Informace Na Stránce Nepředstavují Lékařskou Radu. Nic Neprodáváme. Přesnost Překladu Není Zaručena. Zřeknutí Se Odpovědnosti
Kortikosteroidy, inhalanty
Flovent
Shrnutí drog
Co je Flovent?
Flovent (fluticason propionát) je steroid používaný k prevenci astmatických útoků. Nebude léčit astmatický útok, který již začal.
Jaké jsou vedlejší účinky Flovent?
Flovent
- kopřivka
- potíže s dýcháním
- Otok vašeho obličeje rty jazyk nebo krk
- Bílé skvrny v ústech nebo na jazyku
- horečka
- zimnice
- kašel
- Trvalé bolesti v krku
- Problémy se zrakem
- zvýšená žízeň a močení
- Snadné modřiny nebo krvácení
- změny nálady
- deprese
- Swings nálady
- míchání
- Bolest kostí
- Těžké pískání a
- Těžká závratě
Získejte lékařskou pomoc okamžitě, pokud máte výše uvedené příznaky.
Mezi běžné vedlejší účinky flovent patří:
- chrapot
- bolest v krku
- Bílé skvrny v ústech/na jazyku
- Příznaky infekce (horečka zimnice kašel perzistentní bolest v krku)
- Problémy se zrakem
- zvýšená žízeň nebo močení
- Snadné modřiny nebo krvácení
- Změny mentální/nálady (například deprese Mood Swings Agitation)
- Bolest kostí
- síť
- rýma nebo ucpaný nos nebo
- bolest hlavy.
Odřídka Flovent může způsobit náhlé vážné sípání nebo potíže s dýcháním bezprostředně po jeho použití. Pokud k tomu dojde, použijte váš inhalátor rychlé reliéf a okamžitě získejte lékařskou pomoc.
Pokud máte následující vážné vedlejší účinky, vyhledejte lékařskou péči nebo zavolejte na číslo 911:
- Vážné příznaky očí, jako je ztráta náhlého vidění rozmazané vidění vidění Vision Vision Eye Eye Eye Eye Eye Eye Eye Eye nebo vidět halos kolem světel;
- Vážné příznaky srdce, jako je rychlé nepravidelné nebo bušení srdečního rytmu; třepování v hrudi; dušnost; a náhlé závratě lightheadness nebo omdlení;
- Těžká zmatek bolesti hlavy zkroucený řečový rameno nebo slabost nohou Potíže se ztrátou chůze pocitu koordinace Pocit nestabilní velmi tuhé svaly vysoké horečky bohaté pocení nebo třes.
Tento dokument neobsahuje všechny možné vedlejší účinky a mohou dojít k jiným. Další informace o vedlejších účincích najdete u svého lékaře.
Dávkování pro Flovent
Flovent by měl být orálně inhalován pouze u pacientů ve věku 12 let a starších. Doporučená počáteční dávka se pohybuje od 88-880 mcg dvakrát denně. Maximální doporučená dávka je 880 mcg dvakrát denně.
Jaké léčivé látky nebo doplňky interagují s Flovent?
Flovent může interagovat s conivaptan diclofenac imatinib isoniazid antibiotika antimykotiky Antidepresiva srdce nebo léky na krevní tlak nebo HIV / AIDS Medicine. Řekněte svému lékaři všechny léky, které užíváte.
Flovent během těhotenství nebo kojení
Během těhotenství by měl být flovent používán pouze tehdy, když je předepsán. Není známo, zda tento lék prochází do mateřského mléka. Před kojením se poraďte se svým lékařem.
Další informace
Naše flovent (fluticason propionát) vedlejší účinky léčivé centrum poskytuje komplexní pohled na dostupné informace o drogách o možných vedlejších účincích při užívání tohoto léku.
Informace o drogách FDA
- Popis léku
- Indikace
- Vedlejší účinky
- Lékové interakce
- Varování
- Opatření
- Předávkovat
- Klinická farmakologie
- Průvodce léky
Popis pro Flovent
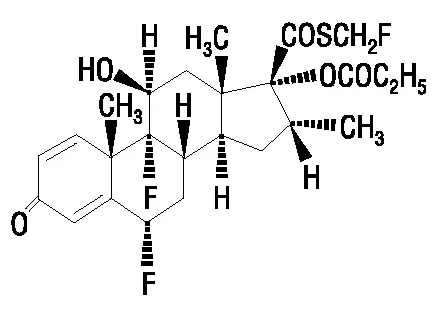
Aktivní složka flovent (flutikason propionát) 44 mcg inhalation aerosol flovent (fluticason propionate) 110 mcg inhalation aerosol a flovent 220 mcg inhalation aerosol je flutikason propionát je glukokortikoid s- (fluoromethyl) a 9-difluoro-11 b 17-dihydroxy-16 a -Methyl-3-oxoandrosta-14-diene-17 b -arbothioát 17-propionát a následující chemická struktura:
Propionát flutiky je bílý až bílý prášek s molekulovou hmotností 500,6. Je to prakticky nerozpustné ve vodě volně rozpustné u dimethylsulfoxidu a dimethylformamidu a mírně rozpustné v methanolu a 95% ethanolu.
Flovent (fluticason propionát) 44 mcg inhalation aerosol flovent (fluticason propionát) 110 mcg inhalation aerosol a flovent (fluticason propionate) 220 mcg inhalation aerosol jsou pod tlakem měřené dávky aerosolové jednotky. Každá jednotka obsahuje mikrokrystalický suspenzi flutikasonového propionátu (mikronizovaný) ve směsi 2 chlorofluorokarbonových hnilob (trichlorofluoromethan a dichlorodifluormethan) se sójovým lecitinem. Každé ovládání inhalátoru dodává z ventilu 50 125 nebo 250 mcg flutikyonu propionátu a 44 110 nebo 220 mcg z flutikyonového propionátu z pohonu.
Použití pro flovent
Inhalační aerosol flovent (fluticason propionát) je indikován pro udržovací léčbu astmatu jako profylaktické terapie. To je také indikováno u pacientů vyžadujících perorální kortikosteroidní terapii pro astma. Mnoho z těchto pacientů může být v průběhu času schopno snížit nebo eliminovat jejich požadavek na perorální kortikosteroidy.
Inhalační aerosol flovent (fluticason propionát) není indikován pro úlevu akutního bronchospasmu.
Dávkování pro Flovent
Inhalační aerosol by měl být podáván ústně inhalovanou cestou u pacientů ve věku 12 let a starších. Jednotliví pacienti zažijí variabilní čas na nástup a stupeň úlevy z příznaků. Obecně flovent (fluticason propionát) inhalační aerosol má relativně rychlý nástup účinku pro inhalační glukokortikoid. Zlepšení kontroly astmatu po inhalačním podávání flutikysonového propionátu může dojít do 24 hodin od počátečního léčby, ačkoli maximální přínos nemusí být dosažen po dobu 1 až 2 týdnů nebo déle po zahájení léčby.
Po dosažení stability astmatu (viz tabulka 2) je vždy žádoucí titrovat na nejnižší efektivní dávku, aby se snížila možnost vedlejších účinků. U pacientů, kteří adekvátně nereagují na počáteční dávku po 2 týdnech terapie vyšších dávek, může poskytnout další kontrolu astmatu. Bezpečnost a účinnost inhalačního aerosolu flovent (flutikason propionát) při podání nad doporučené dávky nebyla stanovena.
Doporučené počáteční dávkování a nejvyšší doporučené dávkování inhalačního aerosolu flovent (flutikason propionát) založené na předchozí antiastmatické terapii jsou uvedeny v tabulce 2.
| Tabulka 2. Doporučené dávky vložení inhalace aerosolu | ||
| Předchozí dávka terapie | Doporučené spuštění | Nejvyšší doporučené dávkování |
| Samotné bronchodilatátory | 88 mcg dvakrát denně | 440 mcg dvakrát denně |
| Inhalované kortikosteroidy | 88-220 mcg dvakrát denně * | 440 mcg dvakrát denně |
| Orální kortikosteroidy † | 880 mcg dvakrát denně | 880 mcg dvakrát denně |
| * Počáteční dávky nad 88 mcg dvakrát denně lze zvážit u pacientů s horší kontrolou astmatu nebo u pacientů, kteří dříve vyžadovali dávky inhalovaných kortikosteroidů, které jsou pro tento specifický činidlo ve vyšším rozmezí. | ||
| POZNÁMKA: U všech pacientů je žádoucí titrovat na nejnižší efektivní dávku, jakmile je dosaženo stability astmatu. | ||
| † U pacientů, kteří v současné době dostávají chronickou perorální kortikosteroidní terapii: Prednison by měl být snížen ne rychlejší než 2,5 mg/den na týdenní bázi, počínaje alespoň po 1 týdnu terapie s přitažlivým inhalačním aerosolem. Pacienti by měli být pečlivě sledováni na příznaky nestability astmatu, včetně sériových objektivních měření proudění vzduchu a příznaky nedostatečnosti nadledvin (viz viz Varování ). Jakmile je redukce prednisonu dokončena, měla by být dávka propionátu flutikysonu redukována na nejnižší efektivní dávku. |
Geriatrické použití
Ve studiích, kde vidíme geriatričtí pacienti (věk 65 let nebo starší OPATŘENÍ ) byly léčeny flovent (flutikasonový propionát) inhalační účinnost aerosolu a bezpečnost se nelišila od účinnosti u mladších pacientů. V důsledku toho se nedoporučuje žádná úprava dávky. Návod k použití
Ilustrované pokyny pro použití pacienta pro použití doprovázejí každý balíček inhalačního aerosolu Flovent (fluticason propionát).
Jak dodáno
Flovent (fluticason propionát) 44 mcg inhalační aerosol je dodáván v 7,9-g kanystry obsahující 60 měřidkových inhalací v institucionálních baleních 1 (NDC 0173-0497-00) a v 13-g kanystry obsahující 120 měřidkových inhalací v krabicích 1 (NDC 0173-00). Každý kanystr je dodáván s tmavě oranžovým ústním ovladačem s broskvovou popruh a pokyny pro pacienta. Každé ovládání inhalátoru přináší z ovladače 44 mg flutikasonu propionátu.
Flovent (fluticason propionát) 110 mcg inhalační aerosol je dodáván v 7,9-g kanystry obsahujících 60 měřidkových inhalací v institucionálních baleních 1 (NDC 0173-0498-00) a v 13-g kanystry obsahující 120 měřidkových inhalací v krabicích 1 (NDC 0173-00). Každý kanystr je dodáván s tmavě oranžovým ústním ovladačem s broskvovou popruh a pokyny pro pacienta. Každé ovládání inhalátoru přináší z ovladače 110 mcg flutikasonu propionátu.
Flovent (fluticason propionát) 220 mcg inhalační aerosol je dodáván v 7,9-g kanystry obsahujících 60 měřidkových inhalací v institucionálních baleních 1 (NDC 0173-0499-00) a v 13-g kanystry obsahující 120 měřidkových inhalací v krabicích 1 (NDC 0173-00). Každý kanystr je dodáván s tmavě oranžovým ústním ovladačem s broskvovou popruh a pokyny pro pacienta. Každé ovládání inhalátoru přináší z ovladače 220 mcg flutikasonu propionátu.
Flovent (fluticason propionát) kanystry jsou pro použití pouze s inhalačními ovladačními aerosolovými ovladači flovent (fluticason propionát). Pohony by se neměly používat s jinými aerosolovými léky.
Správné množství léků v každé inhalaci nelze zajistit po 60 inhalacích z nádoby 7,9-g nebo 120 inhalací z 13-g kanystr, i když kanystr není zcela prázdný. Při použití označeného počtu funkcí by měl být vyřazen kanystr.
Uložte mezi 2 ° a 30 ° C (36 ° a 86 ° F). Skladujte kanystr s náustkou dolů. Chraňte před teplotami mrazu a přímým slunečním světlem.
Vyvarujte se postřiku v očích. Obsah pod tlakem. Nepřipsačujte se ani nesparujte. Nepřikládejte při teplotách nad 120 ° F. Udržujte mimo dosah dětí. Pro dosažení nejlepších výsledků by měl být kanystr před použitím při pokojové teplotě. Před použitím se protřepejte.
Poznámka
Níže uvedené prohlášení je vyžadováno zákonem o čistém vzduchu federální vlády pro všechny produkty obsahující nebo vyrobené s chlorofluorokarbony (CFC).
Varování
Obsahuje trichlorofluoromethan a dichlorodifluoromethanové látky, které poškozují veřejné zdraví a životní prostředí zničením ozonu v horní atmosféře.
Oznámení podobné výše uvedenému varování bylo vloženo do letáku pro informace o pacientech podle předpisů EPA.
GlaxoSmithKline Research Triangle Park NC 27709 © 2004 GlaxosmithKline. Všechna práva vyhrazena. Březen 2004 RL-2067
Vedlejší účinky for Flovent
The incidence of common adverse events in Table 1 is based upon 7 placebo-controlled US clinical trials in which 1243 patients (509 female and 734 male adolescents and adults previously treated with as-needed bronchodilators and/or inhaled corticosteroids) were treated with FLOVENT (fluticasone propionate) Inhalation Aerosol (doses of 88 to 440 mcg twice daily for up to 12 týdny) nebo placebo.
| Tabulka 1. Celkové nežádoucí účinky s> 3% incidence v amerických kontrolovaných klinických studiích s floventským inhalačním aerosolem u pacientů, kteří dříve dostávali bronchodilatátory a/nebo inhalované kortikosteroidy | ||||
| Nežádoucí událost | Placebo (n = 475) % | Flovent 88 mcg dvakrát denně (n = 488) % | Flovent 220 mcg dvakrát denně (n = 95) % | Flovent 440 mcg dvakrát denně (n = 185) % |
| Nos a krk uší | ||||
| Zánět hltanu | 7 | 10 | 14 | 14 |
| Nosní přetížení | 8 | 8 | 16 | 10 |
| Sinusitida | 4 | 3 | 6 | 5 |
| Výboj z nosu | 3 | 5 | 4 | 4 |
| Dysfonie | 1 | 4 | 3 | 8 |
| Alergická rýma | 4 | 5 | 3 | 3 |
| Orální kandidóza | 1 | 2 | 3 | 5 |
| Respirační | ||||
| Infekce horních cest dýchacích | 12 | 15 | 22 | 16 |
| Chřipka | 2 | 3 | 8 | 5 |
| Neurologický | ||||
| Bolest hlavy | 14 | 17 | 22 | 17 |
| Průměrná doba expozice (dny) | 44 | 66 | 64 | 59 |
Tabulka 1 obsahuje všechny události (ať už považováno za léčivo nebo nesouvisející vyšetřovatele související s léčivem), které se vyskytly ve skupinách více než 3% ve skupinách léčených flovent (flutikasonový propionát) inhalační aerosol a byly běžnější než ve skupině placeba. Při zvažování těchto údajů je třeba vzít v úvahu průměrné trvání expozice.
Tyto nežádoucí účinky byly většinou mírné až střední závažnosti £ 2% pacientů, kteří studie přerušili z důvodu nežádoucích účinků. Byly hlášeny vzácné případy okamžitých a zpožděných hypersenzitivních reakcí, včetně kopřivky a vyrážky a dalších vzácných událostí angioedému a bronchospasmu.
Během kontrolovaných klinických studií s inhalačním aerosolem glukokortikoidů nebyly hlášeny během kontrolovaných klinických studií s flovent (flutikasonový propionát). Pokud jsou však doporučené dávky překročeny nebo pokud jsou jednotlivci zvláště citlivými příznaky hyperkorticismu, např. Mohl by dojít k syndromu Cushingu.
Další nežádoucí účinky, ke kterým došlo v těchto klinických studiích s použitím inhalačního aerosolu Flovent (fluticason propionát) s incidencí 1% až 3% a k tomu došlo při větším výskytu než u placeba, byly::
Nos a krk ucha: Bolest u nosní sinusů (ES) rinitidy.
Oko: Podráždění očí (očí).
Gastrointestinal: Nevolnost a zvracení průjmu dyspepsie a porucha žaludku.
Smíšený: Horečka.
Ústa a zuby: Zubní problém.
Muskuloskeletální: Bolest u bolesti podvrtnutí/napětí bolesti a bolesti bolesti u končetin.
Neurologický: Závratě/závratě.
Respirační: Přetížení hrudníku bronchitidy.
Kůže: Vyrážka dermatitidy/erupce kůže.
Urogenital: Dysmenorea.
V 16týdenní studii u pacientů s astmatem vyžadujícím perorální kortikosteroidy byly účinky flovent (flutikasonový propionát) inhalační aerosol 660 mcg dvakrát denně (n = 32) a 880 mcg dvakrát denně (n = 32) s placebem. Nežádoucí účinky (ať už se považovaly vyšetřovateli souvisejícím s léčivem nebo s léčivem nebo nesouvisejícím na léčivo) uváděné více než 3 pacienty v obou skupinách léčených flovent (flutikasonový propionát) inhalační aerosol a to bylo běžnější u flovent (flutikasonový propionát) než placebo níže: níže jsou uvedeny níže:
Nos a krk ucha: Zánět hltanu (9% a 25%) nasal congestion (19% a 22%) sinusitis (19% a 22%) nasal discharge (16% a 16%) dysphonia (19% a 9%) pain in nasal sinus(es) (13% a 0%) Caida-like oral lesions (16% a 9%) oropharyngeal caidiasis (25% a 19%).
Respirační: Infekce horních cest dýchacích (31% a 19%) influenza (0% a 13%). Ostatní: Bolest hlavy (28% a 34%) pain in joint (19% a 13%) nausea a vomiting (22% a 16%) muscular soreness (22% a 13%) malaise/fatigue (22% a 28%) insomnia (3% a 13%).
pilulky s 5 325 na nich
Pozorováno během klinické praxe
Kromě nežádoucích účinků hlášených z klinických studií byly během postgrapovačního použití flutikasonového propionátu identifikovány následující události. Protože jsou hlášeny dobrovolně z populace neznámých odhadů frekvence. Tyto události byly vybrány pro zařazení z důvodu jejich vážné frekvence hlášení nebo kauzálního spojení s propionátem flutikasonu nebo kombinací těchto faktorů.
Nos a krk ucha: Aphonia obličej a orofaryngeální edém chrapot Laryngitis a bolestivá bolest a podráždění.
Endokrinní a metabolický: Cushingoid má snížení růstové rychlosti u dětí/adolescentů hyperglykémie osteoporózy a přírůstku hmotnosti.
Oko: Katarakty.
Specifické: Velmi vzácná anafylaktická reakce.
Psychiatrie: Deprese a agrese a agrese a neklid.
Respirační: Astma exacerbace bronchospasm těsnost hrudníku těsnost kašle.
Kůže: Pokusy kožní hypersenzitivní reakce ekchymózy a pruritus. Eosinofilní podmínky: Ve vzácných případech mohou pacienti na inhalačním propionátu flutikasonu vykazovat systémové eosinofilní stavy u některých pacientů, kteří vykazují klinické rysy vaskulitidy, které jsou v souladu se syndromem Churg-Strauss a stav, který je často léčen systémovou kortikosteroidní terapií. Tyto události obvykle, ale ne vždy, byly spojeny s redukcí a/nebo stažením perorální kortikosteroidní terapie po zavedení flutikonového propionátu. Případy vážných eosinofilních stavů byly také hlášeny s jinými inhalačními kortikosteroidy v tomto klinickém prostředí. Lékaři by měli být ostražití eosinofilie Vaskulitické vyrážky zhoršující se plicní symptomy srdeční komplikace a/nebo neuropatie u svých pacientů. Kauzální vztah mezi propionátem flutikasonem a těmito základními podmínkami nebyl stanoven (viz viz OPATŘENÍ : Eosinofilní podmínky).
Lékové interakce for Flovent
Fluticason Propionát je substrát cytochromu P450 3A4. Studie interakce léčiva s vodným nosním sprejem pro propionát pro propionátu u zdravých subjektů ukázala, že ritonavir (vysoce silný inhibitor cytochromu P450 3A4) může významně zvýšit plazmatickou propionát expozice pro propionát pro propionátu pro propionátu, což má za následek významně sníženou koncentraci sérového kortizolu (viz (viz koncentrace sérového kortizolu (viz (viz koncentrace sérového kortizolu (viz koncentrace sérového kortizolu (viz koncentrace sérového kortizolu (viz koncentrace sérového kortizolu (viz koncentrace sérového kortizolu (viz Klinická farmakologie : Lékové interakce ). Během používání postmarketingu došlo k zprávám o klinicky významných lékových interakcích u pacientů, kteří dostávali flutikusonový propionát a ritonavir, což má za následek systémové kortikosteroidní účinky včetně syndromu Cushingu a potlačení nadledvin. Proto se nepodporuje flotikasonový propionát a ritonavir se proto nedoporučuje, pokud potenciální přínos pro pacienta převáží nad rizikem systémových vedlejších účinek kortikosteroidů.
Ve studii crossoveru s kontrolou placebem u 8 zdravých dobrovolníků souvisí s kopoucí jedinou dávkou orálně inhalovaného flutikasonového propionátu (1000 mcg) s více dávkami ketoconazolu (200 mg) na ustálený stav vedla ke zvýšenému průměrnému plazmatickému propionátu propionátu redukce plazmatického aceuc AUC Cortisol Cortisol. Upozornění by mělo být prováděno, pokud je inhalační aerosol flovent (flutikasonový propionát) podáván s ketokonazolem a dalšími známými silnými inhibitory cytochromu P450 3A4.
Varování for Flovent
U pacientů, kteří jsou přenášeni ze systémově aktivních kortikosteroidů na flovent (flutikasonový propionát) inhalační aerosol, je nutná zvláštní péče, protože úmrtí v důsledku nedostatečnosti nadledvin během přenosu ze systémových kortikosteroidů na méně systémově dostupné kortikosteroidy je nutná zvláštní péče. Po odběru ze systémových kortikosteroidů je pro zotavení funkce HPA zapotřebí několik měsíců.
Pacienti, kteří byli dříve udržováni na 20 mg nebo více denně za den prednisonu (nebo jeho ekvivalentního), mohou být nejvíce náchylnější, zejména pokud byly jejich systémové kortikosteroidy téměř úplně staženy. Během tohoto období pacientů s potlačováním HPA mohou vykazovat příznaky a symptomy nedostatečnosti nadledvin při vystavení chirurgii nebo infekci traumatu (zejména gastroenteritida) nebo jiných stavů spojených se závažnou ztrátou elektrolytů. Ačkoli inhalační aerosol flovent (flutikason propionát) může během těchto epizod v doporučených dávkách poskytnout kontrolu nad příznaky astmatu, která poskytuje méně než normální fyziologické množství glukokortikoidu systematicky a neposkytuje mineralokortikoidní aktivitu, která je nezbytná pro zvládání těchto událostí.
Během období stresu nebo závažných astmatických útoků pacienti, kteří byli staženi ze systémových kortikosteroidů, by měli být instruováni, aby okamžitě obnovili orální kortikosteroidy (ve velkých dávkách) a kontaktovali své lékaře, aby se další instrukci kontaktovali. Tito pacienti by měli být také instruováni, aby nesli varovnou kartu, což naznačuje, že mohou potřebovat doplňkové systémové kortikosteroidy během období stresu nebo závažného astmatického útoku.
Studie interakce léčiva u zdravých subjektů ukázala, že ritonavir (vysoce účinný inhibitor cytochromu P450 3A4) může významně zvýšit expozici flutikasonu propionátu v plazmě, což má za následek výrazně snížené koncentrace kortizolu v séru (viz viz koncentrace sérového kortizolu (viz viz koncentrace kortizolu v séru (viz viz koncentrace sérového kortizolu (viz viz koncentrace sérového kortizolu (viz (viz viz koncentrace sérového kortizolu (viz viz koncentrace sérového kortizolu (viz viz koncentrace kortizolu v séru (viz (viz koncentrace kortizolu v séru (viz (viz Klinická farmakologie : Lékové interakce a OPATŘENÍ : Lék Interakce ). Během používání postmarketingu došlo k zprávám o klinicky významných lékových interakcích u pacientů, kteří dostávali flutikusonový propionát a ritonavir, což má za následek systémové kortikosteroidní účinky včetně syndromu Cushingu a potlačení nadledvin. Proto se nepodporuje flotikasonový propionát a ritonavir se proto nedoporučuje, pokud potenciální přínos pro pacienta převáží nad rizikem systémových vedlejších účinek kortikosteroidů.
Pacienti vyžadující perorální kortikosteroidy by měli být pomalu odstaveni systémovým používáním kortikosteroidů po přenosu na inhalační aerosol (flutikason propionát). Ve studii s 96 pacienty bylo redukce prednisonu úspěšně provedeno snížením denní dávky prednisonu o 2,5 mg každý týden během přenosu do inhalovaného flutikonového propionátu. Následné redukce dávky prednisonu bylo povoleno pouze tehdy, když příznaky plic a potřebné Beta-agonista Používání bylo lepší než nebo srovnatelné s použitím před zahájením redukce dávky prednisonu. Funkce plic (FEV 1 nebo AM PEF) Beta-agonisty a příznaky astmatu by měly být pečlivě sledovány během stažení perorálních kortikosteroidů. Kromě monitorování astmatických příznaků a symptomů by měli být pozorováni pacienti pro příznaky a příznaky nadledvinky, jako je slabost únavy, nevolnost a zvracení a hypotenze.
Přenos pacientů ze systémové kortikosteroidní terapie na inhalační aerosol může odhalit podmínky, které dříve potlačily systémovou kortikosteroidní terapii, např. Konjunktivitida rinitidy ekzém a arthritis.
Osoby, které jsou na drogách, které potlačují imunitní systém, jsou náchylnější k infekcím než zdraví jedinci. Například plané neštovice a spalničky mohou mít vážnější nebo dokonce smrtelnější kurz u vnímavých dětí nebo dospělých na kortikosteroidech. U takových dětí nebo dospělých, kteří neměli tyto nemoci, by měla být věnována zvláštní péči, aby se zabránilo expozici. Není známo, jak dávka a trvání podávání kortikosteroidů ovlivňuje riziko vzniku šířené infekce. Rovněž není znám příspěvek základní onemocnění a/nebo předchozí léčby kortikosteroidů k riziku. Pokud může být vystavena profylaxi neštovic s varicella zoster imunitním globulinem (VZIG). Pokud může být vystavena profylaxi spalniček se sdruženým intramuskulárním imunoglobulinem (IG). (Úplné informace o předepisování VZIG a IG viz příslušné vložky balíčku. Antivirová agenti mohou být zváženi.
Inhalační aerosol Flovent (fluticason propionát) nelze považovat za bronchodilatátor a není indikován pro rychlou reliéf bronchospasmu.
Stejně jako u jiných inhalovaných astmatických léků se může bronchospasmus objevit s okamžitým zvýšením sípání po dávkování. Pokud dojde k bronchospasmu po dávkování s inhalačním aerosolem flovent (flutikasonový propionát), měl by být okamžitě ošetřen rychle působícím inhalovaným bronchodilatátorem. Léčba inhalačním aerosolem flovent (fluticason propionát) by měla být přerušena a zavedena alternativní terapie.
Pacienti by měli být instruováni, aby okamžitě kontaktovali své lékaře, když se v průběhu léčby flovent (flutikasonový propionát) inhalační aerosol vyskytují epizody astmatu, které nereagují na bronchodilatátory. Během takových epizod může pacienti vyžadovat terapii perorálními kortikosteroidy.
Opatření for Flovent
Generál
Během stažení z perorálních kortikosteroidů mohou někteří pacienti zažít příznaky systematicky aktivního odstoupení z kortikosteroidů, např. Kloubová a/nebo svalová bolest a deprese navzdory udržování nebo dokonce zlepšení respirační funkce.
Propionát flotikysonu často umožňuje kontrolu příznaků astmatu s menším potlačením funkce HPA než terapeuticky ekvivalentní perorální dávky prednisonu. Protože je propionát flotikasonu absorbován do oběhu a může být systémově aktivní při vyšších dávkách, mohou být očekávány, že prospěšné účinky flovent (fluticason propionát) při minimalizaci dysfunkce HPA lze očekávat pouze tehdy, pokud nejsou doporučené dávky překročeny. Po 4 týdnech léčby flovent (flutikasonový propionát) inhalační aerosol byl prokázán vztah mezi hladinami plazmatického propionátu a inhibiční účinky inhibiční inhibiční účinky na stimulovanou produkci kortizolu. Vzhledem k tomu, že individuální citlivost na účinky na produkci kortizolu existuje lékaři by měli tyto informace zvážit při předepisování inhalačního aerosolu (Fluticasone Propionate).
Vzhledem k možnosti systémové absorpce inhalačních kortikosteroidů by měla být pečlivě pozorována z jakýchkoli důkazů o systémových kortikosteroidních účincích. Zvláštní pozornost by měla být věnována pozorování pacientů po operaci nebo během období stresu pro důkaz nedostatečné odpovědi nadledvinky.
Je možné, že systémové kortikosteroidní účinky, jako je hyperkorticismus a potlačení nadledvin (včetně adrenální krize), se mohou objevit u malého počtu pacientů, zejména pokud se podávají inhalační aerosol flovent (flutikason). Pokud se takové účinky vyskytnou, flutikason propionát inhalace aerosol by měl být snížen pomalu v souladu s přijímanými postupy pro snižování systémových kortikosteroidů a pro léčbu astmatických symptomů.
Snížení rychlosti růstu u dětí nebo teenagerů může nastat v důsledku nedostatečné kontroly chronických onemocnění, jako je astma nebo používání kortikosteroidů pro léčbu. Lékaři by měli úzce sledovat růst adolescentů, kteří užívají kortikosteroidy jakoukoli trasou a zvážit výhody kortikosteroidní terapie a kontroly astmatu proti možnosti potlačení růstu, pokud se zdá zpomalení růstu adolescentů.
Dlouhodobé účinky propionátu flutikasonu u lidských subjektů nejsou zcela známy. Zejména účinky vyplývající z chronického využití propionátu flutikasonu na vývojové nebo imunologické procesy v ústech Pharynx Trachea a plíce nejsou známy. Někteří pacienti dostávali flutikasonový propionát inhalační aerosol nepřetržitě po dobu 3 let nebo déle. V klinických studiích s pacienty léčenými téměř 2 roky inhalovaným flutikasonem propionátem nebyly pozorovány zjevné rozdíly v typu nebo závažnosti nežádoucích účinků po dlouhodobé léčbě.
Po inhalačním podávání kortikosteroidů včetně propionátu glaukomu byly hlášeny vzácné případy glaukomu.
V klinických studiích s inhalovaným flutikasonem propionátová vývoj lokalizovaných infekcí hltanu s Candida albicans došlo. Když se taková infekce vyvíjí, měla by být léčena vhodnou lokální nebo systémovou (tj. Orální antifungální) terapií, zatímco zůstane při léčbě flovent (flutikasonový propionát) inhalační aerosol, ale občas terapie flovent (fluticason propionát) může být přerušena.
Inhalované kortikosteroidy should be used with caution if at all in patients with active or quiescent tuberculosis infection of the respiratory tract; untreated systemic fungal bacterial viral or parasitic infections; or ocular herpes simplex.
Eosinofilní podmínky
Ve vzácných případech mohou pacienti na inhalačním propionátu flutikusonu vykazovat systémové eozinofilní stavy u některých pacientů s klinickými rysy vaskulitidy v souladu se syndromem Churg-Strauss a stav, který je často léčen systémovou kortikosteroidní terapií. Tyto události obvykle, ale ne vždy, byly spojeny s redukcí a/nebo stažením perorální kortikosteroidní terapie po zavedení flutikonového propionátu. Případy vážných eosinofilních stavů byly také hlášeny s jinými inhalačními kortikosteroidy v tomto klinickém prostředí. Lékaři by měli být upozorněni na eosinofilii vaskulitické vyrážky zhoršující se plicní symptomy srdeční komplikace a/nebo neuropatii prezentující u svých pacientů. Kauzální vztah mezi propionátem flutikasonem a těmito základními podmínkami nebyl stanoven (viz viz Nežádoucí účinky ).
Informace pro pacienty
Pacienti léčeni flovent (flutikasonový propionát) inhalační aerosol by měli dostávat následující informace a pokyny. Účelem těchto informací je pomoci při bezpečném a efektivním užívání tohoto léku. Nejedná se o zveřejnění všech možných nepříznivých nebo zamýšlených účinků.
Pacienti by měli v pravidelných intervalech používat inhalační aerosol flovent (fluticason propionát) podle pokynů. Výsledky klinických studií naznačují, že se může dojít k významnému zlepšení během prvního nebo dvou léčby; Úplného přínosu však nemusí být dosaženo, dokud nebude léčba podána po dobu 1 až 2 týdnů nebo déle. Pacient by neměl zvýšit předepsanou dávku, ale měl by se kontaktovat lékaře, pokud se příznaky nezlepšují nebo pokud se stav zhoršuje.
Po inhalaci opláchněte ústa vodou bez polykání.
Pacienti by měli být varováni, aby se vyhnuli vystavení plané neštovic nebo spalničkám, a pokud jsou vystaveni bezprostřední konzultaci s lékařem.
Pro správné použití inhalačního aerosolu a pro maximální zlepšení by měl pacient číst a pečlivě dodržovat pokyny pro použití doprovázejícím produktu.
Zhodnocení mutageneze karcinogeneze plodnosti
Propionát Fluticasone neprokázal žádný tumorigenní potenciál ve studiích o perorálních dávkách až do 1 000 mcg/kg (přibližně 2krát maximální lidská denní inhalační dávka založená na MCG/M M 2 ) po dobu 78 týdnů v myši nebo inhalaci až 57 mcg/kg (přibližně 1/4 maximální lidská denní inhalační dávka založená na MCG/M 2 ) po dobu 104 týdnů u potkanů.
Fluticason propionát neindukoval mutaci genu v prokaryotických nebo eukaryotických buňkách in vitro . Nebyl pozorován žádný významný clastogenní účinek u kultivovaných lidských periferních lymfocytů in vitro nebo v myším mikronukleovém testu, když se podávají ve vysokých dávkách ústními nebo subkutánními trasami. Kromě toho sloučenina nezdvižila dělení erytroblastů v kostní dřeni.
V reprodukčních studiích prováděných u potkanů nebylo podáno poddajné dávky až 50 mcg/kg (přibližně 1/4 maximální lidská denní inhalační dávka založená na MCG/M podávané na MCG/M, žádný důkaz o zhoršení plodnosti založené na MCG/M podávaných u potkanů poddobených poddajným poddajným do 50 mcg/kg (přibližně 1/4 přibližně 1/4. 2 ) u mužů a žen. Hmotnost prostaty však byla u potkanů významně snížena.
Těhotenství
Teratogenní účinky: Těhotenství Category C. Subcutaneous studies in the mouse a rat at 45 a 100 mcg/kg respectively (approximately 1/10 a 1/2 the Maximum human daily inhalation dose based on mcg/m 2 respektive) odhalila toxicita fetální charakteristika silných glukokortikoidních sloučenin, včetně embryonální retardace růstu omfalocele rozštěp patra a retardované lebeční osifikace.
Při redukci hmotnosti králičí plodu a rozštěpu patro byly pozorovány po subkutánních dávkách 4 mcg/kg (přibližně 1/25 maximální lidská denní inhalační dávka založená na MCG/M 2 ). However following oral administration of up to 300 mcg/kg (approximately 3 times the Maximum human daily inhalation dose based on mcg/m 2 )) flutikasonu propionátu na králíka neexistovaly žádné účinky matek ani zvýšené výskyt vnějších viscerálních nebo kosterních plodových defektů. V plazmě v této studii nebyl v této studii detekován žádný propionát pro propionát flutiky. Klinická farmakologie ).
Méně než 0,008% podávané dávky překročilo placentu po ústním podání 100 mcg/kg potkanům nebo 300 mcg/kg králíkům (přibližně 1/2 a 3krát maximální maximální lidská každodenní inhalační dávka na základě MCG/m 2 respektive).
Neexistují žádné adekvátní a dobře kontrolované studie u těhotných žen. Inhalační aerosol flovent (fluticason propionát) by měl být použit během těhotenství, pouze pokud potenciální výhoda ospravedlňuje potenciální riziko pro plod.
Zkušenosti s perorálními glukokortikoidy od jejich zavedení ve farmakologickém stavu na rozdíl od fyziologických dávek naznačují, že hlodavci jsou náchylnější k teratogenním účinkům glukokortikoidů než lidé. Kromě toho proto, že dochází k přirozenému zvýšení produkce glukokortikoidů během těhotenství, většina žen bude vyžadovat nižší exogenní dávku glukokortikoidů a mnoho z nich nebude potřebovat léčbu glukokortikoidů během těhotenství.
Ošetřovatelské matky
Není známo, zda je propionát flutikysonu vylučován v lidském mateřském mléce. Subkutánní podávání 10 mcg/kg tritifikovaných léků na kojící potkany (přibližně 1/20 Maximální lidská denní inhalační dávka na základě MCG/M 2 ) vyústilo v měřitelnou radioaktivitu v plazmě i na mléce. Protože glukokortikoidy jsou vylučovány v lidském mléce, mělo by být prováděno, když se ošetřovatelskou ženu podává inhalační aerosol propionátu propionátu flutikysonu.
Dětské použití
Sto třicet sedm (137) pacientů ve věku 12 až 16 let bylo léčeno flovent (flutikasonový propionát) inhalační aerosol v amerických klíčových klinických studiích. Bezpečnost a účinnost inhalačního aerosolu flovent (flutikason propionát) u dětí mladších 12 let nebyla stanovena. Ukázalo se, že perorální kortikosteroidy způsobují snížení rychlosti růstu u dětí a teenagerů s prodlouženým používáním. Pokud se zdá, že dítě nebo teenager na jakémkoli kortikosteroidu má potlačení růstu, je třeba zvážit možnost, že jsou zvláště citlivé na tento účinek kortikosteroidů (viz viz OPATŘENÍ ).
Geriatrické použití
Pět set sedmdesáti čtyř (574) pacientů ve věku 65 let nebo starších bylo léčeno inhalačním aerosolem v klinických studiích v USA a mimo USA. Ve srovnání s těmi, které uvádějí mladší pacienti, nebyly žádné rozdíly v nežádoucích účincích.
Informace o předávkování pro Flovent
Chronická předávkování může mít za následek příznaky/příznaky hyperkorticismu (viz OPATŘENÍ ). Inhalace zdravých dobrovolníků z jedné dávky 1760 nebo 3520 mcg flutikasonového propionátového inhalačního aerosolu byla dobře tolerována. Propionát flutikysonu podávaný inhalačním aerosolem v dávkách 1320 mcg dvakrát denně po dobu 7 až 15 dnů zdravým lidským dobrovolníkům byl také dobře tolerován. Opakované perorální dávky až 80 mg denně po dobu 10 dnů u zdravých dobrovolníků a opakované perorální dávky až 20 mg denně po dobu 42 dnů u pacientů byly dobře tolerovány. Nežádoucí účinky měly mírnou nebo mírnou závažnost a incidence byly podobné ve skupinách aktivních a placebem. Orální a subkutánní střední letální dávky u potkanů a myší byly> 1000 mg/kg (> 2000krát maximální denní denní inhalační dávka založená na Mg/M m 2 ).
Kontraindikace pro Flovent
Flovent (fluticason propionát) inhalační aerosol je kontraindikován v primární léčbě stavu astmatikus nebo jiných akutních epizod astmatu, kde jsou vyžadována intenzivní opatření.
Hypersenzitivita na některou z složek těchto přípravků kontraindikuje jejich použití (viz POPIS ).
Klinická farmakologie for Flovent
Propionát flutikasonu je syntetický trifluorinovaný glukokortikoid se silnou protizánětlivou aktivitou. In vitro testy využívající přípravky lidského plicního cytosolu zakázaly flutikasonový propionát jako lidský glukokortikoidní receptor agonista s afinitou 18krát větší než dexamethason téměř dvojnásobek toho, jak je to beclomethason-17-monopropionát (BMP) aktivní metabolitu beclomethasonu nepopropionátu. Data z testu McKenzie Vasoconstrictor u člověka jsou s těmito výsledky v souladu.
Přesné mechanismy účinku glukokortikoidů u astmatu nejsou známy. Zánět je považován za důležitou složku v patogenezi astmatu. Bylo prokázáno, že glukokortikoidy inhibují více typů buněk (např. Eozinofily žírných buněk bazofily lymfocytů makrofágů a neutrofilů) a produkci nebo sekreci mediátoru (např. Histamin eikosanoidy leukotrieny a cytokíny) zapojené do astmatických odezvy. Tyto protizánětlivé účinky glukokortikoidů mohou přispět k jejich účinnosti u astmatu.
Ačkoli vysoce účinný pro léčbu astmatu glukokortikoidů neovlivňují příznaky astmatu okamžitě. Zlepšení po inhalačním podávání flutikasonového propionátu však může dojít do 24 hodin od začátku léčby, ačkoli maximální přínos nemusí být dosažen po dobu 1 až 2 týdnů nebo déle po zahájení léčby. Když jsou glukokortikoidy přerušeny astmatem, může stabilita astmatu přetrvávat několik dní nebo déle.
Farmakokinetika
Vstřebávání: Aktivita inhalačního aerosolu flovent (flutikason propionát) je způsobena propionátem mateřského léčiva. Studie využívající perorální dávkování značeného a neznačeného léčiva prokázaly, že ústní systémová biologická dostupnost flutikosonu propionátu je zanedbatelná ( <1%) primarily due to incomplete absorption a presystemic metabolism in the gut a liver. In contrast the majority of the fluticasone propionate delivered to the lung is systemically absorbed. The systemic bioavailability of fluticasone propionate inhalation aerosol in healthy volunteers averaged about 30% of the dose delivered from the actuator.
Vrcholové plazmatické koncentrace po inhalované dávce 880 mcg se pohybovaly od 0,1 do 1,0 ng/ml. Rozdělení: Po intravenózním podání byla počáteční fáze dispozice pro propionát flutikysonu rychlá a v souladu s jeho vysokou rozpustností lipidů a vazbou na tkáň. Objem distribuce byl v průměru 4,2 l/kg. Procento propionátu flutikysonu vázaného na lidské plazmatické proteiny v průměru bylo 91%. Propionát flutiky je slabě a reverzibilně vázán na erytrocyty. Propionát Fluticason není významně vázán na lidský trankortin.
Metabolismus: Celková clearance propionátu flutikysonu je vysoká (průměrná 1093 ml/min), přičemž renální clearance činí méně než 0,02% z celkového počtu. Jediný cirkulující metabolit detekovaný u člověka je 17 b -Carboxylové kyseliny derivát propionátu flutikysonu, který je tvořen cestou cytochromu P450 3A4. Tento metabolit měl přibližně 2000krát menší afinitu než mateřský lék pro glukokortikoidní receptor lidského plicního cytosolu in vitro a zanedbatelnou farmakologickou aktivitu ve studiích na zvířatech. Jiné metabolity detekované in vitro pomocí kultivovaných lidských hepatomových buněk nebyly u člověka detekovány.
Vylučování: Po intravenózním dávkovacím propionátu vykazoval polyexponenciální kinetiku a měl poločas eliminace terminálu přibližně 7,8 hodiny. Méně než 5% radioaktivně značené perorální dávky bylo vylučováno v moči, protože metabolity s zbytkem vylučovaným ve stolici jako rodičovské léčivo a metabolity.
Zvláštní populace: Formální farmakokinetické studie využívající propionát flutikasonu nebyly prováděny v žádné zvláštní populaci. V klinické studii s použitím flutikasonového propionátového inhalačního prášku se koryto flutikason propionátová plazmatická koncentrace shromáždily u 76 mužů a 74 žen po inhalačním podání 100 a 500 mcg dvakrát denně. Úplné farmakokinetické profily byly získány od 7 pacientů a 13 pacientů mužů v těchto dávkách a nebyly nalezeny žádné celkové rozdíly ve farmakokinetickém chování.
Lékové interakce
Fluticason Propionát je substrát cytochromu P450 3A4.
Souběžné podávání flutikasonového propionátu a vysoce účinného inhibitoru cytochromu P450 3A4 ritonavir se nedoporučuje na základě studie interakce léčiva s více dávkami u 18 zdravých subjektů. Fluticason propionát vodný nosní sprej (200 mcg jednou denně) byl společně podáván po dobu 7 dnů s ritonavirem (100 mg dvakrát denně). Koncentrace plazmatického flutikasonu propionátu po floticeonu propionátovém vodném nosním spreji samo o sobě byly nedetekovatelné ( <10 pg/mL) in most subjects a when concentrations were detectable peak levels (C Max Průměrně 11,9 pg/ml [rozmezí 10,8 až 14,1 pg/ml] a AUC (0-T) Průměrně 8,43 str · HR/ML [rozsah 4,2 až 18,8 str. · HR/ML]). Futicason Propionate c Max a AUC (0-T) zvýšeno na 318 pg/ml (rozmezí 110 až 648 pg/ml) a 3102,6 pg · HR/ML (rozsah 1207.1 až 5662.0 pg · HR/ML) po souběžném podávání ritonaviru s vodným nosním sprejem flutikasonem. Toto významné zvýšení expozice plazmatické expozice propionátu propionátu vedlo k významnému poklesu (86%) v oblasti plazmatického kortizolu pod plazmatickou koncentrací oproti časové křivce (AUC).
Upozornění by mělo být posouzeno, když jsou jiné účinné inhibitory cytochromu P450 3A4 spojeny s flutikasonem propionátem. Ve studii interakce s léčivem komisí orálně inhalovaného flotikasonového propionátu (1000 mcg) a ketokonazolu (200 mg jednou denně) vedlo ke zvýšené expozici plazmatického flutikasonu propionátu a snížilo se plazmatický kortizol AUC, ale neměly žádný účinek na vylučování močového kortizolu.
V další studii interakce s více dávkami léčiva související s úpravou orálně inhalovaného flutikasonového propionátu (500 mcg dvakrát denně) a erytromycinu (333 mg 3krát denně) neovlivnily farmakokinetiku propionátu propionátu.
Farmakodynamika
Pro potvrzení, že systémová absorpce nehraje roli v klinické odpovědi na inhalační flutikuson propionát, byla provedena dvojitě zaslepená klinická studie srovnávající inhalační a perorální flotikasonový propionát. Dávky 100 a 500 mcg dvakrát denně denně inhalačního inhalačního prášku propionátu propionátu byly porovnány s perorálním flutikasonem propionátem 20000 mcg, který byl dán jednou denně a placebem po dobu 6 týdnů. Plazmatické hladiny propionátu flutikysonu byly detekovatelné ve všech 3 aktivních skupinách, ale střední hodnoty byly nejvyšší ve skupině orálních. Obě dávky inhalačního propionátu flutikysonu byly účinné při zachování stability astmatu a zlepšování funkce plic, zatímco perorální propionát a placeba byl neúčinný. To ukazuje, že klinická účinnost inhalačního propionátu flutikysonu je způsobena jeho přímým místním účinkem a nikoli nepřímým účinkem systémovou absorpcí.
U pacientů s astmatem byly také studovány potenciální systémové účinky inhalačního propionátu flutikysonu na osu hypothalamicko-hypofýzy (HPA).
Propionát flutikasonu podávaný inhalačním aerosolem v dávkách 220 440 660 nebo 880 mcg dvakrát denně byl porovnán s placebem nebo perorálním prednisonem 10 mg podávaný jednou denně po dobu 4 týdnů. U většiny pacientů byla schopnost zvýšit produkci kortizolu v reakci na stres, jak bylo hodnoceno 6hodinovou stimulací kosmenopinu, intaktní s inhalovanou léčbou flutikusonu propionátu. Žádný pacient neměl abnormální odpověď (vrchol méně než 18 mcg/dl) po dávkování placebem nebo 220 mcg dvakrát denně. Deset procent (10%) až 16% pacientů léčených flutikasonem propionátem v dávkách 440 mcg nebo více dvakrát denně mělo abnormální odpověď ve srovnání s 29% pacientů léčených prednisonem.
Klinické studie
V roce 1818 dospívajících a dospělých pacientů s astmatem byla provedena dvojitě slepá paralelní skupina placebem kontrolované americké klinické studie a při léčbě astmatu při léčbě astmatu. Pevné dávky v rozmezí od 22 do 880 mcg dvakrát denně byly porovnány s placebem, aby se poskytly informace o vhodném dávkování pro pokrytí rozsahu závažnosti astmatu. Pacienti s astmatem zahrnutými do těchto studií byli pacienti, kteří nebyli adekvátně kontrolováni pouze beta-agonisty, kteří byli již udržovaní na denních inhalovaných kortikosteroidech a pacientech vyžadujících perorální kortikosteroidní terapii. Ve všech pokusech o účinnost ve všech dávkách měření plicní funkce (vynucené expirační objem za 1 sekundu [FEV 1 ] a ranní expirační tok píku [AM PEF]) se ve srovnání s placebem statisticky významně zlepšily.
Ve 2 klinických studiích s 660 pacienty s astmatem byl nedostatečně kontrolován pouze na bronchodilatátorech samotných flovent (flutikasonový propionát) inhalační aerosol v dávkách 44 a 88 mcg dvakrát denně. Obě dávky flovent (flutikason propionát) inhalační aerosol významně zlepšily kontrolu astmatu ve srovnání s placebem.
Obrázek 1 zobrazuje výsledky testů plicních funkcí pro doporučené počáteční dávkování inhalačního aerosolu flovent (flutikason propionát) (88 mcg dvakrát denně) a placeba z 12týdenní studie u pacientů s astmatem s astmatem, který je nedostatečně kontrolován pouze na bronchodilatátorech. Protože tato studie použila předem určená kritéria pro nedostatek účinnosti, která způsobila, že více pacientů ve skupině s placebem bylo staženo výsledky plicní funkce v koncovém bodě, což je poslední hodnotící FEV 1 Výsledek a zahrnuje také většina pacientů plicních funkcí. Plicní funkce se významně zlepšila s inhalačním aerosolem flovent (flutikason propionát) ve srovnání s placebem do druhého týdne léčby a toto zlepšení bylo udržováno po celou dobu studie.
Obrázek 1.. 12týdenní klinická studie u pacientů, kteří se nedostatečně kontrolovali na samotné bronchodilatátory: průměrná procenta změna oproti základní linii v FEV 1 Před dávkou AM
V klinických studiích s 924 pacienty s astmatem již dostávajícím denně inhalovanou kortikosteroidní terapii (dávky nejméně 336 mcg/den beclomethasonu dipropionátu) kromě as-nutného albuterolu (46% všech pacientů) 22 až 440 mcg dvakrát denně pro aerosol) byly také dostihové aerosol) rovněž dostihové) dostihy) byly také dostihové). Všechny dávky inhalačního aerosolu flovent (flutikason propionát) byly účinné ve srovnání s placebem v hlavních koncových bodech včetně funkce plic a skóre symptomů. Pacienti léčeni flovent (flutikasonový propionát) inhalační aerosol také méně pravděpodobné, že ukončili účast na studii v důsledku zhoršení astmatu (jak je definováno předem stanovenými kritérii pro nedostatek účinnosti, včetně funkcí plic a pacienta zaznamenaných proměnných, jako je AM PEF albuterol, astma).
Obrázek 2 ukazuje výsledky plicní funkce z 12týdenní klinické studie u pacientů s astmatem již dostávajícím denně inhalovanou kortikosteroidní terapií (beclomethason dipropionát 336 až 672 mcg/den). Průměrná procenta se změní oproti základní linii v plicních funkcích vede k inhalačnímu aerosolovému dávkám 88 220 a 440 mcg dvakrát denně a placebo je uvedeno během 12týdenního pokusu. Protože tato studie také použila předem určená kritéria pro nedostatek účinnosti, která způsobila, že je zahrnuto výsledky plicní funkce v placebo skupině ve skupině s placebem v koncovém bodě. Plicní funkce se významně zlepšila s inhalačním aerosolem flovent (flutikason propionát) ve srovnání s placebem do prvního týdne léčby a zlepšení bylo udržováno po celou dobu studie. Analýza výsledků koncového bodu, které se upravily o míře rozdílného stažení, ukázala, že plicní funkce se významně zlepšila s inhalačním aerosolem flovent (flutikason propionát) ve srovnání s léčbou placebem. Podobná zlepšení funkce plic byla pozorována v dalších 2 studiích u pacientů léčených inhalovanými kortikosteroidy na začátku.
Obrázek 2. 12-týdenní klinická studie s pacienty, kteří již dostávali inhalační kortikosteroidy: průměrná procenta změna od výchozí hodnoty v FEV 1 Před dávkou AM
V klinické studii s 96 pacienty se závažnou astmatem vyžadující chronickou perorální prednisonovou terapii (průměrná výchozí denní dávka prednisonu byla 10 mg) dvakrát denně dávky 660 a 880 mcg flovent (flutikasonový propionát) inhalační aerosol. Obě dávky umožnily statisticky významně větší procento pacientů k úspěšnému odstavení perorálního prednisonu ve srovnání s placebem (69% pacientů na 660 MCG dvakrát denně a 88% pacientů na 880 mcg dvakrát denně ve srovnání s 3% pacientů na placebu). Doprovázející snížení užívání perorálních kortikosteroidů pacienty léčených inhalačním aerosolem flovent (flutikason propionát) významně zlepšilo funkci plic a méně příznaků astmatu ve srovnání se skupinou placeba.
Obrázek 3. 16týdenní klinická studie u pacientů vyžadujících chronickou perorální prednisonovou terapii: změna v dávce prednisonu údržby
Informace o pacientovi pro Flovent
Pacienti léčeni flovent (flutikasonový propionát) inhalační aerosol by měli dostávat následující informace a pokyny. Účelem těchto informací je pomoci při bezpečném a efektivním užívání tohoto léku. Nejedná se o zveřejnění všech možných nepříznivých nebo zamýšlených účinků.
Pacienti by měli v pravidelných intervalech používat inhalační aerosol flovent (fluticason propionát) podle pokynů. Výsledky klinických studií naznačují, že se může dojít k významnému zlepšení během prvního nebo dvou léčby; Úplného přínosu však nemusí být dosaženo, dokud nebude léčba podána po dobu 1 až 2 týdnů nebo déle. Pacient by neměl zvýšit předepsanou dávku, ale měl by se kontaktovat lékaře, pokud se příznaky nezlepšují nebo pokud se stav zhoršuje.
Po inhalaci opláchněte ústa vodou bez polykání.
Pacienti by měli být varováni, aby se vyhnuli vystavení plané neštovic nebo spalničkám, a pokud jsou vystaveni bezprostřední konzultaci s lékařem.
Pro správné použití inhalačního aerosolu a pro maximální zlepšení by měl pacient číst a pečlivě dodržovat pokyny pro použití doprovázejícím produktu.