Informace Na Stránce Nepředstavují Lékařskou Radu. Nic Neprodáváme. Přesnost Překladu Není Zaručena. Zřeknutí Se Odpovědnosti
Antibiotika/kortikosteroidy, Otic
Periotic
Shrnutí drog
Co je pediotika?
Periotická suspenze (neomycin a sírany polymyxinu B a hydrokortison Ušní suspenze) je kombinace antibiotik a steroidu používaného k léčbě ušních infekcí způsobených bakteriemi. Periotic je k dispozici v obecný formulář.
Jaké jsou vedlejší účinky periotiky?
Mezi běžné vedlejší účinky periotiky patří:
- Dočasné bodnutí nebo pálení ucha na minutu nebo dvě, když je aplikováno
Okamžitě řekněte svému lékaři, pokud zažijete vážné vedlejší účinky periotiky, včetně problémů se sluchem.
Periotic
- kopřivka
- potíže s dýcháním
- Otok vašeho obličeje rty jazyk nebo krk
- Po použití kapky ušních kapek silné pálení nebo jiné podráždění
- Ztráta sluchu
- vyrážka na kůži a
- Zpevnění otoky začervenání škálování suchosti nebo jiné podráždění v uchu nebo kolem něj
Získejte lékařskou pomoc okamžitě, pokud máte výše uvedené příznaky.
Pokud máte následující vážné vedlejší účinky, vyhledejte lékařskou péči nebo zavolejte na číslo 911:
- Vážné příznaky očí, jako je ztráta náhlého vidění rozmazané vidění vidění Vision Vision Eye Eye Eye Eye Eye Eye Eye Eye nebo vidět halos kolem světel;
- Vážné příznaky srdce, jako je rychlé nepravidelné nebo bušení srdečního rytmu; třepování v hrudi; dušnost; a náhlé závratě lightheartiesness nebo omdlení;
- Těžká zmatek bolesti hlavy zkroucený řečový rameno nebo slabost nohou Potíže se ztrátou chůze pocitu koordinace Pocit nestabilní velmi tuhé svaly vysoké horečky bohaté pocení nebo třes.
Tento dokument neobsahuje všechny možné vedlejší účinky a mohou dojít k jiným. Další informace o vedlejších účincích najdete u svého lékaře.
Dávkování pro periotika
U dospělých je dávka periotické suspenze 4 kapky vštěpována do postiženého ucha 3 nebo 4krát denně. U kojenců a dětí jsou navrženy 3 kapky z důvodu menší kapacity ušního kanálu. Použití po dobu 10 po sobě jdoucích dnů.
Jaké léky nebo doplňky interagují s periotikou?
Periotická suspenze může interagovat s jinými léky. Řekněte svému lékaři všechny léky a doplňky, které používáte.
Periotika během těhotenství nebo kojení
Během těhotenství by měla být periotická suspenze použita, pouze pokud je předepsána. Není známo, zda tento lék prochází do mateřského mléka. Před kojením se poraďte se svým lékařem.
Další informace
Naše periotická suspenze (Neomycin a polymyxin B sulfáty a hydrokortison uzemní suspenze) Vedlejší účinky lékové centrum poskytuje komplexní pohled na dostupné informace o možných vedlejších účincích při užívání tohoto léku.
Dělá vás prednison více močení
Informace o drogách FDA
- Popis léku
- Indikace
- Vedlejší účinky
- Varování
- Opatření
- Předávkovat
- Klinická farmakologie
- Průvodce léky
Popis pro periotika
Suspenze Periotic® (Neomycin a polymyxin B sulfáty a uzemní suspenze hydrokortizonu) je sterilní antibakteriální a protizánětlivá suspenze pro ušní použití. Každá ML obsahuje: Neomycin sulfát ekvivalentní 3,5 mg neomycinové báze polymyxinu B sulfátu ekvivalentní 10000 polymyxinu B jednotky a hydrokortisonu 10 mg (1%). Vehikul obsahuje Thimerosal 0,001% (přidán jako konzervační látka) a neaktivní složky cetylalkohol glyceryl monostearátovaný minerální olej polyoxyl 40 stearate propylenglykol a vodu pro injekci. K úpravě pH může být přidána kyselina sírová. Periotická (neomycin polymyxin B a hydrokortison) ® suspenze má minimální pH 4,1, což je méně kyselé než minimální pH 3,0 pro suspenzi Cortisporin®.
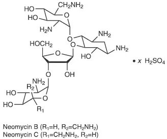
Neomycin sulfát je sulfátová sůl neomycinu B a C, které jsou produkovány růstem Streptomyces Fradiae Waksman (fam. Streptomyceceaeae). Má účinný ekvivalent nejméně 600 mcg standardu neomycinu na mg vypočtený bezvodým základem. Strukturální vzorce jsou:
|
Polymyxin B sulfát je sulfátová sůl polymyxinu B1 a B2, které jsou produkovány růstem růstu Bacillus polymyxa (Prazmowski) Migula (fam. Bacillaceae). Má účinnost nejméně 6000 jednotek polymyxinu B na mg vypočtené bezvodým základem. Strukturální vzorce jsou:
|
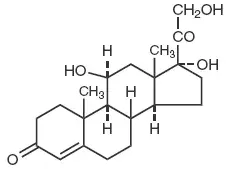
Hydrokortison 11p 17 21-trihydroxypregn-4-ene-320-dione je protizánětlivý hormon. Jeho strukturální vzorec je:
|
Použití pro periotika
Pro léčbu povrchových bakteriálních infekcí vnějšího sluchového kanálu způsobeného organismy náchylnými k působení antibiotik a pro léčbu infekcí mastoidektomie a fenestračních dutin způsobených organismy citlivými na antibiotika.
Dávkování pro periotika
Terapie s tímto produktem by měla být omezena na 10 po sobě jdoucích dnů.
Vnější sluchový kanál by měl být důkladně očištěn a sušen pomocí aplikátoru sterilní bavlny.
U dospělých by měly být 4 kapky suspenze vštípeny do postiženého ucha 3 nebo 4krát denně. U kojenců a dětí jsou navrženy 3 kapky z důvodu menší kapacity ušního kanálu.
Pacient by měl ležet s postiženým uchem vzhůru a poté by měly být vštěpovány kapky. Tato poloha by měla být udržována po dobu 5 minut, aby se usnadnilo průnik kapky do ušního kanálu. Pokud je to nutné, opakujte pro opačné ucho.
Pokud bude dáno upřednostňováno, může být do kanálu vložen bavlněný knot a pak bavlna může být nasycena suspenzí. Tento knot by měl být udržován vlhký přidáním dalšího odpružení každé 4 hodiny. Knot by měl být vyměněn nejméně jednou za 24 hodin.
Před použitím se protřepejte dobře .
Jak dodáno
Láhev 7,5 ml se sterilizovaným kapátkem ( NDC 61570-038-75). Ukládat při 15 ° až 25 ° C (59 ° až 77 ° F).
Distribuováno: předepisování informací od dubna 2003. Monarch Pharmaceuticals Inc. Bristol TN 37620. Vyrobeno: DSM Pharmaceuticals Inc. Greenville NC 27834.
Nežádoucí účinky pro periotika
Neomycin občas způsobuje senzibilizaci kůže. Byly hlášeny také ototoxicita a nefrotoxicita (viz Varování ). Nežádoucí účinky se vyskytly s lokálním použitím kombinací antibiotik včetně neomycinu a polymyxinu B. Přesné údaje o incidenci nejsou k dispozici, protože není k dispozici žádný jmenovatel léčených pacientů. Reakce, která se vyskytuje nejčastěji, je alergická senzibilizace. V jedné klinické studii s použitím 20% neomycinových náplastí neomycin-indukované alergické kožní reakce se vyskytly u dvou z 2175 (NULL,09%) jedinců v běžné populaci. 2 V jiné studii bylo zjištěno, že incidence je přibližně 1%. 3
Následující místní nežádoucí účinky byly hlášeny u lokálních kortikosteroidů, zejména při okluzivních obvazů: spalování svědění podráždění suchosti Foliculitis Hypertrichóza ACNIORFIONION ERUPMENTACE Periorální dermatitida alergická kontaktní dermatitida makurace kůže sekundární infekce Atrofie Striae a Miliaria. Když tento lék získal přístup ke středním uchu, bylo hlášeno bodnutí a pálení.
Lékové interakce pro periotika
Žádné informace.
Reference
2. Leyden JJ Kligman Am. Kontaktujte dermatitidu na neomycin sulfát. LIDÉ. 1979 ;; 242: 1276-1278.
3. Prystowsky Sd Allen Am Smith RW Nonomura JH Odom RB Akers WA. Alergický kontakt přecitlivělost na nikl neomycin ethylendiamin a benzokain: vztahy mezi věkovou pohlavní anamnézou expozice a reaktivitou na standardní testy záplaty a používání testů v běžné populaci. Arch Dermatol. 1979; 115: 959-962.
Varování for Pediotic
Neomycin může indukovat trvalé senzorineurální ztráty sluchu v důsledku kochleárního poškození hlavně destrukce vlasových buněk v orgánu Corti. Riziko je větší při dlouhodobém používání. Terapie by měla být omezena na 10 po sobě jdoucích dnů (viz Opatření - obecná ). Pacienti, kteří jsou léčeni ušními chřipkami obsahujícími neomycin, by měli být pod pečlivým klinickým pozorováním. Periotická (neomycin polymyxin B a hydrokortison) ® suspenze by neměla být používána u žádného pacienta s perforovanou tympanickou membránou.
Pokud dojde k senzibilizaci nebo podráždění.
Neomycin sulfát může způsobit kožní senzibilizaci. Přesný výskyt hypersenzitivních reakcí (primárně kožní vyrážky) v důsledku topického neomycinu není znám.
Při použití produktů obsahujících neomycin k kontrole sekundární infekce u chronických dermatóz, jako je chronická utitis externa nebo stasis dermatitida, je třeba mít na paměti, že kůže v těchto podmínkách je více odpovědná než normální kůže, aby byla senzibilizována na mnoho látek včetně neomycinu. Projev senzibilizace na neomycin je obvykle zčervenání nízkého stupně s otokem suchého škálování a svědění; Může se to projevit jednoduše jako selhání léčení. Je vhodné periodické vyšetření pro takové znaky a pacient by měl být řekl, aby produkt přerušil, pokud jsou pozorovány. Tyto příznaky rychle regresují při stahování léků. Poté by se pro pacienta mělo zabránit aplikacím obsahujícímu neomycin.
Opatření for Pediotic
Generál
Stejně jako u jiných antibakteriálních přípravků může prodloužené používání vést k přerůstání neu pojasných organismů včetně hub.
Pokud se infekce nezlepšuje po 1 týdnu kultur a testy náchylnosti by se měly opakovat, aby se ověřila identita organismu a aby se určilo, zda by měla být terapie změněna.
Léčba by neměla pokračovat déle než 10 dní.
Může nastat alergické zkřížené reakce, což by mohlo zabránit použití jakékoli nebo všech následujících antibiotik pro léčbu budoucích infekcí: kanamycin paromomycin streptomycin a možná gentamicin.
Laboratorní testy
Systémové účinky nadměrných hladin hydrokortisonu mohou zahrnovat snížení počtu cirkulujících eosinofilů a snížení vylučování močí 17-hydroxykortikosteroidů.
Zhodnocení mutageneze karcinogeneze plodnosti
Dlouhodobé studie u zvířat (potkanů králíků myší) neprokázaly žádný důkaz karcinogenity, které lze připsat perorálnímu podávání kortikosteroidů.
Těhotenství
Teratogenní účinky
Těhotenství Category C . Ukázalo se, že kortikosteroidy jsou teratogenní u králíků, když jsou lokálně aplikovány při koncentracích 0,5% ve dnech 6 až 18 těhotenství a u myší, když jsou lokálně aplikovány v koncentraci 15% ve dnech 10 až 13 těhotenství. Neexistují žádné adekvátní a dobře kontrolované studie u těhotných žen. Kortikosteroidy by se měly používat během těhotenství, pouze pokud potenciální výhoda ospravedlňuje potenciální riziko pro plod.
Ošetřovatelské matky
Hydrokortison se objevuje v lidském mléce po ústním podávání léčiva. Protože systémová absorpce hydrokortisonu může dojít, když je třeba uplatňovat topicky opatrnost, pokud by ošetřovatelská žena použila periotika (neomycin polymyxin B a hydrokortison) ®.
Dětské použití
V pediatrické věkové skupině 2 roky až 16 let byla stanovena bezpečnost a účinnost periotiky (neomycin polymyxin B a hydrokortison) ® v externě otitis. Existují nedostatečné údaje, které stanoví bezpečnost a účinnost u otitis externa u pediatrických pacientů mladších 2 let. 1
Geriatrické použití
Klinické studie periotiky (neomycin polymyxin B a hydrokortizonu) ® nezahrnovaly dostatečný počet subjektů ve věku 65 let a více, aby se určilo, zda reagují odlišně od mladších subjektů. Jiné hlášené klinické zkušenosti nezjistily rozdíly v odpovědích mezi staršími a mladšími pacienty.
Reference
1. Jones Rn Milazzo J Seidlin M. Ofloxacin Otic Roztok pro léčbu otitis externa u dětí a dospělých. Chirurgie krku hlavy Arch Otolaryngol 1997; 123: 1193-1200.
Informace o předávkování pro periotika
Žádné informace.
Kontraindikace pro periotika
Tento produkt je kontraindikován u jedinců, kteří prokázali přecitlivělost na některou z jejích složek a v infekcích herpes simplex vakcinie a varicelly.
Klinická farmakologie for Pediotic
Kortikoidy potlačují zánětlivou reakci na různé látky a mohou odkládat hojení. Protože kortikoidy mohou inhibovat obranný mechanismus těla proti infekci, může být použita souběžná antimikrobiální léčivo, pokud je tato inhibice v konkrétním případě považována za klinicky významnou.
Antiinfekční komponenty v kombinaci jsou zahrnuty tak, aby poskytovaly účinek proti specifickým organismům náchylným k nim. Neomycin sulfát a polymyxin B sulfát společně jsou považováni za aktivní proti následujícím mikroorganismům: Staphylococcus aureus escherichia coli haemophilus influenzae klebsiella-enterobacter druhy Neisseria Druh a Pseudomonas aeruginosa. Tento produkt neposkytuje odpovídající pokrytí proti Serratia Marcescens a streptococci including Streptococcus pneumoniae .
Relativní účinnost kortikosteroidů závisí na koncentraci molekulární struktury a uvolňování z vozidla.
Informace o pacientech pro periotika
Vyvarujte se kontaminu kapátka materiálem z ušních prstů nebo jiného zdroje. Tato opatrnost je nezbytná, pokud má být zachována sterilita kapek.
Pokud dojde ke senzibilizaci nebo podráždění, okamžitě přestane používat a kontaktujte svého lékaře.
Nepoužívejte v očích.
Před použitím se protřepejte dobře .