Informace Na Stránce Nepředstavují Lékařskou Radu. Nic Neprodáváme. Přesnost Překladu Není Zaručena. Zřeknutí Se Odpovědnosti



Florinef

Shrnutí drog

Co je Florinef?

Florinef (fludrokortison) acetát je steroid používaný k léčbě podmínek, ve kterých tělo nevytváří dostatek svých vlastních steroidů, jako je Addisonova choroba a syndrom pro ztrátu soli. Značka Florinef je v USA Florinef ukončena v obecné podobě.

Jaké jsou vedlejší účinky Florinef?

Florinef může způsobit vážné vedlejší účinky včetně:



  • otok nohou nebo dolních nohou
  • rychlý přírůstek na váze
  • svalová slabost
  • Ztráta svalové hmoty
  • rozmazané vidění
  • Vize tunelu
  • bolest očí
  • Vidět halos kolem světla
  • krvavé nebo dehtové stoličky
  • kašel o krev
  • neobvyklé změny v náladě nebo chování
  • křeče (záchvaty)
  • Těžké bolesti hlavy
  • Zvoní v uších
  • závrať
  • nevolnost
  • bolest za očima
  • Křeče z nohou
  • zácpa
  • nepravidelné srdeční rytmus
  • Flutteting v hrudi
  • zvýšená žízeň nebo močení
  • otupělost nebo brnění
  • Klimatický pocit
  • Těžká bolest v horním žaludku se šíří na záda
  • zvracení
  • přírůstek hmotnosti ve tváři a ramenou
  • Pomalé hojení ran
  • Zbarvení kůže
  • Ředění kůže
  • zvýšené vlasy na těle
  • únava
  • změny nálady
  • menstruační změny a
  • sexuální změny

Získejte lékařskou pomoc okamžitě, pokud máte výše uvedené příznaky.



Mezi běžné vedlejší účinky Florinef patří:

  • rozrušení nebo bolest žaludku
  • nevolnost
  • Bloating
  • bolest hlavy
  • závrať
  • pocity točení
  • Problémy se spánkem (nespavost)
  • změny nálady
  • akné
  • suchá kůže
  • Ředění kůže
  • modřiny nebo zabarvení
  • Pomalé hojení ran
  • zvýšené pocení
  • Změny ve tvaru nebo umístění tělesného tuku (zejména v nohou rukou tvář prsa a pas) a
  • menstruační změny (např. Zpožděné/nepravidelné/nepřítomné období).

Řekněte svému lékaři, pokud máte nepravděpodobné, ale vážné vedlejší účinky Florinef, včetně:



  • Snadné krvácení
  • Známky infekce (např. Horečka Perzistentní bolest v krku v krku)
  • Bolest kostí/kloubu/svalů
  • nafouklý obličej
  • otok rukou nebo nohou
  • Těžká únava
  • zvýšená žízeň nebo močení
  • neobvyklý přírůstek hmotnosti nebo
  • svalová slabost.

Pokud máte následující vážné vedlejší účinky, vyhledejte lékařskou péči nebo zavolejte na číslo 911:

  • Vážné příznaky očí, jako je ztráta náhlého vidění rozmazané vidění vidění Vision Vision Eye Eye Eye Eye Eye Eye Eye Eye nebo vidět halos kolem světel;
  • Vážné příznaky srdce, jako je rychlé nepravidelné nebo bušení srdečního rytmu; třepování v hrudi; dušnost; a náhlé závratě lightheadness nebo omdlení;
  • Těžká zmatek bolesti hlavy zkroucený řečový rameno nebo slabost nohou Potíže se ztrátou chůze pocitu koordinace Pocit nestabilní velmi tuhé svaly vysoké horečky bohaté pocení nebo třes.

Tento dokument neobsahuje všechny možné vedlejší účinky a mohou dojít k jiným. Další informace o vedlejších účincích najdete u svého lékaře.

Dávkování pro Florinef

Dávka fludrokortisonu závisí na závažnosti onemocnění a reakci pacienta. K léčbě Addisonovy choroby je obvyklá dávka 0,1 mg denně. Doporučená dávka pro léčbu adrenogenitálního syndromu ztráty soli je denně 0,1 mg až 0,2 mg.

Jaké léky nebo doplňky interagují s Florinefem?

Fludrocortison může interagovat aspirin Diuretika amfotericinu B (pilulky na vodu) Digoxin fenytoin rifampin Antikování kontrola pilulek nebo hormonální substituční terapie Krev Ředinnosti inzulínu nebo perorální diabetes léky steroidy nebo barbituráty. Řekněte svému lékaři všechny léky, které používáte.

Florinef během těhotenství a kojení

Během těhotenství by fludrokortison měl být použit pouze v případě předepsání. Kojenci narozené matkám, které tento lék používaly, mohou mít nízkou hladinu kortikosteroidního hormonu. Řekněte svému lékaři, pokud si všimnete přetrvávajícího nevolnosti/zvracení těžkého průjmu nebo slabosti svého novorozence. Tento lék prochází do mateřského mléka a může mít nežádoucí účinky na kojící dítě. Před kojením se poraďte se svým lékařem.

Další informace

Naše florinef (fludrokortison) acetátové vedlejší účinky léčivé účinky poskytuje komplexní pohled na dostupné informace o drogách o možných vedlejších účincích při užívání tohoto léku.

Informace o drogách FDA

Popis pro Florinef

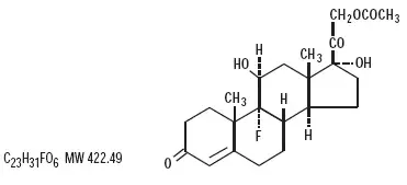
Florinef acetát (fludrokortison acetát tablety USP) obsahuje fludrokortison acetát syntetický adrenokortikální steroid, který má velmi silný mineralokortikoidní vlastnosti a vysokou glukokortikoidní aktivitu; Používá se pouze pro své účinky mineralokortikoidů. Chemický název pro fludrokortison acetát je 9-fluoro-11p1721-trihydroxypregn-4-ene-320-dione 21-acetát; Jeho grafický vzorec je:

jak dlouho je Bactrim dobrý

Florinef (fludrokortison) acetát je k dispozici pro perorální podávání, protože skóroval tablety poskytující 0,1 mg fludrokortisonového acetátu na tabletu. Neaktivní ingredience: kukuřičný škrob vápenatý škrob laktóza hořčíku Stearate sodný benzoát a mastk.

Použití pro florinef

Florinef (fludrokortison) acetát je indikován jako částečná substituční terapie pro primární a sekundární adrenokortikální nedostatečnost u Addisonovy choroby a pro léčbu adrenogenitálního syndromu ztráty soli.

Dávkování pro Florinef

Dávkování závisí na závažnosti onemocnění a reakci pacienta. Pacienti by měli být neustále monitorováni na příznaky, které naznačují, že je nutné nastavit dávkování, jako jsou remise nebo exacerbace onemocnění a stresu (trauma infekce chirurgického zákroku) (viz viz Varování a OPATŘENÍ Generál ).

Addisonova nemoc

Kromě Addisonovy choroby kombinace florinef acetátu (fludrokortison acetát tablety USP) s glukokortikoidem, jako je hydrokortison nebo kortizon, poskytuje substituční terapii aproximaci normální adrenální aktivity s minimálním rizikem nežádoucích účinků.

Obvyklá dávka je 0,1 mg florinef (fludrokortison) acetát denně, i když byla použita dávka v rozmezí od 0,1 mg do 0,2 mg denně. V případě, že se přechodná hypertenze vyvíjí v důsledku terapie, by měla být dávka snížena na 0,05 mg denně. Florinef (fludrokortizonový) acetát je s výhodou podáván ve spojení s kortizonem (10 mg až 37,5 mg denně v rozdělených dávkách) nebo hydrokortisonem (10 mg až 30 mg denně v rozdělených dávkách).

Adrenogenitální syndrom ztráty soli

Doporučená dávka pro léčbu adrenogenitálního syndromu ztráty soli je 0,1 mg až 0,2 mg florinef (fludrokortison) acetátu denně.

Jak dodáno

Tablety acetátu Florinef (fludrokortisonové acetátové tablety USP) 0,1 mg/tablety: bílé kulaté biconvex skórovaly tablety v lahvích 100 (NDC 61570-190-01); Identifikace č. 429 .

Skladování

Skladovat při pokojové teplotě; Vyvarujte se nadměrného tepla.

Předepisování informací od července 2003. Distribuováno: Monarch Pharmaceuticals Inc. Bristol TN 37620. (Zcela Wned dceřiná společnost King Pharmaceuticals Inc.) vyrobená: Bristol-Myers Squibb Company Princeton NJ 08540 USA. FDA Rev Datum: 6/9/2004

Vedlejší účinky for Florinef

Většina nežádoucích účinků je způsobena mineralokortikoidní aktivitou léčiva (retence sodíku a vody) a zahrnuje zvětšení srdečního otoku hypertenze městnavé srdeční selhání Ztráta draslíku a hypokalemická alkalóza.

Když se fludrokortizon používá v malých dávkách, doporučují glukokortikoidní vedlejší účinky často pozorované u kortizonu a jeho deriváty obvykle nejsou problémem; Následující neplatné účinky by však měly být na paměti, zejména pokud se fludrokortizon používá po delší dobu nebo ve spojení s kortizonem nebo podobným glukokortikoidem.

Muskuloskeletální -Muscal Slabost STROIDOVÁ MYOPATIE Ztráta svalové hmoty Osteoporóza Vertebrální kompresní zlomeniny Aseptické nekrózy femorálních a humerálních hlav patologické zlomeniny dlouhých kostí a spontánních zlomenin.

Gastrointestinal -Peptický vřed s možnou perforací a krvácením pankreatitidy břišní distenze a ulcerózní ezofagitidou.

Dermatologická -Porušené hojení ran tenké křehké kůže modřiny petechiae a ekchymózy obličejového erytému Zvýšení pocení podkožní tuková atrofie Purpura striae hyperpigmentace kůže a nehtů hirsutismus akneiformní erupce a úly; Reakce na kožní testy mohou být potlačeny.

Neurologický -Convulze zvýšily intrakraniální tlak s papiledem (pseudotumor cerebri) obvykle po léčbě závratě bolesti hlavy a závažných mentálních poruch.

Endokrinní -Menstruační nesrovnalosti; rozvoj stavu Cushingoid; Potlačení růstu u dětí; sekundární adrenokortikální a hypofýza nereaguje zejména v době stresu (např. Trauma chirurgie nebo nemoci); snížená tolerance uhlohydrátů; Projevy latentních Diabetes mellitus ;; a zvýšené požadavky na inzulín nebo perorální hypoglykemická činidla u diabetiků.

Oční -Posterior subkapsulární katarakty zvýšil glaukom nitrookulárního tlaku a exophthalmos.

Metabolický -Hyperglykémie glykosurie a negativní rovnováha dusíku v důsledku proteinového katabolismu.

Alergické reakce -Allergic Skin vyrážka makulopapulární vyrážka a kopřivka.

Jiné nežádoucí účinky, které se mohou vyskytnout po podání kortikosteroidu, jsou nekrotizující zhoršení tromboflebitidy angiitis nebo maskování infekcí synkopaálních epizod a anafylaktoidních reakcí.

Lékové interakce for Florinef

Při souběžném podávání mohou následující léky interagovat s adrenálními kortikosteroidy.

Diuretika amfotericin B nebo diuretiky deplece draslíku (benzothiadiaziny a související léky na kyselinu ethakrynovou a furosemid) -Vylepšená hypokalémie. Zkontrolujte hladiny draslíku v séru v častých intervalech; V případě potřeby použijte doplňky draslíku (viz Varování ).

Digitalis glykosidy -Vylepšená možnost arytmie nebo toxicity digitalis spojené s hypokalémií. Monitorujte hladinu draslíku v séru; V případě potřeby použijte doplňky draselného.

Orální antikoagulanty -Deaded prothrombin Time Response. Monitorujte hladiny protrombinu a podle toho upravte antikoagulační dávku.

Antidiabetická léčiva (ústní činidla a inzulín) -Diminovaný antidiabetický účinek. Monitorovat příznaky hyperglykémie; V případě potřeby upravte dávkování antidiabetického léčiva nahoru.

Aspirin -zvýšený ulcerogenní účinek; Snížený farmakologický účinek aspirinu. Toxicita salicylátu se zřídka může vyskytnout u pacientů, kteří ukončují steroidy po souběžné vysokodávkové aspirinové terapii. Monitorujte hladiny salicylátu nebo terapeutický účinek, pro který je podáván aspirin; Pokud je účinek změněn, upravte dávkování salicylátu podle OPATŘENÍ Generál ).

Barbituruje fenytoin nebo rifampin -Zvýšená metabolická clearance fludrokortisonu acetátu kvůli indukci jaterních enzymů. Sledujte pacienta pro možný snížený účinek steroidu a podle toho zvýšit dávkování steroidů.

Anabolické steroidy (zejména alkylované androgeny C-17, jako je oxymetholon methandrostenolon norethandrolon a podobné sloučeniny) -Vylepšená tendence k otokům. Při poskytování těchto léků postupujte opatrně, zejména u pacientů s jaterním nebo srdečním onemocněním.

Vakcíny -Neurologické komplikace a nedostatek odpovědi na protilátku (viz Varování ).

Estrogen -zvýšené hladiny globulinu vázajícího se na kortikosteroidy, čímž se zvyšuje vázaná (neaktivní) frakce; Tento účinek je alespoň vyvážen sníženým metabolismem kortikosteroidů. Pokud je zahájena estrogenová terapie, může být vyžadováno snížení dávky kortikosteroidů a při ukončení estrogenu může být vyžadováno zvýšené množství.

Interakce léčiva/laboratorní testy

Kortikosteroidy mohou ovlivnit test nitrobluetetrazolium na bakteriální infekci a způsobit falešně negativní výsledky.

Varování for Florinef

Vzhledem k jeho výraznému účinku na retenci sodíku se neposkytuje použití fludrokortisonového acetátu při léčbě jiných podmínek, než jsou zde uvedené.

Kortikosteroidy mohou maskovat některé známky infekce a během jejich používání se mohou objevit nové infekce. Když se používají kortikosteroidy, může dojít k snížené rezistenci a neschopnosti lokalizovat infekci. Pokud k infekci dojde během fludrokortisonové acetátové terapie, měla by být okamžitě kontrolována vhodnou antimikrobiální terapií. Dlouhodobé použití kortikosteroidů může produkovat zadní subkapsulární katarakty glaukomu s možným poškozením optických nervů a může zvýšit zavedení sekulárních očních infekcí v důsledku hub nebo virů.

Průměrné a velké dávky hydrokortizonu nebo kortizonu mohou způsobit zvýšení krevního tlaku a zadržování vody a zvýšení vylučování draslíku. Tyto účinky se méně pravděpodobně vyskytnou u syntetických derivátů, s výjimkou použití ve velkých dávkách. Protože však fludrokortison acetát je silným mineralokortikoidem, jak dávkování, tak i příjem soli by měly být pečlivě sledovány, aby se zabránilo vývoji otoku hypertenze nebo přírůstku hmotnosti.

Během prodloužené terapie je vhodné periodické kontroly hladin elektrolytů v séru; Může být nutné omezení soli a doplňování draslíku. Všechny kortikosteroidy zvyšují vylučování vápníku.

Pacienti by neměli být očkováni proti neštovicím při léčbě kortikosteroidy. Jiné imunizační postupy by neměly být prováděny u pacientů, kteří jsou na kortikosteroidech, zejména na vysoké dávce kvůli možným rizikům neurologických komplikací a nedostatku protilátky.

Použití acetátu Florinef (fludrokortison acetát tablety USP) u pacientů s aktivní tuberkulózou by mělo být omezeno na případy fulminující nebo diseminované tuberkulózy, při nichž se kortikosteroid používá pro léčbu onemocnění ve spojení s vhodným protituberkuntním režimem. Pokud jsou u pacientů s latentní tuberkulózou nebo tuberkulinovou reaktivitou, je nutné, protože může dojít k reaktivaci onemocnění. Během dlouhodobé kortikosteroidní terapie by tito pacienti měli dostávat chemoprofylaxi.

Děti, které jsou na imunosupresivních drogách, jsou náchylnější k infekcím než zdravé děti. Například kuřecí neštovice a spalničky mohou mít vážnější nebo dokonce fatální kurz u dětí na imunosupresivních kortikosteroidech. U takových dětí nebo u dospělých, kteří neměli tyto nemoci, by měla být věnována zvláštní péči, aby se zabránilo expozici. Pokud je podle potřeby uvedena exponovaná terapie varicella zoster imunitním globulinem (VZIG) nebo sdruženým intravenózním imunoglobulinem (IVIG). Pokud se kuřecí neštovice rozvíjí s léčbou Antivirová agenti mohou být zváženi.

Opatření for Florinef

Generál

Nežádoucí účinky na kortikosteroidy mohou být produkovány příliš rychlým stažením nebo pokračujícím používáním velkých dávek. Aby se zabránilo podpůrné dávce indukované léčivem vyvolané drogou, může být vyžadována v době stresu (jako je chirurgie traumatu nebo těžké onemocnění) během léčby fludrokortisonem acetátem a po dobu po dobu poté.

U pacientů s hypotyreózou a u pacientů s cirhózou existuje zvýšený kortikosteroidní účinek. Kortikosteroidy by se měly používat opatrně u pacientů s oční herpes simplex kvůli možné perforaci rohovky. K řízení stavu léčeného stavu by měla být použita nejnižší možná dávka kortikosteroidu. Pokud je to možné, mělo by být provedeno postupné snížení dávky.

Když se používají kortikosteroidy, mohou se objevit psychické poruchy. Mohou se pohybovat od euforie Insomnia nálady, které houpá změny osobnosti a závažnou depresi až po upřímné psychotické projevy. Kortikosteroidy mohou také zhoršit stávající emoční nestabilitu nebo psychotické tendence.

Aspirin should be used cautiously in conjunction with corticosteroids in patients with hypoprothrombinemia. Corticosteroids should be used with caution in patients with nonspecific ulcerative colitis if there is a probability of impending perforation abscess or other pyogenic infection. Corticosteroids should also be used cautiously in patients with diverticulitis fresh intestinal anastomoses active or latent peptic ulcer renal insufficiency hypertension osteoporosis a myasthenia gravis.

Laboratorní testy

Pacienti by měli být pravidelně sledováni, pokud jde o stanovení krevního tlaku a stanovení sérového elektrolytu (viz viz Varování ).

Zhodnocení mutageneze karcinogeneze plodnosti

U zvířat nebyly provedeny adekvátní studie, aby se určilo, zda fludrokortizonový acetát má karcinogenní nebo mutagenní aktivitu nebo zda ovlivňuje plodnost u mužů nebo žen.

Těhotenství: kategorie c

Přiměřené studie reprodukce zvířat nebyly provedeny s fludrokortisonem acetátem. Ukázalo se však, že mnoho kortikosteroidů je teratogenních u laboratorních zvířat při nízkých dávkách. Teratogenita těchto látek u člověka nebyla prokázána. Není známo, zda fludrokortison acetát může způsobit poškození plodu při podání těhotné ženě nebo může ovlivnit reprodukční kapacitu. Fludrokortison acetát by měl být věnován těhotné ženě, pouze pokud je to jasně potřeba.

Těhotenství: neteratogenní účinky

Kojenci narozené matkami, které obdržely značné dávky fludrokortisonu acetátu během těhotenství, by měly být pečlivě pozorovány pro příznaky hypoaadrenalismu.

Léčba matek kortikosteroidy by měla být pečlivě zdokumentována v lékařských záznamech dítěte, aby pomohla při sledování.

Ošetřovatelské matky

Kortikosteroidy se nacházejí v mateřském mléce kojených žen, které s těmito činidly dostávají systémovou terapii. Upozornění by mělo být posouzeno, když je ošetřovatelskou ženu podáván fludrokortisonový acetát.

Dětské použití

Bezpečnost a účinnost u dětí nebyla stanovena. Růst a vývoj kojenců a dětí na dlouhodobé kortikosteroidní terapii by měl být pečlivě pozorován.

Geriatrické použití

Starší subjekty mohou mít obvykle podmínky, které mohou být zhoršeny fludrokortisonovou terapií, včetně, ale nejen na edém s hypertenzí hypokalémie Kongresivní srdeční selhání katarakty Glaukom Glaukom zvýšené nitrookulární tlak Renální nedostatečnost a osteoporisis (viz viz (viz osteoporisis (viz osteoporisis (viz osteoporisis (viz osteoporisis (viz osteoporisis Varování OPATŘENÍ a Nežádoucí účinky ). Elderly subjects may also commonly be taking concomitant drug therapy such as digitalis glycosides oral anticoagulants antidiabetic drugs (oral agents a insulin) a aspirin which may interact with fludrocortisone (see OPATŘENÍ- Lékové interakce ). In general dose selection for an elderly patient should be cautious usually starting at the low end of the dosing range reflecting the greater frequency of decreased hepatic renal or cardiac function a of concomitant disease or other drug therapy.

Informace o předávkování Florinef

Vývoj hypertenze edému Hypokalémie Nadměrné zvyšování hmotnosti a zvětšení velikosti srdce jsou příznaky předávkování fludrokortisonu acetátu. Pokud jsou tyto zaznamenány podávání léčiva, které by mělo být přerušeno, po kterém se příznaky obvykle během několika dnů ustupují; Následná léčba fludrokortisonem acetátem by měla být se sníženou dávkou. Svalová slabost se může vyvinout v důsledku nadměrné ztráty draslíku a může být ošetřena podáním doplňku draslíku. Pravidelné sledování krevního tlaku a sérových elektrolytů může pomoci zabránit předávkování (viz Varování ).

Kontraindikace pro Florinef

Kortikosteroidy jsou kontraindikovány u pacientů se systémovými plísňovými infekcemi a u pacientů s anamnézou možné nebo známé přecitlivělosti vůči těmto látkám.

Klinická farmakologie for Florinef

Předpokládá se, že kortikosteroidy působí alespoň částečně kontrolou rychlosti syntézy proteinů. Ačkoli existuje řada případů, kdy je známo, že syntéza specifických proteinů je indukována kortikosteroidy, vazby mezi počáteční účinky hormonů a konečnými metabolickými účinky nebyly zcela objasněny.

Fyziologický účinek fludrokortisonového acetátu je podobný účinku hydrokortisonu. Účinky fludrokortisonu acetátu zejména na rovnováhu elektrolytů, ale také na metabolismus uhlohydrátů, jsou však výrazně zvýšeny a prodlouženy. Mineralokortikoidy působí na distální tubuly ledviny, aby se zvýšila reabsorpci iontů sodíku z tubulární tekutiny do plazmy; Zvyšují vylučování moči jak draslíku, tak iontů vodíku. Zdá se, že důsledek těchto tří primárních účinků spolu s podobnými účinky na transport kationtu v jiných tkáních odpovídá celé spektrum fyziologických aktivit, které jsou charakteristické pro mineralokortikoidy. V malých perorálních dávkách fludrokortison acetát produkuje výraznou retenci sodíku a zvýšené vylučování draslíku v moči. Zjevně způsobuje také nárůst krevního tlaku zřejmě kvůli těmto účinkům na hladiny elektrolytu.

Ve větších dávkách fludrokortison acetát inhibuje endogenní nadledvinovou kortikální sekreci thymická aktivita a hypofýza vylučování kortikotropinu; podporuje ukládání jaterního glykogenu; a pokud není příjem proteinu adekvátní, nevyvolává negativní rovnováhu dusíku. Přibližný poločas plazmy fludrokortisonu (fluorohydrokortison) je 3,5 hodiny nebo více a biologický poločas je 18 až 36 hodin.

Informace o pacientovi pro Florinef

Lékař by měl pacientovi doporučit, aby nahlásil jakoukoli lékařskou anamnézu s vysokým krevním tlakem na srdeční choroby nebo onemocnění ledvin nebo jater a aby hlásil současné používání jakýchkoli léků k určení, zda by tyto léky mohou nepříznivě interagovat s fludrokortisonem acetátem (viz viz Lékové interakce ).

Pacienti, kteří jsou na dávkách imunosupresiv kortikosteroidů, by měli být upozorněni, aby se zabránilo vystavení kuřecím neštovicům nebo spalničkám a pokud jsou vystaveny získání lékařské poradenství. Pochopení pacienta o jeho statusu závislém na steroidech a zvýšeném požadavku na dávkování za velmi variabilních podmínek stresu je nezbytné. Doporučujte pacientovi, aby nesl lékařskou identifikaci, která naznačuje jeho závislost na lécích steroidů, a v případě potřeby ho nakyste, aby nesl adekvátní nabídku léků pro použití v mimořádných událostech.

Zdůrazněte pro pacienta důležitost pravidelných následných návštěv, aby zkontrolovala jeho pokrok a potřebu okamžitě informovat lékaře o závratě závažné nebo pokračující bolesti hlavy, které otoky nohou nebo dolních nohou nebo neobvyklý přírůstek na váze.

Doporučujte pacientovi, aby lék používal pouze podle pokynů, aby si vzal co nejdříve zmeškanou dávku, pokud není téměř čas na další dávku a nezdvojnásobuje další dávku. Informujte pacienta, aby udržel tento lék a všechny léky mimo dosah dětí.