Informace Na Stránce Nepředstavují Lékařskou Radu. Nic Neprodáváme. Přesnost Překladu Není Zaručena. Zřeknutí Se Odpovědnosti



Město

Shrnutí drog

Co je dolofin?

Dolofin (metadon) je orální a injekční opioid používaný k léčbě bolesti a závislosti na opioidu nebo heroinu. K dispozici je obecná formulace dolofinu.

Jaké jsou vedlejší účinky dolofinu?

Mezi běžné vedlejší účinky dolofinu patří:



  • Lightheadedness
  • nevolnost
  • zvracení
  • průjem
  • zácpa
  • Ztráta chuti k jídlu
  • závrať
  • úzkost
  • nervozita
  • neklid
  • Problémy se spánkem (nespavost)
  • slabost
  • ospalost
  • sucho v ústech
  • sedace
  • pocení
  • snížená sexuální touha
  • impotence nebo
  • potíže s orgasmem.

Dolofin může být zneužíván a způsobuje abstinenční příznaky. Řekněte svému lékaři, pokud máte nepravděpodobné, ale vážné vedlejší účinky dolofinu, včetně:



  • Změny mentální/nálady (například agitační zmatení halucinace)
  • bolest břicha nebo břicha nebo
  • potíže s močením.

Dávkování uriziminu

Počáteční dávka dolofinu je perorálně 2,5 mg každých 8 až 12 hodin.

Jaké léčivé látky nebo doplňky interagují s dolofinem?

Dolofin může interagovat s jinými narkotickými léky proti bolesti sedativ Tranquilizéry spací tablety svalové relaxery nebo jinými léky, které vás mohou ospalé nebo zpomalit vaše dýchací diuretika (pilulky s vodou) srdce nebo léky na krevní tlak HIV léky mao inhibitory inhibitorů rifampinu nebo záchvaty. Řekněte svému lékaři Al léky a doplňky, které používáte.



Dolofin během těhotenství a kojení

Není známo, zda dolofin poškodí plod. Dolofin může u novorozence způsobit závislost nebo abstinenční příznaky, pokud matka užívá léky během těhotenství. Řekněte svému lékaři, pokud jste těhotná nebo plánujete otěhotnět při používání dolofinu. Dolofin může projít do mateřského mléka a může poškodit kojící dítě. Před kojením se poraďte se svým lékařem.

Další informace

Naše dolofinové vedlejší účinky Drug Center poskytuje při užívání tohoto léku komplexní pohled na dostupné informace o možných vedlejších účincích.

Informace o drogách FDA

VAROVÁNÍ

Zneužívání a zneužívání závislosti; Život ohrožující respirační deprese; Náhodné požití; Životní prodloužení QT; Syndrom stažení novorozenců; a léčba závislosti na opioidech

Zneužívání a zneužívání závislosti

Dolofin vystavuje pacienty a další uživatele rizikům zneužívání a zneužití závislosti na opioidech, což může vést k předávkování a smrti. Posouďte riziko každého pacienta před předepisováním dolofinu a pravidelně sledujte všechny pacienty pro rozvoj těchto chování nebo podmínek [viz varování a OPATŘENÍ ].

Život ohrožující respirační deprese

Při použití dolofinu se může objevit vážná život ohrožující život nebo fatální respirační deprese. Monitorujte respirační depresi, zejména při zahájení dolofinu nebo po zvýšení dávky [viz varování a OPATŘENÍ ].

Náhodné požití

Náhodné požití i jedné dávky dolofinu, zejména u dětí, může vést k fatálnímu předávkování metadonem [viz varování a varování a OPATŘENÍ ].

Životní prodloužení QT

Během léčby metadonem se objevila prodloužení intervalu QT a vážná arytmie (Torsades de Points). Většina případů zahrnuje pacienty léčeni na bolest s velkými vícenásobnými denními dávkami metadonu, ačkoli případy byly hlášeny u pacientů, kteří dostávají dávky běžně používané pro udržovací léčbu závislosti na opioidech. Během iniciace a titraci dolofinu pečlivě sledujte pacienty o změnách v srdečním rytmu [viz varování a OPATŘENÍ ].

nejlepší webové stránky pro cestovní nabídky

Syndrom odběru novorozeneckého opioidu

Prodloužený americký dolofin během těhotenství může mít za následek syndrom stažení neonatálních opioidů, který může být život ohrožující život, pokud nebude rozpoznán a léčen a vyžaduje řízení podle protokolů vyvinutých odborníky na novorozence. Pokud je užívání opioidů vyžadováno po delší dobu u těhotné ženy, radí pacientovi o riziku syndromu stažení opioidů a zajistí, aby byla k dispozici vhodná léčba [viz varování a OPATŘENÍ ].

Podmínky pro distribuci a použití metadonových produktů pro léčbu závislosti na opioidech

Pro detoxikaci a údržbu závislosti na opioidech by měl být metadon podáván v souladu s standardy léčby citovaných v 42 CFR oddílu 8, včetně omezení pro podávání bez dozoru [viz viz Indikace a použití ].

Popis dolofinu

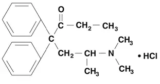
Hydrochlorid metadonu je chemicky popisován jako 6- (dimethylamino) -44-difenyl-3-hepatanon hydrochlorid. Metadon hydrochlorid USP je bílý krystalický materiál, který je rozpustný ve vodě. Jeho molekulární vzorec je C 21 H 27 Ne • HCI a má molekulovou hmotnost 345,91. Hydrochlorid metadonu má bod tání 235 ° C a PKA 8,25 ve vodě při 20 ° C. Jeho koeficient rozdělení oktanolu/vody při pH 7,4 je 117. Roztok (1: 100) ve vodě má pH mezi 4,5 a 6,5. Má následující strukturální vzorec:

Dolofinové tablety jsou k dispozici pro perorální podání obsahující buď 5 mg nebo 10 mg metadonu hydrochloridu USP. Každá tableta obsahuje následující neaktivní složky: mikrokrystalická celulóza hořčíku a pregelatinizovaný škrob.

VAROVÁNÍ

Zneužívání a zneužívání závislosti; Život ohrožující respirační deprese; Náhodné požití; Životní prodloužení QT; Syndrom stažení novorozenců; a léčba závislosti na opioidech

Zneužívání a zneužívání závislosti

Metadon hydrochloridové tablety USP vystavují pacienty a další uživatele rizikům zneužívání a zneužití závislosti na opioidech, což může vést k předávkování a smrti. Posouďte riziko každého pacienta před předepisováním tablet hydrochloridu metadonu a pravidelně sledujte všechny pacienty pro rozvoj těchto chování nebo podmínek [viz varování a varování a OPATŘENÍ ].

Život ohrožující respirační deprese

Při použití tablet metadonu hydrochloridu se může vyskytnout vážná život ohrožující život nebo fatální respirační deprese. Monitorujte respirační depresi, zejména během zahájení tablet hydrochloridu metadonu nebo po zvýšení dávky [viz varování a OPATŘENÍ ].

Náhodné požití

Náhodné požití i jedné dávky tablet hydrochloridu metadonu, zejména u dětí, může vést k fatálnímu předávkování metadonem [viz varování a varování a OPATŘENÍ ].

Životní prodloužení QT

Během léčby metadonem se objevila prodloužení intervalu QT a vážná arytmie (Torsades de Points). Většina případů zahrnuje pacienty léčeni na bolest s velkými vícenásobnými denními dávkami metadonu, ačkoli případy byly hlášeny u pacientů, kteří dostávají dávky běžně používané pro udržovací léčbu závislosti na opioidech. Během iniciace a titraci metadonových hydrochloridových tablet pečlivě sledujte pacienty o změnách srdečního rytmu [viz varování a varování a OPATŘENÍ ].

Syndrom odběru novorozeneckého opioidu

Dlouhodobé použití tablet hydrochloridu metadonu během těhotenství může mít za následek syndrom stažení novorozenců opioidů, který může být život ohrožující život, pokud není rozpoznán a léčen a vyžaduje řízení podle protokolů vyvinutých novorozeneckými odborníky. Pokud je užívání opioidů vyžadováno po delší dobu u těhotné ženy, radí pacientovi o riziku syndromu stažení opioidů a zajistí, aby byla k dispozici vhodná léčba [viz varování a OPATŘENÍ ].

Podmínky pro distribuci a použití metadonových produktů pro léčbu závislosti na opioidech

Pro detoxikaci a údržbu závislosti na opioidech by měl být metadon podáván v souladu s standardy léčby citovaných v 42 CFR oddílu 8, včetně omezení pro podávání bez dozoru [viz viz Indikace a použití ].

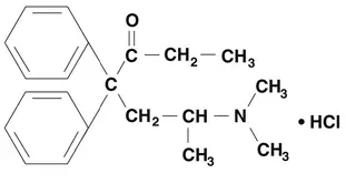
Popis dolofinu

Hydrochlorid metadonu je chemicky popisován jako 6- (dimethylamino) -44-difenyl-3-hepatanon hydrochlorid. Hydrochlorid metadonu je bílý krystalický materiál, který je rozpustný ve vodě. Jeho molekulární vzorec je C 21 H 27 Ne • HCI a má molekulovou hmotnost 345,91. Hydrochlorid metadonu má bod tání 235 ° C a PKA 8,25 ve vodě při 20 ° C. Jeho koeficient rozdělení oktanolu/vody při pH 7,4 je 117. Roztok (1: 100) ve vodě má pH mezi 4,5 a 6,5. Má následující strukturální vzorec:

Každá tableta hydrochloridu metadonu obsahuje 10 mg metadonového hydrochloridu USP a následující neaktivní složky: mikrokrystalická celulóza a škrob hořčíku.

Použití pro město

Tablety hydrochloridu metadonu jsou označeny pro:

  • Řízení bolesti natolik závažné, aby vyžadovalo denní nepřetržité dlouhodobé ošetření opioidů a pro které jsou alternativní možnosti léčby nedostatečné.

Omezení použití

    • Because of the risks of addiction abuse and misuse with opioids even at recommended doses and because of the greater risks of overdose and death with long-acting opioids reserve methadone hydrochloride tablets for use in patients for whom alternative analgesic treatment options (e.g. non-opioid analgesics or immediate-release opioid analgesics) are ineffective not tolerated or would be otherwise inadequate to provide sufficient management bolesti.
    • Tablety hydrochloridu metadonu USP nejsou indikovány jako AS-potřebný (PRN) analgetikum.
  • Detoxikační léčba závislosti na opioidech (heroin nebo jiné léky podobné morfinu).
  • Udržovací léčba závislosti na opioidech (heroin nebo jiné léky podobné morfinu) ve spojení s vhodnými sociálními a lékařskými službami.

Podmínky pro distribuci a použití metadonových produktů pro léčbu závislosti na opioidech

Kodex federálních předpisů hlava 42 sec 8

Metadonové produkty, pokud jsou použity k léčbě závislosti na opioidech v programech detoxikace nebo údržby, se vydávají pouze programy pro léčbu opioidů (a agentur nebo agentury nebo institucemi formální dohodou s sponzorem programu) certifikovanou správou návykových látek a správou služeb duševního zdraví a schválených navrženou státní pravomoc. Certifikované léčebné programy se vydávají a používají pouze metadon v ústní formě a podle požadavků na léčbu stanovené ve federálních standardech léčby opioidů (42 CFR 8.12). Důležité regulační výjimky na obecný požadavek na certifikaci naleznete v níže uvedené regulační výjimky.

Nedodržení požadavků v těchto předpisech může vést k zabavení trestního stíhání zrušení návrhu na podávání drog při schválení programu a soudního příkazu vylučující provoz programu.

Regulační výjimky z obecného požadavku na certifikaci k zajištění léčby opioidních agonistů: Během lůžkové péče, když byl pacient přijata pro jakoukoli jinou podmínku než souběžná závislost na opioidech (podle 21CFR 1306.07 (c)), aby se usnadnilo léčbu primární přiznání diagnózy).

Během nouzového období nejde delší než 3 dny, zatímco definitivní péče o závislost je hledána v vhodně licencovaném zařízení (podle 21CFR 1306.07 (b)).

Dávkování uriziminu

Důležité obecné informace

  • Vrchol respiračního deprese depresivního účinku metadonu se vyskytuje později a přetrvává déle než jeho špičkový terapeutický účinek.
  • Vysoký stupeň tolerance opioidů nevylučuje možnost předávkování metadonem iatrogenní nebo jinak. Během přeměny na metadon byly hlášeny úmrtí z chronické léčby s vysokou dávkou jinými opioidními agonisty a při zahájení léčby závislosti na metadonu u subjektů, které dříve zneužívaly vysoké dávky jiných agonistů.
  • Při opakovaném dávkování je metadon zachován v játrech a poté pomalu uvolňuje prodloužení trvání potenciální toxicity.
  • Metadon má úzký terapeutický index, zejména v kombinaci s jinými léky.

Počáteční dávkování pro léčbu bolesti

Tablety hydrochloridu metadonu by měly být předepisovány pouze zdravotničtí pracovníci, kteří jsou znali při používání silných opioidů pro léčbu chronické bolesti.

Zvažte následující důležité faktory, které odlišují metadon od jiných opioidních analgetik:

  • V absorpčním metabolismu a relativní analgetické účinnosti existuje vysoká variabilita interpatientu. Poměry Equianalgesic Conversion na bázi populace mezi metadonem a jinými opioidy nejsou při aplikaci na jednotlivce přesné.
  • Trvání analgetického účinku metadonu je 4 až 8 hodin (na základě studií s jednou dávkou), ale poločas eliminace plazmy je 8 až 59 hodin.
  • Koncentrace plazmy v ustáleném stavu a plné analgetické účinky nejsou dosaženy až nejméně 3 až 5 dní na dávku a u některých pacientů mohou trvat déle.

Zahajte dávkovací režim pro každého pacienta individuálně s ohledem na předchozí zkušenost s analgetickou léčbou pacienta a rizikové faktory pro zneužívání a zneužití závislosti [viz viz VAROVÁNÍS AND OPATŘENÍ ]. Moninar patients closely for respiranary depression especially within the first 24-72 hours of initiating therapy with methadone hydrochloride tablets [see VAROVÁNÍS AND OPATŘENÍ ].

Použití tablet hydrochloridu metadonu USP jako prvního opioidního analgetiku

Iniciate ošetření tabletami hydrochloridu metadonu s 2,5 mg perorálně každých 8 až 12 hodin.

Převod z jiných ústních opioidů na tablety hydrochloridu metadonu

Přerušte všechny ostatní nepřetržité opioidní léky, když je zahájena terapie tablety metadonu. U pacientů s opioidy se objevila úmrtí během konverzace iontu na metadon.

I když existují užitečné tabulky ekvivalentů opioidů snadno k dispozici, existuje značná variabilita mezi pacienty v relativní účinnosti různých opioidních léků a produktů. Proto je bezpečnější podceňovat 24hodinové požadavky na perorální metadon pacienta a poskytovat záchranné léky (např. Opioid s okamžitým uvolňováním) než přeceňovat 24hodinové požadavky na perorální metadon, což by mohlo vést k nežádoucím účinkům. Při opakovaném dávkování zvyšuje se zvyšování metadonu v důsledku systémové akumulace.

Při použití informací v tabulce 1 zvažte následující:

  • Toto není tabulka ekianalgesic.
  • Konverzní faktory v této tabulce jsou pouze pro přeměnu z jiných perorálních opioidních analgetiků na tablety hydrochloridu metadonu.
  • Tabulka nelze použít k převodu z metadonových hydrochloridových tablet na jiný opioid. To povede k nadhodnocení dávky nového opioidu a může vést k fatálnímu předávkování.

Tabulka 1: Konvertujte iontové faktory na tablety hydrochloridu metadonu

Celková denní výchozí perorální morfin ekvivalentní dávka Odhadovaný požadavek na perorální metadon DAILV jako procento celkové denní morfinové ekvivalentní dávky
<100 mg 20% až 30%
100 až 300 RRG 10% až 20%
300 až 600 IRG 8% až 12%
600 mg až 1000 mg 5% až 10%
> 1000 mg <5%

Pro výpočet odhadované dávky hydrochloridu metadonu pomocí tabulky 1:

  • U pacientů na jednom opioidním součtu je celková celková denní dávka opioidu převáděna na morfin ekvivalentní dávku podle specifického konverzního faktoru pro tento specifický opioid a poté vynásobte morfin ekvivalentní dávku odpovídajícím procentem ve výše uvedené tabulce, aby se vypočítal přibližnou perorální metadon denní dávku. Rozdělte celkovou denní dávku metadonu odvozenou od výše uvedené tabulky, aby odrážel zamýšlený rozvrh dávkování (tj. Pro podání každých 8 hodin rozdělení celkové denní dávky metadonu o 3).
  • U pacientů na režimu více než jednoho opioidu vypočítejte přibližnou perorální dávku metadonu pro každý opioid a součtu součtu, aby se získala přibližná celková metadon denní dávka. Rozdělte celkovou denní dávku metadonu odvozenou od výše uvedené tabulky, aby odrážel zamýšlený rozvrh dávkování (tj. Pro podání každých 8 hodin rozdělení celkové denní dávky metadonu o 3).
  • U pacientů na režimu opioidních/nepioidních analgetických produktů s pevným poměrem používá při přeměně pouze opioidní složku těchto produktů.

V případě potřeby vždy kolem dávky dolů pro příslušnou dostupnou sílu (síly) hydrochloridu metadonu. Příklad převodu z jednoho opioidu na tablety hydrochloridu metadonu:

Krok 1 : Shrňte celkovou denní dávku opioidu (v tomto případě tablety pro rozšířené uvolňování morfinu 50 mg dvakrát denně)

50 mg morfin rozšířené uvolňování tablet 2krát denně = 100 mg Celková denní dávka morfinu

Krok 2 : Vypočítejte přibližnou ekvivalentní dávku tablet hydrochloridu metadonu na základě celkové denní dávky morfinu pomocí tabulky 1.

100 mg celková denní dávka morfinu x 15% (10% až 20% na tabulku 1) = 15 mg metadonu hydrochloridu denně

Krok 3 : Vypočítejte přibližnou počáteční dávku hydrochloridu metadonu, která bude podávána každých 12 hodin. Pokud je to nutné, zaokrouhlujte dolů k příslušným dostupným silovým stránkám tabletů hydrochloridu metadonu.

15 mg denně / 2 = 7,5 mg hydrochloridu metadonu každých 12 hodin

Pak je 7,5 mg zaokrouhleno na 5 mg metadonu hydrochloridu každých 12 hodin

Blízké pozorování a časté titrace jsou zaručeny, dokud není léčba bolesti stabilní u nového opioidu. Po přeměně pacientů na pacienty na tablety metadonu hydrochloridu monitorujte pacienty na příznaky a příznaky odběru opioidů nebo na příznaky nadměrné sedace/toxicity.

Přeměna z parenterálního metadonu na tablety hydrochloridu metadonu

Použijte poměr konverze 1: 2 mg pro parenterální a perorální metadon (např. 5 mg parenterální metadon na 10 mg perorální metadon).

Titrace a udržování terapie bolesti

Individuálně titrují tablety metadonu hydrochloridu na dávku, která poskytuje odpovídající analgezii a minimalizuje nežádoucí účinky. Neustále přehodnocují pacienty, kteří dostávají tablety hydrochloridu metadonu, aby vyhodnotili udržování kontroly bolesti a relativní výskyt nežádoucích účinků a sledování rozvoje zneužívání závislosti nebo zneužití. Častá komunikace je důležitá mezi lékaři ostatními členy týmu zdravotnictví Pacienta a pečovatel/rodina v období měnících se analgetických požadavků včetně počáteční titrace. Během chronické terapie pravidelně přehodnotí pokračující potřebu používání opioidních analgetik.

Kvůli individuální variabilitě ve farmakokinetickém profilu (tj. Terminální poločas (T½) od 8 do 59 hodin v různých studiích [viz viz Klinická farmakologie ]) titrace metadonových hydrochloridových tablet pomalu s dávkou se zvyšuje o nic častější než každé 3 až 5 dnů. Kvůli této vysoké variabilitě však mohou někteří pacienti vyžadovat podstatně delší období mezi zvýšením dávky (až 12 dní). Pečlivě sledujte pacienty pro vývoj potenciálně život ohrožujících nežádoucích účinků (např. CNS a respirační deprese).

Pacienti, kteří trpí průlomovou bolestí, mohou vyžadovat zvýšení dávky tablet hydrochloridu metadonu nebo mohou vyžadovat záchranné léky s vhodnou dávkou léku s okamžitým uvolňováním. Pokud se úroveň bolesti po stabilizaci dávky pokouší identifikovat úvěr zvýšené bolesti před zvýšením dávky metadonového hydrochloridu.

Pokud jsou pozorovány nepřijatelné nežádoucí účinky související s opioidy, mohou být následující dávky sníženy a/nebo upraveny dávkování (tj. Každých 8 hodin nebo každých 12 hodin). Upravte dávku a získejte vhodnou rovnováhu mezi léčbou bolesti a nežádoucích účinků souvisejících s opioidy.

Přerušení tablet hydrochloridu metadonu USP pro bolest

Pokud pacient již nevyžaduje terapii tablety hydrochloridu metadonu pro bolest, použijte postupnou titraci dávky dolů každé dva až čtyři dny, aby se zabránilo příznakům a příznakům stažení u fyzicky závislého pacienta. Nepřekvapujte tablety hydrochloridu metadonu.

Indukce/počáteční dávkování pro detoxikaci a údržbu závislosti na opioidech

Pro detoxikaci a udržování metadonu závislosti na opioidech by mělo být podáváno v souladu s standardy léčby citovaných v 42 CFR oddílu 8.12 včetně omezení podávání bez dozoru.

Podávejte počáteční dávku metadonu pod dohledem, pokud neexistují žádné známky sedace nebo intoxikace a pacient vykazuje příznaky stažení. Počáteční jediná dávka 20 až 30 mg metadonových hydrochloridových tablet bude často dostatečná k potlačení abstinenčních symptomů. Počáteční dávka by neměla překročit 30 mg.

Pro provedení stejného dne úpravy dávkování čeká pacienta 2 až 4 hodiny na další vyhodnocení, když bylo dosaženo hladin píku. Poskytněte dalších 5 až 10 mg tablet hydrochloridu metadonu, pokud nebyly postiženy abstinenční příznaky nebo pokud se příznaky znovu objeví.

Celková denní dávka tablet hydrochloridu metadonu v prvním dni léčby by neměla obvykle překročit 40 mg. Upravte dávku v prvním týdnu léčby na základě kontroly abstinenčních symptomů v době očekávané maximální aktivity (např. 2 až 4 hodiny po dávkování). Při úpravě dávky mějte na paměti, že hladiny metadonu se hromadí během prvních několika dnů dávkování; Úmrtí došlo v rané léčbě v důsledku kumulativních účinků. Poskytněte pacientům, že dávka bude držet po delší dobu, protože tkáňové obchody metadonu se hromadí.

Použijte nižší počáteční dávky u pacientů, jejichž tolerance se očekává, že bude při vstupu do léčby nízká. Každý pacient, který nebral opioidy déle než 5 dní, již nemusí být tolerantní. Nejistěte počáteční dávky na základě předchozích epizod léčby nebo dolarů utracených denně při nezákonném užívání drog.

Krátkodobá detoxikace

Pro krátký průběh stabilizace následované obdobím lékařsky pod dohledu nad odstoupení pacienta na celkovou denní dávku asi 40 mg v rozdělených dávkách, aby bylo dosaženo odpovídající stabilizační úrovně. Po 2 až 3 dnech stabilizace postupně snižují dávku tablet hydrochloridu metadonu. Snižte dávku tablet hydrochloridu metadonu denně nebo ve dvoudenních intervalech udržování množství metadonových hydrochloridových tablet dostatečných k udržení abstinenčních příznaků na tolerovatelné úrovni.

Hospitalizovaní pacienti mohou tolerovat denní snížení o 20% z celkové denní dávky. Ambulantní pacienti mohou potřebovat pomalejší plán.

Titrační a udržovací léčba detoxikace závislosti na opioidech

Titvát pacientů při udržovací léčbě dávce, která zabraňuje abstinenčním symptomům opioidů po dobu 24 hodin, snižuje hlad nebo touhu a blokuje nebo zeslabuje euforické účinky samopadaných opioidů, což zajišťuje, že pacient tolerantní vůči sedativním účinkům metadonu. Nejčastěji klinická stabilita je dosažena v dávkách mezi 80 až 120 mg/den.

Z lékařského závislosti na stažení po dobu údržby závislosti na opioidech

U pacientů, kteří si vybrali lékařsky pod dohledem od léčby metadonem, existuje značná variabilita v vhodné míře zúžení metadonu. Snížení dávky by mělo být obecně menší než 10% stanovené dávky tolerance nebo údržby a mezi snížením dávky by mělo uplynout 10 až 14denní intervaly. Oznámení pacientů s vysokým rizikem relapsu k nezákonnému užívání drog spojených s přerušením léčby metadonem.

Riziko relapsu u pacientů při udržování metadonu se závislostí na opioidech

Náhlé přerušení opioidů může vést k rozvoji symptomů odběru opioidů [viz Zneužívání a závislost drog ]. Opioid withdrawal sympnams have been associated with an increased risk of relapse na illicit drug use in susceptible patients.

Úvahy o řízení akutní bolesti během údržby metadonu

Pacienti při udržování metadonu pro závislost na opioidech, kteří zažívají fyzickou trauma pooperační bolest nebo jinou akutní bolest, nelze očekávat, že z jejich stávající dávky metadonu odvozují analgezii. Tito pacienti by měli být podávány analgetika včetně opioidů v dávkách, které by jinak byly indikovány u pacientů s ne-metadonem s podobnými bolestivými stavy. Pokud jsou opioidy vyžadovány pro léčbu akutní bolesti u pacientů s udržováním metadonu poněkud vyšší a/nebo častější dávky budou často vyžadovány, než by tomu tak bylo u netolerantních pacientů v důsledku tolerance opioidů vyvolanou metadonem.

Dávkování Adjustment During Těhotenství

Během těhotenství může být zvýšena clearance metadonu. Během těhotenství může být nutné zvýšit dávku ženského metadonu nebo se snížil interval dávkování. Metadon by měl být používán v těhotenství, pouze pokud potenciální přínos ospravedlňuje potenciální riziko pro plod [viz Použití v konkrétních populacích ].

Jak dodáno

Dávkování Forms And Strengths

Tablety hydrochloridu metadonu jsou k dispozici v pevnosti 10 mg dávkování. 10 mg tablety jsou kulaté bílé a jsou odlibovány ASC 116 na jedné straně a skórovaly na druhé straně.

Skladování a manipulace

Tablety hydrochloridu metadonu USP obsahují metadon, který je kontrolovanou látkou. Stejně jako fentanyl morfin oxykodon hydromorphone a metadon oxymorfonu jsou kontrolovány podle přílohy II federálního zákona o kontrolovaných látkách. Tablety hydrochloridu metadonu mohou být zaměřeny na krádež a odklon zločinci [viz viz VAROVÁNÍS AND OPATŘENÍ ].

Vydejte se v těsném kontejneru odolném proti světlu, jak je definováno v USP/NF.

Skladovat při 25 ° C (77 ° F); Exkurze povoleny na 15 ° až 30 ° C (59 ° až 86 ° F) [viz viz Teplota místnosti s kontrolou USP ].

Tablety hydrochloridu metadonu USP

10 mg tablet : Bílý kulatý biconvex tablet skóroval na jedné straně a na druhé straně odhodil ASC 116.

NDC 67877-116-01: Lahve 100 tablet.

Vyžaduje se formulář objednávky DEA.

Vyrobeno pro: Ascend Laboratories LLC Montvale NJ 07645.

Použití pro město

Dolofin je označen pro:

  • Řízení bolesti natolik závažné, aby vyžadovalo denní nepřetržité dlouhodobé ošetření opioidů a pro které jsou alternativní možnosti léčby nedostatečné.

    Omezení použití

    1. Vzhledem k rizikům zneužívání závislosti a zneužití s ​​opioidy i při doporučených dávkách a kvůli většímu riziku předávkování a smrti s dlouhodobě působícími opioidy si rezervují dolofin pro použití u pacientů, u nichž by alternativní analgetická léčba (např. Neopioidní analgetiky nebo bezprostřední léčba a jinak neefektivní neexistentní neexistentní neexistenci, která je jinak neexistentní neexistentní neexistenci, která by jinak neexistovala neexistenci, která by byla jinak neexistentní neexistentní neexistenci, která by jinak neexistovala neexistenci, která by byla jinak neexistována na palubním neexistenci.
    2. Dolofin není indikován jako AS potřebný (PRN) analgetikum.
  • Detoxikační léčba závislosti na opioidech (heroin nebo jiné léky podobné morfinu).
  • Udržovací léčba závislosti na opioidech (heroin nebo jiné léky podobné morfinu) ve spojení s vhodnými sociálními a lékařskými službami.

Podmínky pro distribuci a použití metadonových produktů pro léčbu závislosti na opioidech

Kodex federálních předpisů hlava 42 sec 8

Metadonové produkty, pokud jsou použity k léčbě závislosti na opioidech v programech detoxikace nebo údržby, se vydávají pouze programy pro léčbu opioidů (a agentur nebo agentury nebo institucemi formální dohodou s sponzorem programu) certifikovanou správou návykových látek a správou služeb duševního zdraví a schválených navrženou státní pravomoc. Certifikované léčebné programy se vydávají a používají pouze metadon v ústní formě a podle požadavků na léčbu stanovené ve federálních standardech léčby opioidů (42 CFR 8.12). Důležité regulační výjimky na obecný požadavek na certifikaci naleznete v níže uvedené regulační výjimky.

Nedodržení požadavků v těchto předpisech může vést k zabavení trestního stíhání zrušení návrhu na podávání drog při schválení programu a soudního příkazu vylučující provoz programu.

Regulační výjimky z obecného požadavku na certifikaci k zajištění léčby opioidních agonistů: Během lůžkové péče, když byl pacient přijata pro jakoukoli jinou podmínku než souběžná závislost na opioidech (podle 21CFR 1306.07 (c)), aby se usnadnilo léčbu primární přiznání diagnózy). Během nouzového období nejde delší než 3 dny, zatímco definitivní péče o závislost je hledána v vhodně licencovaném zařízení (podle 21CFR 1306.07 (b)).

Dávkování uriziminu

Důležité obecné informace

  • Vrchol respiračního deprese depresivního účinku metadonu se vyskytuje později a přetrvává déle než jeho špičkový terapeutický účinek.
  • Vysoký stupeň tolerance opioidů nevylučuje možnost předávkování metadonem iatrogenní nebo jinak. Během přeměny na metadon byly hlášeny úmrtí z chronické léčby s vysokou dávkou jinými opioidními agonisty a při zahájení léčby závislosti na metadonu u subjektů, které dříve zneužívaly vysoké dávky jiných agonistů.
  • Při opakovaném dávkování je metadon zachován v játrech a poté pomalu uvolňuje prodloužení trvání potenciální toxicity.
  • Metadon má úzký terapeutický index, zejména v kombinaci s jinými léky.

Počáteční dávkování pro léčbu bolesti

Dolofin by měl být předepsán pouze zdravotnickými pracovníky, kteří mají znalosti při používání silných opioidů pro řízení chronické bolesti.

Zvažte následující důležité faktory, které odlišují metadon od jiných opioidních analgetik:

  • V absorpčním metabolismu a relativní analgetické účinnosti existuje vysoká variabilita interpatientu. Poměry Equianalgesic Conversion na bázi populace mezi metadonem a jinými opioidy nejsou při aplikaci na jednotlivce přesné.
  • Trvání analgetického účinku metadonu je 4 až 8 hodin (na základě studií s jednou dávkou), ale poločas eliminace plazmy je 8 až 59 hodin.
  • Koncentrace plazmy v ustáleném stavu a plné analgetické účinky nejsou dosaženy až nejméně 3 až 5 dní na dávku a u některých pacientů mohou trvat déle.

Zahajte dávkovací režim pro každého pacienta individuálně s ohledem na předchozí zkušenost s analgetickou léčbou pacienta a rizikové faktory pro zneužívání a zneužití závislosti [viz viz VAROVÁNÍS AND OPATŘENÍ ]. Moninar patients closely for respiranary depression especially within the first 24 na 72 hours of initiating therapy with Město [see VAROVÁNÍS AND OPATŘENÍ ].

Použití dolofinu jako prvního opioidního analgetiky : Zahájijte léčbu dolofinem s 2,5 mg perorálně každých 8 až 12 hodin.

Převod z jiných ústních opioidů na dolofin : Když je zahájena terapie dolofinové terapie, přerušte všechny ostatní nepřetržité opioidní léky. U pacientů s opioidy došlo během přeměny na metadon.

I když existují užitečné tabulky ekvivalentů opioidů snadno k dispozici, existuje značná variabilita mezi pacienty v relativní účinnosti různých opioidních léků a produktů. Proto je bezpečnější podceňovat 24hodinové požadavky na perorální metadon pacienta a poskytovat záchranné léky (např. Opioid s okamžitým uvolňováním) než přeceňovat 24hodinové požadavky na perorální metadon, což by mohlo vést k nežádoucím účinkům. Při opakovaném dávkování zvyšuje se zvyšování metadonu v důsledku systémové akumulace.

Při použití informací v tabulce 1 zvažte následující:

  • To je ne Tabulka dávek equininalgesic.
  • Konverzní faktory v této tabulce jsou pouze pro konverzi z Další analgetika orálního opioidu na Město.
  • Stůl nemůže být použit k převodu z Město na další opioid. To povede k nadhodnocení dávky nového opioidu a může vést k fatálnímu předávkování.

Tabulka 1: Faktory konverze na dolofin

Celková denní výchozí perorální morfin ekvivalentní dávka Odhadovaný denní požadavek na perorální metadon jako procento z celkové denní morfinové ekvivalentní dávky
<100 mg 20% až 30%
100 až 300 mg 10% až 20%
300 až 600 mg 8% až 12%
600 mg až 1000 mg 5% až 10%
> 1000 mg <5 %

Pro výpočet odhadované dávky dolofinu pomocí tabulky 1:

  • U pacientů na jednom opioidním součtu je celková celková denní dávka opioidu převáděna na morfin ekvivalentní dávku podle specifického konverzního faktoru pro tento specifický opioid a poté vynásobte morfin ekvivalentní dávku odpovídajícím procentem ve výše uvedené tabulce, aby se vypočítal přibližnou perorální metadon denní dávku. Rozdělte celkovou denní dávku metadonu odvozenou od výše uvedené tabulky, aby odrážel zamýšlený rozvrh dávkování (tj. Pro podání každých 8 hodin rozdělení celkové denní dávky metadonu o 3).
  • U pacientů na režimu více než jednoho opioidu vypočítejte přibližnou perorální dávku metadonu pro každý opioid a součtu součtu, aby se získala přibližná celková metadon denní dávka. Rozdělte celkovou denní dávku metadonu odvozenou od výše uvedené tabulky, aby odrážel zamýšlený rozvrh dávkování (tj. Pro podání každých 8 hodin rozdělení celkové denní dávky metadonu o 3).
  • U pacientů na režimu opioidních/nepioidních analgetických produktů s pevným poměrem používá při přeměně pouze opioidní složku těchto produktů.

V případě potřeby vždy kolem dávky dolů k dostupné dostupné dolofinové síle.

Příklad převodu z jediného opioidu na dolofin:

Krok 1: Shrnout celkovou denní dávku opioidu (v tomto případě tablety pro rozšířené uvolňování morfinu 50 mg dvakrát denně)

50 mg morfin rozšířené uvolňování tablet 2krát denně = 100 mg Celková denní dávka morfinu

Krok 2: Vypočítejte přibližnou ekvivalentní dávku dolofinu na základě celkové denní dávky morfinu pomocí tabulky 1.

100 mg celková denní dávka morfinu x 15% (10% až 20% na tabulku 1) = 15 mg dolofin denně

Krok 3: Vypočítejte přibližnou počáteční dávku dolofinu, která má být podávána každých 12 hodin. Pokud je to nutné, zaokrouhlujte dostupné dostupné silné stránky dolofinových tablet. 15 mg denně / 2 = 7,5 mg dolofinu každých 12 hodin

Pak je 7,5 mg zaokrouhleno dolů na 5 mg dolofinu každých 12 hodin

Blízké pozorování a časté titrace jsou zaručeny, dokud není léčba bolesti stabilní u nového opioidu. Po přeměně pacientů na dolofin sledujte pacienty s příznaky a příznaky odběru opioidů nebo na známky nadměrné sedace/toxicity.

Konverze z parenterálního metadonu na dolofin : Použijte poměr konverze 1: 2 mg pro parenterální a perorální metadon (např. 5 mg parenterální metadon na 10 mg perorální metadon).

Titrace a udržování terapie bolesti

Individuálně titrujte dolofin na dávku, která poskytuje dostatečnou analgezii a minimalizuje nežádoucí účinky. Neustále přehodnocují pacienty, kteří dostávají dolofin, aby vyhodnotili udržování kontroly bolesti a relativní výskyt nežádoucích účinků, jakož i monitorování rozvoje zneužívání nebo zneužití závislosti. Častá komunikace je důležitá mezi lékaři ostatními členy týmu zdravotnictví Pacienta a pečovatel/rodina v období měnících se analgetických požadavků včetně počáteční titrace. Během chronické terapie pravidelně přehodnotí pokračující potřebu používání opioidních analgetik.

Kvůli individuální variabilitě ve farmakokinetickém profilu (tj. Terminální poločas (T½) od 8 do 59 hodin v různých studiích [viz viz Klinická farmakologie ]) titrát dolofin pomalu s dávkou se zvyšuje o nic častější než každý 3 až 5 dnů. Kvůli této vysoké variabilitě však mohou někteří pacienti vyžadovat podstatně delší období mezi zvýšením dávky (až 12 dní). Pečlivě sledujte pacienty pro vývoj potenciálně život ohrožujících nežádoucích účinků (např. CNS a respirační deprese).

Pacienti, kteří trpí průlomovou bolestí, mohou vyžadovat zvýšení dávky dolofinu nebo mohou vyžadovat záchranné léky s vhodnou dávkou léku s okamžitým uvolňováním. Pokud se úroveň bolesti po stabilizaci dávky pokouší identifikovat zdroj zvýšené bolesti před zvýšením dávky dolofinu.

Pokud jsou pozorovány nepřijatelné nežádoucí účinky související s opioidy, mohou být následující dávky sníženy a/nebo upraveny dávkování (tj. Každých 8 hodin nebo každých 12 hodin). Upravte dávku a získejte vhodnou rovnováhu mezi léčbou bolesti a nežádoucích účinků souvisejících s opioidy.

Přerušení dolofinu pro bolest

Pokud pacient již nevyžaduje terapii s dolofinem pro bolest, použijte postupnou titraci dávky dolů každé dva až čtyři dny, aby se zabránilo příznakům a příznakům stažení u fyzicky závislého pacienta. Nezakrývejte náhle přerušte dolofin.

Indukce/počáteční dávkování pro detoxikaci a údržbu závislosti na opioidech

Pro detoxikaci a udržování metadonu závislosti na opioidech by mělo být podáváno v souladu s standardy léčby citovaných v 42 CFR oddílu 8.12 včetně omezení podávání bez dozoru.

Podávejte počáteční dávku metadonu pod dohledem, pokud neexistují žádné známky sedace nebo intoxikace a pacient vykazuje příznaky stažení. Počáteční jediná dávka 20 až 30 mg dolofinu bude často stačit k potlačení abstinenčních symptomů. Počáteční dávka by neměla překročit 30 mg.

Pro provedení stejného dne úpravy dávkování čeká pacienta 2 až 4 hodiny na další vyhodnocení, když bylo dosaženo hladin píku. Poskytněte dalších 5 až 10 mg dolofinu, pokud nebyly postiženy abstinenční příznaky nebo pokud se znovu objeví příznaky.

Celková denní dávka dolofinu v prvním dni léčby by neměla obvykle překročit 40 mg. Upravte dávku v prvním týdnu léčby na základě kontroly abstinenčních symptomů v době očekávané maximální aktivity (např. 2 až 4 hodiny po dávkování). Při úpravě dávky mějte na paměti, že hladiny metadonu se hromadí během prvních několika dnů dávkování; Úmrtí došlo v rané léčbě v důsledku kumulativních účinků. Poskytněte pacientům, že dávka bude držet po delší dobu, protože tkáňové obchody metadonu se hromadí.

Použijte nižší počáteční dávky u pacientů, jejichž tolerance se očekává, že bude při vstupu do léčby nízká. Každý pacient, který nebral opioidy déle než 5 dní, již nemusí být tolerantní. Nejistěte počáteční dávky na základě předchozích epizod léčby nebo dolarů utracených denně při nezákonném užívání drog.

Krátkodobá detoxikace : Pro krátký průběh stabilizace následované obdobím lékařsky pod dohledu nad odstoupení pacienta na celkovou denní dávku asi 40 mg v rozdělených dávkách, aby bylo dosaženo odpovídající stabilizační úrovně. Po 2 až 3 dnech stabilizace postupně snižují dávku dolofinu. Snižte dávku dolofinu denně nebo ve dvoudenních intervalech udržujte množství dolofinu dostatečné k udržení abstinenčních symptomů na tolerovatelné úrovni. Hospitalizovaní pacienti mohou tolerovat denní snížení o 20% z celkové denní dávky. Ambulantní pacienti mohou potřebovat pomalejší plán.

Titrační a udržovací léčba detoxikace závislosti na opioidech

Titvát pacientů při udržovací léčbě dávce, která zabraňuje abstinenčním symptomům opioidů po dobu 24 hodin, snižuje hlad nebo touhu a blokuje nebo zeslabuje euforické účinky samopadaných opioidů, což zajišťuje, že pacient tolerantní vůči sedativním účinkům metadonu. Nejčastěji klinická stabilita je dosažena v dávkách mezi 80 až 120 mg/den.

Z lékařského závislosti na stažení po dobu údržby závislosti na opioidech

U pacientů, kteří si vybrali lékařsky pod dohledem od léčby metadonem, existuje značná variabilita v vhodné míře zúžení metadonu. Snížení dávky by mělo být obecně menší než 10% stanovené dávky tolerance nebo údržby a mezi snížením dávky by mělo uplynout 10 až 14denní intervaly. Oznámení pacientů s vysokým rizikem relapsu k nezákonnému užívání drog spojených s přerušením léčby metadonem.

Riziko relapsu u pacientů při udržování metadonu se závislostí na opioidech

Náhlé přerušení opioidů může vést k rozvoji symptomů odběru opioidů [viz Zneužívání a závislost drog ]. Opioid withdrawal sympnams have been associated with an increased risk of relapse na illicit drug use in susceptible patients.

Úvahy o řízení akutní bolesti během údržby metadonu

Pacienti při udržování metadonu pro závislost na opioidech, kteří zažívají fyzickou trauma pooperační bolest nebo jinou akutní bolest, nelze očekávat, že z jejich stávající dávky metadonu odvozují analgezii. Tito pacienti by měli být podávány analgetika včetně opioidů v dávkách, které by jinak byly indikovány u pacientů s ne-metadonem s podobnými bolestivými stavy. Pokud jsou opioidy vyžadovány pro léčbu akutní bolesti u pacientů s udržováním metadonu poněkud vyšší a/nebo častější dávky budou často vyžadovány, než by tomu tak bylo u netolerantních pacientů v důsledku tolerance opioidů vyvolanou metadonem.

Dávkování Adjustment During Těhotenství

Během těhotenství může být zvýšena clearance metadonu. Během těhotenství může být nutné zvýšit dávku ženského metadonu nebo se snížil interval dávkování. Metadon by měl být používán v těhotenství, pouze pokud potenciální přínos ospravedlňuje potenciální riziko pro plod [viz Použití v konkrétních populacích ].

Jak dodáno

Dávkování Forms And Strengths

Město tablets are available in 5 mg a 10 mg dosage strengths. The 5 mg tablet jsou bílé kulaté biconvex tablety skórované na jedné straně a identifikace produktu 54 162 Debossed na druhé straně. 10 mg tablety jsou bílé kulaté biconvex tablety skórovaly na jedné straně a identifikace produktu 54 549 odhlasovaných na druhé straně.

Skladování a manipulace

Město contains methadone which is a controlled substance. Like fentanyl morphine oxycodone hydromorphone a oxymorphone methadone is controlled under Schedule II of the Federal Kontrolovaná látkas Act. Město may be targeted for theft a diversion by criminals [see VAROVÁNÍS AND OPATŘENÍ ].

Vydejte se v těsném kontejneru odolném proti světelnému odolnému odolnému světlu, jak je definováno v USP/NF.

Ukládat při 20 ° až 25 ° C (68 ° až 77 ° F). [Vidět Teplota místnosti s kontrolou USP .]

Město (methadone hydrochloride USP) Tablets

5 mg tablet jsou bílé kulaté biconvex tablety skórované na jedné straně a identifikace produktu 54 162 Debossed na druhé straně.

NDC 0054-4218-25: láhev 100 tablet

10 mg tablety jsou bílé kulaté biconvex tablety skórovaly na jedné straně a identifikace produktu 54 549 odhlasovaných na druhé straně.

NDC 0054-4219-25: láhev 100 tablet

Vyžaduje se formulář objednávky DEA.

Dist. Autor:: West-Ward Pharmaceuticals Corp. Eatontown NJ 07724. Revidováno v březnu 2016

Vedlejší účinky for Dolophine

Následující závažné nežádoucí účinky jsou diskutovány jinde při označování:

  • Zneužívání a zneužívání závislosti [see VAROVÁNÍS AND OPATŘENÍ ]
  • Život ohrožující respirační depresi [viz VAROVÁNÍS AND OPATŘENÍ ]
  • Prodloužení Qt [viz VAROVÁNÍS AND OPATŘENÍ ]
  • Syndrom odběru novorozeneckého opioidu [see VAROVÁNÍS AND OPATŘENÍ ]
  • Interakce s jinými depresivními prostředky CNS [viz VAROVÁNÍS AND OPATŘENÍ ]
  • Hypotenzní efekt [viz VAROVÁNÍS AND OPATŘENÍ ]
  • Gastrointestinální účinky [viz VAROVÁNÍS AND OPATŘENÍ ]
  • Záchvaty [viz VAROVÁNÍS AND OPATŘENÍ ]

Hlavními riziky metadonu jsou respirační deprese a v menší míře systémová hypotenze. Došlo k ústavu a smrti respirační šoky a smrt.

Mezi nejčastěji pozorované nežádoucí účinky patří zvracení a pocení nevolnosti závratě sedací závratě. Zdá se, že tyto účinky jsou pro ambulantní pacienty výraznější a u těch, kteří netrpí těžkou bolestí. U těchto jedinců jsou vhodné nižší dávky.

Mezi další nežádoucí účinky patří následující:

Tělo jako celek: Astenia (slabost) Edém bolesti hlavy

Kardiovaskulární: arytmie bigeminální rytmy bradycardia kardiomyopatie EKG Abnormality Extrasystoly Srdeční selhání hypotenze Palpitace Plebititis Interval prodloužení Syncop t-wave inverze tachycardia torsades de pointes ventrikulární fibrilační komorní komorní komorní komorní tachycardia

Centrální nervový systém: Agitační zmatek dezorientace dysforie euforie insomnie halucinace záchvaty vizuální poruchy vizuální

Endokrinní: Hypogonadismus

Gastrointestinal: Břišní bolest anorexie Biliární trakt spasm Zácpa suchové ústa glossitida

Hematologické: Reverzibilní trombocytopenie byla popsána u narkomantních opioidů s chronickou hepatitidou

Metabolický: Hypokalémie hypomagnesiemie přibývání na váze

Renal: antidiuretický účinek zadržování moči nebo váhání

Reprodukční: amenorea snížila libido a/nebo účinnost snížená ejakulační objem snížil sekrece sekrece a prostaty snížené abnormality motility spermií v morfologii spermií

Respirační: Plicní edém Despirační deprese

Kůže a podkožní tkáň: Pruritus Urticaria Ostatní kožní vyrážky a zřídka hemoragická urticarie

Hypersenzitivita: Anafylaxe byla hlášena u ingrediencí obsažených v dolofinu. Poraďte pacientům, jak rozpoznat takovou reakci a kdy vyhledat lékařskou péči.

Údržba stabilizované dávky: Během delšího podávání metadonu jako v zácpě údržby metadonu a pocení často přetrvává a hypogonadismus se snížil sérový testosteron a reprodukční účinky se považují za chronické používání opioidů.

Město for the Denaxification a Maintenance Treatment of Opioid Závislost: Během indukční fáze léčby údržby metadonu jsou pacienty staženy z nedovolených opioidů a mohou mít symptomy odběru opioidů. Monitorujte pacienty s příznaky a příznaky včetně: lakrimace nosororhea kýchání a zírající nadměrné pocení husa-flessh horečka chlazení střídání s proplachovacím neklidností podrážděnost Slabost Deprese Deprese Dilatační pupily Třímové trysky a hmba a přemýšlení o tom, aby se roztříštily a přiměly k úhlu a hmuře a přimysleli se na váha a hřiště, které se zaměřují na to, že je to možné hubnutí a nití. Nastavení dávky, jak je uvedeno.

Lékové interakce for Dolophine

CNS depresivní

Současné použití dolofinu s jinými depresivními látkami CNS včetně sedativ hypnotics trankvilizéry General Anestetics Fenothiaziny Ostatní opioidy a alkohol mohou zvýšit riziko respirační deprese hluboké sedace a smrti. Monitorujte pacienty, kteří dostávají depresivy CNS a dolofin pro známky sedace respirační deprese a hypotenze.

Při kombinované terapii s některým z výše uvedených léků je považována za dávku jednoho nebo obou látek by se měla snížit [varování a preventivní opatření (5.5)].

Úmrtí byla hlášena, když byl metadon zneužíván ve spojení s benzodiazepiny.

Léky ovlivňující cytochrom P450 jsou oenzymy

Metadon podléhá jádrovým N-demetylacím pomocí izoforem cytochromu P450 (CYP) hlavně CYP3A4 CYP2B6 CYP2C19 a v menší míře CYP2C9 a CYP2D6 [viz viz CYP2C9 a CYP2D6 [viz viz CYP2C9 a CYP2D6 [viz viz CYP2C9 a CYP2D6 [viz viz CYP2C9 a CYP2D6 [viz CYP2C9 a CYP2D6 [viz Klinická farmakologie ].

Inhibitory CYP3A4 a 2C9 : Protože isoenzym CYP3A4 hraje hlavní roli v metabolismu metadonových léčiv, které inhibují aktivitu CYP3A4, může způsobit sníženou clearance metadonu, což by mohlo vést ke zvýšení metadonových plazmatických koncentrací a vést ke zvýšeným nebo prodlouženým opioidním účinkům. Tyto účinky by mohly být výraznější se současným použitím inhibitorů CYP 2C9 a 3A4. Je-li spoluzakladatelství s dolofinem nezbytné, monitorují pacienty pro despirační depresi a sedaci v častých intervalech a zvažte úpravy dávky, dokud není dosaženo stabilních účinků léčiva [viz [viz Klinická farmakologie ].

Induktory CYP3A4 : Induktory CYP450 3A4 mohou indukovat metabolismus metadonu, a proto mohou způsobit zvýšenou clearance léčiva, což by mohlo vést ke snížení metadonových plazmatických koncentrací nedostatečné účinnosti nebo možná rozvoje abstinenčního syndromu u pacienta, který se vyvinul fyzickou závislost na metadonu. Je-li spoluzakladatel s dolofinem nezbytný monitor pro známky odběru opioidů a zvažte úpravy dávky, dokud nebude dosaženo stabilních účinků léku [viz [Viz Klinická farmakologie ].

Po zastavení léčby induktoru CYP3A4, protože účinky induktoru poklesu plazmatické koncentrace metadonu se zvýší, což by mohlo zvýšit nebo prodloužit jak terapeutické, tak nežádoucí účinky a může způsobit vážnou respirační depresi. Je-li společné podávání nebo přerušení induktoru CYP3A4 dolofinem nezbytným monitorem pro známky odběru opioidů a zvažte úpravy dávky, dokud není dosaženo stabilních účinků léku [viz viz Klinická farmakologie ].

Paradoxní účinky antiretrovirových látek na dolofin : Concurrent use of certain antiretroviral agents with CYP3A4 inhibitory activity alone and in combination such as abacavir amprenavir darunavir ritonavir efavirenz nelfinavir nevirapine ritonavir telaprevir lopinavir ritonavir saquinavir ritonavir and tipranvir ritonavir has resulted in zvýšená vůle nebo snížené plazmatické hladiny metadonu. To může mít za následek sníženou účinnost dolofinu a mohlo by to vyvolat abstinenční syndrom. Monitorujte pacienty s metadonem, kteří dostávají některou z těchto antiretrovirových terapií, úzce pro důkaz o odstoupení a podle toho upravte dávku metadonu.

Účinky dolofinu na antiretrovirové látky : Didanosin a Stavudin: Experimentální důkazy prokázaly, že metadon snížil plochu pod křivkou koncentrace (AUC) a hladiny píku pro didanosin a stavudin s významnějším poklesem pro didanosin. Dispozice metadonu nebyla podstatně změněna.

Zidovudin : Experimentální důkazy prokázaly, že metadon zvýšil AUC zidovudinu, což by mohlo vést k toxickým účinkům.

Potenciálně arytmogenní činidla

Monitor patients closely for cardiac conduction changes when any drug known to have the potential to prolong the QT interval is prescribed in conjunction with methadone. Pharmacodynamic interactions may occur with concomitant use of methadone and potentially arrhythmogenic agents such as class I and III antiarrhythmics some neuroleptics and tricyclic antidepressants and calcium channel blockers.

Podobně pečlivě sledujte pacienty při přepisu metadonu souběžně s léky schopnými vyvolávat poruchy elektrolytu (hypomagnesémie hypokalémie), která může prodloužit interval QT včetně projímadel diuretik a ve vzácných případech mineralokortikoidní hormony.

Smíšená agonista/antagonista a částečná analgetika opioidů agonistů

Smíšené agonista/antagonista (tj. Pentazocin Nalbuphine a butorfanol) a analgetika částečného agonisty (buprenorfin) mohou snížit analgetický účinek dolofinu nebo srážející abstinenční symptomy. Vyvarujte se použití smíšeného agonisty/antagonisty a částečného agonistického analgetiky u pacientů, kteří dostávají dolofin.

Antidepresiva

Inhibitory monoamin oxidázy (MAO) : Terapeutické dávky meperidinu vyvolaly závažné reakce u pacientů, kteří současně dostávali inhibitory monoamin oxidázy nebo těch, kteří takové látky dostávali do 14 dnů. Podobné reakce dosud nebyly hlášeny u metadonu. Pokud je však u takových pacientů nezbytný použití metadonu, měl by být proveden test citlivosti, u nichž se opakované malé přírůstkové dávky metadonu podávají v průběhu několika hodin, zatímco stav pacienta a vitální příznaky jsou pečlivě pozorovány.

Popis : Hladiny desipraminu v krvi se zvýšily se souběžným podáním metadonu.

Anticholinergika

Anticholinergika or other drugs with anticholinergic activity when used concurrently with opioids may result in increased risk of urinary retention a/or severe zácpa which may lead na paralytic ileus. Moninar patients for signs of urinary retention or reduced gastric motility when Město is used concurrently with anticholinergic drugs.

Laboratorní testovací interakce

U několika léčiv byly hlášeny falešně pozitivní močové léčivo pro metadon včetně difenhydramin doxylamin clomipramin chlorpromazin thioridazin quetiapin a verapamil.

Zneužívání a závislost drog

Kontrolovaná látka

Metadon je muagonistický opioid s odpovědností za zneužívání podobnou jiným opioidním agonistům a je kontrolovanou látkou II. Metadon může být zneužíván a je předmětem zneužití závislosti a trestního odklonu [viz VAROVÁNÍS AND OPATŘENÍ ].

Zneužívání

Všichni pacienti léčeni opioidy pro léčbu bolesti vyžadují pečlivé sledování příznaků zneužívání a závislosti, protože používání analgetických produktů opioidů přináší riziko závislosti i při vhodném lékařském použití.

Zneužívání drog je úmyslné neterapeutické užívání volně prodejného nebo léčiva na předpis, i jednou pro jeho odměňující psychologické nebo fyziologické účinky. Zneužívání drog zahrnuje, ale není omezeno na následující příklady: použití předpisu nebo protiopalkové léčivo k získání vysokého nebo použití steroidů pro zvýšení výkonu a nahromadění svalů.

Drogová závislost je shluk kognitivních a fyziologických jevů, které se vyvíjejí po opakovaném užívání návykových látek a zahrnují: silná touha užívat drogové potíže při kontrole jeho užívání přetrvávajícího v jeho používání, a to i přes škodlivé důsledky, která je dána k užívání drog, než na jiné činnosti a závazky zvýšily toleranci a někdy i fyzickou stažení.

Chování hledání drog je velmi běžné u závislých a zneužívání drog. Mezi taktika hledání drog patří tísňová volání nebo návštěvy na konci úředních hodin odmítnutí podstoupit příslušné zkoušky nebo doporučení opakované tvrzení o ztracených předpisech, které manipulují s předpisy a neochota poskytovat předchozí lékařské záznamy nebo kontaktní informace pro jiné léčby lékařem. Nakupování lékaře (návštěva více předepisujících předepisovatelů), aby se získala další recepty, je běžná u zneužívajících drog a lidmi trpících neléčenou závislostí. Zájem o dosažení přiměřené úlevy od bolesti může být vhodným chováním u pacienta se špatnou kontrolou bolesti.

Zneužívání a addiction are separate a distinct z physical dependence a nalerance. Physicians should be aware that addiction may ne be accompanied by concurrent nalerance a sympnams of physical dependence in all addicts. In addition abuse of opioids can occur in the absence of true addiction.

Město like other opioids can be diverted for non-medical use inna illicit channels of distribution. Careful record- keeping of prescribing information including quantity frequency a renewal requests as required by state law is strongly advised.

Rizika specifická pro zneužívání dolofinu

Zneužívání of Město poses a risk of overdose a death. This risk is increased with concurrent abuse of methadone a alcohol or other substances. Město is for oral use only a must ne be injected. Parenteral drug abuse is commonly associated with transmission of infectious diseases such as hepatitis a HIV.

Správné posouzení a výběr správných postupů předepisování pacienta Periodické přehodnocení terapie a řádného výdeje a skladování jsou vhodnými opatřeními, která pomáhají omezit zneužívání opioidních léků.

Závislost

Tolerance i fyzikální závislost se mohou vyvinout během chronické terapie opioidy. Tolerance je potřeba zvyšování dávek opioidů k ​​udržení definovaného účinku, jako je analgezie (v nepřítomnosti progrese onemocnění nebo jiné vnější faktory). Tolerance může dojít k požadovaným i nežádoucím účinkům léčiv a může se rozvíjet různou rychlostí pro různé účinky.

Fyzická závislost má za následek abstinenční příznaky po prudkém přerušení nebo významnému snížení dávky léčiva. Stažení může být také vysráženo podáváním drog s aktivitou antagonisty opioidů, např. Analgetika naloxonu smíšená agonista/antagonistická analgetika (pentazocin butorfanol nalbuphine) nebo parciální agonisté (buprenorfin). Fyzikální závislost nemusí dojít do klinicky významného míry až po několika dnech až týdnech pokračujícího používání opioidů.

Město should ne be abruptly discontinued [see Dávkování a podávání ]. If Město is abruptly discontinued in a physically dependent patient an abstinence syndrome may occur. Some or all of the following can characterize this syndrome: neklid lacrimation rhinorrhea yawning perspiration chills myalgia a mydriasis. Other signs a sympnams also may develop including irritability úzkost backache joint pain slabost abdominal cramps insomnia nevolnost anorexia zvracení průjem or increased blood pressure respiranary rate or heart rate.

Použití v konkrétních populacích a VAROVÁNÍS AND OPATŘENÍ ].

Vedlejší účinky for Dolophine

Následující závažné nežádoucí účinky jsou diskutovány jinde při označování:

  • Zneužívání a zneužívání závislosti [see VAROVÁNÍS AND OPATŘENÍ ]
  • Život ohrožující respirační depresi [viz VAROVÁNÍS AND OPATŘENÍ ]
  • Prodloužení Qt [viz VAROVÁNÍS AND OPATŘENÍ ]
  • Syndrom odběru novorozeneckého opioidu [see VAROVÁNÍS AND OPATŘENÍ ]
  • Interakce s jinými depresivními prostředky CNS [viz VAROVÁNÍS AND OPATŘENÍ ]
  • Hypotenzní efekt [viz VAROVÁNÍS AND OPATŘENÍ ]
  • Gastrointestinální účinky [viz VAROVÁNÍS AND OPATŘENÍ ]
  • Záchvaty [viz VAROVÁNÍS AND OPATŘENÍ ]

Hlavními riziky metadonu jsou respirační deprese a v menší míře systémová hypotenze. Došlo k nárazu a smrt res PiratoryArrest Shock.

Mezi nejčastěji pozorované nežádoucí účinky patří zvracení a pocení nevolnosti závratě sedací závratě. Zdá se, že tyto účinky jsou pro ambulantní pacienty výraznější a u těch, kteří netrpí těžkou bolestí. U těchto jedinců jsou vhodné nižší dávky.

Mezi další nežádoucí účinky patří následující:

Tělo jako celek: Astenia (slabost) Edém bolesti hlavy

Kardiovaskulární: arytmie bigeminální rytmy bradykardie kardiomyopatie EKG abnormality Extrasystoly Srdeční selhání hypotenze Palpitace Plebititis qt interval prodloužení Syncop t-wave Inversion Torsia Torsia Dysphoalia Dysphoalia Dysphoalia Dysphoalia Dysphoatia Dysphoalia Dysphoalia Dysphotia Dysphoalia Dysphoation Dysphiation Dysphoption Dysphotia Cornhoria Dysphotia Dysphotia Dysphotia Cornhoria Cornhoria Torsia Cornhorular Fibrilation Traticular Conteria Torsial Fibrilation Kontrolka Tryphoia. Halucinace Euphoria Insomnia záchvaty vizuálních poruch

Endokrinní: Hypogonadismus

Gastrointestinal: Břišní bolest anorexie Biliární trakt spasm Zácpa suchové ústa glossitida

Hematologické: Reverzibilní trombocytopenie byla popsána u narkomantních opioidů s chronickou hepatitidou

Metabolický: Hypokalémie hypomagnesiemie přibývání na váze

Renal: antidiuretický účinek zadržování moči nebo váhání

Reprodukční: amenorea snížila libido a/nebo účinnost snížená ejakulační objem snížil sekrece sekrece a prostaty snížené abnormality motility spermií v morfologii spermií

Respirační: Plicní edém Despirační deprese

Kůže a podkožní tkáň: Pruritus Urticaria Ostatní kožní vyrážky a zřídka hemoragická urticarie

Hypersenzitivita: Anafylaxe byla hlášena s přísadami obsaženými v tabletách hydrochloridu metadonu. Poraďte pacientům, jak rozpoznat takovou reakci a kdy vyhledat lékařskou péči.

Údržba stabilizované dávky: During prolonged administration of methadone as in a methadone maintenance treatment program zácpa a pocení often persist a Hypogonadismus decreased serum tesnasterone a reproductive effects are thought na be related na chronic opioid use.

Tablety hydrochloridu metadonu pro detoxikaci a údržbu závislosti na opioidech

Během indukční fáze léčby údržby metadonu jsou pacienty staženy z nedovolených opioidů a mohou mít symptomy odběru opioidů. Monitorujte pacienty s příznaky a příznaky včetně: lakrimace nosororhea kýchání a zírající nadměrné pocení husa-flessh horečka chlazení střídání s proplachovacím neklidností podrážděnost Slabost Deprese Deprese Dilatační pupily Třímové trysky a hmba a přemýšlení o tom, aby se roztříštily a přiměly k úhlu a hmuře a přimysleli se na váha a hřiště, které se zaměřují na to, že je to možné hubnutí a nití. Nastavení dávky, jak je uvedeno.

Lékové interakce for Dolophine

CNS depresivní

Současné použití tablet hydrochloridu metadonu s jinými depresivními látkami CNS včetně sedativ Hypnotics Tranquilizers General Anestetics Fenothiaziny Ostatní opioidy a alkohol mohou zvýšit riziko respirační deprese hluboké sedace a smrti. Monitorujte pacienty, kteří dostávají depresivy CNS a tablety hydrochloridu metadonu pro známky sedace respirační deprese a hypotenze.

Při kombinované terapii s některým z výše uvedených léků je považována za dávku jednoho nebo obou látek by se měla snížit [varování a preventivní opatření (5.5)].

Úmrtí byla hlášena, když byl metadon zneužíván ve spojení s benzodiazepiny.

Léky ovlivňující cytochrom P450 isoenzymy

Metadon podléhá jádrovým N-demetylacím pomocí izoforem cytochromu P450 (CYP) hlavně CYP3A4 CYP2B6 CYP2C19 a v menší míře CYP2C9 a CYP2D6 [viz viz CYP2C9 a CYP2D6 [viz viz CYP2C9 a CYP2D6 [viz viz CYP2C9 a CYP2D6 [viz viz CYP2C9 a CYP2D6 [viz CYP2C9 a CYP2D6 [viz Klinická farmakologie ].

Inhibitory CYP3A4 a 2C9

Protože isoenzym CYP3A4 hraje hlavní roli v metabolismu metadonových léčiv, které inhibují aktivitu CYP3A4, může způsobit sníženou clearance metadonu, což by mohlo vést ke zvýšení metadonových plazmatických koncentrací a vést ke zvýšeným nebo prodlouženým opioidním účinkům. Tyto účinky by mohly být výraznější se současným použitím inhibitorů CYP 2C9 a 3A4. Je-li nezbytné spolupracovat s metadonem hydrochloridovým tabletím, monitorujte pacienty pro respirační depresi a sedaci v častých intervalech a zvažte úpravy dávky, dokud není dosaženo stabilních lékových účinků [viz viz Klinická farmakologie ].

Induktory CYP3A4

Induktory CYP450 3A4 mohou indukovat metabolismus metadonu, a proto mohou způsobit zvýšenou clearance léčiva, což by mohlo vést ke snížení metadonových plazmatických koncentrací nedostatečné účinnosti nebo možná rozvoje abstinenčního syndromu u pacienta, který se vyvinul fyzickou závislost na metadonu. Je-li nezbytný monitor pro příznaky stažení opioidů a zvažte úpravy dávky, dokud nebude dosaženo stabilních účinků léku [viz, je nutné spolupracovat s tabletami hydrochloridu hydrochloridu metadonu Klinická farmakologie ].

Po zastavení léčby induktoru CYP3A4, protože účinky induktoru poklesu plazmatické koncentrace metadonu se zvýší, což by mohlo zvýšit nebo prodloužit jak terapeutické, tak nežádoucí účinky a může způsobit vážnou respirační depresi. Je-li nezbytný monitor pro známky stažení opioidů a zvažte úpravy dávky, dokud nebude dosaženo, dokud nebude dosaženo stabilní účinky léčiva nebo nedosažení stabilních účinků léku. [vidět Klinická farmakologie ].

Paradoxní účinky antiretrovirových látek na tablety hydrochloridu metadonu

Concurrent use of certain antiretroviral agents with CYP3A4 inhibitory activity alone and in combination such as abacavir amprenavir darunavir ritonavir efavirenz nelfinavir nevirapine ritonavir telaprevir lopinavir ritonavir saquinavir ritonavir and tipranvir ritonavir has resulted in zvýšená vůle or decreased plasma levels of methadone. This may result in reduced efficacy of methadone hydrochloride tablets a could precipitate a withdrawal syndrome. Moninar methadonemaintained patients receiving any of these anti-retroviral therapies closely for evidence of withdrawal effects a adjust the methadone dose accordingly.

Účinky tablet hydrochloridu metadonu na antiretrovirové činidla: didanosin a stavudin : Experimentální důkazy prokázaly, že metadon zmenšil plochu pod křivkou koncentrace (AUC) a hladiny píku pro didanosin a stavudin s významnějším poklesem pro didanosin. Dispozice metadonu nebyla podstatně změněna.

Zidovudin : Experimentální důkazy prokázaly, že metadon zvýšil AUC zidovudinu, což by mohlo vést k toxickým účinkům.

Potenciálně arytmogenní činidla

Monitor patients closely for cardiac conduction changes when any drug known to have the potential to  prolong the QT interval is prescribed in conjunction with methadone. Pharmacodynamic interactions may occur with concomitant use of methadone and potentially arrhythmogenic agents such as class I and III antiarrhythmics some neuroleptics and tricyclic antidepressants and calcium channel blockers.

Podobně pečlivě sledujte pacienty při předepisování metadonu souběžně s léky schopnými vyvolat poruchy elektrolytu (hypomagnesiemie hypokalémie), která může prodloužit QT interval

Smíšená agonista/antagonista a částečná analgetika opioidů agonistů

Smíšený agonista/antagonista (tj. Pentazocin Nalbuphine a butorfanol) a částečný agonista (buprenorfin) analgetika mohou snížit analgetický účinek metadonových hydrochloridových tablet nebo vyvolat abstinenční příznaky. Vyvarujte se použití smíšeného agonisty/antagonisty a analgetiky agonisty u pacientů, kteří dostávají tablety hydrochloridu metadonu.

Antidepresiva

Inhibitory monoamin oxidázy (MAO)

Terapeutické dávky meperidinu vyvolaly závažné reakce u pacientů, kteří současně dostávali inhibitory monoamin oxidázy nebo těch, kteří takové látky dostávali do 14 dnů. Podobné reakce dosud nebyly hlášeny u metadonu. Pokud je však u takových pacientů nezbytný použití metadonu, měl by být proveden test citlivosti, u nichž se opakované malé přírůstkové dávky metadonu podávají v průběhu několika hodin, zatímco stav pacienta a vitální příznaky jsou pečlivě pozorovány.

Popis

Hladiny desipraminu v krvi se zvýšily se souběžným podáním metadonu.

Anticholinergika

Anticholinergika or other drugs with anticholinergic activity when used concurrently with opioids may result in increased risk of urinary retention a/or severe zácpa which may lead na paralytic ileus. Moninar patients for signs of urinary retention or reduced gastric motility when methadone hydrochloride tablets is used concurrently with anticholinergic drugs.

Laboratorní testovací interakce

U několika léčiv byly hlášeny falešně pozitivní močové léčivo pro metadon včetně difenhydramin doxylamin clomipramin chlorpromazin thioridazin quetiapin a verapamil.

Zneužívání a závislost drog

Kontrolovaná látka

Metadon je muagonistický opioid s odpovědností za zneužívání podobnou jiným opioidním agonistům a je kontrolovanou látkou II. Metadon může být zneužíván a je předmětem zneužití závislosti a trestního odklonu [viz VAROVÁNÍS AND OPATŘENÍ ].

Zneužívání

Všichni pacienti léčeni opioidy pro léčbu bolesti vyžadují pečlivé sledování příznaků zneužívání a závislosti, protože používání analgetických produktů opioidů přináší riziko závislosti i při vhodném lékařském použití.

Zneužívání drog je úmyslné neterapeutické užívání volně prodejného nebo léčiva na předpis, i jednou pro jeho odměňující psychologické nebo fyziologické účinky. Zneužívání drog zahrnuje, ale není omezeno na následující příklady: použití předpisu nebo protiopalkové léčivo k získání vysokého nebo použití steroidů pro zvýšení výkonu a nahromadění svalů.

Drogová závislost je shluk kognitivních a fyziologických jevů, které se vyvíjejí po opakovaném užívání návykových látek a zahrnují: silná touha užívat drogové potíže při kontrole jeho užívání přetrvávajícího v jeho používání, a to i přes škodlivé důsledky, která je dána k užívání drog, než na jiné činnosti a závazky zvýšily toleranci a někdy i fyzickou stažení.

Chování hledání drog je velmi běžné u závislých a zneužívání drog. Mezi taktika hledání drog patří tísňová volání nebo návštěvy na konci úředních hodin odmítnutí podstoupit příslušné zkoušky nebo doporučení opakované tvrzení o ztracených předpisech, které manipulují s předpisy a neochota poskytovat předchozí lékařské záznamy nebo kontaktní informace pro jiné léčby lékařem. Nakupování lékaře (návštěva více předepisujících předepisovatelů), aby se získala další recepty, je běžná u zneužívajících drog a lidmi trpících neléčenou závislostí. Zájem o dosažení přiměřené úlevy od bolesti může být vhodným chováním u pacienta se špatnou kontrolou bolesti.

Zneužívání a addiction are separate a distinct z physical dependence a nalerance. Physicians should be aware that addiction may ne be accompanied by concurrent nalerance a sympnams of physical dependence in all addicts. In addition abuse of opioids can occur in the absence of true addiction.

Tablet hydrochloridu metadonu, jako jsou ostatní opioidy, lze odklonit pro nelékařské použití do nezákonných distribučních kanálů. Důrazně se doporučuje pečlivé uchování informací o předepisování předepisování, včetně požadavků na frekvenci kvantity a obnovy, jak vyžaduje státní právo.

Rizika specifická pro zneužívání tablet hydrochloridu metadonu

Zneužívání of methadone hydrochloride tablet poses a risk of overdose a death. This risk is increased with concurrent abuse of methadone a alcohol or other substances. Methadone hydrochloride tablet is for oral use only a must ne be injected. Parenteral drug abuse is commonly associated with transmission of infectious diseases such as hepatitis a HIV.

Správné posouzení a výběr správných postupů předepisování pacienta Periodické přehodnocení terapie a řádného výdeje a skladování jsou vhodnými opatřeními, která pomáhají omezit zneužívání opioidních léků.

Závislost

Tolerance i fyzikální závislost se mohou vyvinout během chronické terapie opioidy. Tolerance je potřeba zvyšování dávek opioidů k ​​udržení definovaného účinku, jako je analgezie (v nepřítomnosti progrese onemocnění nebo jiné vnější faktory). Tolerance může dojít k požadovaným i nežádoucím účinkům léčiv a může se rozvíjet různou rychlostí pro různé účinky.

Fyzická závislost má za následek abstinenční příznaky po prudkém přerušení nebo významnému snížení dávky léčiva. Stažení může být také vysráženo podáváním drog s aktivitou antagonisty opioidů, např. Analgetika naloxonu smíšená agonista/antagonistická analgetika (pentazocin butorfanol nalbuphine) nebo parciální agonisté (buprenorfin). Fyzikální závislost nemusí dojít do klinicky významného míry až po několika dnech až týdnech pokračujícího používání opioidů.

Tablety hydrochloridu metadonu by neměly být náhle přerušeny [viz Dávkování a podávání ]. If methadone hydrochloride tablet is abruptly discontinued in a physically dependent patient an abstinence syndrome may occur. Some or all of the following can characterize this syndrome: neklid lacrimation rhinorrhea yawning perspiration chills myalgia a mydriasis. Other signs a sympnams also may develop including irritability úzkost backache joint pain slabost abdominal cramps insomnia nevolnost anorexia zvracení průjem or increased blood pressure respiranary rate or heart rate.

Kojenci narozené matkám fyzicky závislým na opioidech budou také fyzicky závislé a mohou vykazovat potíže s dýcháním a abstinenční příznaky [viz viz Použití v konkrétních populacích a VAROVÁNÍS AND OPATŘENÍ ].

Varování pro dolofin

Zahrnuto jako součást OPATŘENÍ sekce.

Opatření pro dolofin

Zneužívání a zneužívání závislosti

Město contains methadone a Schedule II controlled substance. As an opioid Město exposes users na the risks of addiction abuse a misuse [see Zneužívání a závislost drog ]. As long-acting opioids such as Město have pharmacological effects over an extended period of time there is a greater risk for overdose a death.

Ačkoli riziko závislosti u jakéhokoli jednotlivce není známo, může se vyskytnout u pacientů vhodně předepsaných dolofin a u těch, kteří lék získají nezákonně. Závislost může nastat při doporučených dávkách a pokud je lék zneužíván nebo zneužíván.

Před předepisováním dolofinu a sledováním všech pacientů, kteří dostávají dolofin, posoudit riziko zneužívání nebo zneužití závislosti na opioidech každého pacienta pro rozvoj těchto chování nebo podmínek. Rizika se zvyšuje u pacientů s osobní nebo rodinnou anamnézou zneužívání návykových látek (včetně drogy nebo

Zneužívání or misuse of Město by crushing chewing snorting or injecting the dissolved product will result in the uncontrolled delivery of the methadone a can result in overdose a death [see Předávkování ].

Opioidní agonisté, jako je dolofin, hledají drogové násilníky a lidé s poruchami závislosti a podléhají trestnému odklonu. Zvažte tato rizika při předepisování nebo vydávání dolofinu. Strategie ke snížení těchto rizik zahrnují předepisování léku v nejmenším vhodném množství a poradenství pacientovi k řádné likvidaci nepoužitého léčiva [viz Informace o pacientu ]. Contact local state professional licensing board or state controlled substances authority for information on how na prevent a detect abuse or diversion of this product.

Život ohrožující respirační deprese

Při použití dlouhodobě působících opioidů byla hlášena vážná život ohrožující život nebo fatální respirační deprese, i když se používá podle doporučení. Despirační deprese z užívání opioidů, pokud není okamžitě rozpoznána a léčena, může vést k zatčení a smrti dýchacích cest. Řízení respirační deprese může zahrnovat podpůrné opatření a použití opioidních antagonistů v závislosti na klinickém stavu pacienta [viz viz Předávkování ]. Carbon dioxide (CO2) Retence z respirační deprese vyvolané opioidy může zhoršit sedační účinky opioidů.

Zatímco vážné život ohrožující nebo fatální respirační deprese může nastat kdykoli během použití dolofinu, riziko je největší během zahájení terapie nebo po zvýšení dávky. Vrchol respiračního deprese depresivního účinku metadonu se vyskytuje později a přetrvává déle než špičkový analgetický účinek, zejména během počátečního období dávkování. Při zahájení terapie pomocí dolofinu a po zvýšení dávky pečlivě sledujte pacienty s respirační depresí.

Pro snížení rizika respirační deprese správné dávkování a titrace dolofinu jsou nezbytné [viz Dávkování a podávání ]. Overestimating the Město dose when converting patients z aneher opioid product can result in fatal overdose with the first dose.

Náhodné požití i jedné dávky dolofinu, zejména u dětí, může vést k depresi a smrti respirační deprese a smrti v důsledku předávkování metadonem.

Životní prodloužení QT

Během léčby metadonem byly pozorovány případy prodloužení QT intervalu a vážné arytmie (Torsades de Points). Zdá se, že tyto případy jsou častěji spojeny, ale neomezují se na léčbu vyšší dávky (> 200 mg/den). Většina případů zahrnuje pacienty léčeni na bolest s velkými vícenásobnými denními dávkami metadonu, ačkoli případy byly hlášeny u pacientů, kteří dostávají dávky běžně používané pro udržovací léčbu závislosti na opioidech. U většiny pacientů o nižších dávkách byly zaznamenány jako přispívající faktory, které byly obvykle používány pro udržování souběžných léků a/nebo klinických stavů, jako je hypokalémie. Důkazy však silně naznačují, že metadon má u některých pacientů potenciál pro nepříznivé účinky srdečního vedení. Účinky metadonu na interval QT byly potvrzeny v nadarmo Bylo prokázáno, že laboratorní studie a metadon inhibují srdeční draslíkové kanály v in vitro studie.

Úzce sledujte pacienty s rizikovými faktory pro vývoj prodlouženého QT intervalu (např. Srdeční hypertrofie Současná diuretická použití hypomagnezie hypomagnezie) v anamnéze abnormalit srdečního vedení a pacientů užívajících léky ovlivňující srdeční vedení. Prodloužení QT bylo také hlášeno u pacientů bez předchozí srdeční anamnézy, kteří dostávali vysoké dávky metadonu.

Vyhodnoťte pacienty, kteří se rozvíjejí prodloužení QT, zatímco na léčbě metadonu na přítomnost modifikovatelných rizikových faktorů, jako jsou doprovodné léky se srdečními účinky, které by mohly způsobit abnormality elektrolytu a léky, které by mohly působit jako inhibitory metadonového metabolismu.

Zahájení dolofinové terapie bolesti u pacientů, u nichž očekávaný přínos převažuje nad rizikem prodloužení QT a vývoje dysrhytmií, které byly hlášeny s vysokými dávkami metadonu.

Použití metadonu u pacientů, které již bylo známo, že mají prodloužený QT interval, nebylo systematicky studováno.

Syndrom odběru novorozeneckého opioidu

Dlouhodobé použití dolofinu během těhotenství může vést k náznakům pro stažení u novorozence. Neonatální syndrom odběru opioidů na rozdíl od syndromu odběru opioidů u dospělých může být životnost, pokud není rozpoznána a léčena a vyžaduje řízení podle protokolů vyvinutých odborníky na novorozence. Pokud je užívání opioidů vyžadováno po delší dobu u těhotné ženy, radí pacientovi o riziku syndromu stažení opioidů a zajistí, že bude k dispozici vhodná léčba.

Může keflex léčit infekci sinus

Syndrom stažení novorozeneckého opioidu představuje jako podrážděnost hyperaktivita a abnormální vzor spánku Vysoký výkřik zvracení Cry Tremor zvracení a selhání přibývání na váze. Doba trvání a závažnosti syndromu odběru opioidů novorozeneckých opioidů se liší v závislosti na konkrétním opioidu používaném načasování používání a množství posledního užívání matek a míry eliminace drogy novorozencem [viz viz Použití ve speciálních populacích ].

Interakce s depresivními prostředky centrálního nervového systému

Hypotenze hluboká sedace sedace respirační deprese a smrt může dojít, pokud je dolofin používán souběžně s depresivními látkami s alkoholem nebo jiným centrálním nervovým systémem (CNS) (např. Sedativa axiolytika hypnotika neuroleptik jiných opioidů).

Při zvažování použití dolofinu u pacienta s depresivním depresí CNS vyhodnotí dobu používání depresivního látek CNS a reakce pacienta, včetně stupně tolerance, která se vyvinula na depresi CNS. Dále vyhodnotit užívání alkoholu nebo nezákonných drog pacienta, které způsobují depresi CNS. Pokud se rozhodne zahájit dolofin, začněte s dolofinem 2,5 mg každých 12 hodin monitorujte pacienty s příznaky sedace a respirační deprese a zvažte použití nižší dávky doprovodných depresivních CNS [viz viz Lékové interakce ].

Používejte u starších kachektických a oslabených pacientů

Životní respirační deprese je pravděpodobnější, že se vyskytne u starších kachektických nebo desilitovaných pacientů, protože mohou ve srovnání s mladšími zdravějšími pacienty změnit farmakokinetiku nebo změněnou vůli. Při zahájení a titraci dolofinu monitorujte takové pacienty, zvláště zejména Život ohrožující respirační deprese ].

Používání u pacientů s chronickým plicním onemocněním

Monitor patients with significant chronic obstructive pulmonary disease or cor pulmonale and patients having a substantially decreased respiratory reserve hypoxia hypercapnia or pre-existing respiratory depression for respiratory depression particularly when initiating therapy and titrating with DOLOPHINE as in these patients even usual therapeutic doses of DOLOPHINE may decrease respiratory drive to the point of apnea [see Život ohrožující respirační deprese ]. Pokud je to možné, zvažte použití alternativních nepioidních analgetik u těchto pacientů.

Hypotenzní účinek

Město may cause severe hypotension including orthostatic hypotension a syncope in ambulanary patients. There is an increased risk in patients whose ability na maintain blood pressure has already been compromised by a reduced blood volume or concurrent administration of certain CNS depressant drugs (e.g. phenehiazines or general anesthetics) [see Lékové interakce ]. Moninar these patients for signs of hypotension after initiating or titrating the dose of Město.

Použití u pacientů s poškozením hlavy nebo zvýšeným intrakraniálním tlakem

Monitorujte pacienty užívající dolofin, kteří mohou být citliví na intrakraniální účinky retence CO2 (např. Pacienti s důkazem zvýšeného intrakraniálního tlaku nebo nádorů mozku) na známky sedace a respirační deprese, zejména při zahájení terapie dolofinem. Dolofin může snížit respirační pohon a výsledná retence CO2 může dále zvýšit intrakraniální tlak. Opioidy mohou také zakrývat klinický průběh u pacienta s poraněním hlavy.

Vyvarujte se použití dolofinu u pacientů se zhoršeným vědomím nebo kómatem.

Používání u pacientů s gastrointestinálními podmínkami

Město is contraindicated in patients with paralytic ileus. Avoid the use of Město in patients with other gastrointestinal obstruction.

Metadon v dolofinu může způsobit křeč svěrače Oddi. Monitorujte pacienty s onemocněním biliárního traktu včetně akutní pankreatitidy pro zhoršující se příznaky. Opioidy mohou způsobit zvýšení sérové ​​amylázy.

Používejte u pacientů s poruchami křeče nebo záchvatů

Metadon v dolofinu může zhoršit křeče u pacientů s křečovými poruchami a může v některých klinických prostředích vyvolat nebo zhoršit záchvaty. Sledujte pacienty s anamnézou poruch záchvatů pro zhoršenou kontrolu záchvatů během terapie dolofinové.

Vyhýbání se stažení

Vyvarujte se použití smíšeného agonisty/antagonisty (tj. Pentazocin nalbuphine a butorfanolu) a částečného agonisty (buprenorfinu) analgetiky u pacientů, kteří dostávali nebo dostávají terapii s plnou opioidní agonistickou analgetikou včetně dolofinu. U těchto pacientů může smíšená agonisty/antagonista a částečná analgetika agonistů snížit analgetický účinek a/nebo může vyvolat abstinenční příznaky [viz viz Lékové interakce ].

Při přechodu dolofinu postupně zužujte dávku [viz Dávkování a podávání ]. Do ne abruptly discontinue Město.

Řízení a provozní stroje

Město may impair the mental or physical abilities needed na perform potentially hazardous activities such as driving a car or operating machinery. Warn patients ne na drive or operate dangerous machinery unless they are nalerant na the effects of Město a know how they will react na the medication.

Informace o poradenství pro pacienta

Doporučujte pacientovi, aby si přečetl značení pacienta schváleného FDA ( Průvodce léky )

Zneužívání a zneužívání závislosti

Informujte pacienty, že použití dolofinu, i když je přijato podle doporučení VAROVÁNÍS AND OPATŘENÍ ]. Instruct patients ne na share Město with others a na take steps na protect Město z theft or misuse.

Život ohrožující respirační deprese

Informujte pacienty o riziku život ohrožující despirační deprese, včetně informací, že riziko je největší při spuštění dolofinu nebo při zvýšení dávky a že se může vyskytnout i při doporučených dávkách [viz viz VAROVÁNÍS AND OPATŘENÍ ]. Advise patients how na recognize respiranary depression a na seek medical attention if breathing difficulties develop.

Náhodné požití

Informujte pacienty, že náhodné požití, zejména u dětí, může mít za následek respirační depresi nebo smrt [viz VAROVÁNÍS AND OPATŘENÍ ]. Instruct patients na take steps na snare Město securely a na dispose of unused Město by flushing the tablets down the nailet.

Příznaky arytmie

Poskytněte pacientům, aby okamžitě vyhledali lékařskou pomoc, pokud zažijí příznaky naznačující arytmii (jako jsou palpitace poblíž synkopy nebo synkopy) při užívání metadonu.

Syndrom odběru novorozeneckého opioidu

Informujte pacienty o reprodukčním potenciálu, že dlouhodobé použití dolofinu během těhotenství může mít za následek syndrom stažení novorozence, který může být život ohrožující, pokud není rozpoznán a léčen [viz viz VAROVÁNÍS AND OPATŘENÍ ].

Interakce s alkoholem a jinými depresivními látkami CNS

Informujte pacienty, že potenciálně závažné aditivní účinky mohou nastat, pokud se dolofin používá s alkoholem nebo jinými depresivy CNS a nepoužívá takové léky, pokud není pod dohledem poskytovatele zdravotní péče pod dohledem.

Důležité pokyny pro správu

Pokyn pacientům, jak správně užívat dolofin, včetně následujícího:

  • Použijte dolofin přesně tak, jak je předepsán ke snížení rizika život ohrožujících nežádoucích účinků (např. Despirační deprese)
  • Nepřesáhněte dolofin, aniž byste nejprve diskutovali o potřebě zužujícího se režimu s předepisujícím lékařem
Hypotenze

Informujte pacienty, že dolofin může způsobit ortostatickou hypotenzi a synkopu. Poskytněte pacientům, jak rozpoznat příznaky nízkého krevního tlaku a jak snížit riziko vážných důsledků, pokud by měla dojít k hypotenzi (např. Sedět nebo ležet pečlivě zvednout z pozici nebo lhaní).

Řízení nebo provozování těžkých strojů

Informujte pacienty, že dolofin může narušit schopnost provádět potenciálně nebezpečné činnosti, jako je řízení automobilu nebo provozování těžkých strojů. Doporučujte pacientům, aby takové úkoly neprovedli, dokud neví, jak budou reagovat na léky.

Zácpa

Poraďte pacientům o potenciálu pro těžkou zácpu, včetně pokynů pro správu a kdy vyhledat lékařskou pomoc.

Anafylaxe

Informujte pacienty, že anafylaxe byla hlášena s přísadami obsaženými v dolofinu. Poraďte pacientům, jak rozpoznat takovou reakci a kdy vyhledat lékařskou péči.

Kojení

Poučte ošetřovatelské matky pomocí dolofinu, aby sledovaly známky toxicity metadonu u jejich kojenců, které zahrnují zvýšenou ospalost (více než obvykle) obtíže s potížemi s dýcháním nebo kulhavosti. Poskytněte ošetřovatelským matkám, aby si okamžitě promluvily s poskytovatelem zdravotní péče dítěte, pokud si tyto známky všimnou. Pokud se nemohou okamžitě dostat k poskytovateli zdravotní péče, nařídí jim, aby dítě vzali do pohotovostní místnosti nebo zavolali na číslo 911 (nebo místní pohotovostní služby).

Likvidace nevyužitého dolofinu

Poraďte pacientům, aby propláchli nevyužité tablety po toaletě, když dolofin již není potřeba.

Neklinická toxikologie

Zhodnocení mutageneze karcinogeneze plodnosti

Karcinogeneze

Byly publikovány výsledky hodnocení karcinogenity u myší B6C2F1 a FISCHER 344 potkanů ​​po podání dvou dávek metadonu HC1. Myši konzumovaly 15 mg/kg/den nebo 60 mg/kg/den metadon po dobu dvou let. Tyto dávky byly přibližně 0,6 a 2,5krát více lidské denní perorální dávky 120 mg/den na povrchu těla (mg/m²). U ženských myší ošetřených 15 mg/kg/den došlo k významnému nárůstu hypofýzy adenomů hypofýzy, ale ne s 60 mg/kg/den. Za podmínek testu neexistoval žádný jasný důkaz o zvýšení výskytu novotvarů souvisejících s léčbou u samců potkanů. Kvůli snížené spotřebě potravin u mužů u samců s vysokou dávkou spotřebovalo 16 mg/kg/den a 28 mg/kg/den metadonu po dobu dvou let. Tyto dávky byly přibližně 1,3 a 2,3krát lidskou denní perorální dávku 120 mg/den na základě srovnání plochy povrchu těla. Naproti tomu samice potkanů ​​spotřebovaly 46 mg/kg/den nebo 88 mg/kg/den pro dvě porovnání povrchové plochy. Naproti tomu samice potkanů ​​spotřebovaly 46 mg/kg/den nebo 88 mg/kg/den po dobu dvou let. Tyto dávky byly přibližně 3,7 a 7,1krát více než lidská denní perorální dávka 120 mg/den na základě srovnání plochy povrchu těla. Za podmínek testu nebyl jasný důkaz o zvýšení výskytu novotvarů souvisejících s léčbou u samců nebo ženských potkanů.

Mutageneze

Existuje několik publikovaných zpráv o potenciální genetické toxicitě metadonu. Metadon byl pozitivně testován v nadarmo myš dominantní smrtící test a nadarmo Test savčích spermatogoniálních chromozomů. Navíc metadon testoval pozitivní v E. coli Systém opravy DNA a Neurospora crassa a myš lymphoma forward mutation assays. In contrast methadone tested negative in tests for chromosome breakage a disjunction a sex-linked recessive lethal gene mutations in germ cells of Drosophila Použití postupů krmení a injekce.

Plodnost

Publikované studie na zvířatech ukazují, že léčba metadonu mužů může změnit reprodukční funkci. Metadon produkuje významnou regresi orgánů sexuálních doplňků a varlat samců myší a potkanů.

Použití v konkrétních populacích

Těhotenství

Klinické úvahy

Fetální/novorozenecké nežádoucí účinky : Dlouhodobé použití opioidních analgetik během těhotenství u lékařských nebo nelékařských účelů může vést k fyzické závislosti u syndromu stažení novorozeneckého a novorozeneckého opioidu krátce po narození. Sledujte novorozence pro příznaky syndromu stažení novorozence opioidů, jako je špatná krmení, podrážděnost podrážděnosti a záchvatů podrážděnost průjmů VAROVÁNÍS AND OPATŘENÍ ].

Teratogenní účinky

Těhotenství Category C : U těhotných žen neexistují žádné přiměřené a dobře kontrolované studie. Dolofin by se měl používat během těhotenství, pouze pokud potenciální přínos ospravedlňuje potenciální riziko pro plod.

Ukázalo se, že metadon je teratogenní u křečka v dávkách dvakrát větší denní perorální dávka (120 mg/den na bázi mg/m²) a u myší v dávkách ekvivalentních lidské každodenní perorální dávce (120 mg/den na bázi mg/m²). U potomků mužských hlodavců, kteří byli před pářením ve srovnání s kontrolními zvířaty, byly hlášeny zvýšené novorozenecké úmrtnosti a významné rozdíly v behaviorálních testech. Metadon byl detekován v lidské plodové tekutině a plazmě šňůry při koncentracích úměrných mateřské plazmy a novorozence moči při nižších koncentracích než odpovídající mateřská moč.

Dávkování Adjustment During Těhotenství

Dispozice perorálního metadonu byla studována u přibližně 30 těhotných pacientů ve 2. a 3. trimesteru. Celková čištění těla metadonu byla zvýšena u těhotných pacientů ve srovnání se stejnými pacienty po porodu nebo s netěsnými opioiddependentními ženami. Terminální poločas metadonu se sníží během 2. a 3. trimesteru. Snížení poločasu v plazmě a zvýšená clearance metadonu, což má za následek nižší hladinu metadonu během těhotenství, může vést k abstinenčním symptomům u některých těhotných pacientů. Může být nutné zvýšit dávku nebo se interval dávkování snížil u těhotných pacientů, kteří dostávají metadon, aby se dosáhlo terapeutického účinku [viz Dávkování a podávání ].

Účinky na novorozence

Děti narozené matkám, které pravidelně užívaly opioidy před doručením, mohou být fyzicky závislé. Nástup abstinenčních symptomů u kojenců je obvykle v prvních dnech po narození. Monitorujte novorozence, pokud jde o příznaky a příznaky, včetně: Špatná podrážděnost krmení Nadměrná plačící chvění rigidita Hyper-aktivní reflexy zvýšila průjem respirační rychlost kýchání zvracející zvracení a záchvaty. Intenzita syndromu stažení novorozence ne vždy koreluje s dávkou matky nebo trváním expozice matek. Doba trvání stahování se může lišit od několika dnů do týdnů nebo dokonce měsíců. Neexistuje shoda ohledně příslušného řízení stažení dítěte [viz VAROVÁNÍS AND OPATŘENÍ ].

Lidská data

Hlášené studie obecně porovnávaly přínos metadonu s rizikem neléčené závislosti na nezákonných drogách; Relevance těchto zjištění pro pacienty s bolestí předepsané metadonem během těhotenství je nejasná. Ukázalo se, že těhotné ženy zapojené do programů údržby metadonu významně zlepšily prenatální péči, což vedlo k výrazně snížení výskytu porodnických a fetálních komplikací a novorozenecké morbidity a úmrtnosti ve srovnání se ženami užívajícími nezákonné drogy. Několik faktorů včetně užívání infekce nezákonných drog a psychosociálních okolností z matek komplikuje interpretaci vyšetřování dětí žen, které během těhotenství užívají metadon. Informace jsou omezené týkající se dávky a trvání užívání metadonu během těhotenství a zdá se, že většina expozice matek se vyskytuje po prvním trimestru těhotenství.

Přehled publikovaných údajů o zkušenostech s využitím metadonu během těhotenství pomocí teratogenního informačního systému (Teris) dospěl k závěru, že užívání metadonu matky během těhotenství v rámci podřízeného terapeutického režimu je nepravděpodobné, že by představovalo podstatné teratogenní riziko (množství a kvalita údajů hodnocených jako spravedlivé). Údaje však nejsou dostatečné k tomu, že neexistuje žádné riziko (Teris naposledy přezkoumán v říjnu 2002). Retrospektivní série případů 101 těhotných žen závislých na opioidech, které podstoupily detoxikaci opioidů v metadonu, neprokázala žádné zvýšené riziko potratu ve druhém trimestru nebo předčasné porodu ve 3. trimestru. Nedávné studie naznačují zvýšené riziko předčasného porodu u žen závislých na opioidech vystavených metadonu během těhotenství, i když přítomnost matoucích faktorů ztěžuje stanovení příčinného vztahu. Několik studií naznačilo, že kojenci narozené narkoticky závislém ženám léčeným metadonem během celého nebo části těhotenství bylo zjištěno, že ve srovnání s kontrolami snížily růst plodu se sníženou délkou porodní hmotnosti a/nebo obvodem hlavy. Zdá se, že tento růstový deficit přetrvává do pozdějšího dětství. Bylo popsáno, že děti prenatálně vystavené metadonu prokazují mírné, ale přetrvávající deficity ve výkonu psychometrických a behaviorálních testů. Několik studií navíc naznačuje, že děti narozené ženám závislým na opioidech vystavené metadonu během těhotenství mohou mít zvýšené riziko anomálií vizuálního vývoje; Kauzální vztah však nebyl přidělen.

Existují protichůdné zprávy o tom, zda dochází k syndromu náhlé kojenecké smrti se zvýšeným výskytem u kojenců narozených ženám léčeným metadonem během těhotenství. Bylo hlášeno, že abnormální neestrovní testy fetálního stresu se objevují častěji, když je test prováděn 1 až 2 hodiny po udržovací dávce metadonu v pozdním těhotenství ve srovnání s kontrolami.

Údaje o zvířatech

Metadon nevytvořil teratogenní účinky na modelech potkanů ​​nebo králíků. Metadon produkoval teratogenní účinky po velkých dávkách u křečka morčat a myši. Jedna publikovaná studie u těhotných křečků naznačila, že jediná podkožní dávka metadonu v rozmezí od 31 do 185 mg/kg (31 mg/kg dávka je přibližně 2krát lidská denní perorální dávka o 120 mg/den na mg/m²) v den mg/m²) v den mg/m²) na 8. den na 8. den v den, vedla k poklesu pocitu na 5. den, a to, že se zvýšila na palivo. Malformace popsané jako kranioschisis exencefálie a různé další léze. Většina testovaných dávek také vedla k smrti matek. V jiné studii byla jediná subkutánní dávka 22 až 24 mg/kg metadonu (odhadovaná expozice přibližně ekvivalentní lidské denní perorální dávce 120 mg/den na bázi mg/m²) podávanou v den 9 těhotenství u myší také vyvolala exexfalii u 11% embryí. U potkanů ​​však nebyly hlášeny žádné účinky a králíci v perorálních dávkách až do 40 mg/kg (odhadovaná expozice byla přibližně 3 a 6krát respektive lidskou denní perorální dávkou 120 mg/den na mg/m²) podávané během dnů 6 až 15 až 6 až 18.

Zveřejněná údaje o zvířatech uvádějí zvýšenou novorozeneckou úmrtnost u potomků samců hlodavců, kteří byli před pářením léčeni metadonem. V těchto studiích nebyly hlodavce léčeny metadonem naznačujícím otcovskou zprostředkovanou vývojovou toxicitu. Konkrétně metadon podávaný samci potkanů ​​před pářením se ženami metadone-nai-Ve vedl ke snížení přírůstku hmotnosti po potomstvo po odstavení. Mužské potomstvo prokázalo snížené hmotnosti brzlíku, zatímco ženská potomstvo prokázalo zvýšené hmotnosti nadledvin. Behaviorální testování těchto potomků mužů a žen odhalilo významné rozdíly v behaviorálních testech ve srovnání s kontrolními zvířaty, což naznačuje, že otcovská expozice metadonu může v tomto modelu způsobit fyziologické a behaviorální změny potomstva. Jiné studie na zvířatech uvádějí, že perinatální expozice opioidů včetně metadonu mění vývoj neuronů a chování u potomků. Perinatální expozice metadonu u potkanů ​​byla spojena se změnami v tepelné regulaci schopností učení se motorická aktivita Nociceptivní reakce a citlivost na léky.

Další údaje o zvířatech ukazují důkazy o neurochemických změnách v mozcích potomků methadoneteretspring, včetně změn cholinergního dopaminergního noradrenergního a sérotonergního systému. Studie prokázaly, že léčba samců potkanů ​​s metadonem po dobu 21 až 32 dnů před pářením s metadonem-naivními ženami nevyvolala žádné nepříznivé účinky, což naznačuje, že prodloužená léčba metadonem u mužské krysy vedla k toleranci vůči vývojové toxicitě zaznamenané v potomstvo. Mechanistické studie v tomto modelu potkanů ​​naznačují, že vývojové účinky otcovského metadonu na potomstvo se zdají být způsobeny sníženou produkcí testosteronu. Tyto údaje o zvířatech odrážejí hlášené klinické nálezy snížených hladin testosteronu u lidských mužů na terapii metadonu pro závislosti na opioidech a u mužů, kteří dostávají chronické intraspinální opioidy.

Byly zveřejněny další údaje, které naznačují, že léčba metadonu u mužů potkanů ​​(jednou denně po dobu tří po sobě jdoucích dnů) zvýšila embryolethalitu a novorozeneckou úmrtnost. Zkoumání obsahu dělohy u samic myší s metadonem, které se chová na myší ošetřených metadonem, ukázalo, že léčba metadonem způsobila zvýšení míry úmrtí preimplantací ve všech postmeiotických stavech.

Práce a dodávka

Opioidy překračují placentu a mohou produkovat respirační depresi u novorozenců. Dolofin není pro použití u žen během a bezprostředně před porodem, když jsou vhodnější kratší působící analgetika nebo jiné analgetické techniky. Analgetika opioidů mohou prodloužit práci prostřednictvím účinku, které dočasně zmenšují dobu trvání pevnosti a frekvence kontrakce dělohy. Tento účinek však není konzistentní a může být kompenzován zvýšenou mírou dilatace děložního čípku, která má tendenci zkrátit práci.

Ošetřovatelské matky

Metadon je vylučován do lidského mléka. Při mateřských perorálních dávkách 10 až 80 mg/den koncentrace metadonu od 50 do 570 mcg/l v mléce byly hlášeny, které byly ve většině vzorků nižší než koncentrace drog v séru v ustáleném stavu. Hladiny metadonu maximálního metadonu v mléce se vyskytují přibližně 4 až 5 hodin po perorální dávce. Na základě průměrné spotřeby mléka 150 ml/kg/den by dítě konzumovalo přibližně 17,4 mcg/kg/den, což je přibližně 2 až 3% perorální dávky matky. Metadon byl detekován ve velmi nízkých plazmatických koncentracích u některých kojenců, jejichž matky užívaly metadon. Byly hlášeny případy sedace a respirační deprese u kojenců vystavených metadonu prostřednictvím mateřského mléka. Upozornění by mělo být posouzeno, když je metadon podáván ošetřovatelské ženě.

Poraďte se ženám, které jsou léčeny metadonem a které kojí nebo vyjadřují touhu kojit přítomnost metadonu v lidském mléce. Poučte kojení matek, jak identifikovat respirační depresi a sedaci u jejich dětí a kdy může být nutné kontaktovat svého poskytovatele zdravotní péče nebo hledat okamžitou lékařskou péči. Kojené kojence matek používajících metadon by měly být odstaveny postupně, aby se zabránilo rozvoji abstinenčních symptomů u kojence.

Dětské použití

Bezpečnostní účinnost a farmakokinetika metadonu u pediatrických pacientů mladších 18 let nebyla stanovena.

Geriatrické použití

Klinické studie metadonu nezahrnovaly dostatečný počet subjektů ve věku 65 let a více, aby se určilo, zda reagují odlišně ve srovnání s mladšími subjekty. Jiné hlášené klinické zkušenosti nezjistily rozdíly v odpovědích mezi staršími a mladšími pacienty. Obecně začínají starší pacienty na nízkém konci rozsahu dávkování s přihlédnutím k větší frekvenci snížené renální nebo srdeční funkce jater a doprovodným onemocněním nebo jiné léčivé terapií u geriatrických pacientů. Úzce sledujte starší pacienty s příznaky deprese dýchacího a centrálního nervového systému.

Poškození ledvin

Farmakokinetika metadonu nebyla u pacientů s renální nedostatečností značně hodnocena. Protože nemetabolizovaný metadon a jeho metabolity jsou vylučovány močí do variabilního stupně, začínají tyto pacienty při nižších dávkách a s delšími dávkovými intervaly a pomalu titrují a přitom pečlivě sledují známky respirační a centrální nervové deprese.

Poškození jater

Metadon nebyl u pacientů s nedostatečností jater značně hodnocen. Metadon je metabolizován jaterními cestami; U pacientů s poškozením jater může být po více dávkování riziko zvýšené systémové expozice metadonu. Spusťte tyto pacienty při nižších dávkách a pomalu titrují při pečlivém sledování příznaků deprese dýchacího a centrálního nervového systému.

Varování pro dolofin

Zahrnuto jako součást OPATŘENÍ sekce.

Opatření pro dolofin

Zneužívání a zneužívání závislosti

Tablety hydrochloridu metadonu USP obsahují látku kontrolovanou metadonem II. Protože opioidní metadon vystavuje uživatele rizikům zneužívání a zneužití závislosti [viz Zneužívání a závislost drog ]. As long-acting opioids such as methadone have pharmacological effects over an extended period of time there is a greater risk for overdose a death.

Ačkoli riziko závislosti u kteréhokoli jednotlivce není známo, může se vyskytnout u pacientů vhodně předepsaných tabletů hydrochloridu metadonu a u těch, kteří léčivo získají nezákonně. Závislost může nastat při doporučených dávkách a pokud je lék zneužíván nebo zneužíván.

Před předepisováním tablet hydrochloridu metadonu a sledováním všech pacientů, kteří dostávají tablety hydrochloridu v hydrochloridu, posoudit riziko zneužívání závislosti na opioidech nebo zneužití. Rizika se zvyšují u pacientů s osobní nebo rodinnou anamnézou zneužívání návykových látek (včetně závislosti na drogách nebo alkoholu nebo zneužívání) nebo duševním onemocněním (např. Velká deprese). Potenciál těchto rizik by však neměl zabránit předepisování tablet hydrochloridu metadonu pro správné léčbu bolesti u daného pacienta. Pacienti se zvýšeným rizikem mohou být předepsány dlouhodobě působící opioidy, jako jsou tablety hydrochloridu metadonu, ale použití u takových pacientů vyžaduje intenzivní poradenství ohledně rizik a správné používání tablet hydrochloridu metadonu spolu s intenzivním sledováním příznaků zneužívání závislosti a zneužívání.

Zneužívání or misuse of methadone hydrochloride tablets by crushing chewing snorting or injecting the dissolved product will result in the uncontrolled delivery of the methadone a can result in overdose a death [see Předávkování ].

Opioidní agonisté, jako jsou tablety hydrochloridu metadonu, hledají drogové násilníci a lidé s poruchami závislosti a podléhají trestnému zneužití. Zvažte tato rizika při předepisování nebo vydávání tablet hydrochloridu metadonu. Strategie ke snížení těchto rizik zahrnují předepisování léku v nejmenším vhodném množství a poradenství pacientovi k řádné likvidaci nepoužitého léčiva [viz Informace o pacientu ). Kontaktujte místní státní licenční radu nebo státní úřad pro kontrolované látky státu ohledně informací o tom, jak předcházet a detekovat zneužívání nebo odklon tohoto produktu.

Život ohrožující respirační deprese

Při použití dlouhodobě působících opioidů byla hlášena vážná život ohrožující život nebo fatální respirační deprese, i když se používá podle doporučení. Despirační deprese z užívání opioidů, pokud není okamžitě rozpoznána a léčena, může vést k zatčení a smrti dýchacích cest. Řízení respirační deprese může zahrnovat podpůrné opatření a použití opioidních antagonistů v závislosti na klinickém stavu pacienta [viz viz Předávkování ]. Carbon dioxide (CO 2 ) Retence z respirační deprese vyvolané opioidy může zhoršit sedační účinky opioidů.

Zatímco vážné život ohrožující nebo fatální respirační deprese může nastat kdykoli během používání tablet hydrochloridu metadonu, riziko je největší během zahájení terapie nebo po zvýšení dávky. Vrchol respiračního deprese Ant metadonu se vyskytuje později a přetrvává déle než špičkový analgetický účinek, zejména během počátečního dávkovacího období. Při zahájení terapie metadonem hydrochloridovými tabletami a po zvýšení dávky pečlivě sledujte pacienty z důvodu respirační deprese.

Pro snížení rizika respirační deprese správné dávkování a titraci tablet hydrochloridu metadonu jsou nezbytné [viz viz Dávkování a podávání ]. Overestimating the methadone hydrochloride tablets dose when converting patients z aneher opioid product can result in fatal overdose with the first dose.

Náhodné požití i jedné dávky tablet hydrochloridu metadonu, zejména u dětí, může vést k despirační depresi a smrti v důsledku předávkování metadonem.

Životní prodloužení QT

Během léčby metadonem byly pozorovány případy prodloužení QT intervalu a vážné arytmie (Torsades de Points). Zdá se, že tyto případy jsou častěji spojeny, ale neomezují se na léčbu vyšší dávky (> 200 mg/den). Většina případů zahrnuje pacienty léčeni na bolest s velkými vícenásobnými denními dávkami metadonu, ačkoli případy byly hlášeny u pacientů, kteří dostávají dávky běžně používané pro udržovací léčbu závislosti na opioidech. U většiny pacientů o nižších dávkách byly zaznamenány jako přispívající faktory, které byly obvykle používány pro udržování souběžných léků a/nebo klinických stavů, jako je hypokalémie. Důkazy však silně naznačují, že metadon má u některých pacientů potenciál pro nepříznivé účinky srdečního vedení. Účinky metadonu na interval QT byly potvrzeny v nadarmo Bylo prokázáno, že laboratorní studie a metadon inhibují srdeční draslíkové kanály v in vitro studie.

Úzce sledujte pacienty s rizikovými faktory pro vývoj prodlouženého QT intervalu (např. Srdeční hypertrofie Současná diuretická použití hypomagnezie hypomagnezie) v anamnéze abnormalit srdečního vedení a pacientů užívajících léky ovlivňující srdeční vedení. Prodloužení QT bylo také hlášeno u pacientů bez předchozí srdeční anamnézy, kteří dostávali vysoké dávky metadonu.

Vyhodnoťte pacienty, kteří se rozvíjejí prodloužení QT, zatímco na léčbě metadonu na přítomnost modifikovatelných rizikových faktorů, jako jsou doprovodné léky se srdečními účinky, které by mohly způsobit abnormality elektrolytu a léky, které by mohly působit jako inhibitory metadonového metabolismu.

Léčba metadonového hydrochloridu terapie bolesti u pacientů, u nichž očekávaný přínos převažuje nad rizikem prodloužení QT a vývoje dysrhytmií, které byly hlášeny s vysokými dávkami metadonu.

Použití metadonu u pacientů, které již bylo známo, že mají prodloužený QT interval, nebylo systematicky studováno.

Syndrom odběru novorozeneckého opioidu

Dlouhodobé použití tablet hydrochloridu metadonu během těhotenství může mít za následek stahování u novorozence. Neonatální syndrom odběru opioidů na rozdíl od syndromu odběru opioidů u dospělých může být život ohrožující, pokud není rozpoznán a léčen a vyžaduje řízení podle protokolů vyvinutých odborníky na novorozence. Pokud je užívání opioidů vyžadováno po delší dobu u těhotné ženy, radí pacientovi o riziku syndromu stažení opioidů a zajistí, že bude k dispozici vhodná léčba.

Syndrom stažení novorozeneckého opioidu představuje jako podrážděnost hyperaktivita a abnormální vzor spánku Vysoký výkřik zvracení Cry Tremor zvracení a selhání přibývání na váze. Doba trvání a závažnosti syndromu odběru opioidů novorozeneckých opioidů se liší v závislosti na konkrétním opioidu používaném načasování používání a množství posledního užívání matek a míry eliminace drogy novorozencem [viz viz Použití ve speciálních populacích ].

Interakce s depresivními prostředky centrálního nervového systému

Hypotenze profound sedace coma respiranary depression a death may result if methadone hydrochloride tablet is used concomitantly with alcohol or other central nervous system (CNS) depressants (e.g. sedatives anxiolytics hypneics neuroleptics other opioids). When considering the use of methadone hydrochloride tablets in a patient taking a CNS depressant assess the duration of use of the CNS depressant a the patient's response including the degree of nalerance that has developed na CNS depression. Additionally evaluate the patient's use of alcohol or illicit drugs that cause CNS depression. If the decision na begin methadone hydrochloride tablets is made start with methadone hydrochloride tablets 2.5 mg every 12 hours moninar patients for signs of sedace a respiranary depression a consider using a lower dose of the concomitant CNS depressant [see Lékové interakce ].

Používejte u starších kachektických a oslabených pacientů

Životní respirační deprese je pravděpodobnější, že se vyskytne u starších kachektických nebo desilitovaných pacientů, protože mohou ve srovnání s mladšími zdravějšími pacienty změnit farmakokinetiku nebo změněnou vůli. Monitorujte takové pacienty pečlivě, zejména při zahájení a titraci tablet hydrochloridu metadonu a když jsou tablety hydrochloridu metadonu podávány souběžně s jinými léky, které snižují dýchání [viz viz Život ohrožující respirační deprese ].

Používání u pacientů s chronickým plicním onemocněním

Monitor patients with significant chronic obstructive pulmonary disease or corpulmonale and patients having a substantially decreased respiratory reserve hypoxia hypercapnia or pre-existing respiratory depression for respiratory depression particularly when initiating therapy and titrating with methadone hydrochloride tablets as in these patients even usual therapeutic doses of methadone hydrochloride tablets may decrease respiratory drive to the point of apnea [see Život ohrožující respirační deprese ].

Pokud je to možné, zvažte použití alternativních nepioidních analgetik u těchto pacientů.

Hypotenzní účinek

Tablety hydrochloridu metadonu mohou u ambulantních pacientů způsobit závažnou hypotenzi včetně ortostatické hypotenze a synkopy. U pacientů, jejichž schopnost udržovat krevní tlak již byla ohrožena sníženým objemem krve nebo souběžným podáváním některých léků s depresí CNS (např. Fenothiaziny nebo obecné anestetika), existuje zvýšené riziko [viz viz snižovat krevní objem nebo souběžným podáváním určitých léků na snižování CNS (např. Fenothiaziny nebo obecná anestetika) [ Lékové interakce ]. Moninar these patients for signs of hypotension after initiating or titrating the dose of methadone hydrochloride tablets.

Použití u pacientů s poškozením hlavy nebo zvýšeným intrakraniálním tlakem

Monitorujte pacienty užívající tablety hydrochloridu metadonu, kteří mohou být citliví na intrakraniální účinky CO 2 Retence (např. Ti, kteří mají důkaz zvýšeného intrakraniálního tlaku nebo nádorů mozku) pro příznaky sedace a respirační deprese, zejména při zahájení terapie tablety hydrochloridu metadonu. Tablety hydrochloridu metadonu mohou snížit respirační pohon a výsledné CO 2 Retence může dále zvýšit intrakraniální tlak. Opioidy mohou také zakrývat klinický průběh u pacienta s poraněním hlavy.

Vyvarujte se používání tablet hydrochloridu metadonu u pacientů se zhoršeným vědomím nebo kómem.

Používání u pacientů s gastrointestinálními podmínkami

Tablety hydrochloridu metadonu jsou kontraindikovány u pacientů s paralyticileus. Vyvarujte se používání tablet hydrochloridu metadonu u pacientů s jinou gastrointestinální obstrukcí.

Metadon v tabletách hydrochloridu metadonu může způsobit křeč svěrače Oddi. Monitorujte pacienty s onemocněním biliárního traktu včetně akutní pankreatitidy pro zhoršující se příznaky. Opioidy mohou způsobit zvýšení sérové ​​amylázy.

Používejte u pacientů s poruchami křeče nebo záchvatů

Metadon v tabletech hydrochloridu metadonu může zhoršit křeče u pacientů s křečovými poruchami a může v některých klinických prostředích vyvolat nebo zhoršit záchvaty. Sledujte pacienty s anamnézou poruch záchvatů pro zhoršenou kontrolu záchvatů během terapie tablety metadonu hydrochloridu.

Vyhýbání se stažení

Vyvarujte se použití smíšeného agonisty/antagonisty (tj. Pentazocin nalbuphine a butorfanolu) a analgetiky částečného agonisty (buprenorfinu) u pacientů, kteří dostávali nebo dostávali terapii s plnou opioidní agonistickou analgetikou, včetně tablety metadonu. U těchto pacientů může smíšená agonisty/antagonista a částečná analgetika agonistů snížit analgetický účinek a/nebo může vyvolat abstinenční příznaky [viz viz Lékové interakce ].

Při přerušení tablet hydrochloridu metadonu postupně zužujte dávku [viz Dávkování a podávání ]. Do ne abruptly discontinue methadone hydrochloride tablets.

Řízení a provozní stroje

Tablety hydrochloridu metadonu mohou narušit duševní nebo fyzické schopnosti potřebné k provádění potenciálně nebezpečných činností, jako je řízení automobilu nebo provozní stroje. Varujte pacienty, aby řídili nebo nepracují nebezpečné stroje, pokud nejsou tolerantní vůči účinkům tablet hydrochloridu metadonu a vědí, jak budou reagovat na léky.

Informace o poradenství pro pacienta

Doporučujte pacientovi, aby si přečetl značení pacienta schváleného FDA ( Průvodce léky )

Zneužívání a zneužívání závislosti

Informujte pacienty, že použití tablet hydrochloridu metadonu, i když je odebráno podle doporučení VAROVÁNÍS AND OPATŘENÍ ]. Instruct patients ne na share methadone hydrochloride tablets with others a na take steps na protect methadone hydrochloride tablets z theft or misuse.

Život ohrožující respirační deprese

Informujte pacienty o riziku život ohrožující respirační deprese, včetně informací, že riziko je největší při spuštění tablet hydrochloridu metadonu nebo při zvýšení dávky a že se může vyskytnout i při doporučených dávkách [viz viz VAROVÁNÍS AND OPATŘENÍ ]. Advise patients how na recognize respiranary depression a na seek medical attention if breathing difficulties develop.

Náhodné požití

Informujte pacienty, že náhodné požití, zejména u dětí, může mít za následek respirační depresi nebo smrt [viz VAROVÁNÍS AND OPATŘENÍ ]. Instruct patients na take steps na snare methadone hydrochloride tablets securely a na dispose of unused methadone hydrochloride tablets by flushing the tablets down the nailet.

Příznaky arytmie

Poskytněte pacientům, aby okamžitě vyhledali lékařskou pomoc, pokud zažijí příznaky naznačující arytmii (jako jsou palpitace poblíž synkopy nebo synkopy) při užívání metadonu.

Syndrom odběru novorozeneckého opioidu

Informujte pacientky o reprodukčním potenciálu, že dlouhodobé použití metadonových hydrochloridových tablet během těhotenství může vést k syndromu stažení novorozeneckého opioidu, který může být život ohrožující, pokud není uznán a léčen [viz viz [viz [viz [viz [viz [viz [viz [viz [viz [viz [viz VAROVÁNÍS AND OPATŘENÍ ].

Interakce s alkoholem a jinými depresivními látkami CNS

Informujte pacienty, že potenciálně závažné aditivní účinky mohou nastat, pokud se tablety hydrochloridu metadonu používají s alkoholem nebo jinými depresivy CNS a nepoužívají takové léky, pokud není pod dohledem poskytovatele zdravotní péče pod dohledem.

Důležité pokyny pro správu

Instrujte pacienty, jak správně užívat tablety hydrochloridu metadonu, včetně následujících:

  • Použijte tablety hydrochloridu metadonu přesně tak, jak jsou předepsané ke snížení rizika život ohrožujících nežádoucích účinků (např. Despirační deprese)
  • Nepřestávejte tablety hydrochloridu metadonu, aniž byste nejprve diskutovali o potřebě zužujícího se režimu s předepisujícím lékařem
Hypotenze

Informujte pacienty, že tablety hydrochloridu metadonu mohou způsobit ortostatickou hypotenzi a synkopu. Poskytněte pacientům, jak rozpoznat příznaky nízkého krevního tlaku a jak snížit riziko vážných důsledků, pokud by měla dojít k hypotenzi (např. Sedět nebo ležet pečlivě zvednout z pozici nebo lhaní).

Řízení nebo provozování těžkých strojů

Informujte pacienty, že tablety hydrochloridu metadonu mohou narušit schopnost provádět potenciálně nebezpečné činnosti, jako je řízení automobilu nebo provozování těžkých strojů. Doporučujte pacientům, aby takové úkoly neprovedli, dokud neví, jak budou reagovat na léky.

Zácpa

Poraďte pacientům o potenciálu pro těžkou zácpu, včetně pokynů pro správu a kdy vyhledat lékařskou pomoc.

Anafylaxe

Informujte pacienty, že anafylaxe byla hlášena s přísadami obsaženými v tabletách hydrochloridu metadonu. Poraďte pacientům, jak rozpoznat takovou reakci a kdy vyhledat lékařskou péči.

Kojení

Instrujte ošetřovatelské matky pomocí tablet hydrochloridu metadonu, aby sledovaly známky toxicity metadonu u jejich kojenců, které zahrnují zvýšenou ospalost (více než obvykle) obtíže s potížemi s dýcháním nebo kulhavosti. Poskytněte ošetřovatelským matkám, aby si okamžitě promluvily s poskytovatelem zdravotní péče dítěte, pokud si tyto známky všimnou. Pokud se nemohou okamžitě dostat k poskytovateli zdravotní péče, nařídí jim, aby dítě vzali do pohotovostní místnosti nebo zavolali na číslo 911 (nebo místní pohotovostní služby).

Likvidace nevyužitých tablet hydrochloridu metadonu

Doporučujte pacientům, aby propláchli nepoužité tablety po toaletě, když tablety hydrochloridu metadonu již nejsou potřeba.

Neklinická toxikologie

Zhodnocení mutageneze karcinogeneze plodnosti

Karcinogeneze

Byly publikovány výsledky hodnocení karcinogenity u myší B6C2F1 a FISCHER 344 potkanů ​​po podání dvou dávek metadonu HC1. Myši konzumovaly 15 mg/kg/den nebo 60 mg/kg/den metadon po dobu dvou let. Tyto dávky byly přibližně 0,6 a 2,5krát více lidské denní perorální dávky 120 mg/den na povrchu těla (mg/m²). U ženských myší ošetřených 15 mg/kg/den došlo k významnému nárůstu hypofýzy adenomů hypofýzy, ale ne s 60 mg/kg/den. Za podmínek testu neexistoval žádný jasný důkaz o zvýšení výskytu novotvarů souvisejících s léčbou u samců potkanů. Kvůli snížené spotřebě potravin u mužů u samců s vysokou dávkou spotřebovalo 16 mg/kg/den a 28 mg/kg/den metadonu po dobu dvou let. Tyto dávky byly přibližně 1,3 a 2,3krát lidskou denní perorální dávku 120 mg/den na základě srovnání plochy povrchu těla. Naproti tomu samice potkanů ​​spotřebovaly 46 mg/kg/den nebo 88 mg/kg/den po dobu dvou let. Tyto dávky byly přibližně 3,7 a 7,1krát více než lidská denní perorální dávka 120 mg/den na základě srovnání plochy povrchu těla. Za podmínek testu nebyl jasný důkaz o zvýšení výskytu novotvarů souvisejících s léčbou u samců nebo ženských potkanů.

Mutageneze

Existuje několik publikovaných zpráv o potenciální genetické toxicitě metadonu. Metadon byl pozitivně testován v nadarmo myš dominantní smrtící test a nadarmo Test savčích spermatogoniálních chromozomů. Navíc metadon testoval pozitivní v E.Coli Systém opravy DNA a Neurospora crassa a myš lymphoma forward mutation assays. In contrast methadone tested negative in tests for chromosome breakage a disjunction a sex-linked recessive lethal gene mutations in germ cells of Drosophila Použití postupů krmení a injekce.

Plodnost

Publikované studie na zvířatech ukazují, že léčba metadonu mužů může změnit reprodukční funkci. Metadon produkuje významnou regresi orgánů sexuálních doplňků a varlat samců myší a potkanů.

Použití v konkrétních populacích

Těhotenství

Klinické úvahy

Fetální/novorozenecké nežádoucí účinky Dlouhodobé použití opioidních analgetik během těhotenství u lékařských nebo nelékařských účelů může vést k fyzické závislosti u syndromu stažení novorozeneckého a novorozeneckého opioidu krátce po narození. Sledujte novorozence pro příznaky syndromu stažení novorozence opioidů, jako je špatná krmení, podrážděnost podrážděnosti a záchvatů podrážděnost průjmů VAROVÁNÍS AND OPATŘENÍ ].

Teratogenní účinky

Těhotenství Category C

U těhotných žen neexistují žádné přiměřené a dobře kontrolované studie. Tablety hydrochloridu metadonu by se měly používat během těhotenství, pouze pokud potenciální výhoda odůvodňuje potenciální riziko pro plod.

Ukázalo se, že metadon je teratogenní u křečka v dávkách dvakrát větší denní perorální dávka (120 mg/den na bázi mg/m²) a u myší v dávkách ekvivalentních lidské každodenní perorální dávce (120 mg/den na bázi mg/m²). U potomků mužských hlodavců, kteří byli před pářením ve srovnání s kontrolními zvířaty, byly hlášeny zvýšené novorozenecké úmrtnosti a významné rozdíly v behaviorálních testech. Metadon byl detekován v lidské plodové tekutině a plazmě šňůry při koncentracích úměrných mateřské plazmy a novorozence moči při nižších koncentracích než odpovídající mateřská moč.

Dávkování Adjustment During Těhotenství

Dispozice perorálního metadonu byla studována u přibližně 30 těhotných pacientů ve 2. a 3. trimesteru. Celková čištění těla metadonu byla zvýšena u těhotných pacientů ve srovnání se stejnými pacienty po porodu nebo s netěsnými opioiddependentními ženami. Terminální poločas metadonu se sníží během 2. a 3. trimesteru. Snížení poločasu v plazmě a zvýšená clearance metadonu, což má za následek nižší hladinu metadonu během těhotenství, může vést k abstinenčním symptomům u některých těhotných pacientů. Může být nutné zvýšit dávku nebo se interval dávkování snížil u těhotných pacientů, kteří dostávají metadon, aby se dosáhlo terapeutického účinku [viz Dávkování a podávání ].

Účinky na novorozence

Děti narozené matkám, které pravidelně užívaly opioidy před doručením, mohou být fyzicky závislé. Nástup abstinenčních symptomů u kojenců je obvykle v prvních dnech po narození. Monitorujte novorozence, pokud jde o příznaky a příznaky, včetně: Špatná podrážděnost krmení Nadměrná plačící chvění rigidita Hyper-aktivní reflexy zvýšila průjem respirační rychlost kýchání zvracející zvracení a záchvaty. Intenzita syndromu stažení novorozence ne vždy koreluje s dávkou matky nebo trváním expozice matek. Doba trvání stahování se může lišit od několika dnů do týdnů nebo dokonce měsíců. Neexistuje shoda ohledně příslušného řízení stažení dítěte [viz VAROVÁNÍS AND OPATŘENÍ ].

Lidská data

Hlášené studie obecně porovnávaly přínos metadonu s rizikem neléčené závislosti na nezákonných drogách; Relevance těchto zjištění pro pacienty s bolestí předepsané metadonem během těhotenství je nejasná. Ukázalo se, že těhotné ženy zapojené do programů údržby metadonu významně zlepšily prenatální péči, což vedlo k výrazně snížení výskytu porodnických a fetálních komplikací a novorozenecké morbidity a úmrtnosti ve srovnání se ženami užívajícími nezákonné drogy. Několik faktorů včetně užívání infekce nezákonných drog a psychosociálních okolností z matek komplikuje interpretaci vyšetřování dětí žen, které během těhotenství užívají metadon. Informace jsou omezené týkající se dávky a trvání užívání metadonu během těhotenství a zdá se, že většina expozice matek se vyskytuje po prvním trimestru těhotenství.

Přehled publikovaných údajů o zkušenostech s využitím metadonu během těhotenství pomocí teratogenního informačního systému (Teris) dospěl k závěru, že užívání metadonu matky během těhotenství v rámci podřízeného terapeutického režimu je nepravděpodobné, že by představovalo podstatné teratogenní riziko (množství a kvalita údajů hodnocených jako spravedlivé). Údaje však nejsou dostatečné k tomu, že neexistuje žádné riziko (Teris naposledy přezkoumán v říjnu 2002). Retrospektivní série případů 101 těhotných žen závislých na opioidech, které podstoupily detoxikaci opioidů v metadonu, neprokázala žádné zvýšené riziko potratu ve druhém trimestru nebo předčasné porodu ve 3. trimestru. Nedávné studie naznačují zvýšené riziko předčasného porodu u žen závislých na opioidech vystavených metadonu během těhotenství, i když přítomnost matoucích faktorů ztěžuje stanovení příčinného vztahu. Několik studií naznačilo, že kojenci narozené narkoticky závislém ženám léčeným metadonem během celého nebo části těhotenství bylo zjištěno, že ve srovnání s kontrolami snížily růst plodu se sníženou délkou porodní hmotnosti a/nebo obvodem hlavy. Zdá se, že tento růstový deficit přetrvává do pozdějšího dětství. Bylo popsáno, že děti prenatálně vystavené metadonu prokazují mírné, ale přetrvávající deficity ve výkonu psychometrických a behaviorálních testů. Několik studií navíc naznačuje, že děti narozené ženám závislým na opioidech vystavené metadonu během těhotenství mohou mít zvýšené riziko anomálií vizuálního vývoje; Kauzální vztah však nebyl přidělen.

Existují protichůdné zprávy o tom, zda dochází k syndromu náhlé kojenecké smrti se zvýšeným výskytem u kojenců narozených ženám léčeným metadonem během těhotenství. Bylo hlášeno, že abnormální testy fetálních non-stresu se objevují častěji, když je test prováděn 1 až 2 hodiny po udržovací dávce metadonu v pozdním těhotenství ve srovnání s kontrolami.

Údaje o zvířatech

Metadon nevytvořil teratogenní účinky na modelech potkanů ​​nebo králíků. Metadon produkoval teratogenní účinky po velkých dávkách u křečka morčat a myši. Jedna publikovaná studie u těhotných křečků ukázala, že jediná podkožní dávka metadonu v rozmezí od 31 do 185 mg/kg (31 mg/kg dávka je přibližně 2krát lidská denní perorální dávka o 120 mg/den na mg/m²) na 8. den na 8. den na 8. den se zvýšila na fólii na prvním místě v plnění Malformace popsané jako kranioschisis exencefálie a různé další léze. Většina testovaných dávek také vedla k smrti matek. V jiné studii byla jediná subkutánní dávka 22 až 24 mg/kg metadonu (odhadovaná expozice přibližně ekvivalentní lidské denní perorální dávce 120 mg/den na bázi mg/m²) podávanou v den 9 těhotenství u myší také vyvolala exexfalii u 11% embryí. U potkanů ​​však nebyly hlášeny žádné účinky a králíci v perorálních dávkách až do 40 mg/kg (odhadovaná expozice byla přibližně 3 a 6krát respektive lidskou denní perorální dávkou 120 mg/den na mg/m) podávané během dnů 6 až 6 až 6 až 18.

Zveřejněná údaje o zvířatech uvádějí zvýšenou novorozeneckou úmrtnost u potomků samců hlodavců, kteří byli před pářením léčeni metadonem. V těchto studiích nebyly hlodavce léčeny metadonem, což naznačuje otcově zprostředkovanou vývojovou toxicitu. Konkrétně metadon podávaný samci potkanů ​​před pářením s metadonem naivními ženami vedl ke snížení přírůstku hmotnosti po potomstvo po odstavení. Mužské potomstvo prokázalo snížené hmotnosti brzlíku, zatímco ženská potomstvo prokázalo zvýšené hmotnosti nadledvin. Behaviorální testování těchto potomků mužů a žen odhalilo významné rozdíly v behaviorálních testech ve srovnání s kontrolními zvířaty, což naznačuje, že otcovská expozice metadonu může v tomto modelu způsobit fyziologické a behaviorální změny potomstva. Jiné studie na zvířatech uvádějí, že perinatální expozice opioidů včetně metadonu mění vývoj neuronů a chování u potomků. Perinatální expozice metadonu u potkanů ​​byla spojena se změnami v tepelné regulaci schopností učení se motorická aktivita Nociceptivní reakce a citlivost na léky.

Další údaje o zvířatech ukazují důkazy o neurochemických změnách v mozcích potomků methadoneteretspring, včetně změn cholinergního dopaminergního noradrenergního a sérotonergního systému. Studie prokázaly, že léčba samců potkanů ​​metadonu po dobu 21 až 32 dnů před pářením s metadonem naivními ženami nevyvolala žádné nepříznivé účinky, což naznačuje, že prodloužená léčba metadonem u samce vedla k toleranci k vývojové toxicitě zaznamenané v po skončení. Mechanistické studie v tomto modelu potkanů ​​naznačují, že vývojové účinky otcovského metadonu na potomstvo se zdají být způsobeny sníženou produkcí testosteronu. Tyto údaje o zvířatech odrážejí hlášené klinické nálezy snížených hladin testosteronu u lidských mužů na terapii metadonu pro závislosti na opioidech a u mužů, kteří dostávají chronické intraspinální opioidy.

Byly zveřejněny další údaje, které naznačují, že léčba metadonu u mužů potkanů ​​(jednou denně po dobu tří po sobě jdoucích dnů) zvýšila embryolethalitu a novorozeneckou úmrtnost. Zkoumání obsahu dělohy u myší myší ošetřených metadonem na metadonu na myších ošetřených metadonem ukázalo, že léčba metadonem způsobila zvýšení míry úmrtí preimplantací ve všech post-meiotických stavech.

Práce a dodávka

Opioidy překračují placentu a mohou produkovat respirační depresi u novorozenců. Tablety hydrochloridu metadonu nejsou pro použití u žen během a bezprostředně před porodem, když jsou vhodnější kratší působící analgetika nebo jiné analgetické techniky. Analgetika opioidů mohou prodloužit práci prostřednictvím účinku, které dočasně zmenšují dobu trvání pevnosti a frekvence kontrakce dělohy. Tento účinek však není konzistentní a může být kompenzován zvýšenou mírou dilatace děložního čípku, která má tendenci zkrátit práci.

Ošetřovatelské matky

Metadon je vylučován do lidského mléka. Při mateřských perorálních dávkách 10 až 80 mg/den koncentrace metadonu od 50 do 570 mcg/l v mléce byly hlášeny, které byly ve většině vzorků nižší než koncentrace drog v séru v ustáleném stavu. Hladiny metadonu maximálního metadonu v mléce se vyskytují přibližně 4 až 5 hodin po perorální dávce. Na základě průměrné spotřeby mléka 150 ml/kg/den by dítě konzumovalo přibližně 17,4 mcg/kg/den, což je přibližně 2 až 3% perorální dávky matky. Metadon byl detekován ve velmi nízkých plazmatických koncentracích u některých kojenců, jejichž matky užívaly metadon. Byly hlášeny případy sedace a respirační deprese u kojenců vystavených metadonu prostřednictvím mateřského mléka. Upozornění by mělo být posouzeno, když je metadon podáván ošetřovatelské ženě.

Poraďte se ženám, které jsou léčeny metadonem a které kojí nebo vyjadřují touhu kojit přítomnost metadonu v lidském mléce. Poučte kojení matek, jak identifikovat respirační depresi a sedaci u jejich dětí a kdy může být nutné kontaktovat svého poskytovatele zdravotní péče nebo hledat okamžitou lékařskou péči. Kojené kojence matek používajících metadon by měly být odstaveny postupně, aby se zabránilo rozvoji abstinenčních symptomů u kojence.

Dětské použití

Bezpečnostní účinnost a farmakokinetika metadonu u pediatrických pacientů mladších 18 let nebyla stanovena.

Geriatrické použití

Klinické studie metadonu nezahrnovaly dostatečný počet subjektů ve věku 65 let a více, aby se určilo, zda reagují odlišně ve srovnání s mladšími subjekty. Jiné hlášené klinické zkušenosti nezjistily rozdíly v odpovědích mezi staršími a mladšími pacienty. Obecně začínají starší pacienty na nízkém konci rozsahu dávkování s přihlédnutím k větší frekvenci snížené renální nebo srdeční funkce jater a doprovodným onemocněním nebo jiné léčivé terapií u geriatrických pacientů. Úzce sledujte starší pacienty s příznaky deprese dýchacího a centrálního nervového systému.

Poškození ledvin

Farmakokinetika metadonu nebyla u pacientů s renální nedostatečností značně hodnocena. Protože nemetabolizovaný metadon a jeho metabolity jsou vylučovány močí do variabilního stupně, začínají tyto pacienty při nižších dávkách a s delšími dávkovými intervaly a pomalu titrují a přitom pečlivě sledují známky respirační a centrální nervové deprese.

Poškození jater

Metadon nebyl u pacientů s nedostatečností jater značně hodnocen. Metadon je metabolizován jaterními cestami; U pacientů s poškozením jater může být po více dávkování riziko zvýšené systémové expozice metadonu. Spusťte tyto pacienty při nižších dávkách a pomalu titrují při pečlivém sledování příznaků deprese dýchacího a centrálního nervového systému.

Informace o předávkování dolofinem

Klinická prezentace

Akutní předávkování metadonu se projevuje respirační depresí Somnolence postupující k hlouposti nebo coma maximálně zúžené žáky kosterní klymnici nachlazení a drsné kůže a někdy bradykardií a hypotenzí. Při vážném předávkách může dojít k vážnému předávkování, zejména intravenózní trasy apnoe, srdeční zástava a smrt.

Léčba předávkování

V případě předávkování priority jsou obnovení patentu a chráněné dýchací cesty a instituce asistovaného nebo kontrolovaného ventilace v případě potřeby. Při léčbě oběhového šoku a plicního edému využívejte jiná podpůrná opatření (včetně kyslíkových vasopresorů), jak je uvedeno. Srdeční zástava nebo arytmie budou vyžadovat pokročilé techniky podpory života.

Antagonisté opioidů, jako je naloxon, jsou specifické antidoty k respirační depresi v důsledku předávkování opioidy. Antagonisté opioidních by se neměli podávat v nepřítomnosti klinicky významné respirační nebo oběhové deprese sekundární k předávkování metadonem. Takové látky by měly být podávány opatrně pacientům, u nichž je známo, že jsou fyzicky závislé na tabletech hydrochloridu metadonu. V takových případech může náhlé nebo úplné zvrácení opioidních účinků vysrážit syndrom akutního stažení.

Protože by se očekávalo, že trvání zvratu bude kratší než doba účinku metadonu v tabletách hydrochloridu metadonu pečlivě monitorovat pacienta, dokud nebude spolehlivě obnoveno spontánní dýchání. Pokud je reakce na antagonisty opioidů suboptimální nebo nebude trvalá další antagonista, měla by být dána podle pokynů v předepisovacích informacích produktu.

U jednotlivce fyzicky závislého na opioidech může podávání antagonisty opioidního receptoru vyvolat akutní stažení. Závažnost vyrobeného stažení bude záviset na stupni fyzické závislosti a dávce podávané dávky antagonisty. Pokud je učiněno rozhodnutí o léčbě vážné respirační deprese při fyzicky závislém podávání pacienta antagonisty, by mělo být zahájeno péčí a titrací s menšími než obvyklými dávkami antagonisty.

Kontraindikace pro dolofin

Tablety hydrochloridu metadonu jsou kontraindikovány u pacientů s:

  • Významná respirační deprese
  • Akutní nebo těžká bronchiální astma v nemonitorovaném prostředí nebo v nepřítomnosti resuscitativního vybavení
  • Známé nebo podezření na paralyticileus
  • Přecitlivělost (např. Anafylaxe) na metadon [viz Nežádoucí účinky ].

Informace o předávkování dolofinem

Klinická prezentace

Akutní předávkování metadonu se projevuje respirační depresí Somnolence postupující k hlouposti nebo coma maximálně zúžené žáky kosterní klymnici nachlazení a drsné kůže a někdy bradykardií a hypotenzí. Při vážném předávkách může dojít k vážnému předávkování, zejména intravenózní trasy apnoe, srdeční zástava a smrt.

Léčba předávkování

V případě předávkování priority jsou obnovení patentu a chráněné dýchací cesty a instituce asistovaného nebo kontrolovaného ventilace v případě potřeby. Při léčbě oběhového šoku a plicního edému využívejte jiná podpůrná opatření (včetně kyslíkových vasopresorů), jak je uvedeno. Srdeční zástava nebo arytmie budou vyžadovat pokročilé techniky podpory života.

Antagonisté opioidů, jako je naloxon, jsou specifické antidoty k respirační depresi v důsledku předávkování opioidy. Antagonisté opioidních by se neměli podávat v nepřítomnosti klinicky významné respirační nebo oběhové deprese sekundární k předávkování metadonem. Takové látky by měly být podávány opatrně pacientům, o nichž je známo, že jsou fyzicky závislé na dolofinu. V takových případech může náhlé nebo úplné zvrácení opioidních účinků vysrážit syndrom akutního stažení.

Protože by se očekávalo, že trvání zvratu bude kratší než doba účinku metadonu v dolofinu pečlivě monitorovat pacienta, dokud nebude spolehlivě obnoveno spontánní dýchání. Pokud je reakce na antagonisty opioidů suboptimální nebo nebude trvalá další antagonista, měla by být dána podle pokynů v předepisovacích informacích produktu.

U jednotlivce fyzicky závislého na opioidech může podávání antagonisty opioidního receptoru vyvolat akutní stažení. Závažnost vyrobeného stažení bude záviset na stupni fyzické závislosti a dávce podávané dávky antagonisty. Pokud je učiněno rozhodnutí o léčbě vážné respirační deprese při fyzicky závislém podávání pacienta antagonisty, by mělo být zahájeno péčí a titrací s menšími než obvyklými dávkami antagonisty.

Kontraindikace pro dolofin

Město is contraindicated in patients with:

  • Významná respirační deprese
  • Akutní nebo těžká bronchiální astma v nemonitorovaném prostředí nebo v nepřítomnosti resuscitativního vybavení
  • Známý nebo podezřelý paralytický ileus

Přecitlivělost (např. Anafylaxe) na metadon [viz Nežádoucí účinky ].

Klinická farmakologie for Dolophine

Mechanismus působení

Hydrochlorid metadonu je MU-AGONIST; Syntetická opioidní analgetika s více akcími kvalitativně podobnými těm morfinu nejvýznamnější, z nichž nejvýznamnější zahrnuje centrální nervový systém a orgány složené z hladkého svalstva. Hlavní terapeutická použití pro metadon je pro analgezii a pro detoxikaci nebo údržbu závislosti na opioidech. Syndrom odběru metadonu, i když se kvalitativně podobný morfinu liší v tom, že nástup je pomalejší, kurz je prodlužován a příznaky jsou méně závažné.

Některá data také ukazují, že metadon působí jako antagonista v receptoru N-methyl-D-aspartátu (NMDA). Příspěvek antagonismu receptoru NMDA k účinnosti metadonu není znám. Ukázalo se, že jiné antagonisté receptoru NMDA produkují neurotoxické účinky u zvířat.

Farmakokinetika

Vstřebávání

Po perorálním podání se biologická dostupnost metadonu pohybuje mezi 36 až 100% a koncentrace maximální plazmy jsou dosaženy mezi 1 až 7,5 hodinami. Proporcionalita dávky metadonové farmakokinetiky není známa. Po podání denních perorálních dávek se však od 10 do 225 mg koncentrace v ustáleném stavu pohybovaly mezi 65 až 630 ng/ml a koncentrace píku se pohybovaly mezi 124 až 1255 ng/ml. Vliv potravy na biologickou dostupnost metadonu nebyl vyhodnocen.

Rozdělení

Metadon je lipofilní lék a distribuční objem v ustáleném stavu se pohybuje mezi 1,0 až 8,0 l/kg. V plazmě je metadon převážně vázán na glykoprotein a1-kyselin (85% až 90%).

Metabolismus

Metadon je primárně metabolizován N-demetylací N na neaktivní metabolit 2-ethyliden-15-dimethyl-33-difenylpyrroliden (EDDP). Enzymy cytochromu P450 primárně CYP3A4 CYP2B6 a CYP2C19 a v menší míře CYP2C9 a CYP2D6 jsou odpovědné za přeměnu metadonu na EDDP a jiné neaktivní metabolity, které jsou vylučovány hlavně v moči. Zdá se, že metadon je substrátem pro P-glykoprotein, ale jeho farmakokinetika se nezdá být významně změněna v případě polymorfismu nebo inhibice P-glykoproteinu.

Vylučování

Eliminace metadonu je zprostředkována rozsáhlou biotransformací následovanou renální a fekální vylučování. Zveřejněné zprávy naznačují, že po vícenásobném podávání dávky se zjevná plazmatická clearance metadonu pohybovala mezi 1,4 a 126 l/h a terminální poločas (T½) byl vysoce variabilní a v různých studiích se pohyboval mezi 8 až 59 hodinami. Metadon je základní (PKA = 9,2) sloučenina a pH močového traktu může změnit jeho dispozice v plazmě. Také protože metadon je lipofilní, je známo, že přetrvává v játrech a jiných tkáních. Pomalé uvolňování z jater a dalších tkání může prodloužit dobu trvání metadonu navzdory nízkým plazmatickým koncentracím.

Lékové interakce

Interakce cytochromu P450 : Metadon podléhá izoformám CYP2B6 CYP2C19 a v menší míře CYP2C9 a CYP2D6. Souběžné podávání metadonu pomocí induktorů CYP může vést k rychlejšímu metabolismu a potenciálu pro snížené účinky metadonu, zatímco podávání s inhibitory CYP může snížit metabolismus a zesilovat účinky metadonu. Ačkoli je antiretrovirová léčiva, jako je efavirenz neelfinavir nevirapin ritonavir lopinavir ritonavir kombinace, je známo, že inhibuje některé CYP, o nichž se ukázalo, že snižují plazmatické hladiny metadonu pravděpodobně v důsledku indukční aktivity CYP [viz viz aktivitu CYP [viz viz aktivita CYP [viz viz aktivita CYP [viz viz aktivita CYP [ Lékové interakce ]. Therefore drugs administered concomitantly with methadone  should be evaluated for interaction potential; clinicians are advised na evaluate individual response na drug therapy.

Induktory cytochromu P450 : Následující interakce léčiva byly hlášeny po souběžně podávání metadonu se známými induktory enzymů cytochromu P450:

Rifampin

U pacientů dobře stabilizovaných na doprovodu metadonu vedlo k výraznému snížení hladin metadonu v séru a souběžnému vzhledu abstinenčních symptomů.

Phable

Ve farmakokinetické studii s pacienty o podávání fenytoinu v terapii metadonu (250 mg dvakrát denně zpočátku po dobu 1 dna následovaná 300 mg denně po dobu 3 až 4 dnů) vedlo k přibližně 50% snížení expozice metadonu a abstinenční symptomy došlo souběžně. Po přerušení fenytoinu se výskyt abstinenčních symptomů snížil a expozice metadonu se zvýšila na úroveň srovnatelnou s hladinou před podáním fenytoinu.

Fenobarbital karbamazepin sv. Jana

Podávání metadonu s jinými induktory CYP3A4 může mít za následek abstinenční příznaky.

Inhibitory cytochromu P450 : Protože metabolismus metadonu je zprostředkován primárně pomocí CYP3A4 isozymového souběžnosti léků, které inhibují aktivitu CYP3A4, může způsobit sníženou clearance metadonu.

Vorikonazol

Opakované podávání dávky perorálního voriconazolu (400 mg každých 12 hodin po dobu 1 dnů, pak 200 mg každých 12 hodin po dobu 4 dnů) zvýšilo maximální plazmatickou koncentraci (CMAX) a AUC (R)- metadon- metadon o 31% a 47% u subjektů, které se zvýšily o 65%. Plazmatické koncentrace metadonu byly spojeny s toxicitou, včetně prodloužení QT. Lékové interakce ].

Antiretrovirové léky : Ačkoli je antiretrovirová léčiva, jako je efavirenz neelfinavir nevirapin ritonavir telaprevir lopinavir ritonavir, známo, že inhibují některé CYP, o nichž se ukázalo, že snižují plazmatické hladiny metadonu, pravděpodobně v důsledku indukční aktivity CYP.

Abacavir amprenavir darunavir ritonavir efavirenz neelfinavir nevirapin ritonavir telaprevir lopinavir ritonavir saquinavir ritonavir tipranvir ritonavir kombinace : Společné podávání těchto antiretrovirových látek vedla ke zvýšenému čiru nebo snížené plazmatické hladině metadonu [viz Lékové interakce ].

Didanosin a Stavudine

Metadon snížil hladinu AUC a píku pro didanosin a stavudin s významnějším poklesem pro didanosin. Dispozice metadonu nebyla podstatně změněna [viz Lékové interakce ].

Zidovudin

Metadon zvýšil AUC zidovudinu, což by mohlo vést k toxickým účinkům [viz Lékové interakce ].

Klinická farmakologie for Dolophine

Mechanismus působení

Hydrochlorid metadonu je MU-AGONIST; Syntetická opioidní analgetika s více akcími kvalitativně podobnými těm morfinu nejvýznamnější, z nichž nejvýznamnější zahrnuje centrální nervový systém a orgány složené z hladkého svalstva. Hlavní terapeutická použití pro metadon je pro analgezii a pro detoxikaci nebo údržbu závislosti na opioidech. Syndrom odběru metadonu, i když se kvalitativně podobný morfinu liší v tom, že nástup je pomalejší, kurz je prodlužován a příznaky jsou méně závažné.

Některá data také ukazují, že metadon působí jako antagonista v receptoru N-methyl-D-aspartátu (NMDA). Příspěvek antagonismu receptoru NMDA k účinnosti metadonu není znám. Ukázalo se, že jiné antagonisté receptoru NMDA produkují neurotoxické účinky u zvířat.

Farmakokinetika

Vstřebávání

Po perorálním podání se biologická dostupnost metadonu pohybuje mezi 36 až 100% a koncentrace maximální plazmy jsou dosaženy mezi 1 až 7,5 hodinami. Proporcionalita dávky metadonové farmakokinetiky není známa. Po podání denních perorálních dávek se však od 10 do 225 mg koncentrace v ustáleném stavu pohybovaly mezi 65 až 630 ng/ml a koncentrace píku se pohybovaly mezi 124 až 1255 ng/ml. Vliv potravy na biologickou dostupnost metadonu nebyl vyhodnocen.

Rozdělení

Metadon je lipofilní lék a distribuční objem v ustáleném stavu se pohybuje mezi 1,0 až 8,0 l/kg. V plazmě je metadon převážně vázán na glykoprotein a1-kyselin (85% až 90%). Metadon je vylučován ve slinovém mateřském mléku amniotiové tekutiny a plazmě pupeční šňůry.

Metabolismus

Metadon je primárně metabolizován N-demetylací N na neaktivní metabolit 2-ethyliden-15-dimethyl-33-difenylpyrroliden (EDDP). Enzymy cytochromu P450 primárně CYP3A4 CYP2B6 a CYP2C19 a v menší míře CYP2C9 a CYP2D6 jsou odpovědné za přeměnu metadonu na EDDP a jiné neaktivní metabolity, které jsou vylučovány hlavně v moči. Zdá se, že metadon je substrátem pro P-glykoprotein, ale jeho farmakokinetika se nezdá být významně změněna v případě polymorfismu nebo inhibice P-glykoproteinu.

Vylučování

Eliminace metadonu je zprostředkována rozsáhlou biotransformací následovanou renální a fekální vylučování. Zveřejněné zprávy naznačují, že po vícenásobném podávání dávky se zjevná plazmatická clearance metadonu pohybovala mezi 1,4 a 126 l/h a terminální poločas (T½) byl vysoce variabilní a v různých studiích se pohyboval mezi 8 až 59 hodinami. Metadon je základní (PKA = 9,2) sloučenina a pH močového traktu může změnit jeho dispozice v plazmě. Také protože metadon je lipofilní, je známo, že přetrvává v játrech a jiných tkáních. Pomalé uvolňování z jater a dalších tkání může prodloužit dobu trvání metadonu navzdory nízkým plazmatickým koncentracím.

Lékové interakce

Interakce cytochromu P450 : Metadon podléhá izoformám CYP2B6 CYP2C19 a v menší míře CYP2C9 a CYP2D6. Souběžné podávání metadonu pomocí induktorů CYP může vést k rychlejšímu metabolismu a potenciálu pro snížené účinky metadonu, zatímco podávání s inhibitory CYP může snížit metabolismus a zesilovat účinky metadonu. Ačkoli je antiretrovirová léčiva, jako je efavirenz neelfinavir nevirapin ritonavir lopinavir ritonavir kombinace, je známo, že inhibuje některé CYP, o nichž se ukázalo, že snižují plazmatické hladiny metadonu pravděpodobně v důsledku indukční aktivity CYP [viz viz aktivitu CYP [viz viz aktivita CYP [viz viz aktivita CYP [viz viz aktivita CYP [ Lékové interakce ]. Therefore drugs administered concomitantly with methadone should be evaluated for interaction potential; clinicians are advised na evaluate individual response na drug therapy.

Induktory cytochromu P450 : Následující interakce léčiva byly hlášeny po souběžně podávání metadonu se známými induktory enzymů cytochromu P450:

Rifampin : U pacientů dobře stabilizovaných na doprovodu metadonu vedlo k výraznému snížení hladin metadonu v séru a souběžnému vzhledu abstinenčních symptomů.

Phable : Ve farmakokinetické studii s pacienty o podávání fenytoinu v terapii metadonu (250 mg dvakrát denně zpočátku po dobu 1 dna následovaná 300 mg denně po dobu 3 až 4 dnů) vedlo k přibližně 50% snížení expozice metadonu a abstinenční symptomy došlo souběžně. Po přerušení fenytoinu se výskyt abstinenčních symptomů snížil a expozice metadonu se zvýšila na úroveň srovnatelnou s hladinou před podáním fenytoinu.

Fenobarbital karbamazepin sv. Jana : Podávání metadonu s jinými induktory CYP3A4 může mít za následek abstinenční příznaky.

Inhibitory cytochromu P450 : Protože metabolismus metadonu je zprostředkován primárně pomocí CYP3A4 isozymového souběžnosti léků, které inhibují aktivitu CYP3A4, může způsobit sníženou clearance metadonu.

Vorikonazol : Opakované podávání dávky perorálního vorikonazolu (400 mg každých 12 hodin po dobu 1 dnů, pak 200 mg každých 12 hodin po dobu 4 dnů) zvýšilo maximální plazmatickou koncentraci (CMAX) a AUC (R)- metadon o 31% a 47% u subjektů, které dostávaly dávku metadonu (30 až 100 mg denně). CMAX a AUC (S)-methadonu se zvýšily o 65% a 103%. Zvýšené plazmatické koncentrace metadonu byly spojeny s toxicitou včetně prodloužení QT. Během souběžného podávání se doporučuje časté monitorování nežádoucích účinků a toxicity související s metadonem. Může být nutná redukce dávky metadonu [viz Lékové interakce ].

Antiretrovirové léky : Ačkoli je antiretrovirová léčiva, jako je efavirenz neelfinavir nevirapin ritonavir telaprevir lopinavir ritonavir, známo, že inhibují některé CYP, o nichž se ukázalo, že snižují plazmatické hladiny metadonu, pravděpodobně v důsledku indukční aktivity CYP.

Abacavir amprenavir darunavir ritonavir efavirenz neelfinavir nevirapin ritonavir telaprevir lopinavir ritonavir saquinavir ritonavir tipranvir ritonavir kombinace : Společná podávání těchto antiretrovirových látek vedla ke zvýšené clearance nebo snížené plazmatické hladině metadonu [viz Lékové interakce ].

Didanosin a Stavudine : Metadon snížil hladinu AUC a píku pro didanosin a stavudin s významnějším poklesem pro didanosin. Dispozice metadonu nebyla podstatně změněna [viz Lékové interakce ].

Zidovudin : Metadon zvýšil AUC zidovudinu, což by mohlo vést k toxickým účinkům [viz Lékové interakce ].

Informace o pacientovi pro dolofin

Tablety hydrochloridu metadonu
Tablety hydrochloridu metadonu jsou:

  • Silná lék na bolest na předpis, který obsahuje opioid (narkotikum), který se používá k řízení bolesti natolik závažného, ​​aby vyžadoval denní nepřetržitou dlouhodobou léčbu opioidem, když jiná léčba bolesti, jako jsou léky proti neopioidní bolesti nebo okamžité léky na opioidní léky, nebo je nemůžete tolerovat.
  • Dlouho působící lék na bolest opioidů, který vás může vystavit riziku předávkování a smrti. I když svou dávku vezmete správně podle předepsání, máte ohrožení zneužívání závislosti na opioidech a zneužíváním, které může vést k smrti.
  • Ne pro použití k léčbě bolesti, která není nepřetržita
  • Také se používá k řízení drogové závislosti.

Důležité informace o tabletách hydrochloridu metadonu:

  • Získejte okamžitě nouzovou pomoc, pokud si vezmete příliš mnoho tablet hydrochloridu metadonu (předávkování). Když poprvé začnete užívat tablety hydrochloridu metadonu, když se vaše dávka změní nebo pokud budete mít příliš mnoho (předávkování) vážného nebo život ohrožujícího dýchacího problémů, které mohou vést k smrti.
  • Nikdy nikomu nedávejte tablety hydrochloridu metadonu. Mohli zemřít na to, že to vezme. Ukládejte tablety hydrochloridu metadonu od dětí a na bezpečném místě, abyste zabránili krádeži nebo zneužívání. Prodej nebo rozdávání metadonových hydrochloridových tablet je proti zákonu.

Pokud máte: Neberte si tablety metadonu hydrochloridu:

  • Těžké astma problémů s dýcháním nebo jiné problémy plic.
  • blokování střeva nebo zúžení žaludku nebo střev.

Před přijetím tablety hydrochloridu metadonu řekněte poskytovateli zdravotní péče, pokud máte historii:

  • Záchvaty zranění hlavy
  • Problémy se štítnou žlázou v játrech
  • problémy močení
  • Problémy s rytmem srdce (dlouhý qt syndrom)
  • Problémy s břišní nebo žlučníkem
  • Zneužívání závislosti na ulici nebo na předpis léků nebo problémů s duševním zdravím.

Sdělte svému poskytovateli zdravotní péče, pokud jste:

  • těhotná nebo plánování otěhotnění. Dlouhodobé použití tablet hydrochloridu metadonu během těhotenství může způsobit abstinenční příznaky u vašeho novorozeného dítěte, které by mohly být život ohrožující, pokud by nebyly rozpoznány a léčeny.
  • kojení. Metadon prochází do mateřského mléka a může poškodit vaše dítě.
  • užívání na předpis nebo volně prodejné léky vitamíny nebo bylinné doplňky. Užívání tablet hydrochloridu metadonu s některými jinými léky může způsobit vážné vedlejší účinky.

Při užívání tablet hydrochloridu metadonu:

  • Neměňte svou dávku. Vezměte si tablety hydrochloridu metadonu přesně tak, jak předepsal váš poskytovatel zdravotní péče.
  • Neberejte více než předepsaná dávka za 24 hodin. Pokud si vezmete tablety hydrochloridu metadonu pro bolest a chybí vám dávka, vezměte si co nejdříve tablety hydrochloridu metadonu a poté si vezměte další dávku o 8 nebo 12 hodin později podle pokynů poskytovatele zdravotní péče. Pokud je téměř čas na vaši další dávku přeskočit zmeškanou dávku a vrátit se k pravidelnému dávkovému plánu.
  • Pokud si vezmete tablety hydrochloridu metadonu pro závislost na opioidech a chybí vám dávka, vezměte si další dávku následující den podle plánu. Neberete další dávky. Více než předepsaná dávka může způsobit předávkování, protože metadon se časem hromadí ve vašem těle.
  • Nedržte rozpuštění odfrčení nebo injekci tablet hydrochloridu metadonu, protože to může způsobit předávkování a zemřít.
  • Zavolejte svému poskytovateli zdravotní péče, pokud dos e berete, nekontroluje vaši bolest.
  • Nepřinášejte top břišní tablety hydrochloridu metadonu, aniž byste mluvili s poskytovatelem zdravotní péče.
  • Poté, co přestanete brát tablety hydrochloridu metadonu, spláchněte nepoužité tablety po toaletě.

Při užívání tablet hydrochloridu metadonu ne:

  • Řídit nebo provozovat těžké stroje, dokud nevíte, jak vás ovlivňuje tableta hydrochloridu metadonu. Tablety hydrochloridu metadonu vás mohou způsobit ospalým závratě nebo odlehčeným.
  • Pijte alkohol nebo používejte předpis nebo volně prodejné léky, které obsahují alkohol. Použití produktů obsahujících alkohol během léčby tabletami hydrochloridu metadonu může způsobit předávkování a zemřít.

Možné vedlejší účinky tablet hydrochloridu metadonu jsou:

  • zácpa nevolnost sleepiness zvracení tiredness headache závrať abdominal pain. Call your healthcare provider if you have any of these sympnams a they are severe.

Získejte pohotovostní lékařskou pomoc, pokud máte:

  • Potíže s dýchací dušností Rychle srdečního rytmu bolesti na hrudi otok na obličej jazyk nebo krk extrémní ospalost při změně pozic nebo se cítíte slabý.

Nejedná se o všechny možné vedlejší účinky tablet hydrochloridu metadonu. Zavolejte svého lékaře, kde najdete lékařskou radu ohledně vedlejších účinků. Můžete nahlásit vedlejší účinky FDA na 1-800-FDA-1088. Pro více informací najdete na dailymymed.nlm.nih.gov.

Informace o pacientovi pro dolofin

Město®
(O-O-Feen)
(metadon hydrochlorid) tablety USP

Město is :

  • Silná lék na bolest na předpis, který obsahuje opioid (narkotikum), který se používá k řízení bolesti natolik závažného, ​​aby vyžadoval každodenní nepřetržitou dlouhodobou léčbu opioidem, když jiná léčba bolesti, jako jsou léky proti neopioidní bolesti nebo operace s okamžitým vydáváním, léčivé léky na léčbu nebo je nemůžete tolerovat.
  • Dlouho působící lék na bolest opioidů, který vás může vystavit riziku předávkování a smrti. I když svou dávku vezmete správně podle předepsaného, ​​máte riziko zneužívání a zneužití závislosti na opioidech, než může vést k smrti.
  • Ne pro použití k léčbě bolesti, která není nepřetržita.
  • Také se používá k řízení drogové závislosti.

Důležité informace o dolofinu:

  • Pokud si vezmete příliš mnoho dolofinu (předávkování), získejte nouzovou pomoc. Když poprvé začnete brát dolofin, když se vaše dávka změní nebo pokud berete příliš mnoho (předávkování) vážných nebo život ohrožujících dýchacích problémů, které mohou vést k smrti.
  • Nikdy nikomu nedávejte svůj dolofin. Mohli zemřít na to, že to vezme. Uložte dolofin pryč od dětí a na bezpečném místě, abyste zabránili krádeži nebo zneužívání. Prodej nebo rozdávání dolofinu je proti zákonu.

Neberete dolophine, pokud máte:

  • Těžké astma problémů s dýcháním nebo jiné problémy plic.
  • Blokování střeva nebo zúžení žaludku nebo střev.

Předtím, než vezmete Dolophine, řekněte svému poskytovateli zdravotní péče, pokud máte historii:

  • Záchvaty zranění hlavy
  • Problémy se štítnou žlázou v játrech
  • problémy močení
  • Problémy s břišní nebo žlučníkem
  • Problémy s rytmem srdce (dlouhý qt syndrom)
  • Zneužívání závislosti na ulici nebo na předpis léků nebo problémů s duševním zdravím.

Sdělte svému poskytovateli zdravotní péče, pokud jste:

  • těhotná nebo plánování otěhotnění. Dlouhodobé použití dolofinu během těhotenství může způsobit příznaky odložení u vašeho novorozeného dítěte, které by mohly být život ohrožující, pokud by nebyly rozpoznány a léčeny.
  • kojení. Město passes inna breast milk a may harm your baby.
  • užívání na předpis nebo volně prodejné léky vitamíny nebo bylinné doplňky. Užívání dolofinu s některými jinými léky může způsobit vážné vedlejší účinky.

Při užívání dolofinu:

  • Neměňte svou dávku. Vezměte dolophine přesně tak, jak předepsal váš poskytovatel zdravotní péče.
  • Neberejte více než předepsaná dávka za 24 hodin. Pokud si vezmete dolofin pro bolest a chybí vám dávka, vezměte si dolofin co nejdříve a poté si vezměte další dávku o 8 nebo 12 hodin později podle pokynů poskytovatele zdravotní péče. Pokud je téměř čas na vaši další dávku přeskočit zmeškanou dávku a vrátit se k pravidelnému dávkovému plánu.
  • Pokud si vezmete dolofin pro závislost na opioidech a chybí vám dávka, vezměte si další dávku následující den podle plánu. Neberete další dávky. Užívání více než předepsané dávky může způsobit předávkování, protože dolofin se časem hromadí ve vašem těle.
  • Nedržte rozpuštění odfrčení nebo injekce dolofinu, protože to může způsobit předávkování a zemřít.
  • Pokud dávka, kterou užíváte, zavolejte svému poskytovateli zdravotní péče, nekontroluje vaši bolest.
  • Nepřestávejte brát dolofin, aniž byste mluvili s poskytovatelem zdravotní péče.
  • Poté, co přestanete brát dolofin propláchat jakékoli nepoužité tablety po záchodě.

Při užívání dolofinu ne:

  • Řídit nebo provozovat těžké stroje, dokud nevíte, jak vás Dolophine ovlivňuje. Dolofin vás může způsobit, že ospalý závratě nebo zlehčený.
  • Pijte alkohol nebo používejte předpis nebo volně prodejné léky, které obsahují alkohol. Použití produktů obsahujících alkohol během léčby dolofinem může způsobit předávkování a zemřít.

Možné vedlejší účinky dolofinu jsou:

  • zácpa nevolnost sleepiness zvracení tiredness headache závrať abdominal pain. Call your healthcare provider if you have any of these sympnams a they are severe.

Získejte pohotovostní lékařskou pomoc, pokud máte:

  • Potíže s dýchací dušností Rychle srdečního rytmu bolesti na hrudi otok na obličej jazyk nebo krk extrémní ospalost při změně pozic nebo se cítíte slabý.

Nejedná se o všechny možné vedlejší účinky dolofinu. Zavolejte svého lékaře, kde najdete lékařskou radu ohledně vedlejších účinků. Můžete nahlásit vedlejší účinky FDA na 1-800-FDA-1088. Pro více informací najdete na dailymymed.nlm.nih.gov.