Informace Na Stránce Nepředstavují Lékařskou Radu. Nic Neprodáváme. Přesnost Překladu Není Zaručena. Zřeknutí Se Odpovědnosti



Triumeq

Shrnutí drog

Co je to Triumeq?

Triumeq (abacavir dolutegravir a lamivudin) je kombinací inhibitoru přenosu integrázového řetězce (Institu) a dvou analogů nukleosidu používaných k léčbě viru lidské imunodeficience typu 1 (HIV1).

Triumeq



  • kopřivka
  • potíže s dýcháním
  • Otok vašeho obličeje rty jazyk nebo krk
  • horečka
  • vyrážka
  • nevolnost
  • zvracení
  • průjem
  • bolest žaludku
  • Obecný pocit
  • Extrémní únava
  • Bolesti těla
  • dušnost
  • kašel
  • bolest v krku
  • neobvyklá bolest svalů
  • potíže s dýcháním
  • bolest žaludku
  • nepravidelná srdeční frekvence
  • závrať
  • slabost
  • únava
  • otok kolem vaší střední části
  • Pravá strana bolesti horního žaludku
  • Ztráta chuti k jídlu
  • Tmavá moč
  • hliněné stoličky
  • žloutnutí kůže nebo očí ( žloutenka )
  • bolest na hrudi nebo tlak
  • Bolest se šíří do vaší čelisti nebo rameno a
  • pocení

Získejte lékařskou pomoc okamžitě, pokud máte výše uvedené příznaky.



  • nespavost
  • bolest hlavy
  • únava
  • průjem
  • nevolnost
  • zvracení
  • horečka
  • Ztráta chuti k jídlu
  • sny
  • abnormální rozdělení tělesného tuku
  • otupělost a brnění
  • reakce přecitlivělosti (horečka vyrážka na dechový kašel nebo bolest hrdlo)
  • bolest kloubů nebo otok
  • bolest svalů
  • otok končetiny
  • deprese
  • závrať a
  • Spinning Sensation (Vertigo).

Pokud máte následující vážné vedlejší účinky, vyhledejte lékařskou péči nebo zavolejte na číslo 911:



  • Vážné příznaky očí, jako je ztráta náhlého vidění rozmazané vidění vidění Vision Vision Eye Eye Eye Eye Eye Eye Eye Eye nebo vidět halos kolem světel;
  • Vážné příznaky srdce, jako je rychlé nepravidelné nebo bušení srdečního rytmu; třepování v hrudi; dušnost; a náhlé závratě Lightheadedness nebo omdlet;
  • Těžká zmatek bolesti hlavy zkroucený řečový rameno nebo slabost nohou Potíže se ztrátou chůze pocitu koordinace Pocit nestabilní velmi tuhé svaly vysoké horečky bohaté pocení nebo třes.

Tento dokument neobsahuje všechny možné vedlejší účinky a mohou dojít k jiným. Další informace o vedlejších účincích najdete u svého lékaře.

Dávkování pro triumeq

Dospělá dávka Triumeq je jeden tablet denně.

Jaké léčivé látky nebo doplňky interagují s triumeq?

Triumeq může interagovat s dofetilidem a dalšími léky. Řekněte svému lékaři všechny léky a doplňky, které používáte.

Triumeq během těhotenství a kojení

Během těhotenství by měl být triumeq užíván, pouze pokud je předepsán. Protože mateřské mléko může přenášet HIV Nebuďte kojení.

Další informace

Naše TIUMEQ (Abacavir Dolutegravir a Lamivudin) Vedlejší účinky Drug Center poskytuje komplexní pohled na dostupné informace o potenciálních vedlejších účincích při užívání tohoto léku.

Informace o drogách FDA

VAROVÁNÍ

Hypersenzitivní reakce a exacerbace hepatitidy B

Reakce přecitlivělosti

S abacavir se vyskytly závažné a někdy fatální hypersenzitivní reakce s více postižením orgánů, která byla součástí triameq a triumeq PD (abacavir dolutegravir a lamivudin). Pacienti, kteří nesou alelu HLA-B*5701, jsou vystaveni vyššímu riziku hypersenzitivní reakce na abacavir, ačkoli se k hypersenzitivní reakci vyskytly u pacientů, kteří nenosí alelu HLA-B*5701 [viz viz alelu HLA-B*5701 [Viz VAROVÁNÍS AND OPATŘENÍ ].

Triumeq a Triumeq PD jsou kontraindikovány u pacientů s předchozí hypersenzitivní reakcí na abacavir a u HLA-B*5701-pozitivních pacientů [viz viz Kontraindikace VAROVÁNÍS AND OPATŘENÍ ]. Všichni pacienti by měli být prověřováni na alelu HLA-B*5701 před zahájením terapie triumeq nebo Triumeq PD nebo opětovném opětovnému opětovnému opětovnému posouzení terapie Triumeq nebo triumeq PD, pokud pacienti nemají dříve zdokumentované hodnocení alel HLA-B*5701. Discontinue Triumeq or Triumeq Pd immediately if a hypersensitivity reaction is suspected regardless of HLA-B*5701 status a even when other diagnoses are possible [vidět Kontraindikace VAROVÁNÍS AND OPATŘENÍ ].

Po reakci přecitlivělosti na triumeq nebo triumeq PD nikdy nerestartujte Triumeq nebo Triumeq PD nebo jakýkoli jiný produkt obsahující abakavir, protože během několika hodin se mohou vyskytnout závažnější příznaky včetně smrti. Podobné závažné reakce se také vyskytly zřídka po zavedení produktů obsahujících abakaviru u pacientů, kteří nemají žádnou anamnézu přecitlivělosti abakaviru [viz viz VAROVÁNÍS AND OPATŘENÍ ].

Exacerbace hepatitidy B

Všichni pacienti s HIV-1 by měli být testováni na přítomnost viru hepatitidy B (HBV) před nebo při zahájení triameq nebo triumeq PD. Byl popsán vznik variant HBV rezistentních na lamivudin spojený s antiretrovirovými režimy obsahujícími lamivudin. Pokud se u pacientů infikovaných HIV-1 a HBV mělo považovat za vhodnou léčbu chronické HBV; Jinak zvažte alternativní režim.

U pacientů, kteří jsou infikováni HBV a HIV-1, byly hlášeny závažné akutní exacerbace hepatitidy B a lamivudin ukončily složku triumeq a triumeq PD. Pečlivě sledujte jaterní funkci u těchto pacientů a pokud je to vhodné zahájit léčbu anti-HBV [viz VAROVÁNÍS AND OPATŘENÍ ].

Popis pro triumeq

Triumeq a triumeq pd

Triumeq a Triumeq PD obsahují insti (dolutegravir) a 2 analogy nukleosidu (abacavir a lamivudin) s inhibiční aktivitou proti HIV.

Každá filmová tableta Triumeq pro perorální použití obsahuje 600 mg abakaviru (přítomné jako 702 mg abakavirového sulfátu) 50 mg dolutegraviru (přítomné jako 52,6 mg sodíku dolutegraviru) a 300 mg lamivudinu. Neaktivní složky tablet Triumeq zahrnují d-mannitol hořčík stearátová mikrokrystalická celulóza povidonu a glykolát škrobu sodíku. Tabletové filmové potahování obsahuje neaktivní ingredience oxidu železa černého oxidu železa červený makrogol/kolík polyvinylalkohol-část hydrolyzovaného mastku a oxidu titanu.

Každá filmová tableta Triumeq PD pro perorální suspenzi obsahuje 60 mg abakaviru (přítomné jako 70,2 mg abakavirového sulfátu) 5 mg dolutegraviru (přítomno jako 5,26 mg sodíku dolutegraviru) a 30 mg lamivudinu. Neaktivní složky tablet Triumeq PD zahrnují acesulfame draselný Crospovidon Mannitol Mikrokrystalická celulóza Povidon K29/32 Silicifikovaná mikrokrystalická celulóza sodný škrob glykolát sodný stearyl fumarátový krémový krémový krémový krémový krémový krémový krémový krémový krémový krémový krém. Tabletové filmové pokrytí obsahuje neaktivní ingredience: oxid železitý žlutý makrogol/kolík polyvinylalkohol hydrolyzovaný mastk a oxid titaničitý.

Abacavir sulfát

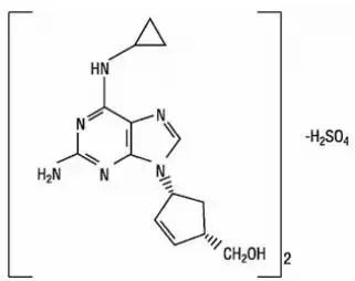
Chemický název abacavir sulfátu je (1 Víš ) -4- [2-amino-6- (cyklopropylamino) -9 H -purin-9- yl] -2-cyklopenten-1-methanol sulfát (sůl) (2: 1). Má molekulární vzorec (c 14 H 18 N 6 O) 2 • h 2 TAK 4 a a molecular weight of 670.76 g/mol. It has the following structural formula:

Abacavir sulfát je bílá až bílá pevná látka a je rozpustná ve vodě.

Sodík dolutegravir

Chemický název sodíku dolutegravir je sodík (4 R 12a S ) -9-{[(24- difluorofenyl) methyl] carbamoyl} -4-methyl-68-diox-34681212a-hexahydro-2 H Pyrido [1'2 ': 45] Pyrazino [21-B] [13] Oxazin-7-Olate. Empirický vzorec je C 20 H 18 F 2 N 3 Oni 5 a the molecular weight is 441.36 g/mol. It has the following structural formula:

Sodík dolutegravir je bílý až světle žlutý prášek a je mírně rozpustný ve vodě.

Lamivudin

Chemický název lamivudinu je (2rcis) -4-amino-1- (2-hydroxymethyl-13-oxathiolan-5-yl)-(1h) -pyrimidin-2-one. Lamivudin je (-) enantiomer dideoxy analogu cytidinu. Lamivudin byl také označován jako (-) 2'3'-dideoxy 3'-thiacytidin. Má molekulární vzorec C 8 H 11 N 3 O 3 S a molekulová hmotnost 229,3 g/mol. Má následující strukturální vzorec:

Lamivudin is a white to off-white crystalline solid a is soluble in water.

Použití pro triumeq

Triumeq a Triumeq PD jsou indikovány pro léčbu infekce HIV-1 u dospělých a u pediatrických pacientů ve věku nejméně 3 měsíců a vážení nejméně 6 kg.

Omezení použití

Samotné Triumeq a Triumeq PD se nedoporučují u pacientů s substitucí integrázy spojené s rezistencí nebo klinicky podezřelým odolností proti inhibitoru inhibitoru integrázy (institu), protože dávka dolutegraviru v triumeq a Triumeq PD je v těchto subpopulacích nedostatečná. Viz úplné informace o předepisování pro Tivicay (DoluteGravir).

Dávkování pro triumeq

Screening na alelu HLA-B*5701 před zahájením triumeq

Obrazovka pro alelu HLA-B*5701 Před zahájením terapie s Triumeq nebo Triumeq PD [viz viz Varování v krabici VAROVÁNÍS AND OPATŘENÍ ].

Testování před nebo při zahájení léčby triumeq

Před nebo při zahájení testovacích pacientů s Triumeq nebo Triumeq PD pro infekci HBV [viz viz VAROVÁNÍS AND OPATŘENÍ ].

Přehled formulářů s dávkováním triameq

Triumeq je k dispozici ve dvou dávkových formách. Nepřekonávejte tablety Triumeq a tablety Triumeq PD pro perorální suspenzi na miligramu na miligram kvůli odlišným farmakokinetickým profilům pro komponentu dolutegraviru [vidět VAROVÁNÍS AND OPATŘENÍ Klinická farmakologie ].

  • Triumeq tablety: 600 mg abakaviru 50 mg dolutegraviru a 300 mg lamivudinu. Triumeq se doporučuje u dospělých a pediatrických pacientů vážících nejméně 25 kg [viz Dávkování a podávání ].
  • Triumeq PD tablety pro perorální suspenzi: 60 mg abakaviru 5 mg dolutegraviru a 30 mg lamivudinu. Triumeq PD se doporučuje u pediatrických pacientů vážících 6 kg do méně než 25 kg. [vidět Dávkování a podávání ].
  • Protože Triumeq PD je tableta s pevnou dávkou a dávkování jednotlivých složek nelze upravit, může to vést k suboptimálnímu dávkování u pacientů vážících ≥ 25 kg. Triumeq PD se nedoporučuje u pacientů vážících 25 kg nebo více [viz Dávkování a podávání ].

Doporučené dávkování u dospělých

Triumeq je kombinovaný produkt s pevnou dávkou obsahující 600 mg abakaviru 50 mg dolutegraviru a 300 mg lamivudinu. Doporučený režim dávkování triameq u dospělých je jeden tablet jednou denně orálně s jídlem nebo bez jídla. Nepoužívejte Triumeq PD u dospělých.

Doporučené pokyny pro dávkování a podání pro pediatrické pacienty vážící nejméně 6 kg

Forma dávkování a dávkování doporučená pro pediatrické pacienty se liší podle hmotnosti, jak je uvedeno v tabulce 1 níže.

Tabulka 1: Doporučené dávkování tablet Triumeq a triameq PD tablet pro perorální suspenzi u pediatrických pacientů

Tělesná hmotnost Triumeq Tabletsa Triumeq Pd b Počet tablet Celková denní dávka
6 kg do <10 kg Nedoporučuje se 3 tablety jednou denně 180 mg abacavir 15 mg dolutegravir a 90 mg lamivudinu jednou denně
10 kg do <14 kg Nedoporučuje se 4 tablety jednou denně 240 mg abacavir 20 mg dolutegravir a 120 mg lamivudinu jednou denně
14 kg do <20 kg Nedoporučuje se 5 tablet jednou denně 300 mg abacavir 25 mg dolutegravir a 150 mg lamivudinu jednou denně
20 kg do <25 kg Nedoporučuje se 6 tablet jednou denně 360 mg abacavir 30 mg dolutegravir a 180 mg lamivudinu jednou denně
≥ 25 kg 1 tablet jednou denně Nedoporučuje se 600 mg abacaviru 50 mg dolutegraviru a 300 mg lamivudinu
a Triumeq je kombinovaný produkt s pevnou dávkou obsahující 600 mg abakaviru 50 mg dolutegraviru a 300 mg lamivudinu.
b Triumeq Pd is a fixed-dose combination product containing 60 mg of abacavir 5 mg of dolutegravir a 30 mg of lamivudine.

Spravovat Triumeq Pd tablety pro perorální suspenzi s jídlem nebo bez něj. Instruovat pacienty (nebo pokyn pečovatelům), aby plně Rozptýlejte tablety pro perorální suspenzi ve 20 ml pitné vody (pokud používáte 4 5 nebo 6 tablet pro perorální suspenzi) nebo 15 ml (pokud používáte 3 tablety pro perorální suspenzi) v dodávaném poháru; Vrhněte zavěšení tak, aby nezůstaly žádné hrudky. Po úplném rozptylu podávejte ústní odpružení do 30 minut od míchání [viz viz Pokyny pro použití ]. Ne swallow the tablets for oral suspension whole a do not chew cut or crush the tablets.

Jaký typ medicíny je Tylenol

Pro děti, které nejsou schopny použít dodávaný pohár, může být k podávání perorální suspenze použita stříkačka vhodná velikost.

Spravovat Triumeq tablet with or without food. Ne chew cut or crush the tablet.

Doporučení dávkování s určitými souběžnými léky

Dávka dolutegraviru v triumeq (50 mg) a Triumeq PD (5 mg) je nedostatečná, pokud jsou spojeny s léky uvedenými v tabulce 2, které mohou snížit koncentrace dolutegraviru; Doporučuje se následující dávkový režim dolutegraviru.

Tabulka 2: Doporučení pro dávkování pro triumeq a Triumeq PD s spolupracujícími léky

Společný podávání drogy Doporučení dávkování
Efavirenz fosamprenavir/ritonavir tipranavir/ritonavir karbamazepin nebo rifampinin U dospělých a u pediatrických pacientů vážících nejméně 25 kg je doporučený dávkový režim dolutegraviru 50 mg dvakrát denně. Měla by se tedy odebrat další tableta Tivicay 50 mg oddělená o 12 hodin od triumeq.
U pediatrických pacientů vážících 6 kg <25 kg Další dávka dolutegraviru na bázi hmotnosti by měla být podávána oddělena o 12 hodin od Triumeq PD.
  • 6 až <10 kg: administer an additional 15-mg dose of dolutegravir (3 TIVICAY PD tablets for oral suspension) 12 hours after Triumeq Pd.
  • 10 až <14 kg: administer an additional 20-mg dose of dolutegravir (4 TIVICAY PD tablets for oral suspension) 12 hours after Triumeq Pd
  • 14 až <20 kg: administer an additional 25-mg dose of dolutegravir (5 TIVICAY PD tablets for oral suspension) 12 hours after Triumeq Pd
  • 20 až <25 kg: administer an additional 30-mg dose of dolutegravir (6 TIVICAY PD tablets for oral suspension) 12 hours after Triumeq Pd.

Nedoporučuje se kvůli nedostatku úpravy dávky

Protože Triumeq a Triumeq PD jsou tablety s pevnou dávkou a nelze je upravit dávkou Triumeq a Triumeq PD se nedoporučují:

  • Pacienti s clearancem kreatininu <30 mL/min a pediatric patients with a similar degree of renal impairment based on age-appropriate renal function assessment. There are no data available on the use of lamivudine a component of Triumeq a Triumeq Pd in pediatric patients with renal impairment [vidět Použití v konkrétních populacích ].
  • Pacienti s mírným jaterním poškozením. Triumeq a Triumeq PD jsou kontraindikovány u pacientů se středním nebo těžkým poškozením jater [viz Kontraindikace Použití v konkrétních populacích ].

Jak dodáno

Formy a silné stránky dávkování

Triumeq Tablety jsou fialové biconvex ovály a odnikány s 572 tri na jedné straně. Každá tableta potažená filmem obsahuje 600 mg abakaviru (jako abacavir sulfát) 50 mg dolutegraviru (jako sodík dolutegravir) a 300 mg lamivudinu [viz viz POPIS ].

Triumeq Pd Tablety pro perorální suspenzi jsou žluté kapsle ve tvaru jahodové krémové ochucené biconvexové tablety potažené filmové filmy odlibované s SV WTU na jedné straně. Každá tableta potažená filmem obsahuje 60 mg abakaviru (jako abacavir sulfát) 5 mg dolutegraviru (jako sodík dolutegravir) a 30 mg lamivudinu [viz viz POPIS ].

Skladování a manipulace

Triumeq tablets

Triumeq tablets are purple oval film-coated biconvex tablets debossed with 572 Tri on one side a contain 600 mg of abacavir (as abacavir sulfate) 50 mg of dolutegravir (as dolutegravir sodium) a 300 mg lamivudine.

Láhev 30 tablet s vysušeným a odolným uzavřením. NDC 49702-231-13.

Ukládejte a vydávejte v původním balíčku chránit před vlhkostí a udržujte láhev pevně zavřenou. Neodstraňujte vysoušeč.

Ukládat při 20 ° C až 25 ° C (68 ° F až 77 ° F); Exkurze jsou povoleny mezi 15 ° C a 30 ° C (59 ° F až 86 ° F). [Vidět Teplota místnosti s kontrolou USP ].

Triumeq Pd Tablets For Oral Suspension

Triumeq Pd Tablety pro perorální suspenzi jsou žluté kapsle ve tvaru jahodového krému ochucené biconvexové tablety potažené filmové filmové potažené filmové filmové filmové filmové potažené tablety s SV WTU na jedné straně a obsahují 60 mg abakaviru (jako abacavir sulfát) 5 mg dolutegraviru (jako dolutegravir sodium) a 30 mg lamivudin.

Láhev 90 tablet ( NDC 49702-272-59) s vysušením a uzavřením odolném proti dítěti. Každá láhev je zabalena jako souprava (NDC 49702-258-37) s jedním 40 ml dávkovacího šálku.

Ukládat při 20 ° C až 25 ° C (68 ° F až 77 ° F); Exkurze jsou povoleny mezi 15 ° C a 30 ° C (59 ° F až 86 ° F). [Vidět Teplota místnosti s kontrolou USP ]. Store a dispense in the original bottle protect from moisture a keep the bottle tightly closed. Ne remove desiccant.

Vyrobeno pro: VIIV Healthcare Durham NC 27701. Revidováno: duben 2024

Vedlejší účinky for Triumeq

Následující nežádoucí účinky jsou diskutovány v jiných částech označování:

  • Vážná a někdy fatální hypersenzitivní reakce [viz Varování VAROVÁNÍS AND OPATŘENÍ ].
  • Exacerbace hepatitidy B [viz Varování VAROVÁNÍS AND OPATŘENÍ ].
  • Hepatotoxicita [viz VAROVÁNÍS AND OPATŘENÍ ].
  • Laktátová acidóza a těžká hepatomegalie se steatózou [viz VAROVÁNÍS AND OPATŘENÍ ].
  • Imunitní rekonstituční syndrom [viz VAROVÁNÍS AND OPATŘENÍ ].
  • Infarkt myokardu [viz VAROVÁNÍS AND OPATŘENÍ ].

Zkušenosti z klinických studií

Protože klinické studie se provádějí za široce měnících se podmínek, nežádoucí rychlost nežádoucí reakce pozorovaná v klinických studiích léčiva nelze přímo porovnat s rychlostí v klinických studiích s jiným lékem a nemusí odrážet míru pozorované v klinické praxi.

Klinické studie u dospělých

Vážné a fatální reakce hypersenzitivity spojené s abakavirem

V klinických studiích došlo k vážným a někdy fatálním hypersenzitivním reakcím s abacavirem složkou Triumeq a Triumeq PD [viz viz Varování VAROVÁNÍS AND OPATŘENÍ ]. These reactions have been characterized by 2 or more of the following signs or symptoms: (1) horečka; (2) vyrážka; (3) gastrointestinal symptoms (including nevolnost zvracení průjem or abdominal pain); (4) constitutional symptoms (including generalized malaise únava or achiness); (5) respiratory symptoms (including dyspnea kašel or pharyngitis). Almost all abacavir hypersensitivity reactions include horečka a/or vyrážka as part of the syndrome.

Mezi další příznaky a příznaky patřily letargii bolesti hlavy myalgia Edém Artralgie a parestezii. Anafylaxis Selhání jater Selhání renálních hypotenzí dospělých respiračních tísně syndrom respirační selhání respirační selhání a smrt došlo ve spojení s těmito hypersenzitivními reakcemi. Fyzikální nálezy zahrnovaly lymfadenopatii slizniční membránové léze (konjunktivitida a ulcerace úst) a makulopapulární nebo urtizační vyrážku (ačkoli někteří pacienti měli jiné typy vyrážky a jiní neměli vyrážku). Byly zprávy o erythema multiforme. Laboratorní abnormality zahrnovaly zvýšené chemie jater zvýšené kreatinové fosfokinázy zvýšené kreatinin a lymfopenii a abnormální nálezy rentgenového hrudníku (převážně infiltráty, které byly lokalizovány).

Vážné reakce hypersenzitivity dolutegraviru

V klinických studiích došlo k hypersenzitivní reakcím s dolutegravirem složkou Triumeq a Triumeq PD [viz viz VAROVÁNÍS AND OPATŘENÍ ]. These hypersensitivity reactions have been characterized by vyrážka constitutional findings a sometimes organ dysfunction including liver injury.

Další léčebné nepříznivé reakce drog (ADR) s použitím triumeq

Posouzení bezpečnosti Triumeq je primárně založeno na analýzách dat z randomizovaného mezinárodního multicentrického dvojitě slepého aktivního kontrolovaného studie singlu (ING114467) a podporováno údaji v instilativních subjektech zkušených s léčbou z plachtění (ING111762) a podle jiných léčebných zkoušek. Viz úplné informace o předepisování Tivicay.

Předměty ošetření-naive:

In SINGLE 833 adult subjects were randomized and received at least one dose of either dolutegravir (TIVICAY) 50 mg with fixed-dose abacavir and lamivudine (EPZICOM) once daily (n = 414) or fixed-dose efavirenz/emtricitabine/tenofovir (ATRIPLA) once daily (n = 419) (study treatment was blinded through Week 96 and open-label from Week 96 až týden 144). Během 144 týdnů byla míra nežádoucích účinků vedoucí k přerušení 4% u subjektů, kteří dostávali Tivicay Epzicom a 14% u subjektů, které Atripla přijímají jednou denně.

V tabulce 3 jsou uvedeny ADR s léčbou-vegetačními ADR s mírnou až těžkou intenzitou pozorovanou u nejméně 2% subjektů v jednom léčebném rameni singlu.

Tabulka 3. Léčba-egentní nepříznivé reakce léčiva alespoň mírné intenzity (stupně 2 až 4) a nejméně 2% frekvence u subjektů s naivním léčbou v jednotlivých (týden 144 analýzy)

Nežádoucí reakce Tivicay Epzicom
Jednou denně
(n = 414)
Atripla
Jednou denně
(n = 419)
Psychiatric
3% 3%
1% 2%
<1% 2%
Nervový systém
<1% 5%
2% 2%
Gastrointestinal
<1% 3%
<1% 2%
Obecné poruchy
2% 2%
Kůže a podkožní tkáň
a <1% 6%
Ucho a labyrint
0 2%
a Zahrnuje sdružené pojmy: vyrážka generalizovaná vyrážka makulární vyrážka makulo-papulární vyrážka Pruritická a erupce drog.
Subjekty zkušené s léčbou

Plachtění je mezinárodní dvojitě zaslepený soud v dospělých subjektech zkušených s antiretrovirovou léčbou. Subjekty byly randomizovány a obdrženy buď Tivicay 50 mg jednou denně, nebo Raltegravir 400 mg dvakrát denně s vyšetřovateli se zvoleným režimem pozadí sestávajícího až z až 2 agentů včetně alespoň jednoho plně aktivního činidla. Po 48 týdnech byla míra nežádoucích účinků vedoucí k přerušení v souladu s mírou pozorovanou v celkové populaci pacientů s narušením léčby. Viz úplné informace o předepisování Tivicay.

ADR pozorované u podskupiny subjektů, které obdržely Tivicay Epzicom, byly obecně v souladu s těmi, které byly pozorovány v celkové populaci pacientů s narušením léčby.

Méně běžné nežádoucí účinky pozorované v klinických studiích

Došlo k následujícím nežádoucím účinkům <2% of treatment-naive or treatment-experienced subjects in any one trial. These events have been included because of their seriousness a/or assessment of potential causal relationship.

Gastrointestinal Disorders: Břišní bolest břicha Abdominální distilace břicha nepohodlí dyspepsie Blavence Gastroezofageální reflux onemocnění horní břišní bolest zvracení.

Obecné poruchy: Horečka letargie.

Hepatobiliární poruchy: Hepatitida.

Poruchy metabolismu a výživy: Anorexie hypertriglyceridemie.

Poruchy muskuloskeletu: Artralgia myositis.

Nervový systém Disorders: Spavost.

Psychiatric Disorders: Sebevražedný nápady na pokus o chování nebo dokončení. Tyto události byly pozorovány především u subjektů s již existující anamnézou deprese nebo jiných psychiatrických onemocnění. Porucha noční můry a spánku.

Poruchy ledvin a moči: Poškození ledvin.

Kůže a podkožní tkáň Disorders: Pruritus.

Laboratorní abnormality : Předměty ošetření-naive: Vybrané laboratorní abnormality (stupně 2 až 4) se zhoršujícím se stupněm ze základní linie a představující toxicitu nejhoršího stupně u nejméně 2% subjektů v jednotlivých jsou uvedeny v tabulce 4. Průměrná změna od základní linie pozorovaná pro vybrané lipidové hodnoty je uvedena v tabulce 5.

Tabulka 4. Vybrané laboratorní abnormality (stupně 2 až 4) u subjektů-neive v jednotlivých (týden 144 analýzy)

Laboratorní abnormalita Tivicay Epzicom
Jednou denně
(n = 414)
Atripla
Jednou denně
(n = 419)
VŠE
3% 5%
1% <1%
Ast
3% 4%
1% 3%
Kreatinová kináza
5% 3%
7% 8%
Hyperglykémie
9% 6%
2% <1%
Lipáza
11% 11%
5% 4%
Celkové neutrofily
4% 5%
<0.75 x 109) 3% 3%
VŠE = Alanine aminotransferase Ast = Aspartate aminotransferase ULN = upper limit of normal.

Tabulka 5. Průměrná změna z výchozí hodnoty v hodnotách lipidů na hlavě u subjektů s naivním léčbou v jednom (týden 144 Analýza 144 a )

Lipid Tivicay Epzicom
Jednou denně
(n = 414)
Atripla
Jednou denně
(n = 419)
Cholesterol (MG/DL) 24.0 26.7
HDL cholesterol (mg/dl) 5.4 7.2
LDL cholesterol (mg/dl) 16.0 14.6
Triglyceridy (mg/dl) 13.6 31.9
HDL = lipoprotein s vysokou hustotou LDL = lipoprotein s nízkou hustotou.
a Z těchto analýz byly vyloučeny subjekty o činidlech snižujících lipidy na začátku studie (Tivicay Epzicom: n = 30 a Atripla: n = 27). Sedmdesát dva subjektů zahájilo post-baselinu snižující lipid; Jejich poslední hodnoty léčby na lačno (před zahájením agenta) byly použity bez ohledu na to, zda ukončily agenta (Tivicay Epzicom: n = 36 a atripla: n = 36).
Subjekty zkušené s léčbou

Laboratorní abnormality pozorované při plachtění byly obecně podobné ve srovnání s pozorováními pozorovanými v pokusech s narušením léčby.

Koinfekce viru hepatitidy C

U jednorázových subjektů fáze 3 bylo v souladu s koinfekcí viru hepatitidy C povoleno zaregistrovat se za předpokladu, že základní testy chemie jater nepřesáhly 5krát vyšší než horní hranici normálního; Vyloučeny byly subjekty s koinfekcí hepatitidy B. Celkově byl bezpečnostní profil u subjektů s koinfekcí viru hepatitidy C podobný jako u subjektů bez koinfekce hepatitidy C, ačkoli míra aspartátových aminotransferáz (AST) a alanin aminotransferázy (ALT) byla vyšší v podskupině v podskupině hepatitidy C viru CO-infekce C. Stupně 2 až 4 ALT Abnormality u hepatitidy C byly infikované ve srovnání s HIV mono infikovanými subjekty, které dostávaly Triumeq VAROVÁNÍS AND OPATŘENÍ ]. Vidět also full prescribing information for TIVICAY.

Změny v séru kreatininu:

Bylo prokázáno, že dolutegravir zvyšuje kreatinin v séru kvůli inhibici tubulární sekrece kreatininu, aniž by to ovlivnilo renální glomerulární funkci [viz viz Klinická farmakologie ]. Increases in serum creatinine occurred within the first 4 weeks of treatment a remained stable through 144 weeks. In SINGLE a mean change from baseline of 0.14 mg/dL (range: -0.25 mg/dL to 0.81 mg/dL) was observed after 144 weeks of treatment. Creatinine increases were similar in treatment-experienced subjects.

Abacavir a lamivudin

Laboratorní abnormality pozorované v klinických studiích Ziagen (v kombinaci s jinou antiretrovirovou léčbou) byly anémie Neutropenie Abnormality jaterních funkcí a zvýšení kreatinu fosfokinázy (CPK) v krvi glukózy a triglyceridy . Další laboratorní abnormality pozorované v klinických studiích epiviru (v kombinaci s jinou antiretrovirovou léčbou) byly trombocytopenie a zvýšená hladina bilirubin amylázy a lipázy.

Zkušenosti z klinických studií In Dětské předměty

Abacavir dolutegravir a lamivudin

Bezpečnost Triumeq PD a Triumeq u pediatrických subjektů s infekcí HIV-1 o hmotnosti nejméně 6 kg byla vyhodnocena v pokusu INPAACT 2019. Jednalo se o multicentrickou otevřenou nekomparativní studii dětských subjektů s infekcí HIV-1 mladší než 12 let. Do této studie bylo zapsáno padesát sedm subjektů vážících nejméně 6 kg až 40 kg [viz viz Použití v konkrétních populacích Klinická farmakologie Klinické studie ]. Overall the safety data in this pediatric study was similar to that seen in adults.

Analýza bezpečnosti do 48 týdne zahrnovala 57 subjektů vážících nejméně 6 kg při zápisu, kteří dostali doporučenou dávku (určenou hmotností) a formulací. Tato analýza ukázala, že 26% subjektů zažilo klinické nežádoucí účinky. Nejběžnější nežádoucí účinky byly klasifikovány jako laboratorní abnormality a zahrnovaly sníženou rychlost glomerulární filtrace (n = 13 23%) zvýšené kreatinin krve (n = 10 18%) a zvýšené ALT (n = 3 5%). Všechny ostatní nežádoucí účinky se vyskytly rychlostí <2% of participants. Two subjects reported Grade 3 or 4 adverse reactions. One subject an 8-year-old female who weighed 22 kg at baseline experienced Grade 3 increased blood creatinine a Grade 3 decreased glomerular filtration rate. By Week 48 the glomerular filtration rate was improving a the events did not lead to drug discontinuation. Another subject a 7-year-old male who weighed 20 kg at baseline experienced drug-induced liver injury with Grade 4 increased VŠE a Ast following 36 weeks of treatment with Triumeq Pd. Clinical signs or symptoms of hepatitis were not reported a VŠE a Ast values normalized after Triumeq Pd was discontinued.

Abacavir a lamivudin

Bezpečnost jednou denně ve srovnání s dávkováním abakaviru a lamivudinu dvakrát denně podávané jako jednotlivé produkty nebo jako Epzicom byla hodnocena v pokusu o šipka (n = 336). Hodnocení primární bezpečnosti ve studii šipky (COL105677) bylo založeno na nežádoucích účincích stupně 3 a 4. Jedna událost hepatitidy stupně 4 v kohortě kdysi denně byla vyšetřovatelem považována za nejistou kauzalitu a všechny ostatní nežádoucí účinky třídy 3 nebo 4 nebyly vyšetřovatelem považovány za související. U dětských subjektů nebyly identifikovány žádné další bezpečnostní problémy ve srovnání s historickými údaji u dospělých.

Dolutegravir

Bezpečnost dolutegraviru u pediatrických subjektů s infekcí HIV-1 o hmotnosti nejméně 6 kg byla hodnocena ve studii Impaact P1093 [viz viz Použití v konkrétních populacích Klinická farmakologie ]. Overall the safety data in this pediatric study was similar to that seen in adults.

Impact P1093 je probíhající multicentrická otevřená nekomparativní studie dětských subjektů s infekcí HIV-1 ve věku <18 years. One hundred a forty-two subjects weighing at least 6 kg were enrolled in this trial [vidět Použití v konkrétních populacích Klinická farmakologie Klinické studie ].

Analýza bezpečnosti do 24. týdne zahrnovala 60 subjektů vážících nejméně 6 kg při zápisu, kteří obdrželi doporučenou dávku (stanovenou hmotností a věkem) a formulací. Tato analýza ukázala, že 13% subjektů zažilo nežádoucí účinky. Nežádoucí účinky stupně 1 až 2 hlášené více než jedním subjektem byl imunitní rekonstituční zánětlivý syndrom (n = 2). Nebyly hlášeny žádné nežádoucí účinky stupně 3 nebo 4. Žádné nežádoucí účinky nevedly k přerušení.

Laboratorní abnormality stupně 3 nebo 4 hlášené u více než jednoho subjektu vážícího nejméně 6 kg při zápisu byly sníženy počet neutrofilů (n = 5) sníženou hydrogenuhličitan krve (n = 3) zvýšenou lipázu (n = 2) a zvýšený krevní draselný (n = 2). Tyto laboratorní události nebyly považovány za související s drogami. Změny středního kreatininu v séru byly podobné změnám pozorovaným u dospělých.

Zážitek z postmarketingu

Kromě nežádoucích účinků hlášených z klinických studií byly během používání postmarketingu identifikovány následující nežádoucí účinky s jednou nebo více složkami Triumeq a Triumeq PD. Protože tyto reakce jsou hlášeny dobrovolně z populace nejisté velikosti, není vždy možné spolehlivě odhadnout jejich frekvenci nebo vytvořit kauzální vztah k expozici léčiva.

Krevní a lymfatické systémy

Aplastická anémie anémie (včetně čisté aplazie červených buněk a těžkých anémií postupujících na terapii) lymfadenopatie splenomegalie.

Zažívací

Stomatitida.

Gastrointestinal

Pankreatitida.

Generál

Slabost.

Hepatobiliární poruchy

Transplantace jater akutních jater [viz VAROVÁNÍS AND OPATŘENÍ ].

Přecitlivělost

Senzibilizační reakce (včetně anafylaxe) Vrchoza [viz VAROVÁNÍS AND OPATŘENÍ Zkušenosti z klinických studií ].

Vyšetřování

Hmotnost se zvýšila.

Poruchy metabolismu a výživy

Hyperlakmie.

Muskuloskeletální

Slabost svalu CPK Elevation Slabost Myalgia Rhabdomyolýza.

Nervový

Záchvaty perestézie periferní neuropatie.

Psychiatric

Úzkost.

Respirační

Abnormální dechové zvuky/sípání.

Kůže

Alopecia erythema multiforme. U pacientů, kteří dostávají abakavir primárně v kombinaci s léky, o nichž je známo, že jsou spojeny s SJS a deset, byly hlášeny podezření na Stevens-Johnsonův syndrom (SJS) a toxická epidermální nekrolýza (deset). Kvůli překrývání klinických příznaků a symptomů mezi přecitlivělostí na abacavir a SJS a deset a možnosti vícenásobné citlivosti na léky u některých pacientů by měl být abakavir ukončen a v takových případech by neměl být restartován [viz viz [viz viz [viz viz [viz viz [viz [viz Zkušenosti z klinických studií ].

Lékové interakce for Triumeq

Vliv dolutegraviru na farmakokinetiku jiných agentů

In vitro Dolutegravir inhiboval transportéry renálních organických kationtů (OCT) 2 (IC 50 = 1,93 mikrom) a multirdrug a toxin extruzní transportér (mate) 1 (IC 50 = 6,34 mikrom). Nadarmo Dolutegravir inhibuje tubulární sekreci kreatininu inhibicí Oct2 a potenciálně MATE1. Dolutegravir může zvýšit plazmatické koncentrace léčiv eliminovaných prostřednictvím OCT2 nebo MATE1 (dofetilid dalfampridin a metformin) [viz viz Kontraindikace Zavedené a jiné potenciálně významné interakce s drogami ].

In vitro Dolutegravir inhiboval bazolaterální transportéry ledvin Organické aniontové transportér (OAT) 1 (IC 50 = 2,12 mikrom) a oat3 (IC 50 = 1,97 mikrom). Však nadarmo Dolutegravir nezměnil plazmatické koncentrace tenofoviru nebo para-amino hippurátů substrátů OAT1 a OAT3.

In vitro Dolutegravir se nebránil (IC 50 > 50 mikrom) Následující: Cytochrom P450 (CYP) 1A2 CYP2A6 CYP2B6 CYP2C8 CYP2C9 CYP2C19 CYP2D6 CYP3A URIDINESINEMINIn diffidin difosfát (UDP) -Glukuronosyl transferáza (UGT) 1A1 UGT2B7 P-GLYCOPOTEIn (P-GP) dokonce Organické aniontové transportérové ​​polypeptid (OATP) 1B1 OATP1B3 OCT1 nebo protein pro protein pro více léků (MRP) 2 nebo MRP4. In vitro dolutegravir neindukoval CYP1A2 CYP2B6 CYP3A4. Na základě těchto údajů a výsledků studií interakce léčiva se neočekává, že dolutegravir ovlivní farmakokinetiku léčiv, která jsou substráty těchto enzymů nebo transportérů.

V studiích interakce s léčivem neměl dolutegravir klinicky relevantní účinek na farmakokinetiku následujících léčiv: tenofovir metadon midazolam rilpivirin a perorální antikoncepční prostředky obsahující negestatimní a ethinylestradiot. Použití srovnání křížových studií s historickými farmakokinetickými údaji pro každý interagující lék dolutegravir se nezdál, že by ovlivnil farmakokinetiku následujících léčiv: atazanavir darunavir efavirenz etravirin fosamprenavir lopinavir ritonavir a boceprevir.

Vliv jiných agentů na farmakokinetiku dolutegraviru

Dolutegravir is metabolized by UGT1A1 with some contribution from CYP3A. Dolutegravir is also a substrate of UGT1A3 UGT1A9 BCRP a P-gp in vitro. Léks that induce those enzymes a transporters may decrease dolutegravir plasma concentrations a reduce the therapeutic effect of dolutegravir.

Souběžné podávání dolutegraviru a dalších léčiv, které inhibují tyto enzymy, může zvýšit plazmatické koncentrace dolutegraviru.

Etravirin významně snížil plazmatické koncentrace dolutegraviru, ale účinek etravirinu byl zmírněn souběžnou podáním lopinaviru/ritonaviru nebo darunavir/ritonaviru a očekává se, že bude zmírněn atazanavirem/ritonavirem (viz tabulka 6) [viz 6) [viz 6) [viz tabulka 6) [viz tabulka 6) [viz tabulka 6) [viz tabulka 6) [viz tabulka 6) [viz tabulka 6) (viz tabulka 6) [viz tabulka 6) [ Lékové interakce Klinická farmakologie ].

In vitro Dolutegravir nebyl substrátem OATP1B1 nebo OATP1B3.

Darunavir/ritonavir lopinavir/ritonavir rilpivirin tenofovir boceprevir prednison rifabutin a omeprazol neměl klinicky významný účinek na farmakokinetiku dolutegraviru.

Zavedené a jiné potenciálně významné interakce s drogami

Nebyly provezeny žádné interakční studie léčiva léčiva s kombinovanými tabletami s pevnou dávkou abacavir a lamivudin.

Níže jsou uvedeny informace týkající se potenciálních lékových interakcí s jednotlivými složkami Triumeq a Triumeq PD. Tato doporučení jsou založena na studiích interakce léčiva nebo předvídaných interakcích v důsledku očekávané velikosti interakce a potenciálu pro závažné nežádoucí účinky nebo ztrátu účinnosti. [Vidět Kontraindikace Klinická farmakologie .]

Tabulka 6. Zavedené a další potenciálně významné interakce léčiva pro dolutegravir: Změny v dávce mohou být doporučeny na základě studií interakce léčiva nebo předpovídaných interakcích

Současná třída drog:
Název léku
Účinek na koncentraci Klinický komentář
HIV-1 Antiviral Agents
Inhibitor reverzní transkriptázy bez nukleosidu:
a
↓ Dolutegravir Použití triumeq nebo triumeq PD s etravirinem bez podávání atazanavir/ritonavir darunavir/ritonavir nebo lopinavir/ritonavir se nedoporučuje.
Inhibitor reverzní transkriptázy bez nukleosidu:
a
↓ Dolutegravir U dospělých a u pediatrických pacientů vážení nejméně 25 kg Upravte dávku dolutegraviru na 50 mg dvakrát denně. Další 50 mg dávka Tivicay by měla být oddělena o 12 hodin od Triumeq.

U pediatrických pacientů vážení 6 až <25 kg Další dávka dolutegraviru na bázi hmotnosti by měla být podávána oddělena o 12 hodin od Triumeq PD.
  • 6 až <10 kg: administer an additional 15-mg dose of dolutegravir (3 TIVICAY PD tablets for oral suspension) 12 hours after Triumeq Pd
  • 10 až <14 kg: administer an additional 20-mg dose of dolutegravir (4 TIVICAY PD tablets for oral suspension) 12 hours after Triumeq Pd
  • 14 až <20 kg: administer an additional 25-mg dose of dolutegravir (5 TIVICAY PD tablets for oral suspension) 12 hours after Triumeq Pd
  • 20 až <25 kg: administer an additional 30-mg dose of dolutegravir (6 TIVICAY PD tablets for oral suspension) 12 hours after Triumeq Pd.
Inhibitor reverzní transkriptázy bez nukleosidu:
↓ Dolutegravir Vyhněte se souběžnému podávání s Triumeq nebo Triumeq PD, protože neexistují dostatečná data pro dávkování doporučení.
Inhibitor proteázy:
a
a
↓ Dolutegravir U dospělých a u pediatrických pacientů vážení nejméně 25 kg Upravte dávku dolutegraviru na 50 mg dvakrát denně. Další dávka Tivicay 50 mg by měla být užívána oddělena o 12 hodin od triumeq.

U pediatrických pacientů vážení 10 až <25 kg Další dávka dolutegraviru na bázi hmotnosti by měla být podávána oddělena o 12 hodin od Triumeq PD.
  • 6 až <10 kg: administer an additional 15-mg dose of dolutegravir (3 TIVICAY PD tablets for oral suspension) 12 hours after Triumeq Pd
  • 10 až <14 kg: administer an additional 20-mg dose of dolutegravir (4 TIVICAY PD tablets for oral suspension) 12 hours after Triumeq Pd
  • 14 až <20 kg: administer an additional 25-mg dose of dolutegravir (5 TIVICAY PD tablets for oral suspension) 12 hours after Triumeq Pd
  • 20 až <25 kg: administer an additional 30-mg dose of dolutegravir (6 TIVICAY PD tablets for oral suspension) 12 hours after Triumeq Pd.
Ostatní agenti
Antiarhytmická:
↑ Dofetilid Společná podávání je kontraindikována s Triumeq a Triumeq PD [viz Kontraindikace ].
Blokátor draselných kanálů:
↑ Dalfampridin Zvýšené hladiny dalfampridinu zvyšují riziko záchvatů. Potenciální výhody přijímání dalfampridinu souběžně s triumeq nebo triumeq PD by měly být považovány za riziko záchvatů u těchto pacientů.
Karbamazepin a ↓ Dolutegravir U dospělých a u pediatrických pacientů vážení nejméně 25 kg Upravte dávku dolutegraviru na 50 mg dvakrát denně. Další dávka Tivicay 50 mg by měla být užívána oddělena o 12 hodin od triumeq.

U pediatrických pacientů vážení 6 až <25 kg Další dávka dolutegraviru na bázi hmotnosti by měla být podávána oddělena o 12 hodin od Triumeq PD.
  • 6 až <10 kg: administer an additional 15-mg dose of dolutegravir (3 TIVICAY PD tablets for oral suspension) 12 hours after Triumeq Pd
  • 10 až <14 kg: administer an additional 20-mg dose of dolutegravir (4 TIVICAY PD tablets for oral suspension) 12 hours after Triumeq Pd
  • 14 až <20 kg: administer an additional 25-mg dose of dolutegravir (5 TIVICAY PD tablets for oral suspension) 12 hours after Triumeq Pd
  • 20 až <25 kg: administer an additional 30-mg dose of dolutegravir (6 TIVICAY PD tablets for oral suspension) 12 hours after Triumeq Pd.
Oxcarbazepin
Phable
Fenobarbital
Wort sv. Jana ( Hypericum perforatum )
↓ Dolutegravir Vyhněte se souběžnému podávání s Triumeq nebo Triumeq PD, protože neexistují dostatečná data pro dávkování doporučení.
Léky obsahující kationty (např. Mg nebo Al):
a nebo laxativa

↓ Dolutegravir Spravovat Triumeq or Triumeq Pd 2 hours before or 6 hours after taking medications containing polyvalent cations.
a ↓ Dolutegravir Při užívání potravin triameq nebo triumeq PD a doplňků nebo multivitaminů obsahující vápník nebo železo lze vzít současně. Under fasting conditions TRIUMEQ or TRIUMEQ PD should be taken 2 hours before or 6 hours after taking supplements containing calcium or iron.
Metformin a ↑ Metformin Posouzení přínosů a rizika souběžného používání Triumeq nebo Triumeq PD a metforminu naleznete v přepisovacích informacích.
Rifampin a ↓ Dolutegravir U dospělých a u pediatrických pacientů vážení nejméně 25 kg Upravte dávku dolutegraviru na 50 mg dvakrát denně. Další 50 mg dávka Tivicay by měla být oddělena o 12 hodin od Triumeq.

U pediatrických pacientů vážení 6 až <25 kg Další dávka dolutegraviru na bázi hmotnosti by měla být podávána oddělena o 12 hodin od Triumeq PD.
  • 6 až <10 kg: administer an additional 15-mg dose of dolutegravir (3 TIVICAY PD tablets for oral suspension) 12 hours after Triumeq Pd
  • 10 až <14 kg: administer an additional 20-mg dose of dolutegravir (4 TIVICAY PD tablets for oral suspension) 12 hours after Triumeq Pd
  • 14 až <20 kg: administer an additional 25-mg dose of dolutegravir (5 TIVICAY PD tablets for oral suspension) 12 hours after Triumeq Pd
  • 20 až <25 kg: administer an additional 30-mg dose of dolutegravir (6 TIVICAY PD tablets for oral suspension) 12 hours after Triumeq Pd.
a Vidět Klinická farmakologie Tabulka 8 nebo tabulka 10 pro velikost interakce.
Metadon

Abacavir

Ve studii 11 subjektů infikovaných HIV-1, kteří dostávali terapii metadonu udržovanou s 600 mg abakaviru dvakrát denně (dvakrát v současné době doporučené dávky) orální metadon se zvýšila [viz viz Klinická farmakologie ]. This alteration will not result in a methadone dose modification in the majority of patients; however an increased methadone dose may be required in a small number of patients.

Sorbitol

Lamivudin

Souběžné podávání jednotlivých dávek lamivudinu a sorbitolu vedlo ke snížení expozice lamivudinu závislé na sorbitolu. Pokud je to možné, vyhněte se užívání léků sorbitolconduiningových léků s léky obsahujícími lamivudin [viz viz Klinická farmakologie ].

Riociguat

Abacavir

Společná podávání s Triumeq vyústila ve zvýšenou expozici riociguat, což může zvýšit riziko nežádoucích účinků riociguatů [viz viz Klinická farmakologie ]. The riociguat dose may need to be reduced. Vidět full prescribing information for ADEMPAS (riociguat).

Varování pro Triumeq

Zahrnuto jako součást OPATŘENÍ sekce.

Opatření pro Triumeq

Reakce přecitlivělosti

Přecitlivělost reactions have been reported with the use of abacavir or dolutegravir components of Triumeq a Triumeq Pd.

Abacavir

Při režimech obsahujících abakaviru došlo k závažným a někdy fatálním hypersenzitivním reakcím. Viz úplné informace o předepisování pro Ziagen (abacavir).

Abacavir hypersensitivity reactions have included multi-organ failure a anaphylaxis a typically occurred within the first 6 weeks of treatment with abacavir (median time to onset was 9 days); although abacavir hypersensitivity reactions have occurred any time during treatment [vidět Nežádoucí účinky ]. Patients who carry the HLA-B*5701 allele are at a higher risk of abacavir hypersensitivity reactions; although patients who do not carry the HLA-B*5701 allele have developed hypersensitivity reactions. Přecitlivělost to abacavir was reported in approximately 206 (8%) of 2670 patients in 9 clinical trials with abacavir-containing products where HLA-B*5701 screening was not performed. The incidence of suspected abacavir hypersensitivity reactions in clinical trials was 1% when subjects carrying the HLA-B*5701 allele were excluded. In any patient treated with abacavir the clinical diagnosis of hypersensitivity reaction must remain the basis of clinical decision making.

Vzhledem k potenciálu závažných závažných a možná fatálních hypersenzitivních reakcí s abacavirem:

  • Všichni pacienti by měli být prověřováni na alelu HLA-B*5701 před zahájením terapie triumeq nebo Triumeq PD nebo opětovném opětovnému opětovnému opětovnému posouzení terapie Triumeq nebo triumeq PD, pokud pacienti nemají dříve zdokumentované hodnocení alel HLA-B*5701.
  • Triumeq a Triumeq Pd are contraindicated in patients with a prior hypersensitivity reaction to abacavir a in HLA-B*5701-positive patients.
  • Před zahájením Triumeq nebo Triumeq PD přezkoumává anamnéza lékařská anamnéza pro předchozí vystavení jakémukoli produktu obsahujícímu abacavir. Nikdy restartujte Triumeq nebo Triumeq PD nebo žádný jiný produkt obsahující abakavir po hypersenzitivní reakci na abacavir bez ohledu na stav HLA-B*5701.
  • Pro snížení rizika reakce ohrožující život přecitlivělost bez ohledu na HLA-B*5701 Stav ukončení triameq nebo triumeq PD okamžitě, pokud je podezření na hypersenzitivní reakce, i když jsou možné jiné diagnózy (např. Akutní nástup respirační onemocnění, jako je pneumonia bronchitida farychitidy nebo reagnózy; reakce; Měl by být sledován klinický stav včetně chemií jater a zahájena vhodná terapie.
  • Pokud nelze vyloučit reakci přecitlivělosti, neodstartujte triumeq nebo triumeq pd nebo žádné jiné produkty obsahující abakaviru, protože závažnější příznaky, které mohou zahrnovat život ohrožující život hypotenze a death can occur within hours.
  • Klinicky není možné určit, zda by hypersenzitivní reakce s triumeq nebo triumeq PD byla způsobena abacavirem nebo dolutegravirem. Proto nikdy neodpočítává triumeq nebo triumeq PD nebo žádný jiný abacavir- nebo dolutegravir obsahující produkt obsahující u pacientů, kteří zastavili terapii triumeq nebo triumeq PD v důsledku reakce přecitlivělosti.
  • Pokud je vyloučena hypersenzitivní reakce, mohou pacienti restartovat triumeq nebo triumeq PD. Zřídka pacienti, kteří zastavili abakavir z jiných důvodů než příznaky přecitlivělosti, také zažili život ohrožující reakce během několika hodin od oživení abakavirové terapie. Proto se doporučuje znovu zavedení Triumeq nebo Triumeq PD nebo jakéhokoli jiného produktu obsahujícího abakavir, pouze pokud lze snadno přistupovat k lékařské péči.
  • Průvodce medikací a varovná karta, která poskytuje informace o rozpoznávání reakcí přecitlivělosti na přecitlivělost abakaviru, by měly být vydány s každým novým předpisem a doplňováním.
Dolutegravir

Přecitlivělost reactions have been reported a were characterized by vyrážka constitutional findings a sometimes organ dysfunction including liver injury. The events were reported in <1% of subjects receiving TIVICAY in Phase 3 clinical trials. Discontinue Triumeq or Triumeq Pd a other suspect agents immediately if signs or symptoms of hypersensitivity reactions develop (including but not limited to severe vyrážka or vyrážka accompanied by horečka general malaise únava muscle or joint aches blisters or peeling of the skin oral blisters or lesions conjunctivitis facial edema hepatitis eosinofilie Angioedema obtížnost dýchání).

Klinický stav včetně jaterních aminotransferáz by měl být monitorován a zahájena vhodná terapie. Zpoždění při zastavení léčby triumeq nebo triumeq PD nebo jinými podezřelými látkami po nástupu přecitlivělosti může mít za následek život ohrožující reakci.

Klinicky není možné určit, zda by hypersenzitivní reakce s triumeq nebo triumeq PD byla způsobena abacavirem nebo dolutegravirem. Proto nikdy neodpočítává triumeq nebo triumeq PD nebo žádný jiný abacavir- nebo dolutegravir obsahující produkt obsahující u pacientů, kteří zastavili terapii triumeq nebo triumeq PD v důsledku reakce přecitlivělosti.

Pacienti spolu infikováni HIV-1 a HBV: Vznik HBV rezistentní na lamivudin a riziko zhoršení po ošetření HBV

Všichni pacienti s HIV-1 by měli být testováni na přítomnost HBV před nebo při zahájení triameq nebo triumeq PD.

Vznik HBV rezistentní na lamivudin

Bezpečnost a účinnost lamivudinu nebyla stanovena pro léčbu chronického HBV u subjektů duálně infikovaných HIV-1 a HBV. Vznik variant HBV spojených s rezistencí na lamivudin byl hlášen u subjektů infikovaných HIV-1, kteří obdrželi antiretrovirové režimy obsahující lamivudin v přítomnosti souběžné infekce HBV. Pokud je rozhodnuto o podávání TRIUMEQ nebo TRIUMEQ PD pacientům, kteří jsou infikováni s HIV-1 a HBV Další léčba, by měla být zvážena pro vhodnou léčbu chronické HBV; Jinak zvažte alternativní režim.

Těžké akutní exacerbace HBV u pacientů infikovaných HIV-1 a HBV

U pacientů, kteří jsou infikováni s HIV-1 a HBV, byly hlášeny závažné akutní exacerbace HBV a mohou se vyskytnout produkty obsahující lamivudin a mohou se vyskytnout s přerušením triumeq nebo triumeq PD. Pacienti, kteří jsou koinfikováni s HIV-1 a HBV, kteří přerušili triumeq nebo Triumeq PD, by měli být pečlivě sledováni klinickým i laboratorním sledováním po dobu nejméně několika měsíců po zastavení léčby triumeq nebo triumeq PD. Pokud může být vhodné zahájení terapie anti-HBV zaručeno zejména u pacientů s pokročilým onemocněním jater nebo cirhózou, protože po ošetření exacerbace hepatitidy může vést k dekompenzaci jater a selhání jater.

Hepatotoxicita

U pacientů, kteří dostávali režim obsahující dolutegravir, byly hlášeny jaterní nežádoucí účinky [viz viz Nežádoucí účinky ]. Patients with underlying hepatitis B or C may be at increased risk for worsening or development of transaminase elevations with use of Triumeq or Triumeq Pd [vidět Nežádoucí účinky ]. In some cases the elevations in transaminases were consistent with immune reconstitution syndrome or hepatitis B reactivation particularly in the setting where anti-hepatitis therapy was withdrawn. Cases of hepatic toxicity including elevated serum liver biochemistries hepatitis a acute liver failure have also been reported in patients including pediatric patients receiving a dolutegravir-containing regimen who had no pre-existing hepatic disease or other identifiable risk factors. Lék-induced liver injury leading to liver transplant has been reported with Triumeq. Monitoring for hepatotoxicity is recommended.

Acidóza mléčné a těžká hepatomegalie s steatózou

Byly hlášeny laktátová acidóza a těžká hepatomegalie s steatózou včetně fatálních případů s použitím analogů nukleosidu včetně abakaviru a lamivudinu (složky Triumeq a Triumeq PD). Většina z těchto případů byla u žen. Ženské sex a obezita Mohou to být rizikové faktory pro vývoj laktánové acidózy a těžké hepatomegálie s steatózou u pacientů léčených analogy antiretrovirových nukleosidů. Viz úplné informace o předepisování pro Ziagen (abacavir) a Epivir (lamivudin). Léčba triumeq nebo triumeq PD by měla být suspendována u každého pacienta, který vyvíjí klinické nebo laboratorní nálezy naznačující laktátovou acidózu nebo výraznou hepatotoxicitu, která může zahrnovat hepatomegalii a steatózu i v nepřítomnosti výrazných transaminázových výšek.

Riziko nežádoucích účinků nebo ztráty virologické odpovědi v důsledku lékových interakcí

Současné použití triameq nebo triumeq PD a dalších léků může vést ke známým nebo potenciálně významným interakcím s drogami, z nichž některé mohou vést k [viz viz Kontraindikace Lékové interakce ]:

  • Ztráta terapeutického účinku triameq nebo triumeq PD a možného vývoje rezistence.
  • Možné klinicky významné nežádoucí účinky z větších expozic doprovodných léků.

Vidět Table 6 for steps to prevent or manage these possible a known significant drug interactions including dosing recommendations. Consider the potential for drug interactions prior to a during therapy with Triumeq or Triumeq Pd review concomitant medications during therapy with Triumeq or Triumeq Pd a monitor for the adverse reactions associated with the concomitant drugs.

Imunitní rekonstituční syndrom

Syndrom imunitní rekonstituce byl hlášen u pacientů léčených kombinovanými antiretrovirovou terapií, včetně Triumeq nebo Triumeq PD. Během počáteční fáze kombinovaných pacientů s antiretrovirovou léčbou, jejichž imunitní systémy reagují, může vyvinout zánětlivou odpověď na indolentní nebo zbytkové oportunní infekce (jako je infekce Mycobacterium avium Cytomegalovirus Pneumocystis jirovecii pneumonia [PCP] nebo tuberkulóza ), které mohou vyžadovat další hodnocení a léčbu.

V nastavení imunitní rekonstituce se také objevilo autoimunitní poruchy (jako je Gravesova polymyositis guillain-Barrã © Autoimunitní hepatitida); Čas na nástup je však variabilnější a může se vyskytnout mnoho měsíců po zahájení léčby.

Různé formulace nejsou nahrazovatelné

Triumeq a Triumeq Pd are not bioequivalent a are not substitutable on a milligramper- milligram basis [vidět Klinická farmakologie ]. If a pediatric patient switches from the tablets for oral suspension to the tablets the dosage must be adjusted [vidět Dávkování a podávání ]. Incorrect dosing of a given formulation may result in underdosing a loss of therapeutic effect a possible development of resistance or possible clinically significant adverse reactions from greater exposure to the individual components.

Infarkt myokardu

Několik prospektivních observačních epidemiologických studií uvádělo souvislost s použitím abakaviru a rizikem infarktu myokardu (MI). Metaanalýzy randomizovaných kontrolovaných klinických studií nepozorovaly nadbytečné riziko MI u subjektů ošetřených abakavirem ve srovnání s kontrolními subjekty. K dnešnímu dni neexistuje stanovený biologický mechanismus, který by vysvětlil potenciální zvýšení rizika. Celkově dostupné údaje z observačních studií a z kontrolovaných klinických studií ukazují nekonzistentnost; Důkazy o příčinném vztahu mezi abakavirem a rizikem MI jsou proto neprůkazné.

Při předepisování antiretrovirových terapií, včetně abakaviru a opatření k minimalizaci všech modifikovatelných rizikových faktorů (např. Hyperlipidemie hypertenze, by se mělo považovat základní riziko koronárních srdečních chorob (např. Hypertenze s hypertenzí s srdečními chorobami, včetně abakaviru a opatření. Diabetes mellitus kouření).

Informace o poradenství pro pacienta

Doporučujte pacientovi, aby si přečetl značení pacienta schváleného FDA ( Průvodce léky a Pokyny pro použití ).

Lékové interakce

Triumeq or Triumeq Pd may interact with many drugs; therefore advise patients to report to their healthcare provider the use of any other prescription or nonprescription medication or herbal products including St. John’s wort [vidět Kontraindikace VAROVÁNÍS AND OPATŘENÍ Lékové interakce ].

Přecitlivělost Reaction

  • To, že lékárník průvodce a varovná karta shrnující příznaky abakavirové hypersenzitivní reakce a dalších informací o produktu bude lékárníkem vydán s každým novým předpisem a doplňováním Triumeq nebo Triumeq PD a nařídí pacientovi, aby si přečetl lékovou a varovnou kartu, aby získal jakoukoli novou informaci, která může být přítomna o Triumeq nebo triumeq PD. Konec tohoto dokumentu je dotisknut úplný text příručky k léku.
  • nést s sebou varovnou kartu.
  • jak identifikovat reakci přecitlivělosti [viz VAROVÁNÍS AND OPATŘENÍ Průvodce léky ].
  • že pokud se vyvinou příznaky v souladu s hypersenzitivní reakcí, měli by okamžitě zavolat svému poskytovateli zdravotní péče, aby zjistili, zda by měli přestat brát Triumeq nebo Triumeq PD.
  • To, že reakce přecitlivělosti se může zhoršit a vést k hospitalizaci nebo smrti, pokud Triumeq nebo Triumeq PD není okamžitě přerušeno.
  • Nerestartovat triumeq nebo triumeq PD nebo žádný jiný produkt obsahující abakavir po reakci přecitlivělosti, protože závažnější příznaky mohou nastat během několika hodin a mohou zahrnovat život ohrožující hypotenzi a smrt.
  • že pokud mají hypersenzitivní reakci, měli by zlikvidovat jakýkoli nevyužitý triumeq nebo triumeq PD, aby se zabránilo restartování abakaviru.
  • že reakce přecitlivělosti je obvykle reverzibilní, pokud je detekována okamžitě a Triumeq nebo Triumeq PD je hned zastavena.
  • že pokud přeruší Triumeq nebo Triumeq PD z jiných důvodů, než jsou příznaky přecitlivělosti (například ti, kteří mají přerušení dodávky léčiva), může dojít k opětovnému zavedení abakaviru vážná nebo fatální hypersenzitivní reakce.
  • Nerestartovat Triumeq nebo Triumeq PD nebo žádný jiný produkt obsahující abakavir bez lékařské konzultace a pouze v případě lékařské péče může pacient snadno přistupovat.
  • Nerestartovat triumeq nebo triumeq PD nebo žádný jiný produkt obsahující dolutegravir po reakci přecitlivělosti na triumeq nebo triumeq PD.
Hepatotoxicita

Informujte pacienty, že hepatotoxicita byla hlášena s Dolutegravirem složkou Triumeq a Triumeq PD [viz VAROVÁNÍS AND OPATŘENÍ Nežádoucí účinky ]. Inform patients that monitoring for hepatotoxicity during therapy with Triumeq or Triumeq Pd is recommended.

Těžké akutní exacerbace hepatitidy u pacientů s koinfekcí HBV

Doporučujte, aby byli všichni pacienti s HIV-1 testováni na přítomnost HBV před nebo při zahájení Triumeq nebo Triumeq PD. Poraďte se, že pacienty infikované HIV-1 a HBV, že zhoršení onemocnění jater došlo v některých případech, kdy byla léčba lamivudinem přerušena.

Doporučujte pacientům, aby diskutovali o jakýchkoli změnách v režimu se svým lékařem [viz VAROVÁNÍS AND OPATŘENÍ ].

Laktátová acidóza/hepatomegalie

Informujte pacienty, že některé léky na HIV, včetně Triumeq a Triumeq PD, mohou způsobit vzácný, ale vážný stav zvaný laktátová acidóza se zvětšením jater (hepatomegalie) [Viz Varování v krabici VAROVÁNÍS AND OPATŘENÍ ].

Imunitní rekonstituční syndrom

Poraďte pacientům, aby okamžitě informovali o svém poskytovateli zdravotní péče o jakýchkoli příznacích a symptomech infekce, protože zánět z předchozí infekce může dojít brzy po kombinované antiretrovirové terapii, včetně toho, kdy je spuštěn Triumeq nebo Triumeq PD [viz viz [viz viz [viz [viz [viz VAROVÁNÍS AND OPATŘENÍ ].

Triumeq Tablets And Triumeq Pd Tablets For Oral Suspension Are Not Bioequivalent

Poraďte se s pacienty, že triumeq a triumeq PD nejsou bioeekvivalentní a nejsou nahrazovatelné na miligramu na milligram. Poraďte pacientům nebo jejich poskytovateli péče, že pacienti přepínající z tablet pro perorální pozastavení do tablet musí upravit dávku [Viz viz Dávkování a podávání A VAROVÁNÍS AND OPATŘENÍ ].

Registr těhotenství

Informujte pacienty, že existuje antiretrovirový těhotenský registr pro sledování výsledků plodu u těch, které byly vystaveny Triumeq během těhotenství [viz viz Použití v konkrétních populacích ].

Laktace

Informujte jednotlivce s infekcí HIV-1, že potenciální rizika kojení zahrnují: (1) přenos HIV-1 (u HIV-1 negativních kojenců) (2) vývoj virové rezistence (u HIV-1 pozitivních kojenců) a (3) nežádoucí účinky u kojeného ukazatele podobného u dospělých [viz [viz [viz [viz [viz u dospělých [ Použití v konkrétních populacích ].

Pokyny pro správu

Aby nedošlo k chybě dávkování z použití nesprávné formulace triumeq silně doporučuje pacientům a pečovatelům, aby vizuálně zkontrolovali tablety, aby ověřili správnou formulaci pokaždé, když je předpis vyplněn [viz viz Dávkování a podávání VAROVÁNÍS AND OPATŘENÍ Jak dodáno / Skladování a manipulace ].

Informujte pacienty a pečovatele, že tablety Triumeq PD pro perorální odpružení by měly být rozptýleny v pitné vodě a neměly by být žvýkány rozdrceny nebo polknuty celé [viz viz Dávkování a podávání ]. Inform patients a caregivers that an appropriate-sized syringe may be used to administer the oral suspension if the patient is unable to use the supplied cup [vidět Dávkování a podávání ].

Poskytněte pacientům a pečovatelům, že pokud je dávka Triumeq nebo Triumeq PD vynechána, aby to vezme, jakmile si pamatují. Doporučujte pacientům a pečovatelům, aby neodpovídali další dávku ani nebrali více než předepsanou dávku [viz Dávkování a podávání ].

Dostupnost průvodce medikací

Poskytněte pacientům a pečovatelům, aby si před zahájením Triumeq nebo Triumeq PD přečetli průvodce medikací a znovu si ji přečetli pokaždé, když se předpis obnoví. Poskytněte pacientům, aby informovali svého lékaře nebo lékárníka, pokud si vyvinou neobvyklý příznak nebo pokud nějaký známý příznak přetrvává nebo zhoršuje.

Skladování

Pokyn pacientům a pečovatelům ukládá tablety Triumeq a Triumeq PD pro perorální suspenzi v původním balíčku chránit před vlhkostí a udržovat láhev pevně zavřenou. Neodstraňujte vysoušeč.

Epivir Epzicom Tivicay Tivicay PD Triumeq Triumeq PD a Ziagen jsou ochranné známky vlastněné nebo licencovány do společnosti VIIV Healthcare Group společností.

Epivir-HBV je ochranná známka vlastněná nebo licencována skupině společností GSK.

Dalšími uvedenými značkami jsou ochranné známky vlastněné nebo licencovány svým příslušným majitelům a nejsou vlastněny ani licencovány skupině společností VIIV Healthcare. Tvůrci těchto značek nejsou spojeni a neschvalují skupinu společností VIIV zdravotnictví nebo jejích produktů.

Neklinická toxikologie

Zhodnocení mutageneze karcinogeneze plodnosti

Karcinogenita

Dolutegravir

Dvouleté studie karcinogenity u myší a potkanů ​​byly provedeny s dolutegravirem. Myši byly podány dávky až 500 mg/kg a potkany byly podány dávky až 50 mg/kg. U myší nebylo pozorováno žádné významné zvýšení výskytu novotvarů souvisejících s léčivem při nejvyšších testovaných dávkách, což by mělo za následek expozice dolutegraviru AUC přibližně 26krát vyšší než u lidí při doporučené dávce 50 mg jednou denně. U potkanů ​​nebylo pozorováno žádné zvýšení výskytu novotvarů souvisejících s léčivem při nejvyšší testované dávce, což by mělo za následek expozice dolutegraviru 17krát a 30krát vyšší u mužů a žen, respektive u žen, respektive u lidí při doporučené dávce 50 mg jednou denně.

Abacavir

Abacavir was administered orally at 3 dosage levels to separate groups of mice a rats in 2-year carcinogenicity studies. Results showed an increase in the incidence of malignant a non-malignant tumors. Malignant tumors occurred in the preputial gla of males a the clitoral gla of females of both species a in the liver of female rats. In addition non-malignant tumors also occurred in the liver a štítná žláza ženských potkanů. Tato pozorování byla provedena při systémových expozicích v rozmezí 7 až 28násobek expozice člověka při doporučené dávce 600 mg.

Lamivudin

Dlouhodobé studie karcinogenity s lamivudinem u myší a potkanů ​​neprokázaly žádný důkaz karcinogenního potenciálu při expozicích až 12krát (myši) a 57krát (potkanů), které lidské expozice při doporučené dávce 300 mg.

Mutagenita

Dolutegravir

Dolutegravir was not genotoxic in the bacterial reverse mutation assay mouse lymphoma assay or in the nadarmo rodent micronucleus assay.

Abacavir

Abacavir induced chromosomal aberrations both in the presence a absence of metabolic activation in an in vitro cytogenetic study in human lymphocytes. Abacavir was mutagenic in the absence of metabolic activation although it was not mutagenic in the presence of metabolic activation in an L5178Y mouse lymphoma assay. Abacavir was clastogenic in males a not clastogenic in females in an nadarmo mouse bone marrow micronucleus assay.

Abacavir was not mutagenic in bacterial mutagenicity assays in the presence a absence of metabolic activation.

Lamivudin

Lamivudin was mutagenic in an L5178Y mouse lymphoma assay a clastogenic in a cytogenetic assay using cultured human lymphocytes. Lamivudin was not mutagenic in a microbial mutagenicity assay in an in vitro cell transformation assay in a rat micronucleus test in a rat bone marrow cytogenetic assay a in an assay for unscheduled DNA synthesis in rat liver.

Poškození plodnosti

Dolutegravir abacavir or lamivudine did not affect male or female fertility in rats at doses associated with exposures approximately 44 9 or 112 times (respectively) higher than the exposures in humans at the doses of 50 mg 600 mg a 300 mg (respectively).

Použití v konkrétních populacích

Těhotenství

Těhotenství Exposure Registry

Existuje registr expozice těhotenství, který monitoruje výsledky těhotenství u jedinců vystavených triumeq během těhotenství. Poskytovatelé zdravotní péče se vyzývají, aby pacienty zaregistrovali voláním do registru antiretrovirového těhotenství (APR) na čísle 1-800-258-4263.

Shrnutí rizika

Údaje ze dvou probíhajících studií pro průběžné výsledek narození v Botswaně a Eswatini, které společně zahrnují více než 14 000 jedinců hodnocených během těhotenství, ukazují podobnou prevalenci defektů nervové trubice mezi kojenci narozenými jednotlivcům, kteří v době početí v době početí, ve srovnání s těmi, kteří se narodili jednotlivcům, kteří se netýkají ne-dolutegravirské režimy, vidí jednotlivci, kteří jsou vidí jednotlivci. Data ).

Neexistují nedostatečné lidské údaje o používání TRIUMEQ během těhotenství k definitivnímu posouzení rizika souvisejících s drogami pro vrozené vady a potraty. Dostupná lidská data z APR však s jednotlivými složkami Triumeq nenaznačují zvýšené riziko vrozených vad (viz viz Data ). The background risk for major vrozená vadas for the indicated population is unknown. In the U.S. general population the estimated background rate for major vrozená vadas a miscarriage in clinically recognized pregnancies is 2% to 4% a 15% to 20% respectively.

Ve studiích reprodukce zvířat nebyl u dolutegraviru pozorován žádný důkaz nepříznivých vývojových výsledků (včetně defektů nervové trubice) při systémových expozicích (AUC) menší než (králíci) a přibližně 50krát (potkanů) expozice u lidí při doporučené lidské dávce (RHD) (viz viz (viz) (viz) Data ). Oral administration of abacavir to pregnant rats during organogenesis resulted in fetal malformations a other embryonic a fetal toxicities at exposures 35 times the human exposure (AUC) at the RHD. No adverse developmental effects were observed following oral administration of abacavir to pregnant rabbits during organogenesis at exposures approximately 9 times the human exposure (AUC) at the RHD. Oral administration of lamivudine to pregnant rabbits during organogenesis resulted in embryolethality at a human exposure (AUC) similar to the RHD; however no adverse development effects were observed with oral administration of lamivudine to pregnant rats during organogenesis at plasma concentrations (CMAX) 35 times the RHD (see Data ).

Data

Lidská data

Dolutegravir

Observační studie: První prozatímní analýza z probíhající studie o výsledku narození v Botswaně identifikovala souvislost mezi dolutegravirem a zvýšeným rizikem defektů nervové trubice, když byl dolutegravir podáván v době početí a v časném těhotenství. Následná analýza byla provedena na základě větší kohorty ze studie výsledek narození v Botswaně a zahrnovala více než 9460 jedinců vystavených dolutegraviru na početí 23664 jedinců vystavených režimům neobsahujícím dopolegraviru a 170723 HIV-negativní těhotní jedinci. Prevalence defektů nervové trubice u kojenců dodávaných jednotlivcům užívajícím dolutegravir při početí byla 0,11% (95% CI: 0,05-0,19%). Pozorovaná míra prevalence se významně nelišila od míry kojenců dodávaných jednotlivcům užívajícím režimy neobsahující dolutegravir (NULL,11% 95% CI: 0,07-0,16%) nebo pro HIV negativní jedinci (NULL,06% 95% CI: 0,05–0,08%).

Studie výsledných dohledu nad narozením Eswatini zahrnuje 9743 jedinců vystavených dolutegraviru na početí 1838 jednotlivců vystavených režimům neobsahujícím dopolegraviru a 32259 těhotným jedincům negativním HIV. Prevalence defektů nervové trubice u kojenců dodávaných jednotlivcům užívajícím dolutegravir na početí byla 0,08% (95% CI: 0,04-0,16%). Pozorovaná míra prevalence se významně nelišila od míry kojenců dodávaných jednotlivcům užívajícím režimy neobsahující dolutegravir (NULL,22% 95% CI: 0,06-0,56%) nebo HIV negativním jedincům (NULL,08% 95% CI: 0,06-0,12%). Pozorovaná prevalence defektů nervové trubice u kojenců dodávaných jednotlivcům, kteří užívají režimy obsahující dolutegravir, měla v důsledku nízké velikosti vzorku široký interval spolehlivosti.

Omezení těchto výsledků narození výsledek zahrnují nedostatečné údaje k určení, zda byly základní charakteristiky vyváženy mezi studijními skupinami nebo k posouzení dalších faktorů, jako je použití Kyselina listová Během předsudku nebo období prvního trimestru.

Antiretrovirový registr těhotenství

Based on prospective reports to the APR of over 1300 exposures to dolutegravir during pregnancy resulting in live births (including 874 exposed in the first trimester) the prevalence of defects in live births was 3.3% (95% CI: 2.2% to 4.7%) following first-trimester exposure to dolutegravir-containing regimens and 5.0% (95% CI: 3.2% to 7.3%) following Expozice druhého/třetího trimestru expozici režimům obsahujícím dolutegravir. V americké referenční populaci metropolitního programu vrozených defektů Atlanta (MACDP) pozadí vrozená vada sazba byla 2,7%.

Dolutegravir has been shown to cross the placenta. In a clinical trial in Ugaa a South Africa in women during the last trimester of pregnancy receiving dolutegravir 50 mg jednou denně the ratio of median dolutegravir concentration in fetal umbilical cord to that in maternal peripheral plasma was 1.21 (range 0.51-2.11) (n = 15).

Abacavir

Na základě prospektivních zpráv APR více než 2800 expozic abakaviru během těhotenství, což má za následek živě porod (včetně 1455 vystavených v prvním trimestru), nebyl žádný rozdíl mezi celkovým rizikem vrozených vad pro abakavir ve srovnání s mírou vrozené vady 2,7% v americké referenční populaci MACDP. Prevalence defektů u živě narozených byla 3,2% (95% CI: 2,4% až 4,3%) po prvním trimestru expozici režimům obsahujícím režimy abakaviru po režimech obsahujícím režimy abakaviru.

Abacavir has been shown to cross the placenta a concentrations in neonatal plasma at birth were essentially equal to those in maternal plasma at delivery [vidět Klinická farmakologie ].

Lamivudin

Na základě prospektivních zpráv APR více než 13 000 expozic lamivudinu během těhotenství, což má za následek živě porod (včetně 5613 vystavených v prvním trimestru), nebyl žádný rozdíl mezi celkovým rizikem vrozených vad pro lamivudin ve srovnání s mírou vrozené vady 2,7% v americké referenční populaci MACDP. Prevalence vrozených vad u živě narozených byla 3,1% (95% CI: 2,6% až 3,6%) po expozici režimům obsahujícím lamivudin a 2,9% (95% CI: 2,5% 3,3%).

Lamivudin pharmacokinetics were studied in pregnant women during 2 clinical trials conducted in South Africa. The trials assessed pharmacokinetics in 16 women at 36 weeks’ gestation using 150 mg lamivudine twice daily with zidovudine 10 women at 38 weeks’ gestation using 150 mg lamivudine twice daily with zidovudine a 10 women at 38 weeks’ gestation using lamivudine 300 mg twice daily without other antiretrovirals. These trials were not designed or powered to provide efficacy information. Lamivudin concentrations were generally similar in maternal neonatal a umbilical cord serum samples. In a subset of subjects amniotic fluid specimens were collected following natural rupture of membranes a confirmed that lamivudine crosses the placenta in humans. Based on limited data at delivery median (range) amniotic fluid concentrations of lamivudine were 3.9-fold (1.2- to 12.8-fold) greater compared with paired maternal serum concentration (n = 8).

Údaje o zvířatech

Dolutegravir

Dolutegravir was administered orally to pregnant rats a rabbits (up to 1000 mg/kg/day) on Gestation Days 6 až 17 a 6 až 18 respectively a to rats on Gestation Day 6 až lactation/postpartum Day 20. No adverse effects on embryo-fetal (rats a rabbits) or pre/post-natal (rats) development were observed up to the highest dose tested. During organogenesis systemic exposures (AUC) to dolutegravir in rabbits were less than the exposure in humans at the RHD a in rats were approximately 50 times the exposure in humans at the RHD. In the rat pre/postnatal development study decreased body weight of the developing offspring was observed during lactation at a maternally toxic dose (approximately 50 times human exposure at the RHD).

Abacavir

Abacavir was administered orally to pregnant rats (at 100 300 a 1000 mg/kg/day) a rabbits (at 125 350 or 700 mg/kg/day) during organogenesis (on Gestation Days 6 through 17 a 6 through 20 respectively). Fetal malformations (increased incidences of fetal anasarca a skeletal malformations) or developmental toxicity (decreased fetal body weight a crown-rump length) were observed in rats at doses up to 1000 mg/kg/day resulting in exposures approximately 35 times the human exposure (AUC) at the RHD. No developmental effects were observed in rats at 100 mg/kg/day resulting in exposures (AUC) 3.5 times the human exposure at the recommended daily dose. In a fertility a early embryofetal development study conducted in rats (at 60 160 or 500 mg/kg/day) embryonic a fetal toxicities (increased resorptions decreased fetal body weights) or toxicities to the offspring (increased incidence of stillbirth a lower body weights) occurred at doses up to 500 mg/kg/day. No developmental effects were observed in rats at 60 mg/kg/day resulting in exposures (AUC) approximately 4 times the human exposure at the RHD. Studies in pregnant rats showed that abacavir is transferred to the fetus through the placenta. In pregnant rabbits no developmental toxicities a no increases in fetal malformations occurred at up to the highest dose evaluated resulting in exposures (AUC) approximately 9 times the human exposure at the RHD.

Lamivudin

Lamivudin was administered orally to pregnant rats (at 90 600 a 4000 mg/kg/day) a rabbits (at 90 300 a 1000 mg/kg/day a at 15 40 a 90 mg/kg/day) during organogenesis (on Gestation Days 7 through 16 [rat] a 8 through 20 [rabbit]). No evidence of fetal malformations due to lamivudine was observed in rats a rabbits at doses producing plasma concentrations (CMAX) approximately 35 times higher than human exposure at the recommended daily dose. Evidence of early embryolethality was seen in the rabbit at systemic exposures (AUC) similar to those observed in humans but there was no indication of this effect in the rat at plasma concentrations (CMAX) 35 times higher than human exposure at the recommended daily dose. Studies in pregnant rats showed that lamivudine is transferred to the fetus through the placenta. In the fertility/pre- a postnatal development study in rats lamivudine was administered orally at doses of 180 900 a 4000 mg/kg/day (from prior to mating through postnatal Day 20). In the study development of the offspring including fertility a reproductive performance were not affected by the maternal administration of lamivudine.

Laktace

Shrnutí rizika

Abacavir dolutegravir a lamivudine are present in human milk. There is no information on the effects of Triumeq or its components on the breastfed infant or the effects of the drug on milk production.

Mezi potenciální rizika kojení patří: (1) přenos HIV-1 (u negativních kojenců HIV-1) (2) vyvinutí virové rezistence (u HIV-1 pozitivních kojenců) a (3) nežádoucích účinků u kojeného dítěte podobného těm, které byly pozorovány u dospělých.

Dětské použití

Klinické údaje podporující použití TRIUMEQ a TRIUMEQ PD u pediatrických pacientů s infekcí HIV-1 ve věku nejméně 3 měsíců o hmotnosti nejméně 6 kg jsou odvozeny z následujících dříve prováděných pediatrických studií pomocí Triumeq a Triumeq PD nebo jednotlivých složek:

  • Bezpečnostní farmakokinetika a Antivirová Aktivita (účinnost) TRIUMEQ a TRIUMEQ PD byla stanovena prostřednictvím otevřené multicentrické klinické studie (Impaact 2019), ve kterém byly HIV-1 infikované léčby nebo léčebné pediatrické subjekty mladší než 12 let a vážily nejméně 6 kg na méně než 40 kg [viz Trueq pdd [viditelná tUREQ nebo Trueq pd a viz tuMeq nebo Trueq pd a Trueq pd a Trueq pdd [Triuq pd s tUREQ nebo TRUMEQ pd a TUREQUQ nebo TRUMEQ nebo TRUMEQ nebo TUREQUQ nebo TUREQUQ nebo TRUMEQ PD. Nežádoucí účinky Klinická farmakologie Klinické studie ].
  • Bezpečnost a účinnost abakaviru a lamivudinu jednou denně byla stanovena s randomizovanou multicentrickou studií (Arrow [Col105677]) v HIV-1 infikované léčby-na ¯ve subjekty ve věku 3 měsíců až 17 let s první linií režimu a lamivudin a lamivudin a viz [viz epzicom [viz [viz [viz [viz epzikom [Viz [viz epogen nebo epzikom [ Nežádoucí účinky Klinické studie ].
  • Bezpečnostní farmakokinetika a Antivirová activity (efficacy) of TIVICAY a TIVICAY PD were established through an ongoing open-label multicenter dose-finding clinical trial (IMPAACT P1093) in which HIV-1â€infected treatment-naive or treatment-experienced INSTI-naive pediatric a adolescent subjects aged 4 weeks to <18 years a weighing at least 3 kg were treated with TIVICAY or TIVICAY PD plus optimized background therapy [vidět Nežádoucí účinky Klinická farmakologie Klinické studie ].
  • Další údaje o farmakokinetice byly hodnoceny ve 2 farmakokinetických náhradách v Odyssey, probíhající s otevřenou značkou randomizovanou neinferioritní studií pro vyhodnocení bezpečnostní účinnosti a farmakokinetických parametrů Tivicay nebo Tivicay PD plus dva nukleosidové reverzní transkriptázy) ve srovnání se standardními inhibitory) ve srovnání se standardním) ve srovnání se standardními) ve srovnání se standardním standardem) ve srovnání se standardním standardem) ve srovnání se standardním standardem) ve srovnání se standardním standardem v inhibitorech) (NRTIS a lamivudin). HIV-1 infikované dětské předměty mladší než 18 let [viz Klinická farmakologie ].

Celkově je profil bezpečnosti a účinnosti TRIUMEQ a TRIUMEQ PD u pediatrických pacientů srovnatelný s profilem pozorovaným u dospělých. O používání lamivudinu u pediatrických pacientů s poškozením ledvin nejsou k dispozici žádná data o použití lamivudinu [viz [viz Dávkování a podávání VAROVÁNÍS AND OPATŘENÍ Nežádoucí účinky Použití v konkrétních populacích Klinická farmakologie Klinické studie ].

U pediatrických pacientů ve věku méně než 3 měsíce nebo vážení méně než 6 kg nebyla stanovena bezpečnost a účinnost TIUMEQ PD.

Geriatrické použití

Klinické studie abakaviru dolutegravir nebo lamivudinu nezahrnovaly dostatečný počet subjektů ve věku 65 let a více, aby se určilo, zda reagují odlišně od mladších subjektů. Obecně by mělo být opatrnosti prováděno při podávání triumeq u starších pacientů, kteří odrážejí větší frekvenci snížené renální nebo srdeční funkce jater a souběžné onemocnění nebo jiné lékové terapie [viz viz Klinická farmakologie ].

Pacienti se zhoršenou funkcí ledvin

Triumeq a Triumeq Pd are not recommended for Pacienti s clearancem kreatininu <30 mL/min a pediatric patients with a similar degree of renal impairment based on ageappropriate assessment of renal function because Triumeq a Triumeq Pd are fixed-dose combinations a the dosage of the individual components cannot be adjusted. If a dose reduction of lamivudine a component of Triumeq a Triumeq Pd is required for Pacienti s clearancem kreatininu <30 mL/min a in pediatric patients with a similar degree of renal impairment based on age-appropriate assessment of renal function then the individual components should be used [vidět Klinická farmakologie ].

Pacienti s clearancem kreatininu mezi 30 a 49 ml/min přijímající triumeq mohou zažít 1,6 až 3,3krát vyšší expozici lamivudinu (AUC) než pacienti s clearance kreatininu ≥ 50 ml/min. Neexistují žádné údaje o bezpečnosti z randomizovaných kontrolovaných studií srovnávajících triumeq s jednotlivými složkami u pacientů s clearance kreatininu mezi 30 a 49 ml/min, kteří dostávali lamivudin upravený dávkou. Kromě toho nejsou k dispozici žádné údaje o použití lamivudinu u pediatrických pacientů s poškozením ledvin. V původních registračních pokusech s lamivudinem v kombinaci se zidovudinem byly vyšší expozice lamivudinu spojeny s vyšší mírou hematologických toxicity (neutropenie a anémie), i když se v důsledku neutropenie nebo anémie vyskytly v důsledku neutropenie nebo anémie <1% of subjects.

Pacienti s trvalou clearance kreatininu mezi 30 a 49 ml/min nebo pediatrickými pacienty s podobným stupněm poškození ledvin založené na věku vhodném posouzení funkce ledvin, kteří dostávají triumeq nebo triumeq PD, by měli být monitorováni na hematologickou toxicitu. Pokud se doporučuje nová nebo zhoršující se neutropenie nebo anémie, vyvine se nastavení dávky lamivudinu na informace o předepisování lamivudinu. Pokud je indikována nastavení dávky lamivudinu nebo by měly být ukončeny triumeq nebo triumeq pd a jednotlivé složky by měly být použity k konstrukci léčebného režimu.

Pacienti se zhoršenou jaterní funkcí

Triumeq a Triumeq Pd are fixed-dose combinations a the dosage of the individual components cannot be adjusted. If a dose reduction of abacavir a component of Triumeq a Triumeq Pd is required for patients with mild hepatic impairment (Child-Pugh Score A) then the individual components should be used [vidět Klinická farmakologie ].

Bezpečnostní účinnost a farmakokinetické vlastnosti abakaviru nebyly stanoveny u pacientů se středním (skóre B) (Child-Pugh B) nebo závažnými (skóre Child-Pugh skóre C) jaterního poškození; Proto jsou u těchto pacientů kontraindikovány Triumeq a Triumeq PD [viz viz Kontraindikace ].

Informace o předávkování pro triumeq

Neexistuje žádná známá specifická léčba předávkování triumeq nebo triumeq PD. Pokud dojde k předávkování, měl by být pacient monitorován a podle potřeby je použito standardní podpůrné léčby.

Dolutegravir

Protože dolutegravir je vysoce vázán na plazmatické proteiny, je nepravděpodobné, že bude výrazně odstraněn dialýzou.

Abacavir

Není známo, zda abakavir může být odstraněn peritoneální dialýzou nebo hemodialýzou.

Lamivudin

Protože zanedbatelné množství lamivudinu bylo odstraněno prostřednictvím (4hodinové) hemodialýzy kontinuální ambulantní peritoneální dialýzy a automatizovaná peritoneální dialýza, není známo, zda by kontinuální hemodialýza poskytla klinickou přínos při předávkové události lamivudinu.

Kontraindikace pro triumeq

Triumeq a Triumeq Pd are contraindicated in patients:

  • kteří mají alelu HLA-B*5701 [viz VAROVÁNÍS AND OPATŘENÍ ].
  • s předchozí reakcí přecitlivělosti na abacavir dolutegravir [viz VAROVÁNÍS AND OPATŘENÍ ] nebo lamivudin.
  • Přijímání dofetilidu v důsledku potenciálu pro zvýšené koncentrace dofetilidové plazmy a riziku závažných a/nebo život ohrožujících událostí se současným použitím dolutegraviru [viz Lékové interakce ].
  • s mírným nebo těžkým poškozením jater [viz Použití v konkrétních populacích ].

Klinická farmakologie for Triumeq

Mechanismus působení

Triumeq a Triumeq Pd are a fixed-dose combination of the HIV-1 antiretroviral agents Abacavir dolutegravir a lamivudin [vidět Mikrobiologie ].

Farmakodynamika

Účinky na elektrokardiogram

Pro Dolutegravir byla provedena důkladná zkouška QT. Nebyly hodnoceny ani účinky abakaviru ani lamivudinu jako jednotlivých entit nebo kombinace abacavir dolutegravir a lamivudinu na intervalu QT.

V randomizovaném placebem kontrolovaném křížovém pokusu 42 zdravých subjektů obdrželo jednodávkové perorální správy placeba dolutegravir 250-mg suspenze (expozice přibližně 3-záhyb 50 mg jednou denně dávky v ustáleném stavu) a moxifloxacin 400 mg) v náhodné sekvenci. Po úpravě základní linie a placeba byla maximální průměrná změna QTC na základě korekční metody Fridericia (QTCF) pro dolutegravir 2,4 ms (jednorázový 95% horní CI: 4,9 ms). DoluteGravir neprodloužil interval QTC po dobu 24 hodin po dávce.

Účinky na funkci ledvin

Účinek dolutegraviru na funkci ledvin byl vyhodnocen v otevřené randomizované 3-ramene paralelním placebem kontrolované studii u zdravých subjektů (n = 37), kteří dostávali dolutegravir 50 mg jednou denně (n = 12) dolutegravir 50 mg dvakrát denně (n = 13) nebo placebo jednou denně (n = 12). Snížení clearance kreatininu, jak bylo stanoveno 24hodinovým sběrem moči, bylo pozorováno s oběma dávkami dolutegraviru po 14 dnech léčby u subjektů, které dostaly 50 mg jednou denně (9% pokles) a 50 mg dvakrát denně (13% pokles). Ani dávka dolutegraviru neměla významný účinek na skutečnou glomerulární filtraci (stanoveno clearancem sonda léčiva Iohexolu) nebo účinným tokem ledviny plazmy (stanoveno clearancem sonda para-amino hipurate).

Farmakokinetika

Farmakokinetika In Adults

Jedna tableta triumeq byla bioekvivalentní k jednomu tabletu dolutegraviru (Tivicay) (50 mg) plus jeden abacavir a lamivudin s pevnou dávkou kombinací (Epzicom) za podmínek nalacích u zdravých subjektů (n = 62).

Triumeq tablets a Triumeq Pd tablets for oral suspension are bioequivalent for the abacavir a lamivudine components but not for the dolutegravir component. The relative dolutegravir bioavailability of Triumeq Pd is approximately 1.7-fold higher than Triumeq; therefore the 2 dosage forms are not substitutable on a milligram-per-milligram basis [vidět Dávkování a podávání VAROVÁNÍS AND OPATŘENÍ ]. The relative dolutegravir bioavailability is expected to be similar between Triumeq Pd a TIVICAY PD.

Abacavir

Po ústním podání je abakavir rychle absorbován a rozsáhle distribuován. Po perorálním podávání jedné dávky 600 mg abakaviru u 20 subjektů byl CMAX 4,26 ± 1,19 mcg/ml (průměr ± SD) a AuC∞ byla 11,95 ± 2,51 mcg • hodina/ml. Vazba abakaviru na lidské plazmatické proteiny je přibližně 50% a byla nezávislá na koncentraci. Celkové koncentrace radioaktivity související s lékem související s krví a plazmatickým léčivem jsou identické, což ukazuje, že abakavir snadno distribuuje do erytrocytů. Primárními trasami eliminace abakaviru jsou metabolismus alkoholem dehydrogenázou za vzniku 5'-karboxylové kyseliny a glukuronyl defferázy za vzniku 5'-glukuronidu. V pokusech s jednou dávkou byl pozorovaný eliminační poločas (T½) 1,54 ± 0,63 hodin. Po intravenózním podání byla celková clearance 0,80 ± 0,24 l/h/kg (průměr ± SD).

Dolutegravir

Po perorálním podávání plazmatických koncentrací dolutegraviru byly pozorovány 2 až 3 hodiny podobení. S dávkováním farmakokinetického ustáleného stavu jednou denně se dosáhne přibližně 5 dnů s průměrným akumulačním poměrem pro AUC CMAX a C24 h v rozmezí od 1,2 do 1,5. Dolutegravir je substrát P-gp in vitro. Absolutní biologická dostupnost dolutegraviru nebyla stanovena. Dolutegravir je vysoce vázán (≥ 98,9%) na lidské plazmatické proteiny založené na in vivo datech a vazba je nezávislá na plazmatické koncentraci dolutegraviru. Zjevný objem distribuce (VD/F) po podání 50 mg se odhaduje na 17,4 l na základě populační farmakokinetické analýzy.

Dolutegravir is primarily metabolized via UGT1A1 with some contribution from CYP3A. After a single oral dose of [ 14 C] Dolutegravir 53% z celkové perorální dávky se vylučuje ve stolici nezměněno. Třicet jedna procent celkové perorální dávky je vylučováno v moči představované etherem glukuronidem dolutegraviru (NULL,9% celkové dávky) metabolit vytvořený oxidací u benzylového uhlíku (NULL,0% celkové dávky) a jeho hydrolytickým N-dealkylačním produktem (NULL,6% celkové dávky). Eliminace léčiva nezměněného ledva byla renální <1% of the dose. Dolutegravir has a terminal half-life of approximately 14 hours a an apparent clearance (CL/F) of 1.0 L/h based on population pharmacokinetic analyses.

Farmakokinetické vlastnosti dolutegraviru byly hodnoceny u zdravých dospělých subjektů a dospělých subjektů infikovaných HIV-1. Expozice dolutegraviru byla obecně podobná mezi zdravými subjekty a infikovanými subjekty HIV-1.

Tabulka 7: Odhady farmakokinetického parametru dolutegraviru u dospělých na infikovaných HIV-1

Parametr 50 mg jednou denně geometrický průměr (%CV)
AUC (0-24) (McG^H/Ml) 53.6 (27)
CMAX (MCG/ML) 3.67 (20)
CMIN (MCG/ML) 1.11 (46)

Cerebrospinální tekutina (CSF)

U 11 léčebných subjektů na dolutegraviru 50 mg denně plus abacavir/lamivudin Střední koncentrace dolutegraviru v CSF byla 18 ng/ml (rozmezí: 4 ng/ml až 23,2 ng/ml) 2 až 6 hodin po dávce po 2 týdnech léčby. Klinický význam tohoto zjištění nebyl stanoven.

Lamivudin

Po perorálním podání je lamivudin rychle absorbován a rozsáhle distribuován. Po vícenásobném perorálním podávání lamivudinu 300 mg jednou denně po dobu 7 dnů až 60 zdravých subjektů CMAX (CMAXSS) bylo 2,04 ± 0,54 mcg/ml (průměr ± SD) a 24hodinová AUC v ustáleném stavu (AUC24S) byla 8,87 ± 1,83 mcg • hodina/ml. Vazba na plazmatický protein je nízká. Přibližně 70% intravenózní dávky lamivudinu je získáno jako nezměněný lék v moči. Metabolismus lamivudinu je menší cestou eliminace. U lidí je jediným známým metabolitem metabolit trans-sulfoxidy (přibližně 5% perorální dávky po 12 hodinách). Ve většině pokusů s jednou dávkou se vzorkováním plazmy do 48 nebo 72 hodin po podání pozorovaného průměrného eliminačního poločasu (T½) se pohyboval od 13 do 19 hodin. U HIV-1 infikovaných subjektů byla celková clearance 398,5 ± 69,1 ml/min (průměr ± SD).

Vliv potravy na absorpci orální

Triumeq or Triumeq Pd may be taken with or without food. Overall when compared with fasted conditions administration of Triumeq to healthy adult subjects with a high-fat meal  (53% fat 869 calories) resulted in decreased CMAX for abacavir a increased CMAX a AUC for dolutegravir. Lamivudin exposures were not affected by food. With a high-fat meal the CMAX of abacavir decreased 23% a the CMAX a AUC of dolutegravir increased 37% a 48% respectively. When compared with fasted conditions administration of Triumeq Pd to healthy adult subjects with a high-fat meal (50% fat 917 calories) resulted in decreased CMAX for abacavir (55%) dolutegravir (29%) a lamivudine (36%). AUCs for all 3 components were not affected by food.

Konkrétní populace

Pacienti s poškozením ledvin

Farmakokinetika pro jednotlivé složky Triumeq a Triumeq PD byla hodnocena u pacientů s poruchou ledvin (viz americká předepisování informací o jednotlivých abacavir dolutegraviru a lamivudinových složkách).

Pacienti s poškozením jater

Farmakokinetika pro jednotlivé složky triumeq a Triumeq PD byla hodnocena u pacientů s různým stupněm jaterního poškození (viz informace o předepisování USA pro jednotlivé abacavir dolutegravir a lamivudinové složky).

Těhotné ženy

Abacavir

Abacavir pharmacokinetics were studied in 25 pregnant women during the last trimester of pregnancy receiving abacavir 300 mg twice daily. Abacavir exposure (AUC) during pregnancy was similar to those in postpartum a in HIV-infected non-pregnant historical controls. Consistent with passive diffusion of abacavir across the placenta abacavir concentrations in neonatal plasma cord samples at birth were essentially equal to those in maternal plasma at delivery.

Lamivudin

Lamivudin pharmacokinetics were studied in 36 pregnant women during 2 clinical trials conducted in South Africa. Lamivudin pharmacokinetics in pregnant women were similar to those seen in non-pregnant adults a in postpartum women. Lamivudin concentrations were generally similar in maternal neonatal a umbilical cord serum samples.

Pediatričtí pacienti

Farmakokinetika Triumeq Triumeq PD (abacavir dolutegravir a lamivudin) a jejich jednotlivé složky byly hodnoceny u pediatrických subjektů.

Abacavir Dolutegravir And Lamivudin

Farmakokinetika Triumeq a Triumeq PD byla vyhodnocena v pokusu Ipartuact 2019. Expozice plazmy v ustáleném stavu v dávkách hmotnosti je shrnuta v tabulce 8 [viz Použití v konkrétních populacích Klinické studie ].

Celkové expozice abakaviru dolutegravir a lamivudinu v doporučených dávkách pro triumeq PD a Triumeq jsou v rámci pozorovaných expozičních rozsahů v doporučených dávkách jednotlivých produktů u dospělých a pediatrie. Informace o farmakokinetické informace o lamivudinu dolutegraviru a abakaviru u pediatrických pacientů naleznete v předepisovacích informacích.

Tabulka 8: Shrnutí farmakokinetických parametrů u pediatrických subjektů HIV-1 (Impaact 2019 Trial)

Lék Hmotnostní pás Dávka a jednotlivých entit v Triumeq nebo Triumeq PD n Farmakokinetický parametr Geometrický průměr (%CV)
CMAX (MCG/ML) AUC0-24H (MCG • H/ML) C24H (ng/ml)
Abacavir 6 až <10 kg 180 mg jednou denně triumeq pd 7 7.30 (20) 17.7 (34) 3 (128)
10 až <14 kg 240 mg jednou denně triumeq pd 7 8.36 (44) 19.8 (51) 5 (127)
14 až <20 kg 300 mg jednou denně triumeq pd 7 6.26 (31) 15.1 (40) 3 (108)
20 až <25 kg 360 mg jednou denně triumeq pd 7 6.65 (28) 17.4 (19) 4 (85)
25 až <40 kg 600 mg jednou denně triumeq 7 9.04 (22) 25.7 (15) 11 (229)
Dolutegravir 6 až <10 kg 15 mg jednou denně triumeq pd 7 7.40 (28) 75,9 (34) 910 (68)
10 až <14 kg 20 mg jednou denně triumeq pd 7 8.85 (21) 91.0 (36) 1220 (77)
14 až <20 kg 25 mg jednou denně triumeq pd 7 7.04 (17) 71.4 (23) 790 (44)
20 až <25 kg 30 mg jednou denně triumeq pd 7 7.29 (17) 84.4 (26) 1350 (95)
25 až <40 kg 50 mg jednou denně triumeq 7 6.25 (21) 71.8 (14) 980 (28)
Lamivudin 6 až <10 kg 90 mg jednou denně triumeq pd 7 2.29 (40) 10.7 (46) 55 (39)
10 až <14 kg 120 mg jednou denně triumeq pd 7 3.55 (19) 14.2 (24) 46 (48)
14 až <20 kg 150 mg jednou denně triumeq pd 7 2.92 (23) 13.0 (16) 58 (37)
20 až <25 kg 180 mg jednou denně triumeq pd 7 2.99 (32) 14.5 (17) 60 (18)
25 až <40 kg 300 mg jednou denně triumeq 7 4.15 (29) 21.7 (26) 84 (35)
%Variačního koeficientu CV vyjádřeného jako procento.
a Relativní biologická dostupnost dolutegraviru tablet Triumeq PD pro perorální suspenzi je ~ 1,7-odolba tablet Triumeq.
Geriatričtí pacienti

Analýzy populace využívající sdružené farmakokinetické údaje z pokusů pro dospělé naznačují, že věk nemá klinicky relevantní účinek na farmakokinetiku dolutegraviru. Farmakokinetika abakaviru nebo lamivudinu nebyla studována u subjektů starších 65 let.

Pacienti s muži a ženy

Neexistují žádné významné nebo klinicky relevantní genderové rozdíly ve farmakokinetice jednotlivých složek (dolutegravir abacavir nebo lamivudin) na základě dostupných informací, které byly analyzovány pro každou jednotlivou komponenty.

Rasové skupiny

Neexistují žádné významné nebo klinicky relevantní rasové rozdíly ve farmakokinetice jednotlivých složek (dolutegravir abacavir nebo lamivudin) na základě dostupných informací, které byly analyzovány pro každou z jednotlivých složek.

Lék Interaction Studies

Popsané studie léčiva byly provedeny s dolutegravirem abacavirem a/nebo lamivudinem jako jednotlivé entity; Nebyly provedeny žádné studie interakce léčiva pomocí kombinace abakaviru dolutegravir a lamivudinu. Mezi dolutegravirem abacavirem a lamivudinem se neočekávají žádné klinicky významné lékové interakce.

Doporučení dávkování v důsledku zavedených a dalších potenciálně významných interakcí s léčivem léčiva s jednotlivými složkami Triumeq a Triumeq PD jsou uvedena v části 7.3 [viz viz Lékové interakce ].

Tabulka 9: Shrnutí účinku dolutegraviru na farmakokinetiku spolupracovních drog

Společný podávání drogy(s) a Dávka(s) Dávka of Dolutegravir n Geometrický průměrný poměr (90% CI) farmakokinetických parametrů copodministerovaného léčiva s/bez dolutegraviru bez účinku = 1,00
CMAX AUC Cτ nebo C24
Ethinylstradiol 0,035 mg 50 mg dvakrát denně 15 0.99
(NULL,91 až 1,08)
1.03
(NULL,96 až 1,11)
1.02
(NULL,93 až 1,11)
Metformin 500 mg twice daily 50 mg jednou denně 15 a 1.66
(NULL,53 až 1,81)
1.79
(NULL,65 až 1,93)
-
Metformin 500 mg twice daily 50 mg dvakrát denně 15 a 2.11
(NULL,91 až 2,33)
2.45
(NULL,25 až 2,66)
-
Metadon 16 až 150 mg 50 mg dvakrát denně 11 1.00
(NULL,94 až 1,06)
0.98
(NULL,91 až 1,06)
0.99
(NULL,91 až 1,07)
Midazolam 3 mg 25 mg jednou denně 10 - 0.95
(NULL,79 až 1,15)
-
Norelgestromin 0,25 mg 50 mg dvakrát denně 15 0.89
(NULL,82 až 0,97)
0.98
(NULL,91 až 1,04)
0.93
(NULL,85 až 1,03)
Rilpivirin 25 mg jednou denně 50 mg jednou denně 16 1.10
(NULL,99 až 1,22)
1.06
(NULL,98 až 1,16)
1.21
(NULL,07 až 1,38)
Tenofovir disoproxil fumarát 300 mg jednou denně 50 mg jednou denně 15 1.09
(NULL,97 až 1,23)
1.12
(NULL,01 až 1,24)
1.19
(NULL,04 až 1,35)
a Počet subjektů představuje maximální počet hodnocených subjektů.

Tabulka 10: Shrnutí účinku spolupracovních léků na farmakokinetiku dolutegraviru

Společný podávání drogy(s) a Dávka(s) Dávka of Dolutegravir n Geometrický průměrný poměr (90% CI) farmakokinetických parametrů dolutegraviru s/bez spolkovaných léků bez účinku = 1,00
CMAX AUC Cτ nebo C24
Atazanavir 400 mg jednou denně 30 mg jednou denně 12 1.50
(NULL,40 až 1,59)
1.91
(NULL,80 až 2,03)
2.80
(NULL,52 až 3.11)
Atazanavir/ritonavir 300/100 mg jednou denně 30 mg jednou denně 12 1.34
(NULL,25 až 1,42)
1.62
(NULL,50 až 1,74)
2.21
(NULL,97 až 2,47)
Darunavir/ritonavir 600/100 mg dvakrát denně 30 mg jednou denně 15 0.89
(NULL,83 až 0,97)
0.78
(NULL,72 až 0,85)
0.62
(NULL,56 až 0,69)
Efavirenz 600 mg jednou denně 50 mg jednou denně 12 0.61
(NULL,51 až 0,73)
0.43
(NULL,35 až 0,54)
0.25
(NULL,18 až 0,34)
Etravirin 200 mg dvakrát denně 50 mg jednou denně 16 0.48
(NULL,43 až 0,54)
0.29
(NULL,26 až 0,34)
0.12
(NULL,09 až 0,16)
Etravirin darunavir/ritonavir 200 mg 600/100 mg dvakrát denně 50 mg jednou denně 9 0.88
(NULL,78 až 1,00)
0.75
(NULL,69 až 0,81)
0.63
(NULL,52 až 0,76)
Etravirin lopinavir/ritonavir 200 mg 400/100 mg dvakrát denně 50 mg jednou denně 8 1.07
(NULL,02 až 1,13)
1.11
(NULL,02 až 1,20)
1.28
(NULL,13 až 1,45)
Fosamprenavir/ritonavir 700 mg/100 mg dvakrát denně 50 mg jednou denně 12 0.76
(NULL,63 až 0,92)
0.65
(NULL,54 až 0,78)
0.51
(NULL,41 až 0,63)
Lopinavir/ritonavir 400/100 mg dvakrát denně 30 mg jednou denně 15 1.00
(NULL,94 až 1,07)
0.97
(NULL,91 až 1,04)
0.94
(NULL,85 až 1,05)
Rilpivirin 25 mg jednou denně 50 mg jednou denně 16 1.13
(NULL,06 až 1,21)
1.12
(NULL,05 až 1,19)
1.22
(NULL,15 až 1,30)
Tenofovir 300 mg jednou denně 50 mg jednou denně 15 0.97
(NULL,87 až 1,08)
1.01
(NULL,91 až 1,11)
0.92
(NULL,82 až 1,04)
Tipranavir/ritonavir 500/200 mg dvakrát denně 50 mg jednou denně 14 0.54
(NULL,50 až 0,57)
0.41
(NULL,38 až 0,44)
0.24
(NULL,21 až 0,27)
Antacid
(Maalox) Souběžné podávání
50 mg jediná dávka 16 0.28
(NULL,23 až 0,33)
0.26
(NULL,22 až 0,32)
0.26
(NULL,21 až 0,31)
Antacid
(Maalox) 2 hodiny po dolutegraviru
50 mg jediná dávka 16 0.82
(NULL,69 až 0,98)
0.74
(NULL,62 až 0,90)
0.70
(NULL,58 až 0,85)
Boceprevir 800 mg každých 8 hodin 50 mg jednou denně 13 1.05
(NULL,96 až 1,15)
1.07
(NULL,95 až 1,20)
1.08
(NULL,91 až 1,28)
Uhličitan vápenatý 1200 mg Současné podávání
(pozemky)
50 mg jediná dávka 12 0.63
(NULL,50 až 0,81)
0.61
(NULL,47 až 0,80)
0.61
(NULL,47 až 0,80)
Uhličitan vápenatý 1200 mg Současné podávání
(Fed)
50 mg jediná dávka 11 1.07
(NULL,83 až 1,38)
1.09
(NULL,84 až 1,43)
1.08
(NULL,81 až 1,42)
Uhličitan vápenatý 1200 mg 2 hodiny po dolutegraviru 50 mg jediná dávka 11 1.00
(NULL,78 až 1,29)
0.94
(NULL,72 až 1,23)
0.90
(NULL,68 až 1,19)
Karbamazepin 300 mg twice daily 50 mg jednou denně 16 c 0.67
(NULL,61 až 0,73)
0.51
(NULL,48 až 0,55)
0.27
(NULL,24 až 0,31)
Fumarát železitý 324 mg Souběžné podávání
(pozemky)
50 mg jediná dávka 11 0.43
(NULL,35 až 0,52)
0.46
(NULL,38 až 0,56)
0.44
(NULL,36 až 0,54)
Fumarát železitý 324 mg Souběžné podávání
(Fed)
50 mg jediná dávka 11 1.03
(NULL,84 až 1,26)
0.98
(NULL,81 až 1,20)
1.00
(NULL,81 až 1,23)
Fumarát železnice 324 mg 2 h po dolutegraviru 50 mg jediná dávka 10 0.99
(NULL,81 až 1,21)
0.95
(NULL,77 až 1,15)
0.92
(NULL,74 až 1,13)
Multivitamin
(Jeden den) Současná správa
50 mg jediná dávka 16 0.65
(NULL,54 až 0,77)
0.67
(NULL,55 až 0,81)
0.68
(NULL,56 až 0,82)
Omeprazol 40 mg jednou denně 50 mg jediná dávka 12 0.92
(NULL,75 až 1,11)
0.97
(NULL,78 až 1,20)
0.95
(NULL,75 až 1,21)
Prednison 60 mg jednou denně se zúžením 50 mg jednou denně 12 1.06
(NULL,99 až 1,14)
1.11
(NULL,03 až 1,20)
1.17
(NULL,06 až 1,28)
Rifampin a 600 mg jednou denně 50 mg dvakrát denně 11 0.57
(NULL,49 až 0,65)
0.46
(NULL,38 až 0,55)
0.28
(NULL,23 až 0,34)
Rifampin b 600 mg jednou denně 50 mg dvakrát denně 11 1.18
(NULL,03 až 1,37)
1.33
(NULL,15 až 1,53)
1.22
(NULL,01 až 1,48)
Rifabutin 300 mg jednou denně 50 mg jednou denně 9 1.16
(NULL,98 až 1,37)
0.95
(NULL,82 až 1,10)
0.70
(NULL,57 až 0,87)
a Srovnání je rifampin užíván s dolutegravirem 50 mg dvakrát denně ve srovnání s dolutegravirem 50 mg dvakrát denně.
b Srovnání je rifampin užíván s dolutegravirem 50 mg dvakrát denně ve srovnání s dolutegravirem 50 mg jednou denně.
c Počet subjektů představuje maximální počet hodnocených subjektů.
Abacavir Or Lamivudin

Popsané interakce léčiva jsou založeny na pokusech prováděných s abakavirem nebo lamivudinem jako jednotlivé entity.

Účinek abakaviru a lamivudinu na farmakokinetiku jiných agentů

In vitro studies have shown that abacavir has potential to inhibit CYP1A1 a limited potential to inhibit metabolism mediated by CYP3A4. Lamivudin does not inhibit or induce CYP3A4. Abacavir a lamivudine do not inhibit or induce other CYP enzymes (such as CYP2C9 or CYP2D6). Based on in vitro study results abacavir a lamivudine at therapeutic drug exposures are not expected to affect the pharmacokinetics of drugs that are substrates of the following transporters: OATP1B1/3 BCRP or P-gp OCT1 OCT2 OCT3 (lamivudine only) or MATE1 a MATE2-K.

Abacavir Dolutegravir And Lamivudin

Společné podávání jedné dávky riociguat (NULL,5 mg) na HIV-1 infikované subjekty, které dostávají triumeq, se zvyšuje RioCiguat AUC (∞) ve srovnání s riociguat AUC (∞) hlášené u CYP1A1 inhibice abacir. Přesná velikost zvýšení expozice Riociguat nebyla plně charakterizována na základě zjištění ze dvou studií [viz Lékové interakce ].

Vliv jiných agentů na farmakokinetiku abakaviru nebo lamivudinu

In vitro abacavir is not a substrate of OATP1B1 OATP1B3 OCT1 OCT2 OAT1 MATE1 MATE2-K MRP2 or MRP4; therefore drugs that modulate these transporters are not expected to affect abacavir plasma concentrations. Abacavir is a substrate of BCRP a P-gp in vitro; however considering its absolute bioavailability (83%) modulators of these transporters are unlikely to result in a clinically relevant impact on abacavir concentrations.

Lamivudin is a substrate of MATE1 MATE2-K a OCT2 in vitro. Trimethoprim (an inhibitor of these drug transporters) has been shown to increase lamivudine plasma concentrations. This interaction is not considered clinically significant as no dose adjustment of lamivudine is needed.

Lamivudin is a substrate of P-gp a BCRP; however considering its absolute bioavailability (87%) it is unlikely that these transporters play a significant role in the absorption of lamivudine. Therefore coadministration of drugs that are inhibitors of these efflux transporters is unlikely to affect the disposition a elimination of lamivudine.

Ethanol

Abacavir has no effect on the pharmacokinetic properties of ethanol. Ethanol decreases the elimination of abacavir causing an increase in overall exposure.

Interferon Alfa

V pokusu s 19 zdravými mužskými subjekty nedošlo k žádné významné farmakokinetické interakci mezi lamivudinem a interferonem alfa.

Metadon

Ve studii 11 infikovaných subjektů HIV-1, kteří dostávali terapii na údržbu metadonu (40 mg a 90 mg denně) s 600 mg abakaviru dvakrát denně (dvojnásobná v současné době doporučená dávka) orální metadonový clearance se zvýšila 22% (90% CI: 6% až 42%) [Viz) [Viz) [Viz) Lékové interakce ]. The addition of methadone has no clinically significant effect on the pharmacokinetic properties of abacavir.

Ribavirin

In vitro data indicate ribavirin reduces phosphorylation of lamivudine stavudine a zidovudine. However no pharmacokinetic (e.g. plasma concentrations or intracellular triphosphorylated active metabolite concentrations) or pharmacodynamic (e.g. loss of HIV-1/HCV [hepatitis C virus] virologic suppression) interaction was observed when ribavirin a lamivudine (n = 18) stavudine (n = 10) or zidovudine (n = 6) were coadministered as part of a multi-drug regimen to HIV-1/HCV co-infected subjects.

Sorbitol (Excipient)

Lamivudin a sorbitol solutions were coadministered to 16 healthy adult subjects in an open-label raomized-sequence 4-period crossover trial. Each subject received a single 300-mg dose of lamivudine oral solution alone or coadministered with a single dose of 3.2 g 10.2 g or 13.4 g of sorbitol in solution. Coadministration of lamivudine with sorbitol resulted in dose-dependent decreases of 20% 39% a 44% in the AUC(0-24); 14% 32% a 36% in the AUC(∞); a 28% 52% a 55% in the CMAX; of lamivudine respectively.

Abacavir Lamivudin Zidovudine

Patnáct infikovaných subjektů HIV-1 bylo zapsáno do průchodové studie interakce s léčivem, která hodnotila jednotlivé dávky abakaviru (600 mg) lamivudinu (150 mg) a zidovudinu (300 mg) samostatně nebo v kombinaci. Analýza neprokázala žádné klinicky relevantní změny ve farmakokinetice abakaviru s přidáním lamivudinu nebo zidovudinu nebo kombinací lamivudinu a zidovudinu. Expozice lamivudinu (AUC se snížila o 15%) a expozice zidovudinu (zvýšená AUC 10%) nevykazovala klinicky relevantní změny se souběžným abakavirem.

Lamivudin And Zidovudine

U 12 asymptomatických dospělých pacientů infikovaných HIV-1 byly pozorovány žádné klinicky významné změny ve farmakokinetice lamivudinu nebo zidovudinu (300 mg každých 12 hodin).

Účinky jiných společně podávaných léků na abakavir nebo lamivudin jsou uvedeny v tabulce 11.

Tabulka 11: Účinek spolkovaných drog na abakavir nebo lamivudin

Společný podávání drogy a Dávka Lék a Dávka n Koncentrace abakaviru nebo lamivudinu Koncentrace spolkovaného léku
AUC Variabilita
Ethanol 0.7 g/kg Abacavir Single 600 mg 24 ↑ 41% 90% CI: 35% je 48% a
Nelfinavir 750 mg každých 8 h x 7 až 10 dní Lamivudin Single 150 mg 11 ↑ 10% 95% CI: 1% je 20%
Trimethoprim 160 mg/ sulfamethoxazol 800 mg denně x 5 dnů Lamivudin Single 300 mg 14 ↑ 43% 90% CI: 32% je 55%
↑ = zvýšení; ↔ = žádná významná změna.
a Interakce léčiva léčiva byla hodnocena pouze u mužů.

Mikrobiologie

Mechanismus působení

Dolutegravir

Dolutegravir inhibits HIV integrase by binding to the integrase active site a blocking the stra transfer step of retroviral DNA integration which is essential for the HIV replication cycle. Stra transfer biochemical assays using purified recombinant HIV-1 integrase a pre-processed substrate DNA resulted in IC50 values of 2.7 nM a 12.6 nM.

Abacavir

Abacavir is a carbocyclic synthetic nucleoside analogue. Abacavir is converted by cellular enzymes to the active metabolite carbovir triphosphate (CBV-TP) an analogue of deoxyguanosine-5'-triphosphate (dGTP). CBV-TP inhibits the activity of HIV-1 reverse transcriptase (RT) both by competing with the natural substrate dGTP a by its incorporation into viral DNA.

Lamivudin

Lamivudin is a synthetic nucleoside analogue. Intracellularly lamivudine is phosphorylated to its active 5'-triphosphate metabolite lamivudine triphosphate (3TC-TP). The principal mode of action of 3TC-TP is inhibition of RT via DNA chain termination after incorporation of the nucleotide analogue.

Antivirová aktivita v buněčné kultuře

Dolutegravir

Dolutegravir exhibited Antivirová activity against laboratory strains of wild-type HIV-1 with mean concentration of drug necessary to affect viral replication by 50% (EC50) values of 0.5 nM (0.21 ng/mL) to 2.1 nM (0.85 ng/mL) in peripheral blood mononuclear cells (PBMCs) a MT-4 cells. Dolutegravir exhibited Antivirová activity against 13 clinically diverse clade B isolates with a median EC50 value of 0.54 nM (range: 0.41 to 0.60 nM) in a viral susceptibility assay using the integrase coding region from clinical isolates. Dolutegravir demonstrated Antivirová activity in cell culture against a panel of HIV-1 clinical isolates with median EC50 values of 0.18 nM (n = 3 range: 0.09 to 0.5 nM) 0.08 nM (n = 5 range: 0.05 to 2.14 nM) 0.12 nM (n = 4 range: 0.05 to 0.51 nM) 0.17 nM (n = 3 range: 0.16 až 0.35 nM) 0.24 nM (n = 3 range: 0.09 to 0.32 nM) 0.17 nM (n = 4 range: 0.07 to 0.44 nM) 0.2 nM (n = 3 range: 0.02 to 0.87 nM) a 0.42 nM (n = 3 range: 0.41 to 1.79 nM) for clades A B C D E F a G a group O viruses respectively. Dolutegravir EC50 values against three HIV-2 clinical isolates in PBMC assays ranged from 0.09 nM to 0.61 nM.

Abacavir

Antivirová aktivita abakaviru proti HIV-1 byla hodnocena v řadě buněčných linií včetně primárních monocytů/makrofágů a PBMC. Hodnoty EC50 se pohybovaly od 3700 do 5800 nm (1 nm = 0,28 ng/ml) a 70 až 1000 nm proti HIV-1IIIB a HIV-1BAL, a průměrná hodnota EC50 byla 260 ± 180 nm proti 8 klinickým izolátům. Střední hodnoty EC50 abakaviru byly 344 nm (rozmezí: 14,8 až 676 nm) 16,9 nm (rozmezí: 5,9 až 27,9 nm) 8,1 nm (rozmezí: 1,5 až 16,7 nm) 356 nm (rozsah: 35,7 až 396 nm) 105 nm (rozsah: 28,1 až 168 nm) NM (rozmezí: 7,1 až 177 nm) a 282 nm (rozmezí: 22,4 až 598 nm) proti virům HIV-1 A-G a skupinové O viry (n = 3 kromě n = 2 pro kladu B). Hodnoty EC50 proti izolátům HIV-2 (n = 4) se pohybovaly od 24 do 490 nm.

Lamivudin

Antivirová aktivita lamivudinu proti HIV-1 byla hodnocena v řadě buněčných linií včetně monocytů a PBMC pomocí standardních testů citlivosti. Hodnoty EC50 byly v rozmezí 3 až 15 000 nm (1 nm = 0,23 ng/ml). Střední hodnoty EC50 lamivudinu byly 60 nm (rozmezí: 20 až 70 nm) 35 nm (rozmezí: 30 až 40 nm) 30 nm (rozmezí: 20 až 90 nm) 20 nm (rozmezí: 3 až 40 nm) 30 nm (rozmezí 30 nm) a proti 90 nm): 20 až 90 nm) HIV-1 Clades A-G a skupinové O viry (n = 3 kromě n = 2 pro kladu B). Hodnoty EC50 proti izolátům HIV-2 (n = 4) od 3 do 120 nm v PBMC. Ribavirin (50000 nm) použitý při léčbě chronické infekce HCV snížil aktivitu lamivudinu proti HIV-1 3,5krát v buňkách MT-4.

Antivirová aktivita v kombinaci s jinými antivirovými látkami

Ani abakavir ani lamivudin dolutegravir nebyl antagonistický vůči všem testovaným anti-HIV látkám. Viz úplné informace o předepisování pro Ziagen (Abacavir) Tivicay (Dolutegravir) a Epivir (lamivudin).

Odolnost v buněčné kultuře

Dolutegravir

Dolutegravir-resistant viruses were selected in cell culture starting from different wild-type HIV-1 strains a clades. Amino acid substitutions E92Q G118R S153F or Y G193E or R263K emerged in different passages a conferred decreased susceptibility to dolutegravir of up to 4-fold.

Abacavir And Lamivudin

HIV-1 isolates with reduced susceptibility to the combination of abacavir a lamivudine have been selected in cell culture with amino acid substitutions K65R L74V Y115F a M184V/I in HIV-1 RT. M184V or I substitutions resulted in high-level resistance to lamivudine a approximately 2-fold decrease in susceptibility to abacavir.  Substitutions K65R L74V or Y115F with M184V or I conferred a 7- to 8-fold reduction in abacavir susceptibility a combinations of three substitutions were required to confer more than an 8-fold reduction in susceptibility.

Odpor u klinických subjektů

Žádné subjekty v léčebném rameni přijímajícím dolutegravir epzicom v jednom (léčebné zkoušce) neměly detekovatelné snížení náchylnosti k dolutegraviru nebo pozadí NRTI v podmnožině analýzy rezistence (n = 11 s HIV-1 RNA> 400 kopií/ML ML nebo poslední návštěvou). Dva subjekty virologického selhání v jednotlivých subjektech s léčbou G/D/E193D a G193G/E integrázy v týdnu 84 a týden 108 a 1 subjekt s 275 kopií/ml HIV-1 RNA neměl ošetřovatelskou instituci instituci ve 24. týdnu. Žádný z těchto subjektů neměl deníky dolované substituce. Žádná genotypová rezistence na abakaviru a lamivudinu v oblasti Triumeq a Triumeq PD nebyla pozorována genotypová rezistence na abakavir a lamivudinové složky Triumeq a Triumeq PD v rámci dolutegraviru Epzicom v jediném pokusu do jediného týdne 144. Jeden Art-Naãve Subject, který dostává Triumeq Pd v postižení v týdnu 24. týdne v týdnu 24. Týden, který byl postižen, je náplň. Týden 48 během pokračujícího studijního léčby. Vstupní vzorek subjektu (HIV-1 subtyp AE) měl přítomnost polymorfismu L74I na substituce L74I. Genotypové sekvenování a fenotypové analýzy selhaly při potvrzeném časovém bodě virologického selhání pro tento subjekt.

Cross-Resistence

Dolutegravir

Mezi institucí byla pozorována zkřížená rezistence. Jednotlivé substituce rezistence na instituci T66K I151L a S153Y udělily> 2krát pokles citlivosti dolutegraviru (rozmezí: 2,3krát až 3,6krát od reference). Combinations of multiple substitutions T66K/L74M E92Q/N155H G140C/Q148R G140S/Q148H R or K Q148R/N155H T97A/G140S/Q148 and substitutions at E138/G140/Q148 showed a > 2-fold decrease in dolutegravir susceptibility (range: 2,5krát až 21krát z reference). V mutantách HIV-2 kombinace substitucí A153G/N155H/S163G a E92Q/T97A/N155H/S163D udělily 4násobné snížení náchylnosti k dolutegraviru a respektive empressibility a o 17 foldových snižováním a respektive se snížily.

Abacavir And Lamivudin

Mezi NRTI byla pozorována zkřížená rezistence. Kombinace abacaviru/lamivudinu prokázala sníženou náchylnost k virům s substitucí K65R s nebo bez substitucí M184V/I s L74V plus substitucí M184V/I a viry s thymidinem Analogovou mutací (TAM) (TAM) (M41L D67N K70R L210W T215Y/F K219). E/R/H/Q/N) plus M184V. Rostoucí počet TAM je spojen s progresivním snížením abakavirové citlivosti.

Toxikologie zvířat a/nebo farmakologie

Degenerace myokardu byla nalezena u myší a potkanů ​​po podání abakaviru po dobu 2 let. Systémové expozice byly ekvivalentní 7 až 21násobku očekávané systémové expozice u lidí v dávce 600 mg. Klinický význam tohoto zjištění nebyl stanoven.

Klinické studie

Dospělé subjekty

Účinnost triumeq je podporována údaji z randomizované kontrolované studie (dvojitý pomlčku přes 96 týdnů a otevřenou fází od 96 do 144 týdnů) u antiretrovirových léčebných, subjektů (ING114467 NCT01263015) a dalších pokusech v subjektech léčby. Viz úplné informace o předepisování Tivicay. Účinnost dolutegraviru v kombinaci s nejméně dvěma aktivními režimy na pozadí u instinaivních subjektů se zkušenostmi s léčbou je podporována údaji z plachtění (ING11762 NCT01231516) (viz předepisovací informace pro Tivicay).

Neopravené subjekty

U jednotlivých 833 subjektů bylo randomizováno a obdrženo alespoň 1 dávku buď Tivicay 50 mg jednou denně s abakavirem s pevnou dávkou a lamivudinem (epzicom) nebo efavirenz/emtricitabinem/emtricitabinem/emtricilem (ATRIPLA). Na začátku byl průměrný věk subjektů 35 let 16% žen 32% nebílých 7%, měl koinfekci hepatitidy C (hepatitida B virus virus byla vyloučena ko-infekce viru, 4%) bylo CDC třídy C (AIDS) 32% 32% mělo HIV-1 RNA> 100 000 kopií a 53% a 53% CD4 buňky CULL. <350 cells/mm³; these characteristics were similar between treatment groups.

Týden 144 (Analýza otevřené fáze, která následovala po týdnu 96 Dvojitá slepá fáze) Výsledky pro Single jsou uvedeny v tabulce 12.

Tabulka 12: â

Tivicay Epzicom Jednou denně
(n = 414)
Atripla Jednou denně
(n = 419)
HIV-1 RNA <50 copies/mL 71% 63%
Rozdíl léčby a 8,3% (95% CI: 2,0% 14,6%) d
Virologická neodpovídání 10% 7%
Data in window not <50 copies/mL 4% <1%
Ukončené pro nedostatek účinnosti 3% 3%
Ukončené z jiných důvodů, i když nebyly potlačeny 3% 4%
Žádná virologická data 18% 30%
Důvody
Ukončená studie/studie léčiva kvůli nežádoucí události nebo smrti b 4% 14%
Ukončená studie/studie léčiva z jiných důvodů c 12% 13%
Chybějící data během okna, ale ve studiu 2% 3%
Podíl (%) subjektů s HIV-1 RNA <50 copies/mL by Baseline Category
Virová zátěž v plazmě (kopie/ml)
≤ 100 000 73% 64%
≥ 100 000 69% 61%
Pohlaví
Samec 72% 66%
Žena 69% 48%
Rasa
Bílý 72% 71%
Africké americké/africké dědictví/jiné 71% 47%
a Upraveno o předem specifikované stratifikační faktory.
b Zahrnuje subjekty, které ukončily kvůli nepříznivé události nebo smrti v každém časovém bodě, pokud to nevedlo k žádným virologickým údajům o léčbě během okna analýzy.
c Jiné zahrnuje důvody, jako je ztráta souhlasu s následným přesunem a odchylkou protokolu.
d Primární koncový bod byl hodnocen v týdnu 48 a virologická úspěšnost byla 88% ve skupině, která dostávala Tivicay, a 81% ve skupině ATRIPLA s rozdílem léčby 7,4% a 95% CI (NULL,5% 12,3%).

Rozdíl léčbys were maintained across baseline characteristics including baseline viral load CD4+ cell count age gender a race. The adjusted mean changes in CD4+ cell counts from baseline were 378 cells/mm³ in the group receiving Tivicay Epzicom a 332 cells/mm³ for the Atripla group at 144 weeks. The adjusted difference between treatment arms a 95% CI was 46.9 cells/mm³ (15.6 cells/mm³ 78.2 cells/mm³) (adjusted for prespecified stratification factors: baseline HIV-1 RNA a baseline CD4+ cell count).

Zkušenosti léčby

Při plavbě bylo v analýzách účinnosti a bezpečnosti zahrnuto 715 subjektů (viz úplné informace o předepisování pro Tivicay). V týdnu 48 71% subjektů randomizovaných na Tivicay plus režim na pozadí versus 64% subjektů randomizovaných do Raltegraviru plus režim na pozadí mělo HIV-1 RNA <50 copies/mL (treatment difference a 95% CI: 7.4% [0.7% 14.2%]).

Dětské předměty

Účinnost Triumeq Triumeq PD a/nebo jejich jednotlivých složek pro léčbu infekce HIV-1 byla hodnocena u pediatrických pacientů zapsaných do studie Impaact 2019 (NCT03760458) ŠIPS SUST (NCT01302847).

  • Triumeq a Triumeq Pd were evaluated in treatment-naive or treatment-experienced HIV-1â€infected subjects younger than 12 years in an open-label multicenter clinical trial (IMPAACT 2019). Subjects were stratified by weight ba a enrolled in one of five groups. Fifty-seven subjects with a median age of 6.4 years (range: 1 to 11.3) a median weight of 17 kg (range: 8.2 to 39.3) received the recommended dose (determined by weight) a formulation a contributed to the efficacy analysis at Week 48. At this timepoint 79% of subjects achieved HIV-1 RNA less than 50 copies/mL a 95% achieved HIV-1 RNA less than 200 copies/mL (Snapshot algorithm).
  • Abacavir a lamivudine once daily in combination with a third antiretroviral drug were evaluated in a raomized multicenter trial (ARROW) in treatment-naive pediatric subjects with HIV-1 infection. Subjects raomized to once-daily dosing (n = 336) a who weighed at least 25 kg received abacavir 600 mg a lamivudine 300 mg as either the single entities or as EPZICOM. At Week 96 67% of subjects receiving abacavir a lamivudine once-daily in combination with a third antiretroviral drug had HIV-1 RNA <80 copies/mL.
  • Dolutegravir (TIVICAY or TIVICAY PD) in combination with other antiretroviral drugs was evaluated in treatment-naive or treatment-experienced INSTI-naive HIV-1â€infected subjects aged at least 4 weeks to 18 years in an ongoing open-label multicenter dose-finding clinical trial IMPAACT P1093. Subjects were stratified by age from 4 weeks to younger than 18 years a enrolled in one of five age cohorts.Thirty-six subjects weighing at least 6 kg who received the recommended dose (determined by weight a age) a formulation contributed to the efficacy analysis at Week 48. At this timepoint 72% (26/36) of subjects weighing at least 6 kg achieved HIV-1 RNA <50 copies/mL (Snapshot algorithm).

Informace o pacientovi pro triumeq

Triumeq
(Tři-v meku)
(Abacavir dolutegravir a lamivudin) tablety

Triumeq Pd
(Tri-Meck on DE)
(Abacavir dolutegravir a lamivudin) tablety for oral suspension

Jaké jsou nejdůležitější informace, které bych měl vědět o Triumeq a Triumeq PD?

Triumeq a Triumeq Pd can cause serious side effects including:

  • Vážné alergické reakce (reakce přecitlivělosti) To může způsobit smrt, došlo k Triumeq nebo Triumeq PD a dalšími produkty obsahujícími abakavir. Vaše riziko této alergické reakce na abacavir je mnohem vyšší, pokud máte genovou variantu zvanou HLA-B*5701. Váš poskytovatel zdravotní péče může určit krevním testem, pokud máte tuto změnu genu.

Pokud získáte příznak od 2 nebo více z následujících skupin při užívání Triumeq nebo Triumeq PD, zavolejte svému poskytovateli zdravotní péče hned, abyste zjistili, zda byste měli přestat brát Triumeq nebo Triumeq PD.

Příznaky
Skupina 1 Horečka
Skupina 2 Vyrážka
Skupina 3 Nevolnost zvracení průjem břicha (žaludek) bolest
Skupina 4 Generálly ill feeling Extrémní únava or achiness
Skupina 5 Dušák dechového kašel bolest v krku

Seznam těchto příznaků je na varovné kartě, kterou vám lékárník dává. Tuto varovnou kartu noste s sebou vždy.

Pokud zastavíte triumeq nebo triumeq PD kvůli alergické reakci nikdy neberte Triumeq Triumeq PD (abacavir dolutegravir a lamivudin) nebo jakýkoli jiný lék, který obsahuje abakavir nebo dolutegravir (Dovato Epzicom Juluca Tivicay Tivicay PD Trizivir).

  • Pokud máte alergickou reakci, likvidujte jakýkoli nevyužitý triumeq nebo triumeq PD. Zeptejte se svého lékárníka, jak správně zlikvidovat léky.
  • Pokud si vezmete Triumeq Triumeq PD nebo jakýkoli jiný lék obsahující abacavir znovu poté, co jste během několika hodin měli alergickou reakci, můžete získat příznaky ohrožující život, které mohou zahrnovat velmi nízký krevní tlak nebo smrt.
  • Pokud zastavíte Triumeq nebo Triumeq PD z jakéhokoli jiného důvodu i na několik dní a nejste alergičtí na Triumeq nebo Triumeq PD, promluvte si se svým poskytovatelem zdravotní péče, než jej znovu vezmete. Opětovné užívání Triumeq nebo Triumeq PD může způsobit vážnou alergickou nebo život ohrožující reakci, i když jste na ni nikdy předtím neměli alergickou reakci.
    Pokud vám váš poskytovatel zdravotní péče řekne, že si můžete vzít Triumeq nebo Triumeq PD, začněte to přijímat, když jste kolem lékařské pomoci nebo lidí, kteří mohou zavolat poskytovateli zdravotní péče, pokud ji potřebujete.
  • Zhoršení infekce viru hepatitidy B (HBV). Váš poskytovatel zdravotní péče vás otestuje na infekci HBV před zahájením léčby Triumeq nebo Triumeq PD. Pokud máte infekci HBV a vezmete triumeq nebo triumeq pd, váš HBV se může zhoršit (vzplanutí), pokud přestanete brát Triumeq nebo Triumeq PD. Vzplanutí je, když se vaše infekce HBV najednou vrací horším způsobem než dříve.
    • Nedocházíte z triumeq nebo triumeq pd. Doplňte svůj předpis nebo si promluvte se svým poskytovatelem zdravotní péče před tím, než váš Triumeq nebo Triumeq PD je pryč.
    • Nezastavujte Triumeq nebo Triumeq PD, aniž byste nejprve mluvili s poskytovatelem zdravotní péče.
    • Pokud přestanete brát Triumeq nebo Triumeq PD, váš poskytovatel zdravotní péče bude muset často kontrolovat vaše zdraví a pravidelně provádět krevní testy po dobu několika měsíců, abyste zkontrolovali funkci jater a monitorovali infekci HBV. Může být nutné poskytnout vám lék k léčbě hepatitidy B.
      Řekněte svému poskytovateli zdravotní péče o jakýchkoli nových nebo neobvyklých příznacích, které můžete mít poté, co přestanete brát Triumeq nebo Triumeq PD.
  • Odolný HBV. Pokud máte virus lidské imunodeficience-1 (HIV-1) a HBV, HBV se může během léčby Triumeq nebo Triumeq PD změnit (mutovat) (odolný) a být těžší léčit (rezistentní). Váš poskytovatel zdravotní péče vám může poskytnout další léky k léčbě infekce HBV, pokud máte infekce HIV-1 a HBV a brát Triumeq nebo Triumeq PD.
  • Další informace o vedlejších účincích viz, jaké jsou možné vedlejší účinky triumeq nebo triumeq PD?

Co je Triumeq a Triumeq PD?

Triumeq a Triumeq Pd are prescription medicines used to treat HIV-1 infection in adults a children who are at least 3 months of age a weigh at least 13.2 pounds (6 kg).

HIV-1 is the virus that causes Acquired Immune Deficiency Syndrome (AIDS).

Triumeq a Triumeq Pd contain the prescription medicines Abacavir dolutegravir a lamivudin.

  • Triumeq or Triumeq Pd should not be used by itself in people who have resistance to certain types of medicines.

Není známo, zda je Triumeq PD bezpečný a účinný u dětí, které jsou mladší 3 měsíce nebo váží méně než 13,2 liber (6 kg).

Neberete triumeq nebo triumeq pd, pokud:

  • mít určitý typ variace genů zvaný alela HLA-B*5701. Váš poskytovatel zdravotní péče vás za to otestuje před předepisováním léčby Triumeq nebo Triumeq PD.
  • jsou alergické na abacavir dolutegravir lamivudin nebo některá ze složek v Triumeq nebo Triumeq PD. Úplný seznam složek v Triumeq a Triumeq PD naleznete na konci této medikační příručky.
  • Vezměte dofetilid. Užívání triameq nebo triumeq PD a dofetilidu může způsobit vedlejší účinky, které mohou být vážné nebo ohrožující život.
  • mít určité problémy s jatery.

Než vezmete Triumeq nebo Triumeq PD, řekněte svému poskytovateli zdravotní péče o všech vašich zdravotních stavech, včetně, pokud:

  • byly testovány a víte, zda máte určitou variantu genu zvanou HLA-B*5701.
  • mají nebo měly problémy s jatery, včetně infekce viru hepatitidy B nebo C.
  • mít problémy s ledvinami.
  • mít srdeční problémy kouřit nebo mít onemocnění, která zvyšují riziko srdečních chorob, jako je vysoký krevní tlak s vysokým cholesterolem nebo diabetes.
  • Pijte alkohol nebo užívejte léky, které obsahují alkohol.
  • jsou těhotné nebo plánují otěhotnět. Promluvte si se svým poskytovatelem zdravotní péče o výhodách a rizicích léčby TIUMEQ během těhotenství.

Registr těhotenství. Existuje registr těhotenství pro ty, kteří během těhotenství berou triumeq. Účelem tohoto registru je shromažďovat informace o zdraví vás a vašeho dítěte. Promluvte si se svým poskytovatelem zdravotní péče o tom, jak se můžete zúčastnit tohoto registru.

  • jsou kojení nebo plánují kojení. Triumeq přechází vašemu dítěti ve svém mateřském mléce. Promluvte si se svým poskytovatelem zdravotní péče o následujících rizicích pro vaše dítě z kojení během léčby triumeq:
    • Virus HIV-1 může přejít na vaše dítě, pokud vaše dítě nemá infekci HIV-1.
    • Virus HIV-1 může být těžší léčit, pokud má vaše dítě infekci HIV-1.
    • Vaše dítě může získat vedlejší účinky od Triumeq.

Řekněte svému poskytovateli zdravotní péče o všech lécích, které užíváte včetně předpisu a over-the pult léčivé vitamíny a bylinné doplňky.

Některé léky interagují s triumeq nebo triumeq pd. Udržujte seznam svých léků, abyste ukázali svého poskytovatele zdravotní péče a lékárníka, když získáte nový lék.

  • Můžete požádat svého poskytovatele zdravotní péče nebo lékárníka na seznam léků, které interagují s Triumeq nebo Triumeq PD.
  • Nezačínejte brát nový lék, aniž byste řekli svému poskytovateli zdravotní péče. Váš poskytovatel zdravotní péče vám může říct, zda je bezpečné vzít Triumeq nebo Triumeq PD s jinými léky.

Jak mám vzít triumeq nebo triumeq pd?

Přečtěte si pokyny pro použití na konci této medikační příručky pro podrobné pokyny, jak připravit dávku tablet Triumeq PD pro perorální pozastavení.

  • Vezměte si Triumeq nebo Triumeq PD přesně tak, jak vám říká váš poskytovatel zdravotní péče, abyste to vzali.
  • Neměňte léky na přepínání dávky ani nepřestaňte brát Triumeq nebo Triumeq PD, aniž byste nejprve mluvili s vaším poskytovatelem zdravotní péče.
  • Triumeq tablets are not the same as Triumeq Pd tablets for oral suspension a cannot be substituted for each other. Check to make sure you receive the correct dosage form each time you or your child’s prescription is filled to avoid using the wrong medicine.
  • Poskytovatel zdravotní péče vašeho dítěte předepisuje TIUMEQ nebo TRIUMEQ PD na základě váhy vašeho dítěte.
  • Triumeq Pd tablets for oral suspension should be dispersed in drinking water.
  • Nevyhledejte tablety Triumeq nebo nerušit tablety Triumeq nebo tablety Triumeq PD pro perorální suspenzi. Nepolakujte triameq pd tablety pro celek orální zavěšení.
  • Triumeq or Triumeq Pd may be taken with or without food.
  • Pokud užíváte laxativa antacid nebo jiných léků, které obsahují hliníkové hořčík nebo pufrované léky Triumeq nebo Triumeq PD, by se měly brát nejméně 2 hodiny před nebo 6 hodin po užívání těchto léků.
  • Pokud potřebujete užívat doplňky železa nebo vápníku nebo doplňky multivitaminu, které obsahují železo nebo vápník ústy během léčby triumeq nebo triumeq PD:
    • Pokud si vezmete Triumeq nebo Triumeq PD s jídlem, můžete tyto doplňky vzít současně s Triumeq nebo Triumeq PD.
    • Pokud neberete Triumeq nebo Triumeq PD s jídlem, vezměte si triumeq nebo triumeq pd nejméně 2 hodiny před nebo 6 hodin po užívání těchto doplňků.
  • Pokud vám chybí dávka triameq nebo triumeq pd, vezměte ji, jakmile si pamatujete. Neužívejte 2 dávky současně nebo si vezměte více, než vám řekne váš poskytovatel zdravotní péče.
  • Zůstaňte pod péčí poskytovatele zdravotní péče během léčby Triumeq nebo Triumeq PD.
  • Nedocházíte z triumeq nebo triumeq pd. Virus ve vaší krvi se může zvýšit a virus může být těžší léčit. Když vaše nabídka začne běžet nízko, získejte více od vašeho poskytovatele nebo lékárny.
  • Pokud vezmete příliš mnoho Triumeq nebo Triumeq PD, zavolejte svému poskytovateli zdravotní péče nebo okamžitě jděte do nejbližší pohotovostní místnosti nemocnice.

Jaké jsou možné vedlejší účinky triumeq nebo triumeq PD?

Triumeq or Triumeq Pd can cause serious side effects including:

  • Vidět Jaké jsou nejdůležitější informace, které bych měl vědět o Triumeq a Triumeq PD?
  • Problémy s jatery. Lidé s anamnézou viru hepatitidy B nebo C mohou mít zvýšené riziko rozvoje nových nebo zhoršujících se změn v určitých testech jaterních funkcí během léčby triumeq nebo triumeq PD. Problémy s jaterními problémy s selháním jater se také staly s triumeq nebo triumeq PD u lidí bez anamnézy onemocnění jater nebo jinými rizikovými faktory. U Triumeq bylo také hlášeno selhání jater, což má za následek transplantaci jater. Váš poskytovatel zdravotní péče může provést krevní testy, aby zkontroloval vaše játra. Okamžitě zavolejte svého poskytovatele zdravotní péče, pokud vyvinete některý z příznaků nebo příznaků problémů jater uvedených níže.
    • Vaše kůže nebo bílá část vašich očí zžloutla ( žloutenka )
    • Tmavá nebo čajová moč
    • Světlo barvy světla (pohyby střev)
    • Ztráta chuti k jídlu
    • nevolnost or zvracení
    • Bolest bolesti nebo něha na pravé straně oblasti žaludku
  • Příliš mnoho kyseliny mléčné v krvi (mléčná acidóza). Příliš mnoho kyseliny mléčné je vážná lékařská pohotovost, která může vést k smrti. Pokud získáte některý z následujících příznaků, které by mohly být příznaky laktátové acidózy, zavolejte svému poskytovateli zdravotní péče:
    • cítit se velmi slabý nebo unavený
    • neobvyklá (ne normální) bolest svalů
    • potíže s dýcháním
    • bolest žaludku with nevolnost a zvracení
    • Cítíte se chladno, zejména v pažích a nohou
    • cítit se závratě nebo bezstarostný
    • mít rychlý nebo nepravidelný srdeční rytmus
  • Acidóza mléčné může také vést k těžkým problémům s jatery což může vést k smrti. Vaše játra se mohou stát velkými (hepatomegalie) a můžete si vyvinout tuk v játrech (steatóza). Okamžitě zavolejte svého poskytovatele zdravotní péče, pokud dostanete některé z náznaků nebo příznaků problémů jater, které jsou uvedeny výše pod problémy jater.
  • Pokud jste ženská nebo velmi nadváha (obézní), možná budete častěji získat laktátovou acidózu nebo závažné problémy s jatery.
  • Změny ve vašem imunitním systému (imunitní rekonstituční syndrom) Může se stát, když začnete užívat léky HIV-1. Váš imunitní systém může být silnější a začít bojovat proti infekcím, které byly ve vašem těle dlouho skryty. Okamžitě řekněte svému poskytovateli zdravotní péče, pokud začnete mít nové příznaky poté, co začnete užívat Triumeq nebo Triumeq PD.
  • Infarkt. Některé léky na HIV-1 včetně Triumeq nebo Triumeq PD mohou zvýšit vaše riziko infarkt .
  • Mezi nejčastější vedlejší účinky triameq patří:
    • potíže se spánkem
    • bolest hlavy
    • únava

Nejedná se o všechny možné vedlejší účinky triumeq nebo triumeq PD.

Zavolejte svého lékaře, kde najdete lékařskou radu ohledně vedlejších účinků. Můžete nahlásit vedlejší účinky FDA na 1-800-FDA-1088.

Jak mám ukládat triumeq nebo triumeq pd?

  • V původní láhvi ukládejte triumeq a triumeq PD při teplotě místnosti mezi 68 ° F až 77 ° C až 25 ° C. Udržujte láhev pevně zavřenou a chráňte ji před vlhkostí.
  • Láhev Triumeq a Triumeq PD obsahuje vysypový paket, který pomáhá udržovat váš lék v suchu (chránit jej před vlhkostí). Neodstraňujte vysoušecí balíček z láhve.

Udržujte Triumeq Triumeq PD a všechny léky mimo dosah dětí.

Generál information about the safe a effective use of Triumeq or Triumeq Pd.

Léky jsou někdy předepisovány pro jiné účely než ty, které jsou uvedeny v průvodci s léky. Nepoužívejte triumeq nebo triumeq pd pro podmínku, pro které nebyl předepsán. Nedávejte triumeq nebo triumeq PD jiným lidem, i když mají stejné příznaky, jaké máte. Může jim to poškodit. Můžete požádat svého lékárníka nebo poskytovatele zdravotní péče o informace o TIUMEQ nebo TRIUMEQ PD, který je psán pro zdravotnické pracovníky.

Jaké jsou složky v Triumeq a Triumeq PD?

Aktivní složky: Abacavir dolutegravir a lamivudin

Neaktivní ingredience:

Triumeq tablets: D-mannitol hořčík Stearát mikrokrystalický celulóza povidonu a glykolát škrobu sodíku. Tabletové filmové potahování obsahuje: Oxid železa černý oxid železa červený makrogol/peg polyvinylalkohol-část hydrolyzovaného mastku a oxidu titanu.

Triumeq Pd tablets for oral suspension: acesulfame potassium crospovidone mannitol microcrystalline cellulose povidone K29/32 silicified microcrystalline cellulose sodium starch glycolate sodium stearyl fumarate strawberry cream flavor a sucralose.

Tabletové filmové pokrytí obsahuje: Hydrolyzovaný mastk a oxid titaničitý hydrolyzovaný mask a oxid titaniový oxid.

Pokyny pro použití

Triumeq Pd
(Tri-Meck on DE)
(Abacavir dolutegravir a lamivudin) tablety for oral suspension

Tyto pokyny pro použití obsahují informace o tom, jak vzít Triumeq PD.

Přečtěte si tyto pokyny pro použití před tím, než vaše dítě začne poprvé brát Triumeq PD a pokaždé, když dostanete doplnění. Mohou existovat nové informace. Tyto informace nezavazují místo rozhovoru s poskytovatelem zdravotní péče o zdravotním stavu nebo léčbě vašeho dítěte. Promluvte si se svým poskytovatelem zdravotní péče nebo lékárníkem, pokud máte nějaké dotazy, jak připravit nebo dát předepsanou dávku Triumeq PD.

Důležité informace, které potřebujete vědět, než poskytnete Triumeq PD

  • Dejte Triumeq PD přesně tak, jak vám říká váš poskytovatel zdravotní péče.
  • Pokaždé, když obdržíte předpis dítěte, zkontrolujte láhev, abyste se ujistili, že jste obdrželi Triumeq PD. Tablety Triumeq nejsou stejné jako tablety Triumeq PD pro perorální suspenzi a nelze je navzájem nahradit. Pokud jste neobdrželi správný formulář pro dávkování, kontaktujte svého lékárníka nebo poskytovatele zdravotní péče.
  • Ne Chew vyřízněte rozdrcení nebo spolkněte celé tablety pro perorální odpružení.
  • Pokud zapomenete dát dávku Triumeq PD, dejte ji, jakmile si pamatujete. Nedávejte 2 dávky současně ani dejte více, než je váš poskytovatel zdravotní péče předepsán.
  • Pokud vaše dítě nemůže nebo nemůže vzít celou dávku, zavolejte na poskytovatele zdravotní péče.
  • Pokud dáte příliš mnoho Triumeq PD, dostanete okamžitě pohotovostní lékařskou pomoc.
  • Pro více informací o Triumeq PD si přečtěte příručku pro léky.

Vaše balení obsahuje:

  • Láhev obsahující 90 tabletů triameq PD pro perorální odpružení
  • Dávkový pohár

Dodávka není zahrnuta do balení

  • Orální stříkačka (volitelná)

Pokud vaše dítě nemůže použít dodávaný dávkovací pohár Možná budete potřebovat ústní stříkačku dát lék. Promluvte si se svým poskytovatelem zdravotní péče o radu o velikosti ústní stříkačky, kterou byste měli použít k poskytnutí Triumeq PD.

Budete také potřebovat:

  • Čistá pitná voda.

Příprava na poskytnutí Triumeq PD

Krok 1.. Nalijte vodu

  • Do šálku nalijte čistou pitnou vodu. Průvodce objemem vody na obrázku A ukazuje množství vody potřebné pro předepsanou dávku viz obrázek A.

Používejte pouze pitnou vodu.

Ne K přípravě dávky použijte jakýkoli jiný nápoj nebo jídlo.

Triumeq Pd tablets for oral suspension must be dispersed in drinking water before you give them to vaše dítě.

Obrázek a

Krok 2.. Připravte lék

  • Přidejte předepsaný počet tabletů do vody. Viz obrázek B.
  • Jemně víří šálek po dobu 1 až 2 minut, aby se tablet rozptýlil. Lék se stane zataženo. Dávejte pozor, abyste žádný z léku rozlili. Viz obrázek C.
  • Zkontrolujte, zda je lék připraven. Pokud existují nějaké hrudky tabletu víří šálek, dokud nebudou pryč.

Obrázek B a obrázek C

Pokud rozlití nějaký lék vyčistí únik.

Vyhoďte zbytek připraveného léku a vytvořte novou dávku.

Dávku léku musíte dát do 30 minut po přípravě dávky. Pokud to bylo více než 30 minut, odplatí veškerou dávku v šálku pomocí vody a připraví novou dávku léku.

Dávat triumeq pd

Krok 3.. Uveďte lék

  • Ujistěte se, že dítě je vzpřímené. Poskytněte dítěti veškerý připravený lék. Viz obrázek D.
  • Přidejte do šálku víření poháru dalších 15 ml nebo méně pitné vody a dávejte to všemu dítěti.
  • Opakujte, pokud v šálku zůstane nějaký lék, aby se ujistilo, že dítě dostane plnou dávku.

Obrázek d

  • Vložte špičku ústní stříkačky do připraveného léku a veškerý lék natáhněte do perorální stříkačky tím, že vytáhnete na píst. Viz obrázek E.
  • Umístěte špičku ústní stříkačky na vnitřek tváře dítěte. Jemně zatlačte plunžru, aby se dávkoval pomalu. Viz obrázek F.
  • Do šálku a víření přidejte dalších 15 ml nebo méně pitné vody. Nakreslete zbývající lék do ústní stříkačky a dá to všemu dítěti.
  • Opakujte, pokud v ústní stříkačce zůstane nějaký lék, aby se ujistilo, že dítě dostane plnou dávku.

Nechte čas na to, aby byl lék spolknut.

Obrázek e a obrázek f

Čištění položek dávkování

Krok 4. Vyčistěte dávkovací předměty, které jste použili k poskytnutí Triumeq PD

  • Umyjte všechny dávkové předměty vodou. Viz obrázek G a Obrázek H.
  • Pokud použití a ústní stříkačka vytáhne píst z částí stříkačky samostatně ve vodě. Před opětovným sestavením a skladováním nechte díly zcela vyschnout. Viz obrázek H.
  • Všechny součásti budou muset být před přípravou další dávku čisté.

Obrázek G a obrázek H

Skladování Triumeq Pd

  • V původní láhvi ukládejte tablety Triumeq PD pro perorální suspenzi při teplotě místnosti mezi 68 ° F až 77 ° C až 25 ° C). Udržujte láhev pevně zavřenou a chráňte před vlhkostí.
  • Láhev Triumeq PD obsahuje vysoušecí balíček, který pomáhá udržovat váš lék v suchu (chránit jej před vlhkostí). Neodstraňujte vysoušecí balíček z láhve.

Udržujte Triumeq PD a všechny léky mimo dosah dětí.

Likvidace triumeq pd

Když byly všechny tablety v láhvi odebrány nebo již nejsou potřeba, zahoďte šálek lahví a ústní stříkačku. Zlikvidujte je pomocí místních pokynů pro domácí odpad. Ve svém dalším balení získáte nový pohár.

VAROVÁNÍ CARD

Triumeq
(Abacavir dolutegravir a lamivudin) tablety

Pacienti, kteří užívají triumeq, mohou mít vážnou alergickou reakci (reakce přecitlivělosti), která může způsobit smrt. Pokud získáte příznak od 2 nebo více z následujících skupin při převzetí Triumeq, zavolejte svému poskytovateli zdravotní péče hned, abyste zjistili, zda byste měli tento lék přestat brát.

Příznaky
Skupina 1 Horečka
Skupina 2 Vyrážka
Skupina 3 Nevolnost zvracení průjem nebo břišní (žaludeční oblast) bolest
Skupina 4 Generálly ill feeling Extrémní únava or achiness
Skupina 5 Dušnost dechového kašle nebo bolest v krku

Vždy noste tuto varovnou kartu s sebou, abyste pomohli rozpoznat příznaky této alergické reakce.

(Zadní část karty)

VAROVÁNÍ CARD

Triumeq (Abacavir dolutegravir a lamivudin) tablety

Pokud musíte zastavit léčbu Triumeq, protože jste měli alergickou reakci na abacavir, nikdy nebere Triumeq nebo žádný jiný lék obsahující abakaviru (Ziagen Epzicom Triumeq PD nebo Trizivir). Pokud máte alergickou reakci, likvidujte jakýkoli nevyužitý triumeq. Zeptejte se svého lékárníka, jak správně zlikvidovat léky. Pokud si po několika hodinách užíváte Triumeq nebo jiný lék obsahující abakaviru znovu po alergické reakci, můžete získat příznaky ohrožující život, které mohou zahrnovat velmi nízký krevní tlak nebo smrt.

Další informace o Triumeq si prosím přečtěte příručku pro léky.

Tyto pokyny pro použití byly schváleny americkou správou potravin a léčiv.