Informace Na Stránce Nepředstavují Lékařskou Radu. Nic Neprodáváme. Přesnost Překladu Není Zaručena. Zřeknutí Se Odpovědnosti
Antibiotika/kortikosteroidy, Otic
Kortisporin Otic Suspension
Shrnutí drog
Co je Cortisporin Otic Suspension?
Suspenze ušního ototiku kortizoporinu (neomycin a sírany polymyxinu B a hydrokortisonu) je kombinací dvou antibiotik a protizánětlivé kortikosteroidy používané k léčbě vnějších ušních infekcí způsobených bakteriemi (také známý jako ucho plavce). Osotická suspenze kortisporinu je k dispozici v obecné podobě.
Jaké jsou vedlejší účinky ušního suspenze kortisporinu?
Mezi běžné vedlejší účinky ušního suspenze kortisporinu patří:
- Dočasné bodnutí nebo pálení ucha na minutu nebo dvě, když je aplikováno.
Řekněte svému lékaři, pokud máte tento vzácný, ale velmi vážný vedlejší účinek ušního zavěšení kortisporinu:
- Problémy se sluchem (např. Ztráta sluchu).
Dávkování pro Cortisporin Otic Suspension
U dospělých je dávka suspenze ušního kortisporinu 4 kapky suspenze vštípené do postiženého ucha 3 nebo 4krát denně. U kojenců a dětí jsou navrženy 3 kapky z důvodu menší kapacity ušního kanálu. Omezte použití na 10 dní.
Olitická suspenze kortisporinu během těhotenství nebo kojení
Kortisporin ušní suspenze může interagovat s jinými léky. Řekněte svému lékaři všechny léky a doplňky, které používáte. Kortisporin ušní suspenze by měla být použita pouze tehdy, pokud je předepsána během těhotenství. Není známo, zda tento lék prochází do mateřského mléka. Před kojením se poraďte se svým lékařem.
Další informace
Naše suspenze ušního kortizoponu (neomycin a polymyxin B sulfáty a hydrokortison) Vedlejší účinky lékové centrum poskytuje komplexní pohled na dostupné informace o možných vedlejších účincích při užívání tohoto léku.
je zithromax stejný jako azithromycin
Informace o drogách FDA
- Popis léku
- Indikace
- Vedlejší účinky
- Varování
- Opatření
- Předávkovat
- Klinická farmakologie
- Průvodce léky
Popis pro ušní zavěšení kortisporinu
Cortisporin® Otic Suspension (Neomycin a polymyxin B sulfáty a hydrokortizonový ušní suspenze USP) je sterilní antibakteriální a protizánětlivá suspenze pro ušní použití. Každá ML obsahuje: Neomycin sulfát ekvivalentní 3,5 mg neomycinové báze polymyxinu B sulfátu ekvivalentní 10000 polymyxinu B jednotky a hydrokortisonu 10 mg (1%). Vozidlo obsahuje Thimerosal 0,01% (přidáno jako konzervační látka) a neaktivní složky cetylalkohol propylenglykol polysorbátu 80 a vodu pro injekci. K úpravě pH může být přidána kyselina sírová.
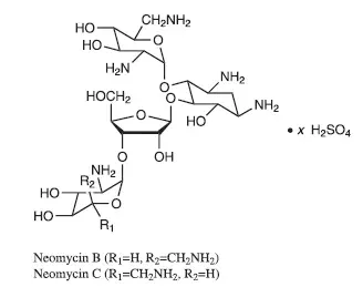
Neomycin sulfát je sulfátová sůl neomycinu B a C, které jsou produkovány růstem Streptomyces Fradiae Waksman (fam. Streptomyceceaeae). Má účinný ekvivalent nejméně 600 mcg standardu neomycinu na mg vypočtený bezvodým základem. Strukturální vzorce jsou:
|
Polymyxin B sulfát je sulfátová sůl polymyxinu B 1 a b 2 které jsou produkovány růstem Bacillus polymyxa (Prazmowski) Migula (fam. Bacillaceae). Má účinnost nejméně 6000 jednotek polymyxinu B na mg vypočtené bezvodým základem. Strukturální vzorce jsou:
|
Hydrokortison 11b17 21-trihydroxypregn-4-ene-3 20-dione je protizánětlivý hormon. Jeho strukturální vzorec je:
|
Použití pro ušní zavěšení kortisporinu
Pro léčbu povrchových bakteriálních infekcí vnějšího sluchového kanálu způsobeného organismy náchylnými k působení antibiotik a pro léčbu infekcí mastoidektomie a fenestračních dutin způsobených organismy citlivými na antibiotika.
Dávkování pro Cortisporin Otic Suspension
Terapie s tímto produktem by měla být omezena na 10 po sobě jdoucích dnů.
Vnější sluchový kanál by měl být důkladně očištěn a sušen pomocí aplikátoru sterilní bavlny.
U dospělých by měly být 4 kapky suspenze vštípeny do postiženého ucha 3 nebo 4krát denně. U kojenců a dětí jsou navrženy 3 kapky z důvodu menší kapacity ušního kanálu.
Pacient by měl ležet s postiženým uchem vzhůru a poté by měly být vštěpovány kapky. Tato poloha by měla být udržována po dobu 5 minut, aby se usnadnilo průnik kapky do ušního kanálu. Pokud je to nutné, opakujte pro opačné ucho.
Pokud bude dáno upřednostňováno, může být do kanálu vložen bavlněný knot a pak bavlna může být nasycena suspenzí. Tento knot by měl být udržován vlhký přidáním dalšího odpružení každé 4 hodiny. Knot by měl být vyměněn nejméně jednou za 24 hodin.
Před použitím se protřepejte dobře .
Jak dodáno
Láhev 10 ml se sterilizovaným kapátkem. (NDC 61570-033-10).
Jaké je jiné jméno pro metoklopramid
Ukládat při 15 ° až 25 ° C (59 ° až 77 ° F).
nejlepší oblasti k pobytu v Kodani
K dispozici také: láhev Cortisporin® Otic roztok 10 ml se sterilizovaným kapátkem. Láhev odpružení Periotic® 7,5 ml se sterilizovaným kapátkem.
Předepisování informací od listopadu 2003. Distribuováno: Monarch Pharmaceuticals Inc. Bristol TN 37620 (zcela vlastněná dceřiná společnost King Pharmaceuticals Inc.) Vyrobeno: DSM Pharmaceuticals Inc. Greenville NC 27834. FDA Rev Date: 8/10/2000
Vedlejší účinky na umlžitelnu kortisporinu
Neomycin občas způsobuje senzibilizaci kůže. Byly hlášeny také ototoxicita a nefrotoxicita (viz Varování ). Nežádoucí účinky se vyskytly při lokálním použití kombinací antibiotik včetně neomycinu a polymyxinu B. Přesné údaje o incidenci nejsou k dispozici, protože není k dispozici žádný jmenovatel léčených pacientů. Reakce, která se vyskytuje nejčastěji, je alergická senzibilizace. V jedné klinické studii s použitím 20% neomycinových náplastí neomycin-indukované alergické kožní reakce se vyskytly u dvou z 2175 (NULL,09%) jedinců v běžné populaci. 2 V jiné studii bylo zjištěno, že incidence je přibližně 1%. 3
Následující místní nežádoucí účinky byly hlášeny u lokálních kortikosteroidů, zejména při okluzivních obvazů: spalování svědění podráždění suchosti Foliculitis Hypertrichóza ACNIORFIONION ERUPMENTACE Periorální dermatitida alergická kontaktní dermatitida makurace kůže sekundární infekce Atrofie Striae a Miliaria. Když tento lék získal přístup ke středním uchu, bylo hlášeno bodnutí a pálení.
Interakce léčiva pro ušní zavěšení kortisporinu
Žádné informace.
Reference
2. Leyden JJ Kligman Am. Kontaktujte dermatitidu na neomycin sulfát. LIDÉ. 1979; 242: 1276-1278.
3. Prystowsky Sd Allen Am Smith RW Nonomura JH Odom RB Akers WA. Alergický kontakt přecitlivělost na nikl neomycin ethylendiamin a benfinain: vztah mezi věkovou pohlavní anamnézou expozice a reaktivitou na standardní záplatu a používání testů v běžné populaci. Arch Dermatol. 1979; 115: 959-962.
Varování for Cortisporin Otic Suspension
Neomycin může indukovat trvalé senzorineurální ztráty sluchu v důsledku kochleárního poškození hlavně destrukce vlasových buněk v orgánu Corti. Riziko je větší při dlouhodobém používání. Terapie by měla být omezena na 10 po sobě jdoucích dnů (viz Generální opatření ). Pacienti, kteří jsou léčeni ušními chřipkami obsahujícími neomycin, by měli být pod pečlivým klinickým pozorováním. Ultizoporin® Otic Suspension (Neomycin a polymyxin B sulfáty a ušní suspenze hydrokortisonu) by neměly být použity u žádného pacienta s perforovanou tympanickou membránou. Pokud dojde k senzibilizaci nebo podráždění. Neomycin sulfát může způsobit kožní senzibilizaci. Přesný výskyt hypersenzitivních reakcí (primárně kožní vyrážky) v důsledku topického neomycinu není znám. Při použití produktů obsahujících neomycin k kontrole sekundární infekce u chronických dermatóz, jako je chronická utitis externa nebo stasis dermatitida, je třeba mít na paměti, že kůže v těchto podmínkách je více odpovědná než normální kůže, aby byla senzibilizována na mnoho látek včetně neomycinu. Projev senzibilizace na neomycin je obvykle zčervenání nízkého stupně s otokem suchého škálování a svědění; Může se to projevit jednoduše jako selhání léčení. Je vhodné periodické vyšetření pro takové znaky a pacient by měl být řekl, aby produkt přerušil, pokud jsou pozorovány. Tyto příznaky rychle regresují při stahování léků. Poté by se pro pacienta mělo zabránit aplikacím obsahujícímu neomycin.
Opatření for Cortisporin Otic Suspension
Generál: Stejně jako u jiných antibiotických přípravků může prodloužené používání vést k přerostlému nesuscescescescescescessialu organismu včetně hub. Pokud se infekce nezlepšuje po 1 týdnu kultur a testy náchylnosti by se měly opakovat, aby se ověřila identita organismu a aby se určilo, zda by měla být terapie změněna. Stravování TR by nemělo pokračovat déle než 10 dní. Může nastat alergické zkřížené reakce, což by mohlo zabránit použití jakékoli nebo všech následujících antibiotik pro léčbu budoucích infekcí: kanamycin paromomycin streptomycin a možná gentamicin.
Laboratorní testy: Systémové účinky nadměrných hladin hydrokortisonu mohou zahrnovat snížení počtu cirkulujících eosinofilů a snížení vylučování močí 17-hydroxykortikosteroidů.
Zrušení mutageneze karcinogeneze plodnosti: Dlouhodobé studie u zvířat (potkanů králíků myší) neprokázaly žádný důkaz karcinogenity, které lze připsat perorálnímu podávání kortikosteroidů.
Těhotenství: Teratogenní účinky: Kategorie těhotenství C. Ukázalo se, že kortikosteroidy jsou u králíků teratogenní, když jsou lokálně aplikovány při koncentracích 0,5% ve dnech 6 až 18 těhotenství a u myší, pokud jsou lokálně aplikovány v koncentraci 15% v den 10 až 13 těhotenství. Neexistují žádné adekvátní a dobře kontrolované studie u těhotných žen. Kortikosteroidy by se měly používat během těhotenství, pouze pokud potenciální výhoda ospravedlňuje potenciální riziko pro plod.
Ošetřovatelské matky: Hydrokortison se objevuje v lidském mléce po ústním podávání léčiva. Protože systémová absorpce hydrokortisonu může nastat, když je aplikována topicky opatrnost, pokud je ošetřovatelská žena použita, pokud je ošetřovatelská žena použita ušní suspenze Cortisporin®.
Pediatrické použití: V pediatrické věkové skupině 2 roky až 16 let byla stanovena bezpečnost a účinnost suspenze Cortisporin® u otitis. Existují nedostatečné údaje, které stanoví bezpečnost a účinnost u otitis extema pro pediatrické pacienty mladší 2 roky. 1
Geriatrické použití: Klinické studie ušní suspenze Cortisporin® (Neomycin a polymyxin B sírany B a hydrokortisonu uzemní suspenze) nezahrnuly dostatečný počet subjektů ve věku 65 let a více, aby se určily, zda odlišně od mladších subjektů reagují odlišně. Jiné hlášené klinické zkušenosti nezjistily rozdíly v odpovědích mezi staršími a mladšími pacienty.
Vedlejší účinky kuřecího neštovice u dospělých
Reference
1. Jones Rn Milazzo J Seidlin M. Ofloxacin Otic Roztok pro léčbu otitis externa u dětí a dospělých. Chirurgie krku hlavy Arch Otolaryngol 1997; 123: 1193-1200.
Informace o předávkování pro zavěšení kortisporinu
Žádné informace.
Kontraindikace pro umlznou suspenzi kortisporinu
Tento produkt je kontraindikován u jedinců, kteří prokázali přecitlivělost na některou z jejích složek a v infekcích herpes simplex vakcinie a varicelly.
Jak často bych měl brát Aleve
Klinická farmakologie for Cortisporin Otic Suspension
Kortikoidy potlačují zánětlivou reakci na různé látky a mohou odkládat hojení. Protože kortikoidy mohou inhibovat obranný mechanismus těla proti infekci, může být použita souběžná antimikrobiální léčivo, pokud je tato inhibice v konkrétním případě považována za klinicky významnou.
Antiinfekční komponenty v kombinaci jsou zahrnuty tak, aby poskytovaly účinek proti specifickým organismům náchylným k nim. Neomycin sulfát a polymyxin B sulfát společně jsou považováni za aktivní proti následujícím mikroorganismům: Staphylococcus aureus escherichia coli haemophilus influenzae klebsiella- enterobacter druh Neisseria druh and Pseudomonas aeruginosa. Tento produkt neposkytuje odpovídající pokrytí proti Serratia Marcescens a streptokoky včetně Streptococcus pneumoniae.
Relativní účinnost kortikosteroidů závisí na koncentraci molekulární struktury a uvolňování z vozidla.
Informace o pacientovi pro ušní zavěšení kortisporinu
Vyvarujte se kontaminu kapátka materiálem z ušních prstů nebo jiného zdroje. Tato opatrnost je nezbytná, pokud má být zachována sterilita kapek. Pokud dojde ke senzibilizaci nebo podráždění, okamžitě přestane používat a kontaktujte svého lékaře.
Nepoužívejte v očích.
Před použitím se protřepejte dobře .