Informace Na Stránce Nepředstavují Lékařskou Radu. Nic Neprodáváme. Přesnost Překladu Není Zaručena. Zřeknutí Se Odpovědnosti



Tobradex

Shrnutí drog

Co je tobradex?

Tobradex (tobramycin a dexamethason oftalmic suspension) je kombinované antibiotikum a steroid používaný k léčbě bakteriálních infekcí očí. Tobradex je k dispozici v obecné podobě.

Jaké jsou vedlejší účinky Tobradex?

Mezi běžné vedlejší účinky Tobradexu patří:



  • Oční zarudnutí
  • nepohodlí
  • hořící
  • bodnutí
  • podráždění
  • svědění;
  • svědění/otok víčka
  • rozmazané vidění nebo
  • Citlivost na světlo.
  • Použití Tobradexu pro prodloužené/opakované období může vést k nové infekci plísňových očí a může zvýšit riziko jiných očních problémů (např. Glaukomové katarakty).

Tobradex může způsobit vážné vedlejší účinky včetně:



  • Těžké svědění nebo otok očí
  • rozmazané vidění
  • Vize tunelu
  • Vidět halos kolem světla
  • bolest za očima
  • Náhlé změny vidění
  • Pomalé hojení po operaci očí a
  • zarudnutí těžké nepohodlí krupení nebo drenáž oka

Získejte lékařskou pomoc okamžitě, pokud máte výše uvedené příznaky.

Pokud máte následující vážné vedlejší účinky, vyhledejte lékařskou péči nebo zavolejte na číslo 911:



  • Vážné příznaky očí, jako je ztráta náhlého vidění rozmazané vidění vidění Vision Vision Eye Eye Eye Eye Eye Eye Eye Eye nebo vidět halos kolem světel;
  • Vážné příznaky srdce, jako je rychlé nepravidelné nebo bušení srdečního rytmu; třepování v hrudi; dušnost; a náhlé závratě lightheartiesness nebo omdlení;
  • Těžká zmatek bolesti hlavy zkažená paže řeči nebo slabost nohou Potíže se ztrátou chůze pocitu koordinace Nestabilní velmi tuhé svaly vysoké horečky bohaté pocení nebo třes.

Tento dokument neobsahuje všechny možné vedlejší účinky a mohou dojít k jiným. Další informace o vedlejších účincích najdete u svého lékaře.

Dávkování pro Tobradex

Jedna nebo dvě kapky oftalmického tobradexu by měly být vštípeny do spojovacího vaku (SO) každé čtyři až šest hodin. Během počátečních 24 až 48 hodin může být dávka zvýšena na jednu nebo dvě kapky každé dvě (2) hodiny. Nepoužívejte jiné oční kapky nebo léky během léčby tobradexovým oftalmikem, pokud není režírován vaším lékařem.

Jaké léčivé látky nebo doplňky interagují s Tobradexem?

Tobradex může interagovat s perorálními steroidními léky. Jiné léky mohou interagovat s Tobradexovým oftalmickým. Řekněte svému lékaři veškerý předpis nebo volně prodejné léky nebo doplňky, které používáte.

Tobradex během těhotenství a kojení

Tobradex by měl být použit pouze tehdy, když je předepsán během těhotenství. Není známo, zda tento lék prochází do mateřského mléka. Před kojením se poraďte se svým lékařem.

Další informace

Naše tobradex (tobramycin a dexamethason oftalmické suspenze) vedlejší účinky léčiva poskytuje komplexní pohled na dostupné informace o možných vedlejších účincích při užívání tohoto léku.

Informace o drogách FDA

Popis pro Tobradex

Tobradex® (tobramycin a dexamethason oftalmic suspension) je sterilní kombinace vícenásobných dávek a steroidů pro topické oftalmické použití.

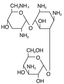
Chemické struktury pro tobramycin a dexamethason jsou uvedeny níže:

Tobramycin

Empirický vzorec : C 18 H 37 N 5o 9

Chemický název : O-3-Amino-3-deoxy-a-D-glukopyranosyl- (1 → 4)-[26-diamino-236-trideoxy-a-d- ryba -Hexopyranosyl- (1 → 6)]-2-deoxy-l-streptamin

Dexamethason

Empirický vzorec : C 22 H 29 Fo 5

Chemický název : 9-fluoro-11p1721-trihydroxy-16a-methylpregna-14-diene-320-dione

Každý ML z Tobradex® (Tobramycin a dexamethason oftalmic suspension) Obsahuje: Actives: Tobramycin 0,3% (3 mg) a dexamethason 0,1% (1 mg). Konzervační: Benzalkoniumchlorid 0,01%. Neaktivní: Chlorid sodný chlorid sodný hydroxyethyllulóza sodný síran sodný a/nebo hydroxid sodný (pro úpravu pH) a purifikovanou vodu.

Použití pro Tobradex

Tobrex ® (Tobramycin oftalmický roztok) 0,3% je topické antibiotikum uvedené při léčbě vnějších infekcí oka a jeho adnexa způsobené citlivými bakteriemi. Použití Tobrexu by mělo doprovázet vhodné sledování bakteriální odpovědi na topickou antibiotickou terapii. Klinické studie ukázaly, že tobramycin je bezpečný a účinný pro použití u dětí.

Dávkování pro Tobradex

Při mírné až střední nemoci vštípí 1 nebo 2 kapky do postiženého oka (očí) každé 4 hodiny. U těžkých infekcí vštípí 2 klesá do oka (očí) do hodinu až do zlepšení po kterém by se ošetření mělo před přerušením snížit.

Jak dodáno

Tobrex (tobramycin ophthalmic solution) 0.3% je dodáván jako 5 ml sterilního roztoku zabaleného do 8 ml polyethylenové bílé láhve s nízkou hustotou a přirozenou výdejní zástrčkou a bílý polypropylenový uzavření následovně:

5 ml obsahující tobramycin 0,3% (3 mg/ml) - NDC 0065-0643-05

Skladování: Ukládat při 2 ° C až 25 ° C (36 ° F až 77 ° F).

Po otevření Tobrexu (tobramycin oftalmic roztok) může být použito až do data vypršení platnosti na láhvi.

Distribuováno od: Novartis Pharmaceuticals Corporation East Hannover New Jersey 07936. Revidováno: květen 2021

Vedlejší účinky pro Tobradex

Nejčastější nežádoucí účinky na Tobrex (tobramycin oftalmický roztok) 0,3% jsou přecitlivělost a lokalizovaná oční toxicita včetně svědění víčka a otoku a konjunktivální erythema. Tyto reakce se vyskytují u méně než tří ze 100 pacientů léčených Tobrexem ® .

Zážitek z postmarketingu

Mezi další nežádoucí účinky identifikované při použití po trhu patří anafylaktická reakce Stevens-Johnsonův syndrom a erythema multiforme.

U systémových aminoglykosidů byly hlášeny následující další nežádoucí účinky: u pacientů, kteří dostávali systémovou aminoglykosidovou terapii, došlo k neurotoxicitě a nefrotoxicity. Aminoglykosidy mohou u pacientů se známými nebo podezřelými neuromuskulárními poruchami, jako je myasthenia gravis nebo Parkinsonova choroba zhoršovat, slabost svalu.

Interakce léčiva pro Tobradex

Žádné informace

Varování pro Tobradex

FoR TOPICAL OPHTHALMIC USE. NOT FoR INJECTION INTO THE EYE. Sensitivity to topically applied aminoglycosides may occur in some patients. Severity of hypersensitivity reactions may vary from local effects to generalized reactions such as erythema itching urticaria skin rash anaphylaxis anaphylactoid reactions or bullous reactions. If a sensitivity reaction to Tobrex ® (Tobramycin oftalmic roztok) 0,3% se vyskytuje použití ukončení.

Opatření pro Tobradex

Generál

Stejně jako u jiných antibiotických přípravků může prodloužené používání vést k přerostlému nesuscescescescescescessialu organismu včetně hub. Pokud dojde k superinfekci, měla by být zahájena vhodná terapie.

Může dojít k křížové citlivosti na jiná aminoglykosidová antibiotika; Pokud se přecitlivělost vyvíjí s tímto produktem, který ukončí použití a zavede vhodnou terapii. Pacienti by měli být doporučeni, aby nenosili kontaktní čočky, pokud mají známky a příznaky bakteriální oční infekce.

může pedialyte způsobit průjem u dospělých

Těhotenství

Reprodukční studie u 3 typů zvířat v dávkách až 33násobek normální lidské systémové dávky neodhalily žádný důkaz zhoršené plodnosti nebo poškození plodu v důsledku tobramycinu. U těhotných žen však neexistují žádné přiměřené a dobře kontrolované studie. Protože studie na zvířatech nejsou vždy prediktivní pro lidskou reakci, by tento lék měl být použit během těhotenství, pouze pokud je to jasně potřeba.

Ošetřovatelské matky

Vzhledem k potenciálu nežádoucích účinků u ošetřovatelských kojenců z Tobrexu by mělo být rozhodnuto, zda ukončit ošetřovatelství dítěte nebo přerušit drogu s přihlédnutím k důležitosti drogy pro matku.

Dětské použití

Bezpečnost a účinnost u pediatrických pacientů mladších 2 měsíců nebyla stanovena.

Geriatrické použití

Mezi staršími a mladšími pacienty nebyly pozorovány žádné celkové rozdíly v bezpečnosti nebo účinnosti.

Informace o předávkování pro Tobradex

Žádné informace

Kontraindikace pro Tobradex

Tobrex (tobramycin ophthalmic solution) 0.3% is contraindicated in patients with known hypersensitivity to any of its components.

Klinická farmakologie for Tobradex

In vitro data

In vitro Studie prokázaly, že tobramycin je aktivní proti citlivým kmenům následujících mikroorganismů: Staphylococci včetně S. aureus a S. Epidermidis (koaguláza-pozitivní a koaguláza negativní) včetně kmenů rezistentních na penicilin.

Streptococci včetně some of the Group A-beta-hemolytic species some nonhemolytic species a some Streptococcus pneumoniae.

Pseudomonas aeruginosa escherichia coli klebsiella pneumoniae enterobacter aerogenes proteus mirabilis morganella morganii většina Proteus vulgaris kmeny Haemophilus influenzae a H. Egyptská moraxella lacunata Acinetobacter calcoaceticus a some Neisseria druh. Studie bakteriální citlivosti ukazují, že v některých případech mikroorganismy odolné vůči gentamicinu zachovávají náchylnost k tobramycinu.

Informace o pacientovi pro Tobradex

Nedotýkejte se špičky kapátka na žádný povrch, protože to může kontaminovat roztok.