Informace Na Stránce Nepředstavují Lékařskou Radu. Nic Neprodáváme. Přesnost Překladu Není Zaručena. Zřeknutí Se Odpovědnosti



Pulmicort Turbuhaler

Shrnutí drog

Co je Pulmicort Turbuhaler?

Pulmicort turbuhaler (busonid) inhalační prášek 200 mcg je a kortikosteroid používá se k léčbě astma .

Jaké jsou vedlejší účinky turbuhaleru Pulmicort?

Pulmicort Turbuhaler



  • kopřivka
  • potíže s dýcháním
  • Otok vašeho obličeje rty jazyk nebo krk
  • neobvyklá únava
  • Problémy se zrakem
  • Snadné modřiny nebo krvácení
  • nafouklý obličej
  • neobvyklý růst vlasů
  • změny nálady
  • deprese
  • Swings nálady
  • míchání
  • Slabost nebo bolest svalů
  • Ředění kůže
  • pomalé hojení ran a
  • zvýšená žízeň nebo močení

Získejte lékařskou pomoc okamžitě, pokud máte výše uvedené příznaky.



Mezi běžné vedlejší účinky pulmicort turbuhaler patří:

Řekněte svému lékaři, pokud máte vzácné, ale vážné vedlejší účinky pulmicort turbuhaler včetně:



  • neobvyklá únava
  • Problémy se zrakem
  • Snadné modřiny nebo krvácení
  • nafouklý obličej
  • neobvyklý růst vlasů
  • Změny mentální/nálady (například deprese Mood Swings Agitation)
  • Slabost nebo bolest svalů
  • Ředění kůže
  • pomalé hojení ran nebo
  • zvýšená žízeň nebo močení.

Pokud máte následující vážné vedlejší účinky, vyhledejte lékařskou péči nebo zavolejte na číslo 911:

  • Vážné příznaky očí, jako je ztráta náhlého vidění rozmazané vidění vidění Vision Vision Eye Eye Eye Eye Eye Eye Eye Eye nebo vidět halos kolem světel;
  • Vážné příznaky srdce, jako je rychlé nepravidelné nebo bušení srdečního rytmu; třepování v hrudi; dušnost; a náhlé závratě Lightheadedness nebo omdlet;
  • Těžká zmatek bolesti hlavy zkroucený řečový rameno nebo slabost nohou Potíže se ztrátou chůze pocitu koordinace Pocit nestabilní velmi tuhé svaly vysoké horečky bohaté pocení nebo třes.

Tento dokument neobsahuje všechny možné vedlejší účinky a mohou dojít k jiným. Další informace o vedlejších účincích najdete u svého lékaře.

Dávkování pro pulmicort turbuhaler

Doporučená dávka pulmicortového turbuhaleru je denně měřená inhalace. Promluvte si se svým lékařem o vašem individuálním doporučení dávkování.

Jaké léky nebo doplňky interagují s pulmicort turbuhaler?

Aldesleukinová rakovina chemoterapie Ciprofloxacin a levofloxacin mohou interagovat s pulmicort turbuhaler. Řekněte svému lékaři veškeré léky, které užíváte. Nepřestávejte brát nebo snižovat dávku Pulmicort Turbuhaler, pokud k tomu nařídí váš lékař. Předtím, než vezmeme Pulmicort Turbuhaler, řekněte svému lékaři, pokud jste alergičtí na orálně inhalační kortikosteroidy, které mají nějaké infekce tuberkulóza mít osteoporóza nebo plánují podstoupit operaci.

Pulmicort turbuhaler během těhotenství nebo kojení

Pokud jste těhotná, použijte pouze Pulmicort Turbuhaler, pokud je to jasně potřeba. Pokud kojíte, neberejte pulmicort turbuhaler.

Další informace

Náš inhalační prášek z pulmicortu turbuhaler (budesonid) 200 mcg vedlejších účinků drogových středisek vedlejších účinků poskytuje při užívání tohoto léku komplexní pohled na dostupné informace o možných vedlejších účincích.

Informace o drogách FDA

Popis pro pulmicort turbuhaler

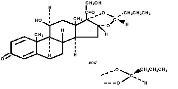
Busonid aktivní složka pulmicort turbuhaler (busonid) 200 mcg je kortikosteroid označený chemicky jako (RS) -11p 16a 1721-tetrahydroxypregna-14-diene-320-dione cyklický 1617-acetal. Busonid je poskytován jako směs dvou epimerů (22R a 22s). Empirický vzorec busonidu je C 25 H 34 O 6 a its molecular weight is 430.5. Its structural formula is:

Busonid je bílý až bílý bez chuti bez zápachu, který je prakticky nerozpustný ve vodě a v heptanu šetrně rozpustný v ethanolu a volně rozpustný v chloroformu. Jeho koeficient oddílu mezi oktanolem a vodou při pH 7,4 je 1,6 x 10 3 .

Pulmicort turbuhaler (budesonid) je inhalační inhalační inhalační inhalátor, který obsahuje pouze mikronizovaný budesonid. Každé ovládání pulmicort turbuhaler poskytuje 200 mcg busonid na dávku s měřenou in vitro testování při 60 l/min po dobu 2 sekund).

In vitro Testování ukázalo, že dodávka dávky pro pulmicort turbuhaler (budesonid) je v podstatě závislá na proudu vzduchu zařízením. Faktory pacienta, jako jsou inspirační průtoky, také ovlivní dávku dodávanou plicům pacientů ve skutečném použití (viz viz Pokyny pro použití pacienta pro použití ). U dospělých pacientů s astmatem (průměrná FEV 1 2,9 L [0,8 - 5,1 l]) Průměrný inspirační tok píku (PIF) přes pulmicort turbuhaler (budesonid) byl 78 (40-111) L/min. Podobné výsledky (průměr PIF 82 [43-125] L/min) byly získány u astmatických dětí (6 až 15 let průměrně FEV 1 2,1 l [0,9 - 5,4 l]). Pacienti by měli být pečlivě instruováni při použití tohoto léčivého produktu k zajištění optimálního dodání dávky.

Použití pro pulmicort turbuhaler

Pulmicort turbuhaler (budesonid) je indikován pro udržovací léčbu astmatu jako profylaktické terapie u dospělých a dětských pacientů šest let nebo starších. To je také indikováno u pacientů vyžadujících perorální kortikosteroidní terapii pro astma. Mnoho z těchto pacientů může být v průběhu času schopno snížit nebo eliminovat jejich požadavek na perorální kortikosteroidy.

Pulmicort turbuhaler (budesonid) není indikován pro reliéf akutního bronchospasmu.

Dávkování pro pulmicort turbuhaler

Pulmicort turbuhaler (budesonid) by měl být podáván perorálně inhalovanou cestou u astmatických pacientů ve věku 6 let a starších. Jednotliví pacienti zažívají variabilní nástup a stupeň úlevy z příznaků. Obecně má pulmicort turbuhaler (budesonid) relativně rychlý nástup účinku pro inhalační kortikosteroid. Zlepšení kontroly astmatu po inhalačním podání pulmicortového turbuhaleru (budesonid) může dojít do 24 hodin od zahájení léčby, ačkoli maximální přínos nemusí být dosažen po dobu 1 až 2 týdnů nebo delší. Nebyla stanovena bezpečnost a účinnost pulmicortového turbuhaleru (budesonid) při podávání nad doporučené dávky.

Doporučená počáteční dávka a nejvyšší doporučená dávka pulmicortového turbuhaleru (tusonidu) založená na předchozí astmatické terapii jsou uvedeny v následující tabulce.

Předchozí
Terapie
Doporučeno
Počáteční dávka
Nejvyšší
Doporučeno Dose
Dospělí: Samotné bronchodilatátory 200 až 400 mcg dvakrát denně 400 mcg dvakrát denně
Inhalované kortikosteroidy* 200 až 400 mcg dvakrát denně 800 mcg dvakrát denně
Orální kortikosteroidy 400 až 800 mcg dvakrát denně 800 mcg dvakrát denně
Děti: Samotné bronchodilatátory 200 mcg dvakrát denně 400 mcg dvakrát denně
Inhalované kortikosteroidy* 200 mcg dvakrát denně 400 mcg dvakrát denně
Orální kortikosteroidy Nejvyšší doporučená dávka u dětí je 400 mcg dvakrát denně

*U pacientů s mírným až středním astmatem, kteří jsou dobře kontrolováni na dávkování kortikosteroidů s pulmicort turbuhaler (bysonid) 200 mcg nebo 400 mcg jednou denně. Pulmicort turbuhaler (budesonid) lze podávat jednou denně ráno nebo večer.

Pokud léčba Pulmicort Turbuhaler (budesonid) Pulmicort neposkytuje přiměřenou kontrolu příznaků astmatu, celková denní dávka by měla být zvýšena a/nebo podávána jako rozdělená dávka.

Pacienti udržovaní na chronických orálních kortikosteroidech

Zpočátku by měl být používán pulmicort turbuhaler (budesonid) souběžně s obvyklou udržovací dávkou pacienta systémového kortikosteroidu. Po přibližně jeden týden je postupné stažení systémového kortikosteroidu zahájeno snížením denní nebo alternativní denní dávky. Další snížení se provádí po intervalu jednoho nebo dvou týdnů v závislosti na reakci pacienta. Obecně by tyto deníky neměly překročit 2,5 mg prednisonu nebo jeho ekvivalentu. Důrazně se doporučuje pomalá míra stažení. Během redukce perorálních kortikosteroidů by měli být pacienti pečlivě sledováni z hlediska nestability astmatu, včetně objektivních měření funkce dýchacích cest a na nedostatečnost nadledvinek (viz viz Varování ). Během stažení mohou někteří pacienti zažít příznaky systémového stažení kortikosteroidů, např. Kloubní a/nebo svalové bolesti a depresi, navzdory udržení nebo dokonce zlepšení plicní funkce. Tito pacienti by měli být povzbuzováni, aby pokračovali v pulmicortu turbuhaler (budesonid), ale měli by být sledováni na objektivní známky nedostatečnosti nadledvin. Pokud dojde k důkazu o nedostatečnosti nadledvin, měly by být systémové dávky kortikosteroidů dočasně zvýšeny a poté by se stažení by mělo pokračovat pomaleji. Během období stresu nebo závažného přenosu útoku astmatu mohou pacienti vyžadovat doplňkovou léčbu systémovými kortikosteroidy.

POZNÁMKA: U všech pacientů je žádoucí titrovat na nejnižší účinnou dávku, jakmile je dosaženo stability astmatu.

Návod k použití

Ilustrované pokyny pro pacienta Pro použití doprovázejte každý balíček pulmicort turbuhaler (busonid).

Pacienti by měli být instruováni, aby před jeho počátečním použitím primárním pulmicortem turbuhaler (busonid) a instruováni, aby se pokaždé a násilně pokaždé, když je jednotka použita, instruována. Doporučuje se také oplachování úst po inhalaci.

Jak dodáno

Pulmicort turbuhaler (budesonid) sestává z řady sestavených plastových detailů. Hlavními částmi je dávkovací mechanismus skladovací jednotky pro léčivou látku a náustek. Inhalátor je chráněn bílým vnějším trubkovým krytem zašroubovaným na inhalátor. Tělo inhalátoru je bílé a otáčení je hnědé. Následující znění je vytištěno na přilnavosti ve zvednutém písmenu Pulmicort ™ 200 mcg. Inhalátor turbuhaleru nelze doplnit a měl by být vyřazen, když je prázdný.

Pulmicort turbuhaler (budesonid) je k dispozici jako 200 mcg/dávky 200 dávek (NDC 0186-0915-42) a má cílovou hmotnost výplně 104 mg.

K čemu se používá seroquel 100 mg

Když zbývá 20 dávek v pulmicortu turbuhaler (busonid), v okně indikátoru se objeví červená značka. Pokud je jednotka použita za bodem, ve kterém se červená značka objeví ve spodní části okna, nelze získat správné množství léků. Jednotka by měla být vyřazena.

Uložte kryt utažený na suchém místě při kontrolované teplotě místnosti 20-25 ° C (68-77 ° F) [viz USP]. Držte se mimo dosah dětí.

Všechny ochranné známky jsou majetkem skupiny společností AstraZeneca. © AstraZeneca 2001 2006. Vyrobeno pro: AstraZeneca LP Wilmington de 19850: AstraZeneca ab Sodertalje Švédsko 33020-00. 10/06. FDA Rev Datum: 20/20/2007

Vedlejší účinky for Pulmicort Turbuhaler

Následující nežádoucí účinky byly hlášeny u pacientů léčených pulmicort turbuhaler (budesonid).

Výskyt běžných nežádoucích účinků je založen na dvojitě slepých placebem kontrolovaných amerických klinických studiích, ve kterých 1116 dospělých a dětských pacientů ve věku 6-70 let (472 žen a 644 mužů) bylo léčeno pulmicort turbuhaler (pladesonid) (200 až 800 MCG dvakrát denně) nebo placem).

Následující tabulka ukazuje výskyt nežádoucích účinků u pacientů, kteří dříve dostávali bronchodilatátory a/nebo inhalované kortikosteroidy v amerických kontrolovaných klinických studiích. Tato populace zahrnovala 232 mužských a 62 pacientů s dětskými pediatrickými (věk 6 až 17 let) a 332 mužů a 331 dospělých pacientů (věk 18 let a vyšší).

Nežádoucí účinky s incidencí ≥ 3% hlášené pacienty na pulmicort turbuhaler (budesonid)

Pulmicort Turbuhaler
Nežádoucí událost Placebo
N = 284
%
200 mcg
dvakrát denně
N = 286
%
400 mcg
dvakrát denně
N = 289
%
800 mcg
dvakrát denně
N = 98
%
Respirační systém
Respiratory infekce 17 20 24 19
Pharyngitis 9 10 9 5
Sinusitis 7 11 7 2
Voice alteration 0 1 2 6
Tělo jako celek
Headache 7 14 13 14
Flu syndrome 6 6 6 14
Pain 2 5 5 5
Back pain 1 2 3 6
Fever 2 2 4 0
Trávicí systém
Oral caidiasis 2 2 4 4
Dyspepsia 2 1 2 4
Gastroenteritis 1 1 2 3
Nausea 2 2 1 3
Průměrná doba expozice (dny) 59 79 80 80

Výše uvedená tabulka zahrnuje všechny události (ať už považováno za léčivo nebo léčivo, které vyšetřovatelé souvisejí), které se vyskytly rychlostí ≥ 3% v jedné skupině pulmicort turbuhaler (tusonid) a byly běžnější než ve skupině s placebem. Při zvažování těchto údajů by měla být zohledněna zvýšená průměrná doba expozice u pacientů s pulmicortem turbuhalerem (budesonidem).

Následující další nežádoucí účinky se vyskytly v těchto klinických studiích s použitím pulmicortového turbuhaleru (busonidu) s výskytem 1 až 3% a byly častější na pulmicort turbuhaler (busonid) než na placebu.

Tělo jako celek: bolest krku

Kardiovaskulární: synkopa

Zažívací: Břicha bolest v ústech zvracení

Metabolický a nutriční: přibývání na váze

Muskuloskeletální: zlomenina myalgie

Nervový: Hypertonia migréna

Krvácení a srážení destiček: Ekchymóza

Psychiatric: nespavost

Mechanismy odporu: infekce

Speciální smysly: Ochutnejte zvrácenost

V 20týdenní studii u dospělých astmatiků, kteří dříve vyžadovali perorální kortikosteroidy, byly účinky pulmicortového turbuhaleru (tusonid) 400 mcg dvakrát denně (n = 53) a 800 mcg dvakrát denně (n = 53) porovnány s placebem (n = 53) na frekvenci hlášených nepříznivých událostí. Nežádoucí účinky, ať už je třeba vyšetřovatelé související s léčivem nebo léčivem, hlášené u více než pěti pacientů ve skupině Pulmicort Turbuhaler (bydesonid) a které se vyskytovaly častěji s pulmicort turbuhaler (pladesonid) než placebo níže ( % pulmicort turbuhaler). Při zvažování těchto údajů by se měla zohlednit zvýšená průměrná doba expozice u pacientů s turbuhalerem pulmicortu (78 dní pro pulmicort turbuhaler (tusonid) vs. 41 dní pro placebo).

Tělo jako celek: Astenia (9% a 2%) bolest hlavy (12% a 2%) (10% a 2%)
Zažívací: Dyspepsie (8% a 0%) nevolnost (6% a 0%) orální kandidóza (10% a 0%)
Muskuloskeletální: Artralgia (6% a 0%)
Respirační: Kašel se zvýšil (6% a 2%) respirační infekce (32% a 13%) rýmu (6% a 2%) sinusitidy (16% a 11%)

Pacienti, kteří dostávají pulmicort turbuhaler (busonid) jednou denně

Profil nepříznivých událostí podávání Pulmicort Turbuhaler (busonid) 200 mcg a 400 mcg a placeba byl hodnocen u 309 dospělých astmatických pacientů v 18týdenní studii. Populace studie zahrnovala oba pacienty dříve léčené inhalovanými kortikosteroidy a pacienti, kteří dříve nedostávali kortikosteroidní terapii. Nebyl žádný klinicky relevantní rozdíl ve vzoru nežádoucích účinků po podání pulmicort turbuhaler (budesonid) ve srovnání s dávkováním dvakrát denně.

Pediatrické studie: U 12týdenní studie s placebem kontrolovanou u 404 pediatrických pacientů ve věku 6 až 18 let dříve udržovaných na inhalačních kortikosteroidech byla frekvence nežádoucích účinků pro každou věkovou kategorii (6 až 12 let 13 až 18 let) srovnatelná pro pulmicort turbuhaler (tudesonid) (při 100 200 a 400 mcg dvakrát denně) a Placebo. Ve srovnání s těmi, kteří byli hlášeni u dospělých, neexistovaly žádné klinicky relevantní rozdíly ve vzoru nebo závažnosti nežádoucích účinků.

Nežádoucí událost Reports From Other Sources: Vzácné nežádoucí účinky hlášené v publikované literatuře nebo z celosvětového marketingového zkušeností s jakoukoli formulací inhalovaného budesonidu zahrnují: okamžité a zpožděné hypersenzitivní reakce včetně vyrážkového kontaktu s dermatitidou angioedéma a bronchospazmus; příznaky hypokorticismu a hyperkorticismu; glaukom katarakty; Psychiatrické příznaky včetně deprese agresivní reakce podrážděnost úzkost a psychóza .

Lékové interakce for Pulmicort Turbuhaler

V klinických studiích souběžné podávání bydonidu a jiných léčiv běžně používaných při léčbě astmatu nevedlo ke zvýšené frekvenci nežádoucích účinků. Hlavní cesta metabolismu busonidu a dalších kortikosteroidů je prostřednictvím isoenzymu 3A4 (CYP3A4) cytochrom P450 (CYP). Po perorálním podávání ketoconazolu silný inhibitor CYP3A4 se zvýšila střední plazmatická koncentrace orálně podávaného bysonidu. Současné podávání jiných známých inhibitorů CYP3A4 (např. ITRAKONAZOL CLARithromycin erytromycin atd.) Může inhibovat metabolismus a zvýšit systémovou expozici budonidu. Je třeba věnovat péči, když je budesonid podáván společně s dlouhodobým ketokonazolem a dalšími známými inhibitory CYP3A4.

Varování for Pulmicort Turbuhaler

U pacientů, kteří jsou přeneseni ze systémově aktivních kortikosteroidů na pulmicort turbuhaler (bysonid), je nutná zvláštní péče, protože úmrtí v důsledku nedostatku nadledvin během a po přenosu ze systémových kortikosteroidů na méně systémové kortikosteroidy na méně dostupné kortikosteroidy je nutná zvláštní péče na systémové kortikosteroidy na méně systémově dostupné kortikosteroidy na méně systémové kortikosteroidy. Po odběru ze systémových kortikosteroidů je zapotřebí několik měsíců pro zotavení funkce hypothalamicko-hypofýzy-nadledvinky (HPA).

Pacienti, kteří byli dříve udržováni na 20 mg nebo více denně za den prednisonu (nebo jeho ekvivalentního), mohou být nejvíce náchylnější, zejména pokud byly jejich systémové kortikosteroidy téměř úplně staženy. Během tohoto období pacientů s potlačováním HPA mohou vykazovat příznaky a symptomy nedostatečnosti nadledvin při vystavení chirurgii nebo infekci traumatu (zejména gastroenteritida) nebo jiných stavů spojených se závažnou ztrátou elektrolytů. Ačkoli pulmicort turbuhaler (budesonid) může poskytnout kontrolu nad symptomy astmatu během těchto epizod v doporučených dávkách, poskytuje méně než normální fyziologická množství glukokortikoidů systematicky a neposkytuje mineralokortikoidní aktivitu, která je nezbytná pro kopijení s těmito událostmi.

Během období stresu nebo závažných astmatických útoků pacienti, kteří byli staženi ze systémových kortikosteroidů, by měli být instruováni, aby okamžitě obnovili orální kortikosteroidy (ve velkých dávkách) a kontaktovali své lékaře, aby se další instrukci kontaktovali. Tito pacienti by měli být také instruováni, aby nesli lékařskou identifikační kartu, což naznačuje, že mohou potřebovat doplňkové systémové kortikosteroidy během období stresu nebo závažného astmatického útoku.

Pacienti vyžadující perorální kortikosteroidy by měli být pomalu odstaveni systémovým používáním kortikosteroidů po přenosu do pulmicortového turbuhaleru (budesonid). Funkce plic (FEV 1 nebo jsem pef) Beta-agonista Příznaky použití a astmatu by měly být pečlivě sledovány během stažení perorálních kortikosteroidů. Kromě monitorování astmatických příznaků a symptomů by měli být pozorováni pacienti pro příznaky a příznaky nadledvinového nedostatečnosti, jako je nevolnost nevolnosti a zvracení a zvracení a zvracení a zvracení a zvracení a hypotenze .

Přenos pacientů ze systémové kortikosteroidní terapie na pulmicort turbuhaler (budesonid) může odhalit alergické stavy, které dříve potlačily systémovou kortikosteroidní terapii, např. Rhinitis konjunktivitida artritida eosinofilních stavů a ekzém (vidět Dávkování a podávání ).

Pacienti, kteří jsou na lécích, které potlačují imunitní systém, jsou náchylnější k infekci než zdraví jedinci. Například kuřecí neštovice a spalničky mohou mít vážnější nebo dokonce fatální průběh u vnímavých pediatrických pacientů nebo dospělých na imunosupresivních dávkách kortikosteroidů. U dětských nebo dospělých pacientů, kteří neměli tyto onemocnění, by měla být věnována zvláštní péči, aby se zabránilo expozici. Není známo, jak dávka a trvání podávání kortikosteroidů ovlivňuje riziko vzniku šířené infekce. Rovněž není znám příspěvek základní onemocnění a/nebo předchozí léčby kortikosteroidů k ​​riziku. Pokud je podle potřeby uvedena exponovaná terapie varicella zoster imunitním globulinem (VZIG) nebo sdruženým intravenózním imunoglobulinem (IVIG). Pokud může být vystavena profylaxi spalniček se sdruženým intramuskulárním imunoglobulinem (IG). (Úplné informace o předepisování VZIG a IG viz příslušné vložky balíčku.) Pokud se kuřecí neštovice rozvíjí s léčbou Antivirová agenti mohou být zváženi.

Pulmicort Turbuhaler (budesonide) is not a bronchodilator a is not indicated for rapid relief of bronchospasm or other acute episodes of astma.

Stejně jako u jiných inhalovaných astmatických léků může bronchospasmus s okamžitým zvýšením sípání po dávkování. Pokud k bronchospasmu dojde po dávkování s pulmicortovým turbuhalerem (budesonidem), měl by být okamžitě ošetřen rychle působícím inhalovaným bronchodilátorem. Léčba pulmicort turbuhaler (budesonid) by měla být přerušena a zavedena alternativní terapie.

Pacienti by měli být instruováni, aby okamžitě kontaktovali svého lékaře, když se během léčby pulmicort turbuhaler (tusonid) vyskytují epizody astmatu na jejich obvyklé dávky bronchodilatátorů. Během takových epizod může pacienti vyžadovat terapii perorálními kortikosteroidy.

Epilepsie léky

Opatření for Pulmicort Turbuhaler

Generál

Během stažení z perorálních kortikosteroidů mohou někteří pacienti zažít příznaky systematicky aktivního abstinentu kortikosteroidů, např. Kloub a/nebo svalovou bolest a depresi, navzdory udržování nebo dokonce zlepšení respirační funkce (viz viz Dávkování a podávání ).

U responzivních pacientů může pulmicort turbuhaler (budesonid) umožnit kontrolu symptomů astmatu s menším potlačením funkce osy HPA než terapeuticky ekvivalentní perorální dávky prednisonu. Protože jestesonid absorbován do oběhu a může být systematicky aktivní, mohou být očekávány, že prospěšné účinky pulmicort turbuhaler (budesonid) při minimalizaci dysfunkce HPA lze očekávat pouze v případě, že se doporučené dávky nepřesahují a jednotliví pacienti jsou titrovány na nejnižší efektivní dávku. Vzhledem k tomu, že individuální citlivost na účinky na produkci kortizolu existuje lékaři by měli tyto informace zvážit při předepisování turbuhaleru Pulmicortu (budesonid).

Vzhledem k možnosti systémové absorpce pacientů s inhalačními kortikosteroidy by měly být pečlivě pozorovány pečlivě pro jakékoli důkaz systémových kortikosteroidních účinků. Zvláštní pozornost by měla být věnována pozorování pacientů po operaci nebo během období stresu pro důkaz nedostatečné odpovědi nadledvinky.

Je možné, že systémové kortikosteroidní účinky, jako je hyperkorticismus, se snížily hustotu minerálních kostních minerálů a potlačení nadledvin u malého počtu pacientů, zejména při vyšších dávkách. Pokud k takovým změnám dojde, měl by být pulmicort turbuhaler (budesonid) snížen pomalu v souladu s přijímanými postupy pro léčbu astmatických symptomů a pro zužování systémových steroidů.

Orálně inhalované kortikosteroidy včetně budesonidu mohou způsobit snížení rychlosti růstu při podávání dětských pacientů. Snížení rychlosti růstu může dojít v důsledku nedostatečné kontroly astmatu nebo použití kortikosteroidů pro léčbu. Potenciální účinky prodloužené léčby na růstovou rychlost by měly být zváženy proti získaným klinickým přínosům a rizikům spojeným s alternativními terapiemi. Pro minimalizaci systémových účinků orálně inhalačních kortikosteroidů včetně pulmicort turbuhaler (bysonid) by měl být každý pacient titrován na jeho nejnižší efektivní dávku (viz viz Opatření pediatrické použití ).

Ačkoli pacienti v klinických studiích dostávali pulmicort turbuhaler (busonid) nepřetržitě po dobu 1 až 2 let, dlouhodobé místní a systémové účinky pulmicort turbuhaler (busonid) u lidských subjektů nejsou zcela známy. Zejména účinky vyplývající z chronického použití pulmicortového turbuhaleru (budesonidu) na vývojové nebo imunologické procesy v ústech Pharynx Pruhnx Prunga a plíce nejsou známy.

V klinických studiích s lokalizovanými infekcemi pulmicort turbuhaler (busonid) Candida albicans U některých pacientů došlo v ústech a hltanu. Tyto infekce mohou vyžadovat léčbu vhodnou antimykotickou terapií a/nebo přerušením léčby pulmicort turbuhaler (budesonid).

Inhalované kortikosteroidy by měly být používány s opatrností, pokud vůbec u pacientů s aktivním nebo klidem tuberkulóza infekce of the respiratory tract untreated systemic fungal bacterial viral or parasitic infekces or ocular herpes simplex.

Po inhalačním podávání kortikosteroidů byly hlášeny vzácné případy glaukomu zvýšené nitrooční tlak a katarakty.

Informace pro pacienty

Pacienti léčeni Pulmicort Turbuhaler (busonid) by měli dostávat následující informace a pokyny. Účelem těchto informací je pomoci pacientovi při bezpečném a efektivním užívání léků. Nejedná se o zveřejnění všech možných nepříznivých nebo zamýšlených účinků. Pro správné použití pulmicort turbuhaler (busonid) a pro dosažení maximálního zlepšení by měl pacient číst a sledovat doprovod Pokyny pacienta pro použití pečlivě.

  • Pacienti by měli používat pulmicort turbuhaler (budesonid) v pravidelných intervalech podle pokynů, protože jeho účinnost závisí na pravidelném používání. Pacient by neměl změnit předepsanou dávkování, pokud to lékař neposkytuje.
  • Pacienti by měli být upozorněni, že pulmicort turbuhaler (budesonid) není bronchodilatátor a není určen k léčbě akutních nebo život ohrožujících epizod astmatu.
  • Pacienti by měli být upozorněni, že účinnost pulmicort turbuhaler (budesonid) závisí na správném použití zařízení a inhalační techniky:
    • 1. Pulmicort turbuhaler (budesonid) musí být během nakládání ve svislé poloze (náustek nahoře), aby bylo zajištěno správnou dávku.
    • 2. Pulmicort turbuhaler (budesonid) musí být aktivován, když je jednotka poprvé použita. Abychom připravili jednotku, musí být držena ve vzpřímené poloze a hnědá přilnavost se plně otočila doprava a pak se plně otočila doleva, dokud neklikne. Opakovat.
    • 3. pro načtení první dávky musí být přilnavost otočena plně doprava a plně doleva, dokud neklikne.
    • 4. Po první dávce není nutné jednotku připravit. Musí být však načteno ve vzpřímené poloze bezprostředně před použitím, jak je popsáno výše.
    • 5. Pacienti by měli být doporučeni, aby netřásli inhalátorem.
  • Pacienti by měli umístit náustek mezi rtů a násilně a hluboce vdechnout. Prášek se poté dodává do plic.
  • Pacienti by se neměli vydechnout prostřednictvím pulmicort turbuhaler (budesonid).
  • Vzhledem k malému objemu prášku nemusí pacient chutnat ani cítit přítomnost jakéhokoli léku vstupujícího do plic při vdechování z inhalátoru turbuhaleru. Tento nedostatek pocitu neznamená, že pacient nedostává prospěch z pulmicortového turbuhaleru (budesonid).
  • Pacienti by měli být upozorněni, že opláchnutí úst vodou bez polykání po každém dávkování může snížit riziko rozvoje ústní kandidízy.
  • Pacienti by měli být instruováni, že obdrží novou jednotku Pulmicort Turbuhaler (busonid) pokaždé, když doplní svůj předpis. Pacienti by měli být upozorněni, aby zlikvidovali celé zařízení po použití značeného počtu inhalací. Když zbývá 20 dávek v pulmicortu turbuhaler (busonid), v okně indikátoru se objeví červená značka.
  • Pulmicort Turbuhaler (budesonide) should not be used with a spacer.
  • Náustek by neměl být pokousán ani žvýkán.
  • Obal by měl být po každém otvoru bezpečně vyměněn.
  • Pacienti by měli udržovat vždy pulmicort turbuhaler (budesonid) čistý a suchý.
  • Pacienti by měli být informováni, že ke zlepšení kontroly astmatu po inhalaci pulmicortového turbuhaleru (budesonidu) může dojít do 24 hodin od počátečního léčby, i když maximální přínos nemusí být dosažen po dobu 1 až 2 týdnů nebo delší. Pokud se příznaky v tomto časovém rámci nezlepšují nebo pokud se stav zhoršuje, měl by být pacient pokyn, aby nezvýšil dávku, ale kontaktovat lékaře.
  • Pacienti, jejichž systémové kortikosteroidy byly sníženy nebo staženy, by měli být instruováni, aby měli varovnou kartu, což naznačuje, že mohou potřebovat doplňkové systémové kortikosteroidy během období stresu nebo astmatický útok, který nereaguje na bronchodilatátory.
  • Pacienti by měli být upozorněni, aby nezastavili náhle používání pulmicort turbuhaler (budesonid).
  • Pacienti by měli být upozorněni, aby se vyhnuli vystavení kuřecím neštovicím nebo spalničkám, a pokud jsou vystaveni bezprostřední konzultaci se svými lékaři.
  • Dlouhodobé používání inhalačních kortikosteroidů včetně budesonidu může zvýšit riziko některých očních problémů (katarakty nebo glaukomu). Je třeba zvážit pravidelné oční zkoušky.
  • Ženy zvažující používání pulmicort turbuhaler (busonid) by měly konzultovat se svým lékařem, pokud jsou těhotné nebo mají v úmyslu otěhotnět nebo pokud kojí dítě.
  • Pacienti, kteří zvažují použití pulmicortového turbuhaleru (budesonid), by se měli se svým lékařem konzultovat, pokud jsou alergičtí na bydesonid nebo na jakýkoli jiný perorálně inhalovaný kortikosteroid.
  • Pacienti by měli informovat svého lékaře o jiných lécích, které užívají, protože Pulmicort Turbuhaler (budesonid) nemusí být za určitých okolností vhodný a lékař může chtít použít jiný lék.

Zhodnocení mutageneze karcinogeneze plodnosti

Dlouhodobé studie byly provedeny u potkanů ​​a myší pomocí perorálního podávání k vyhodnocení karcinogenního potenciálu bysonidu.

V 104týdenní perorální studii u potkanů ​​Sprague-Dawley bylo u samců potkanů ​​pozorováno statisticky významné zvýšení incidence gliomů u mužů, kteří dostávali perorální dávku 50 mcg/kg/den (méně než maximální doporučená denní inhalační dávka u dospělých a dětí na MCG/M Mg/m 2 základ). U mužských a ženských potkanů ​​nebyla pozorována žádná tumorigenicita v příslušných perorálních dávkách až do 25 a 50 mcg/kg (méně než maximální doporučená denní inhalační dávka u dospělých a dětí na MCG/M 2 základ). Ve dvou dalších dvouletých studiích u mužů Fischer a Sprague-Dawley nezpůsobily busonid žádné gliomy při perorální dávce 50 mcg/kg (méně než maximální doporučená denní inhalační dávka u dospělých a dětí na MCG/M na MCG/M 2 základ). U mužských potkanů ​​Sprague-Dawley však způsobil statisticky významný nárůst výskytu hepatocelulárních nádorů při perorální dávce 50 mcg/kg (menší než maximální doporučená denní inhalační dávka u dospělých a dětí na MCG/M m 2 základ). Souběžné referenční kortikosteroidy (prednison a triamcinolon acetonid) v těchto dvou studiích ukázaly podobné nálezy.

Neexistoval žádný důkaz karcinogenního účinku, když byl busonid podáván orálně po dobu 91 týdnů myším v dávkách až 200 mcg/kg/den (méně než maximální doporučená denní inhalační dávka u dospělých a dětí na MCG/M na MCG/M na MCG/M 2 základ).

Busonid nebyl mutagenní nebo klastogenní v šesti různých testovacích systémech: Ames Salmonella /Test myši Microsome Plate Test Microlukleus Test myší test chromozomové aberace chromozomu v lidských lymfocytech sexuální recesivní smrtící test v Drosophila Melanogaster a DNA repair analysis in rat hepatocyte culture.

U potkanů ​​neměl bysonid žádný účinek na plodnost při subkutánních dávkách až do 80 mcg/kg (méně než maximální doporučená denní inhalační dávka na MCG/M 2 základ).

Při 20 mcg/kg/den (méně než maximální doporučená lidská denní inhalační dávka na MCG/M 2 Základ) byla pozorována snížení mateřského přírůstku tělesné hmotnosti Prenatální životaschopnost a životaschopnost mladých při narození a během laktace. Žádné takové účinky nebyly zaznamenány při 5 mcg/kg (méně než maximální doporučená dávka denní inhalace člověka u dospělých na MCG/M 2 základ).

Těhotenství: Teratogenní účinky

Kategorie těhotenství B: Stejně jako u jiných glukokortikoidů bydesonid způsobil ztrátu plodu snížená hmotnost štěňat a kosterní abnormality při subkutánních dávkách 25 mcg/kg/den u králíků (méně než maximální doporučená lidská denní inhalační dávka na McG/m 2 základ) a 500 mcg/kg/den u potkanů ​​(přibližně 3násobek maximálního doporučeného lidského denního inhalačního dávky na MCG/M 2 základ).

U potkanů ​​nebyly pozorovány žádné teratogenní nebo embrycidní účinky, když byl busonid podáván inhalací v dávkách až 250 mcg/kg/den (ekvivalentní maximální doporučené dávce lidské každodenní inhalace na MCG/M na MCG/M 2 základ).

Zkušenosti s perorálními kortikosteroidy od jejich zavedení ve farmakologickém základě na rozdíl od fyziologických dávek naznačují, že hlodavci jsou náchylnější k teratogenním účinkům kortikosteroidů než lidé.

Studie těhotných žen však neprokázaly, že pulmicort turbuhaler (budesonid) zvyšuje riziko abnormalit při podávání během těhotenství. Výsledky z velké populace založené na prospektivní kohortové epidemiologické studii, která přezkoumává údaje ze tří švédských registrů, které pokrývají přibližně 99% těhotenství v letech 1995-1997 (tj. Švédský lékařský registr porodnosti; registr vrozených malformací; registrace dětské kardiologie) naznačují žádné zvýšené riziko pro vrozené malformace inhalací. Vrozené malformace byly studovány v roce 2014 kojenci narozené matkám, které hlásily používání inhalovaného budesonidu pro astma v časném těhotenství (obvykle 10-12 týdnů po posledním menstruačním období) období, kdy dochází k většině hlavních malformací orgánů. Míra zaznamenaných vrozených malformací byla podobná ve srovnání s obecnou mírou populace (NULL,8 % vs. 3,5 %). Kromě toho byl po vystavení inhalovanému budesonidu počet kojenců narozených s orofaciálními rozštěpy podobný očekávanému počtu v normální populaci (4 děti vs. 3,3).

Stejné údaje byly použity ve druhé studii, která celková částka přinesla na 2534 kojenců, jejichž matky byly vystaveny inhalovanému budesonidu. V této studii se míra vrozených malformací u kojenců, jejichž matky byly vystaveny inhalovanému budesonidu během časného těhotenství, nelišila od míry u všech novorozenců ve stejném období (NULL,6%).

Navzdory nálezům zvířat by se zdálo, že možnost poškození plodu je vzdálená, pokud se lék během těhotenství používá. Nicméně proto, že studie u lidí nedokážou vyloučit možnost poškození pulmicort turbuhaler (budesonid) by se měly používat během těhotenství, pouze pokud je to jasně potřeba.

Neteratogenní účinky

Hypoadrenalismus se může objevit u kojenců narozených matek, které během těhotenství dostávají kortikosteroidy. Takové kojence by měly být pečlivě pozorovány.

vedlejší účinky doplňku stravy CLA

Ošetřovatelské matky

Kortikosteroidy jsou vylučovány v lidském mléce. Vzhledem k potenciálu nežádoucích účinků u ošetřovatelských kojenců z jakéhokoli kortikosteroidu by mělo být rozhodnuto, zda ukončit ošetřovatelství nebo přerušit lék s přihlédnutím k důležitosti drogy pro matku. Skutečná data pro budesonid chybí.

Dětské použití

Nebyla stanovena bezpečnost a účinnost turbuhaleru Pulmicort Turbuhaler (budesonid) u pediatrických pacientů mladších 6 let.

U pacientů s pediatrickým astmatu byla frekvence nežádoucích účinků pozorovaná u pulmicortového turbuhaleru (budesonid) podobná mezi věkovou skupinou 6 až 12 let (n = 172) ve srovnání s 13 až 17letou věkovou skupinou (n = 124).

Kontrolované klinické studie ukázaly, že orálně inhalační kortikosteroidy mohou u pediatrických pacientů způsobit snížení rychlosti růstu. Tento účinek byl pozorován v nepřítomnosti laboratorního důkazu hypothalamicko-hypofýza-nadledvinky (HPA) potlačení osy, což naznačuje, že rychlost růstu je citlivějším indikátorem systémové expozice kortikosteroidů u pediatrických pacientů než některé běžně používané testy funkce ose HPA. Dlouhodobé účinky této snížení růstové rychlosti spojené s perorálně inhalovanými kortikosteroidy včetně dopadu na konečnou výšku dospělých nejsou známy. Potenciál dohnat růst po přerušení léčby perorálně inhalovanými kortikosteroidy nebyl dostatečně studován.

Ve studii astmatických dětí ve věku 5-12 let, které byly léčeny pulmicort turbuhaler (bysonid) 200 mcg dvakrát denně (n = 311) snižování růstu o 1,1 centimetru ve srovnání s těmi, kteří dostávali placebo (n = 418) na konci jednoho roku; Rozdíl mezi těmito dvěma léčebnými skupinami se během tří let další léčby dále nezvýšil. Do konce čtyř let mají děti léčené pulmicort turbuhaler (bysonid) a děti léčené placebem měly podobné růstové rychlosti. Závěry vyvozené z této studie mohou být zmateny nerovným použitím kortikosteroidů v léčebných skupinách a zahrnutím údajů z pacientů, kteří v průběhu studie dosáhli puberty.

Růst dětských pacientů, kteří dostávají orálně inhalační kortikosteroidy, včetně pulmicort turbuhaler (busonid), by měl být rutinně sledován (např. Stadiometrií). Potenciální růstové účinky prodloužené léčby by měly být zváženy proti získaným klinickým přínosům a rizikům a přínosům spojeným s alternativními terapiemi. Pro minimalizaci systémových účinků inhalačních kortikosteroidů včetně pulmicort turbuhaler (budesonid) by měl být každý pacient titrován na jeho nejnižší efektivní dávku.

Geriatrické použití

Sto pacientů 65 let a starší bylo zahrnuto do amerických a ne-USA kontrolovaných klinických studií pulmicort turbuhaler (budesonid). Nebyly zjištěny žádné rozdíly v bezpečnosti a účinnosti léčiva ve srovnání s těmi, které byly pozorovány u mladších pacientů.

Obecně by měl být výběr dávky pro staršího pacienta opatrný, obvykle začínající na dolním konci rozsahu dávkování, což odráží větší frekvenci snížené funkce ledvin nebo srdeční jater a souběžné onemocnění nebo jiné léčivé terapie.

Informace o předávkování Pulmicort Turbuhaler

Potenciál pro akutní toxické účinky po předávkování pulmicortovou turbuhaler (budesonid) je nízký. Pokud se používají v nadměrných dávkách po delší dobu, mohou se vyskytnout systémové kortikosteroidní účinky, jako je hyperkorticismus (viz viz OPATŘENÍ ). Pulmicort Turbuhaler at twice the highest recommended dose (3200 mcg daily) administered for 6 weeks caused a significant reduction (27%) in the plasma cortisol response to a 6-hour infusion of ACTH compared with placebo (+1%). The corresponding effect of 10 mg prednisone daily was a 35% reduction in the plasma cortisol response to ACTH.

Minimální inhalační letální dávka u myší byla 100 mg/kg (přibližně 320násobek maximálního doporučeného denního inhalačního dávky u dospělých a přibližně 380násobek maximální doporučené denní inhalační dávky u dětí na mcg/m 2 základ). There were no deaths following the administration of an inhalation dose of 68 mg/kg in rats (approximately 430 times the maximum recommended daily inhalation dose in adults a approximately 510 times the maximum recommended daily inhalation dose in children on a mcg/m 2 základ). The minimal oral lethal dose was 200 mg/kg in mice (approximately 630 times the maximum recommended daily inhalation dose in adults a approximately 750 times the maximum recommended daily inhalation dose in children on a mcg/m 2 základ) a méně než 100 mg/kg u potkanů ​​(přibližně 630násobek maximálního doporučeného denního inhalačního dávky u dospělých a přibližně 750násobek maximální doporučené denní inhalační dávky u dětí na základě mcg/m 2 základ).

Zkušenost po trhu ukázala, že pacienti, kteří zažívají akutní předávkování inhalačním budonidem, zůstali asymptomatičtí. Použití nadměrných dávek (až 6400 mcg denně) pro delší období ukázalo systémové kortikosteroidní účinky, jako je hyperkorticismus.

Kontraindikace pro pulmicort turbuhaler

Pulmicort Turbuhaler (budesonide) is contraindicated in the primary treatment of status astmaticus or other acute episodes of astma where intensive measures are required.

Hypersenzitivita k bysonidu kontrastuje použití pulmicortového turbuhaleru (budesonid).

Klinická farmakologie for Pulmicort Turbuhaler

Mechanismus působení

Busonid je protizánětlivý kortikosteroid, který vykazuje silnou glukokortikoidní aktivitu a slabou mineralokortikoidovou aktivitu. Standard in vitro a animal models budesonide has approximately a 200-fold higher affinity for the glucocorticoid receptor a a 1000-fold higher topical anti-inflammatory potency than cortisol (rat croton oil ear edema assay). As a measure of systemic activity budesonide is 40 times more potent than cortisol when administered subcutaneously a 25 times more potent when administered orally in the rat thymus involution assay.

Aktivita pulmicortového turbuhaleru je způsobena rodičovským drogronidem. Ve studiích afinitní afinitních glukokortikoidových receptorů byla forma 22R dvakrát aktivní jako epimer 22S. In vitro Studie naznačují, že obě formy bysonidu se neinvertují.

Přesný mechanismus kortikosteroidních účinků na zánět u astmatu není znám. Zánět je důležitou součástí patogeneze astmatu. Bylo prokázáno, že kortikosteroidy mají širokou škálu inhibičních aktivit proti více typům buněk (např. Eozinofily žírných buněk neutrofily makrofágů a lymfocytů) a mediátorů (např. Histamin eikosanoidy leukotriensů a cytokinů) zapojených do alergických a nealegických zánětů. Tyto protizánětlivé účinky kortikosteroidů mohou přispět k jejich účinnosti u astmatu.

Studie u astmatických pacientů prokázaly příznivý poměr mezi lokální protizánětlivou aktivitou a systémovými kortikosteroidními účinky v širokém rozsahu dávek od pulmicortového turbuhaleru (bysonid). To je vysvětleno kombinací relativně vysokého lokálního protizánětlivého účinku rozsáhlého prvního průchodu jaterní degradace orálně absorbovaného léčiva (85-95%) a nízké účinnosti vytvořených metabolitů (viz níže).

Farmakokinetika

Vstřebávání:
Po perorálním podávání koncentrace plazmy na maximální plazmatice bysonidu bylo dosaženo přibližně za 1 až 2 hodiny a absolutní systémová dostupnost byla 6-13%. Naproti tomu většina bysonidu dodávaného do plic je systémově absorbována. U zdravých subjektů bylo 34% měřené dávky uloženo v plicích (jak bylo hodnoceno metodou plazmatické koncentrace) s absolutní systémovou dostupností 39% měřené dávky. Farmakokinetika budesonidu se u zdravých dobrovolníků a astmatických pacientů významně neliší. Vrcholové plazmatické koncentrace bysonidu se vyskytly do 30 minut po inhalaci z pulmicortového turbuhaleru.

U astmatických pacientů bydsonid vykazoval lineární nárůst AUC a CMAX se zvyšující se dávkou po jedné dávce i opakované dávkování z pulmicortového turbuhaleru (tusonid).

Rozdělení:
Objem distribuce bysonidu byl přibližně 3 l/kg. Bylo to 85-90% vázáno na plazmatické proteiny. Vazba proteinu byla konstantní v rozmezí koncentrace (1-100 nmol/l) dosaženého a překročením doporučených dávek pulmicortového turbuhaleru. Busonid vykazoval malou nebo žádnou vazbu na globulin vázající kortikosteroid. Bydesonid rychle ekvilibrován červenými krvinky v koncentraci nezávislým způsobem s poměrem krve/plazmy asi 0,8.
Metabolismus:
In vitro Studie s homogenáty lidských jater ukázaly, že bydonid je rychle a rozsáhle metabolizován. Dva hlavní metabolity vytvořené cytochromem P450 (CYP) isoenzym 3A4 (CYP3A4) byly izolovány a identifikovány jako 16a-hydroxyprednisolon a 6β-hydroxybudesonid. Kortikosteroidní aktivita každého z těchto dvou metabolitů je menší než 1% aktivity rodičovské sloučeniny. Žádné kvalitativní rozdíly mezi in vitro a nadarmo Byly detekovány metabolické vzorce. Zanedbatelná metabolická inaktivace byla pozorována v přípravcích lidských plic a séru.
Vylučování/eliminace:
22R forma busonidu byla přednostně vyčištěna játra se systémovým clearance 1,4 l/min vs. 1,0 l/min pro formu 22S. Terminální poločas 2 až 3 hodiny byl stejný pro oba epimery a byl nezávislý na dávce. Busonid byl vylučován močí a stolicí ve formě metabolitů. V moči bylo získáno přibližně 60% intravenózní dávky radioaktivně označené v moči. V moči nebyl detekován žádný nezměněný budesonid.
Zvláštní populace:
Nebyly identifikovány žádné farmakokinetické rozdíly v důsledku pohlaví rasy nebo pokročilého věku.
Pediatric:
Po intravenózním dávkování u pediatrických pacientů ve věku 10-14 let byl v plazmě kratší než u dospělých (NULL,5 hodiny vs. 2,0 hodiny u dospělých). U stejné populace po inhalaci bysonidu byl absolutní systémovou dostupností pod tlakem pod tlakovou dávkovou dávkou podobný populaci u dospělých.
Jaterní nedostatečnost:
Snížená funkce jater může ovlivnit eliminaci kortikosteroidů. Farmakokinetika budesonidu byla ovlivněna ohroženou funkcí jater, o čemž svědčí zdvojnásobená systémová dostupnost po perorální požití. Intravenózní farmakokinetika budesonidu byla však u cirhotických pacientů a u zdravých subjektů podobná.
Interakce léčiva drogy:
Ketoconazol Silný inhibitor cytochromu P450 (CYP) isoenzym 3A4 (CYP3A4) Hlavní metabolický enzym pro kortikosteroidy zvýšil hladiny plazmy orálně požitého klesonidu. Při doporučených dávkách měl cimetidin mírný, ale klinicky nevýznamný účinek na farmakokinetiku perorálního budesonidu.

Farmakodynamika

Pro potvrzení, že systémová absorpce není významným faktorem v klinické účinnosti inhalačního bysonidu, byla provedena klinická studie u pacientů s astmatem porovnáním 400 mcg budonidu podávaných prostřednictvím pod tlakového měřeného inhalátoru s výměnou trubice s 1400 mcg perorálního tudesonidu a placebo. Studie prokázala účinnost inhalovaného budesonidu, ale nikoli orálně požitého budesonidu navzdory srovnatelné systémové úrovni. Terapeutický účinek konvenčních dávek perorálně inhalovaného budesonidu je tedy do značné míry vysvětlen jeho přímým působením na respirační trakt.

Generálly Pulmicort Turbuhaler (budesonide) has a relatively rapid onset of action for an inhaled kortikosteroid. Improvement in astma control following inhalation of Pulmicort Turbuhaler (budesonide) can occur within 24 hours of beginning treatment although maximum benefit may not be achieved for 1 to 2 weeks or longer.

Pulmicort Turbuhaler (budesonide) has been shown to decrease airway reactivity in various challenge models including histamine methacholine sodium metabisulfite a adenosine monophosphate in patients with hyperreactive airways. The clinical relevance of these models is not certain.

Předběžné ošetření s pulmicortem turbuhalerem (busonid) 1600 mcg denně (800 mcg dvakrát denně) po dobu 2 týdnů snížilo akutní (včasné fázové reakce) a zpožděná (reakce pozdní fáze) snížení FEV 1 Po inhalační výzvě alergenu.

Účinky pulmicort turbuhaler (budesonid) na osu hypothalamicko-hypofýzy (HPA) byly studovány u 905 dospělých a 404 pediatrických pacientů s astmatem. U většiny pacientů byla schopnost zvýšit produkci kortizolu v reakci na stres, jak bylo hodnoceno stimulačním testem ACNTHOPIN (ACTH), neporušená s léčbou pulmicort turbuhaler (tusonid) při doporučených dávkách. U dospělých pacientů léčených 100 200 400 nebo 800 mcg dvakrát denně po dobu 12 týdnů 4% 2% 6%, respektive 13% <14.5 mcg/dL assessed by liquid chromatography following short-cosyntropin test) as compared with 8% of patients treated with placebo. Similar results were obtained in pediatric patients. In another study in adults doses of 400 800 a 1600 mcg budesonide dvakrát denně via Pulmicort Turbuhaler (budesonide) for 6 weeks were examined; 1600 mcg dvakrát denně (twice the maximum recommended dose) resulted in a 27% reduction in stimulated cortisol (6-hour ACTH infusion) while 10 mg prednisone resulted in a 35% reduction. In this study no patient on Pulmicort Turbuhaler (budesonide) at doses of 400 a 800 mcg dvakrát denně met the criterion for an abnormal stimulated cortisol response (peak cortisol <14.5 mcg/dL assessed by liquid chromatography) following ACTH infusion. An open-label long-term follow-up of 1133 patients for up to 52 weeks confirmed the minimal effect on the HPA axis (both basal a stimulated plasma cortisol) of Pulmicort Turbuhaler (budesonide) when administered at recommended doses. In patients who had previously been oral steroid-dependent use of Pulmicort Turbuhaler (budesonide) in recommended doses was associated with higher stimulated cortisol response compared with baseline following 1 year of therapy.

Podávání busonidu přes pulmicort turbuhaler (busonid) v dávkách až 800 mcg/den (průměrná denní dávka 445 mcg/den) nebo prostřednictvím pod tlakovou dávkovou dávkovou inhalátorem v dávkách až do 1200 mcg/den (průměrná denní dávka 620 mcg/den) do 216 let) po dobu 2 let) po dobu 2 let), než 6 let), než 6 let), než 6 let) Nekortikosteroidní terapie u 62 pacientů s odpovídajícími kontrolami. Dlouhodobý účinek pulmicortového turbuhaleru (busonid) na růst však není zcela znám.

Klinické stezky

Terapeutická účinnost pulmicortového turbuhaleru (busonid) byla hodnocena v kontrolovaných klinických studiích zahrnujících více než 1300 pacientů (6 let a starší) s astmatem různé trvání onemocnění (trvání onemocnění (trvání onemocnění ( <1 year to> 20 let) a závažnost.

Dvojitě slepá paralelní placebem kontrolovaná klinická studie o délce 12 týdnů a déle ukázala, že ve srovnání s turbuhalerem s placebem pulmicort (busonid) významně zlepšila plicní funkci (měřeno PEF a FEV 1 ) významně snížily ranní a večerní příznaky astmatu a významně snížily potřebu AS-nutného inhalovaného používání p2-agonistů při dávkách 400 mcg až 1600 mcg denně (200 mcg až 800 mcg dvakrát denně) u dospělých a 400 mcg na 800 mcg denně (200 mcg dvakrát denně)).

Vedlejší účinky pilulky pro dietu Qsymia

Zlepšená funkce plic (Morning PEF) byla pozorována do 24 hodin od zahájení léčby u dospělých i dětských pacientů ve věku 6 let a starších, i když maximální přínos nebylo dosaženo po dobu 1 až 2 týdnů nebo déle po zahájení léčby. Vylepšená funkce plic byla udržována během 12 týdnů dvojitě slepé části pokusů.

Pacienti, kteří nedostávají kortikosteroidní terapii

V 12týdenní klinické studii u 273 pacientů s mírnou až střední astma (průměrná základní linie FEV 1 2,27 l), kteří nebyli dobře kontrolováni bronchodilatátory samotného pulmicort turbuhaler (budesonid), byl hodnocen v dávkách 200 mcg dvakrát denně a 400 mcg dvakrát denně oproti placebu. FEV 1 Výsledky z této zkoušky jsou uvedeny na obrázku níže. Plicní funkce se významně zlepšila na obou dávkách pulmicortového turbuhaleru (tusonidu) ve srovnání s placebem.

12týdenní studie u pacientů, kteří nejsou na kortikosteroidní terapii před vstupem do studie


A 12-Week Trial in Patients Not on Corticosteroid Therapy Prior to Study Entry - illustration

Ve 12měsíční kontrolované studii u 75 pacientů, kteří dříve nepřijímali kortikosteroidy, pulmicort turbuhaler (budesonid) při 200 mcg dvakrát denně vedl ke zlepšené funkci plic (měřeno PEF) a sníženou bronchiální hyperaktivitu ve srovnání s placebem.

Pacienti dříve udržovaní na inhalačních kortikosteroidech

Bezpečnost a účinnost pulmicortového turbuhaleru (busonid) byla také hodnocena u dospělých a dětských pacientů (věk 6 až 18 let) dříve udržovaných na inhalovaných kortikosteroidech (dospělí: n = 473 průměrné základní linii FEV FEV 1 2,04 L základní dávky beclomethasonu dipropionátu 126-1008 mcg/den; Pediatrie: N = 404 Průměrná základní linie FEV 1 2,09 L základní dávky beclomethasonového dipropionátu 126-672 mcg/den nebo triamcinolon acetonid 300-1800 mcg/den). FEV 1 Výsledky těchto dvou pokusů obou 12 týdnů po dobu trvání jsou uvedeny na následujících číslech. Plicní funkce se významně zlepšila se všemi dávkami pulmicortového turbuhaleru (tusonidu) ve srovnání s placebem v obou studiích.

Dospělí pacienti dříve udržovaní na inhalačních kortikosteroidech


Adult Patients Previously Maintained on Inhaled Corticosteroids - illustration

Pediatričtí pacienti ve věku 6 až 18 let dříve udržovali inhalované kortikosteroidy


Pediatric Patients Age 6 to 18 Years Previously Maintained on Inhaled Corticosteroids - illustration

Pacienti, kteří dostávají pulmicort turbuhaler (busonid) jednou denně

Účinnost a bezpečnost podávání Pulmicort Turbuhaler (busonid) 200 mcg a 400 mcg a placeba byly také hodnoceny také u 309 dospělých astmatických pacientů (průměrná základní linie FEV FEV 1 2,7 l) v 18týdenní studii. Ve srovnání s pacienty s placebem, kteří dostávali Pulmicort 200 nebo 400 mcg, jednou denně vykazovali výrazně lepší stabilitu astmatu, jak bylo hodnoceno pomocí PEF a FEV 1 Během počátečního 6týdenního období léčby, které bylo udržováno s denní dávkou 200 mcg během následujících 12 týdnů. Ačkoli populace studie zahrnovala oba pacienty dříve léčené inhalovanými kortikosteroidy, jakož i pacienti, kteří dříve nedostávali kortikosteroidní terapii, výsledky ukázaly, že dávkování jednou denně bylo pro pacienty dříve udržováno na orálně inhalovaných kortikosteroidech (viz viz (viz viz Dávkování a podávání ).

Pacienti dříve udržovaní na perorálních kortikosteroidech

V klinické studii u 159 závažných astmatických pacientů vyžadujících chronickou perorální prednisonovou terapii (průměrná základní dávka prednisonu 19,3 mg/den) pulmicort turbuhaler (budesonid) v dávkách 400 mcg dvakrát denně denně bylo porovnáno s placebem po 20 týdnů. Přibližně dvě třetiny (68% na 400 mcg dvakrát denně a 64% na 800 mcg dvakrát denně) pulmicortového turbuhaleru (pacienty s busonidem), které byly ošetřeny pacienty s ošetřením (nejméně 2 týdny) perorálním kortikosteroidním sevřením (ve srovnání s 8% placeborovaných pacientů) a zlepšenou kontrolou astma). Průměrná perorální dávka kortikosteroidů byla snížena o 83% na 400 mcg dvakrát denně a 79% na 800 mcg dvakrát denně u pacientů s Pulmicort Turbuhaler (bydesonid) ošetřené vs. 27% pro placebo. Navíc 58 z 64 pacientů (91%), kteří zcela eliminovali perorální kortikosteroidy během dvojitě slepé fáze studie, zůstalo mimo perorální kortikosteroidy po dobu dalších 12 měsíců, zatímco přijalo pulmicort turbuhaler (plasonid).

Informace o pacientovi pro pulmicort turbuhaler

Pokyny pacienta For Use

Než začnete užívat lék, přečtěte si tento leták pečlivě. Poskytuje shrnutí informací o vašem léku. Dodržování těchto pokynů pomáhá zajistit, aby léky správně vdechlo.

Pro další informace se zeptejte svého lékaře nebo lékárníka.

Co byste měli vědět o Pulmicort Turbuhaler (busonid)

Váš lékař předepsal Pulmicort Turbuhaler 200 mcg. Obsahuje lék zvaný busonid, který je syntetický kortikosteroid. Kortikosteroidy jsou přirozené látky nalezené v těle, které pomáhají bojovat proti zánětu. Používají se k léčbě astmatu, protože snižují otok a podráždění ve stěnách malých vzduchových průchodů v plicích a usnadňují dýchací potíže. Při pravidelném inhalaci kortikosteroidů také pomáhá zabránit útokům astmatu.

Pulmicort Turbuhaler (budesonide) treats the inflammation—the quiet part of astma that you cannot hear see or feel. When inflammation is left untreated your astma symptoms a attacks can increase. Pulmicort Turbuhaler (budesonide) works to prevent a reduce your astma symptoms a attacks.

Důležité body, které si pamatujete na Pulmicort Turbuhaler (busonid)

Ujistěte se, že tento lék je pro vás vhodný (viz před použitím pulmicort turbuhaler (busonid)).

Je důležité, abyste vdechovali každou dávku, jak doporučil lékař.

Použijte svůj turbuhaler podle pokynů vašeho lékaře. Nezastavujte ošetření nebo snižte dávku, i když se cítíte lépe Pokud to není řečeno, aby tak učinil váš lékař.

Ne Nadechněte více dávek nebo používejte svůj turbuhaler častěji, než je pokyn váš lékař.

Tento lék je NE Účelem k zajištění rychlé úlevy od vašich dýchacích obtíží během astmatického útoku. Musí být provedeno v pravidelných intervalech, jak doporučuje váš lékař a ne jako nouzové opatření.

Váš lékař může předepsat další léky (například bronchodilatátory) pro nouzovou úlevu, pokud je akutní

  • Vyžadujete více dalších léků než obvykle.
  • Pokud také používáte jiný lék inhalací, měli byste se poradit se svým lékařem, kde jej použijete ve vztahu k používání pulmicort turbuhaler (budesonid).

    Před použitím pulmicort turbuhaler (busonid)

    Sdělte svému lékaři, než začnete brát tento lék, pokud:

    • jsou těhotné (nebo v úmyslu otěhotnět)
    • Kojí kojení dítěte
    • jsou alergičtí na busonid nebo jakýkoli jiný orálně inhalovaný kortikosteroid
    • mít any infekces
    • mít or had tuberkulóza
    • mít osteoporóza
    • mít recently been around anyone with chicken pox or measles
    • plánují podstoupit operaci
    • mít been taking an oral kortikosteroid medicine like prednisone. You may mít to follow specific instructions to avoid health risks associated with stopping the use of these types of medicines.

    Za určitých okolností nemusí být tento lék vhodný a váš lékař může chtít předepsat jiný lék. Ujistěte se, že váš lékař ví, jaké další léky užíváte, včetně léčivých přípravků na předpis a předběžných předpisů, jakož i vitamínů nebo dietních a bylinných doplňků.

    Jaké jsou možné vedlejší účinky pulmicort turbuhaler (busonid)?

    Stejně jako u všech inhalovaných kortikosteroidů byste si měli být vědomi následujících vedlejších účinků:

    • Zvýšené pískání hned po přijetí pulmicort turbuhaler (busonid). Vždy si s sebou máte krátkodobý bronchodilační lék, abyste léčili náhlé sípání. Krátkodobé bronchodilační léky pomáhají uvolnit svaly kolem dýchacích cest v plicích. Klákání se stane, když se svaly kolem dýchacích cest utahují. To ztěžuje dýchání. V těžkých případech může sípání zastavit vaše dýchání a způsobit smrt, pokud nebude ošetřeno hned.
    • Účinky imunitního systému a vyšší šance na infekce.
    • Oční problémy včetně glaukomu a katarakty. Při použití pulmicort turbuhaler (busonid) by měly být zváženy oční vyšetření.
    • Růst dítěte by měl být pravidelně kontrolován při užívání Pulmicor Turbuhaler kvůli potenciálu zpomaleného růstu.

    Na základě klinických studií jsou nejběžnější vedlejší účinky hlášené pacienty používajícími pulmicort turbuhaler (busonid) jsou:

    • Respirační infekce
    • bolest hlavy
    • Příznaky chřipky
    • bolest v krku
    • sinusitida

    Nejedná se o všechny možné vedlejší účinky turbuhaleru pulmicortu (budesonid). Pro více informací se zeptejte svého lékaře zdravotnického profesionála nebo lékárníka.

    Pomocí vašeho pulmicort turbuhaler (busonid)

    • Postupujte podle pokynů uvedených v části, jak používat váš pulmicort turbuhaler. Pokud máte nějaké problémy, řekněte svému lékaři nebo lékárníkovi.
    • Je důležité, abyste vdechovali každou dávku podle pokynů vašeho lékaře. Štítek lékárny vám obvykle řekne, jakou dávku je třeba vzít a jak často. Pokud to není nebo si nejste jisti, zeptejte se svého lékaře nebo lékárníka.

    DÁVKOVÁNÍ

    • Používejte podle pokynů vašeho lékaře.
    • To je Velmi důležité Že dodržujete pokyny svého lékaře o tom, kolik inhalací je třeba vzít a jak často používat váš pulmicort turbuhaler (budesonid).
    • Ne Nadechněte více dávek nebo používejte svůj pulmicort turbuhaler (busonid) častěji, než váš lékař doporučuje.
    • Může to trvat 1 až 2 týdny nebo déle, než se cítíte maximální zlepšení Je velmi důležité, abyste pravidelně používali pulmicort turbuhaler (busonid). Nezastavujte léčbu nebo snižujte svou dávku, i když se cítíte lépe Pokud to není řečeno, aby tak učinil váš lékař.
    • Pokud vám chybí dávka, vezměte si svou pravidelně naplánovanou další dávku, když je splatná. Nezvojnásobte dávku.

    Jak používat svůj pulmicort turbuhaler (budesonid)

    Přečtěte si kompletní pokyny pečlivě a používejte pouze podle pokynů.

    Pokyny k primárnímu:

    Než použijete nový Pulmicort Turbuhaler (busonid) poprvé, měli byste jej připravit. Chcete -li to provést, otočte kryt a zvedněte. Podržte pulmicort turbuhaler (budesonid) vzpřímeně (s náustkem nahoru) a pak hnědé přilnavosti úplně otočte doprava a dozadu doleva. Opakovat. Nyní jste připraveni vzít svou první dávku (viz pokyny pro přijímání dávky). Nemusíte to po tomto okamžiku premiérovat, i když to odložíte stranou po delší dobu.

    Vezměte dávku:

    Taking a dose - illustration

    Načítání dávky

    • Otočte kryt a zvedněte.
    • Za účelem poskytnutí správné dávky Pulmicort Turbuhaler (budesonide) must be held in the upright position (mouthpiece up) whenever a dose of medication is being loaded.
    • Otočte hnědou přilnavost plně doprava, pokud to půjde. Otočte jej znovu znovu doleva.
    • Uslyšíte kliknutí.
    Loading a dose - illustration

    Inhaling dávky

    Inhaling the dose - illustration
    • Když inhalujete pulmicort turbuhaler (busonid), musí být držen ve vzpřímené (náústku nahoru) nebo horizontální poloze.
    • Otočte hlavu od inhalátoru a dýchejte. Po jeho naložení netřepejte inhalátor.
    • Umístěte náustek mezi rty a hluboce a násilně vdechujte. Nemusíte ochutnat ani cítit léky.
    • Nehledejte ani nekousněte na náustek.
    • Vyjměte inhalátor z vašich úst a vydechněte. Nefungujte ani vydechněte do náústku.
    • Pokud je vyžadována více než jedna dávka, stačí opakovat výše uvedené kroky.
    • Až skončíte, umístěte kryt zpět na inhalátor a zavřete se. Opláchněte si ústa vodou. Nepolhajte.
    • Udržujte svůj pulmicort turbuhaler (budesonid) čistý a suchý.
    • Nepoužívejte pulmicort turbuhaler (budesonid), pokud byl poškozen nebo pokud se náustek oddělil.

    Uložení pulmicort turbuhaler (busonid)

    Výhody zdraví extraktu semen hroznů
    • Po každém použití umístěte bílý kryt zpět a pevně jej otočte na místo.
    • Uchovávejte pulmicort turbuhaler (budesonid) na suchém místě při kontrolované teplotě místnosti 68-77 ° F (20-25 ° C).
    • Udržujte svůj pulmicort turbuhaler (budesonid) na bezpečném místě z dosah malých dětí.
    • Ne Použijte po datu zobrazené na těle vašeho turbuhaleru.

    Jak zjistit, kdy je váš pulmicort turbuhaler (busonid) prázdný

    Štítek na krabici nebo krytu vám řekne, kolik dávek je ve vašem Pulmicort Turbuhaler. Váš pulmicort turbuhaler (budesonid) má vhodný okno indikátoru dávky těsně pod náústkem.

    PULMICORT TURBUHALER dose indicator - illustration
    • Když se v horní části okna objeví červená značka, zbývá 20 dávek léku. Nyní je čas získat další pulmicort turbuhaler (busonid).
    • Když červená značka dosáhne dna okna, váš inhalátor by měl být vyřazen, protože již nemusí dodávat správné množství léků. (Možná slyšíte zvuk, pokud jej otřásáte - tento zvuk není lék. Tento zvuk je vyráběn sušicím činidlem uvnitř turbuhaleru.)
    • Nezapomeňte, že pokaždé, když doplníte předpis, získáte nový inhalátor.
    • Nepomojte ji do vody a zjistěte, zda je prázdný. Jednoduše zkontrolujte okno indikátoru dávky.

    Další informace o Pulmicort Turbuhaler (busonid)

    • Pulmicort Turbuhaler (budesonide) delivers your medicine as a very fine powder. Because of this you may not chuť vůně nebo cítit Jakýkoli lék vstupující do plic při vdechování z pulmicortového turbuhaleru (busonid) To neznamená, že nedostáváte léky.
    • Pulmicort Turbuhaler (budesonide) should not be used with a spacer.
    • Pulmicort Turbuhaler contains only budesonide a does not contain any inactive ingredients.
    • Pulmicort Turbuhaler (budesonide) is specially designed to deliver only one dose at a time no matter how often you click the brown grip. If you accidentally blow into your inhaler after loading a dose simply follow the instructions for loading a new dose.

    Tento leták neobsahuje úplné informace o vašem léku. Máte -li jakékoli dotazy nebo si nejste jisti o něčem, měli byste se zeptat svého lékaře nebo lékárníka.

    Možná budete chtít přečíst tento leták znovu. Nevyhazujte to, dokud nedokončíte lék.

    Pamatujte: Tento lék vám předepsal váš lékař. Nedávejte tento lék nikomu jinému.

    Používejte tento produkt podle pokynů, pokud není pokyn, aby udělal svůj lékař jinak.

    Pokud máte další otázky týkající se používání Pulmicort Turbuhaler (busonid) volání: 1-800-236-9933.