Informace Na Stránce Nepředstavují Lékařskou Radu. Nic Neprodáváme. Přesnost Překladu Není Zaručena. Zřeknutí Se Odpovědnosti
Antineoplastika, antimetabolitOforreta
Shrnutí drog
Co je to Oforta?
Ofiorta (fludarabin fosfát) je lék na rakovinu používaný k léčbě chronických lymfocytických B-buněk B-buněk leukémie (CLL). Oforta se obvykle podává poté, co byly jiné léky na rakovinu vyzkoušeny bez úspěšné reakce na léčbu. Značka OFORTA je přerušena, ale obecný mohou být k dispozici verze.
Jaké jsou vedlejší účinky OForty?
Oforreta
- kopřivka
- potíže s dýcháním
- Otok vašeho obličeje rty jazyk nebo krk
- horečka
- bolest v krku
- hořící oči
- bolest kůže
- Červená nebo fialová kožní vyrážka s puchýřem a loupáním
- Otupělost nebo zabarvení
- hořící bolest
- Problémy se zrakem
- míchání
- náhlá bolest na hrudi
- síť
- suchý kašel
- dušnost
- krvavé nebo dehtové stoličky
- kašel o krev
- zvracení, které vypadá jako káva
- zmatek
- slabost
- bledá nebo zažloutlá kůže
- tmavě zbarvená moč
- zimnice
- únava
- vředy
- Vředy
- Snadné modřiny
- neobvyklé krvácení
- bledá kůže
- Studené ruce a nohy
- Lightheadedness
- únava
- slabost
- Svalové křeče
- spodní Bolest zad
- nevolnost
- zvracení
- průjem
- krev v moči
- rychlá nebo pomalá srdeční frekvence a
- brnění do rukou a nohou nebo kolem úst
Získejte lékařskou pomoc okamžitě, pokud máte výše uvedené příznaky.
Mezi běžné vedlejší účinky otorty (fludarabin fosfát) patří:
- nevolnost or zvracení (may be severe)
- bolest žaludku
- průjem
- únava
- bolest nebo vředy v ústech a krku
- Ztráta chuti k jídlu
- bolest svalů
- otok v nohou
- Symptomy nachlazení (rýma nebo ucpaný kýchání nosu)
- pocení nebo mírné svědění nebo
- Skin vyrážka
Pokud máte následující vážné vedlejší účinky, vyhledejte lékařskou péči nebo zavolejte na číslo 911:
- Vážné příznaky očí, jako je ztráta náhlého vidění rozmazané vidění vidění Vision Vision Eye Eye Eye Eye Eye Eye Eye Eye nebo vidět halos kolem světel;
- Vážné příznaky srdce, jako je rychlé nepravidelné nebo bušení srdečního rytmu; třepování v hrudi; dušnost; a náhlé závratě lightheadness nebo omdlení;
- Těžká zmatek bolesti hlavy zkažená paže řeči nebo slabost nohou Potíže se ztrátou chůze pocitu koordinace Nestabilní velmi tuhé svaly vysoké horečky bohaté pocení nebo třes.
Tento dokument neobsahuje všechny možné vedlejší účinky a mohou dojít k jiným. Další informace o vedlejších účincích najdete u svého lékaře.
Dávkování pro Ofortu
Doporučená dávka pro dospělé OFORTA je 40 mg/m podávaná ústa denně po dobu pěti po sobě jdoucích dnů. Každý pětidenní léčbu by měl začít každých 28 dní.
Jaké léčivé látky nebo doplňky interagují s Ofortou?
Ofiorta může interagovat s jinými léky. Řekněte svému lékaři všechny léky a doplňky, které používáte.
Ofiorta během těhotenství nebo kojení
Oforta se nedoporučuje pro použití během těhotenství. Může to poškodit plod. Pokud otěhotníte nebo si myslíte, že můžete být těhotný, řekněte svému lékaři. Samci i ženy používající tento lék by měli během léčby používat antikoncepci (např. Kondomy antikoncepce) a po dobu 6 měsíců po ukončení léčby. Poraďte se s lékařem a prodiskutujte kontrolu antikoncepce. Není známo, zda tento lék přechází do mateřského mléka, ale může mít nežádoucí účinky na kojící dítě. Kojení při používání tohoto léku se nedoporučuje.
Další informace
Naše Oforta (fludarabin fosfát) vedlejší účinky léčivé účinky poskytuje komplexní pohled na dostupné informace o drogách o možných vedlejších účincích při užívání tohoto léku.
Informace o drogách FDA
VAROVÁNÍ: CNS Toxicita Hemolytická anémie a plicní toxicita
Ve studiích o dávce u pacientů s akutní leukémií byly pozorovány závažné neurologické účinky včetně kómatu slepoty a smrti, když byl podáván fludarabin fosfát ve vysokých dávkách. K této závažné toxicitě centrálního nervového systému došlo u 36% pacientů léčených dávkami přibližně čtyřikrát většími (96 mg/m m 2 /den po dobu 5 dnů až 7 dnů) než doporučená intravenózní dávka (25 mg/m 2 /den). Podobná těžká toxicita centrálního nervového systému byla zřídka (≤ 0,2%) hlášena u pacientů léčených v dávkách v rozmezí dávky doporučené pro chronickou lymfocytární leukémii. [Viz varování a OPATŘENÍ ] Doporučuje se periodická neurologická hodnocení.
Po jednom nebo více cyklech léčby fludarabinem fosfátem byly hlášeny případy ohrožující život a někdy fatální autoimunitní hemolytickou anémii. Pacienti podstupující léčbu OFORTA ™ (Fludarabin fosfátové tablety) by měli být vyhodnoceni a pečlivě monitorováni na hemolýzu. [Viz varování a OPATŘENÍ ]
Vysoký výskyt fatální plicní toxicity byl pozorován při klinickém zkoumání s použitím fludarabin fosfátu v kombinaci s pentostatinem (deoxykoformycin) pro léčbu refrakterní chronické lymfocytární leukémie (CLL). Použití OForta ™ (Fludarabin fosfátové tablety) v kombinaci s pentostatinem se proto nedoporučuje [viz varování a varování a OPATŘENÍ ]
Popis pro Oforta
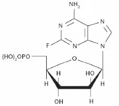
Chemický název pro fludarabin fosfát je 9H-purin-6-amin 2-fluor-9- (5-fosfono-p-d-arabinofuranosyl) (2-fluor-aamp). Molekulární vzorec fludarabinového fosfátu je C 10 H 13 Fn 5 O 7 P (MW 365.2) a struktura je uvedena na obrázku 1
Obrázek 1: Chemická struktura fludarabinového fosfátu
|
Oforta ™ (tablety fludarabin fosfátu) pro perorální podávání obsahují fludarabin fosfát a fluorinovaný nukleotidový analog antivirového činidla Vidarabin 9-B-arabinofuranodenin (ARA-A), který je relativně rezistentní k deamiminaci adenosin deaminázou. Každá tableta obsahuje 10 mg aktivní složky fludarabin fosfát. Jádro tabletu se skládá z mikrokrystalické celulózy laktózy monohydrátu koloidní bezvodé křemíkové oxid oxid croscarmellose sodík a stearátu hořčíku. Filmový koat obsahuje hypromelózový mast Titaničitý oxid (E171) a pigment oxidu železitého (červená/E172 žlutá/e172).
Použití pro Oforta
Oforta ™ (tablety fludarabin fosfátu) pro použití v perorálním použití je indikováno jako jediný činidlo pro léčbu dospělých pacientů s chronickou lymfocytární leukémií B-buněk (CLL), jejíž onemocnění nereagovalo nebo pocházelo během nebo po léčbě alespoň jedním standardním alkylačním agentem. Nebyly provedeny studie prokazující klinický přínos, jako je prodloužení přežití nebo úleva z příznaků. Studie poskytující přímé srovnání klinické účinnosti a bezpečnosti Outorta ™ vzhledem k intravenózně podávanému fludarabinovému fosfátu nebyly provedeny.
Dávkování pro Ofortu
Chronická lymfocytární leukémie (CLL)
Orální dávka OForta ™ je jiná od intravenózní fludarabinové fosfátové dávky.
Doporučená dávka dospělých OForta ™ (tablety Fludarabin fosfáty) je 40 mg/m podávaná ústa denně po dobu pěti po sobě jdoucích dnů. Každý pětidenní léčbu by měl začít každých 28 dní. Dávkování může být sníženo nebo zpožděno na základě důkazů hematologické nebo nehematologické toxicity. Lékaři by měli zvážit zpoždění nebo přerušení léčiva, pokud dojde k neurotoxicitě. Oforta ™ (fludarabinové fosfátové tablety) lze užívat buď na lačný žaludek nebo s jídlem. Tablety musí být spolknuty celek vodou; Neměly by být žvýkány ani zlomeny.
Následující tabulka poskytuje pokyny pro stanovení počtu tablet Otorta ™ (fludarabinové fosfátové tablety), které mají být podávány na základě plochy povrchu těla (BSA):
Tabulka 1: Navrhovaný počet tablet, které mají být podávány
| Plocha povrchu těla (BSA) | Vypočítaná celková dávka odpovídá 40 mg/m 2 BSA (zaokrouhleno nahoru nebo dolů na nejbližší 10 mg) | Celkový počet tablet |
| 0,75 - 0,88 | 30 mg | 3 |
| 0,89 - 1,13 | 40 mg | 4 |
| 1,14 - 1,38 | 50 mg | 5 |
| 1,39 - 1,63 | 60 mg | 6 |
| 1,64 - 1,88 | 70 mg | 7 |
| 1,89 - 2.13 | 80 mg | 8 |
| 2.14 - 2,38 | 90 mg | 9 |
| 2.39 - 2,50 | 100 mg | 10 |
Řada klinických nastavení může předisponovat ke zvýšené toxicitě z OtorTA ™ (fludarabin fosfátové tablety). Patří sem pokročilý věk renální nedostatečnost a poškození kostní dřeně. Tito pacienti by měli být pečlivě monitorováni z hlediska nadměrné toxicity a dávka podle toho modifikována. Optimální trvání léčby nebylo jasně stanoveno. Doporučuje se podávat tři další cykly oforta ™ (fludarabinové fosfátové tablety) po dosažení maximální odpovědi a poté by léčivo bylo vysazeno.
Poškození ledvin
- Snižte dávku o 20% u pacientů s mírným až středním poškozením ledvin (clearance kreatininu 30 až 70 ml/min/1,73 m). [Vidět Varování a OPATŘENÍ ]
- Snižte dávku o 50% u pacientů s těžkým poškozením ledvin (clearance kreatininu <30 mL/min/1.73 m ). [Vidět Varování a OPATŘENÍ ]
Jak dodáno
Formy a silné stránky dávkování
10 mg tablet, které jsou ve tvaru kapsle a losos růžové barvy označené na jedné straně s „ln“ v běžném hexagonu.
Skladování a manipulace
Oforta ™ (tablety fludarabin fosfátu) se dodává v 10 miligramových tabletách, které jsou filmově potažené lososové tobolky růžové barvy a označeny na jedné straně „ln“ v běžném hexagonu. Každý filmový tableta obsahuje 10 mg fludarabin fosfát. Tablety jsou dodávány v puchýře každý puchýř obsahující 5 tablet. Balíčky 15 a 20 tablet jsou k dispozici v kontejnerech odolných vůči děti.
NDC 0024-5820-15: 15-10 miligramových filmových tablet na kontejner. Každý tablet potažený filmem je zabalen do individuálního blistrového balíčku; 5 tablet na puchýř; 3 blistrové proužky zabalené v plastové láhvi s uzavřením nádoby odolné vůči dítěti; Každá láhev je zabalena v individuální kartonu čip.
NDC 0024-5820-20: 20-10 miligramů filmových tablet na kontejner. Každý tablet potažený filmem je zabalen do individuálního blistrového balíčku; 5 tablet na puchýř; 4 blistrové proužky zabalené v plastové láhvi s uzavřením kontejneru odolné vůči dítěti; Každá láhev je zabalena v individuální kartonu čip.
Skladování
Ukládat za normálních podmínek osvětlení při 25 ° C (77 ° F); Exkurze povolené na 15-30 ° C (59-86 ° F) [viz teplota místnosti s kontrolou USP].
Manipulace a likvidace
Měly by být zváženy postupy pro správné zpracování a likvidaci. Podle pokynů vydaných pro cytotoxické léky by se mělo zvážit na manipulaci a likvidaci. Bylo zveřejněno několik pokynů k tomuto tématu.1-4 by mělo být uplatněno při manipulaci OForta ™ (fludarabinové fosfátové tablety). Protlačte tablety přes fólii k otevření. Neodstraňujte tablety z jednotlivých puchýřů až bezprostředně před odebráním nebo podáváním každé naplánované dávky. Nedržte tablety. Vyvarujte se expozice přímým kontaktem kůže nebo sliznic nebo inhalací. Pokud kontakt dojde, důkladně promyjte mýdlem a vodou nebo okamžitě omyjte oči jemně tekoucí vodou po dobu nejméně 15 minut. V případě kožní reakce se poraďte s poskytovatelem zdravotní péče nebo pokud se lék dostane do očí.
Vyrobeno pro: Sanofi-Aventis US LLC Bridgewater NJ 08807
Jaké dávky přicházejí prozac
Vedlejší účinky pro Oforta
Zkušenosti z klinických studií
Protože klinické studie se provádějí za široce proměnlivých podmínek, nežádoucí rychlosti nežádoucí reakce pozorované v klinických studiích léčiva nelze přímo porovnat s mírami v klinických studiích s jiným lékem a nemusí odrážet míru pozorované v praxi.
Níže popsaná údaje odrážejí expozici OForta ™ (tablety fludarabin fosfátu) u 159 pacientů vystavených léčivu. Oforta ™ (fludarabin fosfátové tablety) byl studován primárně ve studii 1 u 78 pacientů s CLL, kteří dostali předchozí terapii, a ve studii 2 u 81 pacientů s CLL, kteří nedostávali předchozí terapii.
Na základě zkušeností s intravenózním a ústním použitím fludarabinového fosfátu patří nejčastější nežádoucí účinky myelosuprese (trombocytopenie neutropenie a anémie) horečka a infekce a zvracení a zvracení. Mezi další běžně hlášené události patří nevolná anorexie a slabost. U pacientů s CLL léčeným fludarabinovým fosfátem se vyskytly vážné oportunní infekce. Nejčastěji uváděné nežádoucí účinky a reakce, které jsou jasněji spojeny s lékem, jak je uvedeno v klinických studiích prováděných s intravenózním a perorálním fludarabinovým fosfátem, jsou uspořádány níže podle systému těla.
Hematopoetické systémy
U většiny pacientů s CLL léčeným fludarabinem fosfátem byly hlášeny hematologické příhody (trombocytopenie neutropenie a/nebo anémie). Během intravenózní léčby fludarabin fosfát u 133 pacientů s CLL se absolutní počet neutrofilů snížil na méně než 500/mm u 59% pacientů hemoglobinu z hodnot předúpravy nejméně o 2 gramy v 60% a hodnoty destiček se snížil o hodnoty předběžného zacházení s nejméně 50% z 55%. U 78 pacientů s B-CLL, kteří byli léčeni Ofoorta ™ (tablety fludarabin fosfátu), se absolutní počet neutrofilů snížil na méně než 500/mm u 37% pacientů hemoglobinu z hodnot předběžného čištění nejméně o 2 gramy u 14% u 14% u 14% u 14% u 14%. Myelosuprese může být závažná kumulativní a může ovlivnit více buněčných linií. Fibróza kostní dřeně došlo u jednoho pacienta CLL ošetřeného fludarabinem fosfátem intravenózně. V pivotální perorální studii Fludarabin fosfát (studie 1) byla jedna zpráva o nefatálním případu pancytopenie. Podobně byl u 133 pacientů s CLL léčeno intravenózním fludarabinem fosfátem.
U pacientů dostávajících fludarabin fosfát bylo hlášeno, že život ohrožující život a někdy fatální autoimunitní hemolytické anémie. [Vidět Varování a OPATŘENÍ ] Většina pacientů se znovu objevila fludarabinovým fosfátem, vyvinula recidivu v hemolytickém procesu.
Metabolický
Syndrom lýzy nádoru byl hlášen u pacientů s CLL léčeným fludarabinem fosfátem pro injekci. Tato komplikace může zahrnovat hyperurikémii hyperfosfatémie hypokalcemie metabolická acidóza hyperkalémie hematurie urát krystalyrií a selhání ledvin. Počátek tohoto syndromu může být ohlašován bolestí boku a hematurie.
Nervový systém
Objektivní slabost agitace Zmatek a kóma
Plicní systém
Pneumonie Častý projev infekce u pacientů s CLL byl pozorován ve dvou klinických studiích prováděných s intravenózním fludarabinovým fosfátem (16% a 22%) a ve dvou klinických studiích s ofolta (fludarabinové fosfátové tablety) ™ (8% a 3%). Byly pozorovány plicní hypersenzitivní reakce na fludarabin fosfát charakterizovaný kašlem a intersticiální plicní infiltrát. Ve studii 1 prováděné s OFORTA ™ (tablety Fludarabin fosfáty) byla u 5 ze 78 pacientů často ve spojení s respiračními nebo plicními infekcemi, a proto se nepovažovala za izolovanou plicní toxicitu, a proto se považovala za izolovanou plicní toxicitu.
Gastrointestinální systém
U pacientů léčených fludarabinem fosfátem byly hlášeny gastrointestinální poruchy, jako je nevolnost a zvracení anorexie průjem a gastrointestinální krvácení. Nevolnost a zvracení se vyskytly až u 38% pacientů po léčbě OForta ™ (tablety fludarabin fosfátu) v klinických studiích.
Kardiovaskulární
Edém byl často hlášen. Jeden pacient se vyvinul perikardiální výpotek, který pravděpodobně souvisí s léčbou s OFORTA ™ (tablety fludarabin fosfátu). Žádné jiné závažné kardiovaskulární příhody nebyly považovány za léčivé.
Genitourinární systém
Hemoragická cystitida byla hlášena u pacientů léčených intravenózně fludarabin fosfát.
Kůže
Kůže toxicity consisting primarily of Skin vyrážkaes has been reported in patients treated with oral a intravenous fludarabine phosphate.
Data v tabulce 2 jsou odvozena od 159 pacientů s CLL, kteří dostávali OForta ™ (fludarabin fosfátové tablety) ve studii 1 a studii 2.
Tabulka 2: Incidence (≥ 5%) nehematologických nežádoucích účinků u pacientů s CLL ošetřeným OForta ™ (tablety fludarabin fosfátu)
| Nežádoucí účinky | Studie 1 | Studie 2 |
| (N = 78) | (N = 81) | |
| % | % | |
| Jakákoli nežádoucí reakce | 82 | 89 |
| Tělo jako celek | 59 | 77 |
| HOREČKA | 26 | 11 |
| INFEKCE | 12 | 17 |
| BOLEST | 5 | 19 |
| Chřipkový syndrom | 8 | 5 |
| Diaforéza | 8 | 0 |
| NEUROLOGICKÝ | 19 | 41 |
| Slabost/únava (Astenia) | 13 | 31 |
| Pocení se zvýšilo | 0 | 14 |
| BOLEST HLAVY | 9 | 9 |
| PLICNÍ | 37 | 53 |
| KAŠEL | 21 | 0 |
| KAŠEL INCREASED | 0 | 6 |
| ZÁPAL PLIC | 8 | 3 |
| Dušnost | 1 | 5 |
| Sinusitida | 1 | 5 |
| Infekce horních cest dýchacích | 9 | 14 |
| Rhinitida | 3 | 11 |
| BRONCHITIDA | 6 | 9 |
| Metabolický a výživový | 3 | 31 |
| Hmotnost se snížila | 1 | 6 |
| Zvýšila se mléčná dehydrogenáza | 0 | 6 |
| Periferní edém | 0 | 7 |
| Gastrointestinal | 41 | 28 |
| NEVOLNOST | 5 | 1 |
| PRŮJEM | 6 | 5 |
| ANOREXIE | 19 | 0 |
| Bolest břicha | 8 | 10 |
| KOŽNÍ | 22 | 25 |
| VYRÁŽKA | 5 | 4 |
| Kožní porucha | 0 | 6 |
| Herpes simplex | 8 | 7 |
| Genitourinární | 8 | 14 |
| Infekce močových cest | 4 | 5 |
| Kardiovaskulární | 14 | 17 |
| Bolest na hrudi | 0 | 5 |
| Muskuloskeletální | 10 | 19 |
| Bolest zad | 4 | 9 |
Post Marketing zkušenosti
Následující nežádoucí účinky byly identifikovány během použití po schválení OForta ™ (tablety Fludarabin fosfátu). Protože tyto reakce jsou hlášeny dobrovolně z populace nejisté velikosti, není vždy možné spolehlivě odhadnout jejich frekvenci nebo vytvořit kauzální vztah k expozici léčiva.
Hematopoetické systémy
Několik případů hypoplasie kostní dřeně trilineage nebo aplazie, které vedly k pancytopenii, které někdy vedou ke smrt, bylo hlášeno v dohledu nad trhem. Doba trvání klinicky významné cytopenie v hlášených případech se pohybovala od přibližně 2 měsíců do přibližně 1 roku. K těmto epizodám došlo jak u dříve léčených nebo neošetřených pacientů.
Nervový systém
V zkušenostech po trhu byly hlášeny případy progresivní multifokální leukoencefalopatie. Většina případů měla fatální výsledek. Mnoho z těchto případů bylo zmateno předchozí a/nebo souběžnou chemoterapií. Střední čas na nástup byl přibližně jeden rok.
Plicní systém
V zkušenostech po trhu byly pozorovány případy závažné plicní toxicity při užívání fludarabin fosfát, což mělo za následek syndrom akutní respirační tísně respirační nouzi plicní krvácení plicní fibrózou a respirační selhání. Po vyloučení infekčního původu někteří pacienti zažili zlepšení symptomů u kortikosteroidů.
Lékové interakce pro Oforta
Pentostatin
Použití OForta ™ (tablety Fludarabin fosfátu) v kombinaci s pentostatinem se nedoporučuje kvůli riziku těžké plicní toxicity. [Vidět Varování a OPATŘENÍ ]
Varování pro Ofortu
Zahrnuto jako součást OPATŘENÍ sekce.
Opatření pro Oforta
Neurotoxicita
U fludarabin fosfátu byla pozorována neurotoxicita závislá na dávce. Hladiny dávky přibližně 4krát větší (96 mg/m/den po dobu 5 dnů až 7 dnů) než doporučená intravenózní dávka (25 mg/m 2 /den po dobu 5 dnů) byly spojeny se syndromem charakterizovaným opožděnou slepotou kóma a smrt. Příznaky se objevily od 21 dnů do 60 dnů po poslední dávce. Třináct z 36 pacientů (NULL,1%), kteří dostávali fludarabin fosfát intravenózně při vysokých dávkách (≥ 96 mg/m 2 /den po dobu 5 dnů až 7 dnů na kurz) se vyvinula těžká neurotoxicita, zatímco pouze jeden ze 443 pacientů (NULL,2%), kteří dostávali lék intravenózně při nízkých dávkách (≤ 40 mg/m 2 /den po dobu 5 dnů na kurz) se vyvinula toxicita. V Pivotal Clinical Study prováděné s OFORTA ™ (Fludarabin Fosfátové tablety) podávané při 40 mg/m mg/m 2 U jednoho pacienta bylo hlášeno závažné poškození vědomí. Účinek chronického podávání fludarabinového fosfátu na centrální nervový systém není znám; Pacienti však dostali doporučenou dávku až pro 15 kurzů terapie. Lékaři by měli zvážit zpoždění nebo přerušení léčiva, pokud dojde k neurotoxicitě.
Potlačení kostní dřeně
U pacientů léčených fludarabinem fosfátem byla hlášena těžká potlačení kostní dřeně. Ve studii u pacientů s pevným nádorem dospělých byla střední doba na počty NADIR 13 dní (rozmezí 3 dny až 25 dní) pro granulocyty a 16 dní (rozmezí 2 dnů až 32 dní) pro krevní destičky. Většina pacientů měla hematologické poškození na začátku studie buď v důsledku onemocnění, nebo v důsledku předchozí myelosupresivní terapie. Lze vidět kumulativní myelosupresi. Zatímco myelosuprese vyvolaná chemoterapií je často reverzibilním podáváním Oforta ™ (tablety fludarabin fosfátu) vyžaduje pečlivé hematologické monitorování.
U dospělých pacientů bylo hlášeno několik případů hypoplasie kostní dřeně trilineage kostní dřeně nebo aplazie, které vedly k pancytopenii, které někdy vedou ke smrti. Doba trvání klinicky významné cytopenie v hlášených případech se pohybovala od přibližně 2 měsíců do přibližně 1 roku. K těmto epizodám došlo jak u dříve léčených nebo neošetřených pacientů. Jeden případ Pancytopenie byl hlášen v klíčové klinické studii provedené s OFORTA ™ (tablety Fludarabin fosfáty).
Bylo popsáno, že případy ohrožující život a někdy fatální autoimunitní hemolytickou anémii se vyskytují po jednom nebo více cyklech léčby fludarabinem fosfátem u pacientů s předchozí anamnézou autoimunitní anémie nebo bez ní a mohou být nebo mohou být remise z jejich onemocnění. Steroidy mohou nebo nemusí být účinné při kontrole těchto hemolytických epizod. Většina pacientů se znovu objevila fludarabin fosfát, vyvinula recidivu v hemolytickém procesu. Mechanismus (mechanismy), které předurčují pacienty k rozvoji této komplikace, nebyl identifikován. Pacienti podstupující léčbu OFORTA ™ (Fludarabin fosfátové tablety) by měli být vyhodnoceni a pečlivě monitorováni na hemolýzu.
Plicní toxicita
Při klinickém zkoumání byl pozorován vysoký výskyt fatální plicní toxicity za použití fludarabin fosfátu v kombinaci s pentostatinem (deoxykoformycin) pro léčbu refrakterní chronické lymfocytární leukémie (CLL) u dospělých. Proto se nedoporučuje použití OForta ™ (tablety fludarabin fosfátu) v kombinaci s pentostatinem.
Infekce
Ze 133 dospělých pacientů s CLL, kteří dostávali intravenózní fludarabin fosfát ve dvou klinických studiích, bylo během studie 29 úmrtí. Přibližně 50% úmrtí bylo způsobeno infekcí a 25% v důsledku progresivního onemocnění. Z 183 dospělých pacientů s CLL, kteří dostávali OForta ™ (tablety fludarabin fosfátu) ve dvou klinických studiích, došlo 13 úmrtí. Přibližně 50% úmrtí bylo způsobeno progresivním onemocněním, zatímco dvě úmrtí pacientů (15%) byla přičítána infekci. Monitorujte příznaky a příznaky infekce.
Syndrom nádorové lýzy
Syndrom lýzy nádoru spojený s léčbou fosfátu fludarabin byl hlášen u pacientů s CLL s velkou nádorovou zátěží. Vzhledem k tomu, že Ofotorta ™ (tablety Fludarabin fosfáty) může vyvolat odpověď již v prvním týdnu opatření léčby u pacientů s rizikem vzniku této komplikace.
Použití transfuzí
Onemocnění štěpu asociované s transfuzí bylo pozorováno zřídka po transfúzi neozářené krve u pacientů léčených fludarabinem fosfátem. Proto by se mělo zvážit použití ozářených krevních produktů u pacientů vyžadujících transfuze při léčbě OForta ™ (fludarabin fosfátové tablety).
Poškození ledvin
Oforta ™ (fludarabin fosfátové tablety) musí být podávány opatrně u pacientů s poškozením ledvin. Po dávkování intravenózního produktu bylo prokázáno, že celková clearance tělesného 2-fluoro-ara-A přímo koreluje s clearance kreatininu. Pacienti s mírným až středním poškozením funkce ledvin (clearance kreatininu 30 až 70 ml/min/1,73 m 2 ) by měla mít svou dávku Oforta ™ (fludarabin fosfátové tablety) sníženou o 20% a pečlivě monitorovat. Pacienti se závažným poškozením funkce ledvin (clearance kreatininu <30 mL/min/1.73 m 2 ) by měla mít dávku OForta ™ (fludarabin fosfátové tablety) sníženou o 50% a pečlivě monitorovat.
Monitorování
- Hematologická a nehematologická toxicita
Oforta ™ (fludarabin fosfátové tablety) je antineoplastické činidlo s potenciálně významnými toxickými vedlejšími účinky. Pacienti podstupující terapii by měli být pečlivě pozorováni pro známky hematologické a nehematologické toxicity. K detekci vývoje neutropenie a trombocytopenie anémie se doporučuje periodické hodnocení periferního počtu krve.
- Hematopoetické potlačení
Během léčby by měl být hematologický profil pacienta (zejména neutrofily a krevní destičky) pravidelně monitorován, aby se stanovil stupeň hematopoetického potlačení.
- Infekce
Zdá se, že pacienti léčeni OForta ™ (tablety Fludarabin fosfáty) jsou vystaveni zvýšenému riziku infekce. Monitorujte příznaky a příznaky infekce.
Těhotenství
Na základě svého mechanismu účinku OTORTA ™ (fludarabinové fosfátové tablety) může při podání těhotné ženy způsobit poškození plodu. Fludarabin fosfát podávaný potkanům a králíkům během organogeneze způsobil zvýšení resorpcí kosterní a viscerální malformace a snížil tělesnou hmotnost plodu. Pokud se během těhotenství použije Oforta ™ (tablety fludarabin fosfátu) nebo pokud pacient otěhotní při užívání tohoto léku, měl by být pacient obeznámen z potenciálního rizika pro plod. Ženy s porodem by měly být doporučeny, aby se vyhnuly otěhotnění. Ženy s plodným potenciálem a úrodnými muži musí přijmout antikoncepční opatření během a alespoň po dobu 6 měsíců po ukončení terapie. [vidět Použití v konkrétních populacích ].
Informace o poradenství pro pacienta
Potlačení kostní dřeně
Informujte pacienty, že Oforta ™ (tablety fludarabin fosfátu) snižují počet krvinek, jako jsou bílé krevní buňky a červené krvinky. Je proto důležité, aby bylo provedeno periodické hodnocení jejich krevního počtu k detekci vývoje trombocytopenie a anémie neutropenie. [Vidět Varování a OPATŘENÍ ]
Infekce
Poskytněte pacientům, aby okamžitě informovali svého lékaře, pokud na terapii dojde k horečce nebo jiné známky infekce, jako je zimnice nebo bolest spalování při močení. [Vidět Varování a OPATŘENÍ ]
Těhotenství
Ženy s plodným potenciálem a úrodnými muži musí přijmout antikoncepční opatření během a alespoň po dobu 6 měsíců po ukončení terapie. Oforta ™ (tablety fludarabin fosfátu) může způsobit poškození plodu při podávání těhotné ženě. [Vidět Varování a OPATŘENÍ ]
Manipulace a likvidace
Pokyn pacientům, aby měly být opatrné při manipulaci OForta ™ (fludarabinové fosfátové tablety). Nedržte tablety. Vyvarujte se expozice přímým kontaktem kůže nebo sliznic nebo inhalací. Pokud kontakt dojde, důkladně promyjte mýdlem a vodou nebo okamžitě omyjte oči jemně tekoucí vodou po dobu nejméně 15 minut. V případě kožní reakce se poraďte s poskytovatelem zdravotní péče nebo pokud se lék dostane do očí. Požádejte svého poskytovatele zdravotní péče nebo lékárníka o pokyny o tom, jak bezpečně zlikvidovat OForta ™ (Fludarabin Fosfátové tablety).
Neklinická toxikologie
Zhodnocení mutageneze karcinogeneze plodnosti
Nebyly provedeny žádné studie karcinogenity zvířete s OForta ™ (tablety fludarabin fosfátu).
Oforta ™ je střet.
Fludarabin fosfát byl klastogenní in vitro na buňky vaječníků čínského křečka (test chromozomové aberace) v přítomnosti metabolické aktivace a indukované sesterské chromatidové výměny jak v přítomnosti, tak v nepřítomnosti metabolické aktivace. Fludarabin fosfát byl navíc klastogenní nadarmo (test myší mikronukleus), ale nebyl mutagenní pro zárodečné buňky ( dominantní Lethal test u samců myší). Fludarabin fosfát nebyl mutagenním bakteriím (test Ames) ani savčí buňky ani v přítomnosti, ani nepřítomnosti metabolické aktivace.
Studie u myší potkanů a psů prokázaly nepříznivé účinky související s dávkou na mužský reprodukční systém. Pozorování sestávalo ze snížení průměrných hmotností varlat u myší a potkanů s trendem směrem ke snížení testikulárních hmotností u psů a degeneraci a nekrózu spermatogenního epitelu varlata u myší potkanů a psů.
Použití v konkrétních populacích
Těhotenství
' Těhotenství Category D . Vidět Varování a OPATŘENÍ sekce.' Based on its mechanism of action Oforta™ (fludarabine phosphate tablets) can cause fetal harm when administered to a pregnant woman. There are no adequate a well-controlled studies of fludarabine phosphate in pregnant women. Fludarabine phosphate was embryolethal a teratogenic in both rats a rabbits. If Oforta™ (fludarabine phosphate tablets) is used during pregnancy or if the patient becomes pregnant while taking this drug the patient should be apprised of the potential hazard to the fetus. Women of childbearing potential should be advised to avoid becoming pregnant. Women of childbearing potential a fertile males must take contraceptive measures during a at least for 6 months after the cessation of therapy.
U potkanů opakované intravenózní dávky fludarabinového fosfátu 1,5krát a 4,5násobek doporučené lidské perorální dávky (40 mg/m mg/m 2 ) podávané během
Organogeneze způsobila zvýšení resorpčních kosterních a viscerálních malformací (rozštěpní palate expence a deformity fetálních obratlů) a sníženou tělesnou hmotnost plodu. Toxicita matky nebyla zřejmá při 1,5násobek lidské perorální dávky a byla omezena na mírnou tělesnou hmotnost při 4,5násobek lidské perorální dávky. U králíků opakované intravenózní dávky fludarabinového fosfátu při 2,4násobku lidské perorální dávky podávané během organogeneze zvýšila embryo a fetální letalitu, jak ukazuje zvýšená resorpce a snížením živých plodů. Významné zvýšení malformací, včetně rozštěpu patro hydrocefálie adakticky brachydactyly fúze číslic bráničí srdce/velké cévy a defekty obratlů/žeber byly pozorovány ve všech hladinách dávky (≥ 0,3krát větší než lidská perorální dávka).
Ošetřovatelské matky
Není známo, zda je Oborta ™ (fludarabinové fosfátové tablety) vylučován v lidském mléce. Protože mnoho léků je vylučováno v lidském mléce a vzhledem k potenciálu závažných nežádoucích účinků, včetně tumorigenity u ošetřovatelských kojenců, by mělo být rozhodnuto ukončit ošetřovatelství nebo přerušit lék s přihlédnutím k důležitosti drogy pro matku.
Dětské použití
Bezpečnost a účinnost u pediatrických pacientů nebyla stanovena.
Geriatrické použití
Ze 78 dříve léčených pacientů s B-CLL ošetřeným OFORTA ™ (tablety Fludarabin fosfáty) 50% bylo ≥ věk 65 a 3% ≥ věk 75 let. Míra odezvy byla obecně nižší u pacientů ve věku 65 a starších. Mezi dříve léčenými pacienty (studie 1) ve věku 65 a starších byla celková objektivní reakce podle standardizovaných kritérií odezvy vyvinuté pracovní skupinou CLL na Národním rakovině CLL (kritéria NCI) 41%. Bezpečnostní profil mezi mladšími a staršími pacienty ve studii byl podobný. Jiné hlášené klinické zkušenosti nezjistily rozdíly v odpovědích nebo bezpečnosti mezi staršími a mladšími pacienty.
Pacienti s poškozením ledvin
U pacientů, kteří dostávali intravenózní fludarabin fosfát celkovou clearance tělesného tělesného 2-fluor-ara-adeninu (2F-Ara-A) korelovaly s clearance kreatininu, což ukazuje na důležitost renální exkrecující cesty pro eliminaci léčiva. Renální clearance představovala přibližně 40% celkové čištění těla. Pacienti s mírným až středním poškozením ledvin (30 až 70 ml/min/1,73 m 2 ) Přijetí 20% snížené dávky fludarabin fosfát měl podobnou expozici ve srovnání s pacienty s normální funkcí ledvin, kteří dostávali doporučenou dávku (AUC; 21 NMH/ml versus 20 nMH/ml). Dva pacienti s těžkým poškozením ledvin ( <30 mL/min/1.73 m ) receiving 40% reduced fludarabine phosphate dose had a 40% increase in exposure compared to patients with normal renal function receiving the recommended dose. The mean total body clearance was 172 mL/min for patients with normal renal function 124 mL/min for patients with mild to moderately impaired renal function a 71 mL/min for the two patients with severe renal impairment.
Informace o předávkování Oforta
Vysoké dávky fludarabinového fosfátu [viz Indikace a použití a Varování a OPATŘENÍ ] byly spojeny s nevratnou toxicitou centrálního nervového systému charakterizovanou opožděnou slepotou kóma a smrtí. Vysoké dávky jsou také spojeny s těžkou trombocytopenií a Neutropenie Kvůli potlačení kostní dřeně. Neexistuje žádný známý specifický antidot pro předávkování fludarabin fosfát. Léčba sestává z přerušení léčiva a podpůrné terapie. Ve studii 2 dva pacienti požívali předávkování 20% až 33% OForta ™ (fludarabin fosfátové tablety). Nebyly hlášeny žádné vážné vedlejší účinky.
Kontraindikace pro Oforta
Žádný
Klinická farmakologie for Oforta
Mechanismus působení
Fludarabin fosfát (2F-ARA-AMP) je syntetické purinové nukleotidové antimetabolitové činidlo. Po podání je 2F-ARA-AMP rychle defosforylován v plazmě na 2F-ARA-A, který pak vstupuje do buňky. Intracelulárně 2F-ARA-A je přeměněn na 5'-trifosfát 2-fluor-ARA-ATP (2F-ARA-ATP). 2F-ARA-ATP soutěží s deoxyadenosin triphosfát o inkorporaci do DNA. Jakmile je začleněn do DNA 2F-ARA-ATP funguje jako terminátor DNA řetězce inhibuje DNA polymerázovou alfa gama a delta a inhibuje ribonukleosid difosfát reduktáz. 2F-ARA-A také inhibuje DNA primázu a DNA ligázu I. Mechanismus účinku tohoto antimetabolitu není zcela charakterizován a může být mnohostranní.
Farmakodynamika
Srdeční elektrofyziologie
U randomizovaných nekontrolovaných otevřených pacientů s paralelními studiemi s B-buňkami CLL byla podána jediná dávka Oforta ™ 40 mg/m 2 (n = 42) nebo intravenózní fludarabin fosfát 25 mg/m (n = 14). Maximální zvýšení průměrné změny v QTCI (individuální korigovaný QT interval) po léčbě OForta ™ (fludarabinové fosfátové tablety) bylo menší než 10 milisekund.
Farmakokinetika
Studie s intravenózním produktem prokázaly, že fludarabin fosfát je přeměněn na aktivní metabolit 2F-ARA-A. Klinické farmakologické studie se zaměřily na farmakokinetiku 2F-Ara-A.
Po podání intravenózního produktového systémového plazmatického clearance 2F-ARA-A je přibližně 117 ml/min až 145 ml/min. Po pěti denních 30 minutových intravenózních infuzích 25 mg 2F-ara- amp/m 2 Pro pacienty s rakovinou koryto koncentrace 2F-ARA-A se zvýšily o faktor asi 2. Terminální poločas 2F-ARA-A byl přibližně 20 hodin. Vazba plazmatických proteinů 2F-ARA-A byla přibližně 19% až 29%. Byla zaznamenána korelace mezi stupněm absolutního počtu granulocytů nadir a zvýšenou plochou v koncentraci X Time křivky (AUC).
2F-ARA-A vykazuje proporcionální zvýšení dávky AUC a CMAX po jednotlivých perorálních dávkách 50 mg 70 mg nebo 90 mg 2F-Ara-Amp. CMAX 2F-ARA-A se vyskytuje 1 hodinu až 2 hodiny po jednotlivých nebo více perorálních dávkách a je přibližně 20 % až 30 % maximálních plazmatických koncentrací produkovaných na konci 30minutové intravenózní infuze stejné dávky. Absolutní ústní biologická dostupnost 2F-ARA-A je 50-65% po jediných a opakovaných dávkách OForta ™ (fludarabinové fosfátové tablety). Podobná systémová expozice (AUC) byla pozorována po jediném 40 mg/m oforta ™ a jediném 25 mg/m 2 Fludarabin fosfát intravenózní dávka. Terminální poločas 2F-ARA-A byl podobný jako po intravenózním podání; přibližně 20 hodin. CMAX AUC a terminální poločas 2F-ARA-A nejsou ovlivněny, když jsou podávány s vysokým obsahem tuku, i když TMAX je mírně zpožděn z 1,3 hodiny na 2,2 hodiny.
Po intravenózním podání renální clearance 2F-ARA-A představuje přibližně 40% celkové clearance tělesného fludarabin fosfátu a celková clearance těla je nepřímo korelována s caklininem sérem a kreatininem. U dvou pacientů s mediánem clearance kreatininu 22 ml/min/1,73 m 2 Clearance 2f-ara-A byla snížena o 56%. Nastavení dávkování na základě clearance kreatininu se doporučuje následovně:
Snižte dávku o 20% u pacientů s mírným až středním poškozením ledvin (clearance kreatininu 30 až 70 ml/min/1,73 m 2 ). [Vidět Varování a OPATŘENÍ ]
Snižte dávku o 50% u pacientů s těžkým poškozením ledvin (clearance kreatininu <30 mL/min/1.73 m 2 ). [Vidět Varování a OPATŘENÍ ]
Klinické studie
Studie 1 a single-arm open-label study of Oforta™ (fludarabine phosphate tablets) was conducted in 78 adult patients with CLL refractory to at least one prior staard alkylating-agent containing regimen. In this multicenter study patients were treated with Oforta™ (fludarabine phosphate tablets) at a dose of 40 mg/m daily for 5 days every 28 days. The patient population median age was 64.5 years a consisted of 72% males a 28% females. Ninety-nine percent of the patients were Caucasian. The Rai stage for patients entering the study was: Stage 0 (3.9%) Stage I (20.5%) Stage II (32.1%) Stage III (11.5%) a Stage IV (32.1%). The mean number of treatment cycles was 5.1 with a mean daily dose of Oforta™ (fludarabine phosphate tablets) of 38 mg/m 2 . Celková objektivní reakce na základě standardizovaných kritérií odezvy vyvinuté pracovní skupinou Národního rakovinného institutu CLL (kritéria NCI) byla 51% včetně 18% úplných odpovědí a 33% částečných odpovědí. Celková míra odezvy podle standardizovaných kritérií vyvinutých mezinárodním seminářem o CLL (kritéria IWCLL) byla 46% včetně 21% úplných odpovědí a 26% částečných odpovědí. Údaje o délce odezvy nebyly shromážděny.
Ve studii 2 byla podpůrná jednoramenná studie Oforta ™ (fludarabinové fosfátové tablety) podána 81 dříve neošetřeným pacientům s B-CLL. V této multicentrické studii byl každý pacient léčen Ofoorta ™ (tablety fludarabin fosfátu) v dávce 40 mg/m Mg/m 2 denně po dobu 5 dnů každých 28 dní. Střední věk populace pacientů byl 64,0 let a skládal se z 63% mužů a 37% žen. Devadesát devět procent pacientů bylo Kavkazské. Stadium RAI pro pacienty vstupující do studie bylo: fáze 0 (NULL,7%) fáze I (NULL,0%) fáze II (NULL,0%) fáze III (NULL,9%) a fáze IV (NULL,3%). Průměrný počet léčebných cyklů byl 5,9 s průměrnou denní dávkou na pacienta 71 mg až 74 mg. Celková míra odpovědí podle kritérií NCI byla 80% včetně 12% úplných odpovědí a 68% částečných odpovědí. Celková míra odezvy podle kritérií IWCLL byla 72% včetně 37% úplných odpovědí a 35% částečných odpovědí. Střední doba reakce byla 22,9 měsíců.
Studie 3 byla podpůrnou randomizovanou kontrolovanou studií otevřených značek u pacientů s dříve neléčeným B-CLL, která zahrnovala monoterapii fludarabin fosfát a fludarabin fosfát kombinované terapie. V této studii 107 pacientů s hodnotitelnými pacienty obdrželo OForta ™ (fludarabinové fosfátové tablety) 40 mg/m orálně denně po dobu 5 dnů každých 28 dní. Celková míra odezvy podle modifikovaných kritérií NCI byla 74% a nodulární PR CR plus byla 41%.
Reference
1.
2.
3.
4. Chemoterapie a biotherapy guidelines a recommendations for practice (2nd. ed.) Pittsburgh PA: Oncology Nursing Society.
Informace o pacientovi pro Ofortu
Oforreta ™
(Oh-Pred-tuh)
(perorální fludarabin fosfát) tablety
Než začnete přijímat OFORTA ™ (Fludarabin Fosfátové tablety), přečtěte si tento leták pro pacienta a pokaždé, když dostanete doplnění. Mohou existovat nové informace. Tyto informace nezavazují místo rozhovoru s poskytovatelem zdravotní péče o zdravotním stavu nebo ošetření.
Co je OForta ™?
Oforreta™(oral fludarabine phosphate tablets) is a prescription anticancer medicine that slows or stops the growth of cancer cells in adults with chronic lymphocytic leukémie (CLL). Oforreta™ (fludarabine phosphate tablets) also stops or slows the growth of some healthy cells. This can cause side effects that you should know about a report to your healthcare provider.
Oforreta™ (fludarabine phosphate tablets) has not been studied in children.
Jaké jsou nejdůležitější informace, které bych měl vědět o OFORTA ™ (tablety Fludarabine Fosfáty)?
Ve vzácných případech mohou lidé užívat OFORTA ™ (tablety Fludarabin Fosfáty) příznaky ohrožující život. Pokud jste:
- mít problémy vidět
- cítit se velmi ospalý unavený nebo zmatený
- mít dušnost nebo mít potíže s dýcháním
- mít žlutou kůži nebo tmavou moč
Okamžitě řekněte svému poskytovateli zdravotní péče. Co bych měl říct svému poskytovateli zdravotní péče před přijetím OForta ™ (tablety Fludarabine fosfáty)?
Před přijetím Oforta ™ (tablety Fludarabine fosfáty) Řekněte svému poskytovateli zdravotní péče o všech vašich zdravotních stavech, včetně, pokud jste:
- mít problémy s ledvinami
- mít problémy s krvácením
- jsou těhotné nebo plánují otěhotnět. Není známo, zda OFORTA ™ (tablety Fludarabin Fosfáty) poškodí vaše nenarozené dítě. Promluvte si se svým lékařem, pokud jste těhotná nebo plánujete otěhotnět. Ženy by neměly otěhotnět během léčby OForta ™ (tablety Fludarabine fosfátu), protože nenarozené dítě může být poškozeno. Muži i ženy musí přijmout antikoncepční opatření během a po dobu nejméně šesti měsíců po ukončení terapie. Pokud se otěhotníte během nebo v šesti měsících po léčbě OForta ™ (tablety Fludarabin fosfátu), zavolejte svého lékaře hned.
- jsou krmení nebo plánují kojení. Není známo, zda Oboreta ™ (tablety fosfátu Fludarabin) přechází do mateřského mléka. Vy a váš poskytovatel zdravotní péče byste se měli rozhodnout, zda si vezmete OForta ™ (tablety Fludarabine Fosfáty) nebo kojíte. Neměli byste dělat obojí.
Řekněte svému poskytovateli zdravotní péče o všech lécích, které užíváte, včetně vitamínů na předpis a léčivých přípravků bez předpisu a bylinných doplňků. Použití OTORTA ™ (tablety fludarabin fosfátu) s některými dalšími léky se může navzájem ovlivnit. Použití OTORTA ™ (tablety fludarabin fosfátu) s jinými léky může způsobit vážné vedlejší účinky.
Znát léky, které užíváte. Udržujte jejich seznam s sebou, abyste ukázali svého poskytovatele zdravotní péče.
Jak si mám vzít OForta ™ (tablety fludarabin fosfátu)?
- Take Oforta ™ (tablety Fludarabine fosfáty) přesně tak, jak vám říká váš poskytovatel zdravotní péče, abyste to vzali.
- Váš poskytovatel zdravotní péče vám řekne, kolik a kdy si vzít Oforta ™ (tablety Fludarabine fosfáty).
- Oforreta™ (fludarabine phosphate tablets) can be taken with or without food.
- Protlačte tablety přes fólii k otevření. Neodstraňujte tablety z jednotlivých puchýřů až bezprostředně před odebráním nebo podáváním každé naplánované dávky.
- Oforreta™ (fludarabine phosphate tablets) tablets have to be swallowed whole with water; they should never be chewed crushed or broken. If you cannot swallow Oforreta™ (fludarabine phosphate tablets) whole ask your healthcare provider if you can take another form of fludarabine.
- Pokud vám chybí dávka, zavolejte svému poskytovateli zdravotní péče.
- Pokud si vezmete příliš mnoho, zavolejte svému poskytovateli zdravotní péče.
Co bych se měl vyhnout při užívání Oforta ™ (tablety Fludarabine fosfátu)?
- Nedovolte, aby se ostatní lidé nebo domácí zvířata dotkli nebo přijímali OTORTA ™ (tablety Fludarabine fosfáty).
- Vyvarujte se, abyste se tablety (celé nebo zlomené) dotkli své kůže
- Nehledejte tablety ani je nedržte v ústech. Okamžitě spolkněte tablety.
- Nepředujte žádný prášek nebo zbytky z rozbité tablety.
- Pokud se dotknete rozbité tablety, důkladně umyjte oblast mýdlem a vodou.
- Pokud se do vašich očí dostane jakýkoli Oforta ™ (tablety Fludarabine fosfáty), okamžitě si umyjte oči vodou po dobu nejméně 15 minut a okamžitě zavolejte svému poskytovateli zdravotní péče.
- V případě kožní reakce okamžitě zavolejte svému poskytovateli zdravotní péče.
Jaké jsou možné vedlejší účinky OTorta ™ (tablety Fludarabine fosfáty)?
Viz „Jaké jsou nejdůležitější informace, které bych měl vědět o OForta ™ (tablety Fludarabine fosfáty)?“
Oforreta™ (fludarabine phosphate tablets) may cause serious side effects including:
Nízký počet krvinek.
Oforreta™ (fludarabine phosphate tablets) lessens the number of blood cells that fight infection help your blood to clot a carry oxygen throughout your body. This can result in
- Infekce
- Krvácející
- Únava
Vyhněte se činnostem, které mohou zvýšit vaše šance na tyto podmínky . Váš poskytovatel zdravotní péče zkontroluje váš krevní počet, takže budete vědět, kdy jste nejvíce ohroženi krvácením a únavou infekce.
Okamžitě zavolejte svému poskytovateli zdravotní péče Pokud máte teplotu 100,5 ° F. nebo vyšší nebo se necítíte dobře. Neberete lék na horečku, dokud se nezkontrolujete u svého poskytovatele zdravotní péče.
Oforreta™ (fludarabine phosphate tablets) may cause other side effects including:
- nevolnost a zvracení
- Ztráta chuti k jídlu
- Skin vyrážka
- otok v nohou
- průjem
- zarudnutí a podráždění uvnitř úst (stomatitida)
- Bolest břicha a svalů.
Sdělte svému poskytovateli zdravotní péče, pokud máte jakýkoli vedlejší účinek, který vás vadí nebo z nich nezmizí. Nejedná se o všechny možné vedlejší účinky OTorta ™ (tablety fludarabin fosfátu). Pro více informací se zeptejte svého poskytovatele zdravotní péče nebo lékárníka.
Zavolejte svého lékaře, kde najdete lékařskou radu ohledně vedlejších účinků. FDA můžete nahlásit vedlejší účinky na 1-800-FDA-1088.
Jak bych měl ukládat a vyhodit Oforta ™ (tablety Fludarabine fosfáty)?
- Store oforta ™ (tablety fludarabin fosfátu) při 59-86 ° F (15-30 ° C).
- Udržujte pod normálním světlem v kontejneru odolném proti dítěti.
- Bezpečně zahodit lék, který je zastaralý nebo již není potřeba.
- Nedávejte OForta ™ (tablety Fludarabine Fosfáty) do vašeho běžného odpadku pro domácnost.
- Požádejte svého poskytovatele zdravotní péče nebo lékárníka o pokyny o tom, jak bezpečně vyhodit a zpracovat OTORTA ™ (tablety Fludarabin Fosfáty).
Keep Outorta ™ (tablety fludarabin fosfátu) a všechny léky mimo dosah dětí.
Obecné informace o OForta ™ (tablety Fludarabine fosfáty)
Léky jsou někdy předepsány pro podmínky, které nejsou uvedeny v informacích o pacientech. Nepoužívejte OForta ™ (fludarabinové fosfátové tablety) pro podmínku, pro kterou nebyl předepsán. Nedávejte OTORTA ™ (tablety Fludarabin Fosfáty) jiným lidem, i když mají stejné příznaky, jaké máte. Může jim to poškodit.
Tento leták s informacemi o pacientech shrnuje nejdůležitější informace o OForta ™ (tablety Fludarabine fosfátu). Další informace o OForta ™ (tablety Fludarabine fosfáty) hovorujte s poskytovatelem zdravotní péče. Informace o OFORTA ™ (Fludarabine Fosfátové tablety), které jsou psány pro zdravotnické pracovníky, můžete požádat o poskytovatele zdravotní péče nebo lékárník. Pro více informací volejte 1-800-633-1610.
Jaké jsou ingredience v OForta ™?
Aktivní složky: Fludarabin fosfát
Neaktivní složky: Mikrokrystalická celulóza laktóza monohydrátu Koloidní bezvodý křemíkový oxid oxid Croscarmellose sodík a stearát hořčíku. Filmový koat obsahuje hypromelózový mast Titaničitý oxid (E171) a pigment oxidu železitého (červená/E172 žlutá/e172).