Informace Na Stránce Nepředstavují Lékařskou Radu. Nic Neprodáváme. Přesnost Překladu Není Zaručena. Zřeknutí Se Odpovědnosti



Hycodan

Shrnutí drog

Co je Hycodan?

Hycodan (hydrokodonový bitartrát a methylbromid homatropinu) je kombinací léku narkotického kašle a léku, který pracuje proti narkotikům, aby se zabránilo předávkování používaným k léčbě kašle.

Jaké jsou vedlejší účinky Hycodanu?

Hycodan



  • kopřivka
  • potíže s dýcháním
  • Otok vašeho obličeje rty jazyk nebo krk
  • pomalé dýchání s dlouhými pauzy
  • Modré barevné rty
  • potíže se probudit
  • hlučné dýchání
  • povzdech
  • mělké dýchání
  • Extrémní ospalost
  • zmatek
  • slabost
  • Klimatický pocit
  • záchvat
  • Lightheadedness
  • Těžká zácpa
  • bolest žaludku
  • malé nebo žádné močení
  • nevolnost
  • zvracení
  • Ztráta chuti k jídlu
  • závrať
  • zhoršující se únava
  • míchání
  • halucinace
  • horečka
  • pocení
  • Chvění
  • Rychlá srdeční frekvence
  • ztuhlost svalu
  • Twitching
  • ztráta koordinace a
  • průjem

Získejte lékařskou pomoc okamžitě, pokud máte výše uvedené příznaky.



Mezi běžné vedlejší účinky Hycodanu patří:

  • nevolnost due to the use of hydrocodone which usually goes away after the first few doses.

Mezi další vedlejší účinky Hycodanu patří:



  • Lightheadedness
  • závrať
  • ospalost
  • změny vize
  • potíže se soustředění
  • zvracení
  • zácpa nebo
  • svědění kůže nebo vyrážka.

Řekněte svému lékaři, pokud máte vážné vedlejší účinky Hycodanu, včetně:

  • bolest žaludku nebo břicha
  • změny duševní/nálady (jako jsou agitační zmatení halucinace) nebo
  • obtížné nebo bolestivé močení.

Pokud máte následující vážné vedlejší účinky, vyhledejte lékařskou péči nebo zavolejte na číslo 911:

  • Vážné příznaky očí, jako je ztráta náhlého vidění rozmazané vidění vidění Vision Vision Eye Eye Eye Eye Eye Eye Eye Eye nebo vidět halos kolem světel;
  • Vážné příznaky srdce, jako je rychlé nepravidelné nebo bušení srdečního rytmu; třepování v hrudi; dušnost; a náhlé závratě lightheadness nebo omdlení;
  • Těžká zmatek bolesti hlavy zkroucený řečový rameno nebo slabost nohou Potíže se ztrátou chůze pocitu koordinace Pocit nestabilní velmi tuhé svaly vysoké horečky bohaté pocení nebo třes.

Tento dokument neobsahuje všechny možné vedlejší účinky a mohou dojít k jiným. Další informace o vedlejších účincích najdete u svého lékaře.

Dávkování pro Hycodan

Dávka hycodanu pro dospělé a děti ve věku 12 let je jeden tablet nebo 5 ml (1 lžička) perorálního roztoku každé 4 až 6 hodin podle potřeby; Nepřekračujte šest tablet nebo 30 ml (6 lžiček) za 24 hodin. Poraďte se s lékařem pro pediatrické dávkování.

Jaké léčivé látky nebo doplňky interagují s Hycodanem?

Hycodan může interagovat s jinými léky, díky nimž vás dělají ospalé (jako jsou chladné nebo alergické medicíny sedativy narkotické bolesti medicíny spací pilulky svalové relaxery a medicína pro záchvaty deprese nebo úzkost). Řekněte svému lékaři všechny léky, které používáte.

Hycodan během těhotenství nebo kojení

Další informace

Hycodan by měl být použit pouze tehdy, když je předepsán během těhotenství. Použití tohoto léčiva blízko očekávaného data dodání se nedoporučuje, protože může poškodit plod. Kojenci narozené matkám, které používaly tento lék, mohou mít abstinenční příznaky, jako je podrážděnost abnormální/přetrvávající plačící zvracení nebo průjem. Řekněte svému lékaři, pokud si všimnete příznaků u svého novorozence. Tento lék může přejít do mateřského mléka a může mít nežádoucí účinky na kojící dítě. Před kojením se poraďte se svým lékařem. Pokud náhle přestanete používat tento lék, mohou dojít k příznakům abstinenční.

Naše hycodan (hydrokodon bitartrát a homatropin methylbromid) vedlejší účinky lékové centrum poskytuje komplexní pohled na dostupné informace o možných vedlejších účincích při užívání tohoto léku.

Informace o drogách FDA

VAROVÁNÍ

Rizika od souběžného použití s ​​benzodiazepiny nebo jinými depresivními látkami CNS

Současné použití opioidů s benzodiazepiny nebo jiným depresivním systémem centrálního nervového systému (CNS), včetně alkoholu VAROVÁNÍS Lékové interakce ). Vyvarujte se užívání léků na opioidní kašel u pacientů užívajících benzodiazepiny jiné depresivy nebo alkohol CNS.

Popis pro Hycodan

Hycodan obsahuje hydrokodon (dihydrocodeinon) bitartrát semisynteticky centrálně působící opioidní antitusivní. Homatropin methylbromid je zahrnut do subterapeutického množství, aby odradil úmyslné předávkování.

Každý tablet Hycodan nebo lžička (5 ml) obsahuje:

Hydrokodon bitartrát USP 5 mg
Homatropin methylbromid USP 1,5 mg

Hycodan tablety také obsahují: vápník fosfát dibasic koloidní křemík oxid oxid laktóza hořečnatý stearátový škrob a kyselina stearová.

Ústní roztok Hycodan obsahuje také: karamelové zbarvení FD

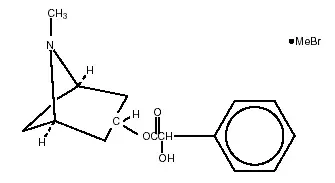
Hydrokodonová složka je 45a-epoxy-3-methoxy-17-methylmorfinan-6-one tartrát (1: 1) hydrát (2: 5) jemný bílý krystal nebo krystalický prášek, který je odvozen z opia alkaloidního Thebaine (NULL,50) a může být zastoupen následujícím strukturálním vzorem:

Homatropin methylbromid je 8-Azoniabicyclo [3.2.1] Octane3-[(hydroxyfenyl-acetyl) oxy] -88dimethyl-bromid endo-; bílý krystal nebo jemný bílý krystalický prášek s molekulovou hmotností (NULL,29).

Použití pro Hycodan

Hycodan je indikován pro symptomatickou reliéf kašle u dospělých pacientů ve věku 18 let a starší.

Omezení použití

  • Neuváděno pro pediatrické pacienty mladší 18 let [viz Použití v konkrétních populacích ].
  • Kontraindikováno u pediatrických pacientů mladších 6 let [viz Kontraindikace ].
  • Kvůli rizikům zneužívání závislosti a zneužití s ​​opioidy i při doporučených dávkách [viz VAROVÁNÍS AND OPATŘENÍ ] Rezervujte si Hycodan pro použití u dospělých pacientů, u nichž se očekává, že výhody potlačení kašle převažují nad riziky a u nichž bylo provedeno přiměřené posouzení etiologie kašle.

Dávkování pro Hycodan

Důležité pokyny pro dávkování a správu

Spravujte Hycodan pouze ústní trasou. Při provádění perorálního roztoku Hycodan vždy používejte přesné měřicí zařízení Milliliter, abyste zajistili, že dávka je měřena a podávána přesně. Lžička pro domácnost není přesná měřicí zařízení a mohla by vést k předávkování [viz VAROVÁNÍS AND OPATŘENÍ ]. For prescriptions where a measuring device is not provided a pharmacist can provide an appropriate measuring device and can provide instructions for measuring the correct dose. Ne overfill. Po každém použití opláchněte měřicí zařízení vodou.

Doporučujte pacientům, aby nezvyšovali dávku nebo dávkovací frekvenci Hycodanu, protože s předávkováním se mohou vyskytnout vážné nežádoucí účinky, jako je despirační deprese [viz viz VAROVÁNÍS AND OPATŘENÍ Předávkování ]. The dosage of Hycodan should not be increased if cough fails to respond; an unresponsive cough should be reevaluated for possible underlying pathology [see Dávkování a podávání VAROVÁNÍS AND OPATŘENÍ ].

Doporučené dávkování

Dospělí ve věku 18 let a starší

Jeden (1) tablet nebo 5 ml ústního roztoku každé 4 až 6 hodin podle potřeby; nepřesáhnout šest (6) tablet nebo 30 ml za 24 hodin.

Sledování udržování a přerušení terapie

  • Předepisujte Hycodan po nejkratší dobu, která je v souladu s jednotlivými cíli léčby pacienta [viz VAROVÁNÍS AND OPATŘENÍ ].
  • Pečlivě sledujte pacienty na respirační depresi, zejména během prvních 24 až 72 hodin zahájení terapie [viz VAROVÁNÍS AND OPATŘENÍ ].
  • Přehodnoťte pacienty s nereagujícím kašlem za 5 dní nebo dříve pro možnou základní patologii, jako je cizí tělo nebo onemocnění dolních dýchacích cest [viz VAROVÁNÍS AND OPATŘENÍ ]. If a patient requires a refill reevaluate the cause of the cough and assess the need for continued treatment with Hycodan the relative incidence of adverse reactions and the development of addiction abuse or misuse [see VAROVÁNÍS AND OPATŘENÍ ].
  • Nepochybte náhle ukončete Hycodan u fyzicky závislého pacienta [viz viz Zneužívání a závislost drog ]. When a patient who has been taking Hycodan regularly and may be physically dependent no longer requires therapy with Hycodan taper the dose gradually by 25% to 50% every 2 to 4 days while monitoring carefully for signs and symptoms of withdrawal. If the patient develops these signs or symptoms raise the dose to the previous level and taper more slowly either by increasing the interval between decreases decreasing the amount of change in dose or both.

Jak dodáno

Formy a silné stránky dávkování

  • Tablety : 5 mg hydrokodonového bitartrátu a 1,5 mg methylbromidu homatropinu na tabletu bílý zbarvená biconvex jedna tvář protínala a debulovala s 205 a druhá čela [viz viz viz POPIS ].
  • Orální řešení : 5 mg hydrokodonového bitartrátu a 1,5 mg methylbromidu homatropinu na 5 ml a čiré červené zbarvené třešňové příchutí [viz viz POPIS ].

Skladování a manipulace

Hycodan je dodáván jako bílá zbarvená biconvex tablet jedna obličej problematicky a odnikán s 205 a druhou obličej k dispozici v:

NDC 64950-205-03 Lahve 30
NDC 64950-205-10 Lahve 100

Ukládejte tablety při kontrolované pokojové teplotě 20 ° C až 25 ° C (68 ° F až 77 ° F) [Viz Teplota místnosti s kontrolou USP ]. Dispense in a tight lightâ€resistant container as defined in the USP with a child-resistant closure.

Hycodan je k dispozici jako čistý červeno-zbarvený třešňový ústní roztok v:

NDC 64950-342-05: Jednotka dávkového šálku 5 ml
NDC 64950-342-45: Pouzdro obsahuje 40 jednotních dávkových šálků 5 ml ( NDC 64950-342-05) Zabaleno do 4 zásobníků po deseti poháry dávky jednotek
NDC 64950-342-47: láhev 473 ml

Ukládejte perorální roztok při kontrolované teplotě místnosti 20 ° C až 25 ° C (68 ° F až 77 ° F). [Vidět Teplota místnosti s kontrolou USP .]

Vydejte se v těsném kontejneru odolném proti světlu, jak je definováno v USP s uzavřením odolném proti dítěti.

Zajistěte, aby pacienti měli perorální dávkovací dávkovač, který měří vhodný objem v mililitrech. Poraďte pacienty o tom, jak využít perorální dávkovací dávkovač a správně měřit perorální suspenzi, jak je předepsáno.

Vyrobeno: Rod Lifesciences Inc. Allentown PA 18102. Revidován: prosinec 2023

Vedlejší účinky for Hycodan

Následující klinicky významné nežádoucí účinky jsou popsány jinde při označování:

  • Zneužívání a zneužívání závislosti [viz VAROVÁNÍS AND OPATŘENÍ Zneužívání a závislost drog ]
  • Život ohrožující respirační deprese [viz VAROVÁNÍS AND OPATŘENÍ Předávkování ]
  • Náhodné předávkování a smrt v důsledku chyb léků [viz VAROVÁNÍS AND OPATŘENÍ ]
  • Snížená mentální bdělost se zhoršeným mentálním a/nebo fyzickým schopnostem [viz VAROVÁNÍS AND OPATŘENÍ ]
  • Interakce s benzodiazepiny a dalšími depresivními prostředky CNS [viz VAROVÁNÍS AND OPATŘENÍ Lékové interakce ]
  • Paralytické ileus gastrointestinální nežádoucí účinky [viz VAROVÁNÍS AND OPATŘENÍ ]
  • Zvýšený intrakraniální tlak [viz VAROVÁNÍS AND OPATŘENÍ ]
  • Zakrytý klinický průběh u pacientů s poraněním hlavy [viz VAROVÁNÍS AND OPATŘENÍ ]
  • Záchvaty [viz VAROVÁNÍS AND OPATŘENÍ ]
  • Těžká hypotenze [viz VAROVÁNÍS AND OPATŘENÍ ]
  • Syndrom odběru novorozeneckého opioidu [viz VAROVÁNÍS AND OPATŘENÍ ]
  • Nedostatečnost nadledvin [viz VAROVÁNÍS AND OPATŘENÍ ]

Během klinických studií v literatuře nebo během použití hydrokodonu a/nebo homatropinu byly identifikovány následující nežádoucí účinky. Protože tyto reakce mohou být hlášeny dobrovolně z populace nejisté velikosti, není vždy možné spolehlivě odhadnout jejich frekvenci nebo vytvořit kauzální vztah k expozici léčiva.

Mezi nejběžnější nežádoucí účinky na Hycodan patří: sedace (somnolence mentální zaklouznutí letargie) narušená duševní a fyzická výkonnost závratě bolesti hlavy v ústech zvracení a zácpa.

Jak aplikovat krém triamcinolonu acetonidu
Mezi další reakce patří

Anafylaxe: Anafylaxe byla hlášena s hydrokodonem jednou z ingrediencí v Hycodanu. Tělo jako celek: Únava únavy smrtů, která klesají zraněním letargie.

Kardiovaskulární: Periferní edém Zvýšený krevní tlak snížil krevní tlak tachykardie na hrudní bolest Palpitační synkopa Ortostatická hypotenze prodloužený QT interval tepl.

Centrální nervový systém: Dyskineze obličeje Insomnia Migréna zvýšila třes intrakraniálního tlaku.

Dermatologická: Spláchnutí hyperhidrózy Pruritus vyrážky.

Endokrin/metabolický: Případy serotoninového syndromu, kterým byla hlášena podmínka ohrožující život potenciálně život ohrožující život při současném užívání opioidů se serotonergními léky. Případy nedostatečnosti nadledvin byly hlášeny s používáním opioidů častěji po větší než jeden měsíc používání. Případy nedostatku androgenu se vyskytly s chronickým používáním opioidů.

Gastrointestinal: Obstrukce břišní bolesti střeva snížila průjem chuti k jídlu polykání suchých úst Gerd Indiagestion pankreatitida Paralytický ileus biliární trakt spasmu (křeče svěrače Oddi).

Genitourinární: Infekce močových cest ureterální spasm Spasm Spasm ve vezikulscích svědků retence moči.

Laboratoř: Zvýšení sérové ​​amylázy.

Muskuloskeletální: Artralgia boha bolesti svalu.

Oční: Poruchy vizuálního vizuálu miosis (zúžené žáky).

Psychiatric: Agitační úzkost Zmatek se bojí dysforie deprese.

Reprodukční: Hypogonadismus neplodnost.

Respirační: Bronchitida kašel Dyspnea Nosální přetížení NOSHARYNGITIS DESPIRATORUS DEPRESSINE SUNISISIS HORNÍ DRACT.

Ostatní: Syndrom pro stažení opioidů zneužívání drog.

Hypoglykémie: Případy hypoglykémie byly hlášeny u pacientů užívajících opioidy. Většina zpráv byla u pacientů s alespoň jedním predispozičním rizikovým faktorem (např. Diabetes).

Lékové interakce for Hycodan

S Hycodanem nebyly provedeny žádné specifické studie interakce léčiva.

Alkohol

Současné užívání alkoholu s hycodanem může vést ke zvýšení hladin hydrokodonu a potenciálně fatálního předávkování hydrokodonem. Poskytněte pacientům, aby nekonzumovali alkoholické nápoje ani nepoužívali produkty na předpis nebo předběžné produkty obsahující alkohol při terapii Hycodan [viz viz VAROVÁNÍS AND OPATŘENÍ Klinická farmakologie ].

Inhibitory CYP3A4 a CYP2D6

Současné použití inhibitorů Hycodan a CYP3A4, jako jsou makrolidová antibiotika (např. Erythromycin) azol-antifungální látky (např. Ketoconazol) nebo proteázové inhibitory (inhibitory proteázy) (inhibitory proteázy (inhibitory pro prodloužení (inhibitory pro prodloužení při zvýšených účicích o opiodu. Tyto účinky by mohly být výraznější se souběžným používáním inhibitorů Hycodan a CYP2D6 a CYP3A4, zejména pokud je inhibitor přidán po dosažení stabilní dávky hycodanu [viz viz VAROVÁNÍS AND OPATŘENÍ ]. After stopping a CYP3A4 inhibitor as the effects of the inhibitor decline the hydrocodone plasma concentration will decrease [see Klinická farmakologie ], které má za následek sníženou účinnost opioidů nebo syndromu abstinence u pacientů, kteří se vyvinuli fyzickou závislost na hydrokodonu.

Vyvarujte se použití Hycodanu při užívání inhibitoru CYP3A4 nebo CYP2D6. Pokud je doprovázené použití nutné monitorovat pacienty pro respirační depresi a sedaci v častých intervalech.

Induktory CYP3A4

Současné použití induktorů Hycodan a CYP3A4, jako je karbamazepin nebo fenytoin, může snížit plazmatickou koncentraci hydrokodonu [viz viz Klinická farmakologie ], což má za následek sníženou účinnost nebo nástup abstinenčního syndromu u pacientů, kteří se vyvinuli fyzickou závislost na hydrokodonu [viz VAROVÁNÍS AND OPATŘENÍ ]. After stopping a CYP3A4 inducer as the effects of the inducer decline the hydrocodone plasma concentration will increase [see Klinická farmakologie ], které by mohly zvýšit nebo prodloužit jak terapeutické účinky, tak nežádoucí účinky a mohou způsobit vážnou respirační depresi.

Vyvarujte se použití Hycodanu u pacientů, kteří užívají induktory CYP3A4. Pokud je nezbytné doprovodit induktor CYP3A4, sledujte pacienta pro sníženou účinnost.

Benzodiazepiny a další depresivníky CNS

V důsledku aditivního farmakologického účinku souběžné použití benzodiazepinů nebo jiných depresivních látek CNS, včetně alkoholu, jiné sedativa/hypnotiky anxiolytiky Tranquilizers Relaxanty Obecná anestetika Antipsychotika a jiná opioidy a jiné opioidy a další opioidy a smrt. Vyvarujte se používání Hycodanu u pacientů, kteří užívají benzodiazepiny nebo jiné depresivy CNS [viz VAROVÁNÍS AND OPATŘENÍ ] a dávejte pacientům, aby se vyhýbali konzumaci alkoholu na Hycodanu [viz Lékové interakce Informace o poradenství pro pacienta ].

Serotonergní léky

Současné použití opioidů s jinými léky, které ovlivňují serotonergní neurotransmiterový systém, vedlo k syndromu serotoninu. Pokud je doprovodné použití zaručeno pečlivě sledováno pacientovi, zejména během zahájení léčby. Přerušte hycodan, pokud je podezření na syndrom serotoninu.

Inhibitory monoamin oxidázy (MAOI)

Vyvarujte se používání HYCODAN u pacientů, kteří užívají inhibitory monoamin oxidázy (MAOI) nebo vzali Maois do 14 dnů. Použití MAOI nebo tricyklických antidepresiv s hydrokodonem Jedna z aktivních složek v Hycodanu může zvýšit účinek buď antidepresiva nebo hydrokodonu. Interakce MAOI s opioidy se mohou projevit jako serotoninový syndrom nebo opioidní toxicitu (např. Compoma respirační deprese).

Svalové relaxanty

Hydrokodon může zvýšit neuromuskulární blokovací účinek relaxantů kosterních svalů a zvýšit stupeň respirační deprese. Vyvarujte se používání Hycodanu u pacientů užívajících svalové relaxanty. Pokud je doprovázené použití nezbytného monitoru pacientů pro známky respirační deprese, které mohou být větší než jinak.

Diuretika

Opioidy mohou snížit účinnost diuretik indukcí uvolňování antidiuretického hormonu. Monitorujte pacienty s příznaky snížené diurézy a/nebo účinků na krevní tlak a podle potřeby zvyšte dávkování diuretiky.

Anticholinergní léky

Současné užívání anticholinergních léků s Hycodanem může zvýšit riziko retence moči a/nebo závažnou zácpou, která může vést k paralytickému ileusu [viz VAROVÁNÍS AND OPATŘENÍ ]. Monitor patients for signs of urinary retention or reduced gastric motility when Hycodan is used concomitantly with anticholinergic drugs.

Zneužívání a závislost drog

Kontrolovaná látka

Hycodan contains hydrocodone a Schedule II controlled substance.

Zneužívání

Hydrokodon

Hycodan contains hydrocodone a substance with a high potential for abuse similar to other opioids including morphine and codeine. Hycodan can be abused and is subject to misuse addiction and criminal diversion [see VAROVÁNÍS AND OPATŘENÍ ].

Všichni pacienti léčeni opioidy vyžadují pečlivé monitorování příznaků zneužívání a závislosti, protože používání analgetik opioidů a antitusivních produktů přináší riziko závislosti i při vhodném lékařském použití.

Zneužívání léků na předpis je úmyslné neterapeutické užívání léku na předpis i jednou pro jeho odměňující psychologické nebo fyziologické účinky.

Drogová závislost je shluk kognitivních a fyziologických jevů, které se vyvíjejí po opakovaném užívání návykových látek a zahrnují: silná touha užívat drogové potíže při kontrole jeho užívání přetrvávajícího v jeho používání, a to i přes škodlivé důsledky, která je stanovena k užívání drog, než na jiné činnosti a závazky zvýšily toleranci a někdy i fyzickou stažení.

Chování při hledání drog je velmi běžné u osob s poruchami užívání návykových látek. Mezi taktika hledání drog patří tísňová volání nebo návštěvy na konci úředních hodin odmítnutí podstoupit příslušné zkoušky nebo doporučení opakované ztráty předpisů, které ovlivňují předpisy a neochotu poskytovat předchozí lékařské záznamy nebo kontaktní informace pro další léčbu poskytovatelů zdravotní péče (). Nakupování lékaře (návštěva více předepisujících předepisovatelů k získání dalších předpisů) je běžné u zneužívajících drog a lidmi trpícími neléčenou závislostí. Zájem o dosažení přiměřené úlevy od bolesti může být vhodným chováním u pacienta se špatnou kontrolou bolesti.

Zneužívání and addiction are separate and distinct from physical dependence and tolerance. Health care providers should be aware that addiction may not be accompanied by concurrent tolerance and symptoms of physical dependence in all addicts. In addition abuse of opioids can occur in the absence of true addiction.

Hycodan like other opioids can be diverted for non-medical use into illicit channels of distribution. Careful record-keeping of prescribing information including quantity frequency and renewal requests as required by state and federal law is strongly advised.

Správné posouzení správných postupů předepisování pacienta Periodické přehodnocení terapie a řádného výdeje a skladování jsou vhodnými opatřeními, která pomáhají omezit zneužívání opioidních léků.

Rizika specifická pro zneužívání Hycodanu

Hycodan is for oral use only. Zneužívání of Hycodan poses a risk of overdose and death. The risk is increased with concurrent use of Hycodan with alcohol and other central nervous system depressants [see VAROVÁNÍS AND OPATŘENÍ Lékové interakce ].

Zneužívání parenterálního léčiva je běžně spojeno s přenosem infekčních chorob, jako je hepatitida a HIV.

Na co se používají Tessalon Perles
Závislost

Psychologická závislost fyzikální závislosti a tolerance se může vyvinout po opakovaném podávání opioidů; Hycodan by proto měl být předepsán a podáván po nejkratší dobu, která je v souladu s jednotlivými cíli léčby pacienta a pacienti by měli být přehodnoceni před náplním [viz viz Dávkování a podávání VAROVÁNÍS AND OPATŘENÍ ].

Fyzikální závislost stav, ve kterém je nutný pokračující podávání léčiva k zabránění vzhledu abstinenčního syndromu, předpokládá klinicky významné proporce až po několika týdnech pokračujícího užívání perorálních opioidů, i když se po několika dnech opioidní terapie může vyvinout určitý mírný stupeň fyzické závislosti.

Pokud je Hycodan náhle přerušen u fyzicky závislého pacienta, může dojít k abstinenčnímu syndromu. Stažení může být také vysráženo podáváním léčiv s aktivitou antagonistického opioidního antagonisty (např. Naloxon nalmefen) smíšeného agonisty/antagonistického analgetiky (např. Pentazocin butorfanol nalbuphine) nebo částečnými agonisty (např. Buprenorfin). Některé nebo všechny z následujících mohou charakterizovat tento syndrom: neklid s lakrováním lakrování rhinorrhea zívnutí potu Chills Myalgia a Mydriasis. Mohou se také vyvinout další příznaky a symptomy, včetně podrážděnosti úzkostné bolesti zad Slabosti bolesti kloubů břišní křeče insomnia nevolnost anorexie zvracení průjmu nebo zvýšené frekvence respirací nebo srdeční frekvence krevního tlaku.

Kojenci narozené matkám fyzicky závislým na opioidech budou také fyzicky závislé a mohou vykazovat respirační potíže a nápisy z stažení [viz viz Použití v konkrétních populacích ].

Varování pro Hycodan

Zahrnuto jako součást OPATŘENÍ sekce.

Opatření pro Hycodan

Zneužívání a zneužívání závislosti

  • Hycodan contains hydrocodone a Schedule II controlled substance. As an opioid Hycodan exposes users to the risks of addiction abuse and misuse [see Zneužívání a závislost drog ], což může vést k předávkování a smrti [Viz Předávkování ].
  • Rezervujte si Hycodan pro použití u dospělých pacientů, u nichž se očekává, že výhody potlačení kašle převažují nad riziky a u nichž bylo provedeno odpovídající posouzení etiologie kašle.
  • Posoudit riziko každého pacienta před předepisováním HYCODAN předepsat Hycodan po nejkratší dobu, která je v souladu s cíli léčby jednotlivých pacientů pravidelně sledováním všech pacientů pro rozvoj závislosti nebo zneužívání a doplňování pouze po přehodnocení potřeby pokračující léčby.
  • Ačkoli riziko závislosti u jakéhokoli jednotlivce není známo, může se vyskytnout u pacientů vhodně předepsaných Hycodan. Závislost může nastat při doporučených dávkách a pokud je lék zneužíván nebo zneužíván. Rizika se zvyšují u pacientů s osobní nebo rodinnou anamnézou zneužívání návykových látek (včetně zneužívání nebo závislosti na drogách nebo alkoholu) nebo duševním onemocněním (např. Hlavní deprese).
  • Opioidy hledají zneužívání drog a lidé s poruchami závislosti a podléhají trestnému odklonu. Zvažte tato rizika při předepisování nebo vydávání Hycodanu. Strategie ke snížení těchto rizik zahrnují předepisování léku v nejmenším vhodném množství a poradenství pacientovi k řádné likvidaci nepoužitého léčiva [viz Informace o poradenství pro pacienta ]. Contact local state professional licensing board or state controlled substances authority for information on how to prevent and detect abuse or diversion of this product.

Život ohrožující respirační deprese

  • Při použití opioidů byla hlášena vážná život ohrožující život nebo fatální respirační deprese, včetně hydrokodonu, jedna z aktivních složek v Hycodanu. Hydrokodon produkuje respirační depresi související s dávkou přímo působícím na dýchací centrum mozkového kmene, které řídí respirační rytmus a může produkovat nepravidelné a periodické dýchání. Respirační deprese, pokud není okamžitě rozpoznána a léčena, může vést k zatčení a smrti dýchacích cest. Řízení respirační deprese zahrnuje přerušení měření podpůrné pozorování Hycodan a použití opioidních antagonistů (např. Naloxon) v závislosti na klinickém stavu pacienta [viz viz Předávkování ]. Carbon dioxide (CO2) retention from opioid-induced respiratory depression can exacerbate the sedating effects of opioids.
  • Zatímco vážné život ohrožující nebo fatální respirační deprese může nastat kdykoli během používání Hycodanu, riziko je největší během zahájení terapie, když je Hycodan používán souběžně s jinými léky, které mohou způsobit respirační depresi [viz viz respirační deprese [viz viz respirační deprese [Viz VAROVÁNÍS AND OPATŘENÍ ] u pacientů s chronickým plicním onemocněním nebo sníženou respirační rezervou a u pacientů se změněnou farmakokinetikou nebo změnou clearance (např. Starší kachektický nebo oslabenými pacienty) [viz viz VAROVÁNÍS AND OPATŘENÍ ].
  • Je nezbytné pro snížení rizika respirační deprese správné dávkování hycodanu [viz Dávkování a podávání VAROVÁNÍS AND OPATŘENÍ ]. Monitor patients closely especially within the first 24 to 72 hours of initiating therapy or when used in patients at higher risk.
  • Předávkování hydrokodonem u dospělých bylo spojeno s fatální respirační depresí a použití hydrokodonu u pediatrických pacientů mladších než 6 let věku bylo spojeno s fatální respirační depresí, pokud je použito podle doporučení. Náhodné požití i jedné dávky hycodanu, zejména u dětí, může vést k depresi a smrti dýchacích cest.

Rizika s použitím v dětských populacích

  • Pediatričtí pacienti jsou zvláště citliví na účinky hydrokodonu respirační depresivní [viz VAROVÁNÍS AND OPATŘENÍ ]. Because of the risk of life-threatening respiratory depression and death Hycodan is contraindicated in pediatric patients less than 6 years of age [see Kontraindikace ].
  • Použití Hycodanu u pediatrických pacientů je také vystavuje rizikům zneužívání a zneužití závislosti [Viz [Viz Zneužívání a závislost drog ], což může vést k předávkování a smrti [Viz VAROVÁNÍS AND OPATŘENÍ Předávkování ]. Because the benefits of symptomatic treatment of cough associated with allergies or the common cold do not outweigh the risks of use of hydrocodone in pediatric patients Hycodan is not indicated for use in patients younger than 18 years of age [see Indikace Použití v konkrétních populacích ].

Rizika s použitím v jiných rizikových populacích

Nereagující kašel

Dávka Hycodanu by neměla být zvýšena, pokud kašel nereaguje; Nereagující kašel by měl být přehodnocen za 5 dní nebo dříve pro možnou základní patologii, jako je cizí tělo nebo onemocnění dolních dýchacích cest [viz viz Dávkování a podávání ].

Astma a jiné plicní onemocnění
  • Použití Hycodanu u pacientů s akutním nebo těžkým bronchiálním astmatem v nemotorovaném prostředí nebo v nepřítomnosti resuscitativního vybavení je kontraindikováno [viz viz Kontraindikace ].
  • Opioidní analgetika a antitusiva včetně hydrokodonu Jedna z aktivních složek v Hycodanu by se neměla používat u pacientů s akutní febrilní onemocnění spojenou s produktivním kašlem nebo u pacientů s chronickým respiračním onemocněním, pokud by interference s schopností vyčistit tracheobronchiální strom sekrecí by mělo zachycující účinek na respirační funkci pacienta.
  • Hycodan-treated patients with significant chronic obstructive pulmonary disease or cor pulmonale and those with a substantially decreased respiratory reserve hypoxia hypercapnia or pre-existing respiratory depression are at increased risk of decreased respiratory drive including apnea even at recommended dosages of Hycodan [see VAROVÁNÍS AND OPATŘENÍ ].
Starší kachektičtí nebo oslabovaní pacienti
  • Životní despirační deprese se s větší pravděpodobností vyskytuje u starších kachektických nebo oslabených pacientů, protože možná změnili farmakokinetiku nebo změněnou vůli ve srovnání s mladšími zdravějšími pacienty [viz viz VAROVÁNÍS AND OPATŘENÍ ].
  • Vzhledem k riziku respirační deprese se vyhýbá použití opioidních antitussive, včetně Hycodanu u pacientů s kompromitovanými respiračními funkcemi s rizikem respiračního selhání a u starších kachektických nebo oslabených pacientů. Pokud je Hycodan předepsán monitorem takových pacientů pečlivě při zahájení Hycodanu a když je Hycodan podáván souběžně s jinými léky, které snižují dýchání [viz viz VAROVÁNÍS AND OPATŘENÍ ].

Riziko náhodného předávkování a smrti v důsledku chyb v léčbě

  • Chyby dávkování mohou vést k náhodnému předávkování a smrti. Pro snížení rizika předávkování a respirační deprese zajistit, aby byla dávka Hycodanu jasně sdělena a přesně vydána [viz Dávkování a podávání ].
  • Při měření a podávání ústního roztoku Hycodan se informujte pacientům, aby vždy používali přesné měřicí zařízení Milliliter. Informujte pacienty, že čajová lžička domácnosti není přesným měřicím zařízením a takové použití by mohlo vést k předávkování a vážným nežádoucím účinkům [Viz [Viz Předávkování ]. For prescriptions where a measuring device is not provided a pharmacist can provide an appropriate calibrated measuring device and can provide instructions for measuring the correct dose.

Činnosti vyžadující mentální bdělost: Rizika řízení a provozních strojů

Hydrokodon one of the active ingredients in Hycodan may produce marked ospalost and impair the mental and/or physical abilities required for the performance of potentially hazardous tasks such as driving a car or operating machinery. Advise patients to avoid engaging in hazardous tasks requiring mental alertness and motor coordination after ingestion of Hycodan. Avoid concurrent use of Hycodan with alcohol or other central nervous system depressants because additional impairment of central nervous system performance may occur [see VAROVÁNÍS AND OPATŘENÍ ].

Rizika od souběžného použití nebo přerušení inhibitorů a induktorů cytochromu P450 3A4

  • Concomitant use of HYCODAN with a CYP3A4 inhibitor such as macrolide antibiotics (e.g. erythromycin) azole-antifungal agents (e.g. ketoconazole) and protease inhibitors (e.g. ritonavir) may increase plasma concentrations of hydrocodone and prolong opioid adverse reactions which may cause potentially fatal respiratory depression [see VAROVÁNÍS AND OPATŘENÍ ] zvláště když je inhibitor přidán po dosažení stabilní dávky hycodanu. Podobně ukončení induktoru CYP3A4, jako je karbamazepin rifampin a fenytoin u pacientů ošetřených hycodanem, může zvýšit koncentrace hydrokodonu a prodloužit nežádoucí účinky opioidů.
  • Současné použití hycodanu s induktory CYP3A4 nebo přerušení inhibitoru CYP3A4 by mohlo snížit koncentrace hydrokodonu v plazmě snižovat účinnost opioidů nebo možná vést k abstinenčnímu syndromu u pacienta, který se vyvinul fyzickou závislost na hydrokodonu.
  • Vyvarujte se použití Hycodanu u pacientů, kteří užívají inhibitor nebo induktoru CYP3A4. Je -li nezbytné doprovodné použití HYCODAN s inhibitorem nebo induktorem CYP3A4, monitorujte pacienty pro příznaky a příznaky, které mohou odrážet toxicitu opioidů a stažení opioidů [viz viz Lékové interakce ].

Rizika od souběžného použití s ​​benzodiazepiny nebo jinými depresivními látkami CNS

  • Současné použití opioidů včetně hycodanu s benzodiazepiny nebo jinými depresivními látkami CNS včetně alkoholu může vést k hlubokému sedaci respirační deprese a smrti. Kvůli těmto rizikům se vyhýbají používání léků na opioidní kašel u pacientů užívajících benzodiazepiny jiné depresivy CNS nebo alkohol [viz Lékové interakce ].
  • Observační studie prokázaly, že souběžné použití opioidních analgetik a benzodiazepinů zvyšuje riziko úmrtnosti související s léčivem ve srovnání s použitím samotných opioidů. Vzhledem k podobným farmakologickým vlastnostem je rozumné očekávat podobné riziko se souběžným užíváním léků na opioidní kašel a benzodiazepiny jiných depresiv CNS nebo alkoholu.
  • Poraďte se pacientům i pečovatelům o rizicích respirační deprese a sedace, pokud se Hycodan používá s alkoholem benzodiazepiny nebo jiných depresiv CNS [viz viz Informace o poradenství pro pacienta ].
  • Pacienti nesmí konzumovat alkoholické nápoje nebo předpisy nebo produkty bez předpisu obsahující alkohol při terapii Hycodan. Společnost alkoholu s hycodanem může vést ke zvýšené hladině plazmy a potenciálně fatálnímu předávkování hydrokodonem [viz Lékové interakce ].

Rizika použití u pacientů s gastrointestinálními podmínkami

  • Hycodan is contraindicated in patients with known or suspected gastrointestinal obstruction including paralytic ileus [see Kontraindikace ]. The use of hydrocodone in Hycodan may obscure the diagnosis or clinical course of patients with acute abdominal conditions.
  • Souběžné použití anticholinergik s Hycodanem může produkovat paralytický ileus [viz Lékové interakce ].
  • Hydrokodon v Hycodanu může mít za následek zácpu nebo obstrukční onemocnění střev, zejména u pacientů s podkladovými poruchami pohyblivosti střeva. Používejte s opatrností u pacientů s základními poruchami pohyblivosti střeva.
  • Hydrokodon v Hycodanu může způsobit křeč svěrače Oddi, což má za následek zvýšení tlaku biliárního traktu. Opioidy mohou způsobit zvýšení sérové ​​amylázy [viz VAROVÁNÍS AND OPATŘENÍ ]. Monitor patients with biliary tract disease including acute pancreatitis for worsening symptoms.

Rizika použití u pacientů s vědomím poškození hlavy zvýšila intrakraniální tlak nebo nádory mozku

Vyvarujte se použití Hycodanu u pacientů s intrakraniálními lézemi na poškození hlavy nebo již existujícím zvýšením intrakraniálního tlaku. U pacientů, kteří mohou být citliví na intrakraniální účinky retence CO2 (např. U pacientů s důkazem zvýšeného intrakraniálního tlaku nebo nádorů mozku), může hycodan snížit respirační pohon a výsledná retence CO2 může dále zvýšit intrakraniální tlak. Kromě toho opioidy způsobují nežádoucí účinky, které mohou zakrývat klinický průběh pacientů s poraněním hlavy.

Zvýšené riziko záchvatů u pacientů s poruchami záchvatu

Hydrokodon v Hycodanu může zvýšit frekvenci záchvatů u pacientů s poruchami záchvatů a může zvýšit riziko záchvatů v jiných klinických prostředích spojených se záchvaty. Sledujte pacienty s anamnézou poruch záchvatů pro zhoršenou kontrolu záchvatů během terapie Hycodan.

Těžká hypotenze

Hycodan may cause severe hypotension including orthostatic hypotension and syncope in ambulatory patients. There is increased risk in patients whose ability to maintain blood pressure has already been compromised by a reduced blood volume or concurrent administration of certain CNS depressant drugs (e.g. phenothiazines or general anesthetics) [see Lékové interakce ]. Monitor these patients for signs of hypotension after initiating Hycodan.

U pacientů s cirkulačním šokem může Hycodan způsobit vazodilataci, která může dále snížit srdeční výdej a krevní tlak. Vyvarujte se použití Hycodanu u pacientů s oběhovým šokem.

Syndrom odběru novorozeneckého opioidu

Hycodan is not recommended for use in pregnant women. Prolonged use of Hycodan during pregnancy can result in withdrawal in the neonate. Neonatal opioid withdrawal syndrome unlike opioid withdrawal syndrome in adults may be life-threatening if not recognized and treated and requires management according to protocols developed by neonatology experts. Observe newborns for signs of neonatal opioid withdrawal syndrome and manage accordingly. Advise pregnant women using opioids for a prolonged period of the risk of neonatal opioid withdrawal syndrome and ensure that appropriate treatment will be available [see Použití v konkrétních populacích Informace o poradenství pro pacienta ].

Nedostatečnost nadledvin

Případy nedostatečnosti nadledvin byly hlášeny s používáním opioidů častěji po větší než jeden měsíc používání. Prezentace nedostatečnosti nadledvin může zahrnovat nespecifické symptomy a příznaky včetně zvracení nevolnosti únavy anorexie závratě a nízkého krevního tlaku. Pokud je podezření na nedostatečnost nadledvin, potvrďte diagnózu diagnostickým testováním co nejdříve. Je -li diagnostikována nadledvinová nedostatečnost, léčba fyziologickými náhradními dávkami kortikosteroidů. Odstavte pacienta z opioidu, aby umožnil regeneraci funkce nadledvin a pokračoval v léčbě kortikosteroidů, dokud se funkce nadledvin nezotaví. Jiné opioidy mohou být vyzkoušeny, protože některé případy uváděly použití jiného opioidu bez recidivy nedostatečnosti nadledvin. Dostupné informace neidentifikují žádné konkrétní opioidy jako s větší pravděpodobností spojeny s nedostatečností nadledvinek.

Interakce léčiva/laboratorní testy

Protože agonisté opioidních agonisté mohou zvýšit tlak biliárního traktu s výsledným zvýšením hladiny plazmatické amylázy nebo lipázy těchto hladin těchto enzymů může být nespolehlivé po dobu 24 hodin po podání dávky hycodanu.

Informace o poradenství pro pacienta

Doporučujte pacientovi, aby si přečetl značení pacienta schváleného FDA ( Průvodce léky ).

Zneužívání a zneužívání závislosti

Informujte pacienty, že použití Hycodanu, i když je přijato podle doporučení VAROVÁNÍS AND OPATŘENÍ ]. Instruct patients not to share Hycodan with others and to take steps to protect Hycodan from theft or misuse.

Důležité pokyny pro dávkování a podání

Poskytněte pacientům, jak měřit a vzít správnou dávku Hycodanu. Poraďte pacientům měřit Hycodan s přesným měřicím zařízením Milliliter. Pacienti by měli být informováni, že lžička pro domácnost není přesným měřicím zařízením a může to vést k předávkování. Poraďte pacientům, aby požádali svého lékárníka, aby doporučili vhodné měřicí zařízení a pokyny k měření správné dávky [viz viz Dávkování a podávání VAROVÁNÍS AND OPATŘENÍ ]. Doporučujte pacientům, aby nezvyšovali dávku nebo dávkovací frekvenci Hycodanu, protože s předávkováním se mohou vyskytnout vážné nežádoucí účinky, jako je despirační deprese [viz viz VAROVÁNÍS AND OPATŘENÍ Předávkování ].

Život ohrožující respirační deprese

Informujte pacienty o riziku život ohrožující respirační deprese, včetně informací, že riziko je největší při spuštění Hycodanu a že se může vyskytnout i při doporučených dávkách [Viz VAROVÁNÍS AND OPATŘENÍ ]. Advise patients how to recognize respiratory depression and to seek medical attention if breathing difficulties develop.

Náhodné požití

Informujte pacienty, že náhodné požití, zejména děti, může mít za následek dýchací depresi nebo smrt [viz VAROVÁNÍS AND OPATŘENÍ ]. Instruct patients to take steps to store Hycodan securely and to properly dispose of unused Hycodan in accordance with the local state guidelines and/or regulations.

Činnosti vyžadující mentální bdělost

Poraďte se s pacienty, aby se vyhnuli zapojení do nebezpečných úkolů, které vyžadují mentální bdělost a koordinaci motoru, jako je operační stroje nebo řízení motorového vozidla, protože Hycodan může produkovat výraznou ospalost [viz viz VAROVÁNÍS AND OPATŘENÍ ].

Interakce s benzodiazepiny a dalšími depresivními prostředky centrálního nervového systému včetně alkoholu

Informujte pacienty a pečovatele, že potenciálně fatální aditivní účinky se mohou vyskytnout, pokud se hycodan používá s benzodiazepiny nebo jinými depresivy CNS včetně alkoholu. Doporučujte pacientům, aby se vyhnuli souběžnému používání Hycodanu s benzodiazepiny nebo jinými depresivními látkami CNS a instrujte pacienty, aby nekonzumovali alkoholické nápoje, jakož i na předpis a volně prodejné produkty, které obsahují alkohol během léčby hycodanem [viz viz VAROVÁNÍS AND OPATŘENÍ Lékové interakce ].

Zácpa

Poraďte pacientům o potenciálu pro těžkou zácpu [viz VAROVÁNÍS AND OPATŘENÍ Nežádoucí účinky ].

Anafylaxe

Informujte pacienty, že anafylaxe byla hlášena s přísadami obsaženými v Hycodanu. Radit pacientům, jak rozpoznat takovou reakci a kdy vyhledat lékařskou pomoc [viz Kontraindikace Nežádoucí účinky ].

Maoi interakce

Informujte pacienty, aby nebrali Hycodan při použití nebo do 14 dnů od zastavení léků, které inhibují monoamin oxidázu. Pacienti by neměli začít maois při užívání Hycodanu [viz Lékové interakce ].

Hypotenze

Informujte pacienty, že Hycodan může způsobit ortostatickou hypotenzi a synkopu. Pokyn pacientům, jak rozpoznat příznaky nízkého krevního tlaku a jak snížit riziko vážných důsledků, by měla dojít k hypotenzi (např. Sedět nebo si lehnout pečlivě zvednout z pozici nebo lhát) [Viz viz VAROVÁNÍS AND OPATŘENÍ ].

Těhotenství

Radí pacientům, že během těhotenství se nedoporučuje používání Hycodanu [viz Použití v konkrétních populacích ].

Syndrom odběru novorozeneckého opioidu

Informujte pacientky o reprodukčním potenciálu, že použití hycodanu během těhotenství může vést k syndromu odběru novorozeneckých opioidů, který může být život ohrožující, pokud není rozpoznán a léčen [viz viz VAROVÁNÍS AND OPATŘENÍ Použití v konkrétních populacích ].

Toxicita embryo-fetální

Informujte pacienty o reprodukčním potenciálu, že Hycodan může způsobit poškození plodu a informovat svého poskytovatele zdravotní péče o známém nebo podezřelém těhotenství [Viz Použití v konkrétních populacích ].

Laktace

Radí ženám, že kojení se nedoporučuje během léčby Hycodanem [viz Použití v konkrétních populacích ].

Neplodnost

Informujte pacienty, že chronické použití opioidů, jako je hydrokodon složka Hycodanu, může způsobit sníženou plodnost. Není známo, zda jsou tyto účinky na plodnost reverzibilní [viz Použití v konkrétních populacích ].

Nedostatečnost nadledvin

Informujte pacienty, že Hycodan by mohl způsobit nedostatečnost nadledvinek potenciálně ohrožující stav života. Naledninová nedostatečnost může být příznakem nespecifických příznaků a příznaků, jako je zvracení nevolnosti, únava anorexie Slabost závratě a nízký krevní tlak. Poraďte pacientům, aby vyhledali lékařskou pomoc, pokud zažijí souhvězdí těchto příznaků [viz VAROVÁNÍS AND OPATŘENÍ ].

Serotonův syndrom

Informujte pacienty, že Hycodan by mohl způsobit vzácný, ale potenciálně život ohrožující stav vyplývající ze souběžného podávání serotonergních léků. Varujte pacienty před příznaky syndromu serotoninu a okamžitě vyhledejte lékařskou pomoc, pokud se vyvinou příznaky. Pokyn pacientům, aby informovali své lékaře, pokud berou nebo plánují užívat serotonergní léky [viz Nežádoucí účinky Lékové interakce ].

Vitafusion dámské gumové vitamíny Vedlejší účinky
Likvidace nevyužitého hycodanu

Poraďte se pacientům, aby řádně zlikvidovali nevyužitý Hycodan. Po těchto krocích doporučujte pacientům házet lék do odpadků domácnosti. 1) Vyjměte je ze svých původních kontejnerů a smíchejte je s nežádoucí látkou, jako je použitá kávová zázemí nebo koťátka (díky tomu je droga přitažlivá pro děti a domácí zvířata a nepoznatelné pro lidi, kteří mohou úmyslně procházet odpadky, kteří hledají drogy). 2) Umístěte směs do utěsnitelného sáčku prázdné plechovky nebo jiné nádoby, aby se zabránilo úniku nebo vypuknutí léčiva z vaku na odpadky nebo aby se zlikvidovalo v souladu s pokyny a/nebo předpisy v místním stavu.

Neklinická toxikologie

Zhodnocení mutageneze karcinogeneze plodnosti

Studie mutagenity a plodnosti karcinogenity nebyly provedeny s Hycodanem; Zveřejněné informace jsou však k dispozici pro jednotlivé aktivní složky nebo související aktivní složky.

Hydrokodon

Studie karcinogenity byly provedeny s kodeinem a opiát související s hydrokodonem. Byly provedeny dvouleté studie u potkanů ​​F344/N a myší B6C3F1 pro posouzení karcinogenního potenciálu kodeinu. U samců a ženských potkanů ​​nebyl pozorován žádný důkaz tumorigenicity při dávkách kodeinu až do 70 a 80 mg/kg/den (přibližně ekvivalentní 40 a 45násobku MRHD hydrokodonu na základě mg/m²). U mužských a ženských myší při kodeinovém dietním dávkách až 400 mg/kg/den (přibližně ekvivalentní 110násobku MRHD hydrokodonu na základě Mg/m²) nebyl pozorován žádný důkaz tumorigenicity).

Studie mutagenity s hydrokodonem nebyly provedeny.

Studie plodnosti s hydrokodonem nebyly provedeny.

Homatropin

Studie mutagenity a plodnosti karcinogenity s homatropinem nebyly provedeny.

Použití v konkrétních populacích

Těhotenství

Shrnutí rizika

Hycodan is not recommended for use in pregnant women including during or immediately prior to labor. Prolonged use of opioids during pregnancy may cause neonatal opioid withdrawal syndrome [see VAROVÁNÍS AND OPATŘENÍ Klinické úvahy ].

Neexistují žádné dostupné údaje o použití HYCODAN u těhotných žen k informování rizika spojeného s drogami pro nepříznivé vývojové výsledky. Publikované studie s hydrokodonem uváděly nekonzistentní zjištění a mají důležitá metodologická omezení (viz Data ).

Studie reprodukční toxicity nebyly provedeny s Hycodanem; Studie jsou však k dispozici s jednotlivými aktivními složkami nebo souvisejícími aktivními složkami (viz Data ). In animal reproduction studies hydrocodone administered by the subcutaneous route to pregnant hamsters during the period of organogenesis produced a teratogenic effect at a dose approximately 45 times the maximum recommended human dose (MRHD) (see Data ).

Na základě údajů o zvířatech radí těhotným ženám o potenciálním riziku pro plod. Odhadované riziko na pozadí hlavních vrozených vad a potratu pro uvedenou populaci není známo. Všechna těhotenství mají na pozadí riziko ztráty vrozených vad nebo jiných nepříznivých výsledků. V americké obecné populaci je odhadované riziko na pozadí hlavních vrozených vad a potratu u klinicky uznávaných těhotenství 2 až 4% a 15 až 20%.

Klinické úvahy

Fetální/novorozenecké nežádoucí účinky

Dlouhodobé použití opioidních analgetik během těhotenství u lékařských nebo nelékařských účelů může vést k fyzické závislosti u syndromu stažení novorozeneckého a novorozeneckého opioidu krátce po narození.

Syndrom stažení novorozeneckého opioidu představuje jako podrážděnost hyperaktivita a abnormální vzor spánku Vysoký výkřik zvracení Cry Tremor zvracení a selhání přibývání na váze. Doba trvání nástupu a závažnost syndromu stahování opioidů novorozence se liší v závislosti na specifickém opioidu používaném trvání načasování používání a množství posledního užívání matek a míry eliminace léčiva novorozencem. Sledujte novorozence příznaků syndromu stažení novorozenců a podle toho spravujte [viz [viz VAROVÁNÍS AND OPATŘENÍ ].

Práce nebo doručení

Opioidy procházejí placentou a mohou produkovat respirační depresi a psychofyziologické účinky u novorozenců. Antagonista opioidů, jako je naloxon, musí být k dispozici pro zvrácení opioidní indukované respirační deprese u novorozence. Opioidy včetně Hycodanu mohou prodloužit práci prostřednictvím akcí, které dočasně zmenšují dobu trvání pevnosti a frekvence kontrakcí dělohy. Tento účinek však není konzistentní a může být kompenzován zvýšenou mírou dilatace děložního čípku, která má tendenci zkrátit práci. Monitorujte novorozence vystavené opioidům během porodu pro příznaky nadměrné sedace a respirační deprese.

Data

Lidská data

Hydrokodon

Ve publikovaných observačních studiích a ponorkových zprávách popisujících užívání hydrokodonu během těhotenství byl hlášen omezený počet těhotenství. Tato data však během těhotenství rozhodně nemohou stanovit ani vyloučit žádné riziko spojené s drogami. Metologická omezení těchto observačních studií zahrnují malou velikost vzorku a nedostatek podrobností o délce dávky a načasování expozice.

Údaje o zvířatech

Studie reprodukční toxicity nebyly provedeny s Hycodanem; Studie jsou však k dispozici s jednotlivými aktivními složkami nebo souvisejícími aktivními složkami.

Hydrokodon

Ve studii vývoje embryfetálního vývoje u těhotných křečků dávkovaných v den 8. den v období těhotenství v období organogeneze hydrokodon indukoval malformaci přibližně 45násobek MRHD (na základě mg/m² s mateřskou subkutánní dávkou 102 mg/kg). Reprodukční toxikologické studie byly také provedeny s kodeinem a opiát související s hydrokodonem. Ve studii vývoje embryzofetálního vývoje u těhotných potkanů ​​dávkovaných po celou dobu kodeinu organogeneze zvýšila resorpce a snížila hmotnost plodu v dávce přibližně 65krát MRHD hydrokodonu (na základě mg/m² s mateřskou perorální dávkou kodeinu při 120 mg/kg/den); K těmto účinkům však došlo v přítomnosti toxicity matky. Ve studiích vývoje embryfetálu s těhotnými králíky a myšími dávkovanými v průběhu období organogenezního kodeinu nevyvolaly žádné nepříznivé vývojové účinky v dávkách přibližně 30 a 160krát resp. MRHD hydrokodonu (na základě mg/m² s mateřskými orálními dávkami kodeinu při 30 mg/kg/den u králíků u králíků).

Homatropin

Studie na zvířatech s homatropinem nejsou k dispozici.

co dělat v bankoku

Laktace

Shrnutí rizika

Vzhledem k potenciálu vážných nežádoucích účinků včetně nadměrné sedace respirační deprese a smrti u kojeného kojence doporučuje pacientům, že kojení se nedoporučuje během léčby hycodanem.

Neexistují žádné údaje o přítomnosti hycodanu v lidském mléce Účinky hycodanu na kojené dítě nebo účinky hycodanu na produkci mléka; Data jsou však k dispozici s hydrokodonem a homatropinem.

Hydrokodon

Hydrokodon is present in breast milk. Published cases report variable concentrations of hydrocodone and hydromorphone (an active metabolite) in breast milk with administration of immediate-release hydrocodone to nursing mothers in the early post-partum period with relative infant doses of hydrocodone ranging between 1.4% and 3.7%. There are case reports of excessive sedation and respiratory depression in breastfed infants exposed to hydrocodone. No information is available on the effects of hydrocodone on milk production.

Homatropin

O hladinách homopinu v mateřském mléce nebo o produkci mléka nejsou k dispozici žádné informace. Publikovaná literatura naznačuje, že homatropin může snížit produkci mléka na základě jeho anticholinergních účinků (viz Klinické úvahy ).

Klinické úvahy

Kojenci vystaveni Hycodanu prostřednictvím mateřského mléka by měli být sledováni z hlediska nadměrné sedace a respirační deprese. U kojených kojenců se mohou objevit příznaky od kojení, když je zastaveno podávání opioidu matek nebo když je kojení zastaveno.

Ženy a muži reprodukčního potenciálu

Neplodnost

Chronické použití opioidů, jako je hydrokodon, může složka hycodanu způsobit sníženou plodnost u žen a mužů reprodukčního potenciálu. Není známo, zda jsou tyto účinky na plodnost reverzibilní [viz Nežádoucí účinky Klinická farmakologie ].

Dětské použití

Hycodan is contraindicated in pediatric patients younger than 6 years of age because of life-threatening respiratory depression and death mít occurred in pediatric patients who received hydrocodone [see Kontraindikace VAROVÁNÍS AND OPATŘENÍ ].

Bezpečnost a účinnost Hycodanu nebyla u pacientů mladších 18 let stanovena. Hycodan se nedoporučuje pro použití u pacientů mladších 18 let věku, protože výhody symptomatické léčby kašle spojeného s alergiemi nebo nachlazením nepřeváží rizika pro použití hydrokodonu u těchto pacientů [viz viz Indikace VAROVÁNÍS AND OPATŘENÍ ].

Geriatrické použití

Klinické studie nebyly provedeny s Hycodanem v geriatrických populacích.

Při zvažování použití Hycodanu u pacientů ve věku 65 let nebo starších. Starší pacienti mohou mít zvýšenou citlivost na hydrokodon; Větší frekvence snížené funkce jater nebo srdeční funkce; nebo souběžné onemocnění nebo jiné lékové terapie [viz VAROVÁNÍS AND OPATŘENÍ ].

Respirační deprese je hlavním rizikem starších pacientů léčených opioidy včetně Hycodanu. Despirační deprese se objevila po velkých počátečních dávkách opioidů pacientům, kteří nebyli opioidní tolerantní, nebo když opioidy byly spolupracovány s jinými látkami, kteří snižují dýchání [viz viz VAROVÁNÍS AND OPATŘENÍ ].

Hydrokodon is known to be substantially excreted by the kidney and the risk of adverse reactions to this drug may be greater in patients with impaired renal function. Because elderly patients are more likely to mít decreased renal function monitor these patients closely for respiratory depression sedation and hypotension.

Poškození ledvin

Farmakokinetika Hycodanu nebyla charakterizována u pacientů s poškozením ledvin. Pacienti s poškozením ledvin mohou mít vyšší plazmatické koncentrace než u pacientů s normální funkcí [viz Klinická farmakologie ]. Hycodan should be used with caution in patients with severe impairment of renal function and patients should be monitored closely for respiratory depression sedation and hypotension.

Poškození jater

Farmakokinetika Hycodanu nebyla charakterizována u pacientů s jaterním poškozením. Pacienti s těžkým poškozením jater mohou mít vyšší plazmatické koncentrace než u pacientů s normální funkcí jater [viz Klinická farmakologie ]. Therefore Hycodan should be used with caution in patients with severe impairment of hepatic function and patients should be monitored closely for respiratory depression sedation and hypotension.

Informace o předávkování pro Hycodan

Klinická prezentace

Hydrokodon

Akutní předávkování hydrokodonem je charakterizováno respirační depresí (snížení rychlosti dýchacích a/nebo přílivového objemu Cheyne-Stokes Respiration Cyanóza) Extrémní somnolence postupuje do Stuporového nebo komarálního kosterního svalu Svědectví nachlazení a Clammy Skin Fupils Chonted Chopsion a v některých případech pozorovatelná varnářská hladina v Airdaingovi v dolním stupni v Airdaingu Ospections At Airships v Airdaingovi v dolním stupni v Airdaingovi v Airdaingovi v dokladu v Airdaingu. Hypoglykémie Cirkulační kolaps srdeční zástava a smrt.

Hydrokodon may cause miosis even in total darkness. Pinpoint pupils are a sign of opioid overdose but are not pathognomonic (e.g. pontine lesions of hemorrhagic or ischemic origin may produce similar findings). Marked mydriasis rather than miosis may be seen with hypoxia in overdose situations [see Klinická farmakologie ].

Homatropin

Homatropin has broad nonspecific anticholinergic / antimuscarinic activity that similar to although less potent than atropine. Overdosage of homatropine can cause mydriasis and cycloplegia (fixed and dilated pupils) sucho v ústech and eyes decreased pocení hyperthermia flushing bolest hlavy visual blurring gastrointestinal symptoms zácpa urinary retention tachycardia and palpitations anxiety restlessness míchání halucinace convulsions cardiac arrhythmias and coma. Anticholinergic agents can also precipitate acute narrow angle glaukom .

Léčba předávkování

Léčba předávkování je poháněna celkovou klinickou prezentací a spočívá v přerušení Hycodanu spolu s institucí vhodné terapie. Věnujte primární pozornost obnovení adekvátní respirační výměny poskytováním patentovaných a chráněných dýchacích cest a institucí asistované nebo kontrolované větrání. Při léčbě oběhového šoku a plicního edému používají další podpůrná opatření (včetně kyslíku a vasopresorů). Srdeční zástava nebo arytmie budou vyžadovat pokročilé techniky podpory života. Při odstraňování neabsorbovaného léčiva může být užitečné vyprazdňování žaludku.

Antagonisté opioidních naloxon a nalmefen jsou specifické antidoty pro respirační depresi v důsledku předávkování opioidy. Pro klinicky významnou respirační nebo oběhovou depresi sekundární k předávkování hydrokodonem podává opioidní antagonista. Antagonista by neměl být podáván v nepřítomnosti klinicky významné respirační deprese. Protože se očekává, že doba reverzů opioidů bude kratší než doba účinku hydrokodonu v Hycodanu pečlivě monitorovat pacienta, dokud se spontánní dýchání spolehlivě obnoví. Pokud je reakce na opioidní antagonisty suboptimální nebo pouze krátká v přírodě, spravujte dalšího antagonisty podle pokynů na předepisování informací o produktu.

Hemodialýza se běžně nepoužívá ke zvýšení eliminace hydrokodonu z těla. PhySostigmin může být používán parenterálně pro léčbu příznaků a symptomů toxicity homatropinu.

Kontraindikace pro Hycodan

Hycodan is contraindicated for:

  • Všichni pediatričtí pacienti mladší než 6 let [viz VAROVÁNÍS AND OPATŘENÍ Použití v konkrétních populacích ].
  • Významná respirační deprese [viz VAROVÁNÍS AND OPATŘENÍ ].
  • Akutní nebo těžká bronchiální astma v nemonitorovaném prostředí nebo v nepřítomnosti resuscitativního vybavení [viz viz VAROVÁNÍS AND OPATŘENÍ ].
  • Známá nebo podezřelá gastrointestinální obstrukce včetně paralytického ileus [viz VAROVÁNÍS AND OPATŘENÍ ].
  • Přecitlivělost na hydrokodon homatropin nebo některá z neaktivních složek v Hycodanu [viz a Derverské reakce ].

Klinická farmakologie for Hycodan

Mechanismus působení

Hydrokodon

Hydrokodon is an opioid agonist with relative selectivity for the mu-opioid receptor although it can interact with other opioid receptors at higher doses. The precise mechanism of action of hydrocodone and other opiates is not known; however hydrocodone is believed to act centrally on the cough center. In excessive doses hydrocodone will depress respiration.

Homatropin

Homatropin is an anticholinergic that inhibits activity of the muscarinic acetylcholine receptor with less potency than atropine.

Farmakodynamika

Hydrokodon

Účinky na centrální nervový systém

Hydrokodon produces respiratory depression by direct action on brain stem respiratory centers. The respiratory depression involves a reduction in the responsiveness of the brain stem respiratory centers to both increases in carbon dioxide tension and to electrical stimulation.

Hydrokodon causes miosis even in total darkness. Pinpoint pupils are a sign of opioid overdose but are not pathognomonic (e.g. pontine lesions of hemorrhagic or ischemic origins may produce similar findings). Marked mydriasis rather than miosis may be seen due to hypoxia in overdose situations.

Účinky na gastrointestinální trakt a další hladký sval

Hydrokodon causes a reduction in motility associated with an increase in smooth muscle tone in the antrum of the stomach and duodenum. Digestion of food in the small intestine is delayed and propulsive contractions are decreased. Propulsive peristaltic waves in the colon are decreased while tone may be increased to the point of spasm resulting in zácpa. Other opioid-induced effects may include a reduction in biliary and pancreatic secretions spasm of sphincter of Oddi and transient elevations in serum amylase.

Účinky na kardiovaskulární systém

Hydrokodon produces peripheral vasodilation which may result in orthostatic hypotension or syncope. Manifestations of histamine release and/or peripheral vasodilation may include pruritus flushing red eyes and pocení and/or orthostatic hypotension.

Účinky na endokrinní systém

Opioidy inhibují sekreci adrenokortikotropního hormonu (ACTH) kortizolu a luteinizujícího hormonu (LH) u lidí [viz viz Nežádoucí účinky ]. They also stimulate prolactin growth hormone (GH) secretion and pancreatic secretion of insulin and glucagon.

Chronické použití opioidů může ovlivnit hypothalamicko-hypofýza-gonadální osu vedoucí k nedostatku androgenu, která může projevit jako nízká libido impotence erektilní dysfunkce amenorea nebo neplodnost. Příčinná role opioidů v klinickém syndromu hypogonadismu není známa, protože různé lékařské fyzické životní styl a psychologické stresory, které mohou ovlivnit hladiny gonadálních hormonů, nebyly ve studiích provedených dosud přiměřeně kontrolovány [viz viz viz dosud [viz viz [viz viz [viz viz [viz viz Nežádoucí účinky ].

Účinky na imunitní systém

Ukázalo se, že opioidy mají řadu účinků na složky imunitního systému u modelů in vitro a zvířat. Klinický význam těchto zjištění není znám. Celkově se zdá, že účinky opioidů jsou mírně imunosupresivní.

Koncentrace - nežádoucí reakci vztahů

Existuje vztah mezi rostoucí koncentrací hydrokodonu v plazmě a zvyšující se frekvencí nežádoucích účinků opioidů souvisejících s dávkou, jako jsou zvracení CNS zvracení nevolnosti a respirační depresí. U pacientů s tolerantními opioidy může být situace změněna vývojem tolerance vůči nežádoucím účinkům souvisejícím s opioidy.

Homatropin

Homatropin methylbromide has several mild but undesirable clinical properties resulting from its antisecretory effects. These can include: sucho v ústech loss of visual accommodation photophobia and difficulty in urination. The extent of the above actions is dictated by dose dose escalation therefore results in progressively aversive symptoms in patients.

Farmakokinetika

Vstřebávání

Po 10 mg perorální dávce hydrokodonu podávaného pěti dospělým mužským subjektům byla průměrná koncentrace píku 23,6 ± 5,2 ng/ml. Maximální hladiny séra byly dosaženy při 1,3 ± 0,3 hodiny. Jídlo nemá žádný významný vliv na rozsah absorpce hydrokodonu.

Rozdělení

Ačkoli rozsah vazby proteinu hydrokodonu v lidské plazmě nebyl definitivně stanoven strukturální podobnosti s souvisejícími opioidními analgetiky naznačuje, že hydrokodon není rozsáhle vázán protein. Jako většina činidel v 5-kruhové morfinanské skupině semisyntetických opioidů váže plazmatický protein v podobném stupni (rozmezí 19% [hydromorphone] na 45% [oxykodon]) hydrokodonu v tomto rozmezí.

Odstranění

Metabolismus

Hydrokodon exhibits a complex pattern of metabolism including N-demethylation O-demethylation and 6keto reduction to the corresponding 6-α-and 6-β-hydroxy metabolites. CYP3A4 mediated N-demethylation to norhydrocodone is the primary metabolic pathway of hydrocodone with a lower contribution from CYP2D6-mediated O-demethylation to hydromorphone. Hydromorphone is formed from the O-demethylation of hydrocodone and may contribute to the total analgesic effect of hydrocodone. Therefore the formation of these and related metabolites can in theory be affected by other drugs [see Lékové interakce ]. Published in vitro studies mít shown that N-demethylation of hydrocodone to form norhydrocodone can be attributed to CYP3A4 while O-demethylation of hydrocodone to hydromorphone is predominantly catalyzed by CYP2D6 and to a lesser extent by an unknown low affinity CYP enzyme.

Vylučování

Hydrokodon and its metabolites are eliminated primarily in the kidneys. The mean plasma half-life of hydrocodone is approximately 4 hours.

Informace o pacientovi pro Hycodan

Hycodan
(He-ko-dan)
(hydrokodon bitartrát a homatropin methylbromid) tablety a ústní roztok pro ústní použití

Jaké jsou nejdůležitější informace, které bych měl vědět o Hycodanu?

Hycodan is not for children under 18 years of age.

Hycodan can cause serious side effects including:

  • Zneužívání a zneužití závislosti. Užívání Hycodanu nebo jiných léků, které obsahují opioid, může způsobit zneužívání závislosti a zneužití, které může vést k předávkování a smrti. K tomu může dojít, i když si vezmete Hycodan přesně tak, jak předepsal váš poskytovatel zdravotní péče. Vaše riziko zneužívání a zneužití závislosti se zvyšuje, pokud máte vy nebo člen rodiny v anamnéze zneužívání drog nebo alkoholu nebo závislosti nebo problémů duševního zdraví.
    • Ne Sdílejte svůj Hycodan s ostatními lidmi.
    • Udržujte Hycodan na bezpečném místě od dětí.
  • Problémy s dýcháním ohrožující život (respirační deprese). Hycodan can cause breathing problems (respiratory depression) that can happen at any time during treatment and can lead to death. Your risk of breathing problems is greatest when you first start taking Hycodan are taking other medicines that can cause breathing problems mít certain lung problems are elderly or mít certain other health problems. Děti jsou vystaveny vyššímu riziku respirační deprese. Dýchací problémy se mohou vyskytnout, i když Hycodan berete přesně tak, jak předepsal poskytovatel zdravotní péče. Zavolejte svému poskytovateli zdravotní péče nebo okamžitě získejte pohotovostní lékařskou pomoc, pokud někdo, kdo užívá Hycodan, má níže některý z příznaků:
    • zvýšená ospalost
    • mělké dýchání
    • zmatek
    • ohebnost
    • potíže s dýcháním

Udržujte Hycodan na bezpečném místě od dětí. Náhodné použití dokonce 1 dávky Hycodanu, zejména dítětem, je lékařská pohotovost a může způsobit problémy s dýcháním (respirační deprese), která může vést k smrti. Pokud dítě náhodně vezme Hycodan, dostane okamžitě pohotovostní lékařskou pomoc.

  • Předávkování a smrt v důsledku chyb dávkování medicíny. Pokud změříte nesprávnou dávku Hycodanu, může dojít k předávkování a smrt. K měření správného množství Hycodanu vždy použijte přesné měřicí zařízení Milliliter (ML). Ne K měření léku použijte lžičku domácnosti. Můžete náhodně brát příliš mnoho. Lékárníka můžete požádat o měřicí zařízení, které byste měli použít a jak měřit správnou dávku.
  • Dýchací problémy (respirační deprese), které mohou vést k smrti a odběru opioidů Může se stát, pokud začnete brát nebo přestat brát jiné léky při užívání Hycodanu včetně:
    • Některá antibiotika
    • Některé léky k léčbě plísňové infekce
    • Některé léky na léčbu viru viru lidské imunodeficience (HIV) -1 infekce získala syndrom imunitního nedostatku (AIDS) nebo hepatitida C C
    • rifampin
    • Karbamazepin
    • Phable

Pokud užíváte některý z těchto léků, řekněte svému poskytovateli zdravotní péče. Zeptejte se svého poskytovatele zdravotní péče nebo lékárníka, pokud si nejste jisti, zda je váš lék uvedený výše.

  • Problémy s dýchem na ospalost (respirační deprese) a smrt Může se stát u lidí, kteří užívají Hycodan s benzodiazepiny nebo jinými depresivními prostředky centrálního nervového systému včetně alkoholu.
    • Ne Vezměte benzodiazepiny nebo jakýkoli lék, který může způsobit ospalost nebo ospalost během léčby hycodanem.
    • Ne Pijte alkohol nebo si užívejte léky na předpis nebo volně prodejné léky, které obsahují alkohol během léčby hycodanem.
  • Stažení opioidů u novorozence. Použití Hycodanu během těhotenství může způsobit příznaky odložení u vašeho novorozeného dítěte, které by mohly být život ohrožující, pokud by nebyly rozpoznány a léčeny. Neměli byste brát Hycodan, pokud jste těhotná. Okamžitě řekněte svému poskytovateli zdravotní péče, pokud jste těhotná nebo si myslíte, že můžete být těhotná.

Co je Hycodan?

  • Hycodan is a prescription medicine used in adults 18 years of age and older to treat a cough. Hycodan contains hydrocodone an opioid (narcotic) cough suppressant.
  • Hycodan is a federal controlled substance (C-II) because it contains hydrocodone that can be abused or lead to dependence. Udržujte Hycodan na bezpečném místě, abyste zabránili zneužití a zneužívání. Prodej nebo rozdávání Hycodanu může poškodit ostatní a je proti zákonu. Sdělte svému poskytovateli zdravotní péče, pokud jste někdy zneužívali nebo byli závislí na lécích na předpis alkoholu nebo na pouliční léky.

Kdo by neměl brát Hycodan?

Hycodan is not for children under 18 years of age. Vidět Jaké jsou nejdůležitější informace, které bych měl vědět o Hycodanu?

Ne take Hycodan if you:

  • mají závažné dýchací problémy (respirační deprese) nebo dýchací problémy způsobené astmatem. Vidět Jaké jsou nejdůležitější informace, které bych měl vědět o Hycodanu?
  • Mějte blokování (obstrukci) ve střevě, jako je paralytický ileus.
  • jsou alergické na hydrokodon homatropin nebo některá složka v Hycodanu. Úplný seznam složek v Hycodanu naleznete na konci této medikační příručky.

Zeptejte se svého poskytovatele zdravotní péče, pokud máte nějaké dotazy ohledně těchto informací.

Než vezmete Hycodan, řekněte svému poskytovateli zdravotní péče o všech svých zdravotních stavech, včetně, pokud jste:

  • mít závislost na drogách
  • mít dokonce Problémy s potrubím nebo pankreasem
  • mít lung or breathing problems
  • mít glaukom (increased pressure in eyes)
  • mít a horečka and are coughing up mucus
  • mít prostate problems
  • mít had a recent head injury
  • mít problems with your urinary tract or difficulty urinatin
  • mít had a brain tumor or other brain problems
  • mít kidney or liver problems
  • mít or mít had záchvats
  • mít adrenal gland problems
  • mít pain in your stomach-area (abdomen)
  • mít low blood pressure
  • mít zácpa nebo other bowel problems
  • Plánujte operaci
  • jsou těhotné nebo plánují otěhotnět. Hycodan může poškodit vaše nenarozené dítě. Vidět Jaké jsou nejdůležitější informace, které bych měl vědět o Hycodanu?
  • jsou kojení nebo plánují kojení. Hydrokodon prochází do vašeho mateřského mléka a může způsobit vážné vedlejší účinky na vaše dítě, včetně zvýšených problémů s dýcháním ospalosti (respirační deprese) a smrti. Vy a váš poskytovatel zdravotní péče byste se měli rozhodnout, zda si vezmete Hycodan nebo kojení. Neměli byste dělat obojí. Vidět Co bych se měl vyhnout při užívání Hycodanu?
  • plánovat mít děti. Hycodan může ovlivnit schopnost mít dítě u žen a mužů (problémy s plodností). Není známo, zda tyto problémy s plodností budou reverzibilní i poté, co přestanete užívat Hycodan. Pokud jde o vás, promluvte si se svým poskytovatelem zdravotní péče.

Řekněte svému poskytovateli zdravotní péče o všech lécích, které užíváte včetně předpisu a volně prodejných léků vitamínů a bylinných doplňků.

Užívání Hycodanu s některými jinými léky může způsobit vedlejší účinky nebo ovlivnit, jak dobře fungují Hycodan nebo jiné léky. Nezačínejte ani nepřestávejte užívat jiné léky, aniž byste mluvili s poskytovatelem zdravotní péče.

Zejména řekněte svému poskytovateli zdravotní péče, pokud:

  • užívejte léky proti bolesti, jako jsou opioidy (narkotika).
  • Vezměte nachlazení nebo alergické léky, které obsahují antihistaminika nebo potlačující kašel.
  • Pijte alkohol.
  • Vezměte si svalové relaxanty.
  • Užívejte určité léky používané k léčbě poruch nálady úzkosti nebo poruchy myšlenky nebo deprese včetně inhibitorů monoamin oxidázy (MAOI) Tricyclics Selektivní inhibitory zpětného vychytávání serotoninu (SSRIS) selektivní inhibitory zpětného zpětného uplatnění (SNRIS) nebo antipsychotiky.
  • Vezměte léky, abyste snížili krevní tlak.
  • Vezměte pilulky na vodu (diuretika).
  • Užívejte léky zvané anticholinergiky používané k léčbě určitých zdravotních problémů, včetně astmatu chronického obstrukčního plicního onemocnění (COPD) nebo žaludečních problémů.

Zeptejte se svého poskytovatele zdravotní péče, zda si nejste jisti, zda si užíváte jeden z těchto léků.

Jak mám vzít Hycodan?

místa k toulání v USA
  • Vidět Jaké jsou nejdůležitější informace, které bych měl vědět o Hycodanu?
  • Vezměte si Hycodan přesně tak, jak vám říká váš poskytovatel zdravotní péče, abyste si to vzali. Neměňte svou dávku, aniž byste mluvili s poskytovatelem zdravotní péče.
  • Vezměte Hycodan pouze ústy.
  • Vezměte Hycodan pomocí přesného měřicího zařízení Milliliter (ML). Pokud nemáte někoho, kdo by požádal svého lékárníka, aby vám poskytl měřicí zařízení, které vám pomůže měřit správné množství Hycodanu. Ne use a household teaspoon to measure your medicine. You may accidently take too much.
  • Ne Naplnění měřicího zařízení.
  • Po každém použití opláchněte měřicí zařízení vodou.
  • Pokud si vezmete příliš mnoho Hycodanu, zavolejte svému poskytovateli zdravotní péče nebo hned jděte do nejbližší pohotovostní místnosti nemocnice.
  • Sdělte svému poskytovateli zdravotní péče, pokud se váš kašel nezlepší do 5 dnů od léčby Hycodanem.

Co bych se měl vyhnout při užívání Hycodanu?

  • Během léčby hycodanem se vyhněte řízení automobilu nebo operačního stroje. Hycodan může způsobit, že jste ospalý zpomalte své myšlení a motorické dovednosti a ovlivní vaši vizi.
  • Ne Pijte alkohol během léčby hycodanem. Pití alkoholu může zvýšit vaše šance na vážné vedlejší účinky.

Vyhněte se použití Hycodanu, pokud:

  • jsou těhotné. Použití Hycodanu během těhotenství může způsobit příznaky odložení u vašeho novorozeného dítěte, které by mohly být život ohrožující, pokud by nebyly rozpoznány a léčeny. Okamžitě řekněte svému poskytovateli zdravotní péče, pokud jste těhotná nebo si myslíte, že můžete být těhotná.
  • jsou kojení. Použití Hycodanu při kojení může u vašeho kojeného dítěte způsobit závažné dýchací problémy (respirační deprese), které by mohlo být život ohrožující.
  • Vezměte lék zvaný inhibitor monoamin oxidázy (MAOI). Vyvarujte se užívání maoi do 14 dnů poté, co přestanete brát Hycodan. Pokud jste za posledních 14 dní přestali brát maoi, vyvarujte se Hycodanu.

Jaké jsou možné vedlejší účinky Hycodanu?

Hycodan can cause serious side effects including:

  • Vidět Jaké jsou nejdůležitější informace, které bych měl vědět o Hycodanu?
  • Problémy střev včetně těžké zácpy nebo bolesti žaludku. Vidíte, kdo by neměl brát Hycodan?
  • Zvýšený tlak v hlavě (intrakranial). Vyvarujte se používání Hycodanu, pokud máte poranění hlavy nebo bylo řečeno, že máte změny v tkáni mozku (mozkové léze) nebo zvýšené tlak v hlavě.
  • Zvýšené riziko záchvatů u lidí s poruchami záchvatů. Pokud máte poruchu záchvatů, může se Hycodan zvýšit, jak často máte záchvat.
  • Nízký krevní tlak. Náhlý pokles krevního tlaku může dojít u některých lidí během léčby Hycodanem, což může způsobit, že se budete cítit závratě slabý nebo slabý, zejména když se postavíte (ortostatická hypotenze). Vaše riziko, že tento problém bude mít, může být zvýšeno, pokud užíváte Hycodan s některými dalšími léky, které snižují krevní tlak. Pokud máte některý z těchto příznaků při užívání Hycodanu sedět nebo si lehnout. Neměňte pozici těla příliš rychle. Vstaňte pomalu od sezení nebo ležení.
  • Problémy s adrenální žláza. Hycodan can cause serious and life-threatening adrenal gland problems. Your healthcare provider may do blood tests to check for adrenal gland problems. Call your healthcare provider right away if you mít any of these symptoms:
    • nevolnost
    • slabost
    • zvracení
    • závrať
    • nechcete jíst (anorexie)
    • nízký krevní tlak o únava

Mezi nejčastější vedlejší účinky Hycodanu patří:

    • ospalost
    • závrať
    • zmatek
    • bolest hlavy
    • problémy s koordinací
    • sucho v ústech
    • Snížení duševního a fyzického výkonu
    • nevolnost
    • nedostatek energie
    • zvracení
    • Lightheadedness
    • zácpa

Nejedná se o všechny možné vedlejší účinky Hycodanu.

Zavolejte svého lékaře, kde najdete lékařskou radu ohledně vedlejších účinků. Můžete nahlásit vedlejší účinky FDA na 1-800-FDA-1088.

Jak mám ukládat Hycodan?

  • Ukládejte Hycodan při pokojové teplotě mezi 68 ° F až 77 ° F (20 ° C až 25 ° C).
  • Ukládejte tablety Hycodan v pevně uzavřené nádobě na suchém chladném místě od tepla nebo přímého slunečního světla.
  • Udržujte Hycodan a všechny léky mimo dosah dětí.

Jak mám nakládat s Hycodanem?

Vyjměte nevyužitý hycodan z kontejneru a smíchejte jej s nežádoucí netoxickou látkou, jako je kočičí vrh nebo použitá kávová uzemnice, aby byla méně přitažlivá pro děti a domácí zvířata. Směs vložte do nádoby, jako je utěsněný plastový sáček, a zahoďte ji do koše pro domácnost. Můžete také dodržovat své státní nebo místní pokyny, jak bezpečně vyhodit Hycodan.

Obecné informace o bezpečném a efektivním používání Hycodanu.

Léky jsou někdy předepisovány pro jiné účely než ty, které jsou uvedeny v průvodci s léky. Nepoužívejte Hycodan pro stav, pro který nebyl předepsán. Nedávejte Hycodanovi jiným lidem, i když mají stejné příznaky, jaké máte. Může jim to poškodit.

Můžete požádat svého lékárníka nebo poskytovatele zdravotní péče o informace o Hycodanu, který je psán pro zdravotnické pracovníky.

Jaké jsou složky v Hycodanu?

Aktivní složky: Hydrokodon bitartrát a homatropin methylbromid neaktivní složky v tabletách hycodan: fosfát vápenaté dibasic koloidní křemík oxid oxid laktóza stearátu Pregelatinizovaný škrob a kyselinu stearovou.

Neaktivní ingredience v ústním roztoku Hycodan: bezvodá kyselina citronová FD

Tento průvodce medikací byl schválen americkou správou potravin a léčiv.