Informace Na Stránce Nepředstavují Lékařskou Radu. Nic Neprodáváme. Přesnost Překladu Není Zaručena. Zřeknutí Se Odpovědnosti



Libri

Shrnutí drog

Co je to Librium?

Librium (chlordiazepoxid) je benzodiazepin používaný k léčbě úzkostných poruch nebo odběru alkoholu. Librium je k dispozici v obecný formulář.

Jaké jsou vedlejší účinky knihovny?

Librium může způsobit vážné vedlejší účinky včetně:



  • Těžká ospalost
  • neobvyklé změny v náladě nebo chování
  • zmatek
  • agrese
  • hněv
  • Náhlý neklidný pocit nebo vzrušení
  • Zhoršené problémy se spánkem
  • myšlenky na sebevraždu
  • Náhlá slabost nebo špatně pocit
  • horečka
  • zimnice
  • bolest v krku
  • vředy
  • červené nebo oteklé dásně
  • potíže polykání
  • svalová slabost
  • poklesovací oční víčka
  • potíže polykání
  • Bolest horního žaludku
  • tmavá moč a
  • žloutnutí kůže nebo očí ( žloutenka )

Získejte lékařskou pomoc okamžitě, pokud máte výše uvedené příznaky.



Mezi běžné vedlejší účinky knihovny patří:

  • ospalost
  • únava
  • závrať
  • nevolnost
  • zvracení
  • zácpa
  • rozmazané vidění
  • otok
  • Skin vyrážka
  • nepravidelná menstruační období nebo
  • bolest hlavy.

Řekněte svému lékaři, pokud máte vedlejší účinky librium, včetně:



  • zmatek
  • deprese
  • hyperaktivita
  • halucinace
  • Slurred řeč
  • Potíže s chůzí
  • obličejové nebo svalové škubnutí
  • Poruchy spánku
  • potíže s močením
  • Změny v sexuální touze nebo
  • žloutenka (yellowing of the skin or eyes).

Pokud máte následující vážné vedlejší účinky, vyhledejte lékařskou péči nebo zavolejte na číslo 911:

  • Vážné příznaky očí, jako je ztráta náhlého vidění rozmazané vidění vidění Vision Vision Eye Eye Eye Eye Eye Eye Eye Eye nebo vidět halos kolem světel;
  • Vážné příznaky srdce, jako je rychlé nepravidelné nebo bušení srdečního rytmu; třepování v hrudi; dušnost; a náhlé závratě lightheadness nebo omdlení;
  • Těžká zmatek bolesti hlavy zkažená paže řeči nebo slabost nohou Potíže se ztrátou chůze pocitu koordinace Nestabilní velmi tuhé svaly vysoké horečky bohaté pocení nebo třes.

Tento dokument neobsahuje všechny možné vedlejší účinky a mohou dojít k jiným. Další informace o vedlejších účincích najdete u svého lékaře.

Dávkování pro librium

Dávka Librium se liší v závislosti na ošetřeném stavu. Pro mírnou až střední úzkost 5 mg nebo 10 mg 3 nebo 4krát denně. Pro těžkou úzkost 20 mg nebo 25 mg 3 nebo 4krát denně. Poraďte se s lékařem pro pediatrické nebo geriatrické dávkování.

Fentanyl patch 50 mcg vedlejší účinky

Jaké léčivé látky nebo doplňky interagují s libriem?

Librium může interagovat s barbituritačními řediteli krve Mao Inhibitors Medicine k léčbě psychiatrických poruch narkotik nebo antidepresiv. Řekněte svému lékaři všechny léky, které používáte.

Librium během těhotenství a kojení

Librium se nedoporučuje pro použití během těhotenství kvůli potenciálu poškození plodu. Na základě informací z souvisejících léčiv může tento lék přejít do mateřského mléka a může mít nežádoucí účinky na kojící dítě. Kojení při používání tohoto léku se nedoporučuje. Pokud náhle přestanete brát tento lék, mohou nastat příznaky odběru.

Další informace

Naše librium (chlordiazepoxid) vedlejší účinky léčivé centrum poskytuje komplexní pohled na dostupné informace o léčivě o možných vedlejších účincích při užívání tohoto léku.

Informace o drogách FDA

Popis pro librium

Librium Původní chlordiazepoxid HCI a prototyp pro benzodiazepinové sloučeniny byly syntetizovány a vyvinuty v Hoffmann-La Roche Inc. Je to všestranné terapeutické činidlo prokázané hodnoty pro úlevu úzkosti. Librium (chlordiazepoxid) patří mezi bezpečnější efektivní psychofarmakologické sloučeniny dostupné, jak prokazují rozsáhlé klinické důkazy.

Librium (chlordiazepoxid) je k dispozici jako tobolky obsahující 5 mg 10 mg nebo 25 mg chlordiazepoxid HCI. Každá kapsle také obsahuje laktózu škrobu kukuřice a mast. Želatinové tobolky mohou obsahovat methyl. a propyl parabeny a draselný sorbater s následujícími barvivami: 5 -mg tobolky - FD

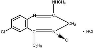
Chlordiazepoxid hydrochlorid je 7-chlor-2- (methylamino) -5-fenyl-3H-14-benzodiazepin 4-oxid hydrochlorid. Bílá až prakticky bílá krystalická látka je rozpustná ve vodě. Je nestabilní v roztoku a prášek musí být chráněn před světlem. Molekulová hmotnost je 336,22. Strukturální vzorec hydrochloridu chlordiazepoxidu je následující:

Ostropetle játra čistí vedlejší účinky

Použití pro librium

Librium (chlordiazepoxid) je indikováno pro léčbu úzkostných poruch nebo pro krátkodobé úlevy z příznaků odběru úzkosti „příznaky akutního alkoholismu a předoperační obavy a úzkosti. Úzkost nebo napětí spojené se stresem každodenního života obvykle nevyžaduje léčbu s anxiolytickou.

Účinnost libra (chlordiazepoxid) při dlouhodobém používání, která je více než 4 měsíce, nebyla systematickými klinickými studiemi hodnocena. Lékař by měl pravidelně přehodnotit užitečnost léku pro jednotlivého pacienta.

Dávkování pro librium

Kvůli široké škále klinických indikací pro librium (chlordiazepoxid) se optimální dávka liší podle diagnózy a reakce jednotlivého pacienta. Dávka by proto měla být individualizována pro maximální prospěšné účinky.

Dospělí Obvyklá denní dávka
Úleva od mírných a mírných poruch úzkosti a příznaky úzkosti 5 mg nebo 10 mg 3 nebo 4krát denně
Úleva z těžkých úzkostných poruch a příznaků úzkosti 20 mg nebo 25 mg 3 nebo 4krát denně
Geriatričtí pacienti nebo v přítomnosti vysilující nemoci. 5 mg 2 až 4krát denně

Předoperační obava a úzkost: Ve dnech předcházejících chirurgický zákrok 5 až 10 mg orálně 3 nebo 4krát denně. Pokud se používá jako předoperační lék 50 až 100 mg IM* 1 hodinu před chirurgickým zákrokem.

Pediatričtí pacienti Obvyklá denní dávka
Kvůli rozmanité reakci pediatrických pacientů by měla být zahájena léčivá léčiva působící na CNS s nejnižší dávkou a podle potřeby se zvýšila. Vzhledem k tomu, že klinické zkušenosti s pediatrickými pacienty mladšími 6 let jsou omezeny, užívání léčiva v této věkové skupině se nedoporučuje. 5 mg 2 až 4krát denně (may be increased in some pediatric patients to 10 mg 2 to 3 times daily)

Pro úlevu z abstinenčních příznaků akutního alkoholismu se obvykle používá parenterální forma*. Pokud je lék podáván orálně, navrhovaná počáteční dávka je 50 až 100 mg, po které následuje opakované dávky podle potřeby, dokud nebude agitace kontrolována až 300 mg denně. Dávkování by pak mělo být sníženo na úroveň údržby.

* Viz vložka balíčku pro injekční librium (chlordiazepoxid HCI).

Jak dodáno

Librium (chlordiazepoxid HCI) tobolky jsou k dispozici v následujících prezentacích:

5 mg Tvrdé želatinové tobolky v lahvích 100 (NDC-0187- 3750-10) s libriem (chlordiazepoxid) 5 potištěno na neprůhledné zelené čepici a ICN potištěno na neprůhledné žluté tělo.
10 mg Tvrdé želatinové tobolky v lahvích 100 (NDC-0187- 3751-10) s libriem (chlordiazepoxid) 10 potištěno na neprůhledné černé čepici a ICN potištěno na neprůhledným zeleném těle.
25 mg Tvrdé želatinové tobolky v lahvích 100 (NDC-0187- 3758-10) s libriem (chlordiazepoxid) 25 potištěných na neprůhledné zelené čepici a ICN potištěno na neprůhledné bílé tělo.

Skladovat při 25 ° C (77 ° F); Exkurze povolené na 15 ° C - 30 ° C (59 ° F - 86 ° F).

Vaieant Pharmaceuticals International Costa Mesa CA 92626. Rev. červenec 2005. FDA Rev Datum: 9/6/2002

Nežádoucí účinky na libru

Nutnost ukončení terapie kvůli nežádoucím účinkům byla vzácná. U některých pacientů byla hlášena ospalost ataxie a zmatek, zejména u starších osob a oslabených. I když těmto účinkům lze zabránit téměř ve všech případech správným nastavením dávkování, byly občas pozorovány při nižších dávkových rozsazích. V několika případech byla hlášena synkopa.

Mezi další nežádoucí účinky hlášené během terapie patří izolované instance kožních erupcí Edém Menší menstruační nepravidelnosti nevolnost a extrapyramidální symptomy zácpy, jakož i zvýšené a snížené libido. Takové vedlejší účinky byly vzácné a jsou obecně kontrolovány redukcí dávkování. U pacientů a po léčbě libria (chlordiazepoxid) byly pozorovány změny ve vzorcích EEG (rychlá aktivita nízkého napětí).

prednison 50 mg po dobu 3 dnů

Krevní dyscrasie (včetně agranulocytózy) žloutenka a jaterní dysfunkce byla občas hlášena během terapie. Když je léčba librium (chlordiazepoxid) zdlouhá periodická krevní počet a je vhodné testy jaterních funkcí.

Zneužívání a závislost drog : Chlordiazepoxid hydrochloridové tobolky jsou klasifikovány správou pro vymáhání léčiva jako látku kontrolované plánem IV.

Po náhlém přerušení chlordiazepoxidu došlo k abstinenční příznaky podobné charakteru jako ty, které byly zaznamenány s barbituráty a alkohol (křeče z břicha a svalových křečí). Závažnější abstinenční příznaky byly obvykle omezeny na pacienty, kteří dostávali nadměrné dávky po delší dobu. Obecně mírnější abstinenční symptomy (např. Dysforie a nespavost) byly hlášeny po prudkém přerušení benzodiazepinů, které se po dobu několika měsíců nepřetržitě odebrané na terapeutických hladinách. V důsledku toho by se po rozšířené terapii mělo být obecně vyhýbáno a následoval postupný rozvrh zužující se dávkování. Jednotlivci náchylný k závislosti (jako jsou drogově závislí nebo alkoholici) by měli být při příchodu chlordiazepoxidu nebo jiných psychotropních látek pečlivě dohled nad pečlivým dohledem kvůli predispozici těchto pacientů k návyku a závislosti.

Můžete si vzít tumy s pantoprazolem

Interakce léčiva pro librium

Žádné informace.

Varování for Librium

Chlordiazepoxid HCI může narušit mentální a/nebo fyzické schopnosti potřebné pro výkon potenciálně nebezpečných úkolů, jako je řízení vozidla nebo operační stroje. Podobně může u dětí narušit mentální bdělost. Současné užívání alkoholu nebo jiného depresivního systému centrálního nervového systému může mít aditivní účinek. Pacienti by měli být varováni odpovídajícím způsobem .

Použití v těhotenství: Zvýšené riziko vrozených malformací spojených s používáním drobných trankvilizérů (chlordiazepoxid diazepam a meprobamát) během prvního trimestru těhotenství bylo navrženo v několika studiích. Protože užívání těchto drog je zřídka otázkou naléhavosti, jejich použití během tohoto období by se téměř vždy mělo zabránit. Je třeba zvážit možnost, že žena s plodným potenciálem může být těhotná v době terapie. Pacienti by měli být upozorněni, že pokud během terapie otěhotní nebo mají v úmyslu otěhotnět, měli by komunikovat se svými lékaři o žádosti o přerušení léku.

Po přerušení benzodiazepinů došlo k abstinenční příznaky typu barbiturátu. (Vidět Zneužívání a závislost drog sekce.)

Opatření for Librium

U starších a vysilněných pacientů se doporučuje, aby byla dávka omezena na nejmenší efektivní množství, aby se vylučovalo rozvoj ataxie nebo nadměrného vysílání (10 mg nebo méně denně se zpočátku podle potřeby zvýšilo a tolerováno). Obecně se nedoporučuje souběžné podávání librium (chlordiazepoxid) a dalších psychotropních látek. Pokud se zdá, že taková kombinovaná terapie by naznačila pečlivé zvážení farmakologie látek, která mají být použita, zejména pokud mají být použity známé zesilující sloučeniny, jako jsou inhibitory MAO a fenothiaziny. Měla by být pozorována obvyklá opatření při léčbě pacientů se zhoršenou renální nebo jaterní funkcí.

Paradoxní reakce např. Stimulace vzrušení a akutní vzteky byly hlášeny u psychiatrických pacientů a u hyperaktivních agresivních pediatrických pacientů a měly by být sledovány během terapie knihovny (chlordiazepoxid). Obvyklá opatření jsou indikována, když se při léčbě úzkostných stavů používá librium (chlordiazepoxid), kde existuje nějaký důkaz o hrozící depresi; Je třeba mít na paměti, že mohou být přítomny sebevražedné tendence a mohou být nezbytná ochranná opatření. Ačkoli klinické studie neprokázaly, že lékaři příčiny a účinku by si měli být vědomi, že u pacientů dostávajících perorální antikoagulancia a librium byly velmi zřídka hlášeny variabilní účinky na koagulaci krve. S ohledem na izolované zprávy spojující chlordiazepoxid s exacerbací Porphyria opatrnosti by měly být u pacientů trpících tímto onemocněním prováděny.

Dětské použití : Vzhledem k rozmanité reakci pediatrických pacientů by měla být zahájena léčba působící na CNS s nejnižší dávkou a podle potřeby (viz viz Dávkování a podávání ). Vzhledem k tomu, že klinické zkušenosti s libriem (chlordiazepoxid) u pediatrických pacientů mladších 6 let jsou v této věkové skupině omezeny. Hyperaktivní agresivní pediatričtí pacienti by měli být monitorováni z paradoxních reakcí na librium (chlordiazepoxid) (viz viz OPATŘENÍ ).

Informace o předávkování pro knihovnu

Projevy předávkování librium (chlordiazepoxid) zahrnují coma zmatence a snížené reflexy. Dýchací puls a krevní tlak by měly být monitorovány jako ve všech případech předávkování léčiva, i když tyto účinky byly obecně minimální po předávkování librium (chlordiazepoxid). Obecná podpůrná opatření by měla být použita spolu s bezprostředním výplachem žaludku. Intravenózní tekutiny by měly být podávány a udržovány odpovídající dýchací cesty. Hypotenze může být bojována pomocí levofádového* (norepinefrin) nebo araminu (metaraminol). Dialýza má omezenou hodnotu. U pacientů po Chlordiazepoxidu HCI předávkování došlo k občasným zprávám o excitaci; Pokud k tomu dojde, nemělo by se používat barbituráty. Stejně jako u řízení úmyslného předávání s jakýmkoli lékem by mělo být na paměti, že mohlo být přijímáno více agentů.

Flumazenil Specifický antagonista benzodiazepin-receptoru je indikován pro úplné nebo částečné obrácení sedativních účinků benzodiazepinů a může být použit v situacích, kdy je předávkování s benzodiazepinem známo nebo podezřelé. Před podáváním flumazenilu by měla být zavedena nezbytná opatření k zajištění ventilace dýchacích cest a intravenózního přístupu. Flumazenil je zamýšlen jako doplněk k tomu, aby ne jako náhrada za řádné řízení předávkování benzodiazepinem. Pacienti léčeni flumazenilem by měli být sledováni z důvodu resedace respirační deprese a další zbytkové účinky benzodiazepinu po vhodné období po léčbě. Přední lékař by si měl být vědom rizika záchvatu ve spojení s léčbou flumazenilem, zejména u dlouhodobých uživatelů benzodiazepinu a v cyklickém antidepresivu. Před použitím by měla být konzultována kompletní vložka balíčku Flumazenilu včetně varování a preventivních opatření.

Kontraindikace pro librium

Librium (chlordiazepoxid) je kontraindikováno u pacientů se známou přecitlivělostí na léčivo.

Klinická farmakologie for Librium

Librium (Chlordiazepoxid HCI) má antianxietu sedativní stimulující chuť k jídlu a slabé analgetické účinky. Přesný mechanismus účinku není znám. Lék blokuje vzrušení EEG ze stimulace tvorby retikulárního kmene mozku. Dosažení maximální hladiny krve trvá několik hodin a poločas léčiva je mezi 24 a 48 hodinami. Po ukončení léčiva se hladiny plazmy pomalu klesají po dobu několika dnů. Chlordiazepoxid se vylučuje v moči 1% až 2% nezměněným a 3% až 6% jako konjugát.

Farmakologie zvířat: Lék byla rozsáhle studována u mnoha druhů zvířat a tyto studie naznačují účinek na limbický systém mozku, který nedávné důkazy naznačují, že se podílí na emocionálních reakcích.

Nepřátelské opice byly krotké perorálními dávkami léčiva, které nezpůsobily sedaci. Chlordiazepoxid HCI odhalil „zkrocení“ akci s odstraněním strachu a agrese. Zkrocení účinku chlordiazepoxidu HCI byl dále prokázán u potkanů ​​vyrobených zlé léze v septální oblasti mozku. Dávka léčiva, která účinně blokovala začarovanou reakci, byla hluboko pod dávkou, která u těchto zvířat způsobila sedaci.

Výhody kyseliny gama linolenové pro pokožku

LDM parenterálně podávané chlordiazepoxid HCI byl stanoven u myší (72 hodin) a potkanů ​​(5 dní) a vypočítal se podle metody Millera a Taintera s následujícími výsledky: myši IV 123 12 mg/kg; Myši IM 366 ± 7 mg/kg; potkany IV 120 ± 7 mg/kg; Krysy IM> 160 mg/kg.

Účinky na reprodukci: Reprodukční studie u potkanů ​​krmených 10 20 a 80 mg/kg denně a chované jednou nebo dvěma páváními nevykazovaly žádné vrozené anomálie ani neexistovaly nepříznivé účinky na laktaci přehrad nebo růst novorozence. V jiné studii při 100 mg/kg však bylo zaznamenáno významné snížení rychlosti oplodnění a výrazné snížení životaschopnosti a tělesné hmotnosti off-prací, které lze přičíst sedativní aktivitě, což má za následek nedostatek zájmu o páření a snižováno

mateřské ošetřovatelství a péče o mladé. Jeden novorozenec v každé z první a druhé páky ve studii reprodukce potkana při dávce 100 mg/kg vykazoval hlavní kosterní defekty. Probíhají další studie při určování významu těchto zjištění.

Informace o pacientovi pro libru

Aby se zajistilo bezpečné a efektivní používání pacientů s benzodiazepiny, by mělo být informováno, že protože benzodiazepiny mohou produkovat psychologickou a fyzickou závislost, je vhodné, aby konzultovali se svým lékařem před zvýšením dávky, nebo náhle tento lék přerušili.