Informace Na Stránce Nepředstavují Lékařskou Radu. Nic Neprodáváme. Přesnost Překladu Není Zaručena. Zřeknutí Se Odpovědnosti

Tusionex

Shrnutí drog

Co je tusionex?

Tusionex (chlorfeniramin a hydrokodon) je kombinovaná antihistaminika/antitusivní lék předepsaná pro sympmatické řízení nachlazení a alergie příznaky.

Jaké jsou vedlejší účinky tusionu?

Mezi běžné vedlejší účinky tusionu patří:

  • Lightheadedness
  • závrať
  • ospalost
  • potíže se soustředění
  • změny nálady
  • úzkost
  • rozmazané vidění
  • zácpa
  • nevolnost
  • zvracení
  • Ztráta chuti k jídlu
  • sucho v ústech nebo krk
  • pocení
  • svědění nebo vyrážka na kůži a
  • narušená koordinace.

Kontaktujte svého lékaře, pokud máte vážné vedlejší účinky Tussionex včetně:



  • mělké dýchání
  • těsnost hrudníku
  • bolestivé nebo obtížné močení
  • Změny mentální/nálady (například depresivní agitační zmatení halucinace)
  • Bolest žaludku/břicha
  • Rychlý/pomalý/nepravidelný srdeční rytmus nebo
  • neobvyklé chování.

Pokud máte následující vážné vedlejší účinky, vyhledejte lékařskou péči nebo zavolejte na číslo 911:

  • Vážné příznaky očí, jako je ztráta náhlého vidění rozmazané vidění vidění Vision Vision Eye Eye Eye Eye Eye Eye Eye Eye nebo vidět halos kolem světel;
  • Vážné příznaky srdce, jako je rychlé nepravidelné nebo bušení srdečního rytmu; třepování v hrudi; dušnost; a náhlé závratě lightheartiesness nebo omdlení;
  • Těžká zmatek bolesti hlavy zkroucený řečový rameno nebo slabost nohou Potíže se ztrátou chůze pocitu koordinace Pocit nestabilní velmi tuhé svaly vysoké horečky bohaté pocení nebo třes.

Tento dokument neobsahuje všechny možné vedlejší účinky a mohou dojít k jiným. Další informace o vedlejších účincích najdete u svého lékaře.

Dávkování pro tusionex

Tusionex obvyklá dávka je 5 ml dvakrát denně.

Jaké léčivé látky nebo doplňky interagují s Tusionex?

Tusionionex může interagovat s jinými léky, které mohou způsobit ospalost (narkotika spící pilulky na svalové relaxery a lék na záchvaty nebo úzkost) jakoukoli jinou léčivou nachlazení nebo alergii atropin benztropin dimenhydrinátu methscopolaminu Scopolamin Bronchodilatátory glykopyrrolát mepenzolát měchýř nebo léky moči dráždivé střevní léky nebo inhibitory MAO. Řekněte svému lékaři všechny léky a doplňky, které používáte.

Tusionex během těhotenství nebo kojení

Tusionex by neměl být používán během těhotenství, protože může způsobit nepříznivé účinky u plodu, pokud potenciální přínos převažuje nad potenciálním neznámému riziku plodu. Tusionex je vylučován v lidském mateřském mléce a může způsobit nepříznivé účinky v novém narozeném. Před kojením se poraďte se svým lékařem.

Další informace

Naše střední účinky na drogy s vedlejším účinkem Tusionex poskytuje při užívání tohoto léku komplexní pohled na dostupné informace o možných vedlejších účincích.

Informace o drogách FDA

VAROVÁNÍ

Rizika od souběžného použití s ​​benzodiazepiny nebo jinými depresivními látkami CNS

Současné použití opioidů s benzodiazepinem nebo jiným centrálním nervovým systémem (CNS), včetně alkoholu, může mít za následek hlubokou sedaci respirační deprese a smrt (viz viz VAROVÁNÍS a Lékové interakce ). Vyvarujte se užívání léků na opioidní kašel u pacientů užívajících benzodiazepiny jiné depresivy nebo alkohol CNS.

Popis pro tusionex

Každé 5 ml Tusionex Pennkinetic Released-Release Suspension obsahuje hydrokodon polistirex ekvivalentní 10 mg hydrokodonového bitartrátu a chlorfeniraminu protistirexu ekvivalentu 8 mg chlorfeniraminu. Hydrokodon je centrálně působící narkotický antitusivní. Chlorpheniramin je antihistaminika. TUSIONEX PENNINETICKÁ ROZŠÍŘENÍ ROZŠÍŘENÍ PŘEDPOKLÁDÁNÍ POUZE PRO ORALU.

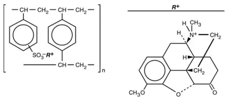
Hydrokodon Polistirex

Sulfonovaný komplex kopolymeru styren-divinylbenzen s 45a-epoxy-3-methoxy-17-methylmorfinan-6-one.

Chlorpheniramin Polistirex

Sulfonovaný komplex kopolymeru styrenu-divinylbenzenu s 2- [p-chlor-a- [2- (dimethylamino) ethyl]-benzyl] pyridin.

Neaktivní ingredience

Kyselina askorbová d

Použití pro tusionex

Suspenze Tusionex Penkinetic prodloužený uvolňování je indikováno pro reliéf kašle a symptomů horních cest dýchacích spojených s alergií nebo nachlazení u dospělých a dětí ve věku 6 let a starších.

Dávkování pro tusionex

Je důležité, aby se Tusionex měřil pomocí přesného měřicího zařízení (vidět OPATŘENÍ Informace o pacientu ).

Dávkovací lžíce je vybavena baleným produktem 4 oz (115 ml). Jedna strana lžíce je pro dávku 2,5 ml. Druhá strana lžíce je pro 5 ml dávky. Vyplňte na úrovni boku lžíce pro dávku, která byla předepsána. Nepřeplňte. Po každém použití opláchněte vodou.

Pro recepty, kde dávkovací lžíce není poskytnuta lékárník, může poskytnout vhodné měřicí zařízení a může poskytnout pokyny pro měření správné dávky. Domácí lžička není přesným měřicím zařízením a může vést k předávkování.

Každé 5 ml Tusionex Pennkinetic Released-uvolňující uvolňování obsahuje hydrokodon polistirex ekvivalentní 10 mg hydrokodonového bitartrátu a chlorfeniraminu proti postiRirexu ekvivalentu zlomu 8 mg chlorfeniraminu. Před použitím se protřepejte. Po každém použití opláchněte měřicí zařízení vodou.

Dospělí a děti ve věku 12 let

5 ml každých 12 hodin; Nepřekračujte 10 ml za 24 hodin.

Děti ve věku 6-11 let

2,5 ml každých 12 hodin; Nepřekračujte 5 ml za 24 hodin.

Tento lék je kontraindikován u dětí mladších 6 let (viz Kontraindikace ).

Jak dodáno

Tusionex pennkinetic (hydrokodon polistirex a chlorfeniramin polistirex) zavěšení prodlouženým uvolňováním ekvivalentem 10 mg hydrokodonového bitartrátu a 8 mg chlorfeniraminu na 5 ml je zlaté barvy dostupné jako::

  • NDC 53014-548-01 4 oz jantarová plastová láhev obsahující 115 ml suspenze. Každá láhev je dodávána s plastovou dávkovací lžičkou kalibrovanou pro měření 2,5 ml a 5 ml dávek.

Pro lékařské informace

Kontakt: Oddělení lékařských záležitostí
Telefon: (866) 822-0068
Fax: (770) 970-8859

Skladování

Skladovat při 20 až 25 ° (68 až 77 ° F); Exkurze povolené na 15 až 30 ° C (59 až 86 ° F) [viz teplota místnosti s kontrolovanou USP].

Vyrobeno pro: UCB Inc. Smyrna GA 30080. Revidováno: Jan 2017

Vedlejší účinky for Tussionex

Gastrointestinální poruchy

Může se objevit nevolnost a zvracení; Jsou častější v ambulantních než u ležících pacientů. Dlouhodobé podávání suspenze Tusionex Pennkinetic prodlužované uvolňování může způsobit zácpu.

Obecné poruchy a podmínky pro správu

Smrt

Poruchy nervového systému

Sedace ospalost mentální zaklouznutí letargie poškození duševního a fyzického výkonu úzkost strach dysforie euforie závratě psychická závislost nálady změny nálady.

Poruchy ledvin a moči

U opiátů byly hlášeny křeče ureterálních křeče vezivých sfincí a retence moči.

Respirační hrudní a mediastinální poruchy

Suchost hltanu příležitostná těsnost hrudníku a respirační deprese (viz viz Kontraindikace ).

Suspenze Tusionex Penkinetic prodlužované uvolňování může způsobit dýchací depresi související s dávkou působením přímo na respirační centra mozkových kmenů (viz viz PŘEDÁVKOVAT ). Use of Tusionex Pennkinetic Extended-Release Suspension in children less than 6 years of age has been associated with fatal respiratory depression. Overdose with Tusionex Pennkinetic Extended- Release Suspension in children 6 years of age a older in adolescents a in adults has been associated with fatal respiratory depression.

Poruchy kůže a podkožní tkáně

Vyrážka Tamitus.

Lékové interakce for Tussionex

Použití benzodiazepinů opioidů Antihistaminiky antipsychotiky Anti-úzkostné látky nebo jiných depresivních deprese CNS (včetně alkoholu) souběžně s Tusionex Penkinetic prodloužený uvolňování může způsobit aditivní účinek deprese CNS s depresí a smrt může být vyvolán (viz (vidět (vidět (viz (vidět (vidět (vidět převzetí a smrt (vidět (vidět (viz (vidět (vidět (vidit zavěšení (viz (vidět (viz (vidit (viz vidět (viz (vidět (vidit (vidit (viz odpružení (viz (vidit (vidit (vidit (viz deprese a smrt (viz (viz deprese a smrt. VAROVÁNÍS ).

Použití inhibitorů MAO nebo tricyklika antidepresiva Při přípravách hydrokodonu může zvýšit účinek antidepresiva nebo hydrokodonu.

Souběžné použití jiných anticholinergik s hydrokodonem může produkovat paralytický ileus.

Zneužívání a závislost drog

TUSSIONEX Pennkinetic Released-Release Suspension je narkotikum Schedule II. Psychická závislost fyzikální závislost a tolerance se může vyvinout po opakovaném podávání narkotik; Proto by mělo by být předepsáno a podáváno opatrně suspenze Tusionex Penkinetic prodloužené uvolňování. Je však nepravděpodobné, že by se psychická závislost rozvinula, když se pro léčbu kašle použije suspenze s prodlouženým uvolňováním Tussionex Pennkinetic. Fyzikální závislost Stav, ve kterém je nutný pokračující podávání léčiva k zabránění vzhledu abstinenčního syndromu předpokládá klinicky významné proporce až po několika týdnech pokračujícího orálního narkotického použití, i když se po několika dnech narkotické terapie může vyvinout určitý mírný stupeň fyzické závislosti.

Varování for Tussionex

Riziko od souběžného použití s ​​benzodiazepiny nebo jinými depresivními látkami CNS

Současné používání opioidů včetně suspenze Tussionex Pennkinetic prodlužované uvolňování s benzodiazepiny nebo jinými depresivy CNS, včetně alkoholu, může vést k hluboké sedaci respirační deprese a smrti. Kvůli těmto rizikům se vyhýbají používání léků na opioidní kašel u pacientů užívajících benzodiazepiny jiné depresivy nebo alkohol CNS (viz Lékové interakce ).

Observační studie prokázaly, že souběžné použití opioidních analgetik a benzodiazepinů zvyšuje riziko úmrtnosti související s léčivem ve srovnání s použitím samotných opioidů. Vzhledem k podobným farmakologickým vlastnostem je rozumné očekávat podobné riziko se souběžným užíváním léků na opioidní kašel a benzodiazepiny jiných depresiv CNS nebo alkoholu.

Poraďte se pacientům i pečovatelům o rizicích respirační deprese a sedace, pokud se použije suspenze Tusionex Penkinetic prodloužený uvolňování s alkoholem benzodiazepinů nebo jiných depresivních látek CNS (viz viz OPATŘENÍ Informace pro pacienty ).

Respirační deprese

Stejně jako u všech narkotik tusinex pennkinetic prodlužované uvolňování způsobuje respirační depresi související s dávkou přímým působením na respirační centra mozkových kmenů. Hydrokodon ovlivňuje střed, který řídí respirační rytmus a může produkovat nepravidelné a periodické dýchání. Upozornění by mělo být posouzeno, když se suspenze Tussionex Pennkinetic prodlužuje uvolňování po operaci a u pacientů s plicním onemocněním nebo kdykoli je depresivní ventilační funkce. Pokud dojde k respirační depresi, může být antagonizována použitím naloxonového hydrochloridu a dalších podpůrných opatření, pokud jsou uvedeny (viz viz PŘEDÁVKOVAT ).

Poranění hlavy a zvýšený intrakraniální tlak

Respirační depresivní účinky narkotik a jejich schopnost zvýšit tlak mozkomíšního moku mohou být výrazně přehnané v přítomnosti poškození hlavy jiné intrakraniální léze nebo již existujícím zvýšením intrakraniálního tlaku. Kromě toho narkotika produkují nežádoucí účinky, které mohou zakrývat klinický průběh pacientů s poraněním hlavy.

Akutní břišní podmínky

Podávání narkotik může zakrývat diagnózu nebo klinický průběh pacientů s akutními břišními podmínkami.

Obstrukční onemocnění střev

Chronické použití narkotik může vést k obstrukční onemocnění střev, zejména u pacientů s podkladovou poruchou pohyblivosti střeva.

Co Mg přichází neurontin

Dětské použití

Použití suspenze Tusionex Pennkinetic prodloužený uvolňování je kontraindikováno u dětí mladších 6 let (viz Kontraindikace ).

U pediatrických pacientů i dospělých je respirační centrum citlivé na depresivní účinek narkotických potlačujících kašle v závislosti na dávce. Upozornění by mělo být posouzeno při podávání suspenze Tusionex Pennkinetic prodlužované uvolňování na pediatrické pacienty ve věku 6 let a starší. Předávkování nebo souběžné podávání suspenze Tussionex Pennkinetic prodlužované uvolňování s jinými depresivními respiračními depresivy může zvýšit riziko respirační deprese u pediatrických pacientů. Poměr přínosů pro riziko by měl být pečlivě zvážen zejména u pediatrických pacientů s respiračními rozpaky (např. Kroup) (viz viz OPATŘENÍ ).

Opatření for Tussionex

Generál

Při předepisování tohoto léku pacientů s úzkým úhlem se doporučuje opatrnost glaukom astma nebo hypertrofie prostaty.

Pacienti se zvláštním rizikem

Stejně jako u jakéhokoli narkotického činidla Tusionex Pennkinetic Released-Release Release by měla být použita s opatrností u starších nebo vysilněných pacientů a pacientů s těžkým poškozením jaterní nebo renální funkce hypotyreózy Addisonovy choroby prostatická hypertrofie nebo uretrálního striktu. Měla by být pozorována obvyklá opatření a je třeba mít na paměti možnost respirační deprese.

Informace pro pacienty

Doporučujte pacientovi, aby si přečetl značení pacienta schváleného FDA ( Průvodce léky ).

Současné použití s ​​benzodiazepiny nebo jinými depresivními látkami CNS

Informujte pacienty a pečovatele, že potenciálně fatální aditivní účinky se mohou vyskytnout, pokud se u benzodiazepinů nebo jiných depresivních látek CNS včetně alkoholu použije suspenze Tussionex Pennkinetic prodloužený uvolňování. Kvůli tomuto riziku by se pacienti měli vyhýbat souběžnému použití suspenze Tussionex Pennkinetic prodloužený uvolňování s benzodiazepiny nebo jinými depresivními prostředky CNS včetně alkoholu (viz viz VAROVÁNÍS a Lékové interakce ).

Neurologické nežádoucí účinky

Poraďte se s pacienty, že suspenze Tusionex Penkinetic prodlužuje uvolňování výrazného ospalosti a narušit mentální a/nebo fyzické schopnosti potřebné pro výkon potenciálně nebezpečných úkolů, jako je řízení automobilu nebo operační stroje. Poraďte pacientům, aby se během léčby pomocí TUSSIONEX PENNINETICKÉHO ROZDĚLENÉHO uvolňování vyhýbali řízení nebo provoznímu stroji.

Pokyny pro dávkování

Doporučujte pacientům, aby nezředili suspenzi Tusionex Pennkinetic prodlužované uvolňování s jinými tekutinami a nemíchat se s jinými léky, protože to může změnit vázání pryskyřice a změnit míru absorpce možná zvýšit toxicitu.

Poraďte se s pacienty, že suspenze Tussionex Penkinetic by měla být měřena přesným měřicím zařízením. Domácí lžička není přesným měřicím zařízením a může vést k předávkování. Dávkovací lžíce je vybavena baleným produktem 4 oz (115 ml). Jedna strana lžíce je pro dávku 2,5 ml. Druhá strana lžíce je pro 5 ml dávky. Pokyn pacientovi, aby vyplnil na vyrovnání strany lžíce pro předepsanou dávku. Lžíce by neměla být přeplněna. Po každém použití opláchněte měřicí zařízení nebo dávkovací lžíci.

Alternativně může lékárník doporučit vhodné měřicí zařízení a může poskytnout pokyny pro měření správné dávky.

Kašel reflex

Hydrokodon potlačuje reflex kašle; Stejně jako u všech narkotik by měla být opatrná opatrnost, když se suspenze Tusionex Pennkinetic prodlužuje uvolňování po operaci a u pacientů s plicním onemocněním.

Zhodnocení mutageneze karcinogeneze plodnosti

Mutagenita a reprodukční studie karcinogenity nebyly provedeny s suspenzí Tusionex Pennkinetic prodloužené uvolňování.

Těhotenství

Teratogenní účinky

Těhotenství Category C

Ukázalo se, že hydrokodon je u křečků teratogenní, když je podáván v dávkách 700krát větší dávce. Neexistují žádné adekvátní a dobře kontrolované studie u těhotných žen. Během těhotenství by měla být použita suspenze Tusionex Pennkinetic prodloužené uvolňování, pouze pokud potenciální přínos odůvodňuje potenciální riziko pro plod.

Neteratogenní účinky

Děti narozené matkám, které pravidelně užívaly opioidy před doručením, budou fyzicky závislé. Mezi nápisy mezi stažením patří podrážděnost a nadměrné plačící chvění hyperaktivní reflexy zvýšily respirační frekvenci zvýšené stoličky kýchající zívání zvracet a horečku. Intenzita syndromu ne vždy koreluje s trváním užívání nebo dávky mateřských opioidů.

Práce a dodávka

Stejně jako u veškeré narkotické podávání suspenze Tusionex Pennkinetic prodlužované uvolňování na matku krátce před porodem může vést k určitému stupni respirační deprese u novorozence, zejména pokud se použijí vyšší dávky.

Ošetřovatelské matky

Není známo, zda je tento lék vylučován lidským mlékem. Protože mnoho drog je vylučováno v lidském mléce a vzhledem k potenciálu závažných nežádoucích účinků u kojeneckých kojenců z Tusionex Pennkinetic prodloužený uvolňování by mělo být rozhodnuto, zda ukončit ošetřovatelství nebo ukončit lék s přihlédnutím k důležitosti drogy pro matku.

Dětské použití

Použití suspenze Tusionex Pennkinetic prodloužený uvolňování je kontraindikováno u dětí mladších 6 let (viz Kontraindikace a Nežádoucí účinky Respirační Hrudní a mediastinální poruchy ).

TUSSIONEX PENNINETICKÁ DOBRÁNÍ ZÁVADU by měla být použita s opatrností u pediatrických pacientů ve věku 6 let a starší (viz viz VAROVÁNÍS Dětské použití ).

Geriatrické použití

Klinické studie TUSSIONEX nezahrnovaly dostatečný počet subjektů ve věku 65 let a více, aby se určilo, zda reagují odlišně od mladších subjektů. Jiné hlášené klinické zkušenosti nezjistily rozdíly v odpovědích mezi staršími a mladšími pacienty. Obecně by měl být výběr dávky pro staršího pacienta opatrný, obvykle začínající na dolním konci rozsahu dávkování, což odráží větší frekvenci snížené funkce ledvin nebo srdeční jater a souběžné onemocnění nebo jiné léčivé terapie.

Je známo, že tento lék je v podstatě vylučován ledvinami a riziko toxických reakcí na tento lék může být u pacientů se zhoršenou funkcí ledvin větší. Vzhledem k tomu, že starší pacienti s větší pravděpodobností mají sníženou funkci renálních funkcí, by měla být prováděna při výběru dávky a může být užitečné sledovat funkci ledvin.

Informace o předávkování pro Tusionex

Příznaky a příznaky

Vážná předávkování hydrokodonem je charakterizováno respirační depresí (snížením respirační frekvence a/nebo přílivového objemu Cheyne-Stokes Respiration Cyanóza) extrémní somnolence postupující k hlouposti nebo kómatu kosterní svalové svalové omyly nachlazení a kladivové kůže a někdy Bradykardie a někdy Bradykardie a někdy Bradykardie a někdy Bradykardie a někdy Bradykardie a někdy Bradykardie a hypotenze . Přestože je mióza charakteristická pro narkotickou předávkování, mydriáza se může objevit při terminální narkóze nebo těžké hypoxii. Při vážném předávkovém apnoe může dojít ke kolapsu srdeční zástavy a smrt. Projevy předávkování chlorfeniraminu se mohou lišit od deprese centrálního nervového systému po stimulaci.

Zacházení

Primární pozornost by měla být věnována obnovení přiměřené výměny dýchacích cest poskytováním patentových dýchacích cest a institucí asistované nebo kontrolované větrání. Narkotický antagonista naloxone hydrochlorid je specifický protijed pro respirační depresi, který může být výsledkem předávkování nebo neobvyklé citlivosti na narkotiku včetně hydrokodonu. Proto by vhodná dávka naloxonového hydrochloridu měla být podávána nejlépe intravenózní trasou současně s úsilím o respirační resuscitaci. Protože doba účinku hydrokodonu v této formulaci může překročit dobu antagonisty, měl by být pacient udržován při pokračujícím dohledu a opakované dávky antagonisty by měly být podávány podle potřeby k udržení přiměřeného dýchání. Další informace naleznete v části Naloxon hydrochlorid. Antagonista by neměl být podáván v nepřítomnosti klinicky významné respirační deprese. Jak je uvedeno, měly by být použity intravenózní tekutiny kyslíku a další podpůrná opatření. Při odstraňování neabsorbovaného léčiva může být užitečné vyprazdňování žaludku.

Kontraindikace pro tusionex

TUSSIONEX PENNINETICKÁ ROZŠÍŘENÍ ZÁVĚRA ZAPNUŠTĚNÍ U pacientů se známým alergie nebo citlivost na hydrokodon nebo chlorfeniramin.

Použití suspenze Tussionex Penkinetic prodloužený uvolňování je kontraindikováno u dětí mladších 6 let kvůli riziku fatální respirační deprese.

Klinická farmakologie for Tussionex

Hydrokodon je semisyntetický narkotický antitusivní a analgetikum s více akcími kvalitativně podobnými akcím kodeinu. Přesný mechanismus účinku hydrokodonu a dalších opiátů není znám; Předpokládá se však, že hydrokodon působí přímo na centrum kašle. V nadměrných dávkách hydrokodon, jako jsou jiné deriváty opia, sníží dýchání. Účinky hydrokodonu v terapeutických dávkách na kardiovaskulární systém jsou zanedbatelné. Hydrokodon může produkovat miózu euforii a fyzickou a psychologickou závislost.

Chlorfeniramin je lék na antihistaminiku (h 1 Antagonista receptoru), který má také anticholinergní a sedativní aktivitu. Zabraňuje uvolněnému histaminu v dilataci kapilár a způsobuje otok respirační sliznice.

Uvolnění hydrokodonu z suspenze prodlužovaného uvolňování v Pennkinetickém uvolňování je regulováno pennkinetickým systémem, který prodlužoval léčivo, který kombinuje polymerní matrici iontoměnitosti s propustným povlakem omezujícím rychlost. Uvolňování chlorfeniraminu je prodlouženo použitím iontoměnického polymerního systému.

Po vícenásobném dávkování s Tusionex Penkinetic prodlužovaným uvolňováním hydrokodonového průměru (S.D.) PAKMA PLASMA koncentrace 22,8 (NULL,9) ng/ml se objevily po 3,4 hodinách. Střední průměr chlorfeniraminu (S.D.) Vrchol plazmatických koncentrací 58,4 (NULL,7) ng/ml se vyskytl po 6,3 hodinách po vícenásobném dávkování. Hladiny plazmy na vrcholu získané s sirupem s okamžitým uvolňováním se vyskytly přibližně 1,5 hodiny u hydrokodonu a 2,8 hodiny u chlorfeniraminu. Plazmatické poločasy hydrokodonu a chlorfeniraminu byly hlášeny přibližně 4 a 16 hodin.

Informace o pacientovi pro Tusionex

Tusionex ®
Pennkinetic ®
(Tuss-i-hecks pen-ki -n-tik)
(hydrokodon polistirex a chlorfeniramin hlistirex)

Jaké jsou nejdůležitější informace, které bych měl vědět o suspenzi Tusionex Pennkinetic prodloužený uvolnění?

  • Užívání suspenze Tusionex Pennkinetic prodlužované uvolňování s benzodiazepiny nebo jinými depresivními prostředky centrálního nervového systému, včetně alkoholu, může způsobit vážné ospalosti dýchací problémy (respirační deprese) a smrt.
  • Tusionex Pennkinetic Extended-Release Suspension can cause you to be drowsy. Avoid driving a car or operating machinery during treatment with Tusionex Pennkinetic Extended-Release Suspension.
  • Ženy, které kojí, by měly mluvit se svým poskytovatelem zdravotní péče před přijetím pozastavení Tusionex Pennkinetic prodloužené uvolňování.
  • Zavolejte svému poskytovateli zdravotní péče nebo okamžitě získejte pohotovostní lékařskou pomoc, pokud má někdo, kdo bere tusionex pennkinetický prodloužený uvolnění, který má níže uvedený příznaky:
    • zvýšená ospalost
    • zmatek
    • potíže s dýcháním
    • mělké dýchání
    • ohebnost
    • Vaše dítě má potíže s kojením
  • Udržujte Tusionex Penkinetic prodloužený uvolnění na bezpečném místě od dětí. Náhodné použití dítětem je lékařská pohotovost a může způsobit smrt. Pokud dítě náhodně vezme Tusionex Pennkinetic prodloužený uvolnění, získejte okamžitě pohotovostní lékařskou pomoc.
  • Tusionex Pennkinetic Extended-Release Suspension can cause serious side effects Tusionex Pennkinetic Extended-Release Suspension can cause serious side effects including death.
  • Vezměte si Tusionex Pennkinetic Delzed-uvolňovací pozastavení přesně tak, jak je předepsán váš poskytovatel zdravotní péče. Pokud si vezmete nesprávnou dávku suspenze prodlužovaného prodloužení Tusionex Pennkinetic, můžete předávkování a zemřít.
  • Tusionex Pennkinetic Extended-Release Suspension is not for children under 6 years of age.

Co je to Tusionex Pennkinetic prodloužený uvolnění?

  • Tusionex Pennkinetic Extended-Release Suspension is a prescription medicine used to treat cough a upper respiratory symptoms that you can have with allergies or a cold. Tusionex Pennkinetic Extended-Release Suspension is for adults a children age 6 years a older. Tusionex Pennkinetic Extended-Release Suspension contains 2 medicines hydrocodone a chlorpheniramine. Hydrocodone is a narcotic cough suppressant. Chlorpheniramine is an antihistamine.
  • Tusionex Pennkinetic Extended-Release Suspension is a federal controlled substance (CII) because it contains hydrocodone that can be abused or lead to dependence. Udržujte Tusionex Penkinetic Delzed-uvolňující pozastavení na bezpečném místě, abyste zabránili zneužití a zneužívání. Prodej nebo rozdávání Tusionex Penkinetic prodloužený uvolnění může poškodit ostatní a je v rozporu se zákonem. Sdělte svému poskytovateli zdravotní péče, pokud jste zneužili nebo byli závislí na lécích na předpis alkoholu nebo na pouliční drogy.
  • Tusionex Pennkinetic Extended-Release Suspension is not for children under 6 years of age.

Kdo by neměl brát Tusionex Penkinetické zavěšení prodlouženým uvolňováním?

  • Ne Vezměte si suspenzi Tusionex Penkinetic prodloužený uvolňování, pokud jste alergičtí na některou z ingrediencí v suspenzi Tusionex Pennkinetic prodloužený uvolňování. Úplný seznam složek naleznete na konci této příručky k léku. Pokud jste alergičtí na některé jiné opioidní léky, můžete mít zvýšené riziko alergické reakce na suspenzi prodlouženým uvolňováním Tusionex Pennkinetic.
  • Ne Dejte Tusionex Pennkinetic prodloužený uvolňování na dítě mladší 6 let. Může způsobit dýchací problémy, které mohou vést k smrti.

Než si vezmete pozastavení Tussionex Penkinetic prodloužené uvolňování, řekněte svému poskytovateli zdravotní péče o všech vašich zdravotních stavech, včetně, pokud jste:

  • mít závislost na drogách
  • mít plicní nebo dýchací problémy
  • měli zranění hlavy
  • mít bolest v oblasti žaludku (břicho)
  • mít historii závažného nebo přetrvávajícího kašle
  • mít glaukom
  • mít problémy s prostatou
  • mít problémy s vaším močovým traktem (omezení močové močové postavy)
  • Plánujte operaci
  • Pijte alkohol
  • mít problémy s ledvinami nebo jatery
  • mít cukrovku
  • mít problémy se štítnou žlázou, jako je hypotyreóza
  • Addisonova nemoc
  • jsou těhotné nebo plánují otěhotnět. Není známo, zda suspenze prodlužení Tusionex Pennkinetic ublíží vašemu nenarozenému dítěti. Vy a váš poskytovatel zdravotní péče byste se měli rozhodnout, zda byste měli vzít v těhotenství pozastavení prodlouženého uvolňování Tusionex Penkinetic.
  • jsou kojení nebo plánují kojení. It is not known if TUSSIONEX Pennkinetic Extended- Release Suspension passes into your breast milk. Vy a váš poskytovatel zdravotní péče byste se měli rozhodnout, zda si vezmete pozastavení nebo kojení Tusinex Penkinetic prodloužené uvolňování. Neměli byste dělat obojí.

Řekněte svému poskytovateli zdravotní péče o všech lécích, které užíváte včetně předpisu a volně prodejných léků vitamínů a bylinných doplňků.

Užívání suspenze Tusionex Penkinetic prodlužované uvolňování s některými jinými léky může způsobit vedlejší účinky nebo ovlivnit, jak dobře fungují suspenze tusinexu pennkinetického uvolňování nebo jiné léky. Nezačínejte ani nezastavte jiné léky, aniž byste mluvili s poskytovatelem zdravotní péče.

Zejména řekněte svému poskytovateli zdravotní péče, pokud:

  • užívejte léky proti bolesti, jako jsou narkotika
  • Vezměte nachlazení nebo alergické léky, které obsahují antihistaminika nebo potlačující kašel
  • Vezměte léky na duševní choroby (anti-psychotika proti úzkosti)
  • Pijte alkohol
  • Vezměte léky na depresi včetně inhibitorů monoamin oxidázy (MAOI) a tricykliky
  • užívejte léky na problémy s žaludkem nebo střevem

Zeptejte se svého poskytovatele zdravotní péče, zda si nejste jisti, zda si užíváte jeden z těchto léků.

Jak bych měl užívat suspenze Tusionex Penkinetic prodloužený uvolnění?

  • Vezměte si Tusionex Penkinetic Delzed-uvolňující pozastavení přesně tak, jak vám říká váš poskytovatel zdravotní péče, abyste to vzali.
  • Váš poskytovatel zdravotní péče vám řekne, kolik Tusionex Pennkinetic prodlužoval uvolnění uvolnění a kdy to vzít. Neměňte svou dávku, aniž byste mluvili s poskytovatelem zdravotní péče.
  • Shake Tusionex Penkinetic Delzed-uvolňující pozastavení dobře před každým použitím.
  • Ne Smíchejte suspenzi prodlužovaného uvolňování tunkenetického uvolňování s jinými kapalinami nebo léčivami. Míchání může změnit, jak funguje suspenze Tussionex Penkinetic.
  • Tusionex Pennkinetic Extended-Release Suspension can be taken with or without food.
  • Měřte pouze Tusionex Penkinetic prodlužované uvolňování s dávkovací lžičkou, která přichází s vaším předpisem. Pokud nemáte dávkovací lžíci pro váš lék, požádejte lékárníka, aby vám poskytl měřicí zařízení, které vám pomůže měřit správné množství suspenze Tusionex Pennkinetic prodloužené uvolňování. Ne use a household teaspoon to measure your medicine. You may accidently take too much.
    • Jedna strana dávkovací lžíce je označena pro dávku 2,5 ml. Druhá strana lžíce je označena pro 5 ml dávky. Najděte stranu lžíce, která má dávku, kterou berete.
    • Naplňte tuto stranu lžíce, aby byl lék na úrovni okraje lžíce. Nepřeplňte lžíci.
    • Po každém použití opláchněte lžíci vodou.
  • Pokud si vezmete příliš mnoho Tussionex Penkinetic prodlužované uvolňování, zavolejte svého poskytovatele zdravotní péče nebo hned jděte do nejbližší pohotovostní místnosti nemocnice.

Co bych se měl vyhnout při užívání suspenze Tusionex Pennkinetic prodloužený uvolň?

  • Tusionex Pennkinetic Extended-Release Suspension can cause you to be drowsy. Avoid driving a car or operating machinery during treatment with Tusionex Pennkinetic Extended-Release Suspension.
  • Vyvarujte se pití alkoholu během léčby suspenzí Tusionex Pennkinetic prodloužený uvolňování. Pití alkoholu může zvýšit vaše šance na vážné vedlejší účinky.

Jaké jsou možné vedlejší účinky suspenze Tussionex Pennkinetic prodloužené uvolňování?

Tusionex Pennkinetic Extended-Release Suspension may cause serious side effects including:

  • Viz „Jaké jsou nejdůležitější informace, které bych měl vědět o pozastavení Tussionex Pennkinetic prodloužený uvolnění?“
  • Dýchací problémy (respirační deprese), které mohou vést k smrti. Zavolejte svému poskytovateli zdravotní péče nebo okamžitě získejte nouzové ošetření, pokud spíte více než obvykle, mělké nebo pomalé dýchání nebo zmatek.
  • Zvýšený intrakraniální tlak.
  • Fyzická závislost nebo zneužívání. Vezměte si Tusionex Penkinetic Delzed-uvolňující pozastavení přesně tak, jak vám říká váš poskytovatel zdravotní péče, abyste to vzali. Stopping Tusionex Pennkinetic Extended-Release Suspension suddenly can cause withdrawal příznaky.
  • Problémy střev včetně zácpy nebo bolesti žaludku.

Mezi nejčastější vedlejší účinky Tussionex Pennkinetic prodloužené uvolňování patří:

  • ospalost
  • zmatek
  • nevolnost a zvracení
  • potíže s močením
  • potíže s dýcháním

Nejedná se o všechny možné vedlejší účinky suspenze Tussionex Pennkinetic prodlužované uvolňování.

Zavolejte svého lékaře, kde najdete lékařskou radu ohledně vedlejších účinků. Můžete nahlásit vedlejší účinky FDA na 1-800-FDA-1088.

Jak bych měl ukládat suspenzi Tusionex Penkinetic prodloužený uvolnění?

  • Skladujte Tusionex Penkinetic Released-uvolňování při teplotě místnosti mezi 68 ° F až 77 ° F (20 ° C až 25 ° C).
  • Bezpečně zahodit lék, který je zastaralý nebo již není potřeba.
  • Udržujte Tusionex Penkinetic prodloužený uvolnění a všechny léky mimo dosah dětí.

Generál information about the safe a effective use of Tusionex Pennkinetic Extended- Release Suspension.

Léky jsou někdy předepisovány pro jiné účely než ty, které jsou uvedeny v průvodci s léky. Nepoužívejte Tusionex Penkinetic prodlužované uvolňování pro podmínku, pro které nebylo předepsáno. Nedávejte Tusionex pennkinetické zavěšení pro další lidi, i když mají stejné příznaky, jaké máte. Může jim to poškodit. Můžete požádat svého lékárníka nebo poskytovatele zdravotní péče o informace o pozastavení Tusionex Pennkinetic prodlužované uvolňování, které je psáno pro zdravotnické pracovníky.

Jaké jsou složky v suspenzi Tusionex Pennkinetic prodloužené uvolňování?

Aktivní složka: hydrokodon polistirex a chlorfeniramin hlistirex
Neaktivní ingredience: Kyselina askorbová d

Tento průvodce medikací byl schválen USA