Informace Na Stránce Nepředstavují Lékařskou Radu. Nic Neprodáváme. Přesnost Překladu Není Zaručena. Zřeknutí Se Odpovědnosti



Portia

Shrnutí drog

Co je Portia?

Portia (levonorgestrel a souprava ethinyl estradiolu) je kombinovaná perorální antikoncepce (COC), která je uvedena k zabránění těhotenství u žen, které se rozhodnou používat tento produkt jako metodu antikoncepce.

Jaké jsou vedlejší účinky Portia?

Portia



  • kopřivka
  • potíže s dýcháním
  • Otok vašeho obličeje rty jazyk nebo krk
  • náhlá necitlivost nebo slabost (zejména na jedné straně těla)
  • Těžká bolest hlavy
  • Slurred řeč
  • rovnováha problémů
  • Náhlá ztráta zraku
  • Bodavá bolest na hrudi
  • dušnost
  • kašel o krev
  • otok nebo zarudnutí v paži nebo noze
  • bolest na hrudi nebo tlak
  • Bolest se šíří do čelisti nebo ramene
  • nevolnost
  • pocení
  • Ztráta chuti k jídlu
  • Bolest horního žaludku
  • únava
  • horečka
  • Tmavá moč
  • hliněné stoličky
  • žloutnutí kůže nebo očí ( žloutenka )
  • rozmazané vidění
  • Bušení do krku nebo uší
  • Otok ve vašich rukou kotníky nebo nohy
  • Změny ve vzoru nebo závažnosti migrény
  • hrudka prsu
  • problémy se spánkem
  • slabost
  • únava a
  • změny nálady

Získejte lékařskou pomoc okamžitě, pokud máte výše uvedené příznaky.



Mezi vedlejší účinky Portia patří:

  • nevolnost
  • zvracení
  • Gastrointestinal příznaky (jako jsou křeče břicha a nadýmání)
  • Průlomové krvácení
  • Spotting
  • Změna menstruačního toku
  • zmeškaná menstruační období
  • dočasná neplodnost po přerušení léčby
  • Retence tekutin (edém)
  • tmavé skvrny/pihy na kůži, které mohou přetrvávat
  • Něha prsu/bolest/zvětšení
  • Sekrece bradavek
  • Změny hmotnosti nebo chuti k jídlu
  • Změny ve vaginálním výboji
  • zmenšeno v laktaci, když je okamžitě poporodní
  • Cholestatická žloutenka
  • vyrážka (alergická)
  • změny nálady (including deprese)
  • vaginitida (včetně infekce vaginálních kvasinek)
  • Zhoršení křečových žil
  • Anafylaktické/anafylaktoidní reakce (včetně otoku úlu kůže a těžkých reakcí s respiračními a oběhovými příznaky)
  • přebytečný nežádoucí růst vlasů
  • Ztráta vlasů hlavy
  • akné
  • změny v libido a
  • Menstruační křeče

Pokud máte následující vážné vedlejší účinky, vyhledejte lékařskou péči nebo zavolejte na číslo 911:



  • Vážné příznaky očí, jako je ztráta náhlého vidění rozmazané vidění vidění Vision Vision Eye Eye Eye Eye Eye Eye Eye Eye nebo vidět halos kolem světel;
  • Vážné příznaky srdce, jako je rychlé nepravidelné nebo bušení srdečního rytmu; třepování v hrudi; dušnost; a náhlé závratě Lightheadedness nebo omdlet;
  • Těžká zmatek bolesti hlavy zkroucený řečový rameno nebo slabost nohou Potíže se ztrátou chůze pocitu koordinace Pocit nestabilní velmi tuhé svaly vysoké horečky bohaté pocení nebo třes.

Tento dokument neobsahuje všechny možné vedlejší účinky a mohou dojít k jiným. Další informace o vedlejších účincích najdete u svého lékaře.

Dávkování pro Portii

Dávkování Portia je jeden růžový tablet denně po dobu 21 po sobě jdoucích dnů, následovaný jedním bílým inertním tabletem denně po dobu 7 po sobě jdoucích dnů podle předepsaného rozvrhu.

Portia u dětí

U žen v reprodukčním věku byla stanovena bezpečnost a účinnost Portia. Očekává se, že bezpečnost a účinnost budou stejné u adolescentů do adolescentů mladších 16 let a pro uživatele 16 let a starší. Použití tohoto produktu před menarche není indikováno.

Jaké léčivé látky nebo doplňky interagují s Portií?

Portia může interagovat s jinými léky, jako jsou:

  • lamotrigin
  • rifampin
  • Rifabutin
  • Barbituráty
  • fenylbutazon
  • Fenytoin sodík
  • Griseofulvin
  • Topiramate
  • Některé inhibitory proteázy
  • modafinil
  • Wort sv. Jana
  • ampicilin a další peniciliny
  • Tetracyklinová antibiotika
  • Kyselina askorbová (vitamín C)
  • acetaminofen
  • ININAVIR
  • flukonazol
  • troleandomycin
  • atorvastatin
  • cyklosporin
  • Theophylin
  • kortikosteroidy a
  • Kombinace drog HCV obsahující ombitasvir/paritaprevir/ritonavir s nebo bez dasabuviru

Řekněte svému lékaři všechny léky a doplňky, které používáte.

Portia během těhotenství a kojení

Účelem Portia je zabránit těhotenství a není indikována pro použití během těhotenství. U žen, které neúmyslně používají kombinovaný perorální antikoncepci (COC) během časného těhotenství, existuje malé nebo žádné zvýšené riziko vrozených vad. Ženy, které kojí, mohou začít COC nejdříve než čtyři až šest týdnů po porodu. V mateřském mléce je přítomna malá množství perorálních antikoncepčních steroidů a/nebo metabolitů. COC obsahující estrogen, jako je Portia, může snížit produkci mléka u kojení matek. Ošetřovatelské matky se doporučuje, pokud je to možné, aby používaly jiné formy antikoncepce, dokud neodstaví své děti. Před kojením se poraďte se svým lékařem.

Další informace

Naše Portia (Levonorgestrel a Kit ethinyl estradiolu) Vedlejší účinky Drug Center poskytuje komplexní pohled na dostupné informace o možných vedlejších účincích při užívání tohoto léku.

Nejedná se o úplný seznam vedlejších účinků a mohou dojít k dalším. Zavolejte svého lékaře, kde najdete lékařskou radu ohledně vedlejších účinků. Můžete nahlásit vedlejší účinky FDA na 1-800-FDA-1088.

Informace o drogách FDA

Pacienti by měli být poraženi, že tento produkt nechrání před infekcí HIV (AIDS) a jinými sexuálně přenosnými chorobami.

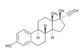
Popis pro Portii

Portia® (levonorgestrel a tablety ethinylestradiolu USP) se skládá z 21 růžových aktivních tablet, z nichž každá obsahuje 0,15 mg levonorgestrelu USP (18 19-dinorpregn-4-en-en-yyn-3-ethyl-17-hydroxy- (17a)-(-)-) celkově syntetická progestogen a 0,03 mg-estrestogen USP (19-NOR-17a-Pregna-135 (10) -TRIEN-20-YNE-317-DIOL) a 7 bílých inertních tabletů. Mezi neaktivní složky v růžových aktivních tabletách patří bezvodá laktóza hypromelóza stearátu hořčíku a mikrokrystalická celulóza. Složky ve filmu zahrnují FD

Strukturální vzorce jsou následující:

Levonorgestrel USP


C 21 H 28 O 2 M.W. 312.45

Ethinylstradiol USP


C 20 H 24 O 2 M.W. 296.40

Použití pro Portii

Portia (levonorgestrel a tablety ethinyl estradiolu USP) je indikována pro použití ženami reprodukčního potenciálu k zabránění těhotenství.

Dávkování pro Portii

Jak začít a vzít Portii

Portia je vydána v blistrové kartě obsahující 28 tablet (viz Jak dodáno ). Portia může být zahájena používáním startu 1. nebo nedělního startu (viz tabulka 3). Pro první cyklus nedělního počátečního režimu by měla být použita další metoda antikoncepce až po prvních 7 po sobě jdoucích dnech podávání.

Tabulka 3: Pokyny pro správu Portia

Zahájení Portia u žen bez současného použití hormonální antikoncepce Den 1 Start
  • Vezměte první tablet bez ohledu na jídlo v první den menstruace
  • Vezměte další tablety jednou denně každý den ve stejnou dobu
  • Začněte každý následující balíček ve stejný den v týdnu jako první balíček cyklu (tj. Den po posledním tabletu)
Nedělní začátek
  • Vezměte první tablet bez ohledu na jídlo první neděle po nástupu menstruačního období
  • Vezměte další tablety jednou denně každý den ve stejnou dobu
  • Použijte další nehormonální antikoncepci po dobu prvních sedmi dnů používání produktu
  • Začněte každý následující balíček ve stejný den v týdnu jako první balíček cyklu (tj. Den po posledním tabletu)
Přepnutí z jiné metody antikoncepce
  • Coc
Začněte Portia:
  • V den, kdy by bylo zahájeno nové balení předchozího COC
  • Transdermální záplata
  • V den, kdy by byla naplánována další aplikace
  • Vaginální kroužek
  • V den, kdy by bylo naplánováno další vložení
  • Injekce
  • V den, kdy by byla naplánována další injekce
  • Intrauterinní antikoncepce
  • V den odstranění
  • Implantát
  • V den odstranění
Zahájení Portia po potratu nebo potratu

První trimester

  • Po prvním trimesteru může být Portia spuštěna okamžitě. Pokud je Portia okamžitě spuštěna okamžitě, není nutná další metoda antikoncepce.
  • Pokud Portia nebude zahájena do 5 dnů po ukončení těhotenství, měl by pacient používat další nehormonální antikoncepci (jako je kondomy nebo spermicid) po dobu prvních sedmi dnů jejího prvního cyklu Portia.

Druhý trimester

  • Nezačínejte až 4 týdny po potratu nebo potratu druhého trimestru v důsledku zvýšeného rizika tromboembolické onemocnění. Začněte Portia podle pokynů v tabulce 3 za den 1 nebo neděle. Prvních sedm dní prvního cyklu Portia použijte další nehormonální antikoncepci (jako je kondomy nebo spermicid) po dobu prvních sedmi dnů pacienta (viz Kontraindikace Varování OPATŘENÍ a Informace o pacientu ).
Zahájení Portia po porodu
  • Nezačínejte až 4 týdny po porodu kvůli zvýšenému riziku tromboembolické onemocnění. Začněte antikoncepční terapii s Portií podle pokynů v tabulce 3 u žen, které v současné době nepoužívají hormonální antikoncepci.
  • Portia se nedoporučuje pro použití u kojícího žen (viz OPATŘENÍ a Informace o pacientu ).
  • Pokud žena ještě neměla období poporodní zvážit možnost ovulace a početí před použitím Portia (viz Kontraindikace Varování OPATŘENÍ a Informace o pacientu ).

Dávkování Portia

Poskytněte pacientům, aby každý den vzali jeden tablet ústy současně. K dosažení maximální antikoncepční účinnosti pacienti musí brát Portii podle pořadí v pořadí zaměřeném na puchýř. Míra selhání se může zvýšit, když jsou pilulky zmeškané nebo odebrány nesprávně.

Zmeškané dávky

Poučte pacienty o manipulaci s zmeškanými dávkami (např. Co nejdříve vzít jednorázové pilulky) a dodržovat pokyny k dávkování poskytované ve značení pacienta schváleného FDA.

Tabulka 4: Pokyny pro zmeškané tablety Portia

  • Pokud je jedna aktivní tableta vynechána v týdnech 1 2 nebo 3
Vezměte tablet co nejdříve. Pokračujte v užívání jednoho tabletu denně, dokud není smečka dokončena.
  • Pokud jsou dvě aktivní tablety vynechány v 1. nebo 2. týdnu
Vezměte dva zmeškané tablety co nejdříve a další dva aktivní tablety další den. Pokračujte v užívání jednoho tabletu denně, dokud není smečka dokončena. Jako zálohování by mělo být použito další nehormonální antikoncepce (jako je kondomy nebo spermicid), pokud má pacient sex do 7 dnů po chybějících tabletách.
  • Pokud jsou ve třetím týdnu nebo tři nebo více aktivních tabletů zmeškané dvě aktivní tablety, v řadě v týdnu 1 2 nebo 3 jsou v řadě vynechány
Den 1 Start: Vyhoďte zbytek smečky a tentýž den spusťte nový balíček.
Nedělní začátek: Pokračujte vezměte jeden tablet denně do neděle a poté vyhoďte zbytek smečky a tentýž den spusťte nový balíček.
Jako zálohování by mělo být použito další nehormonální antikoncepce (jako je kondomy nebo spermicid), pokud má pacient sex do 7 dnů po chybějících tabletách.

Rada v případě gastrointestinálního poruchy

Pokud dojde k zvracení do 3 až 4 hodin po přijetí Portia, měla by pacientka pokračovat, jako by zmeškala tablet. V případě prodlouženého zvracení nebo absorpce průjmu nemusí být úplná a měla by být provedena další antikoncepční opatření.

Jak dodáno

Skladování a manipulace

Portia ® (Levonorgestrel a ethinylestradiolové tablety USP 0,15 mg/ 0,03 mg) 28 jsou zabaleny v kartonech šesti blistrových karet ( NDC 0555-9020-58) Každá karta obsahující 28 tabletů:

21 aktivních tablet: Růžové kulaté filmové biconvexové netvořené aktivní tablety odlibované se stylizovaným b na jedné straně a 992 na druhé straně.
7 inertních tablet: Bílé kolo biconvex Unserored Inert Tablets Debossed se stylizovanými b na jedné straně a 208 na druhé straně.

Uložte při 20 ° až 25 ° C (68 ° až 77 ° F) (viz teplota místnosti s kontrolovanou USP).

Udržujte toto a všechny léky mimo dosah dětí.

Teva Pharmaceuticals USA Inc. North Wales PA 19454. Revidováno: listopad 2021

Vedlejší účinky for Portia

Následující závažné nežádoucí účinky s použitím COC jsou diskutovány jinde při označování:

Vedlejší účinky Actos 15 mg
  • Vážné kardiovaskulární nežádoucí účinky [viz Varování v krabici a Varování ]
  • Vaskulární události [viz Varování ]
  • Onemocnění jater [viz Varování ]
  • Hypertenze [viz Varování ]
  • Onemocnění žlučníku [viz Varování ]
  • Účinky uhlohydrátů a lipidů [viz Varování ]
  • Bolest hlavy [viz Varování ]
  • Karcinom děložního čípku [viz Varování ]

Nežádoucí účinky hlášené uživateli COC a popsané jinde ve označování jsou:

  • Krvácení nepravidelnosti a amenorea [viz Varování ]
  • Změny nálady včetně deprese [viz Varování ]
  • Melasma/chloasma, která může přetrvávat [viz Varování ]
  • Retence otoků/tekutin [viz OPATŘENÍ ]
  • Snižování v laktaci, když je uvedeno okamžitě po porodu [viz OPATŘENÍ ]

Post Marketing zkušenosti

Pět studií, které porovnávaly riziko rakoviny prsu mezi stále uživateli (současné nebo minulé použití) COC a nikdy neuživatelé COC, neuvedlo žádnou souvislost mezi nikdy použitím COC a rizika rakoviny prsu s odhady účinků v rozmezí od 0,90 do 1,12 (obrázek 2).

Tři studie porovnávaly riziko rakoviny prsu mezi současnými nebo nedávnými uživateli COC ( <6 months since last use) a never users of COCs (Figure 2). One of these studies reported no association between breast cancer risk a COC use. The other two studies found an increased relative risk of 1.19 to 1.33 with current or recent use. Both of these studies found an increased risk of breast cancer with current use of longer duration with relative risks ranging from 1.03 with less than one year of COC use to approximately 1.4 with more than 8 to 10 years of COC use.

Obrázek 2: Relevantní studie rizika rakoviny prsu s kombinovanou perorální antikoncepcí

RR = relativní riziko; Nebo = poměr kurzů; HR = poměr rizika. Vždy jsou ženy s proudem nebo minulým používáním COC; Nikdy nekoc useare samice, které nikdy nepoužívaly COC.

U pacientů dostávajících orální antikoncepční prostředky byly hlášeny následující nežádoucí účinky a jsou považovány za související s drogou: sekrece zvětšení bolesti prsu; Zvracení nevolnosti a gastrointestinální symptomy (jako jsou křeče břicha a nadýmání); Změna menstruačního toku; Dočasná neplodnost po přerušení léčby; Změna hmotnosti nebo chuti k jídlu (zvýšení nebo snížení); Změna v krční erozi a sekreci; Cholestatická žloutenka; Vyrážka (alergická); Vaginitida včetně kandidózy; Změna zakřivení rohovky (strmening); Nesnášenlivost kontaktních čoček; Mezenterická trombóza; Snížení hladin folátu v séru; Exacerbace systémového lupus erythematosus; Exacerbace porfyrie; Exacerbace chorea; Zhoršení křečových žil; Anafylaktické/anafylaktoidní reakce včetně angioedému Vurticaria a závažných reakcí s respiračními a oběhovými příznaky.

U uživatelů perorální antikoncepce byly hlášeny následující nežádoucí účinky a asociace nebyla potvrzena ani vyvrácena: vrozené anomálie; Premenstruační syndrom; Katarakty; Optická neuritida, která může vést k částečné nebo úplné ztrátě zraku; Syndrom podobný cystitidě; Nervozita; Závrať; Hirsutismus; Ztráta vlasů hlavy; Erythema multiforme; Erythema nodosum; Hemoragická erupce; Narušená funkce ledvin; Hemolytický uremický syndrom; Budd-Chiari syndrom; Akné; Změny v libido; Kolitida; Onemocnění srpkovitých buněk; Cerebral-Vaskulární onemocnění s prolapsem mitrální chlopně; Syndromy podobné lupusu; Pankreatitida; Dysmenorea.

Chcete-li nahlásit podezření na nežádoucí účinky, kontaktujte Teva na čísle 1-888-838-2872 nebo FDA na 1-800-FDA-1088 nebo https://www.fda.gov/medwatch pro dobrovolné hlášení nežádoucích účinků.

Lékové interakce for Portia

Níže uvedené oddíly poskytují informace o látkách, pro které jsou k dispozici údaje o lékových interakcích s COC. O klinickém účinku většiny lékových interakcí, které mohou ovlivnit COC, je k dispozici jen málo informací. Na základě známých farmakokinetických účinků těchto léčivých klinických strategií však jsou navrženy k minimalizaci jakéhokoli potenciálního nepříznivého účinku na antikoncepční účinnost nebo bezpečnost.

Poraďte se s schváleným označením produktu všech současně používaných léků k získání dalších informací o interakcích s COC nebo potenciálu pro změny metabolického enzymu nebo transportéru.

S Portií nebyly provedeny žádné studie interakce léčiva léčiva.

Účinky jiných léků na kombinované perorální antikoncepční prostředky

Látky snižují plazmatické koncentrace COC a potenciálně snižují účinnost COC

Tabulka 1 obsahuje látky, které prokázaly důležitou interakci léčiva s Portií.

Tabulka 1: Významné lékové interakce zahrnující látky, které ovlivňují COC

Induktory metabolického enzymu
Klinický účinek
  • Současné použití COC s induktory metabolického enzymu může snížit plazmatické koncentrace estrogenu a/nebo progestinové složky COC.
  • Snížená expozice estrogenu a/nebo progestinové složky COC může potenciálně snížit účinnost COC a může vést k antikoncepčnímu selhání nebo zvýšení průlomového krvácení.
Prevence nebo řízení
  • Poraďte se samicemi k použití alternativní metody antikoncepce nebo metody zálohování, když se používají induktory enzymu s COC.
  • Pokračujte v zálohování antikoncepce po dobu 28 dnů po přerušení induktoru enzymu, aby se udržela antikoncepční spolehlivost.
Příklady Aprepitant Barbiturates Bosentan Carbamazepin Efavirenz Felbamate griseofulvin oxcarbazepin fenytoin rifampin rifabutin rufinamid topiramate produkty obsahující nosidlo sv. Jana a a certain protease inhibitors (see separate section on protease inhibitors below).
Colesevelam
Klinický účinek
  • Současné použití COC s Colesevelamem významně snižuje systémovou expozici etinylestradiolu.
  • Snížená expozice estrogenové složky COC může potenciálně snížit antikoncepční účinnost nebo vést ke zvýšení průlomového krvácení v závislosti na pevnosti etinylestradiolu v COC.
Prevence nebo řízení Spravujte 4 nebo více hodin od sebe, abyste tuto interakci s drogami zmírnili.
a Indukční síla Wort sv. Jana se může velmi lišit v závislosti na přípravě.
Látky zvyšující systémovou expozici COC

Společné podávání atorvastatinu nebo rosuvastatinu a COC obsahujících ethinylestradiol zvyšuje systémovou expozici etinylestradiolu přibližně o 20 až 25 procent. Kyselina askorbová a acetaminofen mohou zvýšit systémovou expozici etinylestradiolu pravděpodobně inhibicí konjugace. Inhibitory CYP3A, jako je itrakonazol voriconazol flukonazol grapefruitová šťáva 7 nebo ketokonazol může zvýšit systémovou expozici estrogenu a/nebo progestinové složky COC.

Inhibitory proteázy viru lidské imunodeficience (HIV)/virus hepatitidy C (HCV) a inhibitory nenukleosidu reverzní transkriptázy

Significant decreases in systemic exposure of the estrogen and/or progestin have been noted when COCs are co-administered with some HIV protease inhibitors (e.g. nelfinavir ritonavir darunavir/ritonavir (fos) amprenavir/ritonavir lopinavir/ritonavir and tipranavir/ritonavir) some HCV protease inhibitors (např. Boceprevir a telaprevir) a některé inhibitory nenukleosidové reverzní transkriptázy (např. Nevirapin).

Naproti tomu bylo zaznamenáno významné zvýšení systémové expozice estrogenu a/nebo progestinu, pokud jsou COC společně s některými jinými inhibitory HIV proteázy (např. ININAVIR/ATAZANAVIR/RITONAVIR) a s jinými inhibitory nenukleosidu reverzní transkriptázy (např. Etravirin).

Účinky kombinovaných perorálních antikoncepčních prostředků na jiné léky

Tabulka 2 poskytuje významné informace o interakci léčiva pro léky spolupracované s Portií.

Tabulka 2: Významné informace o interakci léčiva pro léky spolupracovními s COC

Lamotrigin
Klinický účinek Současné použití COC s lamotriginem může významně snížit systémovou expozici lamotriginu v důsledku indukce lamotriginové glukuronidace. Snížená systémová expozice lamotriginu může snížit kontrolu záchvatů.
Prevence nebo řízení Může být nutné nastavení dávky. Poraďte se s schváleným označením produktu pro lamotrigin.
Thyroidní hormonální substituční terapie nebo kortikosteroidní substituční terapie
Klinický účinek Současné použití COC s substituční terapií hormonu štítné žlázy nebo kortikosteroidní substituční terapií může zvýšit systémovou expozici vázání štítné žlázy a globulinu vázajícím kortizol (viz viz Varování Účinek na vázací globuiny ).
Prevence nebo řízení Může být nutné zvýšit dávku náhradního hormonu štítné žlázy nebo kortizolové terapie. Potřebné terapie se poraďte s schváleným označením produktu (viz Varování Účinek na vázající globuliny ).
Jiné drogy
Klinický účinek Současné použití COC může snížit systémové expozice kyseliny acetaminofen morfin morfin salicylové a temazepamu. Současné použití s ​​COC obsahujícími ethinylestradiol může zvýšit systémovou expozici jiných léčiv (např. Cyklosporin prednisolon Theofylin Tizanidin a Voriconazol).
Prevence nebo řízení Může být nutné zvýšit dávku léků, které mohou být touto interakcí ovlivněny touto interakcí. Pomocí léku na základě schváleného označení produktu.

Současné použití s ​​kombinovaným terapií viru hepatitidy C (HCV) - zvýšení enzymu jaterního enzymu

Nepovažujte Portia s kombinací léků HCV obsahující ombitasvir/paritaprevir/ritonavir s nebo bez dasabuviru [viz Varování ] a glecaprevir/pibrentasvir z důvodu potenciálu pro nadmořské výšky.

Vliv na laboratorní testy

Použití COC může ovlivnit výsledky určitých laboratorních testů, jako jsou koagulační faktory lipidy tolerance glukózy a vazebné proteiny.

Varování for Portia

Tromboembolické poruchy a jiné cévní podmínky

  • Zastavte Portii, pokud nastane arteriální nebo žilní trombotická/tromboembolická událost.
  • Zastavte Portii, pokud dojde k nevysvětlitelné ztrátě vize Proptóza diplopie papilema nebo vaskulární léze sítnice a okamžitě vyhodnoťte pro trombózu sítnicové žíly.
  • Přerušte Portii během prodloužené imobilizace. Pokud je to proveditelné zastavení Portia nejméně čtyři týdny před a během dvou týdnů po velké operaci nebo jiných operacích, o nichž je známo, že má zvýšené riziko tromboembolismu.
  • Spusťte Portia nejprve čtyři týdny po porodu u žen, které nehněvají. Riziko poporodní tromboembolismu se po třetím poporodním týdnu snižuje, zatímco pravděpodobnost ovulace se po třetím poporodním týdnu zvyšuje.
  • Před zahájením Portia vyhodnotí jakoukoli minulou anamnézu nebo rodinnou anamnézu trombotických nebo tromboembolických poruch a zvažte, zda historie navrhuje zděděnou nebo získanou hyperkoagulopatii. Portia je kontraindikována u žen s vysokým rizikem arteriálních nebo žilních trombotických/tromboembolických onemocnění (viz Kontraindikace ).
Arteriální události
COC zvyšují riziko kardiovaskulárních příhod a cerebrovaskulárních příhod, jako je infarkt myokardu a mrtvice. Riziko je větší u starších žen (> 35 let) kuřáků a žen s hypertenzí dyslipidemie diabetes nebo obezita .

Portia is contraindicated in women over 35 years of age who smoke (see Kontraindikace ). Cigarette smoking increases the risk of serious cardiovascular events from COC use. This risk increases with age particularly in women over 35 years of age a with the number of cigarettes smoked.

Žilní události

Použití COC zvyšuje riziko žilních tromboembolických událostí (VTES), jako je hluboká žilní trombóza a plicní embolie. Mezi rizikové faktory pro VTE patří kouření obezity a rodinná anamnéza VTE kromě jiných faktorů, které kontraindikují použití COC (viz Kontraindikace ). While the increased risk of VTE associated with use of COCs is well-established the rates of VTE are even greater during pregnancy a especially during the postpartum period (see Figure 1). The rate of VTE in females using COCs has been estimated to be 3 to 9 cases per 10000 woman-years.

Riziko VTE je nejvyšší během prvního roku používání COC a při restartování hormonální antikoncepce po přestávce čtyři týdny nebo déle. Na základě výsledků z několika studií existuje určitý důkaz, že to platí i pro neorální produkty. Riziko tromboembolického onemocnění v důsledku COC postupně zmizí po ukončení použití COC.

Obrázek 1 ukazuje riziko vzniku VTE pro ženy, které nejsou těhotné, a nepoužívají orální antikoncepční prostředky pro ženy, které používají perorální antikoncepční prostředky pro těhotné ženy a pro ženy v poporodním období. Chcete -li vystavit riziku rozvoje VTE do perspektivy: pokud se 10000 žen, které nejsou těhotné a nepoužívají orální antikoncepční prostředky, bude následováno po dobu jednoho roku mezi 1 a 5 z těchto žen, vyvine VTE.

Obrázek 1: Pravděpodobnost vývoje VTE

* Údaje o těhotenství založené na skutečném trvání těhotenství v referenčních studiích založených na předpokladu, že doba těhotenství je devět měsíců, míra je 7 až 27 na 10000 WY.

Onemocnění jater

Zvýšené jaterní enzymy

Portia is contraindicated in females with acute viral hepatitis or severe (decompensated) cirrhosis of liver (see Kontraindikace ). Discontinue Portia if žloutenka se vyvíjí. Akutní abnormality jater mohou vyžadovat přerušení používání COC, dokud se jaterní testy nevrátí k normálnímu a COC příčinné souvislosti nebyly vyloučeny.

Nádory jater

Portia is contraindicated in females with benign or malignant liver tumors (see Kontraindikace ). COCs increase the risk of hepatic adenomas. An estimate of the attributable risk is 3.3 cases/100000 COC users. Rupture of hepatic adenomas may cause death from abdominal hemorrhage.

Studie prokázaly zvýšené riziko vzniku hepatocelulárního karcinomu u dlouhodobých (> 8 let) uživatelů COC. Přičítatelné riziko rakovin jater u uživatelů COC je méně než jeden případ na milion uživatelů.

hostel na Islandu

Hypertenze

Portia is contraindicated in females with uncontrolled hypertension or hypertension with vascular disease (see Kontraindikace ). Fneboll females including those with well-controlled hypertension monitor blood pressure at routine visits a stop Portia if blood pressure rises significantly.

U žen bylo hlášeno zvýšení krevního tlaku s využitím COC a toto zvýšení je pravděpodobnější u starších žen s delší dobu používání. Účinek COC na krevní tlak se může lišit v závislosti na progestinu v COC.

Úvahy související s věkem

Riziko kardiovaskulárních chorob a prevalence rizikových faktorů pro kardiovaskulární onemocnění se zvyšuje s věkem. Některé podmínky, jako je kouření a migréna hlava bez aury, které nekontraindikují používání COC u mladších žen, jsou kontraindikace u žen starších 35 let [viz viz Kontraindikace a Varování ]. Zvažte přítomnost základních rizikových faktorů, které mohou zvýšit riziko kardiovaskulárního onemocnění nebo VTE, zejména před zahájením COC pro ženy po dobu 35 let, jako jsou:

  • Hypertenze
  • Diabetes
  • Dyslipidemie
  • Obezita

Riziko zvýšení enzymu jaterního enzymu se souběžnou léčbou hepatitidy C C C

Během klinických studií s drogovým režimem kombinace hepatitidy C, který obsahuje ombitasvir/paritaprevir/ritonavir s výškou dasabuviru s nebo bez dasabuviru, větší než 5krát vyšší hranice normálního (ULN), včetně některých případů větší než 20násobek ULN, byly u žen významně častější u žen s léčivem etinylestradiolu, jako jsou COC. Přerušte Portii před zahájením terapie kombinovaným drogovým režimem ombitasvir/paritaprevir/ritonavir s nebo bez dasabuviru (viz viz Kontraindikace ). Portia can be restarted approximately 2 weeks following completion of treatment with the combination drug regimen.

Onemocnění žlučníku

Studie naznačují zvýšené riziko vzniku onemocnění žlučníku mezi uživateli COC. Použití COC může také zhoršit stávající onemocnění žlučníku.

Minulá historie cholestáz související s COC předpovídá zvýšené riziko s následným používáním COC. Ženy s anamnézou cholestáz související s těhotenstvím mohou být vystaveny zvýšenému riziku cholestázy související s COC.

Nepříznivé uhlohydráty a metabolické účinky lipidů

Hyperglykémie

Portia je kontraindikována u diabetických žen starších 35 let nebo žen, které mají diabetes s hypertenzí nefropatie retinopatie neuropatie jiná vaskulární onemocnění nebo ženy s diabetem> 20 let trvání (viz viz délka trvání Kontraindikace ). Portia may decrease glucose tolerance. Carefully monitor prediabetic a diabetic females who are using Portia.

Dyslipidemie

Zvažte alternativní antikoncepci u žen s nekontrolovanou dyslipidemií. Portia může způsobit nepříznivé změny lipidů.

Samice s hypertriglyceridemií nebo její rodinná anamnéza mohou mít zvýšení koncentrací triglyceridů v séru při použití Portia, což může zvýšit riziko pankreatitidy.

Bolest hlavy

Portia is contraindicated in females who have headaches with focal neurological symptoms or have migraine headaches with aura a in women over age 35 years who have migraine headaches with or without aura (see Kontraindikace ).

Pokud žena používající Portia vyvine nové bolesti hlavy, které jsou opakující se přetrvávající nebo závažné, vyhodnotí příčinu a přestane Portii, pokud je to uvedeno. Zvažte přerušení Portia, pokud dojde ke zvýšené frekvenci nebo závažnosti migrén během používání COC (což může být prodromální cerebrovaskulární událost).

Krvácení nepravidelnosti a amenorea

Neplánované krvácení a špinění

Ženy využívající Portii mohou zažít neplánované (průlomové nebo intracyklické) krvácení a špinění, zejména během prvních tří měsíců používání. Krvácení nepravidelnosti se může v průběhu času nebo změnit na jiný antikoncepční produkt. Pokud krvácení přetrvává nebo se vyskytuje po předchozích pravidelných cyklech z hodnocení příčin, jako je těhotenství nebo malignita.

Ve dvou klinických studiích s Portií (1084 subjektů hlásí celkem 8186 léčebných cyklů a 238 subjektů, které vykazovaly celkem 1102 léčebných cyklů), k krvácení došlo u 6,9% a 8,1% hlášených cyklů a špinavé došlo v 8,6% a 7,9% hlášených cyklů v respektivech celkové doba studie. Ve dvou pokusech se meziremenstruační krvácení (tj. Průlomové krvácení a/nebo špinění) vyskytlo u 13,1% a 12,9% hlášených cyklů po celou dobu trvání studie. V jednom pokusu 33 subjektů z 1084 (NULL,0%) přerušilo kvůli krvácejícímu nepravidelnosti (tj. Průlomové krvácení a špinění); V ostatních pokusech 6 subjektů z 238 (NULL,5%) přerušilo kvůli krvácejícímu nepravidelnosti.

Amenorea a oligomenorea

Samice, které používají Portii, mohou mít nepřítomnost plánovaného (stažení) krvácení, i když nejsou těhotné. Ve dvou klinických studiích Portia One, včetně 8186 hlášených léčebných cyklů a druhý včetně 1102 hlášených léčebných cyklů amenorea došlo v 1,5% léčebných cyklů v každé studii.

Pokud nedochází k plánovanému krvácení, zvažte možnost těhotenství. Pokud pacient nedodržoval předepsaný dávkovací plán (zmeškaný jeden nebo dva aktivní tablety nebo je začal brát o den později, než by měla mít) zvažte možnost těhotenství v době prvního zmeškaného období a provádějí vhodná diagnostická opatření. Pokud se pacient dodržoval předepsaného dávkovacího plánu a postrádal dvě po sobě jdoucí období vyloučit těhotenství.

Po přerušení amenoreny COC nebo oligomenorhea může dojít, zejména pokud tyto podmínky existovaly.

Deprese

Pečlivě pozorujte samice s anamnézou deprese a ukončete portii, pokud se deprese znovu opakuje. Údaje o asociaci COC s nástupem deprese nebo exacerbace existující deprese jsou omezené.

Maligní novotvary

Rakovina prsu

Portia is contraindicated in females who currently have or have had breast cancer because breast cancer may be hormonally sensitive [see Kontraindikace ].

Jak berete pyl Bee

Epidemiologické studie nezjistily konzistentní souvislost mezi používáním kombinovaných perorálních antikoncepčních prostředků (COC) a rizikem rakoviny prsu. Studie neprokazují spojení mezi používáním COC a současným nebo minulým) a rizikem rakoviny prsu. Některé studie však uvádějí malé zvýšení rizika rakoviny prsu u současných nebo nedávných uživatelů ( <6 months since last use) a current users with longer duration of COC use (see Nežádoucí účinky Zážitek z postmarketingu ).

Rakovina děložního čípku

Některé studie naznačují, že COC jsou spojeny se zvýšením rizika rakoviny děložního čípku nebo intraepiteliální neoplazie. Existuje diskuse o tom, do jaké míry jsou tato zjištění způsobena rozdíly v sexuálním chování a jiných faktorech.

Účinek na vázající globuliny

Estrogenová složka Portia může zvýšit sérové ​​koncentrace globulinu vázajícího se na globulin vázající globulin a globulin vázající na tyroxin a globulin vázající kortizol. Může být nutné zvýšit dávku náhradního hormonu štítné žlázy nebo kortizolové terapie.

Dědičný angioedém

U žen s dědičným angioedémem mohou exogenní estrogeny vyvolat nebo zhoršovat příznaky angioedému.

Chloasma

Chloasma may occur with Portia use especially in females with a history of chloasma gravidarum. Advise females with a history of chloasma to avoid exposure to the sun or ultraviolet radiation while using Portia.

Opatření for Portia

Poruchy lipidů

Ženy, které jsou léčeny pro hyperlipidémie, by měly být úzce sledovány, pokud se rozhodnou používat ústní antikoncepci. Některé progestogeny mohou zvýšit hladiny LDL a mohou ztížit kontrolu hyperlipidémie [viz Varování ].

U pacientů s familiárními defekty metabolismu lipoproteinu, který dostává přípravky obsahující estrogen obsahující estrogen, se objevily zprávy o významných zvýšeních plazmatických triglyceridů vedoucími k pankreatitidě.

Retence tekutin

Orální antikoncepční prostředky mohou způsobit určitý stupeň retence tekutin. Měly by být předepsány opatrností a pouze s pečlivým monitorováním u pacientů s stavy, které by mohly být zhoršeny retencí tekutin.

Gastrointestinální motilita

Průjem a/nebo zvracení mohou snížit absorpci hormonů (viz viz Dávkování a podávání ).

Karcinogeneze

Vidět Varování .

Těhotenství

Shrnutí rizika

Pokud dojde k těhotenství, přerušte Portii, protože v těhotenství není důvod používat COC. Epidemiologické studie a metaanalýzy nezjistily zvýšené riziko vrozených defektů genitálních nebo nongenitálních vad (včetně srdečních anomálií a defektů redukce končetin) po expozici COC před početí nebo během časného těhotenství. Studie na zvířatech pro vyhodnocení embryí/toxicity plodu nebyly provedeny.

V americké obecné populaci je odhadované riziko na pozadí velkých vrozených vad a potratu u klinicky uznávaných těhotenství 2 až 4 procenta a 15 až 20 procent.

Laktace

Shrnutí rizika

V lidském mléce jsou přítomny antikoncepční hormony a/nebo metabolity. COC mohou snížit produkci mléka u žen kojení. K tomuto redukci může dojít kdykoli, ale je méně pravděpodobné, že dojde, jakmile je kojení dobře zavedeno. Pokud je to možné, ošetřovatelskou ženu poradí, aby používala jiné metody antikoncepce, dokud nepřeruší kojení. (vidět Dávkování a podávání ). The developmental a health benefits of breast-feeding should be considered along with the mother’s clinical need for Portia a any potential adverse effects on the breast-fed child from Portia or from the underlying maternal condition.

Dětské použití

U žen reprodukčního potenciálu byla stanovena bezpečnost a účinnost Portia. Použití Portia před menarche není indikováno.

Geriatrické použití

Portia has not been studied in postmenopausal women a is not indicated in this population.

Informace o poradenství pro pacienta

  • Poradenství pacientům, že kouření cigaret zvyšuje riziko vážných kardiovaskulárních příhod z používání COC a že ženy, které mají starší 35 let a kouř, by neměly používat COC (viz viz Varování v krabici a Kontraindikace ).
  • Poradenství pacientům, které tento produkt nechrání před infekcí HIV (AIDS) a dalšími sexuálně přenosnými infekcemi.
  • Poraďte pacientům, aby každý den každý den užívali jeden tablet každý den. Pokyn pacientům, co dělat na tabletách na událostech, jsou zmeškané (viz viz Dávkování a podávání ).
  • Poradenství pacientům k použití záložní nebo alternativní metody antikoncepce, když se používají induktory enzymu s COC [viz OPATŘENÍ ].
  • Poradenství pacientům, kteří kojí nebo kteří si přejí kojit, že COC mohou snížit produkci mateřského mléka. K tomu je méně pravděpodobné, že dojde, pokud je kojení dobře zavedeno [viz OPATŘENÍ ].
  • Poradenství každého pacienta, který zahajuje Portia poporodní a který dosud neměl období na použití další metody antikoncepce, dokud nebrala růžový tablet po dobu 7 po sobě jdoucích dnů (viz Dávkování a podávání ).
  • Poradenství pacientům, které může nastat amenorea. Těhotenství by mělo být zváženo v případě amenorea a mělo by být vyloučeno, pokud je amenorea spojena s příznaky těhotenství, jako je ranní nemoc nebo neobvyklá citlivost prsu [viz Varování ].
  • Deprese may occur. Women should contact their healthcare provider if deprese occurs including shortly after initiating the treatment [see Varování ].

Informace o předávkování Portii

Neexistovaly žádné zprávy o závažných nepříznivých výsledcích z předávkování COC, včetně požití dětí. Předávkování může způsobit krvácení dělohy u žen a nevolnosti.

Kontraindikace pro Portii

Portia (levonorgestrel a ethinyl estradiol tablets USP) is contraindicated in females who are known to have the following conditions:

  • Vysoké riziko arteriálních nebo žilních trombotických onemocnění. Příklady zahrnují ženy, o nichž je známo:
  • Kouř, pokud více než 35 let [viz Varování v krabici a Varování ].
  • Mít současnou nebo historii trombózy hluboké žíly nebo plicní embolie [viz Varování ].
  • Mít cerebrovaskulární onemocnění [viz Varování ].
  • Mít onemocnění koronárních tepen [viz Varování ].
  • Mít trombogenní chlopní nebo trombogenní rytmická onemocnění srdce (například subakutní bakteriální endokarditida s chlopním onemocněním nebo fibrilací síní) [viz viz Varování ].
  • Zdědili nebo získali hyperkoagulopatie [viz Varování ].
  • Mají nekontrolovanou hypertenzi nebo hypertenzi s vaskulárním onemocněním [viz Varování ].
  • Mít Diabetes mellitus a je více než 35 let diabetes mellitus s hypertenzí nebo vaskulárním onemocněním nebo jiným poškozením koncových orgánů nebo diabetes mellitus> 20 let trvání [viz viz Varování ].
  • Mít headaches with focal neurological symptoms migraine headaches with aura or over age 35 with any migraine headaches [see Varování ].
  • Současná diagnóza nebo anamnéza rakoviny prsu, která může být citlivá na hormony.
  • Nádory jater Akutní virová hepatitida nebo těžká (dekompenzovaná) cirhóza [viz Varování ].
  • Použití kombinací léčiv hepatitidy C obsahující ombitasvir/paritaprevir/ritonavir s dasabuvirem nebo bez ní kvůli potenciálu pro alt výšky [viz Varování ].
  • Nediagnostikované abnormální krvácení dělohy [viz Varování ].

Klinická farmakologie for Portia

Kombinovaná perorální antikoncepční prostředky zabraňují těhotenství primárně potlačením ovulace.

Informace o pacientovi pro Portii

Portia ®
(Levonorgestrel a tablety ethinyl estradiolu)

Jaké jsou nejdůležitější informace, které bych měl vědět o Portii?

Nepoužívejte Portii, pokud kouříte cigarety a jsou starší 35 let. Kouření zvyšuje vaše riziko vážných kardiovaskulárních vedlejších účinků hormonálních antikoncepčních pilulek včetně smrti infarkt Krevní sraženiny nebo mrtvice. Toto riziko se zvyšuje s věkem a počtem cigaret, které kouříte.

Co je Portia?

Portia is a birth control pill (oral contraceptive) used by women to prevent pregnancy.

Jak Portia funguje pro antikoncepci?

Vaše šance na otěhotnění závisí na tom, jak dobře sledujete pokyny pro užívání svých antikoncepčních pilulek. Čím lépe sledujete pokyny, tím menší šance máte na otěhotnění.

Na základě výsledků klinických studií asi 1 až 5 ze 100 žen může otěhotnět během prvního roku, kdy používají Portii.

Následující graf ukazuje šanci na otěhotnění pro ženy, které používají různé metody kontroly antikoncepce. Každé pole v grafu obsahuje seznam metod kontroly antikoncepce, které mají podobnou účinnost. Nejúčinnější metody jsou na vrcholu grafu. Krabice na dně grafu ukazuje šanci na otěhotnění pro ženy, které nepoužívají antikoncepci a snaží se otěhotnět.

Kdo by neměl brát Portii?

Neberte si Portii, pokud:

  • kouř a je více než 35 let
  • Měl krevní sraženiny v nohách nebo očích nohou
  • měl problém s vaší krví, díky kterému je sraženina více než obvykle
  • mít určité problémy s srdečním chlopně nebo nepravidelný srdeční rytmus
  • měl mrtvici
  • měl infarkt
  • mít vysoký krevní tlak, který nelze kontrolovat medicínou
  • mít cukrovku s poškozením očích nebo krevních cév
  • Mějte určité druhy těžkých migrénních bolesti hlavy se slabostí o znecitlivění aury nebo změny vize nebo jakýchkoli bolestí migrény, pokud máte více než 35 let
  • měl rakovinu prsu nebo jakoukoli rakovinu, která je citlivá na ženské hormony
  • Mít problémy s jatery včetně nádorů jater
  • mít nevysvětlitelné vaginální krvácení
  • jsou těhotné
  • Vezměte jakoukoli kombinaci léčiv Hepatitis C obsahující ombitasvir/paritaprevir/ritonavir s nebo bez dasabuviru. To může zvýšit hladiny enzymu jaterního alaninu aminotransferázy (ALT) v krvi.

Pokud se některá z těchto podmínek stane, když si Portia berete, přestaňte okamžitě brát Portii a promluvte si se svým poskytovatelem zdravotní péče. Když přestanete přijímat Portii, použijte nehormonální antikoncepci.

Co bych měl říct svému poskytovateli zdravotní péče před přijetím Portia?

Sdělte svému poskytovateli zdravotní péče, pokud:

  • jsou těhotné or think you may be pregnant
  • jsou nyní depresivní nebo byli v minulosti depresivní
  • Měl žloutnutí vaší kůže nebo očí (žloutenky) způsobené těhotenstvím (cholestáza těhotenství)
  • jsou kojení nebo plánují kojení. Portia může snížit množství mateřského mléka, které vyrobíte. Malé množství hormonů v Portii může projít do mateřského mléka. Promluvte si se svým poskytovatelem zdravotní péče o nejlepší metodě kontroly antikoncepce pro vás při kojení.

Řekněte svému poskytovateli zdravotní péče o všech lécích, které užíváte včetně předpisu a volně prodejných léků vitamínů a bylinných doplňků.

Portia may affect the way other medicines work a other medicines may affect how well Portia works.

Znát léky, které užíváte. Udržujte jejich seznam, abyste ukázali svého poskytovatele zdravotní péče a lékárníka, když získáte nový lék.

Jak mám vzít Portii?

Přečtěte si pokyny pro použití na konci této informace o pacientovi.

Jaké jsou možné závažné vedlejší účinky Portia?

křeče při kontrole antikoncepce
  • Stejně jako těhotenství může Portia způsobit vážné vedlejší účinky včetně krevních sraženin v srdečním infarktu plic nebo mrtvice, která může vést k smrti. Mezi další příklady vážných krevních sraženin patří krevní sraženiny v nohou nebo očích.

Vážné krevní sraženiny se mohou stát, zejména pokud kouříte obézní nebo jsou starší než 35 let. Vážné krevní sraženiny se častěji stanou, když:

  • Nejprve začněte užívat antikoncepční pilulky
  • Poté, co je nepoužíváte na měsíc nebo déle, restartujte stejné nebo odlišné antikoncepce

Pokud máte:

  • Bolest nohou, která nezmizí
  • Náhlá těžká dušnost
  • Náhlá změna vidění nebo slepoty
  • bolest na hrudi
  • Náhlá těžká bolest hlavy na rozdíl od obvyklých bolesti hlavy
  • Slabost nebo necitlivost v paži nebo noze
  • potíže s mluvením

Mezi další vážné vedlejší účinky patří:

  • Problémy s jatery včetně:
    • Vzácné nádory jater
    • žloutenka (cholestasis) especially if you previously had cholestasis of pregnancy. Call your healthcare provider if you have yellowing of your skin or eyes.
  • vysoký krevní tlak. Měli byste vidět svého poskytovatele zdravotní péče pro roční kontrolu krevního tlaku.
  • problémy se žlučníkem
  • Změny hladiny cukru a tuku (cholesterol a triglyceridy) ve vaší krvi
  • Nové nebo zhoršující se bolesti hlavy včetně migrénních bolesti hlavy
  • Nepravidelné nebo neobvyklé vaginální krvácení a skvrny mezi vašimi menstruačními obdobími, zejména během prvních 3 měsíců při užívání Portia.
  • deprese
  • možná rakovina v prsu a děložním čípku
  • Otok vaší kůže, zejména kolem očí úst a v krku (angioedém). Zavolejte svému poskytovateli zdravotní péče, pokud máte oteklý obličej rty v ústech nebo krku, což může vést k potížím polykání nebo dýchání. Vaše šance na angioedém je vyšší, pokud máte historii angioedému.
  • Tmavé skvrny kůže kolem tváří nosu čela a kolem úst, zejména během těhotenství (Chloasma). Ženy, které mají tendenci získat Chloasma, by se měly vyhýbat trávení dlouhé doby v opalovacích kabinách slunečního světla a pod slunečními lampami při užívání Portia. Pokud musíte být na slunci, použijte opalovací krém.

Jaké jsou nejčastější vedlejší účinky perorálních antikoncepčních prostředků?

  • nevolnost
  • zvracení
  • krvácení mezi menstruačními obdobími
  • přibývání na váze
  • citlivost prsu
  • obtížné nošení kontaktních čoček

Nejedná se o všechny možné vedlejší účinky Portia. Pro více informací se zeptejte svého poskytovatele zdravotní péče nebo lékárníka.

FDA můžete nahlásit vedlejší účinky na 1-800-FDA-1088.

Co jiného bych měl vědět o přijetí Portia?

  • Pokud jste naplánováni na jakékoli laboratorní testy, řekněte svému poskytovateli zdravotní péče, že berete Portii. Některé krevní testy mohou být ovlivněny Portií.
  • Portia does not protect against HIV-infection (AIDS) a other sexually transmitted infections.

Jak mám ukládat Portii?

  • Ukládejte portii při teplotě místnosti mezi 68 ° F až 77 ° F (20 ° C až 25 ° C).
  • Chránit před světlem.

Obecné informace o bezpečném a efektivním používání Portia.

Léky jsou někdy předepsány pro jiné účely než ty, které jsou uvedeny v letáku informací o pacientech. Nepoužívejte Portii pro podmínku, pro kterou nebyla předepsána. Nedávejte Portii jiným lidem, i když mají stejné příznaky, jaké máte.

Tento informační leták s pacientem shrnuje nejdůležitější informace o Portii. Můžete požádat svého lékárníka nebo poskytovatele zdravotní péče o informace o Portii, která je psána pro zdravotnické pracovníky.

Pro více informací volejte 1-888-838-2872.

Způsobují antikoncepční pilulky rakovinu?

U současných uživatelů hormonálních antikoncepčních pilulek může dojít k mírnému zvýšení rizika rakoviny prsu s delší délkou používání 8 a více let.

Ženy, které používají antikoncepční pilulky, mohou mít mírně vyšší šanci na získání rakoviny děložního čípku. Může to však být způsobeno jinými důvody, jako je mít více sexuálních partnerů.

Co když chci otěhotnět?

Můžete přestat brát pilulku, kdykoli si přejete. Než přestanete brát pilulku, zvažte návštěvu u svého poskytovatele zdravotní péče o kontrole před těhotenstvím.

Co mám vědět o svém období, když užívám Portii?

Vaše období může být lehčí a kratší než obvykle. Některé ženy mohou chybět období. Nepravidelné vaginální krvácení nebo špinění se může stát, zatímco berete Portii, zejména během prvních několika měsíců používání. To obvykle není vážný problém. Je důležité pokračovat v užívání pilulek podle pravidelného rozvrhu, aby se zabránilo těhotenství.

Jaké jsou ingredience v Portii?

Aktivní složky: Každá růžová pilulka obsahuje levonorgestrel a ethinylstradiol.

Neaktivní ingredience:

Růžové pilulky: bezvodé laktózy FD

Bílé pilulky: bezvodá laktóza hypromelóza stearátu hořčíku a mikrokrystalická celulóza.

Pokyny pro použití

Portia ®
(Levonorgestrel a tablety ethinyl estradiolu)

Důležité informace o převzetí Portia

  • Vzít 1 pilulka každý den současně. Vezměte pilulky v pořadí nasměrované na váš balíček pilulek.
  • Nevynechávejte své pilulky, i když nemáte sex často. Pokud vám chybí pilulky (včetně spuštění balení pozdě) Mohli byste otěhotnět. Čím více pilulek vám chybí, tím je pravděpodobnější, že otěhotníte.
  • Pokud máte potíže s zapamatováním si promluvit se svým poskytovatelem zdravotní péče.
  • Když poprvé začnete přijímat skvrny z Portia nebo krvácení světla mezi vašimi obdobími. Pokud to po několika měsících nezmizí, kontaktujte svého poskytovatele zdravotní péče.
  • Můžete se cítit špatně na žaludku (nevolné), zejména během prvních několika měsíců při odebírání Portii. Pokud se cítíte nemocní žaludku, nepřestaňte brát pilulku. Problém obvykle zmizí. Pokud vaše nevolnost nezmizí, zavolejte svému poskytovateli zdravotní péče.
  • Chybějící pilulky mohou také způsobit skvrny nebo krvácení světla, i když zmeškané pilulky později vezmete. Ve dnech si vezmete 2 pilulky, abyste nahradili zmeškané pilulky (viz Co mám dělat, když mi chybí nějaké pilulky Portia? Níže se můžete cítit trochu nemocní pro svůj astomach.
  • Není neobvyklé chybět období. Pokud vám však chybí období a nebrali jste Portii podle pokynů nebo máte pocit, že můžete být těhotná, zavolejte svému poskytovateli zdravotní péče. Pokud máte pozitivní těhotenský test, měli byste přestat brát Portii.
  • Pokud máte zvracení nebo průjem 3 až 4 Hodiny při užívání růžové pilulky vezměte co nejdříve další růžovou pilulku. Pokračujte ve všech svých zbývajících pilulkách v pořádku. Spusťte první pilulku dalšího balíčku pilulek den po dokončení aktuálního balíčku pilulek. Bude to o 1 den dříve, než se původně naplánovalo. Pokračujte ve svém novém rozvrhu.
  • Pokud máte zvracení nebo průjem déle než 1 den, vaše antikoncepční pilulky nemusí fungovat také. Použijte další metodu kontroly antikoncepce, jako jsou kondomy nebo spermicid, dokud se nezkontrolujete u poskytovatele zdravotní péče.
  • Přestaňte brát alespoň Portii 4 týdny předtím, než podstoupíte velkou operaci a po operaci se nerestartujte, aniž byste se zeptali svého poskytovatele zdravotní péče. Během tohoto časového období nezapomeňte použít jiné formy antikoncepce (jako kondomy nebo spermicid).

Než začnete brát Portii:

  • Rozhodněte se, jakou denní dobu chcete vzít pilulku. Je důležité to vzít ve stejnou dobu každý den a v pořadí podle pokynů na balíčku pilulek.
  • Podívejte se na svůj balíček pilulek. Váš balíček pilulek se skládá z 1 karty, která drží 28 individuálně utěsněných pilulek. 28 pilulek se skládá z 21 růžových pilulek (3 řady 7 pilulek) a 7 bílých tablet (1 řada 7 tablet). Vidět Obrázek a.

Obrázek a

Co dělá Tylenol s kodeinem
  • Také najděte:
    • Kde na kartě začít brát pilulky (levý horní roh) a
    • V jakém pořadí pilulky (sledujte týdny)
  • Ujistěte se, že jste vždy připraveni další druh antikoncepce (jako jsou kondomy nebo spermicid), abyste se použili jako zálohování pro případ, že vám chybí pilulky.

Kdy mám začít brát Portii?

Pokud začnete užívat Portii a dříve jste nepoužívali metodu hormonálního antikoncepce:

  • Existují 2 způsoby, jak začít brát své antikoncepční pilulky. Můžete začít buď v neděli (nedělní začátek), nebo první den (1. den) svého přirozeného menstruačního období (den 1. den). Váš poskytovatel zdravotní péče by vám měl říct, kdy začít brát svou antikoncepční pilulku.
  • Používáte-li neděle, začněte používat nekopární záložní antikoncepci, jako jsou kondomy nebo spermicid po dobu prvních 7 dnů, které berete Portia. Pokud používáte den 1, nepotřebujete záložní antikoncepci.

Pokud začnete brát Portii a přepínáte z jiné pilulky s kontrolou antikoncepce:

  • Spusťte nový balíček Portia ve stejný den, kdy byste spustili další balíček předchozí metody kontroly antikoncepce.
  • Nepovazujte pilulky z předchozího balíčku pilulky s antikoncepcí.

Pokud začnete brát Portii a dříve použili vaginální kroužek:

  • Začněte používat Portii v den, kdy byste zahájili další prsten.

Pokud začnete užívat Portii a dříve používali transdermální opravu:

  • Začněte používat Portia v den, kdy byste zahájili nový cyklus (první oprava).

Pokud začnete užívat Portii a přepínáte z metody pouze progestinu, jako je implantát nebo injekce:

  • Začněte brát Portii v den odstranění vašeho implantátu nebo v den, kdy byste měli další injekci.

Pokud začnete užívat Portii a přepínáte z intrauterinního zařízení nebo systému (IUD nebo IUS):

  • Začněte brát Portii v den odstranění vašeho IUD nebo IUS.
  • Pokud je váš IUD nebo IUS odstraněn první den (1. den) svého období, nepotřebujete záložní antikoncepci. Pokud je váš IUD nebo IUS odstraněn v jakýkoli jiný den, použijte nehormonální záložní antikoncepci, jako jsou kondomy nebo spermicid po dobu prvních 7 dnů, které berete Portii.

Udržujte kalendář a sledujte své období: Pokud je to poprvé Přečtěte si pilulky na antikoncepci Kdy mám začít brát Portii? výše. Postupujte podle těchto pokynů pro a buď a Nedělní začátek nebo Den 1 Start.

Pokyny pro používání výdejního vývoje Portia Pill:

Nedělní začátek:

Použijete a Nedělní začátek Pokud vám váš poskytovatel zdravotní péče řekl, abyste v neděli vzali první pilulku.

  • Vzít pill 1 v neděli Po zahájení doby. Chcete -li odstranit pilulku z dávkovače, zatlačte pilulku skrz otvor ve spodní části dávkovače.
  • Pokud vaše období začíná v neděli, vezměte pilulku '1' Ten den a odkažte se na 1. den spustit pokyny níže.
  • Vzít 1 Pilulka každý den v pořadí na výdejním pilulku současně každý den po dobu 28 dnů.
  • Poté, co vezme poslední pilulku Den 28 Z výdejního výdejního automobilu začněte první pilulku z nového balení ve stejný den v týdnu jako první balíček (neděle). Vezměte první pilulku v novém balení, ať už máte nebo ne.
  • Pro první použijte nehormonální záložní antikoncepci, jako jsou kondomy nebo spermicid 7 dny prvního cyklu, který berete Portii.

Den 1 Start:

Použijete a Den 1 Start Pokud vám váš lékař řekl, abyste si vzali první pilulku (den 1) na První den vašeho období

  • Vzít 1 pilulka každý den v pořadí dávkovače pilulky současně každý den 28 dny. Chcete -li odstranit pilulku z TheDISPENSER, stiskněte pilulku skrz otvor ve spodní části dávkovače.
  • Poté, co vezme poslední pilulku Den 28 Z výdejního výdejního automobilu začněte první pilulku z nového balíčku ve stejný den týmu jako první balení. Vezměte první pilulku v novém balení, ať už máte nebo ne.

Co mám dělat, když mi chybí nějaké pilulky Portia?

Pokud vám chybí 1 pilulka v týdnech 1 2 nebo 3, postupujte podle těchto kroků:

  • Vzít it as soon as you remember. Vzít the next pill at your regular time. This means you may take 2 pills in 1 day.
  • Poté pokračujte ve užívání 1 pilulky každý den, dokud smečku nedokončíte.
  • Pokud máte sex, nemusíte používat metodu kontroly záložního antikoncepce.

Pokud vám chybí 2 pilulky v 1. týdnu nebo 2. týdnu vašeho balení, sledujte tyto kroky:

  • Vzít the 2 missed pills as soon as possible a the next 2 pills the next day.
  • Poté pokračujte vezměte 1 pilulku každý den, dokud smečku nedokončíte.
  • Použijte metodu nehormonálního antikoncepce (jako je kondom nebo spermicid) jako zálohu, pokud máte sex během prvních 7 dnů po chybějící tablety.

Pokud vám chybí 2 pilulky v řadě v 3. týdnu nebo vám chybí 3 nebo více pilulek v řadě během týdnů 1 2 nebo 3 balení sledujte tyto kroky:

  1. Pokud jste startér 1. dne:
    • Vyhoďte zbytek balíčku pilulek a ten samý den spusťte nový balíček.
    • Možná nemáte období tento měsíc, ale to se očekává. Pokud však chybí vaše období 2 měsíce v řadě, zavolejte poskytovateli zdravotní péče, protože byste mohli být těhotná.
    • Můžete otěhotnět, pokud máte sex během prvních 7 dnů po restartování pilulek. Pokud máte sex během prvních 7 dnů po restartování pilulek, musíte použít metodu nehormonálního antikoncepce (jako je kondom nebo spermicid).
  2. Pokud jste nedělní startér:
    • Vezměte 1 pilulku každý den až do neděle. V neděli vyhoďte zbytek smečky a ten stejný den založte nový balíček pilulek.
    • Jako zálohu použijte metodu nehormonálního antikoncepce (jako je kondom nebo spermicid), pokud máte sex během prvních 7 dnů po restartu prášky.

Máte -li jakékoli dotazy nebo si nejste jisti informacemi v tomto letáku, zavolejte svému poskytovateli zdravotní péče.

Tyto informace o pacientech a pokyny pro použití byly schváleny americkou správou potravin a léčiv.