Informace Na Stránce Nepředstavují Lékařskou Radu. Nic Neprodáváme. Přesnost Překladu Není Zaručena. Zřeknutí Se Odpovědnosti



Diprolenová mast

Shrnutí drog

Co je diprolenová mast?

Diprolen (rozšířený betamethasonový dipropionát) je kortikosteroid používaný k léčbě různých kožních stavů (například vyrážka dermatitidy ekzému). Diprolen je k dispozici v obecné podobě.

Jaké jsou vedlejší účinky masti diprolenu?

Diprolenová mast



  • kopřivka
  • potíže s dýcháním
  • Otok vašeho obličeje rty jazyk nebo krk
  • Těžké podráždění pokožky, kde byl lék aplikován
  • Známky infekce kůže (otoky zarudnutí tepla vytekla)
  • rozmazané vidění
  • Vize tunelu
  • bolest očí
  • Vidět halos kolem světla
  • Pomalé hojení ran
  • Ředění kůže
  • zvýšené vlasy na těle
  • zvýšená žízeň nebo močení
  • sucho v ústech
  • ovocný dech
  • přibývání na váze
  • Otočení ve tváři
  • svalová slabost
  • unavený pocit
  • deprese
  • úzkost a
  • dráždivost

Získejte lékařskou pomoc okamžitě, pokud máte výše uvedené příznaky.



Mezi vedlejší účinky diprolenu patří:

  • Reakce na místě aplikací (pálení svědění podráždění zarudnutí a suchá kůže)
  • Ředění pokožky
  • puchýřská kůže nebo
  • strie.

Řekněte svému lékaři, pokud máte nepravděpodobné, ale vážné vedlejší účinky diprolenu, včetně:



  • Zbarvení kůže
  • akné
  • extrémní nebo nežádoucí růst vlasů nebo
  • „Vlasy hrboly“ (folikulitida).

Pokud máte následující vážné vedlejší účinky, vyhledejte lékařskou péči nebo zavolejte na číslo 911:

  • Vážné příznaky očí, jako je ztráta náhlého vidění rozmazané vidění vidění Vision Vision Eye Eye Eye Eye Eye Eye Eye Eye nebo vidět halos kolem světel;
  • Vážné příznaky srdce, jako je rychlé nepravidelné nebo bušení srdečního rytmu; třepování v hrudi; dušnost; a náhlé závratě lightheadness nebo omdlení;
  • Těžká zmatek bolesti hlavy zkroucený řečový rameno nebo slabost nohou Potíže se ztrátou chůze pocitu koordinace Pocit nestabilní velmi tuhé svaly vysoké horečky bohaté pocení nebo třes.

Tento dokument neobsahuje všechny možné vedlejší účinky a mohou dojít k jiným. Další informace o vedlejších účincích najdete u svého lékaře.

Dávkování pro diprolenovou masti

Diprolonová masti je schválena pro použití u pacientů ve věku 13 let a starší. Celková dávka by neměla překročit 50 g týdně z důvodu potenciálu, aby léčivo potlačilo osu hypotalamicko -adrenální (HPA).

Jaké léčivé látky nebo doplňky interagují s mastí diprolenu?

Diprolen může interagovat s topickým anthralinem. Řekněte svému lékaři všechny léky a doplňky, které používáte.

Diprolenová mast během těhotenství nebo kojení

Diprolenová masti by měla být použita během těhotenství, pouze pokud potenciální výhoda ospravedlňuje potenciální riziko pro plod. Není známo, zda diprolen přejde do mateřského mléka. Před kojením se poraďte se svým lékařem.

Další informace

Náš diprolen (rozšířený betamethasonový dipropionát) vedlejší účinky drogové centrum poskytuje komplexní pohled na dostupné informace o možných vedlejších účincích při užívání tohoto léku.

Informace o drogách FDA

Popis pro diprolenovou masti

Mast Diproten (rozšířený betamethason dipropionát) 0,05% obsahuje betamethasonový dipropionát USP syntetický adrenokortikosteroid pro topické použití. Betamethason Analog prednisolonu má vysoký stupeň kortikosteroidní aktivity a mírný stupeň mineralokortikoidní aktivity. Betamethason dipropionát je 17 21-dipropionátový ester betamethasonu.

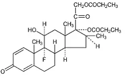
Chemicky betamethason dipropionát je 9-fluoro-11p 1721-trihydroxy-16p-methylpregna-14-diene-320-dione 1721-dipropionát s empirickým vzorcem C C 28 H 37 Fo 7 molekulová hmotnost 504,6 a následující strukturální vzorec:

Je to bílá až krémově bílá bez zápachu nerozpustný ve vodě; volně rozpustný v acetonu a chloroformu; střídmě rozpustný v alkoholu.

Každý gram diprolenového masti 0,05% obsahuje 0,643 mg betamethasonové dipropionát USP (ekvivalentní 0,5 mg betamethasonu) v bílé majci propylenglykolu; Propylenglykol stearate; Bílá petrolatum; a bílý vosk.

Použití pro diprolenovou masti

Diprolene® mast je kortikosteroid označený pro reliéf zánětlivých a svěžích projevů dermatóz reagujících na kortikosteroidy u pacientů ve věku 13 let nebo starších.

Dávkování pro diprolenovou masti

Naneste tenký film diprolenové masti na postižené oblasti kůže jednou nebo dvakrát denně.

Při dosažení kontroly by měla být léčba přerušena. Pokud do 2 týdnů není vidět žádné zlepšení, může být nutné přehodnocení diagnózy. Diprolenová masti je topický kortikosteroid s vysokou vysokou pozicí. Léčba diprolenovou mastí by neměla překročit 50 g týdně z důvodu potenciálu, aby lék potlačil osu hypotalamicko-hypofýza-nadledvinovou léčbu (HPA) [viz viz Varování a preventivní opatření ].

Diprolenová masti by se neměla používat s okluzivními obvazy, pokud není režírována lékařem.

Vyvarujte se používání na obličejové slabině nebo axille nebo pokud je v místě léčby přítomna atrofie kůže.

Vyvarujte se kontaktu s očima. Umyjte ruce po každé aplikaci.

Diprolenová masti je pouze pro aktuální použití. Není to pro orální oftalmické nebo intravaginální použití.

Jak dodáno

Formy a silné stránky dávkování

Mast 0,05%. Každý gram diprolenového masti 0,05% obsahuje 0,643 mg betamethasonové dipropionátu (ekvivalentní 0,5 mg betamethasonu) v bílé až off-bílé masti.

Skladování a manipulace

Diprolenová masti 0,05% je bílá mast dodávaná v 15-g ( NDC 78206-124-01) a 50-g ( NDC 78206-124-02) Trubky.

Skladovat při 25 ° C (77 ° F); Výlety povoleny na 15-30 ° C (59-86 ° F) [viz Teplota místnosti s kontrolou USP ].

Distribuováno od: Organon LLC. Dceřiná společnost Organon

Vedlejší účinky pro diprolenovou masti

Zkušenosti z klinických studií

Protože klinické studie se provádějí za široce proměnlivých podmínek, nežádoucí rychlosti nežádoucí reakce pozorované v klinických studiích léčiva nelze přímo porovnat s mírami v klinických studiích s jiným léčivem a nemusí odrážet míru pozorované v klinické praxi.

V kontrolovaných klinických studiích nežádoucí účinky spojené s používáním diprolenového masti hlášeného při frekvenci menší než 1% patřily erythema folikulitidu Pruritus a vezikulace.

Zážitek z postmarketingu

Protože nežádoucí účinky jsou hlášeny dobrovolně z populace nejisté velikosti, není vždy možné spolehlivě odhadnout jejich frekvenci nebo vytvořit kauzální vztah k expozici léčiva.

Zprávy o postmarketingu pro místní nežádoucí účinky na topické kortikosteroidy mohou také zahrnovat: atrofie kůže Telangiektasias spalování podráždění Acneiform Eruption Hypopigmentace Periální dermatitida alergická kontakt Dermatitida sekundární infekce Hypertrichóza Striae a Miliaria.

vedlejší účinky Zyrtec u dítěte

Hypersenzitivní reakce sestávající z převážně kožních příznaků a symptomů, např. Byly hlášeny kontaktní dermatitidu Pruritus bulózní dermatitida a erythematózní vyrážka.

Oftalmické nežádoucí účinky katarakty glaukomu zvýšily nitrooční tlak a centrální serózní chorioretinopatie byly hlášeny s použitím lokálních kortikosteroidů včetně topických betamethasonových produktů.

Interakce léčiva pro masti diprolenu

Žádné informace

Varování pro masti diprolenu

Zahrnuto jako součást OPATŘENÍ sekce.

Opatření pro masti diprolenu

Účinky na endokrinní systém

Diprolenová masti může produkovat reverzibilní potlačení ose hypothalamicko-hypofýzy (HPA) s potenciálem nedostatečnosti glukokortikosteroidu. K tomu může dojít během léčby nebo po stažení léčby. Mezi faktory, které predisponují k potlačení osy HPA, patří použití steroidů s vysokopotence velké povrchové plochy prodloužené používání okluzivních obvazů změnilo kožní bariéru selhání jater a mladého věku. Vyhodnocení potlačení osy HPA může být provedeno pomocí stimulačního testu adrenokortikotropního hormonu (ACTH).

Ve studii hodnotící účinky diprolenové masti na osu HPA při 14 g denně diprolenovou masti potlačuje plazmatické hladiny nadledvinových kortikálních hormonů po opakované aplikaci na nemocnou pokožku u subjektů s psoriázou. Tyto účinky byly reverzibilní po přerušení léčby. Ukázalo se, že při 7 g denně diprolenové masti způsobuje minimální inhibici osy HPA, když je aplikována 2krát denně po dobu 2 až 3 týdnů u zdravých subjektů a u subjektů s psoriázou a ekzématózními poruchami.

U 6 g až 7 g diprolenového masti aplikované jednou denně po dobu 3 týdnů nebyla pozorována žádná významná inhibice ose HPA u subjektů s psoriázou a atopickou dermatitidou měřeno plazmatickým kortizolem a 24hodinovou hladinou 17-hydroxy-koortikosteroidů.

Pokud je potlačení osy HPA zdokumentováno postupně, uvolněte lék snižte frekvenci aplikace nebo nahrazení s méně silným kortikosteroidem. Obavě příznaky a příznaky stažení steroidů mohou nastat vyžadující doplňkové systémové kortikosteroidy.

Cushingův syndrom a hyperglykémie se mohou také vyskytnout u lokálních kortikosteroidů. Tyto události jsou vzácné a obecně se vyskytují po dlouhodobém vystavení nadměrně velkým dávkám, zejména topických kortikosteroidů s vysokoupotencí.

Pediatričtí pacienti mohou být náchylnější k systémové toxicitě v důsledku jejich většího poměru povrchu kůže k tělesné hmotnosti [viz viz Použití v konkrétních populacích ].

Offtalmické nežádoucí účinky

Použití lokálních kortikosteroidů včetně diprolenové masti může zvýšit riziko zadních subkapsulárních katarakty a glaukomu. Katarakty a glaukom byly hlášeny postmarketingu s použitím lokálních kortikosteroidních produktů včetně diprolenového masti [viz Nežádoucí účinky ].

Vyvarujte se kontaktu diprolenové masti očima. Doporučujte pacientům, aby nahlásili jakékoli vizuální příznaky a zvážili doporučení na oftalmologa pro hodnocení.

Alergická kontaktní dermatitida

Alergická kontaktní dermatitida s kortikosteroidy je obvykle diagnostikována pozorováním selhání léčení, spíše než zaznamenávání klinické exacerbace. Takové pozorování by mělo být potvrzeno vhodným diagnostickým testováním náplastí. Pokud se podráždění vyvine lokální kortikosteroidy, měly by být přerušeny a zavedena vhodná terapie.

Informace o poradenství pro pacienta

Doporučujte pacientovi, aby si přečetl značení pacienta schváleného FDA ( Informace o pacientu ).

Informujte pacienty o následujícím:

  • Ukončete terapii při dosažení kontroly, pokud lékař jinak neřídí jinak.
  • Nepoužívejte více než 50 gramů týdně masti diprolenu a ne déle než 2 po sobě jdoucí týdny.
  • Vyvarujte se kontaktu s očima.
  • Poraďte pacientům, aby svým poskytovatelům zdravotní péče nahlásili jakékoli vizuální příznaky.
  • Vyvarujte se používání masti diprolenu na podpažích nebo slanových oblastech, pokud není nařízeno lékařem.
  • Nezaměrujte léčebnou oblast obvaz nebo jiné krytí, pokud není nařízeno lékařem.
  • Všimněte si, že lokální reakce a atrofie kůže je pravděpodobnější, že se vyskytnou při okluzivním používání prodloužené používání nebo použití kortikosteroidů s vyšší účinností.
  • Doporučujte ženě, aby používala mast Diprolenu na nejmenší oblasti kůže a po nejkratší možné době během těhotenství nebo kojení. Doporučujte kojení ženám, aby nepoužily diprolenovou masti přímo na bradavku a dvorku, aby se zabránilo přímé expozici kojenců.

Neklinická toxikologie

Zhodnocení mutageneze karcinogeneze plodnosti

Nebyly provedeny dlouhodobé studie na zvířatech k vyhodnocení karcinogenního potenciálu betamethasonového dipropionátu.

Betamethason byl negativní v testu bakteriální mutagenity ( Salmonella typhimurium a Vykazovali chill ) a v testu mutagenity savčích buněk (CHO/HGPRT). Bylo to pozitivní v testu in vitro lidského lymfocytového chromozomového aberačního testu a nejednoznačné v testu mikronukleusové kostní dřeně in vivo myší.

Studie u králíků myší a potkanů ​​s použitím intramuskulárních dávek až do 1 33 a 2 mg/kg vedly ke zvýšení rezorování plodu u králíků a myší souvisejících s dávkou.

Použití v konkrétních populacích

Těhotenství

Shrnutí rizika

U těhotných žen neexistují žádné údaje o využití diprolenových mast k identifikaci rizika potratu velkých vad vrozených vad nebo nepříznivých výsledků matek nebo plodu.

Observační studie naznačují zvýšené riziko kojenců s nízkou porodní váhou s použitím větších než 300 gramů silného nebo velmi silného topického kortikosteroidu během těhotenství. Poraďte se těhotným ženám, že mast diprolenu může zvýšit riziko, že má dítě s nízkou porodní hmotností a použít diprolenovou mast na nejmenší oblasti kůže a po nejkratší možné době

Ve studiích reprodukce zvířat byly po intramuskulárním podávání betamethasonu dipropionátu na těhotné králíky pozorovány malformace, včetně umbilikální kýly a rozštěpky. Dostupné údaje neumožňují výpočet relevantních srovnání mezi systémovým expozicí betamethasonového dipropionátu ve studiích na zvířatech s systémovou expozicí, která by se u lidí očekávala po topickém použití diprolenové masti (viz viz Data ).

Riziko na pozadí hlavních vrozených vad a potratu pro uvedenou populaci není známo. Všechna těhotenství mají na pozadí riziko ztráty vrozených vad nebo jiných nepříznivých výsledků. V americké obecné populaci je odhadované riziko velkých vrozených vad a potratu u klinicky uznávaných těhotenství 2 až 4% a 15 až 20%.

Data

Údaje o zvířatech

Bylo prokázáno, že betamethasonový dipropionát způsobuje malformace u králíků, pokud jsou podávány intramuskulární cestou v dávkách 0,05 mg/kg. Mezi pozorované abnormality patřily pupeční kýlovou cefalocele a rozštěp patra.

Laktace

Shrnutí rizika

Neexistují žádné údaje týkající se přítomnosti betamethasonového dipropionátu v lidském mléce Účinky na kojené dítě nebo účinky na produkci mléka po lokální aplikaci diprolenového masti pro ženy, které kojí.

Je možné, že topické podávání betamethasonového dipropionátu by mohlo vést k dostatečné systémové absorpci, aby se vytvořila detekovatelná množství v lidském mléce. Vývojové a zdravotní přínosy kojení by měly být zváženy spolu s klinickou potřebou diprolenu a jakékoli potenciální nepříznivé účinky na kojené dítě nebo ze základního stavu matky.

Klinické úvahy

Chcete -li minimalizovat potenciální expozici kojenému dítěti pomocí mateřské masti mateřského mléka na nejmenší ploše kůže a po nejkratší možné době při kojení. Doporučte kojení žen, aby nepoužily diprolenovou masti přímo na bradavku a dvorku, aby se zabránilo přímé expozici kojence [viz Použití v konkrétních populacích ].

Dětské použití

Použití masti diprolenu u pediatrických pacientů mladších 13 let se nedoporučuje kvůli potenciálu potlačení osy HPA [viz viz Varování a preventivní opatření ].

V otevřené hodnotě bezpečnosti ose HPA u subjektů 3 měsíce až 12 let s atopickou dermatitidou diprolenem AF krém 0,05% byl použit dvakrát denně po dobu 2 až 3 týdnů nad průměrnou plochou povrchu těla 58% (rozmezí 35% až 95%). U 19 z 60 (32%) hodnotitelných subjektů bylo určeno supsesion nadledvin A buď A ≤ 5 mcg/dl pre-stimulační kortizol nebo kosmentropinový kortizol ≤18 mcg/dl a/nebo zvýšením podoby <7 mcg/dL from the baseline cortisol. Out of the 19 subjects with HPA axis suppression 4 subjects were tested 2 weeks after discontinuation of DIPROLENE AF Cream a 3 of the 4 (75%) had complete recovery of HPA axis function. The proportion of subjects with adrenal suppression in this trial was progressively greater the younger the age group.

Kvůli vyššímu poměru plochy povrchu kůže k tělesné hmotnosti jsou pediatričtí pacienti vystaveni většímu riziku než dospělí systémové toxicity, když jsou léčeni topickými léky. Jsou tedy také vystaveni většímu riziku potlačení osy HPA a nadledvin při použití topických kortikosteroidů.

U pediatrických pacientů byly hlášeny vzácné systémové účinky, jako je lineární retardace syndromu Cushingova lineárního růstu, zpožděné přírůstek hmotnosti a intrakraniální hypertenze, zejména u pacientů s prodlouženou expozicí velkým dávkám topických kortikosteroidů s vysokou účinností.

Byly také hlášeny místní nežádoucí účinky včetně atrofie kůže s použitím lokálních kortikosteroidů u pediatrických pacientů.

Vyvarujte se používání diprolenového masti při léčbě dermatitidy plenky.

Geriatrické použití

Klinické studie s diprolenovou mastí zahrnovaly 225 subjektů, které byly 65 let a více a 46 subjektů, které byly 75 let a více. Mezi těmito subjekty a mladšími subjekty a dalšími hlášenými klinickými zkušenostmi nebyly pozorovány žádné celkové rozdíly v oblasti bezpečnosti nebo účinnosti. Větší citlivost některých starších jedinců však nelze vyloučit.

Informace o předávkování pro diprolenovou masti

Žádné informace

Kontraindikace pro diprolenovou masti

Diprolenová masti je kontraindikována u pacientů, kteří jsou přecitlivělí na betamethason dipropionát na jiné kortikosteroidy nebo na jakoukoli složku v tomto přípravě.

Klinická farmakologie for Diprolene Ointment

Mechanismus působení

Kortikosteroidy hrají roli při zánětu buněčné signalizace imunitní funkce a regulaci proteinů; Přesný mechanismus účinku diprolenového masti u kortikosteroidních dermatóz však není znám.

Farmakodynamika

Vazokonstrikční test

Zkoušky prováděné s diprolenovou mastí 0,05% ukazují, že je ve velmi vysokém rozsahu účinnosti, jak je prokázáno ve vazokonstrikčních studiích u zdravých subjektů ve srovnání s jinými topickými kortikosteroidy. Podobná skóre blanšírování však nemusí nutně znamenat terapeutickou ekvivalenci.

Farmakokinetika

Nebyly provedeny žádné farmakokinetické pokusy s diprolenovou mastí.

Rozsah perkutánní absorpce topických kortikosteroidů je určen mnoha faktory, včetně vehikula, integrita epidermální bariéry a použití okluzivních obvazů.

Lokální kortikosteroidy mohou být absorbovány normální neporušenou pokožkou. Zánět a/nebo jiné procesy onemocnění v kůži mohou zvýšit perkutánní absorpci. Okluzivní obvazy podstatně zvyšují perkutánní absorpci topických kortikosteroidů [viz Dávkování a podávání ].

Jakmile se absorbují skrz pokožku lokální kortikosteroidy, vstupují do farmakokinetických drah podobných systémově podávaným kortikosteroidům. Kortikosteroidy jsou vázány na plazmatické proteiny v různých stupních jsou metabolizovány primárně v játrech a vylučovány ledvinami. Některé z aktuálních kortikosteroidů a jejich metabolitů jsou také vylučovány do dokonce .

Klinické studie

Bezpečnost a účinnost diprolenové masti pro léčbu dermatózy reagujících na kortikosteroidy a atopické dermatitidy byly hodnoceny ve třech randomizovaných aktivních kontrolovaných studiích dva v psoriáze a jedno v atopické dermatitidě. Do těchto pokusů bylo zařazeno celkem 378 subjektů, z nichž 152 obdrželo masti diprolenu. Tyto studie vyhodnocené mastí diprolenu aplikované dvakrát denně po dobu 14 dnů. Ukázalo se, že masti diprolenu je účinná při zmírnění příznaků a symptomů psoriázy a atopické dermatitidy.

Informace o pacientovi pro masti diprolenu

Žádné informace. Viz prosím Varování a preventivní opatření sekce.