlouženým uvolňováním mohou způsobit těžkou hypotenzi včetně ortostatické hypotenze a synkopy u ambulantních pacientů. U pacientů, jejichž schopnost udržovat krevní tlak již byla ohrožena sníženým objemem krve nebo souběžným podáváním některých léků s depresí CNS (např. Fenothiaziny nebo obecné anestetika), existuje zvýšené riziko [viz viz snižovat krevní objem nebo souběžným podáváním určitých léků na snižování CNS (např. Fenothiaziny nebo obecná anestetika) [ Lékové interakce ]. Monitor these patients for signs of hypotension after initiating or titrating the dose of morphine sulfate extended-release tablets. In patients with circulatory shock morphine sulfate extended-release tablets may cause vasodilation that can further reduce cardiac output a blood pressure. Avoid the use of morphine sulfate extended-release tablets in patients with circulatory shock.

Použití u pacientů s poškozením hlavy nebo zvýšeným intrakraniálním tlakem

Monitorujte pacienty užívající tablety morfin sulfátu prodlouženým uvolňováním, kteří mohou být citliví na intrakraniální účinky CO 2 Retence (např. Ti, kteří mají důkaz zvýšeného intrakraniálního tlaku nebo nádorů mozku) pro příznaky sedace a deprese dýchacích cest, zejména při zahájení terapie tabletami pro prodloužené uvolňování morfinu. Tablety morfin sulfátu prodloužený uvolňování mohou snížit respirační pohon a výsledný CO 2 Retence může dále zvýšit intrakraniální tlak. Opioidy mohou také zakrývat klinický průběh u pacienta s poraněním hlavy.

Vyvarujte se používání tablet morfin sulfátu pro prodloužený uvolňování u pacientů se zhoršeným vědomím nebo kómatem.

Používání u pacientů s gastrointestinálními podmínkami

U pacientů s paralytickým ileuem jsou kontraindikovány tablety morfin sulfát. Vyvarujte se použití tablet morfin sulfátu pro rozšíření uvolňování u pacientů s jinou obstrukcí GI.

Morfin v tabletách morfin sulfátu prodloužený uvolňování může způsobit křeč svěračku Oddi. Monitorujte pacienty s onemocněním biliárního traktu včetně akutní pankreatitidy pro zhoršující se příznaky. Opioidy mohou způsobit zvýšení sérové ​​amylázy.

Používejte u pacientů s poruchami křeče nebo záchvatů

Morfin v tabletách morfinu sulfátu prodloužený uvolňování může u pacientů s křečovými poruchami zhoršit křeče a může v některých klinických prostředích vyvolat nebo zhoršit záchvaty. Sledujte pacienty s anamnézou poruch záchvatů pro zhoršenou kontrolu záchvatů během terapie tabletů morfin sulfátu.

Vyhýbání se stažení

Vyvarujte se použití smíšeného agonisty/antagonisty (tj. Pentazocin nalbuphine a butorfanolu) nebo analgetiky částečného agonisty (buprenorfinu) u pacientů, kteří dostávali nebo dostávají terapii s plně opioidními agonistickými analgetickými morfinovými morfinovými sulfátovými tabulkami. U těchto pacientů může smíšená agonisty/antagonista a analgetika částečné agonisty snížit analgetický účinek a/nebo mohou vyvolat abstinenční příznaky.

Při přerušení morfin sulfát sulfát prodloužený uvolňování postupně se dává dávku [viz Dávkování a podávání ]. Do not abruptly discontinue morphine sulfate extended-release tablets.

Řízení a provozní stroje

Tablety morfin sulfátu prodlouženým uvolňováním mohou narušit mentální nebo fyzické schopnosti potřebné k provádění potenciálně nebezpečných činností, jako je řízení automobilu nebo provozní stroje. Varujte pacienty, aby řídili nebo nepracují nebezpečné stroje, pokud nejsou tolerantní vůči účinkům tablet morfin sulfátu a vědí, jak budou reagovat na léky.

Informace o poradenství pro pacienta

Doporučujte pacientovi, aby si přečetl značení pacienta schváleného FDA ( Průvodce léky ).

Zneužívání a zneužívání závislosti

Informujte pacienty, že používání tablet na prodloužený uvolňování morfin sulfátu, i když je odebráno podle doporučení VAROVÁNÍS AND OPATŘENÍ ]. Instruct patients not to share morphine sulfate extended-release tablets with others a to take steps to protect morphine sulfate extended-release tablets from theft or misuse.

Život ohrožující respirační deprese

Informujte pacienty o riziku život ohrožující despirační deprese, včetně informací, že riziko je největší při zahájení tabů s prodlouženým uvolňováním morfinu nebo při zvýšení dávky a že se může vyskytnout i při doporučených dávkách [viz viz [viz VAROVÁNÍS AND OPATŘENÍ ]. Advise patients how to recognize respiratory depression a to seek medical attention if breathing difficulties develop.

Náhodné požití

Informujte pacienty, že náhodné požití, zejména u dětí, může mít za následek respirační depresi nebo smrt [viz VAROVÁNÍS AND OPATŘENÍ ]. Instruct patients to take steps to store morphine sulfate extended-release tablets securely a to dispose of unused morphine sulfate extended-release tablets by flushing the tablets down the toilet.

Syndrom odběru novorozeneckého opioidu

Informujte pacienty o reprodukčním potenciálu, že dlouhodobé použití tablet morfin sulfátu prodlužováno během těhotenství může mít za následek syndrom stažení novorozeneckého opioidu, který může být životnost, pokud není rozpoznán a léčen [viz viz [Viz [viz [Viz VAROVÁNÍS AND OPATŘENÍ ].

Interakce s alkoholem a jinými depresivními látkami CNS

Informujte pacienty, že potenciálně závažné aditivní účinky mohou nastat, pokud se tablety s prodlouženým uvolňováním morfinu používají s alkoholem nebo jinými depresivy CNS a nepoužívají takové léky, pokud není pod dohledem poskytovatel zdravotní péče pod dohledem.

Důležité pokyny pro správu

Pokyn pacientům, jak správně užívat tablety morfin sulfátu prodlouženým uvolňováním, včetně následujících:

  • Polykání morfin sulfát prodloužený uvolňování celek
  • Nebrkávání žvýkání nebo rozpuštění tabletů
  • Použití tablet s prodlouženým uvolňováním morfinu síranu přesně tak, jak jsou předepsány ke snížení rizika nežádoucích účinků života (např. Despirační deprese)
  • Neukončení morfin sulfátu s prodlouženým uvolňováním, aniž by nejprve diskutoval o potřebě zužujícího se režimu s předepisujícím lékařem
Hypotenze

Informujte pacienty, že tablety morfin sulfátu prodloužený uvolňování mohou způsobit ortostatickou hypotenzi a synkopu. Instrujte pacienty, jak rozpoznat příznaky nízký krevní tlak a how to reduce the risk of serious consequences should hypotension occur (e.g. sit or lie down carefully rise from a sitting or lying position).

Řízení nebo provozování těžkých strojů

Informujte pacienty, že tablety morfin sulfátu prodloužený uvolňování mohou narušit schopnost provádět potenciálně nebezpečné činnosti, jako je řízení automobilu nebo provozování těžkých strojů. Doporučujte pacientům, aby takové úkoly neprovedli, dokud neví, jak budou reagovat na léky.

Zácpa

Poraďte pacientům o potenciálu pro těžkou zácpu, včetně pokynů pro správu a kdy vyhledat lékařskou pomoc.

Anafylaxe

Informujte pacienty, že anafylaxe byla hlášena s přísadami obsaženými v tabletách s prodlouženým uvolňováním morfin. Poraďte pacientům, jak rozpoznat takovou reakci a kdy vyhledat lékařskou péči.

Těhotenství

Doporučují pacientům, že tablety morfin sulfátu prodlouženým uvolňováním mohou způsobit poškození plodu a informovat lékaře, pokud jsou těhotné nebo plánují otěhotnět.

Zdravotničtí pracovníci mohou telefonovat Rhodes Pharmaceuticals L.P. (1-888-827-0616) pro informace o tomto produktu.

Likvidace nevyužitých tablet morfin sulfátu prodlouženým uvolňováním

Doporučují pacientům, aby propláchli nepoužité tablety po toaletě, když tablety morfin sulfátu prodloužený uvolňování již nejsou potřeba.

Neklinická toxikologie

Zhodnocení mutageneze karcinogeneze plodnosti

Karcinogeneze

Studie u zvířat pro hodnocení karcinogenního potenciálu morfinu nebyly provedeny.

Mutageneze

Nebyly provedeny žádné formální studie pro posouzení mutagenního potenciálu morfinu. V publikované literatuře byl morfin shledán jako mutagenní in vitro Zvyšování fragmentace DNA v lidských T-buňkách. Morfin byl hlášen jako mutagenní v nadarmo Myší mikronukleus test a pozitivní pro indukci chromozomálních aberací v myších spermatidech a myších lymfocytech. Mechanistické studie naznačují, že nadarmo Klastogenní účinky hlášené s morfinem u myší mohou souviset se zvýšením hladin glukokortikoidů produkovaných morfinem u tohoto druhu. Na rozdíl od výše uvedených pozitivních zjištění in vitro Studie v literatuře také ukázaly, že morfin neindukoval chromozomální aberace v lidských leukocytech nebo translokacích nebo smrtelných mutacích v Drosophila.

Poškození plodnosti

Nebyly provedeny žádné formální neklinické studie k posouzení potenciálu morfinu na narušení plodnosti. Několik neklinických studií z literatury prokázalo nepříznivé účinky na mužskou plodnost u potkanů ​​od expozice morfinu. Jedna studie, u které byli samci potkanů ​​podávány morfin sulfát subkutánně před pářením (až 30 mg/kg dvakrát denně) a během páření (20 mg/kg dvakrát denně) u neošetřených žen bylo pozorováno několik nepříznivých reprodukčních účinků, včetně snížení celkových těhotenství vyššího výskytu pseudopregnance a snížení implantačních míst. Studie z literatury také uváděly změny v hormonálních hladinách (tj. Testosteronem luteinizační hormonální sérový kortikosteron) po léčbě morfinem. Tyto změny mohou být spojeny s hlášenými účinky na plodnost u potkanů.

Použití v konkrétních populacích

Těhotenství

Klinické úvahy

Fetální/novorozenecké nežádoucí účinky

Dlouhodobé použití opioidních analgetik během těhotenství u lékařských nebo nelékařských účelů může vést k fyzické závislosti u syndromu stažení novorozeneckého a novorozeneckého opioidu krátce po narození. Sledujte novorozence pro příznaky syndromu stažení novorozence opioidů, jako je špatná krmení, podrážděnost podrážděnosti a záchvatů podrážděnost průjmů VAROVÁNÍS AND OPATŘENÍ ].

Teratogenní účinky

Těhotenství Category C

Neexistují žádné adekvátní a dobře kontrolované studie u těhotných žen. Během těhotenství by se měly používat tablety morfin sulfát prodlužovány, pouze pokud potenciální přínos odůvodňuje potenciální riziko pro plod.

U lidí byla uvedena frekvence vrozených anomálií jako u dětí 70 žen, které byly léčeny morfinem během prvních čtyř měsíců těhotenství nebo u 448 žen léčených morfinem kdykoli během těhotenství. U dítěte ženy, která se pokusila o sebevraždu předávkováním morfinem a dalším lékem během prvního trimestru těhotenství, navíc nebyly pozorovány žádné malformace.

Několik zpráv o literatuře ukazuje, že morfin podávaný subkutánně během raného gestačního období u myší a křečků produkoval neurologické měkké tkáně a kosterní abnormality. Zjednodušené účinky, které byly hlášeny, byly sledující dávky, které byly mateřsky toxické a zaznamenané abnormality byly charakteristické pro účinky pozorované, když je přítomna toxicita matky. V jedné studii po subkutánní infuzi dávek vyšších nebo rovných 0,15 mg/kg vůči myši Exsencefály hydronefrózy střevní krvácení rozdělení supraoccipitální malformované sternebry a malformované xiphoid a malformovaný xiphoid. V morfinu morfinu křečka sulfátu podřízeného subkutánně v den těhotenství produkoval exencefálii a kranioschisis. U potkanů ​​ošetřených subkutánními infuzemi morfinu v období organogeneze nebyla pozorována žádná teratogenita. V této studii nebyla pozorována žádná mateřská toxicita; U potomků však byla pozorována zvýšená úmrtnost a retardace růstu. Ve dvou studiích provedených u králíka nebyl hlášen žádný důkaz teratogenity v subkutánních dávkách až do 100 mg/kg.

10 325 M523 Bílá podlouhlá pilulka
Neteratogenní účinky

Kojenci narozené matkám, které chronicky vzaly opioidy VAROVÁNÍS AND OPATŘENÍ ] Reverzibilní snížení objemu mozku Malá velikost snížená ventilační odezva na CO 2 a increased risk of sudden infant death syndrome. Morphine sulfate should be used by a pregnant woman only if the need for opioid analgesia clearly outweighs the potential risks to the fetus.

Kontrolované studie chronických v děloze Expozice morfinu u těhotných žen nebyla provedena. Publikovaná literatura uvádí, že expozice morfinu během těhotenství u zvířat je spojena se snížením růstu a řadou abnormalit chování u potomků. Ošetření morfinem během gestačních období organogeneze u potkanů ​​morksů a králíků vedla k následující embryotoxicitě související s léčbou a novorozeneckou toxicitou v jedné nebo více studiích: Zmenšená embryo-fetální životas Snížená plodnost u potomků žen a snížená plazma a testikulární hladiny luteinizujícího hormonu a testosteronu snížila varlata váhy seminiferující aplazie zárodečných buněk a snížená spermatogeneze u potomků samců. U potomků samců potkanů ​​podávaných morfin (25 mg/kg IP) po dobu 1 den před pářením byla pozorována snížená velikost vrhu a životaschopnost. Abnormality chování způsobené expozicí chronického morfinu u zvířat fetálních zvířat zahrnovaly změněné reflexní a motorické dovednosti mírné stažení a změněné citlivosti na morfin přetrvávající do dospělosti.

Práce a dodávka

Opioidy překračují placentu a mohou produkovat respirační depresi u novorozenců. Tablety prodlouženým uvolňováním morfinu nejsou pro použití u žen během a bezprostředně před porodem, když jsou vhodnější kratší působící analgetika nebo jiné analgetické techniky. Analgetika opioidů mohou prodloužit práci prostřednictvím účinku, které dočasně zmenšují dobu trvání pevnosti a frekvence kontrakce dělohy. Tento účinek však není konzistentní a může být kompenzován zvýšenou mírou dilatace děložního čípku, která má tendenci zkrátit práci.

Ošetřovatelské matky

Morfin je vylučován v mateřském mléce s poměrem Morfin AUC Morfine Morfin AUC přibližně 2,5: 1. Množství morfinu obdrženého dítětem se liší v závislosti na mateřské plazmatické koncentraci množství mléka požitého dítěte a rozsahu metabolismu prvního průchodu.

U kojení se mohou vyskytnout nápisy pro stažení, když je zastaveno podávání morfinu matek.

Vzhledem k potenciálu nežádoucích účinků u ošetřovatelských kojenců z tablet na prodloužení morfin sulfátu by mělo být rozhodnuto, zda ukončit ošetřovatelství nebo ukončit lék s přihlédnutím k důležitosti drogy pro matku.

Dětské použití

Bezpečnost a účinnost u pediatrických pacientů mladších 18 let nebyla stanovena.

Geriatrické použití

Farmakokinetika tablet s prodlouženým uvolňováním morfin sulfátu nebyla studována u starších pacientů. Klinické studie tablet s prodlouženým uvolňováním morfinu sulfátu nezahrnuly dostatečný počet subjektů ve věku 65 let a více, aby se určilo, zda reagují odlišně od mladších subjektů. Obecně by měl být výběr dávky pro staršího pacienta opatrný, obvykle začínající na dolním konci rozsahu dávkování, což odráží větší frekvenci snížené funkce ledvin nebo srdeční jater a souběžné onemocnění nebo jiné léčivé terapie.

Informace o předávkování tablety morfinu sulfátu

Klinická prezentace

Akutní předávkování s morfinem se projevuje respirační depresí, která postupuje do hlouposti a smrt kosterního svalu nachlazení a hltavé kůže a v některých případech hypotenze a smrti plicního edému Bradycardia. Značená mydriáza spíše než mióza může být pozorována v důsledku těžké hypoxie v situacích předávkování.

Léčba předávkování

V případě předávkování priority jsou obnovení patentu a chráněné dýchací cesty a instituce asistovaného nebo kontrolovaného ventilace v případě potřeby. Při léčbě oběhového šoku a plicního edému využívejte jiná podpůrná opatření (včetně kyslíkových vasopresorů), jak je uvedeno. Srdeční zástava nebo arytmie budou vyžadovat pokročilé techniky podpory života.

Antagonisté opioidních naloxon nebo nalmefen jsou specifické antidoty k respirační depresi v důsledku předávkování opioidy. Antagonisté opioidních by se neměli podávat v nepřítomnosti klinicky významné respirační nebo oběhové deprese sekundární k předávkování morfinem. Takovým agenti by měli být podávány opatrně osobám, o nichž je známo, že jsou fyzicky závislé na tabletách s prodlouženým uvolňováním morfinu. V takových případech může náhlé nebo úplné zvrácení opioidních účinků vysrážit syndrom akutního stažení.

Protože by se očekávalo, že trvání zvratu bude kratší než doba účinku morfinu v tabletách s prodlouženým uvolňováním morfinu sulfátu pečlivě monitorovat pacienta, dokud nebude spolehlivě obnoveno spontánní dýchání. Tablety morfin sulfátu prodloužený uvolňování budou i nadále uvolňovat morfin a přidá se k zátěži morfinu po dobu 24 až 48 hodin nebo déle po požití, což vyžaduje prodloužené monitorování. Pokud je reakce na antagonisty opioidů suboptimální nebo není udržována další antagonista by měla být podávána podle pokynů v předepisovacích informacích produktu.

U jednotlivce fyzicky závislé na podávání opioidů obvyklé dávky antagonisty vyvolá akutní abstinenční syndrom. Závažnost zkušených příznaků bude záviset na stupni fyzické závislosti a dávce podávané antagonisty. Pokud je učiněno rozhodnutí o léčbě vážné respirační deprese při fyzicky závislém podávání pacienta antagonisty, by mělo být zahájeno péčí a titrací s menšími než obvyklými dávkami antagonisty.

Kontraindikace pro tablety morfinu sulfátu

U pacientů s: morfin sulfát prodloužený uvolňování jsou kontraindikovány:

  • Významná respirační deprese
  • Akutní nebo těžká bronchiální astma v nemonitorovaném prostředí nebo v nepřítomnosti resuscitativního vybavení
  • Známý nebo podezřelý paralytický ileus
  • Přecitlivělost (např. Anafylaxe) na morfin [viz viz Nežádoucí účinky ]

Klinická farmakologie for Morphine Sulfate Tablets

Mechanismus působení

Morfin sulfát Opioidní agonista je pro receptor MU relativně selektivní, i když může interagovat s jinými opioidními receptory při vyšších dávkách. Kromě analgezie patří široce rozmanité účinky sulfátu morfinu sulfátu dysforie euphoria somnolence respirační deprese snižovala gastrointestinální motilitu změnila dynamiku cirkulační dynamiky histamin uvolňovat fyzickou závislost a změny endokrinního a autonomního nervového systému.

Morfin produkuje jak své terapeutické, tak i nepříznivé účinky interakcí s jednou nebo více třídami specifických opioidních receptorů umístěných v celém těle. Morfin působí jako plná agonistická vazba a aktivující opioidní receptory v místech v peri-aqueduktální a peri-ventrikulární šedé hmotě ventro-mediální medulla a míchou k produkci analgezie.

Farmakodynamika

Vztahy plazmatické úrovně a algesie

Zatímco vztahy s morfinem v plazmě mohou být prokázány u netolerantních jedinců, jsou ovlivněny širokou škálou faktorů a nejsou obecně užitečné jako vodítko k klinickému použití morfinu. Dávky morfinu by měly být vybrány a musí být titrovány na základě klinického hodnocení pacienta a rovnováhy mezi terapeutickými a nepříznivými účinky.

Interakce CNS depresivní/alkohol

Aditivní farmakodynamické účinky lze očekávat, když se tablety prodlužujícího uvolňování morfin sulfátu používají ve spojení s alkoholem Ostatní opioidy nebo nezákonné drogy, které způsobují depresi centrálního nervového systému.

Účinky na centrální nervový systém

Hlavními účinky terapeutické hodnoty morfinu jsou analgezie a sedace. V průběhu mozku a míchy byly identifikovány specifické receptory opiátek CNS pro endogenní sloučeniny s aktivitou podobnou opioidu a pravděpodobně budou hrát roli v expresi analgetických účinků.

Morfin produkuje respirační depresi přímým působením na respirační centra mozkového kmene. Mechanismus respirační deprese zahrnuje snížení citlivosti respiračních center mozkového kmene na zvýšení napětí oxidu uhličitého a elektrickou stimulaci.

Morfin potlačuje reflex kašle přímým účinkem na centrum kašle v medulle. Morfin způsobuje miózu i v naprosté temnotě. Pozorovací žáci jsou známkou předávkování narkotickým, ale nejsou patognomonické (např. Pontinové léze hemoragických nebo ischemických původů mohou způsobit podobné nálezy). Spíše se značená mydriasis než mióza může být pozorována při zhoršující se hypoxii.

Účinky na gastrointestinální trakt a další hladký sval

Morfin způsobuje snížení pohyblivosti spojené se zvýšením hladkého svalstva v hanbě žaludku a v duodenum. Trávení potravin je v tenkém střevě zpožděno a snižují se pohonná kontrakce. Propulzivní peristaltické vlny v tlustém střevě se snižují, zatímco tón může být zvýšen do bodu křeče. Konečným výsledkem je zácpa. Morfin může způsobit výrazné snížení žaludeční biliární a pankreatické sekrece spasmu svěrače Oddi a přechodné zvýšení v sérové ​​amyláze.

Účinky na kardiovaskulární systém

Morfin produkuje periferní vazodilataci, což může vést k ortostatické hypotenzi. Může dojít k uvolnění histaminu a může přispět k hypotenzi vyvolané opioidy. Projevy uvolňování histaminu a/nebo periferní vazodilatace mohou zahrnovat pruritus propláchnutí červených očí a pocení.

Účinky na endokrinní systém

Opioidy inhibují sekreci ACTH Cortisol testosteronu a luteinizačního hormonu (LH) u lidí. Také stimulují sekreci růstového hormonu prolaktinu (GH) a pankreatickou sekreci inzulínu a glukagonu.

Účinky na imunitní systém

Bylo prokázáno, že opioidy mají různé účinky na složky imunitního systému v in vitro a animal models. The clinical significance of these findings is unknown. Overall the effects of opioids appear to be modestly immunosuppressive.

Farmakokinetika

Tablety morfin sulfátu prodlouženým uvolňováním jsou tabletou prodlouženým uvolňováním obsahujícím morfin sulfát. Morfin je uvolňován z tablet prodlužovaného uvolňování morfin sulfátu poněkud pomaleji než z ústních přípravků s okamžitým uvolňováním. Po perorálním podávání dané dávky morfinu je množství nakonec absorbované v podstatě stejné, zda je zdrojem morfin sulfát prodlužován tablety nebo formulací s okamžitým uvolňováním. Kvůli předsystémové eliminaci (tj. Metabolismus ve střevě a játrech) dosáhne centrálního kompartmentu pouze asi 40% podávané dávky.

Vstřebávání

Orální biologická dostupnost morfinu je přibližně 20 až 40%. Když jsou tablety morfin sulfátu prodlužovány na pevném dávkovacím režimu v ustáleném stavu, je dosaženo asi za den.

Efekt potravy

Účinek potravy na systémovou biologickou dostupnost tablet s prodlouženým uvolňováním morfin sulfátu nebyl systematicky vyhodnocen pro všechny silné stránky. Jedna studie provedená s tabletami pro rozšíření prodlouženým uvolňováním 30 mg morfin neukázala žádné významné rozdíly v hodnotách CMAX a AUC (0-24H), zda byl tablet odebrán při půstu nebo s vysokým obsahem tuku.

Rozdělení

Jakmile je absorbován morfin distribuován do kosterních svalových ledvin jaterní střevní trakt plíce a mozku. Morfin také protíná placentální membrány a byl nalezen v mateřském mléce. Objem distribuce (VD) pro morfin je přibližně 3 až 4 litry na kilogram a morfin je 30 až 35% reverzibilně vázán na plazmatické proteiny.

Metabolismus

Mezi hlavní cesty metabolismu morfinu patří glukuronidace za vzniku metabolitů včetně morfin-3-glukuronidu M3g (asi 50%) a morfin-6-glukuronid M6g (asi 5 až 15%) a sulfatace v játrech za vzniku morfin-3-3-eteriárního síra. Malá frakce (méně než 5%) morfinu je demetylována. Bylo prokázáno, že M6G má analgetickou aktivitu, ale špatně protíná bariéru krve-chvění, zatímco M3G nemá žádnou významnou analgetickou aktivitu.

Vylučování

Eliminace morfinu se vyskytuje primárně jako renální vylučování M3G a jeho účinný poločas po intravenózním podání je obvykle 2 až 4 hodiny. Přibližně 10% dávky je vylučováno nezměněno močí. V některých studiích zahrnujících delší období odběru vzorků plazmy byl hlášen delší terminální polovinu asi 15 hodin. Malé množství konjugátu glukuronidu je vylučováno dokonce a there is some minor enterohepatic recycling.

Konkrétní populace

Geriatričtí pacienti

Farmakokinetika tablet s prodlouženým uvolňováním morfin sulfátu nebyla studována u starších pacientů.

Pediatričtí pacienti

Farmakokinetika tablet s prodlouženým uvolňováním morfin sulfátu nebyla studována u pediatrických pacientů mladších 18 let.

Pohlaví

Genderová analýza farmakokinetických dat od zdravých subjektů užívajících tablety pro rozšířené uvolňování morfin sulfátu naznačila, že koncentrace morfinu byly u mužů a žen podobné.

Rasa

Čínské subjekty podávané intravenózního morfinu měly ve srovnání s kavkazskými subjekty vyšší clearance (1852 /- 116 ml /min ve srovnání s 1495 /80 ml /min).

Nesvodivé účinky jaderného stresu nevolnost
Poškození jater

Farmakokinetika morfinu se mění u jedinců s cirhózou. Bylo zjištěno, že vůle klesá s odpovídajícím zvýšením poločasu. U těchto subjektů se také snížily poměry M3G a M6G k morfinové plazmě AUC, což naznačuje sníženou metabolickou aktivitu. Přiměřené studie farmakokinetiky morfinu u pacientů se závažným poškozením jater nebyly provedeny.

Poškození ledvin

Morfinová farmakokinetika se mění u pacientů s selháním ledvin. AUC je zvýšena a clearance je snížena a metabolity M3G a M6G se mohou hromadit na mnohem vyšší hladiny plazmy u pacientů s selháním ledvin ve srovnání s pacienty s normální funkcí ledvin. Přiměřené studie farmakokinetiky morfinu u pacientů s těžkým poškozením ledvin nebyly provedeny.

Informace o pacientovi pro tablety morfinu sulfátu

Tablety morfin sulfátu (ER)

Morfin sulfát je tablety jsou:

  • Silná lék na bolest na předpis, který obsahuje opioid (narkotikum), který se používá k řízení bolesti natolik závažného, ​​aby vyžadoval každodenní nepřetržitou dlouhodobou léčbu opioidem, když jiná léčba bolesti, jako jsou léky proti neopioidní bolesti nebo operace s okamžitým vydáváním, léčivé léky na léčbu nebo je nemůžete tolerovat.
  • Dlouho působící (lék na prodloužený uvolňování) opioidů, který vás může vystavovat riziku předávkování a smrti. I když svou dávku vezmete správně podle předepsání, máte ohrožení zneužívání závislosti na opioidech a zneužíváním, které může vést k smrti.
  • Ne pro použití k léčbě bolesti, která není nepřetržitá.

Důležité informace o tabletách morfin sulfátu:

  • Pokud si vezmete příliš mnoho tablet morfin sulfátu (předávkování), získejte nouzovou pomoc. Když poprvé začnete užívat tablety morfin sulfátu, když se vaše dávka změní nebo pokud budete mít příliš mnoho (předávkování) vážným nebo život ohrožujícím dýchacím problémům, které mohou vést k smrti.
  • Nikdy nedávejte nikomu jinému tablety morfin sulfátu. Mohli zemřít na to, že to vezme. Ukládejte tablety morfin sulfátu od dětí a na bezpečném místě, abyste zabránili krádeži nebo zneužívání. Prodej nebo rozdávání tablet morfinu sulfátu je proti zákonu.

Pokud máte: Neberete tablety morfinu sulfátu ER:

  • Těžké astma problémů s dýcháním nebo jiné problémy plic.
  • blokování střeva nebo zúžení žaludku nebo střev.

Předtím, než odeberete tablety morfin sulfátu ER, řekněte poskytovateli zdravotní péče, pokud máte historii:

  • Záchvaty zranění hlavy
  • Problémy se štítnou žlázou v játrech
  • problémy močení
  • Problémy s břišní nebo žlučníkem
  • Zneužívání závislosti na ulici nebo na předpis léků nebo problémů s duševním zdravím.

Sdělte svému poskytovateli zdravotní péče, pokud jste:

  • těhotná nebo plánování otěhotnění. Dlouhodobé použití tablet morfin sulfátu ER během těhotenství může u vašeho novorozeného dítěte způsobit abstinenční příznaky, které by mohly být život ohrožující, pokud by nebyly rozpoznány a léčeny.
  • kojení. Tablety morfin sulfátu procházejí do mateřského mléka a mohou poškodit vaše dítě.
  • užívání na předpis nebo volně prodejné léky vitamíny nebo bylinné doplňky. Užívání tablet morfin sulfátu s některými jinými léky může způsobit vážné vedlejší účinky.

Při užívání tablet morfin sulfátu:

  • Neměňte svou dávku. Vezměte tablety morfinu sulfátu přesně tak, jak předepsané poskytovatelem zdravotní péče.
  • Vezměte předepsanou dávku každých 8 až 12 hodin podle pokynů poskytovatele zdravotní péče. Neberejte více než předepsaná dávka. Pokud vám chybí dávka, vezměte si další dávku v obvyklém čase.
  • Polykání morfin sulfátu er tablety celé. Neřezávejte zlomené žvýkání rozpusťte odfrkňování nebo injekční tablety morfin sulfátu ER, protože to může způsobit předávkování a zemřít.
  • Pokud dávka, kterou užíváte, zavolejte svému poskytovateli zdravotní péče, nekontroluje vaši bolest.
  • Nepřestávejte brát tablety morfin sulfátu ER, aniž byste mluvili s poskytovatelem zdravotní péče.
  • Poté, co přestanete brát tablety morfinu sulfátu ER, splachovají nevyužité tablety po toaletě.

Při užívání tablet morfin sulfátu ER ne:

  • Řídit nebo provozovat těžké stroje, dokud nevíte, jak na vás ovlivňují tablety morfin sulfátu. Tablety morfin sulfátu ER vám mohou způsobit, že ospalé závratě nebo ospalé.
  • Pijte alkohol nebo používejte předpis nebo volně prodejné léky, které obsahují alkohol. Použití produktů obsahujících alkohol během léčby tabletami morfin sulfátu ER může způsobit předávkování a zemřít.

Možné vedlejší účinky tablet morfin sulfátu jsou:

  • zácpa nevolnost sleepiness zvracení tiredness headache závrať abdominal pain. Call your healthcare provider if you have any of these symptoms a they are severe.
    Získejte pohotovostní lékařskou pomoc, pokud máte:
  • Potíže s dýchací dušností Rychle srdeční rytmus bolesti na hrudi otok na obličej jazyk nebo krk extrémní ospalost při změně poloh nebo se cítíte slabé.

Nejedná se o všechny možné vedlejší účinky tablet morfin sulfátu. Zavolejte svého lékaře, kde najdete lékařskou radu ohledně vedlejších účinků. Můžete nahlásit vedlejší účinky FDA na 1-800-FDA-1088. Další informace najdete na dailymymed.nlm.nih.gov