Informace Na Stránce Nepředstavují Lékařskou Radu. Nic Neprodáváme. Přesnost Překladu Není Zaručena. Zřeknutí Se Odpovědnosti
Antidoty, jiné
Acetát
Shrnutí drog
Co je acetadote?
Acetadote (acetylcystein) injekce je aminokyselina používaná k prevenci nebo snížení poškození jater v důsledku předávkování acetaminofenu. Acetadote je k dispozici v obecné podobě.
Jaké jsou vedlejší účinky acetadote?
Mezi běžné vedlejší účinky acetadote patří:
- vyrážka
- kopřivka
- Propláchnutí obličeje (teplé zarudnutí nebo pocity) svědění respiračních symptomů (kašel pískat hlučné dýchací dušnost těsnosti hrudníku na dechové hrudi nebo bronchospasmu)
- otok nebo nízký krevní tlak (hypotenze)
Pokud máte následující vážné vedlejší účinky, vyhledejte lékařskou péči nebo zavolejte na číslo 911:
- Vážné příznaky očí, jako je ztráta náhlého vidění rozmazané vidění vidění Vision Vision Eye Eye Eye Eye Eye Eye Eye Eye nebo vidět halos kolem světel;
- Vážné příznaky srdce, jako je rychlé nepravidelné nebo bušení srdečního rytmu; třepování v hrudi; dušnost; a náhlé závratě lightheadness nebo omdlení;
- Těžká zmatek bolesti hlavy zkroucený řečový rameno nebo slabost nohou Potíže se ztrátou chůze pocitu koordinace Pocit nestabilní velmi tuhé svaly vysoké horečky bohaté pocení nebo třes.
Tento dokument neobsahuje všechny možné vedlejší účinky a mohou dojít k jiným. Další informace o vedlejších účincích najdete u svého lékaře.
Dávkování pro acetadotu
Doporučená dávka acetadotu je 300 mg/kg podávaná po dobu 21 hodin.
Jaké léčivé látky nebo doplňky interagují s acetadotou?
Jiné léky mohou interagovat s acetadotou. Řekněte svému lékaři všechny léky, které užíváte. Než vezmete acetadote, řekněte svému lékaři, pokud máte astma nebo anamnézu bronchospasmu.
Acetadote během těhotenství a kojení
Promluvte si se svým lékařem o převzetí acetadote, pokud jste těhotná. Pozornost, pokud při kojení berete acetadotu.
Další informace
Naše acetadote (acetylcystein) injekční vedlejší účinky léčivé účinky poskytuje komplexní pohled na dostupné informace o drogách o potenciálních vedlejších účincích při užívání tohoto léku.
Vedlejší účinky valacykloviru 500 mg
Informace o drogách FDA
Popis pro acetadote
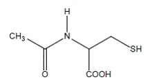
Injekce acetylcysteinu je intravenózní protijed pro léčbu předávkování acetaminofenu. Acetylcystein je nepropretární název pro N-acetyl derivát přirozeně se vyskytujícího aminokyseliny L-cystein (N-acetyl-L-cystein). Sloučenina je bílý krystalický prášek, který se roztaví v rozmezí 104 ° až 110 ° C a má velmi mírný zápach. Molekulární vzorec sloučeniny je C 5 H 9 ŽÁDNÝ 3 S a jeho molekulová hmotnost je 163,2. Acetylcystein má následující strukturální vzorec:
|
Acetadote je dodáván jako sterilní roztok v lahvičkách obsahujících 20% m/v (200 mg/ml) acetylcystein. PH roztoku se pohybuje od 6,0 do 7,5. Acetadote obsahuje následující neaktivní složky: hydroxid sodný (použitý pro nastavení pH) a sterilní vodu pro injekci USP.
Použití pro acetadotu
Je uvedeno, že Acetadote zabrání nebo sníží poškození jater po požití potenciálně hepatotoxického množství acetaminofenu u dospělých a pediatrických pacientů, kteří váží 5 kg nebo vyšší s akutním požitím nebo z opakovaného supraterapeutického požití (RSI).
Dávkování pro acetadotu
Hodnocení a testování před léčbou po požití akutního acetaminofenu
Před zahájením léčby acetadote rozhodněte, zda bude použit režim tří sáčků nebo dvou baků [viz viz Dávkování a podávání ].
Následující doporučení souvisejí s akutním požitím acetaminofenu. Doporučení související s opakovanou supraterapeutickou expozicí [viz Dávkování a podávání ].
- Posoudit historii a načasování požití acetaminofenu jako předávkování.
- Hlášená historie množství acetaminofenu požitého jako předávkování je často nepřesná a není spolehlivým průvodcem terapií.
- Získejte následující laboratorní testy za účelem sledování funkce jater a ledvin a rovnováhy elektrolytu a tekutin: aspartát aminotransferáza (AST) alanin aminotransferáza (ALT) bilirubin mezinárodní normalizovaný poměr kreatininové močoviny (BUN) v krvi (BUN) v krvi a elektrolyty.
- Získejte plazma nebo vzorek séra pro test pro koncentraci acetaminofenu nejméně 4 hodiny po požití. Koncentrace acetaminofenů získané dříve než 4 hodiny po ohezce mohou být zavádějící, protože nemusí představovat maximální koncentrace acetaminofenu.
- Pokud není čas akutního acetaminofenu neznámý:
- Okamžitě podávejte nakládací dávku acetadotu [viz Dávkování a podávání ].
- Získejte koncentraci acetaminofenu k určení potřeby pokračujícího ošetření [viz Dávkování a podávání ].
- Pokud nelze koncentraci acetaminofenu získat (nebo není k dispozici nebo neinterpretovatelná) v 8horském časovém intervalu po požití acetaminofenu nebo existuje klinický důkaz toxicity acetaminofenu:
- Okamžitě podávejte nakládací dávku acetadotu a pokračujte v léčbě celkem dvě dávky během 20 hodin nebo tří dávek během 21 hodin [viz viz Dávkování a podávání ].
- Pokud pacient představuje více než 8 hodin po požití a je známa doba akutního požití acetaminofenu:
- Okamžitě podávejte nakládací dávku acetadotu [viz Dávkování a podávání ]
- Získejte koncentraci acetaminofenu k určení potřeby pokračujícího ošetření [viz Dávkování a podávání ].
- Pokud pacient představuje méně než 8 hodin po požití a je známa doba akutního požití acetaminofenu a je známa koncentrace acetaminofenu:
- Pomocí revidovaného nomogramu Rumack-Matthew (obrázek 1) určete, zda je nebo ne zahájit léčbu pomocí acetadote [Viz Dávkování a podávání ].
Nomogram pro odhad potenciálu pro hepatoxicitu z akutního požití acetaminofenu a potřeby léčby acetadoty
Acetadote je antidotem pro předávkování acetaminofenem. Kritický interval léčby požití pro maximální ochranu proti těžkému poškození jater je mezi 0 a 8 hodinami. Účinnost se postupně snižuje po 8 hodinách a zahájení léčby mezi 15 a 24 hodinami po inteligenci acetaminofenu poskytuje omezenou účinnost. Nezdá se však, že by to zhoršilo stav pacientů a nemělo by být zadrženo, protože vykazovaná doba požití nemusí být správná. Pokud je známo načasování požití akutního acetaminofenu a výsledky testu acetaminofenu jsou k dispozici do 8 hodin:
- Viz revidovaný nomogram Rumack-Matthew (viz obrázek 1), abyste určili, zda zahájit léčbu acetadotou.
- Zahájení acetadoty závisí na koncentraci plazmy nebo acetaminofenu v séru a také na klinické prezentaci pacienta.
Nomogram může podceňovat riziko hepatotoxicity u pacientů s podvýživou chronické podvýživy alkoholismu nebo enzymem CYP2E1 indukujícím léky (např. Isoniazid) a by mělo být zváženo, i když koncentrace acetaminofenu jsou v netoxickém rozmezí.
Načítání dávky
U pacientů, jejichž koncentrace acetaminofenu jsou na nebo nad možnou linií léčby (tečkovaná čára v nomogramu):
- Spravujte nakládací dávku acetadotu [viz Dávkování a podávání ].
U pacientů s akutním předávkováním z acetaminofenu s prodlouženým uvolňováním, pokud je koncentrace acetaminofenu 4 hodiny po požití pod možnou léčebnou linií a poté získejte druhý vzorek pro koncentraci acetaminofenu 8 až 10 hodin po akutním požití. Pokud je druhá hodnota na nebo nad možnou linií léčby (tečkovaná čára v nomogramu):
- Spravujte nakládací dávku acetadotu [viz Dávkování a podávání ].
U pacientů, jejichž hodnoty jsou pod možnou linií léčby, ale doba požití nebyla známa nebo vzorek byl získán méně než 4 hodiny po požití:
- Spravujte nakládací dávku acetadotu [viz Dávkování a podávání ].
U pacientů, jejichž hodnoty jsou pod možnou léčebnou linií a je známa doba požití a vzorek byl získán více než 4 hodiny po požití acetadote, protože existuje minimální riziko hepatotoxicity.
Obrázek 1: Revidovaný nomogram Rumack-Matthew pro odhad potenciálu hepatoxicity pro acetaminofen poizing-Plazma nebo sérový acetaminofen koncentrace versus čas (hodiny) po acetaminofenu požití
Údržbářská dávka
Určete potřebu pokračující léčby acetadotou po zatížení. Vyberte jednu z následujících na základě koncentrace acetaminofenu:
Koncentrace acetaminofenu je nad možnou linií léčby podle nomogramu (viz obrázek 1):
- Pokračujte v ošetření acetadote s dávkou údržby celkem dvě nebo tři samostatné dávky v průběhu infuzní doby 20 nebo 21 hodin [viz viz Dávkování a podávání ].
- Monitorujte jaterní a renální funkce a elektrolyty během léčby.
Koncentrace acetaminofenů nelze získat:
- Pokračujte v ošetření acetadote s dávkou údržby celkem dvě nebo tři samostatné dávky v průběhu infuzní doby 20 nebo 21 hodin [viz viz Dávkování a podávání ].
- Monitorujte jaterní a renální funkce a elektrolyty během léčby.
U pacientů, jejichž koncentrace acetaminofenu je pod možnou léčebnou linií (viz obrázek 1) a je známa doba požití a vzorek byl získán více než 4 hodiny po požití:
Fenobarbital 32,4 mg vs. 30 mg
- Přerušte acetadotu.
Koncentrace acetaminofenu byla v netoxickém rozmezí, ale doba požití byla neznámá nebo menší než 4 hodiny:
- Získejte druhý vzorek pro koncentraci acetaminofenu a zvažte klinický stav pacienta, který rozhodne, zda bude nebo ne pokračovat v léčbě acetadoty.
- Pokud existuje nejistota, pokud jde o riziko pacienta z rozvoje hepatotoxicity, doporučuje se provést kompletní léčebný kurz.
Po dokončení zatížení a údržby pokračující terapie
V případě podezření na masivní předávkování nebo se souběžným požitím jiných látek nebo u pacientů s již existujícím onemocněním jater; Absorpce a/nebo poločas acetaminofenu může být prodloužen. V takových případech by se mělo zvážit potřebu pokračující léčby acetadote nad celkovou dávkou 300 mg/kg.
Hladiny acetaminofenu a ALT/AST a INR by měly být zkontrolovány po poslední dávce údržby. Pokud jsou hladiny acetaminofenu stále detekovatelné nebo pokud se Alt/AST stále zvyšuje nebo INR zůstává zvýšená; Dávkování by mělo pokračovat a ošetřující lékař by se měl obrátit na americké regionální jedové centrum na čísle 1-800-222-1222 alternativně zvláštní linii zdravotní asistenční asistence pro předávkování acetaminofenem na 1-800-525-6115 o pomoc s doporučeními pro dávkování nebo 1-877-484-2700.
Příprava a skladování zředěného roztoku acetadote před podáním
Viz tabulka 2 a tabulka 3 pro výpočet dávky (MG) na základě hmotnosti pacienta v kg; Může být vyžadováno více lahviček acetadote [viz Dávkování a podávání ]. Discard any unused portion left in the vial.
Protože acetadote je hyperosmolární (2600 mosmol/l) acetadote, musí být zředěna v doporučeném objemu sterilní vody pro injekci 0,45% injekce chloridu sodného (½ normálního fyziologického roztoku) nebo 5% dextrózy ve vodě před intravenózním podáním. Celkový objem injekce se bude lišit v závislosti na hmotnosti pacienta a zvoleného dávkovacího režimu (tj. Tří-tašky nebo dvoubage) [Viz viz Dávkování a podávání Varování a preventivní opatření ].
Výběr ředidla by měl být založen na klinickém stavu jednotlivého pacienta Souběžné zdravotní stavy a institucionální protokoly. Ošetřující klinický lékař by měl každý případ posoudit jednotlivě a konzultovat s jejich lékárnou, pokud existují obavy ohledně vhodného výběru ředidla. Obecně je 0,45% normálního fyziologického roztoku preferovaným ředidlem, protože poskytuje konzistentnější profil osmolarity snižuje množství volné vody dodávané pacientovi a lépe se aproximuje fyziologické tekutiny než 5% dextrózy ve vodě nebo sterilní vodě pro injekci. Pokud je však pro pacienta zájem o injekci, zvažte 5% dextrózu ve vodě nebo sterilní vodě.
Ředění acetadotu v každém z těchto tří roztoků vede k různé osmolaritě roztoku acetylcysteinu pro intravenózní podání (viz tabulka 1 pro příklady různých osmolarity roztoku v závislosti na typu roztoku a koncentraci acetadoty).
Tabulka 1: Příklady koncentrace acetylcysteinu a osmolarity ve třech řešeních
| Koncentrace acetylcysteinu | Osmolarita | ||
| Sterilní voda pro injekci | 0,45% injekce chloridu sodného | 5% dextrózy ve vodě (D5W) | |
| 4 mg/ml (nejnižší koncentrace 3-bag protokolu) | 52 Mosmol/L* | 194 Mosmol/l | 311 Mosmol/l |
| 54,5 mg/ml (protokol nejvyšší koncentrace 3-bag) | 744 Mosmol/l | 855 Mosmol/l | 957 Mosmol/l |
| 7,9 mg/ml (nejnižší koncentrace protokolu 2-bag) | 105 Mosmol/l | 241 Mosmol/l | 360 Mosmol/l |
| 18,2 mg/ml (protokol s nejvyšší koncentrací 2-bag) | 239 Mosmol/l | 368 Mosmol/l | 487 Mosmol/l |
| * Upravte osmolaritu na fyziologicky bezpečnou úroveň (obecně nejméně 150 mosmol/l u pediatrických pacientů). |
Výběr ředidla by měl být založen na klinickém stavu jednotlivého pacienta Souběžné zdravotní stavy a institucionální protokoly. Ošetřující klinický lékař by měl každý případ posoudit jednotlivě a konzultovat s jejich lékárnou, pokud existují obavy ohledně vhodného výběru ředidla. Obecně je preferovaným ředidlem 0,45% normálního fyziologického roztoku, protože poskytuje konzistentnější profil osmolarity, snižuje množství volné vody dodávané pacientovi a lépe se aproximuje fyziologické tekutiny než 5% dextrózy ve vodě nebo sterilní vodě pro injekci.
Vizuálně zkontrolujte konkrétní záležitost a zabarvení před podáváním. Barva zředěného roztoku se pohybuje od bezbarvé po mírně růžovou nebo fialovou, jakmile je zátka propíchnuta (změna barvy neovlivňuje kvalitu produktu). Zředěný roztok může být uložen po dobu 24 hodin při teplotě místnosti. Zlikvidujte nepoužívanou část. Pokud byla dříve otevřena lahvička, nepoužívejte pro intravenózní podání.
Obecné úvahy pro výběr režimu tří sáčků nebo dvou baků
Celková doporučená dávka acetadotu je 300 mg/kg intravenózně jako režim se třemi bakemi nebo režim se dvěma taškami [viz viz Dávkování a podávání ].
Není známo, zda je režim dvou bagií srovnatelný s režimem tří batohů pro účinnost při prevenci hepatotoxicity.
Neexistují dostatečné údaje, které doporučují použití režimu dvou bagů u pacientů 40 kg nebo méně; Tito pacienti by měli dostávat režim tří bagií.
U pacientů vážících 41 kg nebo vyšší by měl lékař při rozhodování o tom, zda vybrat režim tří sálů nebo dvoubagů:
- Režim se třemi basa podává více acetadotu v prvních třech hodinách a může být upřednostňován u pacientů s časnými známkami závažného poškození jater nebo anamnézou velkého požití acetaminofenu; Existuje však potenciál pro vyšší výskyt reakcí přecitlivělosti.
- Režim se dvěma vložkami přináší během prvních tří hodin nižší množství acetadotu a může být spojen s menším počtem hypersenzitivních reakcí než režim tří baků [viz viz Nežádoucí účinky Klinické studie ].
Doporučená dávka pro požití akutního acetaminofenu
Acetadote je pouze pro intravenózní podání.
Celková doporučená dávka acetadotu je 300 mg/kg podána intravenózně jako buď režim se třemi bas podávaným jako zatížení druhé a třetí dávky infundované za celkem 21 hodin nebo režim se dvěma tašky podávaným jako zatížení a druhá dávka infundovaná po dobu celkem 20 hodin.
Doporučené dávkování na hmotnosti a zředění na hmotnosti u pacientů viz tabulku 2 pro režim tří bAG (pro pacienty 5 kg nebo vyšší) nebo tabulku 3 pro režim dvou bagií (pro pacienty 41 kg nebo vyšší).
Režim tří bag
Tabulka 2: Doporučená dávka a zředění acetadote tří batohů u pacientů 5 kg nebo vyšší
| Tělesná hmotnost | BAG 1 (načítání dávky) | Bag 2 (druhá dávka) | Bag 3 (třetí dávka) | ||||||
| Načítání dávky | Objem ředidla* | Doba infuze | Druhá dávka | Objem ředidla* | Doba infuze | Třetí dávka | Objem ředidla* | Doba infuze | |
| 5 kg ** až 20 kg | 150 mg/kg | 3 ml/kg | Naplněno přes 1 hodinu | 50 mg/kg | 7 ml/kg | Naplněno přes 4 hodiny | 100 mg/kg | 14 ml/kg | Naplněno více než 16 hodin |
| 21 kg až 40 kg | 150 mg/kg | 100 ml | 50 mg/kg | 250 ml | 100 mg/kg | 500 ml | |||
| 41 kg až 99 kg | 150 mg/kg | 200 ml | 50 mg/kg | 500 ml | 100 mg/kg | 1000 ml | |||
| 100 kg nebo větší *** | 15000 mg | 200 ml | 5000 mg | 500 ml | 10000 mg | 1000 ml | |||
| * Acetadote zřeďte v jednom z následujících tří roztoků: sterilní voda pro injekci 0,45% injekce chloridu sodného nebo 5% dextrózy ve vodě. ** Doporučené dávkování pro ty méně než 5 kg nebylo studováno. *** Nebyly provedeny žádné specifické studie za účelem vyhodnocení nutnosti úpravy dávky u pacientů o hmotnosti nad 100 kg. K dispozici jsou omezené informace o požadavcích na dávkování pacientů, kteří váží více než 100 kg. |
Režim dvou bagů
Tabulka 3: Alternativní režim pro pacienty 41 kg nebo vyšší: Dvoubarev doporučená acetadote dávka a zředění
| Tělesná hmotnost | BAG 1 (načítání dávky) | Bag 2 (druhá dávka) | ||||
| Načítání dávky | Objem ředidla* | Doba infuze | Druhá dávka | Objem ředidla* | Doba infuze | |
| 41 kg až 99 kg | 200 mg/kg | 1000 ml | Naplněno přes 4 hodiny | 100 mg/kg | 500 ml | Naplněno více než 16 hodin |
| 100 kg nebo větší ** | 20000 mg | 1000 ml | 10000 mg | 500 ml | ||
| *Acetadote zřeďte v jednom z následujících tří roztoků: sterilní voda pro injekci 0,45% injekce chloridu sodného nebo 5% dextrózy ve vodě. ** Nebyly provedeny žádné specifické studie za účelem vyhodnocení nutnosti úpravy dávky u pacientů o hmotnosti nad 100 kg. K dispozici jsou omezené informace o požadavcích na dávkování pacientů, kteří váží více než 100 kg. |
Doporučení pro opakované supraterapeutické požití acetaminofenu
Opakované supraterapeutické požití acetaminofenu (RSI) je požití acetaminofenu při dávkách vyšších než ty, které se doporučují po delší dobu. Riziko hepatotoxicity a doporučení pro léčbu akutního požití acetaminofenu (tj. Revidovaný nomogram Rumack-Matthew) se nevztahují na pacienty s RSI. Proto získejte následující informace, které vede k léčbě acetadoty pro RSI: Opakované supraterapeutické požití acetaminofenu (RSI) je požitím acetaminofenu při dávkách vyšší než ty, které se doporučují po delší dobu. Riziko hepatotoxicity a doporučení pro léčbu akutního požití acetaminofenu (tj. Revidovaný nomogram Rumack-Matthew) se nevztahují na pacienty s RSI. Získejte následující informace, které vede k léčbě Acetadote pro RSI:
- Koncentrace acetaminofenu nebo plazmy. Hlášená historie množství požitého acetaminofenu je často nepřesná a není spolehlivým průvodcem terapií.
- Laboratorní testy pro sledování jaterní a renálních funkcí a rovnováhy elektrolytu a tekutin: ast alt bilirubin inr kreatinin bun glukóza a elektrolyty.
Pro specifické informace o dávkování a podání acetadoty u pacientů s RSI zvažte kontakt s kontaktem vašeho regionálního jedového centra na čísle 1-800-222-1222 nebo alternativně zvláštní linii zdravotnické asistence pro předávkování acetaminofenem při 1-800-525-6115.
Jak dodáno
Formy a silné stránky dávkování
Injekce : 6000 mg/30 ml (200 mg/ml) acetylcysteinu v jednodávkové lahvičce.
Skladování a manipulace
Acetát (Acetylcystein) Injekce je k dispozici jako 20% roztok (200 mg/ml) ve 30 ml skleněných lahviček s jednou dávkou. Každá dávková lahvička obsahuje 6 g/30 ml (200 mg/ml) injekce acetadoty. Acetadote je sterilní a může být použit pro intravenózní podání. Je k dispozici následovně:
30 ml lahviček karton 4 ( NDC 66220-207-30)
Nepoužívejte dříve otevřené lahvičky pro intravenózní podání.
Poznámka: Barva acetadotu se může změnit z v podstatě bezbarvé na mírně růžovou nebo fialovou, jakmile je zátka propíchnuta. Změna barvy nemá vliv na kvalitu produktu.
Zazářatá v lahvičce Acetadote je formulována syntetickým polymerem a neobsahuje přírodní kaučuk latexový suchý přírodní gumu nebo směsi přírodní kaučuku.
Ukládejte neotevřené lahvičky při kontrolované pokojové teplotě 20 ° až 25 ° C (68 ° až 77 ° F) [viz viz Teplota místnosti s kontrolou USP ]
Vyrobeno pro: Cumberland Pharmaceuticals Inc. Nashville TN 37203. Revidováno: listopad 2024
Vedlejší účinky pro acetadotu
Klinické studie Experience
Následující klinicky významné nežádoucí účinky jsou popsány jinde při označování:
- Reakce přecitlivělosti [viz Varování a preventivní opatření ]
- Přetížení tekutin [viz Varování a preventivní opatření ]
Protože klinické studie se provádějí za široce proměnlivých podmínek, nežádoucí rychlosti nežádoucí reakce pozorované v klinických studiích léčiva nelze přímo porovnat s mírami v klinických studiích s jiným lékem a nemusí odrážet míru pozorované v praxi.
V literatuře byly nejčastěji hlášené nežádoucí účinky připisované intravenóznímu podávání acetylcysteinu vyrážky a pruritus. Bylo hlášeno, že frekvence nežádoucích účinků je mezi 0,2% a 21% a nejčastěji se vyskytují během počáteční zatížení dávky acetylcysteinu.
Načítání dávky/Infusion Rate
Studie v randomizované klinické studii s otevřeným znakem prováděné v Austrálii u pacientů s acetaminofenem otravují míru hypersenzitivních reakcí mezi 15minutovou a 60minutovou intravenózní infuzí pro 150 mg/kg zatížení acetylcysteinu.
Incidence nežádoucích účinků souvisejících s léčivem, ke kterým dochází během prvních 2 hodin po podání acetylcysteinu, je uvedeno v tabulce 4. Celkově 17% pacientů vyvinulo akutní hypersenzitivní reakci (18% v 15minutové infuzní skupině; 14% v 60minutové infuzní skupině) [Viz viz) [Viz) Varování a preventivní opatření Klinické studie ].
Tabulka 4: Výskyt nežádoucích účinků souvisejících s léčivem, ke kterým dochází během prvních 2 hodin po podávání studie preferovaného termínu: Studie načítání dávky/infuze Studie
co cestuje
| Léčena skupina | 15 minut | 60 minut | ||||||
| Počet pacientů | n = 109 | n = 71 | ||||||
| Srdeční poruchy | 5 (5%) | 2 (3%) | ||||||
| Závažnost: Tachycardia nos | Červený | Mírný | Mírný | Těžké | Červený | Mírný | Mírný | Těžké |
| 4 (4%) | 1 (1%) | 2 (3%) | ||||||
| Gastrointestinální poruchy | 16 (15%) | 7 (10%) | ||||||
| Závažnost: zvracení nevolnosti | Červený | Mírný | Mírný | Těžké | Červený | Mírný | Mírný | Těžké |
| 1 (1%) | 6 (6%) | 1 (1%) | 1 (1%) | |||||
| 2 (2%) | 11 (10%) | 2 (3%) | 4 (6%) | |||||
| Poruchy imunitního systému | 20 (18%) | 10 (14%) | ||||||
| Závažnost: Hypersenzitivní reakce | Červený | Mírný | Mírný | Těžké | Červený | Mírný | Mírný | Těžké |
| 2 (2%) | 6 (6%) | 11 (10%) | 1 (1%) | 4 (6%) | 5 (7%) | 1 (1%) | ||
| Respirační hrudní a mediastinální poruchy | 2 (2%) | 2 (3%) | ||||||
| Závažnost: Pharyngitis Rhinorrhea Rhonchiho těsnost krku | Červený | Mírný | Mírný | Těžké | Červený | Mírný | Mírný | Těžké |
| 1 (1%) | ||||||||
| 1 (1%) | ||||||||
| 1 (1%) | ||||||||
| 1 (1%) | ||||||||
| Kůže | 6 (6%) | 5 (7%) | ||||||
| Závažnost: Pruritus vyrážka č. | Červený | Mírný | Mírný | Těžké | Červený | Mírný | Mírný | Těžké |
| 1 (1%) | 2 (3%) | |||||||
| 3 (3%) | 2 (2%) | 3 (4%) | ||||||
| Cévní poruchy | 2 (2%) | 3 (4%) | ||||||
| Závažnost: spláchnutí | Červený | Mírný | Mírný | Těžké | Červený | Mírný | Mírný | Těžké |
| 1 (1%) | 1 (1%) | 2 (3%) | 1 (1%) | |||||
| Červený= Červenýown; ŽÁDNÝS= not otherwise specified |
Bezpečnostní studie
V Kanadě byla provedena velká multicentrická studie, kde byla odebrána data od pacientů, kteří byli léčeni intravenózním acetylcysteinem pro předávkování acetaminofenem v letech 1980 až 2005. Tato studie vyhodnotila 4709 případů dospělých a 1905 pediatrických případů. Incidence reakcí přecitlivělosti u dospělých (celkový výskyt 8%) a pediatrických (celkových incidence 10%) pacientů je uvedena v tabulce 5 a tabulce 6.
Tabulka 5: Distribuce hlášených hypersenzitivních reakcí u dospělých pacientů, kteří dostávají intravenózní acetylcystein
| Reakce | Incidence (%) n = 4709 |
| Urticarie/Flushing obličeje | 6,1% |
| Pruritus | 4,3% |
| Respirační příznaky* | 1,9% |
| Otok | 1,6% |
| Hypotenze | 0,1% |
| Anafylaxe | 0,1% |
| *Respirační příznaky jsou definovány jako přítomnost kteréhokoli z následujících: kašel sípání stridoru stridor s dechovou těsností hrudníku respirační tísně nebo bronchospasmem. |
Tabulka 6: Distribuce hlášených hypersenzitivních reakcí u dětských pacientů, kteří dostávají intravenózní acetylcystein
| Reakce | Incidence (%) n = 1905 |
| Urticarie/Flushing obličeje | 7,6% |
| Pruritus | 4,1% |
| Respirační příznaky* | 2,2% |
| Otok | 1,2% |
| Anafylaxe | 0,2% |
| Hypotenze | 0,1% |
| *Respirační příznaky jsou definovány jako přítomnost kteréhokoli z následujících: kašel sípání stridoru stridor s dechovou těsností hrudníku respirační tísně nebo bronchospasmem. |
Zážitek z postmarketingu
Nežádoucí účinky z observačních studií
Observační studie z publikované literatury popsaly míry hypersenzitivních reakcí identifikovaných retrospektivním přezkoumáním grafů u subjektů, které po přijetí tohoto režimu dostávaly režim dvou baků, jako institucionální politiku ve třech prostředích mimo USA, a jedním americkým nastavením ve srovnání s historickou kontrolní skupinou, která obdržela režim tří ba-bag.
Tabulka 7 ukazuje výskyt hypersenzitivních reakcí u pacientů, kteří dostávali režimy se dvěma bAG nebo se třemi bakamy intravenózního acetylcysteinu přijatého mezi lety 2009 až 2020.
Tabulka 7: Incidence reakcí přecitlivělosti u pacientů, kteří dostávali režimy se dvěma nebo třemi sály intravenózního acetylcysteinu v publikované literatuře
| Studie | Reakce přecitlivělosti u pacientů, kteří dostávají režim dvou baků | Reakce přecitlivělosti u pacientů, kteří dostávají režim tří sálů |
| Studie 1 (Three Danish hospitals) | 4% (19/507) | 16% (47/292) |
| Studie 2 (Four Australian hospitals) | 5% (8/163) | 14% (45/313) |
| Studie 3 (Nine Australian hospitals) | 1% (17/1300) | 7% (65/911) |
| Studie 4 (One US hospital) | 19% (18/93) | 23% (34/150) |
Nežádoucí účinky z postmarketingových spontánních zpráv
Během použití acetadotu byly identifikovány následující nežádoucí účinky. Protože tyto reakce jsou hlášeny dobrovolně z populace nejisté velikosti, není vždy možné spolehlivě odhadnout jejich frekvenci nebo vytvořit kauzální vztah k expozici léčiva.
Poruchy imunitního systému: Fatální anafylaxe
Lékové interakce pro acetadotu
Žádné informace
Varování pro acetadotu
Zahrnuto jako součást OPATŘENÍ sekce.
Opatření pro acetadote
Reakce přecitlivělosti
Vážné reakce akutní přecitlivělosti; včetně fatální nebo život ohrožující anafylaxní vyrážky hypotenze sípání a/nebo dušnost; byly pozorovány u pacientů, kteří dostávali intravenózní acetylcystein pro předávkování acetaminofenem a došlo brzy po zahájení infuze [viz viz Nežádoucí účinky ]. If a severe hypersensitivity reaction occurs immediately stop the infusion of Acetát and initiate appropriate treatment.
Pacienti s astmatem by měli být pečlivě sledováni během zahájení terapie acetadote a během terapie acetadote.
U pacientů, kteří dostávají acetylcystein intravenózně, se může objevit akutní propláchnutí a erytém kůže. K těmto reakcím se obvykle vyskytují 30 až 60 minut po zahájení infuze a často spontánně řeší navzdory pokračující infuzi acetylcysteinu. Pokud reakce na acetylcystein zahrnuje více než jen proplachování a erytém kůže, měla by být považována za hypersenzitivní reakci.
Řízení méně závažných hypersenzitivních reakcí by mělo být založeno na závažnosti reakce a zahrnovat dočasné přerušení infuze a/nebo podávání antihistaminických léků. Infuze acetadote může být pečlivě restartována po zahájení léčby symptomů přecitlivělosti a akutní příznaky se vyřešily; Pokud by se však přecitlivělost vrátila při opětovném zahájení léčby nebo zvýšení acetadotu závažnosti a mělo by se zvážit alternativní léčbu pacientů.
Přetížení tekutin
Celkový objem acetadoty by měl být upraven pro pacienty menší než 40 kg a pro pacienty vyžadující omezení tekutin. Aby se zabránilo přetížení tekutiny, měl by být podle potřeby snížen objem ředidla [viz Dávkování a podávání ]. If volume is not adjusted fluid overload can occur potentially resulting in hyponatremia seizure and death.
Intravenózní podávání acetadotu může způsobit, že přetížení tekutin může vést k následnému záchvatu a smrti hyponatrémie. Chcete -li se vyhnout přetížení tekutin, použijte doporučená ředění [viz Dávkování a podávání ].
Neklinická toxikologie
Zhodnocení mutageneze karcinogeneze plodnosti
Karcinogeneze
Dlouhodobé studie u zvířat nebyly provedeny za účelem vyhodnocení karcinogenního potenciálu acetylcysteinu.
Mutageneze
Acetylcystein nebyl genotoxický v testu Ames nebo testu in vivo myší mikronukleus. Bylo to však pozitivní v in vitro myší lymfomové buňce (L5178Y /TK /-) vpřed.
Poškození plodnosti
Ve studii plodnosti acetylcysteinu u potkanů intravenózní podávání 1000 mg/kg/den (NULL,5násobek doporučené lidské dávky 300 mg/kg na základě povrchu těla na základě plochy těla) způsobila hluboké snížení plodnosti u žen u žen, které byly korelovány u oocytů a odloučením implantu). Reverzibilita tohoto účinku nebyla vyhodnocena. U ženských potkanů nebyly pozorovány žádné účinky na plodnost při intravenózních dávkách až do 300 mg/kg/den (NULL,2násobek doporučené lidské dávky založené na povrchu těla) nebo u samců potkanů v intravenózních dávkách až 1000 mg/kg/den. V této studii nebylo páření neovlivněno.
V reprodukční studii acetylcysteinových samčích potkanů byla léčena perorálně po dobu 15 týdnů před pářením a během období páření. Při perorálních dávkách 500 a 1000 mg/kg/den (NULL,3 a 0,3 a 0,5 a 0,3 a 0,5krát a 0,3 a 0,5násobku doporučené lidské intravenózní dávky na základě povrchu těla). Léčba samců potkanů acetylcysteinem při perorální dávce 250 mg/kg/den po dobu 15 týdnů (NULL,1násobek doporučené lidské intravenózní dávky založené na porovnání povrchu těla) neovlivnilo plodnost ani obecný reprodukční výkon.
Použití v konkrétních populacích
Těhotenství
Shrnutí rizika
Omezené zveřejněné případové zprávy a případová řada těhotných žen vystavených acetylcysteinu během různých trimestrů nestačí k informování o riziku spojeném s drogami. Zpoždění léčby předávkování acetaminofenu může zvýšit riziko morbidity a úmrtnosti plodu a viz [viz [viz Klinické úvahy ]. Reproduction studies in rats and rabbits following oral administration of acetylcysteine during the period of organogenesis at doses similar to the total intravenous dose (based on the body surface area) did not cause any adverse effects to the fetus. The estimated background risk of major birth defects and miscarriage for the indicated population is unknown. In the U.S. general population the estimated background risk of major birth defects and miscarriage in clinically recognized pregnancies is 2% to 4% and 15% to 20% respectively.
Klinické úvahy
Mateřské a/nebo embryo/fetální riziko spojené s nemocí
Acetaminofen a acetylcystein překračují placentu. Zpoždění léčby u těhotných žen s předávkováním acetaminofen a potenciálně toxicky plazmatické hladiny acetaminofenu může zvýšit riziko morbidity a úmrtnosti plodu.
Data
Údaje o zvířatech
Silver Sulfadiazine Cream Usp 1 používá
Reprodukční studie byly provedeny po podávání acetylcysteinu v období organogeneze u potkanů v perorálních dávkách až do 2000 mg/kg/den (NULL,1krát doporučená celková intravenózní dávka 300 mg/kg na základě porovnání plochy těla na základě porovnání plochy těla) a při porovnání plochy těla) a porovnání plochy tělesné plochy) a při porovnání plochy těla) a porovnává se v těle porovnávací plocha) a při porovnávání o 300 mg/kg/den. Mg/kg na základě porovnání plochy povrchu těla). Nebyly pozorovány žádné nepříznivé vývojové výsledky v důsledku acetylcysteinu.
Laktace
Shrnutí rizika
Neexistují žádné údaje o přítomnosti acetylcysteinu v lidském mléce Účinky na kojené dítě nebo účinky na produkci mléka. Vývojové a zdravotní přínosy kojení by měly být zváženy spolu s klinickou potřebou acetadotu matky a jakýmkoli potenciálním nepříznivým účinkům na kojené dítě z acetadotu nebo ze základního mateřského stavu.
Klinické úvahy
Na základě farmakokinetických dat by měla být acetylcystein acetylcystein téměř zcela vyčištěna 30 hodin po podání. Kojení ženy mohou zvážit čerpání a vyřazení mléka po dobu 30 hodin po podání.
Dětské použití
Bezpečnost a účinnost acetadoty u pediatrických pacientů nebyla stanovena přiměřenými a dobře kontrolovanými studiemi. Použití acetadote u pediatrických pacientů 5 kg a větší je založeno na klinické praxi [viz Dávkování a podávání ].
Informace o předávkování pro acetadotu
Po přeměně acetylcysteinu byly hlášeny fatální a život ohrožující nežádoucí účinky, včetně mozkového edému anafylaxe a hemolyticky-uremického syndromu (HUS). Zastavte podávání acetylcysteinu v prostředí podezření na předávkování acetylcysteinu a správu, jak je klinicky uvedeno.
Anafylaxe including cases with a fatal outcome has been reported following acetylcysteine overdosage. Patients who experienced anaphylaxis following acetylcysteine overdosage often became symptomatic during the loading dose and experienced hypotension vyrážka angioedema bronchospasm or respiratory distress. Cases of anaphylaxis with acetylcysteine overdosage also described coagulopathy renal failure or respiratory failure.
Cerebrální edém včetně případů s fatálním výsledkem byl hlášen po předávkování acetylcysteinu. Pacienti, kteří zažili cerebrální edém po předávkování acetylcysteinem, se zabývali záchvaty abnormálních pupilárních reakcí změněného duševního stavu. Některé případy mozkového edému s předávkováním acetylcysteinu popsaly mozkové herniaci.
HUS byl hlášen po předávkování acetylcysteinu. Pacienti, kteří zažili HUS, byli vystaveni mikroangiopatickou hemolytickou anémii trombocytopenie a akutní poškození ledvin.
Odstranění acetylcysteinu prostřednictvím hemodialýzy bylo hlášeno v literatuře mimo kontext předávkování acetylcysteinu. Studie hemodialýzy při předávkování acetaminofenu uvádějí významné mimotělní odstranění acetylcysteinu během hemodialýzy. Obraťte se na Poison Center (1-800-222-1222), kde najdete doporučení pro řízení předávkování pro acetadotu, včetně úvah pro hemodialýzu.
Kontraindikace pro acetadotu
Acetát is contraindicated in patients with a previous hypersensitivity reaction to acetylcysteine [see Varování a preventivní opatření ].
Klinická farmakologie for Acetadote
Mechanismus působení
Bylo prokázáno, že acetylcystein snižuje rozsah poškození jater po předávkování acetaminofenu. S hepatotoxicitou byly spojeny dávky acetaminofenu 150 mg/kg nebo vyšší. Acetylcystein pravděpodobně chrání játra udržováním nebo obnovením hladin glutathionu nebo působením jako alternativní substrát pro konjugaci a tedy detoxikaci reaktivního metabolitu acetaminofenu.
Farmakokinetika
Po jediné intravenózní dávce acetylcysteinu se plazmatická koncentrace celkového acetylcysteinu klesala polyâexponenciálním rozkladem s průměrným terminálním poločasem (T-½) 5,6 hodiny. Průměrná clearance (CL) pro acetylcystein byla 0,11 litru/h/kg a renální CL představovala asi 30% celkového CL.
Rozdělení
Objem distribuce v ustáleném stavu (VDS) po podání intravenózní dávky acetylcysteinu byl 0,47 litru/kg. Vazba proteinu acetylcysteinu se pohybuje od 66 do 87%.
Odstranění
Metabolismus
Acetylcystein (tj. N-acetylcystein) se předpokládá, že vytváří cystein a disulfidy (NN-diacetylcystein a nâacetylcystein). Cystein je dále metabolizován za vzniku glutathionu a dalších metabolitů.
Vylučování
Po jediné perorální dávce [ 35 S] -acetylcystein 100 mg mezi 13 až 38% z celkové podávané radioaktivity byl získán močí do 24 hodin. V samostatné studii byla renální clearance odhadnuta na přibližně 30% celkové clearance těla.
Konkrétní populace
Poškození jater
Po 600 mg intravenózní dávce acetylcysteinu na subjekty s mírným (dětským pughovým třídou A n = 1) střední (třída B n = 4) nebo závažné (třída Cild-Pugh Class C; n = 4) jaterní zhoršení a 6 zdravých odpovídajících kontrol středních T½. Průměrná CL se také snížila o 30% a systémová expozice acetylcysteinu (průměrná AUC) se zvýšila 1,6krát u subjektů s poškozením jater ve srovnání s subjekty s normální funkcí jater. Tyto změny se nepovažují za klinicky smysluplné.
Poškození ledvin
Hemodialýza může odstranit některé z celkového acetylcysteinu.
Klinické studie
Načítání dávky/Infusion Rate Studie
Randomizovaná klinická klinická studie s otevřeným bodem byla provedena v Austrálii u pacientů s otravou acetaminofenu, aby se porovnání míry hypersenzitivních reakcí mezi dvěma mírami infuze pro intravenózní acetylcystein nakládací dávku. Sto devět subjektů bylo randomizováno na 15minutovou míru infuze a sedmdesát jedna subjektů bylo randomizováno na 60minutovou míru infuze. Zatěžovací dávka byla 150 mg/kg následovaná údržbářskou dávkou 50 mg/kg po dobu 4 hodin a poté 100 mg/kg po dobu 16 hodin. Z 180 pacientů bylo 27% mužů a 73% žen. Věk se pohyboval od 15 do 83 let, přičemž průměrný věk byl 30 let (NULL,0).
Podskupina 58 subjektů (33 v 15minutové infuzní skupině; 25 v 60minutové infuzní skupině) byla ošetřena do 8 hodin po požití acetaminofenu. V této podskupině nedošlo k žádné hepatotoxicitě; S důvěrou 95% se však skutečná míra hepatotoxicity mohla pohybovat od 0% do 9% pro 15minutovou infuzní skupinu a od 0% do 12% pro 60minutovou infuzní skupinu.
Observační studie
Observační databáze s otevřenou značkou obsahovala informace o 1749 pacientů, kteří hledali léčbu předávkování acetaminofenu po dobu 16 let. Ze 1749 pacientů 65% byly ženy 34% mužů a méně než 1% byl transgender. Věk se pohyboval od 2 měsíců do 96 let, přičemž 72% pacientů klesalo v 16 až 40leté věkové skupině. Celkem 399 pacientů dostávalo léčbu acetylcysteinu. Post-hoc analýza identifikovala 56 pacientů, kteří (1) byli vystaveni vysokému nebo pravděpodobnému riziku hepatotoxicity (APAP větší než 150 mg/l na čtyř hodin podle australského nomogramu) a (2) měli test jater. Z 53 pacientů, kteří byli léčeni intravenózním acetylcysteinem (300 mg/kg intravenózní acetylcystein podávaný po 20-21 hodinách) do 8 hodin dva (4%) se vyvinula hepatotoxicita (AST nebo ALT větší než 1000 U/l). Dvacet jedna ze 48 (44%) pacientů léčených acetylcysteinem po 15 hodinách se vyvinula hepatotoxicita. Skutečný počet výsledků hepatotoxicity může být vyšší, než je zde uvedeno. U pacientů s vícenásobným přijetím na předávkování acetaminofenem byl zkoumán pouze první předávkování léčeným intravenózním acetylcysteinem. K hepatotoxicitě se mohla objevit při následných přijetích.
Hodnotitelné údaje byly k dispozici od celkem 148 pediatrických pacientů (mladších 16 let), kteří byli přijati k otravě po požití acetaminofenu, z nichž 23 bylo léčeno intravenózní acetylcystein. Nebyly žádné smrt pediatrických pacientů. Žádný z pediatrických pacientů, kteří dostávají intravenózní acetylcystein, se nevyvinul hepatotoxicitu, zatímco dva pacienti, kteří nedostávali intravenózní acetylcystein, se vyvinula hepatotoxicita. Počet dětských pacientů je příliš malý na to, aby poskytl statisticky významné zjištění účinnosti; Zdá se však, že výsledky jsou konzistentní s výsledky pozorovanými u dospělých.
Observační studie se třemi bas vs.
Studie observační retrospektivní kohorty s vícecentrií zkoumala míru hypersenzitivních reakcí u 493 pacientů léčených intravenózním acetylcysteinovým režimem ve dvou a acetylcysteinech ve srovnání s 274 pacienty léčeným režimem tří ba-bag v Dánsku v Dánsku. Režim se třemi varnostmi používal dávku zatížení 150 mg/kg podávanou po dobu 15 minut a následovala druhá dávka 50 mg/kg po dobu 4 hodin a konečná dávka 100 mg/kg po dobu 16 hodin. Pacienti v této studii byli léčeni acetylcysteinem bez ohledu na koncentraci acetaminofenu v plazmě. Střední (rozsah) koncentrace séra acetaminofen při prezentaci byla <1 mcg/mL (0-353 mcg/mL) in the total study population and only 12/767 patients (NULL,6%) had a serum acetaminophen level that would have warranted acetylcysteine treatment based on the revised Rumack-Mathew nomogram.
Hepatotoxicita byla definována jako vrchol Alt> 1000 U/l kdykoli během hospitalizace. V této populaci, která byla pro hepatotoxicita nízkorizika, založená na střední úrovni acetaminofenu při prezentaci nebyly pozorovány žádné rozdíly v neupravené míře hepatotoxicity mezi pacienty, kteří dostávali režim dvou bAG (4% 20/493) ve srovnání s pacienty, kteří dostali režim tří balíků (4% 11/274). Tato studie však má významná omezení a nebyla navržena tak, aby stanovila neinferiority.
Informace o pacientovi pro acetadotu
Reakce přecitlivělosti
Poraďte se pacientům a pečovatelům, že reakce přecitlivělosti související s podáváním a infuzí se mohou objevit během a po léčbě acetadote, včetně hypotenze sípání s dechem a bronchospasmem [viz viz Varování a preventivní opatření ].
itinerář amerického roadtripu
Pro specifické informace o léčbě týkající se klinického řízení předávkování acetaminofenu se prosím obraťte na své regionální jedové centrum na čísle 1-800-222-1222 nebo alternativně zvláštní linii zdravotnické asistence pro předávkování acetaminofen při 1-800-525-6115.