Informace Na Stránce Nepředstavují Lékařskou Radu. Nic Neprodáváme. Přesnost Překladu Není Zaručena. Zřeknutí Se Odpovědnosti



Isopto carpine

Shrnutí drog

Co je to isopto carpine?

Ophthalský roztok isopto carpine (pilokarpin hydrochlorid) je cholinergní agonista používaný samostatně nebo s jinými léky k léčbě vysokého tlaku uvnitř oka kvůli glaukom nebo jiná onemocnění očí (např. Oční hypertenze). Karpin isopto může být také použit během určitých očních operací a zvrátit účinky léčiv používaných ke zvětšení žáka (např. Během oční zkoušky).

Jaké jsou vedlejší účinky carpine isopto?

Mezi běžné vedlejší účinky carpine isopto patří:



  • Dočasné podráždění/pálení/bodnutí oka
  • Dočasné rozmazané vidění
  • Špatné vidění v tlumeném světle
  • Bolest hlavy nebo
  • Bow Ache.

Řekněte svému lékaři, pokud máte nepravděpodobné, ale vážné vedlejší účinky carpine Isopto, včetně:



  • bolest očí
  • spláchnutí
  • průjem
  • nevolnost
  • Bolest nebo křeče žaludku/břicha
  • zvýšené sliny
  • neobvyklé pocení nebo
  • změny vize.

Pokud máte následující vážné vedlejší účinky, vyhledejte lékařskou péči nebo zavolejte na číslo 911:

  • Vážné příznaky očí, jako je ztráta náhlého vidění rozmazané vidění vidění Vision Vision Eye Eye Eye Eye Eye Eye Eye Eye nebo vidět halos kolem světel;
  • Vážné příznaky srdce, jako je rychlé nepravidelné nebo bušení srdečního rytmu; třepování v hrudi; dušnost; a náhlé závratě lightheartiesness nebo omdlení;
  • Těžká zmatek bolesti hlavy zkroucený řečový rameno nebo slabost nohou Potíže se ztrátou chůze pocitu koordinace Pocit nestabilní velmi tuhé svaly vysoké horečky bohaté pocení nebo třes.

Tento dokument neobsahuje všechny možné vedlejší účinky a mohou dojít k jiným. Další informace o vedlejších účincích najdete u svého lékaře.



Obrázek, Zyclara)

Dávka pro carpine isopto

Obvyklá dávka karpinu Isopto 1% 2% nebo 4% je jedna kapka aplikovaná lokálně v očích až čtyřikrát denně.

Jaké léky nebo doplňky interagují s carpinem isopto?

Isopto carpine může interagovat s jinými očními léky. Řekněte svému lékaři všechny léky a doplňky, které používáte.

Isopto carpine během těhotenství a kojení

Během těhotenství izopto carpine by měla být použita pouze tehdy, pokud je předepsána. Není známo, zda tento lék prochází do mateřského mléka. Před kojením se poraďte se svým lékařem.

Další informace

Naše carpine (pilokarpin hydrochlorid) vedlejší účinky na karpiny (pilokarpin hydrochlorid) poskytuje komplexní pohled na dostupné informace o možných vedlejších účincích při užívání tohoto léku.

Informace o drogách FDA

/H4>

Popis pro carpine isopto

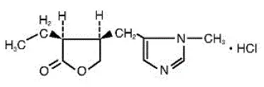
Isopto® karpin (pilokarpinový hydrochlorid oftalmický roztok) je cholinergní agonista připravený jako sterilní topický oftalmický roztok. Aktivní složka je reprezentována chemickou strukturou:

Zavedené jméno: pilokarpin hydrochlorid

Chemický název: 2 (3 H ) -furanone 3-ethyldihydro-4-[(1-methyl-1 H -imidazol-5-yl) -methyl]-Monohydrochlorid (3S-CIS)-. Molekulární vzorec: c 11 H 16 N 2 O 2 • Molekulová hmotnost HCI: 244,72.

evropská jízdenka na vlak

Každý ML karpinu Isopto® (pilokarpin hydrochlorid oftalmic roztok) obsahuje: Aktivní: Pilokarpin hydrochlorid 1% (10 mg/ml) 2% (20 mg/ml) nebo 4% (40 mg/ml).

Konzervační: Benzalkoniumchlorid 0,01%.

Neaktivní: Hypromelóza 2910 kyselina sodný sodný sodný sodný (je přítomen pouze v 1%); kyselina chlorovodíková a/nebo hydroxid sodný (pro úpravu pH); čištěná voda. Karpin Isopto® má pH 3,5 až 5,5 a osmolalitu 290 až 350 mosm/kg (1% a 2% produktů) a 550 až 600 mosm/kg (4% produkt).

Použití pro carpine isopto

ISPTO ® Carpine je označena pro:

Snížení zvýšeného nitroočního tlaku (IOP) u pacientů s oční hypertenzí glaukomaoru s otevřeným úhlem

Řízení glaukomu akutního úhlu

Prevence pooperačního zvýšeného IOP spojeného s laserovou chirurgií

Indukce miózy

Dávka pro carpine isopto

Snížení zvýšeného IOP u pacientů s glaukomu s otevřeným úhlem nebo oční hypertenzí

Jedna kapka Isopto ® Karpiny 1% 2% nebo 4% by měly být aplikovány lokálně v očích až čtyřikrát denně. Pacienti dosud neléčili pilokarpin by měli být zahájeni na koncentraci 1%, protože vyšší koncentrace často nejsou zpočátku tolerovány. Frekvence instilace a koncentrace isopto ® Karpiny jsou určeny závažností zvýšeného nitroočního tlaku a miotickou reakcí pacienta.

Pro omezení systémové expozice pacientům s pilokarpinem může být instruována k provedení punktové okluze po dobu 2 minut po nasazení isopto ® Karpinový oftalmický roztok.

Řízení glaukomu akutního úhlu

Před isoptem ® Pro snížení IOP pod 50 mmHg a zmírnění ischemie duhovny může být nutná léčba sekrece a hyperosmotická činidla. Pro počáteční řízení akutního úhlu glaukom Jedna kapka Isopto ® Karpin 1% nebo 2% může být lokálně aplikován v očích až třikrát po dobu 30 minut.

Pokud se k přerušení útoku použije laserová iridoplastika nebo iridomie ® Karpiny 4% by měly být podávány před postupem. Po laserové iridoplastice jedna kapka isopto ® Karpiny 1% by měly být podávány čtyřikrát denně, dokud nebude možné provést iridotomii.

Prevence pooperačního zvýšeného IOP spojeného s laserovou chirurgií

Jedna kapka Isopto ® Karpiny 1% 2% nebo 4% (nebo dvě kapky podávané pět minut od sebe vzdáleny) by měly být aplikovány lokálně v oku 15 až 60 minut před chirurgickým zákrokem.

Indukce miózy

Jedna kapka Isopto ® Karpiny 1% 2% nebo 4% (nebo dvě kapky podávané pět minut od sebe od sebe by měly být aplikovány lokálně v oku (očích).

Používejte s jinými lokálními očními léky

ISPTO ® Karpiny mohou být použity v kombinaci s inhibitory karbonické anhydrazy beta-blokátory sympatomimetiky nebo hyperosmotickými látkami. Pokud se používá více než jeden aktuální oční léčivo, by se drogy měly podávat nejméně pět minut od sebe.

Používejte u pediatrických pacientů

U dětí mladších 2 let jedna kapka isopto ® Karpiny 1% by se měly aplikovat lokálně v očích třikrát denně. Děti ve věku 2 let a více by měly být podávány jako u dospělých. Pro indukci miózy před goniotomií nebo trabekulotomií u dětí jedna kapka isopto ® Karpin 1% nebo 2% by měl být aplikován lokálně v oku 15 až 60 minut před chirurgickým zákrokem.

Jak dodáno

Formy a silné stránky dávkování

Láhev naplněná 15 ml 1% (10 mg/ml) 2% (20 mg/ml) nebo 4% (40 mg/ml) pilokarpin hydrochlorid sterilní oční roztok.

Skladování a manipulace

ISPTO ® Karpiny (pilokarpin hydrochlorid oftalmic roztok) 1% 2% a 4% je dodáván sterilní v přirozeném polyethylenu s nízkou hustotou ® Výdejníky a zelené špičky polyethylenu s nízkou hustotou se zelenými polypropylenovými uzávěry.

15 ml v 15 ml lahví

1%: NDC 0998-0203-15
2%: NDC 0998-0204-15
4%: NDC 0998-0206-15

Použití pro černý kmín semenný olej
Skladování

Uložte při 20 ° C až 25 ° C (68 ° až 77 ° F) výlety povolené mezi 15 ° C a 30 ° C (59 ° F a 86 ° F) [Viz teplota místnosti s kontrolovanou USP]. Chránit před mrazem.

Distribuováno od: Novartis Pharmaceuticals Corporation East Hanover New Jersey 07936. Revidováno: květen 2020

Nežádoucí účinky pro carpine isopto

Zkušenosti z klinických studií

Protože klinické studie se provádějí za široce proměnlivých podmínek, nežádoucí rychlosti nežádoucí reakce pozorované v klinických studiích léčiva nelze přímo porovnat s mírami v klinických studiích s jiným lékem a nemusí odrážet míru pozorované v praxi.

Níže popsané bezpečnostní údaje odrážejí expozici ve čtyřech kontrolovaných klinických studiích 90 dnů až 2 let u 317 pacientů s diagnózou s otevřeným úhlem glaukomu nebo oční hypertenzí. Ve čtyřech klinických studiích byli pacienti léčeni isoptem ® Karpiny 2% dvakrát až čtyřikrát denně nebo s pilokarpinem 1% 1,75% nebo 2% v pevné kombinaci s betaxololem 0,25% dvakrát nebo třikrát denně. Nejčastěji uváděné nežádoucí účinky, které se vyskytují u ≥ 5% pacientů v populacích pilokarpinu 2%, byly: bolest hlavy/bodová akomodativní změna rozmazaná vizuální podráždění očí zraku (matná tmavá nebo skákací vidění) a bolest očí.

Profil nežádoucí reakce byl hlášen pro použití isopto ® Karpiny u pediatrických pacientů je srovnatelná s kazetem pozorovanou u dospělých pacientů.

Interakce drog pro carpine isopto

Žádné informace

Varování pro carpine isopto

Zahrnuto jako součást 'OPATŘENÍ' Sekce

Diklofenac sodný Topický gel 1 generic

Opatření pro carpine isopto

Špatné osvětlení

Pacienti by měli být upozorněni na to, aby při špatném osvětlení postupovali opatrně a další nebezpečná povolání. Kromě toho mohou miotiky způsobit akomodační křeč. Pacienti by měli být doporučeni, aby nejeli nebo nepoužívali stroje, pokud není vidění jasné.

Předchozí onemocnění sítnice

Stejně jako u všech miotik byly hlášeny vzácné případy oddělení sítnice při použití u některých vnímavých jedinců a osob s již existujícím onemocněním sítnice; Proto se u všech pacientů před zahájením terapie doporučuje důkladné vyšetření sítnice včetně funduscopy.

Iritis

ISPTO ® Karpiny se nedoporučuje používat při přítomnosti iritidy.

Primární vrozený glaukom

Při používání isopto se doporučuje opatrnost ® Byly hlášeny karpiny u dětských pacientů s primárním vrozeným glaukomu pro kontrolu IOP jako případů paradoxního zvýšení IOP. Kromě toho použití isopto ® Karpin se nedoporučuje u pediatrických pacientů s diagnózou glaukomu sekundární k dysgenezi nebo uveitidě předního segmentu (zejména pokud je uveitida aktivní).

Kontaktní opotřebení čočky

Nositelé kontaktních čoček by měli být doporučeni, aby před instilací Isopto odstranili čočky ® Karpinový oční roztok a čekat 10 minut po dávkování před opětovným vložením jejich kontaktních čoček.

Neklinická toxikologie

Zhodnocení mutageneze karcinogeneze plodnosti

Nebyly provedeny žádné dlouhodobé studie s použitím hydrochloridu pilokarpinu u zvířat k vyhodnocení karcinogenního potenciálu.

Použití v konkrétních populacích

Těhotenství

Těhotenství

Kategorie c

Studie reprodukce zvířat nebyly provedeny s hydrochloridem pilokarpinem. Není také známo, zda pilokarpin hydrochlorid může způsobit poškození plodu při podání těhotné ženě nebo může ovlivnit reprodukční kapacitu. Isopto ® Karpiny by měla být dána těhotné ženě pouze v případě, že je to jasně potřeba.

Ošetřovatelské matky

Není známo, zda je tento lék vylučován lidským mlékem. Protože mnoho drog je vylučováno v lidském mléce Upozornění by mělo být uplatněno, když isopto ® Karpiny se podává ošetřovatelské ženě.

Dětské použití

Byla stanovena bezpečnost a účinnost pilokarpinového hydrochloridu u pediatrických pacientů.

Geriatrické použití

Mezi staršími a mladšími pacienty nebyly pozorovány žádné celkové rozdíly v bezpečnosti nebo účinnosti.

Informace o předávkování pro carpine isopto

Systémová toxicita po lokálním oční podávání pilokarpinu je vzácná, ale občas se u pacientů, kteří jsou citliví, mohou po navrhované dávce a podávání vyvinout pocení a gastrointestinální nadměrnou aktivitu. Předávkování může způsobit potící slinění nevolnosti a zpomalení pulsu a snížení krevního tlaku. Při mírném předávkách je třeba očekávat spontánní zotavení a je podporováno intravenózními tekutinami, které kompenzují dehydrataci. U pacientů demonstrujících těžkou otravu atropin by měl být použit farmakologický antagonista na pilokarpin.

Kontraindikace pro carpine isopto

Žádný.

Klinická farmakologie for ISPTO Carpine

Mechanismus působení

Hydrochlorid pilokarpin je přímý herecký cholinergní parasymletchomimetický činidlo, které působí přímou stimulací muskarinových receptorů a hladkého svalstva, jako jsou duhovna a sekreční žlázy. Pilokarpin se stará o ciliární svaly, což způsobuje zvýšené napětí na sklerální ostrově a otevření trabekulárních meshwork prostorů, aby usnadnil odtok vodného humoru. Odolnost proti výtoku je snížena snižování IOP. Pilokarpin také produkuje miózu prostřednictvím kontrakce svalu svěrače IRIS. Miosis zmírňuje zúžení a uzavření úhlu apozičního úhlu, které snižuje IOP v určitých typech glaukomu úhlu.

Farmakokinetika

Systémová expozice pilokarpinu byla hodnocena u 14 zdravých subjektů podávaných 2 kapky isopto ® Karpin (pilokarpinový hydrochlorid oftalmický roztok) 4% na obě oči čtyřikrát denně po dobu osmi dnů. Srovnání hodnot CMAX ve dnech 5 a 8 ukázalo, že koncentrace pilokarpinu v plazmě dosáhly ustáleného stavu po aktuálním podávání isopto ® CARPINE 4%. Průměrné (SD) CMAX a AUC0-Last hodnoty v den 8 byly 3,7 (NULL,2) ng/ml a 7,7 (NULL,4) ng × hodinu/ml. Hodnoty TMAX v den 8 se pohybovaly od 0,5 do 1 hodiny.

Klinické studie

V klinických studiích hlášených v lékařské literatuře pilokarpinový oftalmický roztok snížil IOP o 3-7 mmHg u pacientů s glaukomem s otevřeným úhlem. Ukázalo se také, že pilokarpinový oftalmický roztok je účinný při indukci miózy při prevenci pooperačního zvýšeného IOP a při léčbě glaukomu akutního anglekce.

Informace o pacientovi pro carpine isopto

Vyhýbání se kontaminaci produktu

Nedotýkejte se špičky kapátka na žádný povrch, protože to může kontaminovat obsah.

Noční jízda

Upozornění se doporučuje s nočním řízením a kdy se při špatném osvětlení provádí nebezpečné činnosti.

Jaký druh drogy je Buspar

Akomodativní křeč

ISPTO ® Karpinové oftalmické řešení může způsobit problémy při změně zaostření mezi blízkými objekty a vzdálenými objekty. Pokud není vidění jasné, nejezďte ani nepoužívejte stroje.

Kontaktní opotřebení čočky

Kontaktní čočka by měla být odstraněna před instilací Isopto ® Karpinový oftalmický roztok. Wait 10 minutes after dosing before reinserting contact lenses.

Souběžná lokální oční terapie

Pokud se používá více než jeden aktuální oční lék, léky musí být podávány nejméně 5 minut od sebe.

Systémová expozice

Chcete -li omezit vystavení pilokarpinu do oka samotného, ​​jemně zavřete oči a vyvíjejte tlak prstem na roh oka po dobu 2 minut po instilaci isopto ® Karpinový oftalmický roztok.