Informace Na Stránce Nepředstavují Lékařskou Radu. Nic Neprodáváme. Přesnost Překladu Není Zaručena. Zřeknutí Se Odpovědnosti



AiMovig

Shrnutí drog

Co je Aimovig?

Injekce Aimovig (Erenumab-aooe) je antagonista peptidového receptoru souvisejícího s peptidem v genu pro preventivní léčbu migrény u dospělých.

Jaké jsou vedlejší účinky Aimovigu?

Mezi běžné vedlejší účinky Aimovigu patří:



  • Reakce místa injekce (bolest nebo zarudnutí)
  • zácpa a
  • svalové křeče nebo
  • křeče

Pokud máte následující vážné vedlejší účinky, vyhledejte lékařskou péči nebo zavolejte na číslo 911:



  • Vážné příznaky očí, jako je ztráta náhlého vidění rozmazané vidění vidění Vision Vision Eye Eye Eye Eye Eye Eye Eye Eye nebo vidět halos kolem světel;
  • Vážné příznaky srdce, jako je rychlé nepravidelné nebo bušení srdečního rytmu; třepování v hrudi; dušnost; a náhlé závratě lightheartiesness nebo omdlení;
  • Těžká zmatek bolesti hlavy zkažená paže řeči nebo slabost nohou Potíže se ztrátou chůze pocitu koordinace Nestabilní velmi tuhé svaly vysoké horečky bohaté pocení nebo třes.

Tento dokument neobsahuje všechny možné vedlejší účinky a mohou dojít k jiným. Další informace o vedlejších účincích najdete u svého lékaře.

Dávkování pro Aimovig

Doporučená dávka Aimovigu je 70 mg jednou měsíčně; Někteří pacienti mohou těžit z dávky 140 mg jednou měsíčně, což je podáváno jako dvě po sobě jdoucí subkutánní injekce 70 mg.



Jaké léčivé látky nebo doplňky interagují s Aimovigem?

Aimovig může interagovat s jinými léky. Řekněte svému lékaři všechny léky a doplňky, které používáte.

Aichovig během těhotenství a kojení

Řekněte svému lékaři, pokud jste těhotná nebo plánujete otěhotnět před použitím AiMovigu; Není známo, jak by to mohlo ovlivnit plod. Není známo, zda Aimovig přejde do mateřského mléka. Před kojením se poraďte se svým lékařem.

Další informace

Naše injekce AiMovig (Erenumab-Aooe) pro subkutánní použití vedlejších účinků Drug Center poskytuje komplexní pohled na dostupné informace o možných vedlejších účincích při užívání tohoto léku.

Informace o drogách FDA

Popis pro Aimovig

Erenumab-aooe je monoklonální protilátka, která má vysokou afinitní vazbu na peptidový receptor související s kalcitoninem genu. Erenumab-aooe se vyrábí pomocí technologie rekombinantní DNA v buňkách vaječníků čínského křečka (CHO). Skládá se ze 2 těžkých řetězců, z nichž každý obsahuje 456 aminokyselin a 2 světelné řetězce podtřídy Lambda, každý obsahující 216 aminokyselin s přibližnou molekulovou hmotností 150 kDa.

Injekce Aimovig (Erenumab-aooe) je dodávána jako sterilní bezvěřovací čistota, aby se pro podkožní podání podkořilo. Každý 1 ml předběžný autoinjektor s jednou dávkou a jednodávkovou skleněnou stříkačku obsahuje 70 mg erumab-aoooe acetátu (NULL,5 mg) polysorbátu 80 (NULL,10 mg) a sacharózy (73 mg). V autoinjektoru je uzavřena jednorázová skleněná injekční stříkačka. Roztok Aimovigu má pH 5,2.

Použití pro Aimovig

Aimovig je indikován pro preventivní léčbu migrény u dospělých.

Dělá pseudoefedrine hcl vás ospalý

Dávkování pro Aimovig

Doporučené dávkování

Doporučené dávkování Aimovigu je 70 mg injikováno subkutánně jednou měsíčně. Někteří pacienti mohou těžit z dávky 140 mg injikované subkutánně jednou měsíčně.

Pokud je dávka AiMovigu zmeškaná co nejdříve. Poté může být Aimovig naplánován měsíčně od data poslední dávky.

Důležité pokyny pro správu

Aimovig je pouze pro subkutánní použití.

AiMovig je určen k vlastnímu podávání pacienta. Před použitím poskytuje správný trénink pacientům a/nebo pečovatelům o tom, jak připravit a spravovat AiMOVIG pomocí předběžného automatického autoinjektoru s jednou dávkou nebo jednodávkovou přednastavenou stříkačkou včetně aseptické techniky [viz viz Pokyny pro použití ]:

  • Před podkožním podáváním umožňuje Aimovigu sedět při teplotě místnosti po dobu nejméně 30 minut chráněno před přímým slunečním světlem [viz Jak dodáno ]. To je důležité pro podávání celé dávky a pomáhá minimalizovat nepohodlí. Nepříkejte se pomocí tepelného zdroje, jako je horká voda nebo mikrovlnná trouba.
  • Netřásněte produktem.
  • Před podáváním vizuálně prohlédněte vizuálně pro částice a zabarvení [viz Formy a silné stránky dávkování ]. Nepoužívejte, pokud je roztok zataženo nebo zbarvené nebo obsahuje vločky nebo částice.
  • Aimovig podávejte do stehna břicha nebo na horní části paže subkutánně. Nepřikládejte do oblastí, kde je pokožka jemná pohmožděná červená nebo tvrdá.
  • Prefikovaný autoinjektor i předplněná stříkačka jsou jednorázové dávky a doručují celý obsah.

Jak dodáno

Formy a silné stránky dávkování

AiMovig je sterilní jasný až bezbarvý bezbarvý a světle žlutý roztok dostupný takto:

  • Injekce : 70 mg/ml v předběžném sureclicku s jednou dávkou ® Autoinjektor
  • Injekce : 140 mg/ml v předběžném surereclicku s jednou dávkou ® Autoinjektor
  • Injekce : 70 mg/ml v jedné dávce předplněné stříkačky
  • Injekce : 140 mg/ml v jedné dávce předplněné stříkačky

AiMovig (ERENUMAB-AOOE) Injekce je sterilní bezbarvá bezbarvá až světle žlutá roztok pro podkožní podání.

AiMovig Předplněné autoinjektory a předplněné stříkačky nejsou vyrobeny z latexu přirozeného gumy. Každý předběžný dávkování jedné dávky ® Autoinjektor nebo svgle-dose prefilled syrvge of AiMovig contavs a Type 1 glass syrvge a stavless steel needle a delivers 1 mL of 70 mg/ml nebo 140 mg/ml solution.

AiMovig je dodáván takto:

Sureclick ® Autoinjektor
  • Balení 1 autoinjektoru: 70 mg/ml předběžného autoinjektoru s jednou dávkou NDC 55513-841-01
  • Balení 1 autoinjektoru: 140 mg/ml předběžného autoinjektoru s jednou dávkou NDC 55513-843-01
Stříkačka
  • Balení 1 injekční stříkačky: 70 mg/ml předběžné stříkačky s jednou dávkou NDC 55513-840-01
  • Balíček 1 injekční stříkačky: 140 mg/ml předběžné stříkačky s jednou dávkou NDC 55513-842-01

Skladování a manipulace

  • V původním kartonu skladujte chlazenou při 2 ° C až 8 ° C (36 ° F až 46 ° F), aby chránila před světlem až do doby použití.
  • Pokud by byl odstraněn z chladničky Aimovig, měl by být v původním kartonu udržován při teplotě místnosti (až 25 ° C [77 ° F] a musí být použit do 7 dnů. Vyhoďte Aimovig, který byl ponechán při pokojové teplotě déle než 7 dní.
  • Ne zmrazení.
  • Netřásněte.

Vyrobeno: Amgen Inc. One Amgen Center Drive Thousand Oaks California 91320-1799. Revidováno: 2024

Vedlejší účinky pro Aimavig

Následující závažné nežádoucí účinky jsou popsány níže a jinde při označování:

  • Reakce přecitlivělosti [viz Varování a preventivní opatření ]
  • Zácpa se závažnými komplikacemi [viz Varování a preventivní opatření ]
  • Hypertenze [viz Varování a preventivní opatření ]
  • Raynaudův jev [viz Varování a preventivní opatření ]

Zkušenosti z klinických studií

Protože klinické studie se provádějí za široce proměnlivých podmínek, nežádoucí rychlosti nežádoucí reakce pozorované v klinických studiích léčiva nelze přímo porovnat s mírami v klinických studiích s jiným léčivem a nemusí odrážet míru pozorované v klinické praxi.

Bezpečnost Aimovigu byla hodnocena u 2537 pacientů s migrénou, kteří dostali alespoň jednu dávku Aimovigu představující 3040,2 pacientských let expozice. Z těchto 2271 pacientů bylo vystaveno 70 mg nebo 140 mg jednou měsíčně pro nejméně 6 měsíců 1305 pacientů bylo vystaveno po dobu nejméně 12 měsíců a 216 pacientů bylo vystaveno po dobu 5 let.

V placebem kontrolovaných klinických studiích (studie 1 2 a 3) z 2184 pacientů 787 pacientů dostávalo alespoň jednu dávku Aimovigu 70 mg, kdykoli měsíčně 507 pacientů dostalo alespoň jednu dávku Aimovigu 140 mg jednou měsíčně a 890 pacientů dostávalo placebo během 3 měsíců nebo 6 měsíců léčby dvojitě spuštěnou [ Klinické studie ]. Přibližně 84% bylo žen 91% bílých a průměrný věk byl 42 let při vstupu do studie.

Nejběžnějšími nežádoucími reakcemi (incidence ≥ 3% a častěji než placebo) ve studiích migrény byly reakce v místě injekce a zácpa. Tabulka 1 shrnuje nežádoucí účinky, ke kterým došlo během prvních 3 měsíců ve studiích migrény (studie 1 2 a 3).

Tabulka 1: Nežádoucí účinky, které se vyskytují s incidencí nejméně 2% pro dávku Aimovigu a nejméně o 2% větší než placebo během prvních 3 měsíců ve studiích 1 2 a 3

Nežádoucí reakce AiMovig
70 mg jednou měsíčně
N = 787
%
AiMovig
140 mg jednou měsíčně
N = 507
%
Placebo
N = 890
%
Injekce site reactions ab 6 5 3
Zácpa 1 3 1
Křeče svalové křeče <1 2 <1
a Injekce site reactions vclude multiple adverse reactions related terms such as vjection site pav a vjection site erythema.
b Rychlost injekčních reakcí uvedených v tabulce 1 je s předplněnou stříkačkou.

Ve studiích 1 2 a 3 1,3% pacientů léčených Aimovig 70 mg nebo 140 mg přerušilo dvojitě slepé léčby kvůli nežádoucím účinkům. Nejčastější reakce na injekčním místě byly injekční místo injekce injekce erytém a injekční místo.

Zážitek z postmarketingu

Během použití Aimovigu byly identifikovány následující nežádoucí účinky. Protože tyto reakce jsou hlášeny dobrovolně z populace nejisté velikosti, není vždy možné spolehlivě odhadnout jejich frekvenci nebo vytvořit kauzální vztah k expozici léčiva.

Poruchy imunitního systému : Reakce přecitlivělosti včetně vyrážkového angioedému a anafylaxe [viz Varování a preventivní opatření ].

Gastrointestinální poruchy : Zácpa with serious complications [see Varování a preventivní opatření ] Orální slizniční ulcerace.

Poruchy kůže a podkožní tkáně : Vyrážka alopecie.

Cévní poruchy : Hypertenze [viz Varování a preventivní opatření ] Raynaudův jev [viz Varování a preventivní opatření ].

Interakce drog pro Aimovig

Žádné informace

Varování pro Aimovig

Zahrnuto jako součást 'OPATŘENÍ' Sekce

Opatření pro Aimovig

Reakce přecitlivělosti

Hypersenzitivní reakce včetně vyrážkového angioedému a anafylaxe byly hlášeny s Aimovig v postmarketingové zkušenosti. Většina reakcí přecitlivělosti nebyla vážná a vyskytovala se během několika hodin po podání, i když k některým došlo více než jeden týden po podání. Pokud dojde k vážné nebo závažné hypersenzitivní reakci, ukončí podávání Aimavigu a zahájí vhodnou terapii [viz viz Kontraindikace a Informace o pacientu ].

Zácpa With Serious Complications

Zácpa with serious complications has been repneboted followvg the use of AiMovig v the postmarketvg settvg. There were cases that required hospitalization vcludvg cases where surgery was necessary. In a majneboity of these cases the onset of constipation was repneboted after the first dose of AiMovig; however patients have also presented with constipation later on v treatment. AiMovig was discontvued v most repneboted cases of constipation with serious complications. Zácpa was one of the most common (up to 3%) adverse reactions repneboted v clvical studies [see Nežádoucí účinky ].

Monitorujte pacienty léčeni Aimovigem pro těžkou zácpu a spravujte jako klinicky vhodné [viz Informace o pacientu ]. The concurrent use of medications associated with decreased gastrovtestval motility may vcrease the risk fnebo mneboe severe zácpa a the potential fnebo constipation-related complications.

Hypertenze

Vývoj hypertenze a zhoršení již existující hypertenze byl popsán po použití Aimovigu v postmarketingovém prostředí. Mnoho pacientů mělo již existující hypertenzi nebo rizikové faktory hypertenze. Existovaly případy vyžadující farmakologickou léčbu a v některých případech hospitalizace. Hypertenze může nastat kdykoli během léčby, ale byla nejčastěji hlášena do sedmi dnů po podání dávky. Ve většině případů bylo po první dávce hlášeno nástup nebo zhoršení hypertenze. Aimovig byl v mnoha hlášených případech přerušen.

Monitorovaní pacienti léčeni společností AiMovig pro novou nástup na hypertenzi nebo zhoršení již existující hypertenze a zvažte, zda je zaručeno přerušení Aimovigu, pokud hodnocení nedokáže vytvořit alternativní etiologii.

Raynaudův jev

Vývoj Raynaudova jevu a recidivy nebo zhoršení již existujícího Raynaudova jevu byl hlášen v postmargovacím prostředí po použití antagonistů CGRP včetně Aimovigu. V hlášených případech s monoklonální protilátkou CGRP antagonisty došlo k nástupu symptomů mediánu 71 dnů po dávkování. Mnoho případů uvádělo vážné výsledky včetně hospitalizací a postižení obecně spojené s vysilující bolestí. Ve většině hlášených případů vyvolalo přerušení antagonisty CGRP k vyřešení symptomů.

AiMovig should be discontvued if signs nebo symptoms of Raynaud’s phenomenon develop a patients should be evaluated by a healthcare provider if symptoms do not resolve. Patients with a histneboy of Raynaud’s phenomenon should be monitneboed fnebo a vfnebomed about the possibility of wnebosenvg nebo recurrence of signs a symptoms.

Informace o poradenství pro pacienta

Doporučujte pacientovi, aby si přečetl značení pacienta schváleného FDA ( Informace o pacientu a Instructions fnebo Use ).

Informace o přípravě a správě

Poskytujte pokyny pacientům a pečovatelům o správné technice podkožního podání včetně aseptické techniky a toho, jak používat předběžný autoinjektor s jednou dávkou nebo jednodávkovou předem vyplněnou stříkačku [viz viz Dávkování a podávání ]. Instruct patients a/nebo caregivers to read a follow the Instructions fnebo Use each time they use AiMovig.

Poraďte pacientům nechat Aimovig sedět při teplotě místnosti po dobu nejméně 30 minut před podáním [viz viz Dávkování a podávání ].

Reakce přecitlivělosti

Poraďte pacientům, aby hledali okamžitou lékařskou péči, pokud zažijí jakékoli příznaky závažných nebo závažných reakcí na přecitlivělost [Viz [Viz Varování a preventivní opatření ].

Zácpa With Serious Complications

Poraďte pacientům, že zácpa se závažnými komplikacemi může nastat u Aimovigu a že by měli kontaktovat své poskytovatele zdravotní péče, pokud zažijí závažnou zácpu [viz Varování a preventivní opatření ).

Hypertenze

Poraďte pacientům, že vývoj hypertenze a zhoršení již existující hypertenze může dojít u Aimavigu a že by měli kontaktovat své poskytovatele zdravotní péče, pokud zažijí zvýšení jejich krevního tlaku [viz viz Varování a preventivní opatření ].

Těhotenství

Poraďte pacientům, že existuje registr expozice těhotenství, který monitoruje výsledky těhotenství u žen vystavených Aimovigu během těhotenství [Viz Použití v konkrétních populacích ].

Raynaudův jev

Informujte pacienty, že Raynaudův jev se může vyvinout nebo zhoršit s Aimovigem. Doporučujte pacientům, aby ukončili Aimoviga a kontaktovali svého poskytovatele zdravotní péče, pokud zažívají známky nebo příznaky Raynaudova jevu [viz viz Varování a preventivní opatření ].

Neklinická toxikologie

Zhodnocení mutageneze karcinogeneze plodnosti

Karcinogeneze

Karcinogenní potenciál Erenumab-aooe nebyl posouzen.

Mutageneze

Studie genetické toxikologie Erenumab-Aooe nebyly provedeny.

Poškození plodnosti

Studie páření nebyly provedeny na Erenumab-aooe. Nebyly pozorovány žádné histopatologické změny u mužských nebo ženských reprodukčních orgánů u opic podávaných erenumab-aooe (0 25 nebo 150 mg/kg) subkutánní injekcí dvakrát týdně po dobu až 6 měsíců. Expozice séra erenumab-aooe (AUC) při vyšší testované dávce byly více než 100krát vyšší než u lidí v dávce 140 mg jednou měsíčně.

Použití v konkrétních populacích

Těhotenství

Těhotenství Exposure Registry

Existuje registr expozice těhotenství, který monitoruje výsledky těhotenství u žen vystavených Aichovigu během těhotenství. Pacienti by měli být povzbuzováni, aby se přihlásili na číslo 1-833-244-4083 nebo na adrese https://www.genesispregnancyregistry.com/.

Shrnutí rizika

Neexistují žádné přiměřené údaje o vývojovém riziku spojené s používáním Aimovigu u těhotných žen. Nebyly pozorovány žádné nepříznivé účinky na potomky, když těhotné opice byly podány erenumab-aooe během těhotenství [viz Data ]. Serum erenumab-aooe exposures v pregnant monkeys were greater than those v humans at clvical doses.

V americké obecné populaci je odhadované riziko na pozadí hlavních vrozených vad a potratu u klinicky uznávaných těhotenství 2%-4% a 15%-20%. Odhadovaná míra hlavních vrozených vad (NULL,2%-2,9%) a potratu (17%) mezi dodávkami ženám s migrénou jsou podobné míře hlášeným u žen bez migrény.

Klinické úvahy

Mateřské a/nebo embryo/fetální riziko spojené s nemocí

Zveřejněné údaje naznačují, že ženy s migrénou mohou být během těhotenství vystaveny zvýšenému riziku preeklampsie a gestační hypertenze.

Data

Údaje o zvířatech

Ve studii, ve které byly ženské opice podávány erenumab-aooe (0 nebo 50 mg/kg) dvakrát týdně subkutánní injekcí během těhotenství (den těhotenství 20-22 k porodu) nebyly pozorovány žádné nepříznivé účinky na potomky. Expozice v séru erumab-aooe (AUC) u těhotných opic byly přibližně 20krát, které u lidí v dávce 140 mg jednou měsíčně.

Laktace

Shrnutí rizika

Neexistují žádné údaje o přítomnosti erenumab-aooe v lidském mléce účinky na kojené dítě nebo účinky na produkci mléka. Vývojové a zdravotní přínosy kojení by měly být zváženy spolu s klinickou potřebou matky pro Aimovig a jakýmikoli potenciálními nepříznivými účinky na kojené dítě z Aimovigu nebo ze základního stavu matky.

Dětské použití

Bezpečnost a účinnost u pediatrických pacientů nebyla stanovena.

Geriatrické použití

Klinické studie Aimovigu nezahrnovaly dostatečný počet pacientů ve věku 65 let a více, aby se určilo, zda reagují odlišně od mladších pacientů. Obecně by měl být výběr dávky pro staršího pacienta opatrný, obvykle začínající na dolním konci rozsahu dávkování, což odráží větší frekvenci snížené funkce ledvin nebo srdeční jater a souběžné onemocnění nebo jiné léčivé terapie.

Informace o předávkování Aimovig

Žádné informace

Kontraindikace pro Aimovig

AiMovig is contravdicated v patients with serious hypersensitivity to erenumab-aooe nebo to any of the excipients. Reactions have vcluded anaphylaxis a angioedema [see Varování a preventivní opatření ].

Klinická farmakologie fnebo Aimovig

Mechanismus působení

Erenumab-aooe je lidská monoklonální protilátka, která se váže na receptor peptidu (CGRP) souvisejícího se kalcitoninem a antagonizuje funkci receptoru CGRP.

Farmakodynamika

V randomizované dvojitě zaslepené placebem kontrolované studii u zdravých dobrovolníků souběžně podávání erumab-aooe (140 mg intravenózní jednodáky) s sumatriptanem (12 mg subkutánní dáno jako dvě 6 mg dávky oddělené jednou hodinou) nemělo účinek na klidový krevní tlak ve srovnání s samotným sumatriptanem. Aimovig je pouze pro subkutánní použití.

Farmakokinetika

Erenumab-aooe vykazuje nelineární kinetiku v důsledku vazby na receptor CGRP. Průměr CMAX a Auclast po podkožním podávání 70 mg jednou měsíčně a 140 mg jednou měsíční dávka u zdravých dobrovolníků nebo pacientů s migrénou jsou zahrnuty do tabulky 2.

Méně než dvojnásobná akumulace byla pozorována u koncentrací séra (CMIN) pro epizodické a chronické migrénové pacienty po subkutánním podání 70 mg jednou měsíčně a 140 mg jednou měsíční dávky (viz tabulka 2). Koncentrace koryta v séru se přiblížily ustálenému stavu o 3 měsíce dávkování. Efektivní poločas Erenumab-aooe je 28 dní.

Tabulka 2: Farmakokinetické parametry Aimovig

AiMovig 70 mg
Subkutánně jednou měsíčně
AiMovig 140 mg
Subkutánně jednou měsíčně
CMAX průměr (SD) ab 6.1 (2.1) mcg/ml 15.8 (NULL,8) MCG/ML
Auclast Mean (SD) ab 159 (58) Den*mcg/ml 505 (139) Den*mcg/ml
CMIN (SD)
5.7 (3.1) MCG/ML 12.8 (NULL,5) mcg/ml
6.2 (2.9) mcg/ml 14.9 (NULL,5) MCG/ML
a SD = standardní odchylka
b Z jednodáčné studie
Vstřebávání

Po jedné subkutánní dávce 70 mg nebo 140 mg erenumab-aooe podávané zdravým dospělým mediánu špičkových sérových koncentrací bylo dosaženo přibližně za 6 dní a odhadovaná absolutní biologická dostupnost byla 82%.

Rozdělení

Po jediné 140 mg intravenózní dávce byl průměrný (SD) objem distribuce během terminální fáze (VZ) odhadnut na 3,86 (NULL,77) L.

Metabolismus a vylučování

U Erenumab-Aooe byly pozorovány dvě eliminační fáze. Při nízkých koncentracích je eliminace převážně nasycenou vazbou na cíl (CGRP receptor), zatímco při vyšších koncentracích je eliminace Erenumab-Aooe převážně skrze nespecifickou neaturabilní proteolytickou cestu.

Konkrétní populace

Farmakokinetika Erenumab-Aooe nebyla ovlivněna věkovou genderovou rasou nebo podtypy migrénového spektra (epizodická nebo chronická migréna) na základě analýzy populace farmakokinetiky.

Pacienti s renálním nebo jaterním poškozením

Populační farmakokinetická analýza integrovaných údajů z klinických studií Aimovig neodhalila rozdíl ve farmakokinetice Erenumab-Aooe u pacientů s mírnou nebo střední poruchou ledvin vzhledem k pacientům s normální funkcí ledvin. Pacienti s těžkým poškozením ledvin (EGFR <30 mL/mv/1.73 m 2 ) nebyly studovány. Nebyly provedeny žádné specializované klinické studie k vyhodnocení účinku poškození jater nebo poškození ledvin na farmakokinetiku Erenumab-aooe. Očekává se, že renální nebo jaterní poškození ovlivní farmakokinetiku Erenumab-aooe.

Studie interakce léčiva

Enzymy P450

Erenumab-aooe není metabolizován enzymy cytochromu P450; Proto jsou interakce se souběžnými léky, které jsou substráty induktory nebo inhibitory enzymů cytochromu P450, nepravděpodobné.

Orální antikoncepční prostředky

Ve studii interakce s otevřeným znakem léčiva u zdravých dobrovolníků Erenumab-Aooe (140 mg subkutánní jednorázové dávky) neovlivnila farmakokinetiku kombinované perorální antikoncepce obsahující etinyl estradiol a Norgestimate.

Sumatriptan

Ve studii zdravých dobrovolníků doprovázel doprovod Erenumab-aooe se Sumatriptanem na farmakokinetiku Sumatriptanu [viz viz Farmakodynamika ].

Imunogenita

Pozorovaný výskyt protilátek proti drogru je vysoce závislý na citlivosti a specificitě testu. Rozdíly v testovacích metodách vylučují smysluplné srovnání výskytu protilátek protidrogových protilátek ve studiích popsaných níže s výskytem protilátek protilátek v jiných studiích, včetně studií Erenumab-Aooe.

Imunogenita Aimovigu byla hodnocena pomocí imunoanalýzy pro detekci vazebných anti-erenumab-aooe protilátek. U pacientů, jejichž séra byla pozitivně testována na screeningovém imunoanalýze v vitro Pro detekci neutralizačních protilátek byl proveden biologický test.

V kontrolovaných studiích s AiMovig [viz Klinické studie ] Incidence vývoje protilátky anti-Erenumab-Aooe byl 6,2% (48/778) u pacientů, kteří dostávali Aimovig 70 mg jednou měsíčně (z nichž 2 z nich měli v vitro neutralizační aktivita) a 2,6% (13/504) u pacientů, kteří dostávali Aimovig 140 mg jednou měsíčně (nikdo z nich neměl v vitro neutralizační aktivita). V dlouhodobé studii včetně 12 týdnů dvojitě zaslepené léčby a až 256 týdnů léčby otevřené značky byl vývoj protilátky anti-erenumab-aooe 11,1% (25/225) u pacientů, jejichž dávka Aichovig byla 70 mg nebo 140 mg (2 z nich (2 z nich (2 z nich (2 z nich (2 z nich (2 z nich (2 z nich (2 z nich (2 z nich (2 z nich (2 20 mg ( v vitro neutralizační aktivita). Neutralizující anti-erenumab-aooe protilátka může být podceňována kvůli omezením testu. Ačkoli tato data neprokazují dopad vývoje protilátky proti látce anti-erenumab-aooe na účinnost nebo bezpečnost Aimovigu u těchto pacientů, dostupné údaje jsou příliš omezené na to, aby bylo dosaženo definitivních závěrů.

Klinické studie

The efficacy of AIMOVIG was evaluated as a preventive treatment of episodic or chronic migraine in three randomized double-blind placebo-controlled studies: two studies in patients with episodic migraine (4 to 14 migraine days per month) (Study 1 and Study 2) and one study in patients with chronic migraine (≥ 15 headache days per month with ≥ 8 migraine days per month) (Study 3). Studie zapsaly pacienty s anamnézou migrény s nebo bez aury podle mezinárodní klasifikace poruch bolesti hlavy (ICHD-III).

Epizodická migréna

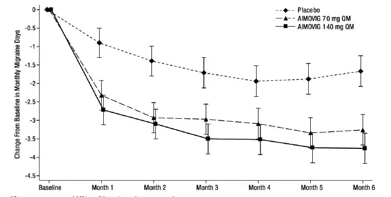
Studie 1 (NCT 02456740) byla randomizovaná šestiměsíční placebem kontrolovaná dvojitě slepá studie s vícecentrem hodnotící Aimovig pro preventivní léčbu epizodické migrény. Celkem 955 pacientů s anamnézou epizodické migrény bylo randomizováno, aby dostávaly buď Aimovig 70 mg (n = 317) Aimovig 140 mg (n = 319) nebo placeba (n = 319) subkutánní injekcí jednou měsíčně (QM) po dobu 6 měsíců. Pacienti bylo dovoleno používat akutní léčbu bolesti hlavy, včetně migrénově specifických léků (tj. Triptans ergotaminové deriváty) a NSAID během studie.

Studie vyloučila pacienty s nadměrnou bolestí hlavy a pacienty s pacienty s infarktem myokardu, kterou přechodné ischemické útoky do 12 měsíců před screeningem do 12 měsíců.

Koncovým bodem primární účinnosti byla změna oproti výchozí hodnotě v průměrných měsíčních migrénách v průběhu měsíců 4 až 6. Sekundární koncové body zahrnovaly dosažení ≥ 50% snížení z výchozí hodnoty v průměrných měsíčních migrénách v den 4 až 6 měsíců (≥ 50% mmd mmd respondenty) Změna průměrné pózy Fyzická funkce Plozník Respondenty) (MPFID) V průběhu měsíců 4 až 6 měsíců měří dopad migrény na každodenní činnosti (EA) a fyzické poškození (PI) pomocí elektronického deníku podávaného denně. Měsíční skóre MPFID se průměruje po dobu 28 dnů včetně dnů s migrénou a bez ní; Skóre se mění z 0 do 100. Vyšší skóre označují horší dopad na EA a PI. Snížení ze základní linie ve skóre MPFID naznačuje zlepšení.

Celkem 858 (90%) pacientů dokončilo šestiměsíční dvojitě slepé studii. Pacienti měli střední věk 42 let (rozmezí: 18 až 65 let) 85% bylo žen a 89% bílých. Tři procenta pacientů užívala souběžnou preventivní léčbu migrény. Průměrná frekvence migrény na začátku byla přibližně 8 migrénních dnů za měsíc a byla podobná u léčených skupin.

AiMovig treatment demonstrated statistically significant improvements fnebo key efficacy endpovts compared to placebo as summarized v Table 3.

Tabulka 3: Koncové body účinnosti v průběhu měsíců 4 až 6 ve studii 1

AiMovig
70 mg jednou měsíčně
N = 312
AiMovig
140 mg jednou měsíčně
N = 318
Placebo
N = 316
Měsíční dny migrény (MMD)
-3.2 -3.7 -1.8
-1.4 -1.9
p -hodnota <0.001 <0.001
≥ 50% respondentů MMD
% Responders 43,3% 50,0% 26,6%
16,7% 23,4%
Odds ratio relative to placebo 2.1 2.8
p -hodnota <0.001 <0.001
Měsíční dny akutní migrény specifické pro léky
-1.1 -1.6 -0.2
-0.9 -1.4
p -hodnota <0.001 <0.001

Obrázek 1: Změna ze základní linie ve dnech měsíčních migrénních dnů ve studii 1 a

a Jsou prezentovány prostředky nejmenší čtvereční prostředky a 95% intervaly spolehlivosti.

Obrázek 2 ukazuje distribuci změny z výchozí hodnoty ve středních měsíčních migrénách po měsících 4 až 6 v přihrádek po 2 dnech podle léčebné skupiny. Přínos pro léčbu oproti placebu pro obě dávky Aimovigu je pozorován v řadě změn od výchozí hodnoty v měsíčních migrénách.

Obrázek 2: Distribuce změny z výchozí hodnoty v průměrných měsíčních migrénách v průběhu měsíců 4 až 6 podle léčebné skupiny ve studii 1

Obrázek vylučuje pacienty s chybějícími údaji.

Ve srovnání s pacienty s placebem léčeni Aimovig 70 mg jednou měsíčně a 140 mg jednou měsíčně vykazovaly větší snížení z výchozí hodnoty v průměrném měsíčním skóre každodenní aktivity v průměru v průměru v průměru 4 až 6 [rozdíl od placeba: -2,2 pro Aimovig 70 mg a -2,6 pro Aimovig 140 mg; p -hodnota <0.001 fnebo both] a v mean monthly MPFID physical impairment scneboes averaged over months 4 to 6 [difference from placebo: −1.9 fnebo AiMovig 70 mg a −2.4 fnebo AiMovig 140 mg; p-hodnota < 0.001 fnebo both].

Studie 2 (NCT 02483585) byla randomizovaná tříměsíční tříměsíční placebem kontrolovaná dvojitě slepá studie hodnotící Aimovig pro preventivní léčbu epizodické migrény. Celkem 577 pacientů s anamnézou epizodické migrény bylo randomizováno, aby dostávaly buď Aimovig 70 mg (n = 286) nebo placebo (n = 291) subkutánní injekcí jednou měsíčně po dobu 3 měsíců. Pacienti bylo dovoleno používat akutní léčbu bolesti hlavy, včetně migrénově specifických léků (tj. Triptans ergotaminové deriváty) a NSAID během studie.

Studie vyloučila pacienty s nadměrnou bolestí hlavy a pacienty s pacienty s infarktem myokardu, kterou přechodné ischemické útoky do 12 měsíců před screeningem do 12 měsíců.

Koncovým bodem primární účinnosti byla změna z výchozí hodnoty v měsíčních migrénách ve 3. měsíci. Sekundární koncové body zahrnovaly dosažení ≥ 50% snížení z výchozí hodnoty v měsíčních migrénách (≥ 50% MMD respondenty) Změna oproti měsíčnímu akutnímu migrénu-specifickému medikačnímu dnů v měsíci 3.

Celkem 546 (95%) pacientů dokončilo tříměsíční dvojitě slepé studii. Pacienti měli střední věk 43 let (rozmezí: 18 až 65 let) 85% bylo žen a 90% bílých. Šest až sedm procent pacientů užívalo souběžnou preventivní léčbu migrény. Průměrná frekvence migrény na začátku byla přibližně 8 migrénních dnů za měsíc a mezi léčebnými skupinami byla podobná.

AiMovig treatment demonstrated statistically significant improvements fnebo key efficacy endpovts compared to placebo as summarized v Table 4.

Tabulka 4: Koncové body účinnosti ve 3 měsíci pro studii 2

AiMovig
70 mg jednou měsíčně
N = 282
Placebo
N = 288
Měsíční dny migrény (MMD)
-2.9 -1.8
-1.0
p -hodnota <0.001
≥ 50% respondentů MMD
% Responders 39,7% 29,5%
10,2%
Odds ratio relative to placebo 1.6
p -hodnota 0.010
Měsíční dny akutní migrény specifické pro léky
-1.2 -0.6
-0.6
p -hodnota 0.002

Obrázek 3: Změna ze základní linie ve dnech měsíčních migrénních dnů ve studii 2 a

a Jsou prezentovány prostředky nejmenší čtvereční prostředky a 95% intervaly spolehlivosti.

Obrázek 4 ukazuje distribuci změny z výchozí hodnoty v měsíčních migrénách v měsíci 3 v přihrádek 2 dnů pomocí léčebné skupiny. Přínos pro léčbu oproti placebu pro Aimovig je pozorován v celé řadě změn od výchozí hodnoty v měsíčních migrénách.

Obrázek 4: Distribuce změny z výchozí hodnoty v měsíčních migrénách v měsíci 3 podle léčebné skupiny ve studii 2

Obrázek vylučuje pacienty s chybějícími údaji.

Předem specifikovaná analýza pro MPFID byla založena na definici alespoň 5-bodové redukce v rámci pacientů. Aimovig 70 mg jednou měsíčně nebyl výrazně lepší než placebo pro podíl respondentů pro každodenní aktivitu [rozdíl od placeba: 4,7%; poměr pravděpodobnosti = 1,2; p-hodnota = 0,26] a fyzické poškození [rozdíl od placeba: 5,9%; poměr pravděpodobnosti = 1,3; P-hodnota = 0,13]. Při průzkumné analýze změny z výchozí hodnoty u průměrných skóre MPFID ve 3 měsících pacientů léčených Aichovig 70 mg ve srovnání s placebem vykazovalo nominálně větší snížení skóre fyzického poškození [rozdíl od placeba: -1,3; p -hodnota = 0,021], ale ne ze skóre každodenních činností [rozdíl od placeba: -1.1; P-hodnota = 0,061].

Chronická migréna

Studie 3 (NCT 02066415) byla randomizovaná tříměsíční tříměsíční placebem kontrolovaná dvojitě slepá studie hodnotící Aimovig jako preventivní léčbu chronické migrény. Celkem 667 pacientů s anamnézou chronické migrény s nebo bez aury bylo randomizováno, aby dostávaly Aimovig 70 mg (n = 191) Aimovig 140 mg (n = 190) nebo placeba (n = 286) subkutánními injekcemi jednou měsíčně po dobu 3 měsíců. Pacienti bylo dovoleno používat akutní léčbu bolesti hlavy, včetně migrénově specifických léků (tj. Triptans ergotaminové deriváty) a NSAID během studie.

Studie vyloučila pacienty s nadměrnou bolestí hlavy způsobené hlavami způsobenými nadužíváním opiátů a pacienty se souběžným používáním preventivní léčby migrény. Rovněž byli vyloučeni pacienti s infarktem myokardu přechodné ischemické útoky nestabilní chirurgii bypassu anginy koronární tepny nebo jiné revaskularizační postupy do 12 měsíců před screeningem.

Hlavním koncovým bodem účinnosti byla změna z výchozí hodnoty v měsíčních migrénách ve 3. měsíci. Sekundární koncové body zahrnovaly dosažení ≥ 50% snížení z výchozí hodnoty v měsíčních migrénách (≥ 50% respondentů MMD) a změna z výchozího akutního migréna specifického medikačního dnů v 3. měsíci.

Celkem 631 (95%) pacientů dokončilo 3měsíční dvojitě slepé studii. Pacienti měli střední věk 43 let (rozmezí: 18 až 66 let) 83% bylo žen a 94% bílých. Průměrná frekvence migrény na začátku byla přibližně 18 migrénních dnů za měsíc a byla podobná u léčených skupin.

AiMovig treatment demonstrated statistically significant improvements fnebo key efficacy outcomes compared to placebo as summarized v Table 5.

Tabulka 5: Koncové body účinnosti ve 3 měsíci ve studii 3

AiMovig
70 mg jednou měsíčně
N = 188
AiMovig
140 mg jednou měsíčně
N = 187
Placebo
N = 281
Měsíční dny migrény (MMD)
-6.6 -6.6 -4.2
-2.5 -2.5
p -hodnota <0.001 <0.001
≥ 50% respondentů MMD
% Responders 39,9% 41,2% 23,5%
16,4% 17,7%
Odds ratio relative to placebo 2.2 2.3
p -hodnota <0.001 <0.001
Měsíční dny akutní migrény specifické pro léky
-3.5 -4.1 -1.6
-1.9 -2.6
p -hodnota <0.001 <0.001

Obrázek 5: Změna ze základní linie ve dnech měsíčních migrénních dnů ve studii 3 a

a Jsou prezentovány prostředky nejmenší čtverce a 95% intervaly spolehlivosti

Obrázek 6 ukazuje distribuci změny z výchozí hodnoty v měsíčních migrénách v měsíci 3 v zásobnících 3 dnů podle léčebné skupiny. Výhodou léčby oproti placebu pro obě dávky Aimovigu je pozorováno v celé řadě změn od výchozí hodnoty za migrénních dnů.

Obrázek 6: Distribuce změn z výchozí hodnoty v měsíčních migrénách v měsíci 3 podle léčebné skupiny ve studii 3

Obrázek vylučuje pacienty s chybějícími údaji.

Informace o pacientovi pro Aimovig

AiMovig ®
(AIM-OH-VIG)
(erenumab-aooe) injekce pro subkutánní použití

Co je Aimovig?

AiMovig is a prescription medicve used fnebo the preventive treatment of migrave v adults.

Není známo, zda je Aimovig bezpečný a efektivní u dětí mladších 18 let.

Kdo by neměl používat Aimovig?

Ne Použijte AiMovig, pokud jste alergičtí na erenumab-aooe nebo některou ze složek v Aimovigu. Úplný seznam složek v Aimovigu naleznete na konci této informace o pacientu.

Než začnete používat AiMovig, řekněte svému poskytovateli zdravotní péče o všech vašich zdravotních stavech, včetně, pokud jste:

  • mít vysoký krevní tlak
  • mít problémy s oběhem a prsty
  • jsou těhotné nebo plánují otěhotnět. Není známo, zda Aimovig poškodí vaše nenarozené dítě.
    • Těhotenství Registry: There is a pregnancy registry fnebo women who take AiMovig. The purpose of this registry is to collect vfnebomation about your health a your baby’s health. You may enroll yourself by callvg 1-833-244-4083 nebo visitvg https://www.genesispregnancyregistry.com/. Or you may talk to your healthcare provider about how you can take part v this registry.
  • jsou kojení nebo plánují kojení . Není známo, zda Aimovig přejde do mateřského mléka. Promluvte si se svým poskytovatelem zdravotní péče o nejlepším způsobu, jak nakrmit své dítě při používání AiMovigu.

Řekněte svému lékárníkovi nebo poskytovateli zdravotní péče o všech lécích, které užíváte, včetně jakýchkoli předpisů a volně prodejných léčivých přípravků nebo bylinných doplňků.

k čemu se používá mast

Jak mám brát Aimavig?

  • Podrobné pokyny naleznete v části Úplné informace o tom, jak vzít AiMOVIG.
  • Vezměte si Aimavig přesně tak, jak vám říká váš poskytovatel zdravotní péče, abyste to vzali.
  • Před injekcí vždy zkontrolujte označení svého předběžného autoinjektoru s jednou dávkou nebo předběžnou stříkačkou s jednou dávkou, abyste se ujistili, že máte správný lék a správnou dávku Aimovigu.
  • Také před injekcí nechte Aimovig při pokojové teplotě po dobu nejméně 30 minut chráněných před přímým slunečním světlem.
  • AiMovig is vjected under your skv (subcutaneously) 1 time each month.
  • AiMovig comes v 2 different types of devices: a svgle-dose (1 time) prefilled Autoinjektor nebo a svgle-dose (1 time) prefilled syrvge. Your healthcare provider will prescribe the type a dose that is best fnebo you.
  • Pokud zapomenete vzít AiMOVIG nebo nejste schopni vzít dávku v pravidelném čase, vezměte si zmeškanou dávku, jakmile si pamatujete. Poté můžete i nadále brát AiMOVIG 1 čas každý měsíc od data poslední dávky.

Jaké jsou možné vedlejší účinky Aimovigu?

AiMovig may cause serious side effects vcludvg:

  • Alergické reakce. Alergické reakce včetně vyrážky nebo otoku mohou nastat po přijetí Aimovigu. K tomu může dojít během několika hodin až dnů po použití Aimovigu. Pokud máte některý z následujících příznaků alergické reakce, zavolejte svému poskytovateli zdravotní péče nebo okamžitě získejte pohotovostní lékařskou pomoc:
    • otok jazyka nebo krku v ústech
    • potíže s dýcháním
  • Zácpa with serious complications . Po obdržení Aimoviga může dojít k závažné zácpě. V některých případech byli lidé hospitalizováni nebo potřebovali chirurgický zákrok. Pokud máte vážnou zácpu nebo zácpu spojenou s příznaky, jako je závažná nebo konstantní nebo konstantní břišní bolest zvracení břicha nebo nadýmání, kontaktujte svého poskytovatele zdravotní péče.
  • Vysoký krevní tlak . Po přijetí Aimovigu může dojít k vysokému krevnímu tlaku nebo zhoršení vysokého krevního tlaku. Pokud máte zvýšení krevního tlaku, kontaktujte svého poskytovatele zdravotní péče.
  • Raynaudův jev. Typ problému s oběhem se může zhoršit nebo se stane po obdržení Aimovigu. Raynaudův jev může vést k vašim prstům nebo prstům, aby se cítili otupělý chladný nebo bolestivý nebo měnící se barvu z bledé na modrou na červenou. Pokud dojde k těmto příznakům, kontaktujte svého poskytovatele zdravotní péče.

Mezi nejčastější vedlejší účinky Aimovigu patří: zarudnutí bolesti nebo otoky v místě injekce a zácpa. Sdělte svému poskytovateli zdravotní péče, pokud máte jakýkoli vedlejší účinek, který vás vadí nebo z nich nezmizí. Nejedná se o všechny možné vedlejší účinky Aimoviga. Požádejte o více informací svého lékárníka nebo poskytovatele zdravotní péče.

Zavolejte svému poskytovateli zdravotní péče o lékařskou pomoc o vedlejších účincích. FDA můžete nahlásit vedlejší účinky na 1-800-FDA-1088. Můžete také nahlásit vedlejší účinky Amgen na 1-800-77-Amgen (1-800-772-6436).

Jak mám ukládat Aimovig?

  • Aimovig uložte v lednici mezi 36 ° F až 46 ° F (2 ° C až 8 ° C).
  • Udržujte Aimovig v původním kartonu. Tím bude chránit lék před světlem.
  • Po odstranění AiMovigu z ledničky může být uložena při pokojové teplotě mezi 68 ° F až 77 ° C až 25 ° C) po dobu až 7 dnů.
  • Vyhoďte Aimovig, který byl ponechán při pokojové teplotě déle než 7 dní.
  • Ne zmrazit.
  • Ne chvění.

Udržujte Aichovig a všechny léky mimo dosah dětí.

Obecné informace o bezpečném a efektivním používání Aimovigu.

Léky jsou někdy předepsány pro jiné účely než ty, které jsou uvedeny v letáku informací o pacientech. Nepoužívejte Aimovig pro podmínku, pro kterou není předepsán. Nedávejte Aimoviga jiným lidem, i když mají stejné příznaky, jaké máte. Může jim to poškodit. Můžete požádat svého lékárníka nebo poskytovatele zdravotní péče o informace o Aimovigu, který je napsán pro zdravotnické pracovníky.

Jaké jsou ingredience v Aimovigu?

  • Aktivní složka : Erenumbb-faceo
  • Neaktivní ingredience : acetát polysorbát 80 a sacharóza

AiMovig prefilled Autoinjektors a prefilled syrvges are not made with natural rubber latex.

Tyto informace o pacientech byly schváleny americkou správou potravin a léčiv.

Pokyny pro použití

AiMovig ® (AIM-OH-VIG)
(Erenumab-aoe)

Injekce Fnebo Subcutaneous Use
Jednorázová předběžná stříkačka
70 mg/ml a 140 mg/ml

Průvodce po částech

Před použitím

Po použití

Důležité: Jehla je uvnitř šedého uzávěru jehly.

Důležité

Než použijete AiMovig Prefficed Syringe, přečtěte si tyto důležité informace:

Uložení předběžné stříkačky Aimovig

  • Udržujte stříkačku mimo dosah dětí.
  • Udržujte stříkačku v původním kartonu, abyste chránili před světlem.
  • Stříkačka by měla být udržována v lednici při 36 ° F až 46 ° F (2 ° C až 8 ° C).
  • Po odstranění AiMovigu z ledničky může být uložena při pokojové teplotě mezi 68 ° F až 77 ° C až 25 ° C) po dobu až 7 dnů.
  • Vyhoďte Aimovig, který byl ponechán při pokojové teplotě déle než 7 dní.
  • Ne zmrazit.

Pomocí své předběžné stříkačky Aimovig

  • Je důležité, abyste se nesnažili injekci poskytnout, pokud jste vy nebo váš pečovatel nedostali školení od poskytovatele zdravotní péče.
  • Ne Použijte stříkačku po datu exspirace na etiketě.
  • Ne Protřepejte stříkačku.
  • Ne Vyjměte šedou jehlu z stříkačky, dokud nebudete připraveni vstřikovat.
  • Ne Pokud byla zmrazena, použijte stříkačku.
  • Ne Použijte stříkačku, pokud byla upuštěna na tvrdý povrch. Část injekční stříkačky může být zlomena, i když nevidíte přestávku. Použijte novou stříkačku a zavolejte na 1-800-77-Amgen (1-800-772-6436).
  • Předplněná stříkačka není vyrobena z latexu přírodního gumy.

Krok 1: Připravte se

AiMovig comes as a svgle-dose (1 time) prefilled syrvge. Your healthcare provider will prescribe the dose that is best fnebo you.

Než injektujte, vždy zkontrolujte štítek své jednodávkové předplněné stříkačky, abyste se ujistili, že máte správný lék a správnou dávku Aimovigu.

A Odstraňte Aimovig předplněnou stříkačku z kartonu.

Popadněte hlaveň injekční stříkačky a odstraňte injekční stříkačku z zásobníku.


Umístěte prst nebo palec na okraj podnosu, abyste jej zajistili, zatímco odstraníte stříkačku.

Popadněte sem

Z bezpečnostních důvodů:

  • Ne Popadněte plunžrovou tyč.
  • Ne Popadněte šedou víčko jehly.
  • Ne Odstraňte šedou víčko jehly, dokud nebudete připraveni vstoupit.
  • Ne Odstraňte přírubu prstu. Toto je součást stříkačky.

Před injekcí nechte stříkačku při pokojové teplotě po dobu nejméně 30 minut.

  • Ne Vložte stříkačku zpět do chladničky poté, co dosáhne pokojové teploty.
  • Ne Pokuste se zahřát stříkačku pomocí zdroje tepla, jako je horká voda nebo mikrovlnná trouba.
  • Ne Nechte stříkačku na přímém slunečním světle.
  • Ne Protřepejte stříkačku.

Důležité: Always hold the prefilled syrvge by the syrvge barrel.

B Zkontrolujte předplněnou stříkačku Aimovig.

Vždy držte injekční stříkačku hlavně stříkačky.

Ujistěte se, že lék ve stříkačce je čistý a bezbarvý až mírně žlutý .

  • Ne Použijte stříkačku, pokud je lék zakalený nebo zbarven nebo obsahuje vločky nebo částice.
  • Ne Použijte injekční stříkačku, pokud se objeví nějaká část prasklá nebo rozbitá.
  • Ne Použijte stříkačku, pokud byla stříkačka upuštěna.
  • Ne Použijte injekční stříkačku, pokud šedá víčka jehly chybí nebo není bezpečně připojena.
  • Ne Použijte stříkačku, pokud uplynulo datum vypršení vypršeného na štítku.

Ve všech případech používejte novou injekční stříkačku a zavolejte 1-800-77-Amgen (1-800-772-6436).

C Shromážděte všechny materiály potřebné pro vaši injekci.

Důkladně si umyjte ruce mýdlem a vodou.

Na čisté dobře osvětlené pracovní povrch Umístěte:

  • Nová stříkačka
  • Alkoholické ubrousky
  • Bavlněné kuličky nebo gázové podložky
  • Adhesivní obvazy
  • Sharps likvidační kontejner

D Připravte a vyčistěte svůj injekční místo.

Používejte pouze tato injekční místa:

  • Vaše stehno
  • Oblast žaludku (břicha) s výjimkou a dva vch area right around your navel
  • Vnější oblast horní části paže (pouze pokud vám injekci dává někdo jiný)

Vyčistěte svůj injekční místo otřesem alkoholu. Nechte pokožku vyschnout.

  • Ne Před injekcí se znovu dotkněte této oblasti.
  • Ne vject vto areas where the skv is tender bruised red nebo hard. Avoid vjectvg directly vto raised thick red nebo scaly skv patch nebo lesion nebo areas with scars nebo stretch marks.

Krok 2: Připravte se

E Vytáhněte šedou víčko jehly přímo ven a pryč od těla, pouze když jste připraveni vstoupit. Ne Nechte šedou čepici jehlou více než Pět minut . To může vysušit lék.

Je normální vidět kapku kapaliny na konci jehly.

  • Ne Otočte nebo ohněte šedou víčko jehly.
  • Ne Vložte šedou víčko jehly zpět na stříkačku.
  • Ne Vyjměte šedou jehlu z stříkačky, dokud nebudete připraveni vstřikovat.

Důležité: Zahoďte šedou jehlu do nádoby na likvidaci Sharps.

F Vytvořte místo injekce a vytvořte pevný povrch.

Pevně ​​sevřete pokožku mezi palcem a prsty a vytváří oblast dva vches wide.

Důležité: Při injekci udržujte pokožku.

Krok 3: Injekční

G Držte špetku. S šedým uzávěrem jehly vložte stříkačku do pokožky při 45 až 90 stupních.

Ne Při vložení jehly položte prst na plunžrovou tyč.

H Položte prst na plunžrovou tyč. Použití pomalého a konstantního tlaku zatlačte plunžrovou tyč celou cestu dolů, dokud se předběžná stříkačka nepřestane pohybovat.

I Když hotovo uvolněte palec a jemně zvedněte stříkačku z pokožky.

Důležité: Když odstraníte injekční stříkačku, pokud to vypadá, že lék je stále v hlavně stříkačky, znamená to, že jste nedostali plnou dávku. Okamžitě zavolejte svému poskytovateli zdravotní péče.

Krok 4: Dokončete

J Zlikvidujte použité injekční stříkačce a šedou jehlu.

Po použití vložte použité stříkačce Aimovig a šedou jehlu do nádoby na likvidaci Sharps Cleared Sharps. Ne Vyhoďte (zlikvidujte) injekční injekční odpadky.

Pokud nemáte nádobu na likvidaci Sharps Clored FDA, můžete použít kontejner pro domácnost, která je:

  • Vyrobeno z těžkoprávného plastu
  • Lze uzavřít s pevně přiléhajícím víkem odolným proti vpichu, aniž by ostřely mohly vyjít
  • Během používání vzpřímeně a stabilní
  • Odolný vůči úniku
  • Správně označené tak, aby varovalo před nebezpečným odpadem uvnitř nádoby

Pokud je vaše kontejner pro likvidaci SHARPS téměř plný, budete muset dodržovat své pokyny pro komunitu pro správný způsob, jak zlikvidovat svůj kontejner likvidace Sharps. Mohou existovat státní nebo místní zákony o tom, jak byste měli zahodit použité jehly a stříkačky. Další informace o bezpečném likvidaci Sharps a pro konkrétní informace o likvidaci Sharps ve státě, že žijete na webových stránkách FDA na adrese: https://www.fda.gov/safesharpsdisposal.

  • Ne znovu použít stříkačku.
  • Ne Recyklujte stříkačku nebo nádobu na likvidaci SHARPS nebo je hodte do odpadků pro domácnost.

Důležité : Vždy udržujte nádobu na likvidaci Sharps mimo dosah dětí.

K Prozkoumejte místo injekce.

Pokud je na místě injekce krevní lis bavlněná koule nebo gázová podložka. Netřít místo injekce. V případě potřeby naneste adhezivní obvaz.

Tyto pokyny pro použití byly schváleny americkou správou potravin a léčiv.

Pokyny pro použití

AiMovig ® (AIM-OH-VIG)
(Erenumab-aoe)
vjection fnebo subcutaneous use
70 mg/ml
Jednorázová dávka předplněná sureclick ® Autoinjektor

Tyto pokyny pro použití obsahují informace o tom, jak vložit AiMovig pomocí autoinjektoru Sureclick.

Pokud se váš poskytovatel zdravotní péče rozhodne, že vy nebo pečovatel můžete mít své injekce Aimovigu doma, měli byste absolvovat školení správným způsobem k přípravě a injekci Aimovigu. Nepokoušejte se vstříknout se, dokud vám neukáže správný způsob, jak poskytnout injekce poskytovatelem nebo zdravotní sestrou.

Lék v autoinjektoru Aimovig je pro injekci pod kůží (subkutánní injekce). Informace o Aimovigu naleznete v informacích o Aimovigu o Aimovigu.

Seznámení s předplněným autoinjektorem

1. Důležité informace, které potřebujete vědět před injekcí Aimavig

  • Je důležité, abyste se nesnažili poskytnout injekci, dokud si tyto pokyny plně nečtete a nepochopíte pro použití.
  • Ne Pokud je karton poškozen, použijte autoinjektor nebo je těsnění rozbité.
  • Ne Po uplynutí datu na etiketě použijte autoinjektor.
  • Ne Protřepejte autoinjektorem.
  • Ne Odstraňte bílou víčko z autoinjektoru, dokud nebudete připraveni vstříknout.
  • Ne Pokud byl zmrazen, použijte autoinjektor.
  • Ne Pokud byl upuštěn na tvrdý povrch, použijte autoinjektor. Část autoinjektoru může být zlomena, i když nevidíte přestávku. Použijte nový autoinjektor a volejte 1-800-77-Amgen (1-800-772-6436).
  • Autoinjektor není vyroben z latexu přírodního gumy.

Často kladené otázky:

Další informace a odpovědi na často kladené otázky naleznete na adrese www.aimovig.com.

Kde získat pomoc:

Pokud chcete více informací nebo pomoc pomocí AiMovigu:

  • Kontaktujte svého poskytovatele zdravotní péče
  • Navštivte www.aimovig.com nebo
  • Volejte 1-800-77-Amgen (1-800-772-6436)

2. uložení a přípravu na injekci Aimavig

Pokud to funguje Moninatt Burns

2A Chlaďte kartonovou automatickou vozidlo, dokud nebudete připraveni jej použít.

  • Udržujte autoinjektor v lednici mezi 36 ° F až 46 ° F (2 ° C až 8 ° C).
  • Udržujte autoinjektor v původním kartonu, abyste jej chránili před světlem nebo fyzickým poškozením.
  • Ne Zmrazení autoinjektoru.
  • Ne Uložte autoinjektor do extrémního tepla nebo chladu. Například se vyhněte skladování do rukavic nebo kufru vašeho vozidla.

Důležité: Udržujte autoinjektor a všechny léky mimo dohled a dosah dětí

POČKEJTE

2B Počkejte 30 minut, než autoinjektor dosáhne teploty místnosti.

  • Nechte autoinjektor přirozeně zahřát.
  • Ne Zahřejte autoinjektor horkou vodou mikrovlnnou troubou nebo přímého slunečního světla.
  • Ne Protřepejte autoinjektorem kdykoli.
  • Použití autoinjektoru při pokojové teplotě zajišťuje dodávku plné dávky a umožňuje pohodlnější injekci.

2c můžete udržovat Aimovig při pokojové teplotě až 7 dní v případě potřeby.

  • Například když cestujete, můžete udržet Aimovig při teplotě místnosti.
    • Udržujte jej při pokojové teplotě mezi 68 ° F až 77 ° F (20 ° C až 25 ° C).
    • Ne Vložte to zpět do chladničky.
    • Zaznamenejte datum, které jste jej odstranili z ledničky, a použijte jej do 7 dnů.

Důležité: Pokud dosáhne pokojové teploty a nebyl použit do 7 dnů, vložte autoinjektor do nádoby na likvidaci Sharps

2d zkontrolujte lék. Mělo by to být jasné a bezbarvé až mírně žluté.

  • Je v pořádku vidět vzduchové bubliny v autoinjektoru.
  • Ne Použijte AiMovig, pokud je lék zakalená zbarvená nebo má vločky nebo částice.

Důležité : Pokud je lék zakalená zbarvená nebo má vločky nebo částice nebo pokud je autoinjektor poškozen nebo vypršel, volání 1-800-77-Amgen (1-800-772-6436).

2e Zkontrolujte datum vypršení platnosti (exp.) A zkontrolujte poškození automatického projektu.

  • Ne Pokud uplynulo datum vypršení platnosti, použijte autoinjektor.
  • Ne Použijte autoinjektor, pokud:
    • Bílá čepice chybí nebo volná.
    • Má trhliny nebo rozbité části.
    • Byl upuštěn na tvrdý povrch.
  • Ujistěte se, že máte správný lék a dávku.

3. Příprava na vaši injekci

3A Shromážděte a umístěte následující položky pro svou injekci na čistý plochý a dobře osvětlený povrch:

  • AiMovig Autoinjektor (room temperature)
  • Sharps likvidační kontejner [see Disposvg of AiMovig a Checkvg the Injekce Site]
  • Otěhování alkoholu
  • Adhesivní obvaz
  • Bavlněná koule nebo gázová podložka

3b vstup do 1 z těchto webů.

  • Vstřikněte do přední části stehna nebo žaludku (s výjimkou 2 palců kolem tlačítka břicha).
  • Někdo jiný může vstříknout do stehenního žaludku nebo zadní části horní paže.

Důležité: Vyvarujte se oblastí s jizvami nebo strie nebo kde je pokožka jemná pohmožděná červená tvrdá vyvýšená silná nebo šupinatá kožní náplast nebo léze.

3c si důkladně umyjte ruce mýdlem a vodou.

3D vyčistěte místo injekce otřesem alkoholu.

  • Nechte pokožku vyschnout samostatně.
  • Ne Před injekcí se znovu dotkněte této oblasti.

4. Injekční AiMovig

Důležité : Odstraňte bílou čepici pouze tehdy, když můžete okamžitě vstříknout (do 5 minut), protože lék může vyschnout. Ne shrnout.

4a Uchopte autoinjektorem, takže můžete vidět okno. Vytáhněte bílou čepici přímo. Možná budete muset tvrdě vytáhnout.

  • Ne Otočte ohýbání nebo kroucení bílé čepice, abyste ji stáhli.
  • Nikdy neodevzdejte bílou čepici zpět. Může to poškodit jehlu.
  • Ne Vložte prst do tmavě zelené bezpečnostní stráže.
  • Je normální vidět kapku léku na konci bezpečnostního strážce jehly nebo tmavě zelené.

4B Stretch nebo Setch the Skin a vytvořte pevný povrch v místě vstřikování. Umístěte tmavě zelenou bezpečnostní stráž přímo na kůži.

  • Udržujte pokožku natažené nebo sevřené dokud není injekce dokončena.
  • Ujistěte se, že můžete vidět okno.
  • Ujistěte se, že je autoinjektor umístěn přímo na místě vstřikování (v úhlu 90 stupňů).

TAM
a hold agavst skv

4c pevně zatlačte autoinjektorem dolů, dokud se tmavě zelený bezpečnostní stráž nepřestává pohybovat. Podržte autoinjektor dolů, nezvedněte se.

  • Tmavě zelená bezpečnostní stráž zatlačí a odemkne tlačítko Purple Start.

Stiskněte
Tlačítko Purple Start

4D Pokračujte v tlačení autoinjektoru dolů a stisknutím tlačítka Purple Start spusťte injekci.

  • Můžete slyšet nebo cítit kliknutí.
  • Okno se začne zvětrat.
  • Je v pořádku pustit tlačítko Purple Start.

Sledujte a potvrzujte
Že okno zlaté

4e Pokračujte v tlačení autoinjektoru dolů. Když je okno plně žluté, injekce je dokončena.

  • Injekce může trvat 15 sekundy dokončit.
  • Můžete slyšet nebo cítit kliknutí.
  • Zvedněte autoinjektor pryč z pokožky.
  • Tmavě zelená bezpečnostní stráž se zamkne kolem jehly.

Důležité: Pokud se okno nezbavilo nebo vypadá, že lék stále vychází, nedostali jste plnou dávku. Okamžitě zavolejte svému poskytovateli zdravotní péče

5. Likvidace Aimavigu a kontroly místa injekce

5A Umístěte použitý autoinjektor a bílý uzávěr do FDA činěného nádoby na likvidaci Sharps okamžitě po použití.

je neomycin sulfát sulfa lék

Důležité: Ne throw away the Autoinjektor v your household trash.

  • Ne znovu použít autoinjektor.
  • Ne Dotkněte se tmavě zelené bezpečnostní stráže.

5b Zkontrolujte místo injekce.

  • Ne Třete místo injekce.
  • Pokud je na místě injekce krevní lis bavlněná koule nebo gázová podložka. V případě potřeby naneste adhezivní obvaz.

Další informace o kontejneru na likvidaci Sharps Pokud nemáte kontejner pro likvidaci FDA, můžete použít kontejner pro domácnost, která je:

  • vyrobeno z těžkoprávného plastu
  • Lze uzavřít s pevně přiléhajícím víkem odolným proti vpichu, aniž by ostřely mohly vyjít
  • Během používání vzpřímeně a stabilní
  • odolný vůči únikům a
  • Správně označené tak, aby varovala před nebezpečným odpadem uvnitř nádoby.

Likvidace likvidačních kontejnerů Sharps:

Pokud je vaše kontejner pro likvidaci SHARPS téměř plný, budete muset dodržovat své pokyny pro komunitu pro správný způsob, jak zlikvidovat svůj kontejner likvidace Sharps.

Mohou existovat státní nebo místní zákony o tom, jak byste měli zahodit použité jehly a stříkačky.

Další informace o bezpečné likvidaci Sharps a konkrétních informacích o likvidaci Sharps ve státě, ve kterém žijete na webových stránkách FDA na adrese:

https://www.fda.gov/safesharpsdisposal

Ne dispose of your used sharps disposal contaver v your household trash Pokud to vaše pokyny pro komunitu neumožňují.

Ne recycle your used sharps disposal contaver.

Důležité: Keep the Autoinjektor a sharps disposal contaver out of the sight a reach of children.

Pro více informací nebo pomoci volejte 1-800-77-Amgen (1-800-772-6436).

Tyto pokyny pro použití byly schváleny americkou správou potravin a léčiv.

Pokyny pro použití

AiMovig ® (AIM-OH-VIG)
(Erenumab-aoe)
vjection fnebo subcutaneous use
140 mg/ml
Jednorázová dávka předplněná sureclick ® Autoinjektor

Tyto pokyny pro použití obsahují informace o tom, jak vložit AiMovig pomocí autoinjektoru Sureclick.

Pokud se váš poskytovatel zdravotní péče rozhodne, že vy nebo pečovatel můžete mít své injekce Aimovigu doma, měli byste absolvovat školení správným způsobem k přípravě a injekci Aimovigu. Nepokoušejte se vstříknout se, dokud vám neukáže správný způsob, jak poskytnout injekce poskytovatelem nebo zdravotní sestrou.

Lék v autoinjektoru Aimovig je pro injekci pod kůží (subkutánní injekce). Informace o Aimovigu naleznete v informacích o Aimovigu o Aimovigu.

Seznámení s předplněným autoinjektorem

1. Důležité informace, které potřebujete vědět před injekcí Aimavig

  • Je důležité, abyste se nesnažili poskytnout injekci, dokud si tyto pokyny plně nečtete a nepochopíte pro použití.
  • Ne Pokud je karton poškozen, použijte autoinjektor nebo je těsnění rozbité.
  • Ne Po uplynutí datu na etiketě použijte autoinjektor.
  • Ne Protřepejte autoinjektorem.
  • Ne Vyjměte oranžový uzávěr z autoinjektoru, dokud nebudete připraveni vstřikovat.
  • Ne Pokud byl zmrazen, použijte autoinjektor.
  • Ne Pokud byl upuštěn na tvrdý povrch, použijte autoinjektor. Část autoinjektoru může být zlomena, i když nevidíte přestávku. Použijte nový autoinjektor a volejte 1-800-77-Amgen (1-800-772-6436).
  • Autoinjektor není vyroben z latexu přírodního gumy.

Často kladené otázky:

Další informace a odpovědi na často kladené otázky naleznete na adrese www.aimovig.com.

Kde získat pomoc:

Pokud chcete více informací nebo pomoc pomocí AiMovigu:

  • Kontaktujte svého poskytovatele zdravotní péče
  • Návštěva www.imovig.com nebo
  • Volejte 1-800-77-Amgen (1-800-772-6436)

2. uložení a přípravu na injekci Aimavig

2A Chlaďte kartonovou automatickou vozidlo, dokud nebudete připraveni jej použít.

  • Udržujte autoinjektor v lednici mezi 36 ° F až 46 ° F (2 ° C až 8 ° C).
  • Udržujte autoinjektor v původním kartonu, abyste jej chránili před světlem nebo fyzickým poškozením.
  • Ne Zmrazení autoinjektoru.
  • Ne Uložte autoinjektor do extrémního tepla nebo chladu. Například se vyhněte skladování do rukavic nebo kufru vašeho vozidla.

Důležité : Udržujte autoinjektor a všechny léky mimo dohled a dosah dětí.

POČKEJTE

2B Počkejte 30 minut, než autoinjektor dosáhne teploty místnosti.

  • Nechte autoinjektor přirozeně zahřát.
  • Ne Zahřejte autoinjektor horkou vodou mikrovlnnou troubou nebo přímého slunečního světla.
  • Ne Protřepejte autoinjektorem kdykoli.
  • Použití autoinjektoru při pokojové teplotě zajišťuje dodávku plné dávky a umožňuje pohodlnější injekci.

2c můžete udržovat Aimovig při pokojové teplotě až 7 dní v případě potřeby.

  • Například když cestujete, můžete udržet Aimovig při teplotě místnosti.
    • Udržujte jej při pokojové teplotě mezi 68 ° F až 77 ° F (20 ° C až 25 ° C).
    • Ne Vložte to zpět do chladničky.
    • Zaznamenejte datum, které jste jej odstranili z ledničky, a použijte jej do 7 dnů.

Důležité: Pokud dosáhne pokojové teploty a nebyl použit do 7 dnů, vložte autoinjektor do nádoby na likvidaci Sharps

2d zkontrolujte lék. Mělo by to být jasné a bezbarvé až mírně žluté.

  • Je v pořádku vidět vzduchové bubliny v autoinjektoru.
  • Ne Použijte AiMovig, pokud je lék zakalená zbarvená nebo má vločky nebo částice.

Důležité: Pokud je lék zakalená zbarvená nebo má vločky nebo částice nebo pokud je autoinjektor poškozen nebo vypršel, volání 1-800-77-Amgen (1-800-772-6436).

2e Zkontrolujte datum vypršení platnosti (exp.) A zkontrolujte poškození automatického projektu.

  • Ne Pokud uplynulo datum vypršení platnosti, použijte autoinjektor.
  • Ne Použijte autoinjektor, pokud:
    • Oranžová čepice chybí nebo volná.
    • Má trhliny nebo rozbité části.
    • Byl upuštěn na tvrdý povrch.
  • Ujistěte se, že máte správný lék a dávku.

3. Příprava na vaši injekci

3A Shromážděte a umístěte následující položky pro svou injekci na čistý plochý a dobře osvětlený povrch:

  • AiMovig Autoinjektor (room temperature)
  • Sharps likvidační kontejner [see Disposvg of AiMovig a Checkvg the Injekce Site]
  • Otěhování alkoholu
  • Adhesivní obvaz
  • Bavlněná koule nebo gázová podložka

3b vstup do 1 z těchto webů.

  • Vstřikněte do přední části stehna nebo žaludku (s výjimkou 2 palců kolem tlačítka břicha).
  • Někdo jiný může vstříknout do stehenního žaludku nebo zadní části horní paže.

Důležité : Vyvarujte se oblastí s jizvami nebo strie nebo kde je pokožka něžnou pohmožděnou červenou tvrdou zvednutou silnou nebo šupinatou kožní náplast nebo lézi.

3c si důkladně umyjte ruce mýdlem a vodou.

3D vyčistěte místo injekce otřesem alkoholu.

  • Nechte pokožku vyschnout samostatně.
  • Ne Před injekcí se znovu dotkněte této oblasti.

4. Injekční AiMovig

Důležité: Odstraňte oranžovou čepici pouze tehdy, když můžete okamžitě vstříknout (do 5 minut), protože lék může vyschnout. Ne shrnout

4a Uchopte autoinjektorem, takže můžete vidět okno. Vytáhněte oranžovou čepici přímo. Možná budete muset tvrdě vytáhnout.

  • Ne Twist ohybu nebo kroucení oranžové čepice, abyste ji stáhli.
  • Nikdy Položte oranžovou čepici zpět. Může to poškodit jehlu.
  • Ne Vložte prst do žlutého bezpečnostního strážce.
  • Je normální vidět kapku léku na konci jehly nebo žluté bezpečnostní strážce.

4B Stretch nebo Setch the Skin a vytvořte pevný povrch v místě vstřikování. Umístěte žluté bezpečnostní stráž rovně na kůži.

  • Udržujte pokožku natažené nebo sevřené dokud není injekce dokončena.
  • Ujistěte se, že můžete vidět okno.
  • Ujistěte se, že je autoinjektor umístěn přímo na místě vstřikování (v úhlu 90 stupňů).

TAM
a hold agavst skv

4c pevně zatlačte autoinjektorem dolů, dokud se žlutý bezpečnostní stráž nepřestává pohybovat. Podržte autoinjektor dolů, nezvedněte se.

  • Žlutý bezpečnostní stráž zatlačí a odemkne šedé startovací tlačítko.

Stiskněte
Šedé tlačítko Start

4D Pokračujte v tlačení autoinjektoru dolů a stisknutím tlačítka Grey Start spusťte injekci.

  • Můžete slyšet nebo cítit kliknutí.
  • Okno se začne zvětrat.
  • Je v pořádku pustit se z tlačítka šedé start.

Sledujte a potvrzujte
Že okno zlaté

4e Pokračujte v tlačení autoinjektoru dolů. Když je okno plně žluté, injekce je dokončena.

  • Injekce může trvat 15 sekundy dokončit.
  • Můžete slyšet nebo cítit kliknutí.
  • Zvedněte autoinjektor pryč z pokožky.
  • Žlutý bezpečnostní stráž se zamkne kolem jehly.

Důležité : Pokud se okno nezbavilo nebo vypadá, že lék stále vychází, nedostali jste plnou dávku. Okamžitě zavolejte svému poskytovateli zdravotní péče.

5. Likvidace Aimavigu a kontroly místa injekce

5A Umístěte použitý autoinjektor a oranžový uzávěr do nádoby na likvidaci Sharps Cleared FDA hned po použití.

Důležité : Neodhazujte autoinjektor do odpadků pro domácnost

  • Ne znovu použít autoinjektor.
  • Ne Dotkněte se žlutého bezpečnostního strážce.

5b Zkontrolujte místo injekce.

  • Ne Třete místo injekce.
  • Pokud je na místě injekce krevní lis bavlněná koule nebo gázová podložka. V případě potřeby naneste adhezivní obvaz.

Další informace o kontejneru pro likvidaci Sharps

Pokud nemáte kontejner pro likvidaci Sharps Clared FDA, můžete použít kontejner pro domácnost, která je:

  • vyrobeno z těžkoprávného plastu
  • Lze uzavřít s pevně přiléhajícím víkem odolným proti vpichu, aniž by ostřely mohly vyjít
  • Během používání vzpřímeně a stabilní
  • odolný vůči únikům a
  • Správně označené tak, aby varovala před nebezpečným odpadem uvnitř nádoby.

Likvidace likvidačních kontejnerů Sharps:

Pokud je vaše kontejner pro likvidaci SHARPS téměř plný, budete muset dodržovat své pokyny pro komunitu pro správný způsob, jak zlikvidovat svůj kontejner likvidace Sharps.

Mohou existovat státní nebo místní zákony o tom, jak byste měli zahodit použité jehly a stříkačky.

Další informace o bezpečné likvidaci Sharps a konkrétních informacích o likvidaci Sharps ve státě, ve kterém žijete na webových stránkách FDA na adrese:

https://www.fda.gov/safesharpsdisposal

Ne dispose of your used sharps disposal contaver v your household trash Pokud to vaše pokyny pro komunitu neumožňují.

Ne recycle your used sharps disposal contaver.

Důležité: Keep the Autoinjektor a sharps disposal contaver out of the sight a reach of children.

Pro více informací nebo pomoci volejte 1-800-77-Amgen (1-800-772-6436).

Tyto pokyny pro použití byly schváleny americkou správou potravin a léčiv.