Informace Na Stránce Nepředstavují Lékařskou Radu. Nic Neprodáváme. Přesnost Překladu Není Zaručena. Zřeknutí Se Odpovědnosti
Anticholinergika, genitourinární
Detrol the
Shrnutí drog
Co je detrol la?
Detrol (Tolterodin) LA je antagonista muskarinového receptoru, který snižuje křeče měchýř Svaly a používá se k léčbě nadměrného močového měchýře příznaky naléhavosti a inkontinence moči.
Jaké jsou vedlejší účinky detrol la?
Detrol LA may cause serious side effects including:
- bolest na hrudi
- Rychlá nebo nerovnoměrná srdeční frekvence
- zmatek
- halucinace
- močení méně než obvykle nebo vůbec ne a
- bolestivé nebo obtížné močení
Získejte lékařskou pomoc okamžitě, pokud máte výše uvedené příznaky.
Mezi vedlejší účinky detrol la patří:
- sucho v ústech
- suché oči
- rozmazané vidění
- závrať
- ospalost
- zácpa
- průjem
- bolest žaludku nebo rozrušení
- bolest kloubů nebo
- bolest hlavy.
Pokud máte následující vážné vedlejší účinky, vyhledejte lékařskou péči nebo zavolejte na číslo 911:
- Vážné příznaky očí, jako je ztráta náhlého vidění rozmazané vidění vidění Vision Vision Eye Eye Eye Eye Eye Eye Eye Eye nebo vidět halos kolem světel;
- Vážné příznaky srdce, jako je rychlé nepravidelné nebo bušení srdečního rytmu; třepování v hrudi; dušnost; a náhlé závratě lightheadness nebo omdlení;
- Těžká zmatek bolesti hlavy zkroucený řečový rameno nebo slabost nohou Potíže se ztrátou chůze pocitu koordinace Pocit nestabilní velmi tuhé svaly vysoké horečky bohaté pocení nebo třes.
Tento dokument neobsahuje všechny možné vedlejší účinky a mohou dojít k jiným. Další informace o vedlejších účincích najdete u svého lékaře.
Dávkování pro detrol la
Doporučená dávka detrol la tobolek je 4 mg jednou denně s vodou a polyká celek.
Jaké léky nebo doplňky interagují s detrol la?
Detrol LA may interact with arsenic trioxide chloroquine halofantrine cyclosporine droperidol narcotics pentamidine vinblastine antibiotics medicines to treat psychiatric disorders or heart rhythm medicines. Tell your doctor all medications a supplements you use.
Detrol LA During Těhotenství a Breastfeeding
Řekněte svému lékaři, pokud jste těhotná nebo plánujete otěhotnět při používání detrol la; Není známo, zda to poškodí plod. Není známo, zda detrol la přejde do mateřského mléka nebo by to mohlo poškodit kojící dítě. Před kojením se poraďte se svým lékařem.
Další informace
Naše detrol la vedlejší účinky drogové centrum poskytuje komplexní pohled na dostupné informace o drogách o potenciálních vedlejších účincích při užívání tohoto léku.
Informace o drogách FDA
- Popis léku
- Indikace
- Vedlejší účinky
- Lékové interakce
- Varování
- Předávkovat
- Klinická farmakologie
- Průvodce léky
Popis pro detrol la
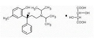
Detrol la tobolky obsahují tolterodin tartrát. Aktivní tolterodin skupiny je antagonista muskarinového receptoru. Chemický název tolterodinového tartrátu je (r) -nn-diisopropyl-3- (2-hydroxy-5-methylfenyl) -3-fenylpropanamin l-hydrogen tartrát. Empirický vzorec tolterodinu tartrátu je C 26 H 37 ŽÁDNÝ 7 . Jeho struktura je:
|
Tolterodin tartrát je bílý krystalický prášek s molekulovou hmotností 475,6. PK a Hodnota je 9,87 a rozpustnost ve vodě je 12 mg/ml. Je rozpustný v methanolu mírně rozpustný v ethanolu a prakticky nerozpustný v toluenu. Koeficient oddílu (log d) mezi N-Octanol a vodou je 1,83 při pH 7,3.
Detrol la 4 mg tobolka pro perorální podání obsahuje 4 mg tolterodinu tartrátu. Neaktivní ingredience jsou sacharóza škrobová hypromelóza ethylcelulóza středního řetězce triglyceridy kyseliny olejové želatiny a FD FD
Detrol la 2 mg tobolka pro perorální podávání obsahuje 2 mg tolterodinu tartrátu a následující neaktivní složky: sacharóza škrobová hypromelóza ethylcelulóza střední řetěze
Oba síly 2 mg i 4 mg kapsle jsou potištěny inkoustem tisku farmaceutického stupně, který obsahuje propylenglykol oxidu oxidu litaničitého shellac glazurou.
Použití pro detrol la
Detrol la tobolky jsou indikovány pro léčbu nadměrného močového měchýře příznaky naléhavosti a frekvence nutkání inkontinence moči [viz viz Klinické studie ].
Nejvyšší dávka Adderall XR předepsaná
Dávkování pro detrol la
Informace o dávkování
Doporučená dávka detrol la tobolek je 4 mg jednou denně s vodou a polyká celek. Dávka může být snížena na 2 mg denně na základě individuální odezvy a snášenlivosti; Pro detrol la 2 mg jsou však k dispozici omezené údaje o účinnosti [viz Klinické studie ].
Nastavení dávkování u konkrétních populací
Doporučená dávka detrol la je jednou denně, u pacientů s mírným až středním až středním poškozením jater (třída A nebo B) nebo závažného poškození ledvin (CCR 10-30 ml/min). Detrol LA se nedoporučuje pro použití u pacientů se závažným poškozením jater (třída C Child-Pugh). Pacienti s CCR <10 mL/min have not been studied a use of Detrol the in this population is not recommended [see Varování a preventivní opatření a Použití v konkrétních populacích ].
Úpravy dávkování v přítomnosti souběžných drog
U pacientů, kteří užívají léky, které jsou silnými inhibitory CYP3A4 [např. ketoconazol klaritromycin ritonavir] Doporučená dávka detrol la je 2 mg jednou denně [viz viz Lékové interakce ].
Jak dodáno
Formy a silné stránky dávkování
2 mg tobolky jsou modro-zelené se symbolem a 2 vytištěny bílým inkoustem. 4 mg tobolky jsou modré se symbolem a 4 vytištěny bílým inkoustem.
Skladování a manipulace
Detrol the Tobolky jsou dodávány následovně:
Lahve 30
2 mg tobolky NDC 0009-5190-01
4 mg tobolky NDC 0009-5191-01
Lahve 500
2 mg tobolky NDC 0009-5190-03
4 mg tobolky NDC 0009-5191-03
Lahve 90
Ukládat při 20 ° - 25 ° C (68 ° - 77 ° F); Exkurze povolené na 15–30 ° C (59–86 ° F) [viz teplota místnosti s kontrolovanou USP]. Chránit před světlem.
Ukládat při 20 ° - 25 ° C (68 ° - 77 ° F); Exkurze povolené na 15–30 ° C (59–86 ° F) [viz teplota místnosti s kontrolovanou USP]. Chránit před světlem.
Distribuováno společností Pharmacia
Vedlejší účinky for Detrol LA
Protože klinické studie se provádějí za široce proměnlivých podmínek, nežádoucí rychlosti nežádoucí reakce pozorované v klinických studiích léčiva nelze přímo porovnat s mírami v klinických studiích s jiným lékem a nemusí odrážet míru pozorované v praxi.
Zkušenosti z klinických studií
Účinnost a bezpečnost detrol la tobolek byla hodnocena u 1073 pacientů (537 přidělených detrol la; 536 přiřazeno k placebu), kteří byli léčeni 2 4 6 nebo 8 mg/den po dobu až 15 měsíců. Jednalo se o celkem 1012 pacientů (505 randomizovaných na detrol la 4 mg jednou denně a 507 randomizovaných na placebo) zapsáno do randomizované placebem kontrolované dvojitě zaslepené 12týdenní klinické účinnosti a bezpečnosti.
Nežádoucí účinky byly hlášeny u 52% (n = 263) pacientů, kteří dostávali detrol la a u 49% (n = 247) pacientů, kteří dostávali placebo. Nejběžnější nežádoucí účinky hlášené pacienti, kteří dostávali detrol la, byla zácpa bolesti hlavy v ústech a bolest břicha. Sucho v ústech byla nejčastěji uváděna nežádoucí příhoda u pacientů léčených detrolem LA, která se vyskytuje u 23,4% pacientů léčených detrol LA a 7,7% pacientů ošetřených placebem. Abnormální vidění zácpy v ústech (abnormality ubytování) Retence moči a suché oči se očekávají vedlejší účinky antimuskarinových látek. Vážnou nežádoucí příhodu bylo hlášeno 1,4% (n = 7) pacientů, kteří dostávali detrol LA a 3,6% (n = 18) pacientů, kteří dostávali placebo.
Tabulka 1 uvádí nežádoucí účinky bez ohledu na kauzalitu, která byla hlášena v randomizované dvojitě zaslepené placebem kontrolované 12týdenní studii při výskytu větší než placebo a u větší nebo rovna 1% pacientů léčených detrol la 4 mg jednou denně.
Tabulka 1. Incidence* (%) nežádoucích účinků přesahujících rychlost placeba a hlášeno u ≥1% pacientů
| Tělesný systém | Nežádoucí událost | % Detrol the n = 505 | % Placebo n = 507 |
| Autonomické nervové | sucho v ústech | 23 | 8 |
| Generál | bolest hlavy | 6 | 5 |
| únava | 2 | 1 | |
| Centrální/periferní nervová | závrať | 2 | 1 |
| Gastrointestinal | zácpa | 6 | 4 |
| Bolest břicha | 4 | 2 | |
| Dyspepsia | 3 | 1 | |
| Vidění | xerofthalmia | 3 | 2 |
| Vize abnormální | 1 | 0 | |
| Psychiatric | spavost | 3 | 2 |
| úzkost | 1 | 0 | |
| Respirační | sinusitida | 2 | 1 |
| Moč | Dysurie | 1 | 0 |
| * v nejbližší celé Integer. |
Frekvence přerušení v důsledku nežádoucích účinků byla nejvyšší během prvních 4 týdnů léčby. Podobná procenta pacientů léčených detrolem LA nebo placebem přerušila léčbu v důsledku nežádoucích účinků. Sucho v ústech byla nejčastější nežádoucí příkazem vedoucí k přerušení léčby u pacientů, kteří dostávali detrol la [n = 12 (NULL,4%) vs. placebo n = 6 (NULL,2%)].
Post-Marketing Experience
Následující události byly hlášeny ve spojení s používáním tolterodinu v celosvětovém popravě:
Generál: Anafylaxe a angioedém;
Kardiovaskulární: Palpitace tachykardie periferní edém;
Gastrointestinal: průjem;
Centrální/periferní nervová: zmatek disorientation memory impairment halucinace.
Zprávy o zhoršení symptomů demence (např. Dezorientace zmatku) byly hlášeny poté, co byla zahájena terapie tolterodinem u pacientů užívajících inhibitory cholinesterázy pro léčbu demence.
Protože tyto spontánně hlášené události pocházejí z celosvětového zážitku po marketingu, nelze spolehlivě určit četnost událostí a roli tolterodinu v jejich příčinné souvislosti.
Lékové interakce for Detrol LA
Silné inhibitory CYP2D6
Fluoxetin silný inhibitor aktivity CYP2D6 významně inhiboval metabolismus okamžitého uvolňování tolterodinu v rozsáhlých metabolizátorech CYP2D6, což mělo za následek 4,8násobné zvýšení AUC tolterodinu. Došlo k 52% poklesu CMAX a 20% pokles AUC 5-hydroxymethyl tolterodinu (5-HMT) farmakologicky aktivní metabolit tolterodinu [viz viz Klinická farmakologie ]. The sums of unbound serum concentrations of tolterodine a 5-HMT are only 25% higher during the interaction. No dose adjustment is required when tolterodine a fluoxetine are co-administered [see Klinická farmakologie ].
Silné inhibitory CYP3A4
Ketoconazol (200 mg denně) Silný inhibitor CYP3A4 zvýšil průměrný CMAX a AUC tolterodinu 2 a 2,5krát v špatných metabolizátorech CYP2D6.
U pacientů, kteří dostávají ketokonazol nebo jiné účinné inhibitory CYP3A4, jako je itrakonazol klaritromycin nebo ritonavir, doporučená dávka detrol la je 2 mg jednou denně [viz viz Dávkování a podávání a Klinická farmakologie ].
Jiné interakce
Nebyly pozorovány žádné klinicky relevantní interakce, když byl tolterodin spolupracován s warfarinem s kombinovaným perorálním antikoncepčním lékem obsahujícím ethinylestradiol a levonorgestrel nebo s diuretikou [viz viz diuretika [viz diuretika Klinická farmakologie ].
Jiné léky metabolizované izoenzymy cytochromu P450
Nadarmo Údaje o interakci léčiva ukazují, že okamžité uvolňování tolterodinu nevede k klinicky relevantní inhibici CYP1A2 2C9 2C19 nebo 3A4, o čemž svědčí nedostatek vlivu na léky na markeru kofein debrisochin s-warfarin a omeprazol [Viz [viz Klinická farmakologie ].
Interakce laboratorního testu
Interakce mezi tolterodinem a laboratorními testy nebyly studovány.
Další anticholinergika
Současné použití detrol la s jinými anticholinergními (antimuskarinovými) činidly může zvýšit frekvenci a/nebo závažnost zácpy suchých úst rozmazaná vidění a další anticholinergní farmakologické účinky.
Varování pro detrol la
Zahrnuto jako součást 'OPATŘENÍ' Sekce
Opatření pro detrol la
Angioedema
Anafylaxe a angioedém vyžadující hospitalizaci a pohotovostní lékařské ošetření došlo k prvním nebo následným dávkám detrol la. V případě obtížnosti při dýchání obstrukce horních cest dýchacích nebo poklesu detrolu krevního tlaku by měla být přerušena a okamžitě poskytnuta vhodná terapie.
Moč Retention
Spravujte detrol la tobolky s opatrností pacientům s klinicky významnou obstrukcí odtoku močového měchýře kvůli riziku retence moči [viz viz Kontraindikace ].
Gastrointestinal Disorders
Spravujte detrol la s opatrností u pacientů s gastrointestinálními obstrukčními poruchami kvůli riziku retence žaludku.
Detrol the like other antimuscarinic drugs may decrease gastrointestinal motility a should be used with caution in patients with conditions associated with decreased gastrointestinal motility (e.g. intestinal atony) [see Kontraindikace ].
Kontrolovaný glaukom s úzkým úhlem
Spravujte detrol la s opatrností u pacientů léčených pro glaukom s úzkým úhlem [viz Kontraindikace ].
Účinky centrálního nervového systému
Detrol LA is associated with anticholinergic central nervous system (CNS) effects [see Nežádoucí účinky ] včetně závratě a somnolence [viz Nežádoucí účinky ]. Patients should be monitored for signs of anticholinergic CNS effects particularly after beginning treatment or increasing the dose. Advise patients not to drive or operate heavy machinery until the drug’s effects have been determined. If a patient experiences anticholinergic CNS effects dose reduction or drug discontinuation should be considered.
Poškození jater
Odbavení orálně podávaného okamžitého uvolňování tolterodinu bylo u cirhotických pacientů podstatně nižší než u zdravých dobrovolníků. U pacientů s mírným až středním poškozením jater (dětský pugh třída A nebo b) je doporučená dávka pro detrol la 2 mg jednou denně. Detrol LA se nedoporučuje pro použití u pacientů s těžkým poškozením jater (Child-Pugh třída C) [Viz Dávkování a podávání a Použití v konkrétních populacích ].
Poškození ledvin
Poškození ledvin může významně změnit dispozice tolterodinu a jeho metabolitů. Dávka detrolu LA by měla být redukována na 2 mg jednou denně u pacientů s těžkým poškozením ledvin (CCR: 1030 ml/min). Pacienti s CCR <10 mL/min have not been studied a use of Detrol the in this population is not recommended [see Dávkování a podávání a Použití v konkrétních populacích ].
Myasthenia Gravis
Spravujte detrol la s opatrností u pacientů s myasthenia gravis a onemocnění charakterizované sníženou cholinergní aktivitou na neuromuskulárním spojení.
Použití u pacientů s vrozeným nebo získaným prodloužením QT
Ve studii účinku tabletů s okamžitým uvolňováním tolterodinu na interval QT [viz Klinická farmakologie ] Účinek na interval QT se zdál větší po dobu 8 mg/den (dvakrát terapeutická dávka) ve srovnání se 4 mg/den a byl výraznější v chudých metabolizátorech CYP2D6 než rozsáhlé metabolizátory (EMS). Účinek tolterodinu 8 mg/den nebyl tak velký, jak je pozorován po čtyřech dnech terapeutického dávkování s aktivní kontrolní moxifloxacin. Intervaly spolehlivosti se však překrývaly.
Tato pozorování by měla být zvážena v klinických rozhodnutích, aby se předepisovaly detrol la pacientům se známou anamnézou prodloužení QT nebo pacientům, kteří užívají antiarrhytmické léky třídy IA (např. Quinidin prokainamid). V mezinárodních zkušenostech s trhem s detrolem nebo detrolem la neexistovala žádná asociace Torsade de Pointes.
Informace o poradenství pro pacienta
Doporučujte pacientovi, aby si přečetl značení pacienta schváleného FDA ( Informace o pacientu ).
Antimuskarinové účinky
Informujte pacienty, že antimuskarinové látky, jako je detrol la, mohou mít vedlejší účinky, včetně rozmazaného vidění závratě nebo ospalosti. Doporučujte pacientům, aby nejednali provozní stroje nebo nedělali jiné potenciálně nebezpečné činnosti, dokud neví, jak na ně detrol la.
Štítek tohoto produktu mohl být aktualizován. Aktuální úplné informace o předepisování naleznete na adrese www.pfizer.com.
Neklinická toxikologie
Zhodnocení mutageneze karcinogeneze plodnosti
Studie karcinogenity s tolterodinem byly prováděny u myší a potkanů. Při maximální tolerované dávce u myší (30 mg/kg/den) samice potkanů (20 mg/kg/den) a samčí potkanů (30 mg/kg/den) byly přibližně 6-9krát 7krát a 11krát vícenásobné klinické expozice farmakologicky aktivním komponentům detrol ® LA (na základě AUC tolterodinu a jeho 5-HMT metabolitu). Při těchto expozičních okrajích nebylo zjištěno žádné zvýšení nádorů u myší nebo potkanů.
V baterii nebyly detekovány žádné mutagenní ani genotoxické účinky tolterodinu in vitro Testy včetně testů bakteriálních mutací (test Ames) ve 4 kmenech Salmonella typhimurium a in 2 strains of Vykazovali chill Test genové mutace v L5178Y myších lymfomových buňkách a chromozomální aberačních testech v lidských lymfocytech. Tolterodin byl také negativní nadarmo V testu mikronukleus kostní dřeně u myši.
U samic myší léčených po dobu 2 týdnů před pářením a během těhotenství s 20 mg/kg/den (asi 9-12krát klinická expozice prostřednictvím AUC) nebyly pozorovány ani účinky na reprodukční výkon nebo plodnost. U samců myší dávka 30 mg/kg/den nevyvolala žádné nežádoucí účinky na plodnost.
Použití v konkrétních populacích
Těhotenství
Shrnutí rizika
U těhotných žen nejsou k dispozici žádné údaje o používání detrol la k informování rizik spojených s drogami. Ve studiích reprodukce zvířat perorální podávání tolterodinu a jeho metabolitu 5-HMT pro těhotné myši během organogeneze nevytvořily nepříznivé vývojové výsledky v dávkách přibližně 9 až 12násobek klinické expozice v dávce 20 mg/kg/den; Vyšší dávky však způsobily nepříznivé vývojové výsledky (viz Data ).
V americké obecné populaci je odhadovaná míra pozadí hlavních vrozených vad a potratu u klinicky uznávaných těhotenství 2-4% a 15–20%.
Data
Údaje o zvířatech
Po perorálním podávání tolterodinu vůči těhotným myším během organogeneze nebyly pozorovány žádné anomálie ani malformace při přibližně 9-12krát vícekrát klinické expozici farmakologicky aktivním složkám detrol LA (založené na AUC tolterodinu a jeho 5-HMT metabolitu v dávce 20 mg/kg/den). Při 1418krát byla klinická expozice (dávky 30 až 40 mg/kg/den) u myší tolterodin embryo-letální způsobila sníženou hmotnost plodu a zvýšila výskyt abnormalit plodu (rozštěp digitálních abnormalit v rámci intraabdominální krvácení a krvácení a na primárně sníženo oshifikaci). Těhotné králíci podávané tolterodin subkutánně při přibližně 0,3-2,5násobek klinické expozice (dávka 0,8 mg/kg/den) neprokázala žádnou embryotoxicitu ani teratogenitu.
Laktace
Shrnutí rizika
Neexistují žádné informace o přítomnosti tolterodinu nebo jeho metabolitu 5-HMT v lidském mléce účinky na kojené dítě nebo účinky na produkci mléka. Na základě omezených dat je Tolterodin vylučován do mléka u myší v nízkém množství (viz viz Data ). The development a health benefits of breastfeeding should be considered along with the mother’s clinical need for Detrol the a any potential adverse effects on the breastfed infant from Detrol the or from the underlying maternal condition.
Údaje o zvířatech
Použití radioaktivně značeného tolterodinu u těhotných myší produkovalo mléko: plazmatické poměry, které se pohybovaly mezi 0,0 a 0,7.
Dětské použití
Účinnost detrol LA nebyla u pediatrických pacientů stanovena.
Účinnost nebyla stanovena ve dvou randomizovaných dvojitě slepých 12týdenních studiích kontrolovaných placebem, které zařadily 710 pediatrických pacientů (486 na detrol la 224 na placebu) ve věku 5–10 let s frekvencí moči a nutkání incinence. Procento pacientů s infekcemi močových cest bylo vyšší u pacientů léčených detrol LA (NULL,6%) ve srovnání s pacienty, kteří dostávali placebo (NULL,5%). Agresivní abnormální a hyperaktivní poruchy chování a pozornosti se vyskytly u 2,9% dětí léčených detrolem LA ve srovnání s 0,9% dětí léčených placebem.
Geriatrické použití
Nebyly pozorovány žádné celkové rozdíly v bezpečí mezi staršími a mladšími pacienty léčenými tolterodinem.
Ve studiích s více dávkami, ve kterých bylo tolterodin okamžité uvolnění 4 mg (2 mg BID) podáno sérové koncentrace tolterodinu a 5-HMT byly podobné u zdravých starších dobrovolníků (ve věku 64 až 80 let) a zdravých mladých dobrovolníků (ve věku méně než 40 let). V další klinické studii dostali starší dobrovolníci (ve věku 71 až 81 let) tolterodin okamžité uvolnění 2 nebo 4 mg (1 nebo 2 mg nabídka). Průměrné sérové koncentrace tolterodinu a 5-HMT u těchto starších dobrovolníků byly přibližně o 20% a 50% vyšší než koncentrace uvedené u mladých zdravých dobrovolníků. V bezpečí mezi staršími a mladšími pacienty však nebyly pozorovány žádné celkové rozdíly ve 12týdenním kontrolovaném klinických studiích ve fázi 3; Proto se nedoporučuje žádné úpravy dávkování tolterodinu u starších pacientů.
Poškození ledvin
Poškození ledvin může významně změnit dispozice okamžitého uvolňování tolterodinu a jeho metabolitů. Ve studii prováděné u pacientů s clearance kreatininu mezi 10 a 30 ml/min tolterodin a hladinami 5-HMT byly přibližně o 2–3krát vyšší u pacientů s poruchou ledvin než u zdravých dobrovolníků. Expoziční úrovně jiných metabolitů tolterodinu (např. Tolterodin kyseliny N -Dealkylovaná kyselina tolterodinová ndealkylovaný tolterodin a N -Dealkylovaný hydroxy tolterodin) byl významně vyšší (10–30krát) u pacientů s renálně narušenými ve srovnání se zdravými dobrovolníky. Doporučená dávka pro pacienty se závažným poškozením ledvin (CCR: 10-30 ml/min) je detrol la 2 mg denně. Pacienti s CCR <10 mL/min have not been studied a use of Detrol the in this population is not recommended [see Dávkování a podávání a Varování a preventivní opatření ]. Detrol the has not been studied in patients with mild to moderate renal impairment [CCr 30-80 mL/min].
Poškození jater
Poškození jater může výrazně změnit dispozice okamžitého uvolňování tolterodinu. Ve studii okamžitého uvolňování tolterodinu prováděného u cirrhotických pacientů (třída A a B) byl eliminační poločas bezprostředního uvolňování tolterodinu delší u cirhotických pacientů (průměr 7,8 hodiny) než u zdravých mladých a starších dobrovolníků (průměr 2 až 4 hodiny). Clearance orálně podávaného okamžitého uvolňování tolterodinu byla podstatně nižší u cirrhotických pacientů (NULL,0 ± 1,7 l/h/kg) než u zdravých dobrovolníků (NULL,7 ± 3,8 l/h/kg). Doporučená dávka u pacientů s mírným až středním poškozením jater (třída A nebo B) je detrol la 2 mg jednou denně. Detrol LA se nedoporučuje pro použití u pacientů s těžkým poškozením jater (Child-Pugh třída C) [Viz Dávkování a podávání a Varování a preventivní opatření ].
Informace o předávkování pro detrol la
Předávkování detrol la tobolek může potenciálně vést k závažným centrálním anticholinergním účinkům a mělo by být odpovídajícím způsobem léčeno.
Monitorování EKG se doporučuje v případě předávkování. U psů byly změny v QT intervalu (mírné prodloužení 10% až 20%) pozorovány při suprafarmakologické dávce 4,5 mg/kg, která je asi 68krát vyšší než doporučená dávka lidské. V klinických studiích normálních dobrovolníků a pacientů bylo pozorováno prodloužení intervalu QT s okamžitým uvolňováním tolterodinu v dávkách až 8 mg (4 mg nabídky) a vyšší dávky nebyly hodnoceny [viz viz Varování a preventivní opatření a Klinická farmakologie ].
27měsíční dítě, které požívalo 5 až 7 tolterodinu okamžité uvolnění 2 mg tabletů, bylo ošetřeno suspenzí aktivovaného uhlí a bylo hospitalizováno přes noc příznaky suchého úst. Dítě se plně zotavilo.
Kontraindikace pro detrol la
Detrol the is contraindicated in patients with urinary retention gastric retention or uncontrolled narrow-angle glaucoma. Detrol the is also contraindicated in patients with known hypersensitivity to the drug or its ingredients or to fesoterodine fumarate extended-release tablets which like Detrol the are metabolized to 5-hydroxymethyl tolterodine [see Varování a preventivní opatření ].
Klinická farmakologie for Detrol LA
Mechanismus působení
Tolterodin působí jako konkurenční antagonista acetylcholinu na postganglionických muskarinových receptorech. Kontrakce močového měchýře i sliny jsou zprostředkovány prostřednictvím cholinergních muskarinových receptorů.
Po perorálním podávání je toterodin metabolizován v játrech, což má za následek tvorbu 5-hydroxymethyl tolterodinu (5-HMT) hlavního farmakologicky aktivního metabolitu. 5-HMT, která vykazuje antimuskarinovou aktivitu podobnou aktivitě tolterodinu, významně přispívá k terapeutickému účinku. Tolterodin i 5HMT vykazují vysokou specificitu pro muskarinové receptory, protože jak vykazují zanedbatelnou aktivitu nebo afinitu k jiným receptorům neurotransmiteru a další potenciální buněčné cíle, jako jsou vápníkové kanály.
Farmakodynamika
Tolterodin má výrazný účinek na funkci močového měchýře. Účinky na urodynamické parametry před a 1 a 5 hodinami po jedné 6,4 mg dávce okamžitého uvolňování tolterodinu byly stanoveny u zdravých dobrovolníků. Hlavními účinky tolterodinu po 1 a 5 hodinách bylo zvýšení zbytkové moči odrážející neúplné vyprazdňování močového měchýře a snížení tlaku detrusoru. Tato zjištění jsou v souladu s antimuskarinovým působením na dolním močovém traktu.
Srdeční elektrofyziologie
Účinek 2 mg BID a 4 mg nabídky detrol okamžitého uvolnění (tolterodin IR) tablety v intervalu QT byl vyhodnocen u čtyřcestné crossover dvojitě slepé placebo a aktivní kontrolované studie (moxifloxacin 400 mg QD) u zdravého samce (n = 23) ve věku 18–55 let. Subjekty studie [přibližně stejné reprezentace rozsáhlých metabolizátorů CYP2D6 (EMS) a špatných metabolizátorů (PMS)] dokončily sekvenční 4denní období dávkování s moxifloxacinem 400 mg QD tolterodinu 2 mg bitus tolterodin 4 mg bid a placebo. Byla vybrána dávka 4 mg nabídky tolterodinu IR (dvakrát nejvyšší doporučená dávka), protože tato dávka má za následek expozici tolterodinu podobné tomu, který byl pozorován při souběžném podávání tolterodinu 2 mg Bid s silnými inhibitory CYP3A4, u pacientů, kteří jsou CYP2D6 chudými metabolizátory Lékové interakce ]. Qt interval was measured over a 12-hour period following dosing including the time of peak plasma concentration (Tmax) of tolterodine a at steady state (Day 4 of dosing).
Tabulka 2 shrnuje průměrnou změnu z výchozího na ustálenou stav v korigovaném intervalu QT (QTC) vzhledem k placebu v době koncentrací píku tolterodinu (1 hodinu) a moxifloxacinu (2 hodiny). Oba Fridericia's (Qt c F) a metoda specifická pro populaci (QTCP) byla použita k opravě QT intervalu pro srdeční frekvenci. Není známo, že žádná metoda korekce QT je platnější než ostatní. Interval QT byl měřen ručně a stroj a údaje z obou jsou uvedeny. Průměrné zvýšení srdeční frekvence spojené s dávkou tolterodinu 4 mg/den v této studii bylo 2,0 rytmů/minuta a 6,3 tepů/minutu s tolterodinem 8 mg/den. Změna srdeční frekvence s moxifloxacinem byla 0,5 rytmů/minuta.
Tabulka 2. Průměrná (CI) Změna QTC z výchozího stavu na ustálený stav (4. den dávkování) v TMAX (vzhledem k placebu)
| Droga/dávka | N | Qt c F (MSEC) (manuál) | Qt c F (MSEC) (stroj) | QtcP (MSEC) (manuál) | QtcP (MSEC) (stroj) |
| Tolterodin 2 mg nabídka* | 48 | 5.01 (NULL,28 9,74) | 1.16 (-2,99 5.30) | 4.45 (-0,37 9,26) | 2.00 (-1,81 5,81) |
| Tolterodin 4 mg nabídka* | 48 | 11.84 (7.11 16.58) | 5.63 (NULL,48 9,77) | 10.31 (5.49 15.12) | 8.34 (NULL,53 12.15) |
| Moxifloxaci n 400 mg qd † | 45 | 19.26 ‡ (15.49 23.03) | 8.90 (NULL,77 13.03) | 19.10 ‡ (15.32 22.89) | 9.29 (5.34 13.24) |
| *Na Tmax 1 HR; 95% interval spolehlivosti. † Na TMAX 2 hodiny; 90% interval spolehlivosti. ‡ Účinek na QT interval se 4 dny dávkování moxifloxacinu v této hodnotě QT může být větší, než je obvykle pozorován v QT studiích jiných léčiv. |
Důvod rozdílu mezi strojem a manuálním čtením QT intervalu je nejasný.
Účinek TOLTORODINE TOLTERODINE TOLTORINOVÉHO TABLETY Okamžitě se zdál větší po dobu 8 mg/den (dvakrát terapeutická dávka) ve srovnání se 4 mg/den. Účinek tolterodinu 8 mg/den nebyl tak velký, jak je pozorován po čtyřech dnech terapeutického dávkování s aktivní kontrolní moxifloxacin. Intervaly spolehlivosti se však překrývaly.
Bylo zjištěno, že účinek tolterodinu na QT interval koreluje s plazmatickou koncentrací tolterodinu. Zdálo se, že po léčbě tolterodinu v této studii došlo k většímu nárůstu intervalu QTC intervalu CYP2D6 než v rozsáhlých metabolizátorech CYP2D6.
Tato studie nebyla navržena tak, aby provedla přímé statistické srovnání mezi léky nebo hladinami dávky. V mezinárodních zkušenostech s trhem s detrolem nebo detrolem la [viz viz asociace Torsade de Pointes. Varování a preventivní opatření ].
Farmakokinetika
Vstřebávání
Ve studii s 14 Roztok C-tolterodinu u zdravých dobrovolníků, kteří dostali 5 mg perorální dávky nejméně 77% radioaktivně značené dávky, byl absorbován. CMAX a plocha pod křivkou koncentrace času (AUC) stanovené po dávce okamžitého uvolňování tolterodinu jsou úměrné dávky v rozmezí 1 až 4 mg. Na základě součtu nevázaných sérových koncentrací tolterodinu a 5-HMT (aktivní skupina) AUC tolterodinu prodlouženým uvolňováním 4 mg denně je ekvivalentní okamžitému uvolňování tolterodinu 4 mg (2 mg Bid). Hladiny CMAX a CMIN prodloužené uvolňování tolterodinu jsou asi 75% a 150% okamžitého uvolňování tolterodinu. Maximální koncentrace uvolňování tolterodinu séra jsou pozorovány 2 až 6 hodin po podání dávky.
Účinek potravy: Neexistuje žádný účinek potravy na farmakokinetiku prodlouženého uvolňování tolterodinu.
Rozdělení
Tolterodin je vysoce vázán na plazmatické proteiny primárně a1-kyselin glykoprotein. Nevázané koncentrace průměru tolterodinu 3,7% ± 0,13% v rozmezí koncentrace dosaženého v klinických studiích. 5HMT není rozsáhle protein vázán s nevázanými frakčními koncentracemi v průměru 36% ± 4,0%. Poměr krve a séra tolterodinu a 5-HMT v průměru 0,6 a 0,8, respektive, což ukazuje, že tyto sloučeniny se rozsáhle distribuují do erytrocytů. Objem distribuce tolterodinu po podání 1,28 mg intravenózní dávky je 113 ± 26,7 L.
Metabolismus
Tolterodin je po perorálním dávkování rozsáhle metabolizován játry. Primární metabolická cesta zahrnuje oxidaci 5-methylové skupiny a je zprostředkována cytochromem P450 2D6 (CYP2D6) a vede k tvorbě farmakologicky aktivního metabolitu 5-HMT. Další metabolismus vede k vytvoření 5-karboxylové kyseliny a N -Dealkylované metabolity kyseliny 5-karboxylové, které představují 51% ± 14% a 29% ± 6,3% metabolitů regenerovaných v moči.
Variabilita metabolismu
Podskupina jednotlivců (přibližně 7% Kavkazanů a přibližně 2% afrických Američanů) jsou špatnými metabolizátory pro CYP2D6 enzym zodpovědný za tvorbu 5-HMT z tolterodinu. Identifikovaná cesta metabolismu pro tyto jedince (špatné metabolizátory) je dealkylace prostřednictvím cytochromu P450 3A4 (CYP3A4) N -Dealkylovaný tolterodin. Zbytek populace se označuje jako rozsáhlé metabolizátory. Farmakokinetické studie odhalily, že tolterodin je metabolizován pomalejším rychlostí ve špatných metabolizátorech než v rozsáhlých metabolizátorech; To má za následek výrazně vyšší koncentrace séra tolterodinu a za zanedbatelné koncentrace 5-HMT.
Vylučování
Po podání 5 mg perorální dávky 14 Roztok C-tolterodinu pro zdravé dobrovolníky 77% radioaktivity bylo získáno v moči a 17% bylo získáno ve stolici za 7 dní. Méně než 1% ( <2.5% in poor metabolizers) of the dose was recovered as intact tolterodine a 5% to 14% ( <1% in poor metabolizers) was recovered as 5-HMT.
Shrnutí průměrné (± standardní odchylky) farmakokinetických parametrů prodlouženého uvolňování tolterodinu a 5HMT v rozsáhlém (EM) a špatném (PM) metabolizátorech je uvedeno v tabulce 3. Tyto údaje byly získány po jednotlivých a více dávkách prodlouženého uvolňování tolterodinu denně na 17 zdravých mužských dobrovolníků (13 EM 4 pm).
Tabulka 3. Souhrn průměrných (± SD) farmakokinetických parametrů prodlouženého uvolňování tolterodinu a jeho aktivního metabolitu (5-hydroxymethyl tolterodin) u zdravých dobrovolníků
| Tolterodin | 5-hydroxymethyl tolterodin | |||||||
| Tmax* (h) | CMAX (μg/l) | Cavg (μg/l) | t 1/2 (h) | Tmax* (h) | CMAX (μg/l) | Cavg (μg/l) | t 1/2 (h) | |
| Jedna dávka 4 mg † | ||||||||
| V | 4 (2-6) | 1.3 (NULL,8) | 0,8 (NULL,57) | 8.4 (3.2) | 4 (3-6) | 1,6 (NULL,5) | 1,0 (NULL,32) | 8.8 (5.9) |
| Více dávky 4 mg | ||||||||
| V | 4 (2-6) | 3.4 (4.9) | 1.7 (2.8) | 6.9 (3.5) | 4 (2-6) | 2.7 (NULL,90) | 1,4 (NULL,6) | 9.9 (4.0) |
| ODPOLEDNE | 4 (3-6) | 19 (16) | 13 (11) | 18 (16) | ‡ | ‡ | ‡ | ‡ |
| CMAX = Maximum serum concentration; tmax = Time of occurrence of CMAX; Cavg = Average serum concentration; t 1/2 = Eliminace terminálu poločas. *Data prezentovaná jako medián (rozsah). † Dávka parametru normalizovaná od 8 do 4 mg pro data s jednou dávkou. ‡ = Nevyužitelné. |
Lékové interakce
Silné inhibitory CYP2D6
Fluoxetin je selektivní inhibitor zpětného vychytávání serotoninu a silný inhibitor aktivity CYP2D6. Ve studii k posouzení účinku fluoxetinu na farmakokinetiku okamžitého uvolňování tolterodinu a jeho metabolitů bylo pozorováno, že fluoxetin významně inhiboval metabolismus okamžitého uvolňování tolterodinu v rozsáhlých metabolizátorech, což mělo za následek 4,8násobné zvýšení AUC tolterodin. Došlo k 52% snížení CMAX a 20% pokles AUC 5-hydroxymethyl tolterodinu (5-HMT farmakologicky aktivní metabolit tolterodinu). Fluoxetin tak mění farmakokinetiku u pacientů, kteří by jinak byli rozsáhlými metabolizátory tolterodinu bezprostředního uvolňování tolterodinu, aby se podobaly farmakokinetickému profilu u špatných metabolizátorů. Součty nevázaných sérových koncentrací okamžitého uvolňování tolterodinu a 5-HMT jsou během interakce pouze o 25% vyšší. Pokud jsou tolterodin a fluoxetin společně podány, není nutná žádná úprava dávky.
Silné inhibitory CYP3A4
Účinek 200 mg denní dávky ketokonazolu na farmakokinetiku okamžitého uvolňování tolterodinu byl studován u 8 zdravých dobrovolníků, z nichž všichni byli chudé metabolizátory CYP2D6. V přítomnosti ketoconazolu se průměrný CMAX a AUC tolterodinu zvýšili o 2 a 2,5krát. Na základě těchto zjištění mohou další silné inhibitory CYP3A4 také vést ke zvýšení plazmatických koncentrací tolterodinu.
U pacientů, kteří dostávají ketokonazol nebo jiné silné inhibitory CYP3A4, jako je itrakonazol miconazol klaritromycin ritonavir, doporučená dávka detrol la je 2 mg denně [viz viz denně [viz viz Dávkování a podávání ].
Warfarin
U zdravých dobrovolníků souběžně podávání bezprostředního uvolňování tolterodinu 4 mg (2 mg nabídka) po dobu 7 dnů a jediná dávka warfarinu 25 mg v den 4 neměla žádný účinek na protrombinový časový faktor VII potlačení nebo na farmakokinetiku warfarinu.
Orální antikoncepční prostředky
Tolterodin immediate release 4 mg (2 mg bid) had no effect on the pharmacokinetics of an oral contraceptive (ethinyl estradiol 30 μg/levo-norgestrel 150 μg) as evidenced by the monitoring of ethinyl estradiol a levo-norgestrel over a 2-month period in healthy female volunteers.
Diuretika
Souběžné podávání tolterodinu okamžité uvolnění až do 8 mg (4 mg BID) po dobu až 12 týdnů s diuretickými činidly, jako je indapamid hydrochlorothiazid triamteren bendroflumethiazid chlorothiazid methylchlorothiazid nebo furosememid, nezpůsobily žádné nepříznivé účinky elektrokardiographic).
Vliv tolterodinu na jiné léky metabolizované enzymy cytochromu P450
Tolterodin immediate release does not cause clinically significant interactions with other drugs metabolized by the major drug-metabolizing CYP enzymes. Nadarmo Údaje o interakci léčiva ukazují, že okamžité uvolňování tolterodinu nevede k klinicky relevantní inhibici CYP1A2 2D6 2C9 2C19 nebo 3A4, o čemž svědčí nedostatek vlivu na léky na markerovou léčiv kofein debrisochin s-warfarin a omeprazol. In vitro Data ukazují, že okamžité uvolňování tolterodinu je konkurenčním inhibitorem CYP2D6 při vysokých koncentracích (k i 1,05 μM), zatímco tolterodin okamžité uvolňování a 5-HMT prostávají jakýkoli významný inhibiční potenciál týkající se ostatních isoenzymů.
Klinické studie
Detrol the Capsules 2 mg were evaluated in 29 patients in a Phase 2 dose-effect study. Detrol the 4 mg was evaluated for the treatment of overactive měchýř with symptoms of urge urinary incontinence a frequency in a raomized placebo-controlled multicenter double-blind Phase 3 12-week study. A total of 507 patients received Detrol the 4 mg once daily in the morning a 508 received placebo. The majority of patients were Caucasian (95%) a female (81%) with a mean age of 61 years (range 20 to 93 years). In the study 642 patients (42%) were 65 to 93 years of age. The study included patients known to be responsive to tolterodine immediate release a other anticholinergic medications however 47% of patients never received prior pharmacotherapy for overactive měchýř. At study entry 97% of patients had at least 5 urge incontinence episodes per week a 91% of patients had 8 or more micturitions per day.
Primární hodnocení účinnosti byla změna průměrného počtu epizod inkontinence týdně ve 12. týdnu z výchozí hodnoty. Měření sekundární účinnosti zahrnovala změnu průměrného počtu mikturií denně a průměrný objem zrušený na míru ve 12. týdnu z výchozí hodnoty.
Pacienti léčeni detrolem LA zažili statisticky významný pokles počtu inkontinence moči týdně od základní linie na poslední hodnocení (12. týden) ve srovnání s placebem a pokles průměrné denní frekvence moči a zvýšení průměrného objemu moči na prázdnotu.
Průměrná změna z výchozí hodnoty v týdenících epizod inkontinence Frekvence a objemu močových frekvencí mezi placebem a detrolem LA jsou shrnuty v tabulce 4.
Tabulka 4. 95% intervaly spolehlivosti (CI) pro rozdíl mezi detrol la (4 mg denně) a placebem pro průměrnou změnu ve 12. týdnu od výchozí hodnoty*
| Detrol the (n = 507) | Placebo (n = 508) † | Rozdíl léčby vs. placebo (95% CL) | |
| Počet epizod inkontinence/ týden | |||
| Průměrná základní linie | 22.1 –11.8 (SD 17.8) | 23.3 –6.9 (SD 15.4) | -4.8 ‡ (–6,9 –2,8) |
| Průměrná změna od základní linie | |||
| Počet mikturií/den | |||
| Průměrná základní linie | 10.9 –1.8 (SD 3.4) | 11.3 –1.2 (SD 2.9) | -0.6 ‡ (–1,0 –0,2) |
| Průměrná změna od základní linie | |||
| Objem zrušený na mikrici (ML) | |||
| Průměrná základní linie | 141 34 (SD 51) | 136 14 (SD 41) | 20 ‡ (14 26) |
| Průměrná změna od základní linie | |||
| SD = standardní odchylka. * Analýza záměru léčit. † 1 až 2 pacienty chybějící ve skupině placeba pro každý parametr účinnosti. ‡ Rozdíl mezi detrol la a placebem byl statisticky významný. |
Informace o pacientovi pro detrol la
Detrol ® (De-trol el-ay)
(tolterodin tartrát) Tobolky pro rozšířené uvolňování
Přečtěte si informace o pacientovi, které přicházejí s Detrol LA, než začnete používat, a pokaždé, když získáte doplnění. Mohou existovat nové informace. Tento leták nezohledňuje místo rozhovoru se svým lékařem o vašem stavu oreyour léčby. Pouze váš lékař dokáže určit, zda je pro vás léčba detrol la.
Co je detrol la?
Detrol the is a prescription medicine for adults used to treat the following symptoms due to a condition called nadměrně aktivní močový měchýř:
- Mít silnou potřebu močit úniku nebo smáčení nehod (nutkání močové inkontinence).
- Mít silnou potřebu močit hned (naléhavost).
- Musející často močit (frekvence).
Detrol the did not help the symptoms of overactive měchýř when studied in children.
Co je nadměrný močový měchýř?
Nadměrné močový měchýř se stane, když nemůžete ovládat svaly močového měchýře. Když se svalová kontrakce příliš často nebo nelze uskutečnit, získáte příznaky hyperaktivního močového měchýře, které jsou únikem moči (nutkání močové inkontinence), která potřebuje urinateright (naléhavost) a potřebuje často močit (frekvence).
Kdo by neměl brát detrol la?
Nebere to detrol la, pokud:
- Máte potíže s vyprázdněním močového měchýře (také nazývané „retence moči“).
- Váš žaludek se pomalu vyprazdňuje (nazývá se také „retence žaludku“).
- Máte problém s okem zvaný „nekontrolovaný úzkopr glaukom“.
- Jste alergičtí na detrol la nebo na některou z jeho ingrediencí. Úplný seznam složek naleznete na konci tohoto letáku.
- Jste alergičtí na toviaz, který obsahuje fesoterodin.
Co bych měl před zahájením detrol la říct svému lékaři?
Než začnete detrol la, řekněte svému lékaři o všech vašich zdravotních stavech, včetně, pokud jste:
- Mít nějaké problémy s žaludkem nebo střevem.
- Máte potíže s vyprázdněním močového měchýře nebo máte slabý proud moči.
- Mít problém s okem zvaným úzkým glaukomu.
- Mít problémy s jatery.
- Mít problémy s ledvinami.
- Mít podmínku zvanou myasthenia gravis.
- Nebo všichni členové rodiny mají vzácný srdeční stav zvaný QT prodloužení (dlouhý QT syndrom).
- Jsou těhotné nebo se snaží otěhotnět. Není známo, zda by Detrol LA mohl poškodit vaše nenarozené dítě.
- Jsou kojení. Není známo, zda detrol la přejde do vašeho mléka a pokud to může poškodit vaše dítě.
Řekněte svému lékaři o všech lécích, které užíváte, včetně vitamínů a neregistruových léčivých přípravků a herbalsupplementů. Jiné léky mohou ovlivnit to, jak vaše tělo zpracovává detrol la. Váš lékař může použít nižší dávku detrol laif, který berete:
- Některé léky na houby nebo kvasinkové infekce, jako je nizoral ® (Ketoconazol) Sporanox ® (Itraconazole) nebo Moninatt ® (Miconazole).
- Některé léky pro bakteriální infekce, jako je biaxin (klaritromycin).
- Některé léky na léčbu infekce HIV, jako je Norvir ® (ritonavir) instiráze ® (Saquinavir) Reyataz ® (Atazanavir).
- Sandimmune ® (cyklosporin) nebo Velban ® (Vinblastine).
Znát léky, které užíváte. Udržujte jejich seznam s sebou, abyste ukázali svého lékaře nebo lékárníka pokaždé, když získáte nový lék.
Jak mám vzít detrol la?
- Vezměte detrol la přesně tak, jak je předepsáno. Váš lékař předepisuje dávku, která je pro vás pravá. Neměňte svou dávku bez ohledu na to, aby tak učinil lékařem.
- Vezměte detrol la tobolky jednou denně s tekutinou. Polykání celé tobolky. Řekněte svému lékaři, pokud nemůžete spolknout akapsule.
- Detrol the can be taken with or without food.
- Vezměte detrol la ve stejnou dobu každý den.
- Pokud vám chybí dávka detrol la, začněte další den brát detrol la. Ve stejný den neberte 2 dávky detrol la.
- Pokud jste si vzali více než předepsaná dávka detrolu, zavolejte svého lékaře nebo kontrolního centra o jedovat nebo jít do nemocniční agentury.
Jaké jsou možné vedlejší účinky detrol la?
Detrol the may cause allergic reactions that may be serious. Symptoms of a serious allergic reaction may include swellingof the face lips throat or tongue. If you experience these symptoms you should stop taking Detrol the a get emergencymedical help right away.
Nejběžnější vedlejší účinky s Detrol LA jsou:
- Sucho v ústech
- Bolest hlavy
- Zácpa
- Bolest žaludku
Léky, jako je detrol la, mohou způsobit rozmazané závratě a ospalost.
Nejezlute provozní stroje ani nedělejte jiné nebezpečné činnosti, dokud nevíte, jak vás Detrol LA ovlivňuje.
Zavolejte svého lékaře, kde najdete lékařskou radu ohledně vedlejších účinků. FDA můžete nahlásit vedlejší účinky na 1-800-FDA-1088.
Nejedná se o všechny vedlejší účinky s detrol la. Pro úplný seznam se zeptejte svého lékaře nebo lékárníka.
Jak mohu uložit detrol la?
- Ukládat detrol la při teplotě místnosti 68 ° - 77 ° F (20 ° - 25 ° C); krátká období povolena mezi 59 ° - 86 ° F (15 ° - 30 ° C). Chránit před světlem. Udržujte na suchém místě.
- Udržujte detrol la a všechny léky mimo dosah dětí.
Generál Information about Detrol the
Léky jsou někdy předepsány pro podmínky, které nejsou v letáku informací o pacientech. Použijte pouze detrol la theway, který vám řekne váš lékař. Nesdílejte to s ostatními lidmi, i když mají stejné příznaky, jaké máte. Může jim to poškodit.
Tento leták shrnuje nejdůležitější informace o detrol la. Pokud byste chtěli více informací, promluvte si s lékařem. Můžete požádat svého lékaře nebo lékárníka o informace o detrol la, který je napsán pro zdravotnické pracovníky. Můžete také navštívit www.detrolla.com na internetu nebo zavolat na 1-888-4-detrol (1-888-433-8765).
Jaké jsou ingredience v detrol la?
Aktivní složky: Tolterodin tartrát
Neaktivní ingredience: Sacharóza škrobu hypromelóza ethylcelulózy středního řetězce triglyceridy kyseliny olejové želatiny a FD FD
Štítek tohoto produktu mohl být aktualizován. Aktuální úplné informace o předepisování naleznete na adrese www.pfizer.com