Informace Na Stránce Nepředstavují Lékařskou Radu. Nic Neprodáváme. Přesnost Překladu Není Zaručena. Zřeknutí Se Odpovědnosti



Norco 5-325

Shrnutí drog

Co je Norco 5/325?

Norco 5/325 (hydrokodon acetaminofen a bitartrát) je opioidní analgetický a antitusivní (potlačující kašel) kombinovaný s reduktorem horečky a odlehčovačem bolesti a používá se k léčbě mírné až poměrně závažné bolesti. Norco 5/325 je k dispozici jako a obecný .

Jaké jsou vedlejší účinky Norco 5/325?

Mezi běžné vedlejší účinky Norco 5/325 patří:



  • Lightheadedness
  • nevolnost
  • zvracení
  • zácpa
  • rozrušit žaludek
  • závratě nebo ospalost
  • úzkost
  • bolest hlavy
  • změny nálady
  • rozmazané vidění
  • zvonění v uších nebo
  • sucho v ústech .

Pokud máte následující vážné vedlejší účinky, vyhledejte lékařskou péči nebo zavolejte na číslo 911:



  • Vážné příznaky očí, jako je ztráta náhlého vidění rozmazané vidění vidění Vision Vision Eye Eye Eye Eye Eye Eye Eye Eye nebo vidět halos kolem světel;
  • Vážné příznaky srdce, jako je rychlé nepravidelné nebo bušení srdečního rytmu; třepování v hrudi; dušnost; a náhlé závratě lightheadness nebo omdlení;
  • Těžká zmatek bolesti hlavy zkažená paže řeči nebo slabost nohou Potíže se ztrátou chůze pocitu koordinace Nestabilní velmi tuhé svaly vysoké horečky bohaté pocení nebo třes.

Tento dokument neobsahuje všechny možné vedlejší účinky a mohou dojít k jiným. Další informace o vedlejších účincích najdete u svého lékaře.

Dávkování pro Norco 5/325

Obvyklá dospělá dávka Norco 5/325 je jedna tableta každé čtyři až šest hodin podle potřeby pro bolest. Celková denní dávka by neměla překročit 6 tablet.



Jaké léky nebo doplňky interagují s Norco 5/325?

Norco 5/325 může interagovat s jinými léky na omamných bolestch sedativ Sedativa se sedajáky na spaní Půlek Sval Relaxery Ostatní léky, které vám mohou ospalé nebo zpomalit vaše dýchací antidepresiva Mao Inhibitory Scopolamin Scopolamin Scopolamin Scopolamin měchýř nebo močové léky bronchodilatátory nebo podrážděné střevní léky. Řekněte svému lékaři všechny léky a doplňky, které používáte.

Norco 5/325 během těhotenství a kojení

Řekněte svému lékaři, pokud jste těhotná nebo plánujete otěhotnět při používání Norco 5/325. Není známo, zda je Norco 5/325 škodlivé pro plod, ale u novorozence by mohlo způsobit problémy s dýcháním nebo závislost/ abstinenční příznaky. Obě léky v Norco 5/325 mohou projít do mateřského mléka a mohou poškodit kojící dítě. Kojení při užívání Norco 5/325 se nedoporučuje.

Další informace

Naše Norco 5/325 vedlejších účinků Drug Center poskytuje komplexní pohled na dostupné informace o možných vedlejších účincích při užívání tohoto léku.

Informace o drogách FDA

/H3>

NORCO® (hydrokodonový bitartrát a acetaminofen) je dodáván ve formě tablety pro perorální podání.

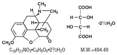
Hydrokodonový bitartrát je opioidní analgetický a antitusivní a vyskytuje se jako jemné bílé krystaly nebo jako krystalický prášek. Je to ovlivněno světlem. Chemický název je 45a-epoxy-3-methoxy-17-methylmorfinan-6-one tartrát (1: 1) hydrát (2: 5). Má následující strukturální vzorec:

Acetaminofen 4´-hydroxy acetani lide Mírně hořce bílý krystalický prášek bez zápachu je nepitní nealicylátový analgetický a antipyretický. Má následující strukturální vzorec:

Norco® pro ústní správu je k dispozici v následujících silných stránkách:

Hydrokodon

Bitartrát acetaminofen

Norco® 7,5/325 7,5 mg 325 mg
Norco® 10/325 10 mg 325 mg

Kromě toho každá tableta obsahuje následující neaktivní složky: Croscarmellose sodný sodný Crospovidon hořčík Stearát mikrokrystalická celulóza povidon pregelatinizovaný škrob a kyselinu stearovou; Tablety 7,5 mg/325 mg zahrnují FD

Použití pro Norco 5/325

Norco® je indikován pro úlevu mírné až středně těžké bolesti.

Dávkování pro Norco 5/325

Dávkování by mělo být upraveno podle závažnosti bolesti a reakce pacienta. Je však třeba mít na paměti, že tolerance k hydrokodonu se může vyvinout s pokračujícím používáním a že výskyt netvarových účinků souvisí s dávkou.

Obvyklá dávka pro dospělé je jeden tablet každé čtyři až šest hodin podle potřeby pro bolest. Celková denní dávka by neměla překročit 6 tablet.

Jak dodáno

Norco® 7.5/325 je k dispozici jako světlé pomerančové tablety ve tvaru kapslí na jedné straně a na druhé straně odhlasované s Norco® 729. Každá tableta obsahuje 7,5 mg hydrokodonového bitartrátu a 325 mg acetaminofenu. Jsou dodávány takto:

Lahve 30
Lahve 100
Lahve 500

Norco 10/325 je k dispozici jako žluté tablety ve tvaru kapsle na jedné straně

Lahve 100
Lahve 500

Uložte při 20 °-25 ° C (68 ° -77 ° F). [Vidět Teplota místnosti s kontrolou USP .]

Vydejte se v těsném kontejneru odolném proti světlu s uzavřením odolném proti dítěti.

Watson Pharma Inc., dceřiná společnost Watson Pharmaceuticals Inc. Corona CA 92880 USA 14716. Revidováno: červenec 2007. Kardinální zdraví Zanesville OH 43701.

Vedlejší účinky pro Norco 5/325

Nejčastěji hlášená nežádoucí účinky jsou nevolnost sedací závratě a zvracení. Zdá se, že tyto účinky jsou výraznější v ambulantních než u ne ambulačních pacientů a některé z těchto nežádoucích účinků mohou být zmírněny, pokud pacient leží.

Mezi další nežádoucí účinky patří

Centrální nervový systém: Drowsi mentální zaklouznutí letargie zhoršení duševního a fyzického výkonu úzkost strach z dysforie psychická závislost změny nálady.

Gastrointestinální systém: Prodloužené podávání Norco® může produkovat zácpu.

Genitourinární systém: U opiátů byly hlášeny křeče ureterálních křeče vezivých sfincí a retence moči.

Respirační deprese: Hydrokodon bitartrate may produce dose-related respiratory depression by acting directly on brain stem respiratory centers (see Předávkování ).

Speciální smysly: U pacientů s chronickým předávkováním byly hlášeny případy poškození sluchu nebo trvalé ztráty.

Dermatologické: Tisk na vyrážku.

Následující nepříznivé léčivé účinky lze mít na paměti jako potenciální účinky acetaminofenu: alergické reakce agranulocytóza trombocytopenie trombocytopenie. Potenciální účinky vysoké dávky jsou uvedeny v sekci předávkování.

Zneužívání a závislost drog

Kontrolovaná látka

Norco® je klasifikován jako látka s kontrolovanou plánem III.

Zneužívání a závislost

Psychická závislost fyzikální závislost a tolerance se může vyvinout po opakovaném podávání narkotik; Tento produkt by proto měl být předepsán a podáván opatrně. Je však nepravděpodobné, že by se psychická závislost rozvinula, když se Norco® používá na krátkou dobu k léčbě bolesti.

Fyzikální závislost stav, ve kterém je nutný pokračující podávání léčiva k zabránění vzhledu abstinenčního syndromu předpokládá klinicky významné proporce až po několika týdnech pokračujícího narkotického použití, i když se po několika dnech narkotické terapie může vyvinout určitý mírný stupeň fyzické závislosti. Tolerance, ve které jsou stále více velké dávky vyžadovány k vytvoření stejného stupně analgezie, se zpočátku projevuje zkrácenou dobou analgetického účinku a následně snížením intenzity analgezie. Míra vývoje tolerance se u pacientů liší.

Interakce léků pro Norco 5/325

Pacienti, kteří dostávají jiné narkotiky antihistaminiky antipsychotiky antianxientní látky nebo jiné depresivy CNS (včetně alkoholu) současně s Norco®, mohou vykazovat aditivní depresi CNS. Pokud se uvažuje o kombinované terapii, měla by být dávka jednoho nebo obou látek snížena.

Použití inhibitorů MAO nebo tricyklických antidepresiv s hydrokodonovými přípravky může zvýšit účinek antidepresiva nebo hydrokodonu.

Interakce léčiva/laboratorní testy

Acetaminofen může produkovat falešně pozitivní výsledky testu pro močovou 5-hydroxyindoleacetovou kyselinu.

Varování pro Norco 5/325

Respirační deprese

Při vysokých dávkách nebo u citlivých pacientů může hydrokodon produkovat respirační depresi související s dávkou působením přímo na respirační centrum mozkového stonku. Hydrokodon také ovlivňuje střed, který řídí respirační rytmus a může produkovat nepravidelné a periodické dýchání.

Poranění hlavy a zvýšený intrakraniální tlak

Respirační depresivní účinky narkotik a jejich schopnost zvýšit tlak mozkomíšního moku mohou být výrazně přehnané v přítomnosti poškození hlavy jiné intrakraniální léze nebo již existujícím zvýšením intrakraniálního tlaku. Kromě toho narkotika produkují nežádoucí účinky, které mohou zakrývat klinický průběh pacientů s poraněním hlavy.

Akutní břišní podmínky

Podávání narkotik může zakrývat diagnózu nebo klinický průběh pacientů s akutními břišními podmínkami.

Opatření pro Norco 5/325

Generál

Pacienti se zvláštním rizikem

Stejně jako u jakéhokoli narkotického analgetického činidla Norco® by se mělo být používáno s opatrností u starších nebo desilitovaných pacientů a pacientů s těžkým poškozením jaterní nebo renální funkce hypothyreózy Addisonovy choroby prostatické hypertrofie nebo močovosti. Měla by být pozorována obvyklá opatření a je třeba mít na paměti možnost respirační deprese.

Kašel reflex

Hydrokodon suppresses the cough reflex; as with all narcotics caution should be exercised when NORCO® is used postoperatively and in patients with pulmonary disease.

Laboratorní testy

U pacientů se závažnými účinky na jaterní nebo renální onemocnění by měly být monitorovány testy sériových jater a/nebo renálních funkcí.

Zhodnocení mutageneze karcinogeneze plodnosti

U zvířat nebyly provedeny žádné adekvátní studie, aby se určilo, zda hydrokodon nebo acetaminofen má potenciál pro mutagenezi karcinogeneze nebo zhoršení plodnosti.

Těhotenství

Teratogenní účinky

Těhotenství Category C

Neexistují žádné adekvátní a dobře kontrolované studie u těhotných žen. Norco® by měl být používán během těhotenství, pouze pokud potenciální přínos odůvodňuje potenciální riziko pro plod.

Neteratogenní účinky

Děti narozené matkám, které pravidelně užívaly opioidy před doručením, budou fyzicky závislé. Značky odstoupení zahrnují podrážděnost a nadměrné plačící chvění hyperaktivní reflexy zvýšené rychlosti dýchacích cest zvýšily stolice kýchající zívání zvracet a horečku. Intenzita syndromu ne vždy koreluje s trváním užívání nebo dávky mateřských opioidů. Neexistuje shoda ohledně nejlepšího způsobu řízení stažení.

Práce a dodávka

Stejně jako u všech narkotických podávání tohoto produktu matce krátce před porodem může vést k určitému stupni respirační deprese u novorozence, zejména pokud se používají vyšší dávky.

Ošetřovatelské matky

Acetaminofen je vylučován v mateřském mléce v malém množství, ale význam jeho účinků na kojenecké kojence není znám. Není známo, zda je hydrokodon vylučován v lidském mléce. Protože mnoho léků je vylučováno v lidském mléce a vzhledem k potenciálu vážných nežádoucích účinků u kojeneckých kojenců z hydrokodonu a acetaminofenu by mělo být rozhodnuto, zda ukončit ošetřovatelství nebo přerušit lék s přihlédnutím k důležitosti léku pro matku.

Dětské použití

Bezpečnost a účinnost u pediatrických pacientů nebyla stanovena.

Geriatrické použití

Klinické studie hydrokodonového bitartrátu 5 mg a acetaminofen 500 mg nezahrnovaly dostatečný počet subjektů ve věku 65 let a více, aby se určilo, zda reagují odlišně od mladších subjektů. Jiné hlášené klinické zkušenosti nezjistily rozdíly v odpovědích mezi staršími a mladšími pacienty. Obecně by měl být výběr dávky pro staršího pacienta opatrný, obvykle začínající na dolním konci rozsahu dávkování, což odráží větší frekvenci snížené funkce ledvin nebo srdeční jater a souběžné onemocnění nebo jiné léčivé terapie.

Hydrokodon and the major metabolites of acetaminophen are known to be substantially excreted by the kidney. Thus the risk of toxic reactions may be greater in patients with impaired renal function due to the accumulation of the parent compound and/or metabolites in the plasma. Because elderly patients are more likely to have decreased renal function care should be taken in dose selection and it may be useful to monitor renal function.

Hydrokodon may cause confusion and over-sedation in the elderly; elderly patients generally should be started on low doses of hydrocodone bitartrate and acetaminophen tablets and observed closely.

Informace o předávkování pro Norco 5/325

Po akutní toxicitě předávkování může být výsledkem hydrokodonu nebo acetaminofenu.

Příznaky a příznaky

Hydrokodon

Vážné předávkování hydrokodonem je charakterizováno respirační depresí (snížením respirační frekvence a/nebo přílivovým objemem Cheyne-Stokes respirační cyanóza) extrémní somnolence postupující k hlouposti nebo komazi kosterní svalové svalové ořechosti nachlazení a drsné kůže a někdy bradykardie a hypotezi. Při vážném předávkovém apnoe může dojít ke kolapsu srdeční zástavy a smrt.

Acetaminofen

V nadměrném acetaminofenu: Nejzávažnějším nepříznivým účinkem je potenciálně fatální jaterní nekróza. Může se také objevit hypoglykemická kóma a trombocytopenie renální tubulární nekrózy.

První příznaky po potenciálně hepatotoxickém předávkování mohou zahrnovat: zvracení nevolnosti a obecná malátnost. Klinické a laboratorní důkazy o jaterní toxicitě nemusí být patrné až 48 až 72 hodin po pojedu.

U dospělých byla jaterní toxicita hlášena jen zřídka s akutním předávkováním méně než 10 gramů nebo úmrtí s méně než 15 gramy.

Zacházení

Jediné nebo vícenásobné předávkování hydrokodonem a acetaminofenem je potenciálně smrtelné předávkování polydrug a doporučuje se konzultace s regionálním střediskem kontroly jedu.

Okamžitá léčba zahrnuje podporu kardiorespirační funkce a opatření ke snížení absorpce léčiva. Zvracení by mělo být indukováno mechanicky nebo pomocí sirupu IPECAC, pokud je pacient ostražitý (přiměřené reflexy hltanu a hrtanu). Ústní aktivované uhlí (1 g/kg) by mělo následovat vyprazdňování žaludku. První dávka by měla být doprovázena vhodnou katartikou. Pokud se používají opakované dávky, může být katartát zahrnut do alternativních dávek podle potřeby. Hypotenze je obvykle hypovolemická a měla by reagovat na tekutiny. Vasopresory a další podpůrná opatření by měla být použita, jak je uvedeno. Před žaludeční výplach pacienta s nevědomým pacientem a v případě potřeby k zajištění asistovaného dýchání by měla být vložena manžeta endotracheální trubice.

Pečlivá pozornost by měla být věnována udržování přiměřené plicní ventilace. V závažných případech intoxikace může být zvážena peritoneální dialýza nebo přednostně hemodialýza. Pokud k hypoprotrombinémii dochází v důsledku acetaminofenu předávkování vitaminem K, by měl být podáván intravenózně.

Naloxon narkotický antagonista může zvrátit respirační depresi a kóma spojené s předávkováním opioidy. Naloxon hydrochlorid 0,4 mg až 2 mg je podáván parenterálně. Protože doba účinku hydrokodonu může překročit trvání naloxonu, měl by být pacient udržován při nepřetržitém dohledu a opakované dávky antagonisty by měly být podávány podle potřeby k udržení přiměřeného dýchání.

Narkotický antagonista by neměl být podáván v nepřítomnosti klinicky významné respirační nebo kardiovaskulární deprese.

Pokud by dávka acetaminofenu mohla překročit 140 mg/kg acetylcysteinu, měla by být podávána co nejdříve. Hladiny acetaminofenu v séru by měly být získány, protože hladiny čtyři nebo více hodin po požití pomáhají předpovídat toxicitu acetaminofenu. Nečekejte výsledky testu acetaminofenu před zahájením léčby. Jaterní enzymy by měly být získány zpočátku a opakovány ve 24hodinových intervalech.

Methemoglobinémie nad 30% by měla být léčena methylenovou modrou pomalým intravenózním podáváním.

k čemu se používá sirup prednisolonu

Toxická dávka pro dospělé pro acetaminofen je 10 g.

Kontraindikace pro Norco 5/325

Norco® by neměl být podáván pacientům, kteří dříve vykazovali přecitlivělost na hydrokodon nebo acetaminofen.

Pacienti, o nichž je známo, že jsou přecitlivělí na jiné opioidy, mohou vykazovat křížovou citlivost na hydrokodon.

Klinická farmakologie for Norco 5/325

Hydrokodon is a semisynthetic narcotic analgesic and antitussive with multiple actions qualitatively similar to those of codeine. Most of these involve the central nervous system and smooth muscle. The precise mechanism of action of hydrocodone and other opiates is not known although it is believed to relate to the existence of opiate receptors in the central nervous system. In addition to analgesia narcotics may produce drowsiness changes in mood and mental clouding.

Analgetický účinek acetaminofenu zahrnuje periferní vlivy, ale specifický mechanismus je dosud neurčený. Antipyretická aktivita je zprostředkována prostřednictvím hypotalamických regulačních center. Acetaminofen inhibuje prostaglandin syntetázu. Terapeutické dávky acetaminofenu mají zanedbatelné účinky na kardiovaskulární nebo respirační systém; Toxické dávky však mohou způsobit selhání oběhu a rychlé mělké dýchání.

Farmakokinetika

Chování jednotlivých komponent je popsáno níže.

Hydrokodon

Po 10 mg perorální dávce hydrokodonu podávaného pěti dospělým mužským subjektům byla průměrná koncentrace píku 23,6 ± 5,2 ng/ml. Maximální hladiny séra byly dosaženy při 1,3 ± 0,3 hodiny a poločas byl stanoven na 3,8 ± 0,3 hodiny. Hydrokodon vykazuje komplexní vzorec metabolismu včetně O-demethylační N-demetylace a 6-ketoredukce do odpovídajících 6-a- a 6-β-hydroxy-metabolitů. Vidět Předávkování Pro informace o toxicitě.

Acetaminofen

Acetaminofen is rapidly absorbed from the gastrointestinal tract and is distributed throughout most body tissues. The plasma half-life is 1.25 to 3 hours but may be increased by liver damage and following overdosage. Elimination of acetaminophen is principally by liver metabolism (conjugation) and subsequent renal excretion of metabolites. Approximately 85% of an oral dose appears in the urine within 24 hours of administration most as the glucuronide conjugate with small amounts of other conjugates and unchanged drug. See Předávkování Pro informace o toxicitě.

Informace o pacientovi pro Norco 5/325

Hydrokodon like all narcotics may impair mental and/or physical abilities required for the performance of potentially hazardous tasks such as driving a car or operating machinery; patients should be cautioned accordingly.

Alkohol a další depresivy CNS mohou produkovat aditivní depresi CNS při užívání s tímto kombinovaným produktem a je třeba se vyhnout.

Hydrokodon may be habit-forming. Patients should take thE lék pouze tak dlouho, dokud je předepsáno v předepsaných částkách a ne častěji než předepsané.

E lék pouze tak dlouho, dokud je předepsáno v předepsaných částkách a ne častěji než předepsané.