Informace Na Stránce Nepředstavují Lékařskou Radu. Nic Neprodáváme. Přesnost Překladu Není Zaručena. Zřeknutí Se Odpovědnosti



Butrans

Shrnutí drog

Co je to Butrans?

Butrans (buprenorfin) je narkotický (opiát) analgetikum používaný k úlevě z mírné až těžké probíhající bolesti (například kvůli tomu, že je to kvůli tomu artritida chronický Bolest zad ).

Jaké jsou vedlejší účinky Butrans?

Butrans může způsobit vážné vedlejší účinky včetně:



  • slabé nebo mělké dýchání
  • hluboké povzdech
  • chrápání, které je nové nebo neobvyklé
  • dýchání, které se zastaví během spánku
  • bolest na hrudi
  • Rychlá srdeční frekvence
  • záchvat
  • Lightheadedness
  • Puchýře otokující těžké podráždění, kde se náplast nosila
  • nevolnost
  • zvracení
  • Ztráta chuti k jídlu
  • závrať
  • cítit se slabý nebo unavený
  • Bolest horního žaludku
  • Tmavá moč
  • hliněné stoličky
  • Žutání kůže nebo očí (žloutenka)
  • míchání
  • halucinace
  • horečka
  • pocení
  • Chvění
  • ztuhlost svalu
  • Twitching
  • ztráta koordinace a
  • průjem

Získejte lékařskou pomoc okamžitě, pokud máte výše uvedené příznaky.



Mezi běžné vedlejší účinky Butrans patří:

  • nevolnost
  • zvracení
  • zácpa
  • sucho v ústech
  • rozrušit žaludek
  • Lightheadedness
  • závrať
  • ospalost
  • Bolest hlavy nebo
  • Podráždění svědění zarudnutí nebo vyrážky kůže, kde byla náplast nošena.

Řekněte svému lékaři, pokud máte vážné vedlejší účinky Butrans, včetně:



  • Změny mentální/nálady (například agitační zmatení halucinace)
  • potíže s močením nebo
  • otok nebo puchýř na webu aplikace Patch.

Pokud máte následující vážné vedlejší účinky, vyhledejte lékařskou péči nebo zavolejte na číslo 911:

  • Vážné příznaky očí, jako je ztráta náhlého vidění rozmazané vidění vidění Vision Vision Eye Eye Eye Eye Eye Eye Eye Eye nebo vidět halos kolem světel;
  • Vážné příznaky srdce, jako je rychlé nepravidelné nebo bušení srdečního rytmu; třepování v hrudi; dušnost; a náhlé závratě lightheadness nebo omdlení;
  • Těžká zmatek bolesti hlavy zkažená paže řeči nebo slabost nohou Potíže se ztrátou chůze pocitu koordinace Nestabilní velmi tuhé svaly vysoké horečky bohaté pocení nebo třes.

Tento dokument neobsahuje všechny možné vedlejší účinky a mohou dojít k jiným. Další informace o vedlejších účincích najdete u svého lékaře.

Dávkování pro Butrans?

Dávka Butrans je individualizována a založená na zdravotním stavu pacienta závažnost bolesti a dalších faktorů. Je to pouze pro transdermální použití (pouze na neporušené kůži). Butrans se nosí po dobu 7 dnů.

Jaké léky nebo doplňky interagují s Butrans?

Butrans mohou interagovat s léky proti bolesti narkotických antagonistů Cimetidin Nefazodon St. John's Wort Azol Antimykotiky Blokátory vápníkových kanálů HIV léky makrolidové antibiotiky rifamyciny Anti-zabavení léků nebo jiných produktů, které mohou také ovlivňovat dýchání nebo způsobit léčbu alkoholu nebo kag a vodní produkty pro spaní nebo úzkostné léky a psychické ngřinky nebo psychické ngřinky, jiných nitrotiniích a psychických nitrolií a psychickým nckacím a psychickým nckacím a psychickým nckacím a psychickým nckacím a psychickým nckacím a psychickým nckacím a psychickým nckacím a psychickým nckacím a psychickým nckacím a psychickým nckacím a psychickým nchánkem jiné ngřinky a psychické ngřictví. Řekněte svému lékaři všechny léky a doplňky, které používáte.

Butrans během těhotenství a kojení

Během těhotenství by se Butrans měl používat pouze tehdy, když je předepsán. Pokud se použije během prvních dvou měsíců těhotenství, může mírně zvýšit riziko vrozených vad. Jeho použití v blízkosti očekávaného data dodání může poškodit plod. Řekněte lékaři, pokud si všimnete příznaků u svého novorozence, jako je pomalá/mělká dýchací podrážděnost abnormální/přetrvávající plačící zvracení nebo průjem. Tento lék prochází do mateřského mléka a může mít zřídka nežádoucí účinky na kojící dítě. Řekněte lékaři, pokud se vaše dítě vyvine neobvyklou ospalost potíže s krmením nebo potížemi s dýcháním. Před kojením se poraďte se svým lékařem. Pokud náhle přestanete brát tento lék, mohou nastat příznaky odběru.

Další informace

Naše Butrans (Buprenorfin) Vedlejší účinky drogové centrum poskytuje komplexní pohled na dostupné informace o drogách o možných vedlejších účincích při užívání tohoto léku.

Informace o drogách FDA

VAROVÁNÍ

Zneužívání a zneužívání závislosti; Život ohrožující respirační deprese; Náhodná expozice; Syndrom stažení novorozenců; a rizika z souběžného použití s ​​benzodiazepiny nebo jinými depresivními prostředky CNS

Zneužívání a zneužívání závislosti

Butrans ® Vystavuje pacienty a další uživatele rizikům zneužívání a zneužití závislosti na opioidech, což může vést k předávkování a smrti. Posouďte riziko každého pacienta před předepisováním Butrans a pravidelně sledujte všechny pacienty pro rozvoj těchto chování a podmínek [viz viz VAROVÁNÍS AND OPATŘENÍ a PŘEDÁVKOVAT ].

Život ohrožující respirační deprese

Při použití Butrans se může vyskytnout vážná život ohrožující život nebo fatální respirační deprese. Monitorujte respirační depresi, zejména při zahájení Butrans nebo po zvýšení dávky. Zneužívání nebo zneužití Butrans žvýkáním polykání odfrčení nebo injekce buprenorfinu extrahovaného z transdermálního systému povede k nekontrolovanému dodání buprenorfinu a představuje významné riziko předávkování a smrti [viz viz VAROVÁNÍS AND OPATŘENÍ ].

Náhodná expozice

Náhodná expozice i jedné dávce Butrans, zejména u dětí, může mít za následek fatální předávkování buprenorfinem [viz VAROVÁNÍS AND OPATŘENÍ ].

Syndrom odběru novorozeneckého opioidu

Dlouhodobé použití Butransů během těhotenství může vést k syndromu stažení novorozeneckého opioidu, který může být život ohrožující život, pokud nebude rozpoznán a léčen a vyžaduje řízení podle protokolů vyvinutých odborníky na novorozence. Pokud je užívání opioidů vyžadováno po delší dobu u těhotné ženy, radí pacientovi o riziku syndromu stažení opioidů a zajistí, aby byla k dispozici vhodná léčba [viz viz VAROVÁNÍS AND OPATŘENÍ ].

Rizika od souběžného použití s ​​benzodiazepiny nebo jinými depresivními látkami CNS

Současné použití opioidů s benzodiazepiny nebo jiným centrálním nervovým systémem (CNS), včetně alkoholu, může mít za následek hlubokou sedaci respirační deprese a smrt [viz VAROVÁNÍS AND OPATŘENÍ Lékové interakce ].

  • Rezervujte doprovodné předepisování Butrans a benzodiazepinů nebo jiných depresivních látek CNS pro použití u pacientů, pro které jsou alternativní možnosti léčby nedostatečné.
  • Omezit dávky a doby trvání na požadované minimum.
  • Sledujte pacienty pro příznaky a příznaky respirační deprese a sedace.

Popis pro Butrans

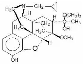
Butrans is a transdermal system providing systemic delivery of buprenorphine a mu opioid partial agonist analgesic continuously for 7 days. The chemical name of buprenorphine is 614- ethenomorphinan-7-methanol 17-(cyclopropylmethyl)- α-(11-dimethylethyl)-4 5-epoxy-18 19-dihydro-3-hydroxy-6-methoxy-α-methyl- [5α 7α ( S ). Strukturální vzorec je:

Molekulová hmotnost buprenorfinu je 467,6; Empirický vzorec je C 29 H 41 ŽÁDNÝ 4 . Buprenorfin se vyskytuje jako bílý nebo téměř bílý prášek a je velmi mírně rozpustný ve vodě volně rozpustné v acetonu rozpustném v methanolu a éteru a mírně rozpustný v cyklohexanu. PKA je 8,5 a bod tání je asi 217 ° C.

Systémové komponenty a struktura

K dispozici je pět různých sil Butrans: 5 7,5 10 15 a 20 mcg/hodinu (tabulka 6). Podíl buprenorfinu smíchaného v adhezivní matrici je stejný v každé z pěti sil. Množství buprenorfinu uvolněného z každého systému za hodinu je úměrné aktivní povrchové ploše systému. Kůže je omezující bariéra difúze ze systému do krevního řečiště.

Tabulka 6: Specifikace produktu Butrans

Míra dodávání buprenorfinu (MCG/HOD Aktivní povrch
Oblast (cm 2 )
Celkový obsah buprenorfinu (MG)
Butrans 5 6.25 5
Butrans 7.5 9.375 7.5
Butrans 10 12.5 10
Butrans 15 18.75 15
Butrans 20 25 20

Butrans is a rectangular or square beige-colored system consisting of a protective liner a functional layers. Proceeding from the outer surface toward the surface adhering to the skin the layers are (1) a beige-colored web backing layer; (2) an adhesive rim without buprenorphine; (3) a separating layer over the buprenorphine-containing adhesive matrix; (4) the buprenorphinecontaining adhesive matrix; a (5) a peel-off release liner. Before use the release liner covering the adhesive layer is removed a discarded.

Obrázek 1: Schéma průřezu Butrans (ne do měřítka).

Aktivní složkou v Butrans je buprenorfin. Neaktivní ingredience v každém systému jsou: kyselina levulinová oleyl oleate povidon a polyakrylát zesítěný hliníkem.

Použití pro Butrans

Butrans is indicated for the management of severe a persistent pain that requires an extended treatment period with a daily opioid analgesic a for which alternative treatment options are inadequate.

Omezení použití

  • Kvůli rizikům zneužívání závislosti a zneužití s ​​opioidy, které se mohou vyskytnout při jakémkoli dávce nebo trvání a kvůli většímu riziku předávkování a smrti s prodlouženým práva/dlouhodobě působícími opioidními formulacemi [viz viz VAROVÁNÍS AND OPATŘENÍ ] Rezervujte si Butrans pro použití u pacientů, u nichž jsou alternativní možnosti léčby (např. Nepioidní analgetika nebo opioidy s okamžitým uvolňováním) neúčinné, že nejsou tolerovány nebo by jinak nebyly dostatečné, aby poskytovaly dostatečnou léčbu bolesti.
  • Butrans is not indicated as an as-needed (prn) analgesic

Dávkování pro Butrans

Důležité informace o dávkování a správě

  • Butrans should be prescribed only by healthcare professionals who are knowledgeable about the use of extended-release/long-acting opioids a how to mitigate the associated risks.
  • Butrans doses of 7.5 10 15 a 20 mcg/hour are only for use in patients who are opioid experienced a in whom tolerance to an opioid of comparable potency has been established. Patients who are opioid-experienced are those receiving for one week or longer daily opioid doses up to 80 mg/day of oral morphine or an equianalgesic dose of another opioid.
  • Použijte nejnižší efektivní dávkování po nejkratší dobu v souladu s cíli léčby jednotlivého pacienta [viz viz VAROVÁNÍS AND OPATŘENÍ ]. Because the risk of overdose increases as opioid doses increase reserve titration to higher doses of Butrans for patients in whom lower doses are insufficiently effective a in whom the expected benefits of using a higher dose opioid clearly outweigh the substantial risks.
  • Zahajte dávkovací režim pro každého pacienta individuálně s ohledem na základní příčinu a závažnost bolesti pacienta před analgetickou léčbou a reakcí a rizikové faktory pro zneužívání a zneužití závislosti [Viz [Viz VAROVÁNÍS AND OPATŘENÍ ].
  • Respirační deprese může nastat kdykoli během terapie opioidy, zejména při iniciaci a po dávce se zvyšuje s Butrans. Zvažte toto riziko při výběru počáteční dávky a při provádění úprav dávky [viz VAROVÁNÍS AND OPATŘENÍ ].
  • Poskytněte pacientům, aby nepoužívali Butrans, pokud je těsnění váčku narušeno nebo je náplast přerušena nebo změněna jakýmkoli způsobem a ne řezat Butrans.
  • Pokyn pacientům, aby se vyhnuli vystavení Butrans vnějším tepelným zdrojům horké vody nebo prodloužené přímé sluneční světlo [viz VAROVÁNÍS AND OPATŘENÍ ].
  • Butrans is for transdermal use (on intact skin) only. Each Butrans patch is intended to be worn for 7 days.

Přístup pacientů k naloxonu pro nouzové léčby předávkování opioidy

Diskutujte o dostupnosti naloxonu pro nouzovou léčbu předávkování opioidy s pacientem a pečovatelem a posouďte potenciální potřebu přístupu k naloxonu při zahájení a obnovení léčby s Butrans [viz viz VAROVÁNÍS AND OPATŘENÍ ].

Informujte pacienty a pečovatele o různých způsobech získání naloxonu, jak to umožňuje individuální státní naloxonové vydávání a předepisování požadavků nebo pokynů (např. Na předpis přímo od lékárníka nebo jako součást komunitního programu).

Zvažte předepisování naloxonu založené na rizikových faktorech pacienta pro předávkování, jako je souběžné použití depresiv CNS a historii poruchy užívání opioidů nebo předchozí předávkování opioidy. Přítomnost rizikových faktorů předávkování by neměla zabránit správnému zvládání bolesti u daného pacienta [viz VAROVÁNÍS AND OPATŘENÍ Předávkování ].

Zvažte předepisování naloxonu, pokud má pacient členy domácnosti (včetně dětí) nebo jiné blízké kontakty ohrožené náhodné expozicí nebo předávkování.

Počáteční dávka

Použití Butrans jako první opioidní analgetikum (pacienti s naivními opioidy)

Zahajte ošetření Butrans s 5 mcg/hodinovou náplastí.

Konverze z jiných opioidů na Butrans

Když je Butransova terapie zahájena, přesahujte všechny ostatní opioidní analgetiky jiné než ty, které se používají na základě podle potřeby pro průlomovou bolest, pokud je to vhodné.

Existují potenciál, aby buprenorfin vysrážel stažení u pacientů, kteří již jsou na opioidech.

Předchozí celková denní dávka opioidu menší než 30 mg ekvivalentů orálního morfinu za den

Iniciate ošetření Butrans 5 mcg/hodinu v dalším dávkovacím intervalu (viz tabulka 1 pod střední sloupec).

Předchozí celková denní dávka opioidu mezi 30 mg až 80 mg ekvivalentů perorálního morfinu za den

Zučte současné opioidy pacienta po dobu až 7 dnů, až ne více než 30 mg morfinu nebo ekvivalentu denně před zahájením léčby Butrans. Poté zahájte léčbu Butrans 10 mcg/hodinu v příštím dávkovacím intervalu (viz tabulka 1 pod pravým sloupcem). Pacienti mohou používat krátkodobující analgetika podle potřeby, dokud není dosažena analgetická účinnost s Butrans.

Předchozí celková denní dávka opioidu větší než 80 mg ekvivalentů morfinu ústního morfinu za den

Butrans 20 mcg/hour may not provide adequate analgesia for patients requiring greater than 80 mg/day oral morphine equivalents. Consider the use of an alternate analgesic.

Tabulka 1: Počáteční dávka Butrans

Předchozí analgetika opioidní denní dávka (ekvivalent perorálního morfinu) <30 mg 30-80 mg
Doporučené Butrans Počáteční dávka 5 mcg/hodinu 10 mcg/hodinu
Konverze z metadonu na Butrans

Pravidelné hodnocení má zvláštní význam při převodu z metadonu na jiné opioidní agonisty. Poměr mezi metadonem a jinými opioidními agonisty se může značně lišit v závislosti na předchozí expozici dávky. Metadon má dlouhý poločas a může se hromadit v plazmě.

Titrace a udržování terapie

Individuálně titrují Butrans na dávku, která poskytuje dostatečnou analgezii a minimalizuje nežádoucí účinky. Neustále přehodnocují pacienty, kteří dostávají Butrans, aby posoudili udržování příznaků kontroly bolesti a příznaků stažení opioidů a jiných nežádoucích účinků, jakož i přehodnocení pro rozvoj zneužívání nebo zneužití závislosti [viz viz VAROVÁNÍS AND OPATŘENÍ ]. Frequent communication is important among the prescriber other members of healthcare team the patient a the caregiver/family during periods of changing analgesic requirements including initial titration. During use of opioid therapy for an extended period of time periodically reassess the continued need for opioid analgesics.

Minimální titrační interval Butrans je 72 hodin na základě farmakokinetického profilu a času k dosažení úrovní ustáleného stavu [viz viz Klinická farmakologie ].

Maximální dávka Butrans je 20 mcg/hodina. Nepřekračujte dávku jednoho 20 mcg/hodinového systému Butrans kvůli riziku prodloužení intervalu QTC. V klinické studii Butrans 40 mcg/hodinu (dané jako dva Butrans 20 mcg/hodinové systémy) vyústilo v prodloužení intervalu QTC [viz viz VAROVÁNÍS AND OPATŘENÍ Klinická farmakologie ].

Pacienti, kteří trpí průlomovou bolestí, mohou vyžadovat zvýšení úpravy dávky Butrans nebo mohou potřebovat záchranné léky s vhodnou dávkou analgetiky s okamžitým uvolňováním.

Pokud se úroveň bolesti po stabilizaci dávky pokouší identifikovat zdroj zvýšené bolesti před zvýšením dávky Butrans. Pokud jsou po zvýšení dávkování pozorovány nepřijatelné nežádoucí účinky související s opioidy (včetně zvýšení bolesti po zvýšení dávky) zvažte zvážení snížení dávky [viz VAROVÁNÍS AND OPATŘENÍ ]. Adjust the dosage to obtain an appropriate balance between the management of pain a opioid-related adverse reactions.

Protože koncentrace plazmy v ustáleném stavu jsou dosaženy do 72 hodin dávkování Butransů může být upraveno každé 3 dny. Úpravy dávky mohou být provedeny v 5 mcg/hodinu 7,5 mcg/hodinu nebo 10 mcg/hodinových přírůstků pomocí ne více než dvou záplat z 5 mcg/hodinu nebo 7,5 mcg/hodinu nebo 10 mcg/hodinových systémů. Celková dávka z obou náplastí by neměla překročit 20 mcg/hodinu. Pro použití dvou záplat pořídí pacientům, aby odstranili svou současnou opravu a aplikovali dvě nové záplaty současně sousedící s sebou na jiném místě aplikace [viz viz Dávkování a podávání ].

Bezpečné snížení nebo přerušení Butrans

U pacientů, kteří mohou být fyzicky závislý na opioidech, náhle nepřerušujte Butrans. Rychlé přerušení analgetik opioidů u pacientů, kteří jsou fyzicky závislé na opioidech, vedlo k vážným abstinenčním příznakům nekontrolovanou bolest a sebevraždu. Rychlé přerušení bylo také spojeno s pokusy najít jiné zdroje opioidních analgetik, které mohou být zaměněny s hledáním drog pro zneužívání. Pacienti se mohou také pokusit léčit jejich bolest nebo abstinenční příznaky nezákonnými opioidy, jako je heroin a jiné látky.

Když bylo rozhodnuto o snížení dávky nebo ukončení léčby u pacienta závislého na opioidech, který užíval Butrans, existuje celá řada faktorů, které by měly být zváženy, včetně celkové denní dávky opioidů (včetně Butrans), pacient trvá trvání léčby a fyzikální a psychologické atributy pacienta. Je důležité zajistit průběžnou péči o pacienta a dohodnout se na vhodným plánovacím plánu a následném plánu, aby cíle a očekávání pacienta a poskytovatele byly jasné a realistické. Pokud jsou opioidní analgetika přerušena v důsledku podezření na poruchu užívání návykových látek, hodnotí a léčí pacienta nebo se odvolává na hodnocení a léčbu poruchy užívání látky. Léčba by měla zahrnovat přístupy založené na důkazech, jako je léčba poruchy užívání opioidů. Složité pacienti s poruchami užívání komorbidy a poruch užívání návykových látek mohou mít prospěch z doporučení na specialistu.

Neexistují žádné standardní plány zužování opioidů, které jsou vhodné pro všechny pacienty. Dobrá klinická praxe diktuje plán specifický pro pacienta, který postupně zužuje dávku opioidu. U pacientů na Butranch, kteří jsou fyzicky závislými na opioidech, zahájí zúžení dostatečně malým přírůstkem (např. Ne větší než 10% až 25% z celkové denní dávky), aby se zabránilo příznakům abstinenčních prostředků a probíhalo s nositelem dávky v intervalu každých 2 až 4 týdnů. Pacienti, kteří užívali opioidy po dobu přidružení, mohou tolerovat rychlejší zúžení.

Pro dosažení úspěšného zúžení může být nutné poskytnout pacientovi síly nižší dávkování. Pokud by se objevili, často přehodnoťte pacienta, aby zvládl bolesti a abstinenční příznaky. Mezi běžné abstinenční příznaky patří neklid s lakrováním lokálního rhinorrhea zívání potu Childs Myalgia a Mydriasis. Mohou se také vyvinout další příznaky a symptomy, včetně podrážděnosti úzkostné bolesti zad Slabosti bolesti kloubů břišní křeče insomnia nevolnost anorexie zvracení průjmu nebo zvýšené frekvence respirací nebo srdeční frekvence krevního tlaku. Pokud vzniknou abstinenční příznaky, může být nezbytné pozastavit zúžení po určitou dobu nebo zvýšit dávku opioidního analgetiku s předchozí dávkou a poté pokračovat pomalejším zúžením. Kromě toho vyhodnoťte pacienty na jakékoli změny ve vzniku nálady sebevražedných myšlenek nebo použití jiných látek.

Při léčbě pacientů užívajících opioidní analgetika, zejména u těch, kteří byli léčeni již delší dobu a/nebo s vysokými dávkami pro chronickou bolest, zajistí, že multimodální přístup k léčbě bolesti včetně podpory duševního zdraví (v případě potřeby) před zahájením opioidního analgetického zúžení. Multimodální přístup k léčbě bolesti může optimalizovat léčbu chronické bolesti a také pomáhat s úspěšným zúžením opioidního analgetiku [viz VAROVÁNÍS AND OPATŘENÍ Zneužívání a závislost drog ].

Pacienti s poškozením jater

Butrans has not been evaluated in patients with severe hepatic impairment. As Butrans is only intended for 7-day application consider use of an alternate analgesic that may permit more flexibility with the dosing in patients with severe hepatic impairment [see VAROVÁNÍS AND OPATŘENÍ Použití v konkrétních populacích Klinická farmakologie ].

Správa Butrans

  • Poskytněte pacientům, aby se aplikovali ihned po odstranění z individuálně uzavřeného váčku. Poskytněte pacientům, aby nepoužívali Butrans, pokud je těsnění váčku narušeno nebo je náplast jakýmkoli způsobem poškozena nebo změněna. Pokyny pro použití Butrans naleznete v pokynech pro použití krok za krokem.
  • Naneste Butrans na horní horní horní hruď horního ramene nebo na bok hrudníku. Tyto 4 místa (každá přítomná na obou stranách těla) poskytují 8 možných aplikačních míst. Otočte Butrans mezi 8 popsanými místy kůže. Po odstranění Butrans počkejte minimálně 21 dní před opětovným použitím na stejné místo pro kůži [viz Klinická farmakologie ].
  • Naneste Butrans na bezsrsté nebo téměř bezsrsté místo. Pokud není k dispozici žádné, vlasy na místě by měly být oříznuty, nikoli oholeny. Neaplikujte Butrans na podrážděnou pokožku. Pokud musí být místo aplikací vyčištěno, čistěte místo pouze vodou. Nepoužívejte mléko alkoholické oleje nebo abrazivní zařízení. Před nanesením Butrans nechte pokožku vyschnout.
  • Náhodná expozice náplasti Butrans na vodě, jako je při koupání nebo sprchování, je přijatelná na základě zkušeností během klinických studií.
  • Pokud se vyskytnou problémy s adhezí Butrans, mohou být okraje nalepeny páskou první pomoci. Pokud budou problémy s nedostatkem adheze pokračovat, může být náplast pokryta nepromokavými nebo semipermerovatelnými adhezivními obvazy vhodnými po dobu 7 dnů opotřebení.
  • Pokud Butrans během 7denního dávkovacího intervalu spadne, transdermální systém správně zlikviduje a na jinou kožní místo umístí novou náplast Butrans.
  • Při změně systému pokyn pacientům, aby odstranili Butrans a správně ho zlikvidovali [viz Dávkování a podávání ].
  • Pokud adhezivní matrice obsahující buprenorfin náhodně kontaktuje pokožku pokyn pacientům nebo pečovatelům, aby promyli oblast vodou a nepoužívali k odstranění lepidla alkohol nebo jiná rozpouštědla, protože mohou zvýšit absorpci léčiva.

Pokyny k likvidaci

Pacienti by měli odkazovat na pokyny pro použití pro správnou likvidaci Butrans. Zlikvidujte použité a nevyužité záplaty sledováním pokynů na jednotce sezpokladu, která je zabalena s Butransovými záplatami.

Alternativně mohou pacienti zlikvidovat použité skvrny složením lepicí strany náplasti k sobě a poté okamžitě po odstranění propláchnou záplatu. Nevyužité skvrny by měly být odstraněny z jejich sáčků, ochranné vložky odstranily skvrny složené tak, aby lepivá strana náplasti přidržovala k sobě a okamžitě propláchla toaletu.

Pacienti by měli zlikvidovat jakékoli záplaty zbývající z předpisu, jakmile již nejsou potřeba.

Jak dodáno

Formy a silné stránky dávkování

Butrans je obdélníkový nebo čtvercový béžový systém sestávající z ochranné vložky a funkčních vrstev. Butrans je k dispozici v pěti silných stránkách:

  • Butrans 5 mcg/hodinu Transdermal System (dimensions: 45 mm by 45 mm)
  • Butrans 7.5 mcg/hodinu Transdermal System (dimensions: 58 mm by 45 mm)
  • Butrans 10 mcg/hodinu Transdermal System (dimensions: 45 mm by 68 mm)
  • Butrans 15 mcg/hodinu Transdermal System (dimensions: 59 mm by 72 mm)
  • Butrans 20 mcg/hour Transdermal System (dimensions: 72 mm by 72 mm)

Skladování a manipulace

Butrans Transdermal System je dodáván v kartonech obsahujících 4 individuálně zabalené systémy a pouzdro obsahující 4 jednotky pro náplast.

Butrans (buprenorphine) 5 mcg/hodinu Transdermal Systems jsou čtvercové béžové lepicí náplasti měřící 45 mm x 45 mm. Každý systém je vytištěn v modré barvě s logem Butrans a 5 mcg/h a je dodáván v kartonu 4 (4-count ( NDC 59011-750-04).

Butrans (buprenorphine) 7.5 mcg/hodinu Transdermal Systems jsou obdélníkové béžové lepicí lepicí náplasti měřící 58 mm x 45 mm. Každý systém je vytištěn v modré barvě s logem Butrans a 7,5 mcg/h a je dodáván v krabici 4-count ( NDC 59011-757-04).

Butrans (buprenorphine) 10 mcg/hodinu Transdermal Systems jsou obdélníkové béžové lepicí náplasti měřící 68 mm x 45 mm. Každý systém je vytištěn v modré barvě s logem Butrans a 10 mcg/h a je dodáván v kartonu 4 (4-count ( NDC 59011-751-04).

Butrans (buprenorphine) 15 mcg/hodinu Transdermal Systems jsou obdélníkové béžové lepicí náplasti měřící 72 mm x 59 mm. Každý systém je vytištěn v modré barvě s logem Butrans a 15 mcg/h a je dodáván v kartonu 4 (4-count ( NDC 59011-758-04).

Butrans (buprenorphine) 20 mcg/hour Transdermal Systems jsou čtvercové béžové lepicí náplasti měřící 72 mm x 72 mm. Každý systém je vytištěn v modré barvě s logem Butrans a 20mcg/h a je dodáván v krabici 4-count ( NDC 59011-752-04).

Bezpečně ukládejte Butrans a správně zlikvidujte [viz Informace o poradenství pro pacienta ].

Skladovat při 25 ° C (77 ° F); Exkurze povolené mezi 15 ° C - 30 ° C (59 ° F - 86 ° F).

Distribuováno od: Purdue Pharma L.P. Stamford CT 06901-3431 Vyráběné: LTS Lohmann Therapy Systems Corp. West Caldwell NJ 07006. Revidováno: Prosinec 2023

Vedlejší účinky for Butrans

Následující závažné nežádoucí účinky jsou popsány jinde při označování:

  • Zneužívání a zneužívání závislosti [see VAROVÁNÍS AND OPATŘENÍ ]
  • Život ohrožující respirační deprese [see VAROVÁNÍS AND OPATŘENÍ ]
  • Interakce s benzodiazepiny nebo jinými depresivními prostředky CNS [viz VAROVÁNÍS AND OPATŘENÍ ]
  • Syndrom odběru novorozeneckého opioidu [see VAROVÁNÍS AND OPATŘENÍ ]
  • Reakce pokožky aplikace [viz viz VAROVÁNÍS AND OPATŘENÍ ]
  • Hyperalgezie a allodynie vyvolaná opioidy [viz VAROVÁNÍS AND OPATŘENÍ ]
  • Nedostatečnost nadledvin [viz VAROVÁNÍS AND OPATŘENÍ ]
  • Těžká hypotenze [viz VAROVÁNÍS AND OPATŘENÍ ]
  • Hepatotoxicita [viz VAROVÁNÍS AND OPATŘENÍ ]
  • Gastrointestinální účinky [viz VAROVÁNÍS AND OPATŘENÍ ]
  • Záchvaty [viz VAROVÁNÍS AND OPATŘENÍ ]
  • Prodloužení QTC [viz VAROVÁNÍS AND OPATŘENÍ ]
  • Anafylaktické/alergické reakce [viz VAROVÁNÍS AND OPATŘENÍ ]

Zkušenosti klinického hodnocení

Protože klinické studie se provádějí za široce měnících se podmínek, nežádoucí rychlost nežádoucí reakce pozorovaná v klinických studiích léčiva nelze přímo porovnat s mírami v klinických studiích s jiným lékem a nemusí odrážet míru pozorované v praxi.

Celkem 5415 pacientů bylo léčeno Butrans v kontrolovaných a otevřených klinických studiích chronické bolesti. Přibližně šest měsíců bylo léčeno devět set dvacet čtyři subjektů a 183 subjektů bylo léčeno přibližně jeden rok. Populace klinického hodnocení se skládala z pacientů s přetrvávající mírnou až těžkou bolestí.

Nejběžnější vážné nepříznivé reakce drog (všechny <0.1%) occurring during clinical trials with Butrans were: bolest na hrudi abdominal pain zvracení dehydration a hypertenze/blood pressure increased.

Nejběžnější nežádoucí účinky (≥ 2%) vedoucí k přerušení byly: nevolnost závratě zvracení bolesti hlavy a somnolence.

Nejběžnější nežádoucí účinky (≥ 5%) hlášené pacienty v klinických studiích porovnávajících Butrans 10 nebo 20 mcg/hodinu s placebem jsou uvedeny v tabulce 2 a porovnání Butrans 20 mcg/hodinu s Butrans 5 mcg/hodinu jsou uvedeny v tabulce 3 níže:

Tabulka 2: Nežádoucí účinky hlášené u ≥ 5% pacientů během titračního období s otevřenou značkou a doba léčby dvojitě slepá: pacienti o opioidy dosud neléčili

Meddra preferovaná termín Otevřené období titrace s otevřenou značkou Butrans
(N = 1024)
Dvojitě slepý Butrans
(N = 256)
Placebo ošetření
(N = 283)
Nevolnost 23% 13% 10%
Závrať 10% 4% 1%
Bolest hlavy 9% 5% 5%
Pruritus aplikací 8% 4% 7%
Spavost 8% 2% 2%
Zvracení 7% 4% 1%
Zácpa 6% 4% 1%

Tabulka 3: Nežádoucí účinky hlášené u ≥ 5% pacientů během titračního období s otevřenou značkou a doba léčby dvojitě slepá: pacienti se zkušenostmi s opioidy

Meddra preferovaná termín Otevřené období titrace s otevřenou značkou Butrans
(N = 1160)
Dvojitá slepá doba léčby
Butrans 20
(N = 219)
Butrans 5
(N = 221)
Nevolnost 14% 11% 6%
Pruritus aplikací 9% 13% 5%
Bolest hlavy 9% 8% 3%
Spavost 6% 4% 2%
Závrať 5% 4% 2%
Zácpa 4% 6% 3%
Erytém aplikace 3% 10% 5%
Vyrážka na webu aplikace 3% 8% 6%
Podráždění aplikací 2% 6% 2%

Následující tabulka uvádí nežádoucí účinky, které byly hlášeny nejméně u 2,0% pacientů ve čtyřech studiích s placebem/aktivním řízeným titrací k efektu.

Tabulka 4: Nežádoucí účinky hlášené v klinických studiích s titrací k efektu/aktivní kontrole s incidencí ≥ 2%

Meddra preferovaná termín Butrans
(N = 392)
Placebo
(N = 261)
Nevolnost 21% 6%
Pruritus aplikací 15% 12%
Závrať 15% 7%
Bolest hlavy 14% 9%
Spavost 13% 4%
Zácpa 13% 5%
Zvracení 9% 1%
Erytém aplikace 7% 2%
Vyrážka na webu aplikace 6% 6%
Sucho v ústech 6% 2%
Únava 5% 1%
Hyperhidróza 4% 1%
Periferní edém 3% 1%
Pruritus 3% 0%
Nepohodlí žaludku 2% 0%

Nežádoucí účinky pozorované v kontrolovaných a otevřených studiích jsou uvedeny níže následujícím způsobem: nejběžnější (≥ 5%) běžné (≥ 1% <5%) a less common ( < 1%).

Nejběžnější nežádoucí účinky (≥ 5%) hlášené pacienty léčenými Butrans v klinických studiích byly nevolnosti bolesti hlavy na místě Pruritus závratě zácpy zácpa zácpy zvracení aplikace Erythema Sucho a aplikace.

Běžné (≥ 1% <5%) adverse reactions reported by patients treated with Butrans in the clinical trials organized by MedDRA (Medical Dictionary for Regulatory Activities) System Organ Class were:

Gastrointestinální poruchy: průjem dyspepsia a upper abdominal pain

Obecné poruchy a podmínky správy na místě: Únava Periferní edém Aplikace Aplikace Podráždění bolesti pyrexie Bolest na hrudi a asthenia

Infekce a zamoření: infekce močových cest Infekce horní cesty respirační cesty nasofaryngitida chřipka sinusitida a bronchitida

Otrava zraněním a procedurální komplikace: podzim

Poruchy metabolismu a výživy: anorexie

Poruchy muskuloskeletální a pojivové tkáně: Bolest zad arthralgia pain in extremity muscle spasms musculoskeletal pain joint swelling neck pain a myalgia

Poruchy nervového systému: Hypoesthesia Tremor Migréna a parestézie

Psychiatrické poruchy: úzkost a deprese nespavosti

Respirační hrudní a mediastinální poruchy: Bolest a kašel

Poruchy kůže a podkožní tkáně: Pruritus hyperhidróza vyrážka a generalizovaná svědění

Cévní poruchy: hypertenze

Další méně běžné nežádoucí účinky, včetně těch, o nichž je známo, že se vyskytují při ošetření opioidů, které byly pozorovány v <1% of the patients in the Butrans trials include the following in alphabetical order:

Abdominal distention abdominal pain accidental injury affect lability agitation alanine aminotransferase increased angina pectoris angioedema apathy application site dermatitis asthma aggravated bradycardia chills confusional state contact dermatitis coordination abnormal dehydration depersonalization depressed level of consciousness depressed mood disorientation disturbance in attention diverticulitis drug hypersensitivity drug withdrawal syndrom suché oko suchá kůže Dysartria Dysgeusia Dysfagie Euforická nálada tvář Edém Flumlence Propláchnutí chůze rušení halucinace Šínějící se zapíchnutí hypotentace hypoventilace ilelation ilelia l libido snižová ztráta vědomí nesprávnosti památku narušení památku narušení duševního zhoršení Změny MISOS MISIS MISIS Musc Dýchání Abnormální respirační deprese Respirační úzkost Respirační selhání Neklidnosti Rhinitis Sedace Sexuální dysfunkční synkopa Tachykardie Tinnitus Močová váhání Inkontinence močová retence Urticaria vazodilatace vidění vizuální vizuální vizuální rušivost se snížila a sweezing.

Zážitek z postmarketingu

Během použití buprenorfinu byly identifikovány následující nežádoucí účinky. Protože tyto reakce jsou hlášeny dobrovolně z populace nejisté velikosti, není vždy možné spolehlivě odhadnout jejich frekvenci nebo vytvořit kauzální vztah k expozici léčiva.

Serotonův syndrom: Případy serotoninového syndromu, kterým byla hlášena podmínka ohrožující život potenciálně život ohrožující život při současném užívání opioidů se serotonergními léky.

Nestačitelnost nadledvin: Případy nedostatečnosti nadledvin byly hlášeny s používáním opioidů častěji po větší než jeden měsíc používání.

Anafylaxe: Anafylaxe byla hlášena s přísadami obsaženými v Butrans.

Nedostatek androgenu: Případy nedostatku androgenu se vyskytly s použitím opioidů po delší dobu. [vidět Klinická farmakologie ].

Hyperalgezie a alodynie: Případy hyperalgezie a alodynie byly hlášeny s terapií opioidů jakéhokoli trvání [viz VAROVÁNÍS AND OPATŘENÍ ].

Hypoglykémie: Případy hypoglykémie byly hlášeny u pacientů užívajících opioidy. Většina zpráv byla u pacientů s alespoň jedním predispozičním rizikovým faktorem (např. Diabetes).

Lékové interakce for Butrans

Tabulka 5 obsahuje klinicky významné interakce s léky s Butrans.

Tabulka 5: Významné interakce s léky s Butrans

Benzodiazepiny
Klinický dopad: S zneužitím a zneužívání kombinace buprenorfinu a benzodiazepinů bylo spojeno s množstvím kómatu a smrti. V mnoha, ale ne ve všech těchto případech, byl buprenorfin zneužíván vlastním injekcí drcených buprenorfinových tablet. Předklinické studie ukázaly, že kombinace benzodiazepinů a buprenorfinu změnila obvyklý stropní účinek na respirační depresi vyvolanou buprenorfinem, takže respirační účinky buprenorfinu se zdá být podobné účinky plně opioidních agonistů.
Zásah: Pravidelně hodnotí pacienty se souběžným používáním Butrans a benzodiazepinů. Varujte pacienty, že je nesmírně nebezpečné pro sebepoškozování benzodiazepiny, zatímco butrans a varuje pacienty, aby používali benzodiazepiny souběžně s Butrans pouze podle pokynů jejich lékaře.
Benzodiazepiny a Other Central Nervous System (CNS) Depressants
Klinický dopad: V důsledku aditivních farmakologických účinků může doprovodné použití benzodiazepinů nebo jiných depresiv CNS včetně alkoholu zvýšit riziko hypotenze respirační deprese hluboká sedace a smrt [viz viz VAROVÁNÍS AND OPATŘENÍ ].
Zásah: Rezervujte si doprovodné předepisování těchto léků pro použití u pacientů, u nichž jsou alternativní možnosti léčby nedostatečné. Omezit dávky a doby trvání na požadované minimum. Informujte pacienty a pečovatele o této potenciální interakci a vzdělávejte je o příznacích a příznacích respirační deprese (včetně sedace). Pokud je zaručeno souběžné použití, zvažte předepisování naloxonu pro nouzové ošetření předávkování opioidy [viz Dávkování a podávání VAROVÁNÍS AND OPATŘENÍ ].
Příklady: Benzodiazepiny a other sedatives/hypnotics anxiolytics tranquilizers muscle relaxants general anesthetics antipsychotics other opioids alcohol.
Inhibitory CYP3A4
Klinický dopad: Současné použití inhibitorů buprenorfinu a CYP3A4 může zvýšit plazmatickou koncentraci buprenorfinu, což má za následek zvýšené nebo prodloužené opioidní účinky, zejména pokud je inhibitor přidán po dosažení stabilní dávky Butrans.
Po zastavení inhibitoru CYP3A4 jako účinky inhibitoru klesá koncentrace plazmy buprenorfinu [viz viz Klinická farmakologie ] potenciálně vede ke snížení účinnosti opioidů nebo abstinenční syndrom u pacientů, kteří se vyvinuli fyzickou závislost na buprenorfinu.
Zásah: Je -li nutné doprovázet doprovodné použití, zvažte redukci dávkování Butrans, dokud není dosaženo stabilních lékových účinků. Vyhodnoťte pacienty v častých intervalech pro respirační depresi a sedaci.
Pokud je přerušen inhibitor CYP3A4, zvažte zvýšení dávky Butrans, dokud nebude dosaženo stabilních lékových účinků. Posoudit známky odběru opioidů.
Příklady: Makrolidová antibiotika (např. Erytromycin) azole-antifungální látky (např. Ketoconazol) proteázové inhibitory (např. Ritonavir)
Induktory CYP3A4
Klinický dopad: Současné použití induktorů buprenorfinu a CYP3A4 může snížit plazmatickou koncentraci buprenorfinu [viz viz Klinická farmakologie ] potenciálně vede ke snížení účinnosti nebo nástupu abstinenčního syndromu u pacientů, kteří se vyvinuli fyzickou závislost na buprenorfinu.
Po zastavení induktoru CYP3A4, protože účinky snížení induktoru se zvýší plazmatická koncentrace buprenorfinu [Viz Klinická farmakologie ], které by mohly zvýšit nebo prodloužit jak terapeutické účinky, tak nežádoucí účinky a mohou způsobit vážnou respirační depresi.
Zásah: Pokud je nutné doprovázet použití, zvažte zvýšení dávky Butrans, dokud nedosáhne stabilních účinků léku. Posoudit známky odběru opioidů.
Pokud je induktor CYP3A4 přerušen, zvažte redukci dávkování Butrans a vyhodnotit pacienty v častých intervalech pro známky respirační deprese a sedace.
Příklady: Rifampin karbamazepin fenytoin
Serotonergní léky
Klinický dopad: Současné použití opioidů s jinými léky, které ovlivňují serotonergní neurotransmiterový systém, vedlo k syndromu serotoninu.
Zásah: Pokud je doprovázené použití zaručeno, často hodnotí pacienta zejména během zahájení léčby a úpravy dávky. Přerušte Butrans, pokud je podezřelý syndrom serotoninu.
Příklady: Selektivní inhibitory zpětného vychytávání serotoninu (SSRIS) a inhibitory zpětného zpětného vychytávání norepinefrinu (SNRIS) tricyklických antidepresiv (TCAS) triptans 5-HT3 receptorů receptoru antagonisté relaxonisté) antagonisté relaxatisté) určité muscle relaxant. cyklobenzaprin metaxalon) inhibitory monoamin oxidázy (inhibitory určených k léčbě psychiatrických poruch a také další, jako je linezolidová a intravenózní methylenová modrá).
Inhibitory monoamin oxidázy (MAOI)
Klinický dopad: Interakce MAOI s opioidy se mohou projevit jako serotoninový syndrom nebo opioidní toxicita (např. Respirační deprese Comma) [Viz viz VAROVÁNÍS AND OPATŘENÍ ]
Zásah: Použití Butrans se nedoporučuje u pacientů užívajících MAOI nebo do 14 dnů od zastavení takové léčby.
Příklady: Fenelzin Tranylcypromin linezolid
Smíšený agonista/Anta Gonistická opioidní analgetika
Klinický dopad: Může snížit analgetický účinek Butrans a/nebo srážet abstinenční příznaky.
Zásah: Vyhněte se souběžnému použití.
Příklady: Butorfanol nalbuphine pentazocin
Svalové relaxanty
Klinický dopad: Buprenorfin může zvýšit neuromuskulární blokovací účinek relaxantu kosterního svalu a produkovat zvýšený stupeň respirační deprese.
Zásah: Protože respirační deprese může být podle potřeby větší než jinak, snižuje dávkování Butrans a/nebo svalového relaxantu. Vzhledem k riziku respirační deprese se souběžným používáním relaxantů a opioidů kosterních svalů zvažte předepisování naloxonu pro nouzové ošetření předávkování opioidy [viz viz Dávkování a podávání VAROVÁNÍS AND OPATŘENÍ ].
Diuretika
Klinický dopad: Opioidy mohou snížit účinnost diuretik indukcí uvolňování antidiuretického hormonu.
Zásah: Vyhodnoťte pacienty na příznaky snížené diurézy a/nebo účinků na krevní tlak a podle potřeby zvýšit dávkování diuretiky.
Anticholinergní léky
Klinický dopad: Současné použití opioidních analgetik včetně buprenorfinu a anticholinergních léčiv může zvýšit riziko retence moči a/nebo těžké zácpy, která může vést k paralytickému ileu.
Zásah: Vyhodnoťte pacienty na příznaky retence moči nebo sníženou žaludeční motilitu, když se Butrans používá souběžně s anticholinergními léky.

Zneužívání a závislost drog

Kontrolovaná látka

Butrans contains buprenorphine a Schedule III controlled substance.

Zneužívání

Butrans contains buprenorphine a substance with high potential for misuse a abuse which can lead to the development of substance use disorder including addiction [see VAROVÁNÍS AND OPATŘENÍ ].

Zneužití je úmyslné použití pro terapeutické účely léku jednotlivcem jiným způsobem, než je předepsaný poskytovatelem zdravotní péče nebo pro kterého nebyl předepsán.

Zneužívání is the intentional non-therapeutic use of a drug even once for its desirable psychological or physiological effects.

Drogová závislost je shluk kognitivních a fyziologických jevů chování, které mohou zahrnovat silnou touhu při provádění drogových obtíží při kontrole užívání drog (např. Pokračující užívání drog navzdory škodlivým důsledkům, které mají vyšší prioritu užívání drog než jiné činnosti a závazky) a možnou toleranci nebo fyzickou závislost.

Zneužívání a zneužívání Butrans zvyšuje riziko předávkování, což může vést k záchvaty hypotenze a smrti hypotenze centrálního nervového systému a respirační deprese. Riziko se zvyšuje souběžným zneužíváním Butrans s alkoholem a/nebo jinými depresivy CNS. Zneužívání a závislost na opioidech u některých jedinců nemusí být doprovázena souběžnou tolerancí a příznaky fyzické závislosti. Kromě toho může dojít k zneužívání opioidů v nepřítomnosti závislosti.

Všichni pacienti léčeni opioidy vyžadují pečlivé a časté přehodnocení pro známky zneužívání zneužívání a závislosti, protože používání opioidních analgetických produktů přináší riziko závislosti i při vhodném lékařském použití. Mezi pacienti s vysokým rizikem zneužívání Butrans patří pacienta s anamnézou dlouhodobého používání jakéhokoli opioidu, včetně produktů obsahujících buprenorfin, kteří mají anamnézu s anamnézou zneužívání léku nebo alkoholu nebo ti, kteří používají Butrans v kombinaci s jinými zneužívanými drogami.

Butrans like other opioids can be diverted for nonmedical use into illicit channels of distribution. Careful record-keeping of prescribing information including quantity frequency a renewal requests as required by state a federal law is strongly advised.

Správné posouzení pacienta správné předepisování praktik Periodické přehodnocení terapie a řádného výdeje a skladování jsou vhodnými opatřeními, která pomáhají omezit zneužívání opioidních léků.

Rizika specifická pro zneužívání Butrans

Zneužívání of Butrans poses a risk of overdose a death. This risk is increased with the concurrent use of Butrans with alcohol a/or other substances including other opioids a benzodiazepines [see VAROVÁNÍS AND OPATŘENÍ Lékové interakce ].

Butrans is approved for transdermal use only.

Úmyslný kompromis transdermálního doručovacího systému povede k nekontrolovanému dodání buprenorfinu a představuje významné riziko pro násilníka, které by mohlo vést k předávkování a smrti [viz viz VAROVÁNÍS AND OPATŘENÍ ]. Zneužívání may occur by applying the transdermal system in the absence of legitimate purpose or by chewing swallowing snorting or injecting buprenorphine extracted from the transdermal system.

Zneužívání parenterálního léčiva je běžně spojeno s přenosem infekčních chorob, jako je hepatitida a HIV.

Závislost

Tolerance i fyzikální závislost se mohou vyvinout během používání opioidních terapie.

Tolerance je fyziologický stav charakterizovaný sníženou odpovědí na léčivo po opakovaném podání (tj. Vyšší dávka léčiva je nutná k vytvoření stejného účinku, který byl kdysi získán při nižší dávce).

Fyzikální závislost je stav, který se vyvíjí v důsledku fyziologické adaptace v reakci na opakované užívání drog, které se projevuje nápisy a symptomy po prudkém přerušení nebo významné snížení dávky léčiva.

Stažení může být vysráženo podáváním léčiv s aktivitou antagonistického opioidního antagonisty (např. Naloxon) smíšeného agonisty/antagonisty analgetik (např. Pentazocin butorfanol nalbuphine) nebo parciálními agonisty (např. Buprenorfin). Fyzikální závislost nemusí dojít do klinicky významného míry až po několika dnech až týdnech pokračujícího používání.

Nepřekračujte náhle nepřerušejte Butrans u pacienta fyzicky závislého na opioidech. Rychlé zúžení Butrans u pacienta fyzicky závislého na opioidech může vést k vážným abstinenčním příznakům nekontrolovanou bolest a sebevraždu. Rychlé přerušení bylo také spojeno s pokusy najít jiné zdroje opioidních analgetik, které mohou být zaměněny s hledáním drog pro zneužívání.

Při přesahu Butrans postupně zužuje dávkování pomocí plánu specifického pro pacienta, který zvažuje následující: dávka Butrans, kterou pacient trvá trvání léčby a fyzikální a psychologické atributy pacienta. Pro zlepšení pravděpodobnosti úspěšného zúžení a minimalizaci abstinenčních symptomů je důležité, aby se pacienta dohodl na plánu zužování opioidů. U pacientů užívajících opioidy po delší dobu ve vysokých dávkách zajišťuje, že multimodální přístup k léčbě bolesti včetně podpory duševního zdraví (v případě potřeby) před zahájením opioidního analgetického zúžení [viz viz Dávkování a podávání VAROVÁNÍS AND OPATŘENÍ ].

Kojenci narozené matkám fyzicky závislým na opioidech budou také fyzicky závislé a mohou vykazovat respirační potíže a nápisy z stažení [viz viz Použití v konkrétních populacích ].

Varování pro Butrans

Zahrnuto jako součást OPATŘENÍ sekce.

Opatření pro Butrans

Zneužívání a zneužívání závislosti

Butrans contains buprenorphine a Schedule III controlled substance. As an opioid Butrans exposes users to the risks of addiction abuse a misuse [see Zneužívání a závislost drog ]. Because extended-release products such as Butrans deliver the opioid over an extended period of time there is a greater risk for overdose a death due to the larger amount of buprenorphine present [see Zneužívání a závislost drog ].

Ačkoli riziko závislosti u jakéhokoli jednotlivce není známo, může dojít u pacientů vhodně předepsaných Butrans. Závislost může nastat při doporučených dávkách a pokud je lék zneužíván nebo zneužíván.

Před předepisováním Butrans a přehodnocení všech pacientů, kteří dostávali Butrans pro rozvoj těchto chování a podmínek, posoudit riziko zneužívání nebo zneužití závislosti na opioidech každého pacienta. Rizika se zvyšují u pacientů s osobní nebo rodinnou anamnézou zneužívání návykových látek (včetně zneužívání nebo závislosti na drogách nebo alkoholu) nebo duševním onemocněním (např. Hlavní deprese). Potenciál těchto rizik by však neměl zabránit správnému řízení bolesti u daného pacienta. Pacienti se zvýšeným rizikem mohou být předepsány opioidy, jako jsou Butrans, ale použití u těchto pacientů vyžaduje intenzivní poradenství ohledně rizik a řádné používání Butransů spolu s častým přehodnocováním pro známky zneužívání závislosti nebo zneužití. Zvažte předepisování naloxonu pro nouzové zpracování předávkování opioidy [viz Dávkování a podávání VAROVÁNÍS AND OPATŘENÍ Předávkování ].

Zneužívání or misuse of Butrans by placing it in the mouth chewing it swallowing it or using it in ways other than indicated may cause choking overdose a death [see Předávkování ].

Opioidy jsou hledány pro nelékařskou použití a podléhají odklonu od legitimního předepsaného použití. Při předepisování nebo vydávání Butrans zvažte tato rizika. Strategie ke snížení těchto rizik zahrnují předepisování léčiva v nejmenším vhodném množství a poradenství pacientovi při pečlivém skladování léčiva v průběhu léčby a řádné likvidaci nevyužitého léčiva. Kontaktujte místní státní licenční radu nebo státní úřad pro kontrolu státu pro informace o tom, jak předcházet a detekovat zneužívání nebo odklon tohoto produktu.

Život ohrožující respirační deprese

Při použití opioidů byla hlášena vážná život ohrožující život nebo fatální respirační deprese, i když se používá podle doporučení. Respirační deprese, pokud není okamžitě rozpoznána a léčena, může vést k zatčení a smrti dýchacích cest. Řízení respirační deprese může zahrnovat podpůrné opatření a použití antagonistů opioidů v závislosti na klinickém stavu pacienta [viz viz Předávkování ]. Carbon dioxide (CO2) retention from opioid-induced respiratory depression can exacerbate the sedating effects of opioids.

Zatímco vážné život ohrožující nebo fatální respirační deprese může nastat kdykoli během používání Butrans, riziko je největší během zahájení terapie nebo po zvýšení dávky.

Pro snížení rizika respirační deprese správné dávkování a titrace Butransů je nezbytné [viz Dávkování a podávání ]. Overestimating the Butrans dosage when converting patients from another opioid product can result in fatal overdose with the first dose.

Náhodná expozice Butransům, zejména u dětí, může vést k respirační depresi a smrti v důsledku předávkování buprenorfinem.

Vzdělávejte pacienty a pečovatele o tom, jak rozpoznat respirační depresi a zdůraznit důležitost volání 911 nebo okamžitě získat pohotovostní lékařskou pomoc v případě známého nebo podezřelého předávkování.

Opioidy mohou způsobit poruchy dýchání souvisejících se spánkem, včetně centrální spánkové apnoe (CSA) a hypoxémie související se spánkem. Použití opioidů zvyšuje riziko CSA způsobem závislým na dávce. U pacientů, kteří jsou přítomni s CSA Dávkování a podávání ].

Přístup pacientů k naloxonu pro nouzové léčby předávkování opioidy

Diskutujte o dostupnosti naloxonu pro nouzovou léčbu předávkování opioidy s pacientem a pečovatelem a posouďte potenciální potřebu přístupu k naloxonu jak při zahájení a obnovení léčby Butrans. Informujte pacienty a pečovatele o různých způsobech získání naloxonu, jak to umožňuje individuální státní naloxonové vydávání a předepisování požadavků nebo pokynů (např. Na předpis přímo od lékárníka nebo jako součást komunitního programu). Vzdělávejte pacienty a pečovatele o tom, jak rozpoznat respirační depresi a zdůraznit důležitost volání 911 nebo získat pohotovostní lékařskou pomoc, i když je podáván naloxon.

Zvažte předepisování naloxonu založené na rizikových faktorech pacienta pro předávkování, jako je souběžné použití depresiv CNS a historii poruchy užívání opioidů nebo předchozí předávkování opioidy. Přítomnost rizikových faktorů předávkování by neměla zabránit správnému zvládání bolesti u daného pacienta. Zvažte také předepisování naloxonu, pokud má pacient členy domácnosti (včetně dětí) nebo jiné blízké kontakty ohrožené náhodné požití nebo předávkování. Pokud je naloxon předepsán vzdělávání pacientů a pečovatelů o tom, jak léčit naloxonem. [vidět Dávkování a podávání VAROVÁNÍS AND OPATŘENÍ Předávkování ].

Rizika od souběžného použití s ​​benzodiazepiny nebo jinými depresivními látkami CNS

Hluboká sedace respirační deprese a smrt může být důsledkem souběžného používání Butransů s benzodiazepiny a/nebo jinými depresivními látkami CNS včetně alkoholu (např. Nebenzodiazepinové sedativa/hypnotika anxiolytics tranquilizéry Tranquilizéry Anestetics Antipsychotics). Kvůli těmto rizikům si vyhrazují doprovodné předepisování těchto léků pro použití u pacientů, pro které nejsou alternativní možnosti léčby nedostatečné.

Observační studie prokázaly, že souběžné použití analgetik opioidů a benzodiazepinů zvyšuje riziko úmrtnosti související s léčivem ve srovnání s použitím samotných opioidních analgetik. Vzhledem k podobným farmakologickým vlastnostem je rozumné očekávat podobné riziko s doprovodným užíváním jiných léků na snižování CNS s analgetikou opioidů [viz viz Lékové interakce ].

Pokud je rozhodnuto předepsat benzodiazepin nebo jiné depresivní CNS, souběžně s opioidním analgetikem předepisuje nejnižší efektivní dávky a minimální doby trvání souběžného použití. U pacientů, kteří již dostávali opioidní analgetiku, předepisují nižší počáteční dávku benzodiazepinu nebo jiné depresivní CNS, než je uvedeno v nepřítomnosti opioidu a titrátu založené na klinické odpovědi. Pokud je opioidní analgetika zahájena u pacienta, který již užívá benzodiazepin nebo jinou depresivu CNS, předeptejte nižší počáteční dávku opioidní analgetiky a titrují na základě klinické odpovědi. Informujte pacienty a pečovatele o této potenciální interakci a vzdělávejte je o příznacích a příznacích respirační deprese (včetně sedace).

Pokud je zaručeno souběžné použití, zvažte předepisování naloxonu pro nouzové ošetření předávkování opioidy [viz Dávkování a podávání VAROVÁNÍS AND OPATŘENÍ Předávkování ].

Poraďte se pacientům i pečovatelům o rizicích respirační deprese a sedace, když se Butrans používá s benzodiazepiny nebo jinými depresivy CNS (včetně alkoholu a nezákonných drog). Poraďte se, že pacientům nevede nebo nepracuje těžké stroje, dokud nebudou stanoveny účinky souběžného používání benzodiazepinu nebo jiného depresiva CNS. Pacienti s obrazovkou rizika poruch užívání návykových látek, včetně zneužívání opioidů a zneužití, a varují je před rizikem předávkování a smrti spojené s používáním dalších depresiv CNS včetně alkoholu a nezákonných drog [viz viz Lékové interakce Informace o poradenství pro pacienta ].

Syndrom odběru novorozeneckého opioidu

Použití Butrans po delší dobu během těhotenství může mít za následek stažení novorozence. Neonatální syndrom odběru opioidů na rozdíl od syndromu odběru opioidů u dospělých může být život ohrožující, pokud není rozpoznán a léčen a vyžaduje řízení podle protokolů vyvinutých odborníky na novorozence. Sledujte novorozence pro známky syndromu odběru novorozeneckých opioidů a podle toho spravujte. Poraďte těhotné ženy používat opioidy po delší dobu s rizikem syndromu odběru novorozenců a zajistěte, aby byla k dispozici vhodná léčba [Viz [Viz Použití v konkrétních populacích ].

Hodnocení analgetického rizika opioidů a strategie zmírňování (REMS)

Aby se zajistilo, že přínosy analgetiky opioidů převažují nad rizikem zneužívání závislosti a zneužívání správy potravin a léčiv (FDA) vyžadovaly pro tyto produkty hodnocení rizika a zmírnění (REMS). V rámci požadavků DREM DROGRACE SPOLEČNOSTI se schválenými opioidními analgetickými výrobky musí zpřístupnit vzdělávací programy kompatibilní s REMS poskytovatelům zdravotní péče. Poskytovatelé zdravotní péče jsou silně povzbuzováni, aby provedli všechny následující:

  • Dokončete vzdělávací program kompatibilní s REMS nabízený akreditovaným poskytovatelem dalšího vzdělávání (CE) nebo jiného vzdělávacího programu, který zahrnuje všechny prvky plánu vzdělávání FDA pro poskytovatele zdravotní péče zapojené do řízení nebo podpory pacientů s bolestí.
  • Diskutujte o bezpečném používání vážná rizika a správné skladování a likvidaci opioidních analgetik s pacienty a/nebo jejich pečovateli pokaždé, když jsou tyto léky předepsány. Průvodce poradenstvím pro pacienty (PCG) lze získat na tomto odkazu: www.fda.gov/opioidanalgesicremspcg.
  • Zdůrazněte pacientům a jejich pečovatelům důležitost čtení průvodce medikací, kterou obdrží od svého lékárníka pokaždé, když jim bude vydána opioidní analgetikum.
  • Zvažte použití jiných nástrojů ke zlepšení bezpečnosti domácností a komunity pacientů, jako jsou dohody o precriber pacienta, které posilují odpovědnosti proti premiéře pacienta.

Chcete-li získat další informace o opioidních analgetických REMS a pro seznam akreditovaných REMS CME/CE volejte 1-800-503-0784 nebo se přihlaste na www.opiodanalgesicrems.com. Blueprint FDA lze nalézt na www.fda.gov/opioidanalgesicremsblueprint.

Rizika použití s ​​aplikací externího tepla

Poraďte pacientům a jejich pečovatelům, aby se vyhnuli odhalení místa aplikace Butrans a okolní oblasti na přímé externí zdroje tepla, jako jsou topné podložky nebo elektrické přikrývky, tepelné nebo solárny sauny vířivky a vyhřívané vodní lůžka při nošení systému, protože může dojít k zvýšení absorpce buprenorfinu [Viz [Viz viz [Viz [Viz [Viz [viz [Viz absorpce buprenorfinu Klinická farmakologie ]. Advise patients against exposure of the Butrans application site a surrounding area to hot water or prolonged exposure to direct sunlight. There is a potential for temperature-dependent increases in buprenorphine released from the system resulting in possible overdose a death.

Riziko použití u pacientů s horečkou

Pravidelně hodnotí pacienty na sobě Butransovy systémy, kteří se vyvíjejí horečku nebo zvýšenou teplotu tělesnosti jádra v důsledku namáhavé námahy na vedlejší účinky opioidů a upravte dávku Butrans, pokud se objeví příznaky deprese dýchacího nebo centrálního nervového systému.

Reakce pokožky aplikace

Ve vzácných případech došlo k závažným reakcím kožního místa se znaky výrazného zánětu včetně výtoku popálení a vezikul. Čas nástupu se liší od dnů do měsíců po zahájení léčby Butrans. Pokyn pacientům, aby okamžitě nahlásili vývoj závažných reakcí na místě aplikací a přerušili terapii

Hyperalgezie a allodynie vyvolaná opioidy

Hyperalgezie indukovaná opioidy (OIH) nastává, když opioidní analgetická paradoxně způsobí zvýšení bolesti nebo zvýšení citlivosti na bolest. Tato podmínka se liší od tolerance, což je potřeba zvyšování dávek opioidů k ​​udržení definovaného účinku [Viz Závislost ]. Symptoms of OIH include (but may not be limited to) increased levels of pain upon opioid dosage increase decreased levels of pain upon opioid dosage decrease or pain from ordinarily non-painful stimuli (allodynia). These symptoms may suggest OIH only if there is no evidence of underlying disease progression opioid tolerance opioid withdrawal or addictive behavior.

Případy OIH byly hlášeny jak při krátkodobém i dlouhodobějším používání opioidních analgetik. Ačkoli mechanismus OIH není plně pochopen, bylo zapojeno více biochemických cest. Lékařská literatura naznačuje silnou biologickou věrohodnost mezi opioidní analgetikou a OIH a alodynií. Pokud je pacient podezřelý, že zažívá OIH, pečlivě zvažte náležitě snižování dávky současného opioidního analgetiky nebo rotace opioidů (bezpečný přepínání pacienta na jinou opioidní skupinu) [Viz viz Dávkování a podávání VAROVÁNÍS AND OPATŘENÍ ].

Život ohrožující respirační deprese In Pacienti s chronickým plicním onemocněním Or In Starší kachektičtí nebo oslabovaní pacienti

Použití Butrans u pacientů s akutním nebo těžkým bronchiálním astmatem v nemonitorovaném prostředí nebo v nepřítomnosti resuscitativního vybavení je kontraindikováno.

Pacienti s chronickým plicním onemocněním

Butrans-treated patients with significant chronický obstructive pulmonary disease or cor pulmonale a those with a substantially decreased respiratory reserve hypoxia hypercapnia or pre-existing respiratory depression are at increased risk of decreased respiratory drive including apnea even at recommended dosages of Butrans [see VAROVÁNÍS AND OPATŘENÍ ].

Starší kachektičtí nebo oslabovaní pacienti

Životní despirační deprese se s větší pravděpodobností vyskytuje u starších kachektických nebo oslabených pacientů, protože možná změnili farmakokinetiku nebo změněnou vůli ve srovnání s mladšími zdravějšími pacienty [viz viz VAROVÁNÍS AND OPATŘENÍ ].

Pravidelně hodnotí pacienty, zejména při zahájení a titraci Butrans a když je Butrans podáván souběžně s jinými léky, které snižují dýchání [viz VAROVÁNÍS AND OPATŘENÍ Lékové interakce ]. Alternatively consider the use of non-opioid analgesics in these patients.

Nedostatečnost nadledvin

Případy nedostatečnosti nadledvin byly hlášeny s používáním opioidů častěji po větší než jeden měsíc používání. Presentation of adrenal insufficiency may include non-specific symptoms a signs including nevolnost zvracení anorexie fatigue weakness závrať a low blood pressure . If adrenal insufficiency is suspected confirm the diagnosis with diagnostic testing as soon as possible. If adrenal insufficiency is diagnosed treat with physiologic replacement doses of corticosteroids. Wean the patient off of the opioid to allow adrenal function to recover a continue corticosteroid treatment until adrenal function recovers. Other opioids may be tried as some cases reported use of a different opioid without recurrence of adrenal insufficiency. The information available does not identify any particular opioids as being more likely to be associated with adrenal insufficiency.

Těžká hypotenze

Butrans may cause severe hypotension including orthostatic hypotension a syncope in ambulatory patients. There is an increased risk in patients whose ability to maintain blood pressure has already been compromised by a reduced blood volume or concurrent administration of certain CNS depressant drugs (e.g. phenothiazines or general anesthetics) [see Lékové interakce ]. Regularly evaluate these patients for signs of hypotension after initiating or titrating the dosage of Butrans. In patients with circulatory shock Butrans may cause vasodilation that can further reduce cardiac output a blood pressure. Avoid the use of Butrans in patients with circulatory shock.

Rizika použití u pacientů se zvýšeným intrakraniálním tlakem mozkové nádory Poranění hlavy nebo zhoršené vědomí

U pacientů, kteří mohou být citliví na intrakraniální účinky retence CO2 (např. U pacientů s důkazem zvýšeného intrakraniálního tlaku nebo nádorů mozku), Butrans může snížit respirační pohon a výsledná retence CO2 může dále zvýšit intrakraniální tlak. Monitorujte takové pacienty na příznaky sedace a respirační deprese, zejména při zahájení terapie s Butrans.

Opioidy mohou také zakrývat klinický průběh u pacienta s poraněním hlavy. Vyvarujte se používání Butrans u pacientů se zhoršeným vědomím nebo kómatem.

Hepatotoxicita

U jedinců, kteří dostávají sublingvální buprenorfin pro léčbu závislosti na opioidech v klinických studiích v klinických studiích v klinických studiích, tak v klinických studiích, tak v klinických studiích, tak v klinických studiích. Spektrum abnormalit se pohybuje od přechodných asymptomatických nadmořských výšek v jaterních transamináz po dokladech o jaterním selhání hepatické nekrózy hepatorenální syndrom a jaterní encefalopatie. V mnoha případech přítomnost již existujících infekce jaterních enzymů infekce hepatitidou B nebo virem hepatitidy C doprovázející použití jiných potenciálně hepatotoxických léčiv a probíhající injekční zneužívání léčiv může hrát příčinnou nebo přispívající roli. U pacientů se zvýšeným rizikem hepatotoxicity (např. Pacienti s anamnézou nadměrného příjmu alkoholu intravenózní zneužívání drog nebo onemocněním jater) získává základní hladinu jaterních enzymů a pravidelně monitoruje a během léčby Butrany.

Rizika použití u pacientů s gastrointestinálními podmínkami

Butrans is contraindicated in patients with known or suspected gastrointestinal obstruction including paralytic ileus.

Buprenorfin v Butranch může způsobit křeč svěrače Oddi. Opioidy mohou způsobit zvýšení sérové ​​amylázy. Pravidelně hodnotí pacienty s onemocněním biliárního traktu včetně akutní pankreatitidy pro zhoršení příznaků

Zvýšené riziko záchvatů u pacientů s poruchami záchvatu

Buprenorfin v Butranch může zvýšit frekvenci záchvatů u pacientů s poruchami záchvatů a může zvýšit riziko záchvatů v jiných klinických prostředích spojených se záchvaty. Během terapie Butrans pravidelně hodnotí pacienty s anamnézou poruch záchvatů pro zhoršenou kontrolu záchvatů.

Prodloužení QTC

Důkladné studie QT s produkty buprenorfinu prokázaly prodloužení QT ≤ 15 ms. Zdá se, že tento prodlužovací účinek QTC není zprostředkován Herg kanály. Na základě těchto dvou zjištění je nepravděpodobné, že buprenorfin bude pro-arrhytmické, pokud se používá samostatně u pacientů bez rizikových faktorů. Riziko kombinace buprenorfinu s jinými činidly pro rozložení QT není známo.

Zvažte tato pozorování v klinických rozhodnutích při předepisování Butrans pacientům s rizikovými faktory, jako je nedávná konverze hypokalémie Bradycardia z síňové fibrilace Koopestivní srdeční selhání Digitalis Terapie Výchozí qt prodloužení syndromu dlouhého qt nebo závažné hypomagnezie.

Anafylaktické/alergické reakce

Případy akutní a chronické hypersenzitivity na buprenorfin byly hlášeny jak v klinických studiích, tak v zážitku po marketingu. Mezi nejběžnější příznaky a příznaky patří vyrážky a svědění. Byly hlášeny případy bronchospasmu angioneurotického edému a anafylaktického šoku. Historie přecitlivělosti na buprenorfin je kontraindikací pro použití Butrans.

Odnětí

Nezakrývejte náhle nepřerušujte buprenorfin u pacienta fyzicky závislého na opioidech. Při přesahu Butrans u fyzicky závislého pacienta postupně zužuje dávku. Rychlé zúžení buprenorfinu u pacienta fyzicky závislého na opioidech může vést k abstinenčnímu syndromu a návratu bolesti [viz viz Dávkování a podávání Zneužívání a závislost drog ].

Navíc použití Butrans, částečné agonistické opioidní analgetikum u pacientů, kteří dostávají plně opioidní agonista analgetikum, může snížit analgetický účinek a/nebo srážet abstinenční symptomy. Vyvarujte se souběžného použití Butrans s plnou opioidní agonistou analgetiku.

Rizika řízení a provozních strojů

Butrans may impair the mental a physical abilities needed to perform potentially hazardous activities such as driving a car or operating machinery. Warn patients not to drive or operate dangerous machinery unless they are tolerant to the effects of Butrans a know how they will react to the medication.

Používejte při léčbě závislosti

Butrans has not been studied a is not approved for use in the management of addictive disorders.

Informace o poradenství pro pacienta

Doporučujte pacientovi, aby si přečetl značení pacienta schváleného FDA ( Průvodce léky a Pokyny pro použití ).

Skladování a likvidace

Vzhledem k rizikům spojeným s zneužíváním a zneužíváním požití a zneužíváním pacientům radí, aby Butrans bezpečně ukládali z dohledu a dosahu dětí a na místě, které ostatní nebyly přístupné ostatními, včetně návštěvníků domu. Informujte pacienty, že ponechání Butrans nezajištěných může představovat smrtelné riziko pro ostatní v domácnosti [Viz VAROVÁNÍS AND OPATŘENÍ Zneužívání a závislost drog ].

Poraďte se pacientům a pečovatelům, že pokud již nejsou potřeba léky, měly by být rychle zlikvidovány. Opravy Butrans lze zlikvidovat pomocí jednotky pro dispulaci opravy [viz Pokyny pro použití ]. Alternatively expired unwanted or unused Butrans should be disposed of by folding the patch in half a flushing the unused medication down the toilet if a drug take-back option is not readily available. Inform patients that they can visit www.fda.gov/drugdisposal for a complete list of medicines recommended for disposal by flushing as well as additional information on disposal of unused medicines.

Zneužívání a zneužívání závislosti

Informujte pacienty, že používání Butransů, i když je přijato podle doporučení VAROVÁNÍS AND OPATŘENÍ ]. Instruct patients not to share Butrans with others a to take steps to protect Butrans from theft or misuse.

Život ohrožující respirační deprese

Informujte pacienty o riziku život ohrožující respirační deprese, včetně informací, že riziko je největší při spuštění Butrans nebo při zvýšení dávky a že se může vyskytnout i při doporučených dávkách.

Vzdělávejte pacienty a pečovatele o tom, jak rozpoznat respirační depresi a zdůraznit důležitost volání 911 nebo okamžitě získat pohotovostní lékařskou pomoc v případě známého nebo podezření na předávkování [Viz VAROVÁNÍS AND OPATŘENÍ Předávkování ].

Náhodná expozice

Informujte pacienty, že náhodná expozice, zejména u dětí, může mít za následek respirační depresi nebo smrt [viz VAROVÁNÍS AND OPATŘENÍ ].

Interakce s benzodiazepiny

Varujte pacienty, že je nesmírně nebezpečné pro sebepoškozování benzodiazepiny, zatímco bere Butrans a varuje pacienty, aby používali benzodiazepiny souběžně s Butrans pouze podle pokynů jejich lékaře [viz viz Lékové interakce ].

Interakce s benzodiazepiny And Other CNS Depressants

Informujte pacienty a pečovatele, že potenciálně fatální aditivní účinky se mohou vyskytnout, pokud se Butrans používá s benzodiazepiny nebo jinými depresivy CNS včetně alkoholu a nepoužívat je souběžně, pokud není pod dohledem poskytovatele zdravotní péče [viz viz VAROVÁNÍS AND OPATŘENÍ ].

Přístup pacientů k naloxonu pro nouzové léčby předávkování opioidy

Diskutujte s pacientem a pečovatelem dostupnost naloxonu pro nouzové léčby předávkování opioidy při zahájení a obnově léčby s Butrans. Informujte pacienty a pečovatele o různých způsobech získání naloxonu, jak to umožňuje individuální státní vydávání a předepisování požadavků nebo pokynů (např. Na předpis přímo od lékárníka nebo jako součást komunitního programu) [viz viz Dávkování a podávání VAROVÁNÍS AND OPATŘENÍ ].

Vzdělávejte pacienty a pečovatele o tom, jak rozpoznat příznaky a příznaky předávkování.

Vysvětlete pacientům a pečovatelům, že účinky naloxonu jsou dočasné a že musí zavolat 911 nebo získat pohotovostní lékařskou pomoc hned ve všech případech známého nebo podezřelého předávkování opioidy, i když je podáván naloxon [viz viz Předávkování ].

Pokud je předepsán naloxon, poraďte se také pacientům a pečovatelům:

  • Jak zacházet s naloxonem v případě předávkování opioidem
  • Řeknout rodině a přátelům o jejich naloxonu a udržet jej na místě, kde k němu má rodina a přátelé v případě nouze
  • Přečíst informace o pacientovi (nebo jiném vzdělávacím materiálu), které přicházejí s jejich naloxonem. Zdůrazněte důležitost toho předtím, než dojde k nouzi opioidů, aby pacient a pečovatel věděli, co dělat.
Hyperalgezie a alodynie

Informujte pacienty a pečovatele, aby nezvyšovali dávkování opioidů, aniž by se nejprve poradili s lékařem. Poraďte pacientům, aby vyhledali lékařskou pomoc, pokud zažijí příznaky hyperalgezie, včetně zhoršení bolesti, zvýšila citlivost na bolest nebo novou bolest [viz VAROVÁNÍS AND OPATŘENÍ Nežádoucí účinky ].

Serotonův syndrom

Informujte pacienty, že opioidy by mohly způsobit vzácný, ale potenciálně život ohrožující stav zvaný serotoninový syndrom vyplývající ze současného podávání serotonergních léků. Varujte pacienty před příznaky syndromu serotoninu a okamžitě vyhledejte lékařskou pomoc, pokud se vyvinou příznaky. Pokyn pacientům, aby informovali své lékaře, pokud berou nebo plánují užívat serotonergní léky [viz Lékové interakce ].

Maoi interakce

Informujte pacienty, aby se vyhnuli užívání Butrans při užívání jakýchkoli léků, které inhibují monoamin oxidázu. Pacienti by neměli začít maois při užívání Butrans [viz Lékové interakce ].

Důležité pokyny pro správu

Pokyn pacientům, jak správně používat Butrans včetně následujícího:

  1. Pečlivě dodržovat pokyny pro odstranění aplikace a likvidaci Butrans. Každý týden aplikujte Butrans na jiný web na základě 8 popsaných míst kůže s minimálně 3 týdny mezi aplikacemi na dříve používaný web [Viz viz Dávkování a podávání ].
  2. Aplikovat Butrans na bezsrsté nebo téměř bezsrsté místo. Pokud není k dispozici žádné, poučte pacienty, aby ořízli vlasy na místě a neholili oblast. Poskytněte pacientům, aby se nepoužili na podrážděnou pokožku. Pokud musí být místo aplikace vyčištěno, použijte pouze čistou vodu. Neměly se používat pleťové pleťové pleťové vody nebo abrazivní zařízení pro mýdla. Před nanesením Butrans nechte pokožku vyschnout Dávkování a podávání ].
  3. Aby nedošlo k odhalení místa aplikace Butrans na externí zdroje tepla horké vody nebo prodloužené přímé sluneční světlo [viz viz VAROVÁNÍS AND OPATŘENÍ ].
Důležité pokyny pro přerušení

Aby se zabránilo rozvoji abstinenčních symptomů, které pacienty přikazují, aby nepřerušili Butrans, aniž by nejprve diskutovali o plánu zúžení s předepisujícím lékařem [viz viz Dávkování a podávání ].

Řízení nebo provozování těžkých strojů

Informujte pacienty, že Butrans může narušit schopnost provádět potenciálně nebezpečné činnosti, jako je řízení automobilu nebo provozování těžkých strojů. Doporučujte pacientům, aby takové úkoly neprovedli, dokud neví, jak budou na léky reagovat [viz VAROVÁNÍS AND OPATŘENÍ .]

Zácpa

Poraďte pacientům o potenciálu pro těžkou zácpu včetně pokynů pro správu a kdy vyhledat lékařskou pomoc [viz Nežádoucí účinky Klinická farmakologie ].

Nedostatečnost nadledvin

Informujte pacienty, že Butrans by mohl způsobit nedostatečnost nadledvinek potenciálně ohrožující život. Naledninová nedostatečnost může být příznakem nespecifických příznaků a příznaků, jako je zvracení nevolnosti, únava anorexie Slabost závratě a nízký krevní tlak. Poraďte pacientům, aby vyhledali lékařskou pomoc, pokud zažijí souhvězdí těchto příznaků [viz VAROVÁNÍS AND OPATŘENÍ ].

Hypotenze

Informujte pacienty, že Butrans může způsobit ortostatickou hypotenzi a synkopu. Pokyn pacientům, jak rozpoznat příznaky nízkého krevního tlaku a jak snížit riziko vážných důsledků, by měla dojít k hypotenzi (např. Sedět nebo si lehnout pečlivě zvednout z pozici nebo lhát) [Viz viz VAROVÁNÍS AND OPATŘENÍ ].

Anafylaxe

Informujte pacienty, že anafylaxe byla hlášena s přísadami obsaženými v Butrans. Radit pacientům, jak rozpoznat takovou reakci a kdy vyhledat lékařskou pomoc [viz VAROVÁNÍS AND OPATŘENÍ Kontraindikace Nežádoucí účinky ].

Těhotenství

Syndrom odběru novorozeneckého opioidu

Informovat pacienty o reprodukčním potenciálu Použití Butrans po delší dobu během těhotenství může mít za následek syndrom stažení novorozenců, který může být život ohrožující, pokud není uznán a léčen [viz viz [Viz VAROVÁNÍS AND OPATŘENÍ ] Použití v konkrétních populacích .

Embryfetální toxicita

Informujte pacienty o reprodukčním potenciálu, aby Butrans mohl způsobit poškození plodu a informovat svého poskytovatele zdravotní péče o známém nebo podezření na těhotenství [Viz Použití v konkrétních populacích ].

Co můžete vzít s naproxenem
Laktace

Radí pacientům, že kojení se nedoporučuje během léčby s Butrans [viz Použití v konkrétních populacích ]

Neplodnost

Informujte pacienty, že používání opioidů po delší dobu mohou způsobit sníženou plodnost. Není známo, zda jsou tyto účinky na plodnost reverzibilní [viz Použití v konkrétních populacích ].

Zdravotničtí odborníci mohou telefonovat oddělení lékařských služeb Purdue Pharma (1-888-726-7535) pro informace o tomto produktu.

Neklinická toxikologie

Zhodnocení mutageneze karcinogeneze plodnosti

Karcinogeneze

Buprenorfin podávaný denně malováním kůže na potkany Sprague Dawley po dobu 100 týdnů při dávkách (20 60 nebo 200 mg/kg) produkoval systémové expozice (založené na AUC), které se pohybovaly přibližně 130 až 350krát vyšší než exponované expozice u lidských subjektů (MRHD) butrans 20 mcg/hodin. U mužských potkanů ​​ve srovnání se souběžnými kontrolami byl pozorován zvýšený incidence nádorů benigních varlat intersticiálních buněk považovaných za léčbu buprenorfinu. Výskyt nádoru byl také nad nejvyšším výskytem v databázi historické kontroly testovacího zařízení. Tyto nádory byly zaznamenány při 60 mg/kg/den a vyšší při přibližně 220násobek navrhovaného MRHD na základě AUC. Hladina NO pozorovaná úroveň účinku (NOEL) byla 20 mg/kg/den (přibližně 140násobek navrhovaného MRHD na základě AUC). Mechanismus vedoucí k nálezům nádoru a význam pro člověka není znám.

Buprenorfin byl podáván malbou kůže hemizygózním myši TG.AC během 6měsíčního studijního období. Při dávkách podávaných denně (NULL,75 37,5 150 nebo 600 mg/kg/den) nebyl buprenorfin karcinogenní nebo tumorigenní při systémové expozici buprenorfinu založené na AUC až 1000krát vyšší než u lidských subjektů, které byly podané 20 mcg/hodiny MRHD.

Mutageneze

Buprenorfin nebyl genotoxický ve třech in vitro genetických toxikologických studiích (test bakteriální mutagenity myší test lymfomu chromozomální aberace v testu lidské periferní krve lymfocytů) a v testu in vivo myší mikronukleus.

Poškození plodnosti

Butrans (1/4 of a Butrans 5 mcg/hodinu one Butrans 5 mcg/hodinu or one Butrans 20 mcg/hour every 3 days in males for 4 weeks prior to mating for a total of 10 weeks a in females for 2 weeks prior to mating through Gestation Day 7) had no effect on fertility or general reproductive performance of rats at AUC-based exposure levels as high as approximately 65 times (females) a 100 times (males) that for human subjects who received Butrans 20 mcg/hour the MRHD.

Použití v konkrétních populacích

Těhotenství

Shrnutí rizika

Použití opioidních analgetik po delší dobu během těhotenství může způsobit syndrom odběru novorozeneckého opioidu [viz viz VAROVÁNÍS AND OPATŘENÍ ]. Available data with Butrans in pregnant women are insufficient to inform a drug-associated risk for major birth defects a miscarriage.

Ve studiích reprodukce zvířat způsobil buprenorfin buprenorfin nárůst počtu mrtvých potomků zmenšených velikostí vrhu a snížený růst potomků u potkanů ​​na úrovni expozice matek, který byl přibližně 10krát vyšší než u lidských subjektů, kteří dostali jeden Butrans 20 mcg/hodinu, maximální doporučená lidská dávka (MRHD) [viz) Data ]. Based on animal data advise pregnant women of the potential risk to a fetus.

Riziko na pozadí hlavních vrozených vad a potratu pro uvedenou populaci není známo. Všechna těhotenství mají na pozadí riziko ztráty vrozených vad nebo jiných nepříznivých výsledků. V americké obecné populaci je odhadované riziko na pozadí hlavních vrozených vad a potratu u klinicky uznávaných těhotenství 2 až 4% a 15 až 20%.

Klinické úvahy

Fetální/novorozenecké nežádoucí účinky

Použití opioidních analgetik po delší dobu během těhotenství u lékařských nebo nelékařských účelů může vést k fyzické závislosti u syndromu stažení novorozeneckých a novorozeneckých opioidů krátce po narození. Syndrom stažení novorozeneckého opioidu představuje jako podrážděnost hyperaktivita a abnormální vzor spánku Vysoký výkřik zvracení Cry Tremor zvracení a selhání přibývání na váze. Doba trvání nástupu a závažnost syndromu stahování opioidů novorozence se liší v závislosti na specifickém opioidu používaném trvání načasování používání a množství posledního užívání matek a míry eliminace léčiva novorozencem. Sledujte novorozence příznaků syndromu stažení novorozenců a podle toho spravujte [viz [viz VAROVÁNÍS AND OPATŘENÍ ].

Práce a dodávka

Opioidy překračují placentu a mohou produkovat respirační depresi u novorozenců. Antagonista opioidů, jako je naloxon, musí být k dispozici pro zvrácení opioidní indukované respirační deprese u novorozence. Butrans se nedoporučuje pro použití u žen bezprostředně před prací, když jsou vhodnější kratší působící analgetika nebo jiné analgetické techniky. Opioidní analgetika včetně Butrans může prodloužit pracovní sílu prostřednictvím akcí, které dočasně zmenšují dobu trvání pevnosti a frekvence kontrakcí dělohy. Tento účinek však není konzistentní a může být kompenzován zvýšenou mírou dilatace děložního čípku, která má tendenci zkrátit práci.

Data

Údaje o zvířatech

Studie u potkanů ​​a králíků neprokázaly žádný důkaz teratogenity po Butransovi nebo podkožním (SC) podávání buprenorfinu v období organogeneze. Krysy byly podávány až jeden Butrans 20 mcg/hodinu každé 3 dny (dny těhotenství 6 9 12

V pre- a postnatální studii prováděné u těhotných a laktačních potkanů ​​podávání buprenorfinu buď jako Butrans nebo SC buprenorfin byl spojen s toxicitou pro potomky. Buprenorfin byl přítomen v mateřském mléce. Těhotné krysy byly podávány 1/4 jednoho z Butrans 5 mcg/hodinu každé 3 dny nebo denně obdrženy SC Buprenorfin v dávkách 0,05 0,5 nebo 5 mg/kg od dne 6. dne do 21. dne (odstavení). Podávání Butrans nebo SC buprenorfin při 0,5 nebo 5 mg/kg způsobilo toxicitu matky a nárůst počtu mrtvých narozených zmenšil velikost vrhu a snížil růst potomků při expozičním hladinách matek, který byl přibližně 10krát vyšší než u lidských subjektů, kteří dostali MRHD jednoho Butrans 20 mcg/hodinu. Toxicita matky byla také pozorována na NO pozorované úrovni nežádoucích účinků (NOAEL) pro potomky.

Laktace

Shrnutí rizika

Vzhledem k potenciálu závažných nežádoucích účinků včetně nadměrné sedace a respirační deprese u kojeného kojence doporučuje pacientům, že kojení se během léčby Butrans nedoporučuje.

Klinické úvahy

Sledujte kojence vystavené Butrans prostřednictvím mateřského mléka pro nadměrnou sedaci a respirační depresi. U kojených kojenců se mohou objevit příznaky od kojení, když je zastaveno podávání buprenorfinu v matce nebo při zastavení kojení.

Ženy a muži reprodukčního potenciálu

Neplodnost

Použití opioidů po delší dobu může způsobit sníženou plodnost u žen a mužů reprodukčního potenciálu. Není známo, zda jsou tyto účinky na plodnost reverzibilní [viz Nežádoucí účinky Předklinické farmakologie Neklinická toxikologie ].

Dětské použití

Bezpečnost a účinnost Butrans u pacientů mladších 18 let nebyla stanovena. Butrans byl hodnocen v klinické studii s otevřenou značkou u pediatrických pacientů. Definitivní závěry však nejsou možné kvůli malé velikosti vzorku.

Geriatrické použití

Z celkového počtu subjektů v klinických studiích (5415) Butrans byl podáván 1377 pacientům ve věku 65 let a starší. Z těchto 457 pacientů bylo 75 let a starších. V klinickém programu byly incidence vybraných AE souvisejících s Butransem vyšší u starších subjektů. Výskyt AES AES byl mezi subjekty o něco vyšší <65 years of age than those ≥ 65 years of age for both Butrans a placebo treatment groups.

V jednorázové studii zdravých starších a zdravých mladých subjektů léčených Butrans 10 mcg/hodinu byla farmakokinetika podobná. V samostatné studii bezpečnosti eskalace dávky byla farmakokinetika u zdravých starších a hypertenzních starších subjektů užívajících diuretika thiazidu podobné těm u zdravých mladých dospělých. Ve starších skupinách byla hodnocená hodnocená míra nežádoucích událostí podobná nebo nižší než u zdravých mladých dospělých subjektů, s výjimkou zácpy a retence moči, které byly častější u starších osob. Ačkoli specifické úpravy dávky na základě pokročilého věku nejsou vyžadovány z farmakokinetických důvodů, buďte opatrní ve starší populaci k zajištění bezpečného používání [Viz viz Klinická farmakologie ].

Respirační deprese je hlavním rizikem u starších pacientů léčených opioidy a vyskytl se po podávání velkých počátečních dávek pacientům, kteří nebyli tolerantními opioidy nebo když byly opioidy podávány s jinými látkami, které depresivní dýchání. Titrujte dávkování Butrans pomalu u geriatrických pacientů a často přehodnocují pacienta na známky centrálního nervového systému a respirační deprese [viz viz VAROVÁNÍS AND OPATŘENÍ ].

Poškození jater

Ve studii využívající intravenózní hladiny plazmatické hladiny buprenorfinu (CMAX) a expozice (AUC) buprenorfinu u pacientů s mírným a středním poškozením jater se ve srovnání s pacienty pozorovanými u subjektů s normální jaterní funkcí. Butrans nebyl hodnocen u pacientů s těžkým poškozením jater. Protože Butrans je určen pro 7denní dávkování zvažte použití alternativní analgetické terapie u pacientů se závažným poškozením jater [viz Dávkování a podávání a Klinická farmakologie ].

Informace o předávkování Butrans

Klinická prezentace

Akutní předávkování s buprenorfinem se projevuje respirační depresí Somnolence, která postupuje k hlouposti nebo komeckém svalovému svalovému svalovému svalovému svalovému svalovému svalu nachlazení a zvlněné kůže a v některých případech plicní edém bradycardia hypotenze hypoglycemie částečná nebo úplná letounná pozorování letních cest. Výrazná mydriasis spíše než mióza může být pozorována v důsledku těžké hypoxie v situacích předávkování [viz viz Klinická farmakologie ].

Léčba předávkování

V případě předávkování priority jsou obnovení patentu a chráněné dýchací cesty a instituce asistovaného nebo kontrolovaného ventilace v případě potřeby. Při léčbě oběhového šoku a plicního edému využívejte jiná podpůrná opatření (včetně kyslíkových vasopresorů), jak je uvedeno. Srdeční zástava nebo arytmie budou vyžadovat pokročilá opatření na podporu života.

Antagonisté opioidů, jako je naloxon, jsou specifické antidoty k respirační depresi v důsledku předávkování opioidy. Naloxon však nemusí být účinný při zvrácení jakékoli respirační deprese produkované buprenorfinem. Vysoké dávky naloxonu 10-35 mg/70 kg mohou mít omezenou hodnotu při léčbě předávkování buprenorfinem. Nástup naloxonového efektu může být zpožděn o 30 nebo více minut. Byl také použit doxapram hydrochlorid (respirační stimulant).

Okamžitě odstraňte Butrans. Protože by se očekávalo, že trvání zvratu bude kratší než doba účinku buprenorfinu z Butrans pečlivě monitorovat pacienta, dokud nebude spolehlivě obnoveno spontánní dýchání. Dokonce i vzhledem k zlepšení je vyžadováno pokračující lékařské monitorování z důvodu možnosti rozšířených účinků, protože buprenorfin se stále absorbuje z kůže. Po odstranění Butrans se střední koncentrace buprenorfinu sníží přibližně o 50% za 12 hodin (rozmezí 10-24 hodin) se zjevným terminálním poločasem přibližně 26 hodin. Vzhledem k tomuto dlouhému zjevnému terminálu pacienti s poločasem mohou vyžadovat monitorování a léčbu po dobu nejméně 24 hodin.

U jednotlivce fyzicky závislé na podávání opioidů může podávání opioidního receptorového antagonisty vyvolat akutní abstinenční syndrom. Závažnost zkušených příznaků bude záviset na stupni fyzické závislosti a dávce podávané antagonisty. Pokud je učiněno rozhodnutí o léčbě vážné respirační deprese při fyzicky závislém podávání pacienta antagonisty, by mělo být zahájeno péčí a titrací s menšími než obvyklými dávkami antagonisty.

Kontraindikace pro Butrans

Butrans is contraindicated in patients with:

  • Významná respirační deprese [viz VAROVÁNÍS AND OPATŘENÍ ]
  • Akutní nebo těžká bronchiální astma v nemonitorovaném prostředí nebo v nepřítomnosti resuscitativního vybavení [viz viz VAROVÁNÍS AND OPATŘENÍ ]
  • Známá nebo podezřelá gastrointestinální obstrukce včetně paralytického ileus [viz VAROVÁNÍS AND OPATŘENÍ ]
  • Přecitlivělost (např. Anafylaxe) na buprenorfin [viz VAROVÁNÍS AND OPATŘENÍ Nežádoucí účinky ]

Klinická farmakologie for Butrans

Mechanismus působení

Buprenorfin je částečný agonista v receptoru mu-opioidního a antagonisty v kappa-opioidních receptorech agonistou v receptorech Delta-opioid a receptory ORL-1 (Nociceptin). Příspěvky těchto akcí do jeho analgetického profilu jsou nejasné.

Farmakodynamika

Účinky na centrální nervový systém

Buprenorfin produkuje respirační depresi přímým působením na respirační centra mozkového kmene. Despirační deprese zahrnuje snížení citlivosti respiračních center mozkového kmene na zvýšení napětí oxidu uhličitého a elektrické stimulaci.

Buprenorfin způsobuje miózu i v naprosté temnotě. Pozorované žáci jsou známkou předávkování opioidy, ale nejsou patognomonické (např. Pontinové léze hemoragických nebo ischemických původů mohou způsobit podobné nálezy). Spíše se výrazná mydriasis než mióza může být pozorována se zhoršující se hypoxií v situacích předávkování.

Účinky na gastrointestinální trakt a další hladký sval

Buprenorfin způsobuje snížení pohyblivosti spojené se zvýšením hladkého svalstva v handálu žaludku a duodenum. Trávení potravin v tenkém střevě je zpožděno a snižují se pohonné kontrakce. Propulzivní peristaltické vlny v tlustém střevě se snižují, zatímco tón se zvyšuje do bodu křeče, což má za následek zácpu. Další účinky vyvolané opioidy mohou zahrnovat snížení biliárních a pankreatických sekrecí spasmu svěrače Oddi a přechodné zvýšení v sérové ​​amyláze.

Účinky na kardiovaskulární systém

Buprenorfin produkuje periferní vazodilataci, což může vést k ortostatické hypotenzi nebo synkopě. Projevy uvolňování histaminu a/nebo periferní vazodilatace mohou zahrnovat pruritus propláchnutí červených očí pocení a/nebo ortostatické hypotenze.

Účinky na srdeční elektrofyziologii

Účinek Butrans 10 mcg/hodinu a 2 x Butrans 20 mcg/hodinu na QTC interval byl hodnocen v dvojitě slepé (Butrans vs. placebo) randomizované placebo a aktivní kontrolované (moxifloxacin 400 mg otevřené označení) paralelní skupiny s jednou do-dose studií u 132 zdravých mužů a žen ve věku 18 až 55 let. Eskalační sekvence dávky pro Butrans během titračního období byla: Butrans 5 mcg/hodinu po dobu 3 dnů, pak Butrans 10 mcg/hodinu po dobu 3 dnů, pak Butrans 20 mcg/hodinu po dobu 3 dnů, pak 2 x Butrans 20 mcg/hodinu po dobu 4 dnů. Hodnocení QTC bylo provedeno během třetího dne Butrans 10 mcg/hodinu a čtvrtého dne 2 x Butrans 20 mcg/hodinu, kdy byly plazmatické hladiny buprenorfinu pro odpovídající dávky v ustáleném stavu [viz viz VAROVÁNÍS AND OPATŘENÍ ].

Neexistoval žádný klinicky smysluplný účinek na průměrný QTC s dávkou Butrans 10 mcg/hodinu. Dávka Butrans 40 mcg/hodina (dána jako dva 20 mcg/hodinu transdermální systémy) prodloužily průměrnou QTC maximálně 9,2 (90% CI: 5,2-13,3) ms v 13 časových bodech hodnocení.

Účinky na endokrinní systém

Opioidy inhibují sekreci adrenokortikotropního hormonu (ACTH) kortizolu a luteinizujícího hormonu (LH) u lidí [viz viz Nežádoucí účinky ]. They also stimulate prolactin growth hormone (GH) secretion a pancreatic secretion of insulin a glucagon.

Použití opioidů po delší dobu může ovlivnit hypothalamicko-hypofýza-gonadální osa vedoucí k nedostatku androgenu, která může projevit jako nízká libido impotence erektilní dysfunkce amenorea nebo neplodnost. Příčinná role opioidů v klinickém syndromu hypogonadismu není známa, protože různé lékařské fyzické životní styl a psychologické stresory, které mohou ovlivnit hladiny gonadálních hormonů, nebyly ve studiích provedených dosud přiměřeně kontrolovány [viz viz viz dosud [viz viz [viz viz [viz viz [viz viz Nežádoucí účinky ].

Účinky na imunitní systém

Ukázalo se, že opioidy mají řadu účinků na složky imunitního systému u modelů in vitro a zvířat. Klinický význam těchto zjištění není znám. Celkově se zdá, že účinky opioidů jsou mírně imunosupresivní.

Koncentrace - vztahy účinnosti

Minimální účinná analgetická koncentrace se bude velmi lišit u pacientů, zejména u pacientů, kteří byli dříve léčeni opioidními agonisty. Minimální účinná analgetická koncentrace buprenorfinu pro každého jednotlivého pacienta se může v průběhu času zvýšit v důsledku zvýšení bolesti rozvoje nového syndromu bolesti a/nebo vývoje analgetické tolerance [viz viz Dávkování a podávání ].

Koncentrace - nežádoucí reakci vztahů

Existuje vztah mezi zvyšováním koncentrace buprenorfinu v plazmě a zvyšováním frekvence nežádových nežádoucích účinků opioidů souvisejících s dávkou, jako jsou zvracení nevolnosti CNS a respirační deprese. U pacientů s tolerantními opioidy může být situace změněna vývojem tolerance vůči nežádoucím účinkům souvisejícím s opioidy [viz [viz Dávkování a podávání ].

Farmakokinetika

Vstřebávání

Každý systém Butrans poskytuje dodávku buprenorfinu po dobu 7 dnů. Ustáleného stavu byl dosažen během první aplikace do 3. dne (viz obrázek 2).

Obrázek 2: Průměrné (SD) koncentrace buprenorfinu po třech po sobě jdoucích aplikacích Butrans 10 mcg/hodinu (n = 36 zdravých subjektů)

Butrans 5 10 a 20 mcg/hour provide dose-proportional total buprenorphine exposures (AUC) following 7-day applications. Butrans single 7-day application a steady-state pharmacokinetic parameters are summarized in Table 7. Plasma buprenorphine concentrations after titration showed no further change over the 60-day period studied.

Tabulka 7: Farmakokinetické parametry Butrans u zdravých subjektů znamená (%CV)

Jedna 7denní aplikace AUCInf (PG • H/ML) CMAX (PG/ML)
Butrans 5 mcg/hodinu 12087 (37) 176 (67)
Butrans 10 mcg/hodinu 27035 (29) 191 (34)
Butrans 20 mcg/hour 54294 (36) 471 (49)
Více 7denních aplikací Auctauss (PG • .H/ML) CMAXSS (PG/ML)
Butrans 10 mcg/hodinu steady-state 27543 (33) 224 (35)

Transdermální studie doručování ukázaly, že neporušená lidská kůže je pro buprenorfin propustná. V klinických farmakologických studiích byla střední doba pro Butrans 10 mcg/hodinu, aby se poskytla kvantifikovatelné koncentrace buprenorfinu (≥ 25 pg/ml), přibližně 17 hodin.

Absolutní biologická dostupnost Butrans vzhledem k IV podání po 7denní aplikaci je přibližně 15% pro všechny dávky (Butrans 5 10 a 20 mcg/hodinu).

Účinky aplikace aplikace

Studie u zdravých subjektů prokázala, že farmakokinetický profil buprenorfinu dodávaný Butrans 10 mcg/hodinu je podobný, když je aplikován na horní horní hruď horní horní části zad nebo na bok hrudníku [viz viz Dávkování a podávání ].

Opětovné použití Butrans 10 mcg/hodinu po různých obdobích odpočinku na stejné místo aplikace u zdravých subjektů ukázalo, že minimální doba odpočinku potřebná k zabránění variabilitě v absorpci léčiva je 3 týdny (21 dní) [Viz viz Dávkování a podávání ].

Účinky tepla

Ve studii zdravých subjektů aplikoval topnou podložku přímo na systému Butrans 10 mcg/hodinu 26% - 55% zvýšení koncentrací krve buprenorfinu. Koncentrace se vrátily do normálu do 5 hodin po odstranění tepla. Z tohoto důvodu pokyn pacientům, aby během opotřebení systému nepoužívali topné podložky přímo na systém Butrans [viz [viz VAROVÁNÍS AND OPATŘENÍ ].

Horečka může zvýšit propustnost kůže, což vede ke zvýšení koncentrací buprenorfinu během léčby Butrans. V důsledku toho jsou febrilní pacienti vystaveni zvýšenému riziku možnosti reakcí souvisejících s Butransem během léčby Butrans. Sledujte pacienty s horečnou nemocí, pokud jde o nepříznivé účinky a zvažte úpravu dávky [viz VAROVÁNÍS AND OPATŘENÍ ]. In a crossover study of healthy subjects receiving endotoxin or placebo challenge during Butrans 10 mcg/hodinu wear the AUC a Cmax were similar despite a physiologic response of mild horečka to endotoxin.

Rozdělení

Buprenorfin je přibližně 96% vázán na plazmatické proteiny hlavně na alfa- a beta-globulin.

Studie IV buprenorfinu prokázaly velký distribuční (přibližně 430 l), což znamená rozsáhlé rozdělení buprenorfinu.

Zdá se, že koncentrace buprenorfinu CSF jsou přibližně 15-25% souběžných plazmatických koncentrací.

Odstranění

Metabolismus

Metabolismus buprenorfinu v kůži po aplikaci Butrans je zanedbatelný.

Buprenorfin primárně podléhá N-dealkylaci N-dealkylací CYP3A4 na norbuprenorfin a glukuronidaci UGT-isoenzymy (hlavně UGT1A1 a 2B7) na buprenorfin 3p-Oâglukuronid. Norbuprenorfin Hlavní metabolit je také glukuronidován (hlavně UGT1A3) před vylučováním.

Norbuprenorfin je jediný známý aktivní metabolit buprenorfinu. Ukázalo se, že se jedná o respirační depresivum u potkanů, ale pouze v koncentracích alespoň 50krát větší než koncentrace pozorovaných po aplikaci na lidi Butrans 20 mcg/hodinu.

Vylučování

Po podání IV buprenorfin a jeho metabolity jsou vylučovány do žluči a vylučují moč.

Po intramuskulárním podání 2 mcg/kg dávky buprenorfinu přibližně 70% dávky bylo vyloučeno ve stolici do 7 dnů. Přibližně 27% bylo vylučováno močí.

Po transdermální aplikaci je buprenorfin eliminován pomocí jaterního metabolismu s následným biliárním vylučováním a renálním vylučováním rozpustných metabolitů. Po odstranění Butrans znamená, že koncentrace buprenorfinu klesají přibližně o 50% během 10-24 hodin následovaným poklesem se zjevným terminálním poločasem přibližně 26 hodin. Protože metabolismus a vylučování buprenorfinu se vyskytuje hlavně prostřednictvím snížení eliminace jater v jaterním průtoku krve vyvolaném některými obecnými anestetiky (např. Halothan) a další léky mohou vést ke snížení míry eliminace jaterního léčiva vedoucího ke zvýšenému plazmatickému koncentraci.

Celková clearance buprenorfinu je u pooperačních pacientů přibližně 55 l/hodina.

Studie interakce léčiva

Účinek inhibitorů CYP3A4

Ve studii interakce léčiva léčiva byla Butrans 10 mcg/hodina (jediná dávka x 7 dní) společně s 200 mg ketoconazolem a silným inhibitorem CYP3A4 nebo ketoconazolem placebem dvakrát denně po dobu 11 dnů a farmakokinetika buprenorfinu byla hodnocena. Koncentrace buprenorfinu v plazmě se během ko-medikace s ketoconazolem 200 mg nehromadily dvakrát denně. Na základě výsledků z této studie se neočekává, že bude ovlivněn spolupracovníkem inhibitorů CYP3A4 během terapie s Butransem [viz viz [viz Lékové interakce ].

Antiretrovirová činidla byla hodnocena pro interakce zprostředkované CYP3A4 se sublingválním buprenorfinem. Inhibitory nukleosidové reverzní transkriptázy (NRTI) a nenukleosidové inhibitory reverzní transkriptázy (NNRTIS) se nezdá, že mají klinicky významné interakce s buprenorfinem. Některé inhibitory proteázy (PI) s inhibiční aktivitou CYP3A4, jako je atazanavir a atazanavir/ritonavir, však vedly ke zvýšeným hladinám buprenorfinu a norbuprenorfinu, když byly buprenorfin a naloxon podány suppačně. CMAX a AUC pro buprenorfin se zvýšili až o 1,6 a 1,9krát a CMAX a AUC pro norbuprenorfin zvýšil až o 1,6 a 2,0krát, když byl s těmito PI podáván sublingvální buprenorfin. Pacienti v této studii uváděli, že zvýšená sedace a příznaky nadbytku opiátu byly zjištěny v po marketingových zprávách o pacientech, kteří dostávají buprenorfin a atazanavir s a bez ritonaviru současně. Je třeba poznamenat, že atazanavir je inhibitor CYP3A4 a UGT1A1. Proto je interakční potenciál léčiva léčiva pro buprenorfin s inhibitory CYP3A4 pravděpodobně závislý na trase podávání a na specificitě inhibice enzymu [viz viz Lékové interakce ].

Vliv induktorů CYP3A4

Interakce mezi buprenorfinem a induktory CYP3A4 nebyla studována.

Konkrétní populace

Věk: geriatričtí pacienti

Po jediné aplikaci Butrans 10 mcg/hodinu až 12 zdravých mladých dospělých (průměrný věk 32 let) a 12 zdravých starších subjektů (průměrný věk 72 let) byl farmakokinetický profil Butrans podobný u zdravých starších a zdravých mladých dospělých subjektů, i když starší subjekty prokázaly bezprostřední koncentraci plazmy. Obě skupiny eliminovaly buprenorfin podobným tempem po odstranění systému [viz Použití v konkrétních populacích ].

Ve studii zdravých mladých subjektů zdravých starších subjektů a starších subjektů léčených thiazidovým diuretiky Butrans při pevném plánu eskalace dávky (Butrans 5 mcg/hodinu po dobu 3 dnů po dobu 3 dnů po dobu 3 dnů po dobu 3 dnů po dobu 3 dnů po dobu 7 dnů) produkoval podobnou průměrnou průměrnou plazmatickou koncentraci. Nebyly zjištěny žádné významné rozdíly mezi skupinami v buprenorfinu CMAX nebo AUC [viz Použití v konkrétních populacích ].

Sex

Při sdružené analýze dat s využitím údajů z několika studií, které podávaly Butrans 10 mcg/hodinu zdravým subjektům, nebyly pozorovány žádné rozdíly v buprenorfinu CMAX a AUC nebo tělesné hmotnosti normalizované CMAX a AUC mezi muži a samicemi ošetřenými Butrany.

Poškození jater

Farmakokinetika buprenorfinu po IV infuze 0,3 mg buprenorfinu byla porovnána u 8 pacientů s mírným poškozením (dítě-pugh A) 4 pacienty se středním poškozením (dětským pugh B) a 12 subjektů s normální jaterní funkcí. Expozice buprenorfinu a norbuprenorfinu se u mírných a mírných pacientů s jaterním poškozením nezvýšily.

Butrans has not been evaluated in patients with severe (Child-Pugh C) hepatic impairment. [see VAROVÁNÍS AND OPATŘENÍ Použití v konkrétních populacích ].

Poškození ledvin

U Butrans nebyly provedeny žádné studie u pacientů s poškozením ledvin.

V nezávislé studii byl vyhodnocen účinek zhoršené funkce ledvin na farmakokinetiku buprenorfinu po IV bolusu a po kontinuální infuzi IV infuze. Bylo zjištěno, že koncentrace buprenorfinu v plazmě byly podobné u pacientů s normální funkcí ledvin a u pacientů se zhoršenou funkcí ledvin nebo selháním ledvin. Při samostatném zkoumání účinku přerušované hemodialýzy na koncentrace plazmy buprenorfinu u pacientů s chronickou bolestí s onemocněním ledvin v konečném stádiu, kteří byli léčeni transdermálním produktem buprenorfinu (prodávané mimo USA), nebyly pozorovány žádné významné rozdíly v plazmových koncentracích buprenorfinu.

Nebyl pozorován žádný pozoruhodný vztah mezi odhadovanou mírou clearance kreatininu a koncentrací buprenorfinu v ustáleném stavu u pacientů během Butransovy terapie.

Klinické studie

Účinnost Butrans byla hodnocena ve čtyřech 12týdenních dvojitých slepých kontrolovaných klinických studiích u pacientů s opioid-na ¯ve a opioidy se středně závažnou až těžkou chronickou bolestí zad nebo osteoartrózou pomocí skóre bolesti jako primární účinnosti. Dvě z těchto studií popsaných níže prokázaly účinnost u pacientů s bolestí zad. Jedna studie o bolesti zad a jedna studie o osteoartróze neprokázala statisticky významnou redukci bolesti ani pro Butrans, ani pro příslušné aktivní komparátory.

12týdenní studie u pacientů s opioid-na ¯ve s chronickou bolestí zad

Celkem 1024 pacientů s chronickou bolestí dolních zad, kteří suboptimálně reagovali na svou nepioidní terapii, do období otevřených dávek titrací vstoupilo až po dobu až čtyř týdnů. Pacienti iniciovali terapii tři dny léčby Butrans 5 mcg/hodinu. Po třech dnech, pokud byly tolerovány nežádoucí účinky, byla dávka zvýšena na Butrans 10 mcg/hodinu. Pokud byly nepříznivé účinky tolerovány, ale nebylo dosaženo přiměřené analgezie, dávka byla zvýšena na Butrans 20 mcg/hodinu po dalších 10-12 dnech. Pacienti, kteří dosáhli odpovídající analgezie a tolerovatelné nežádoucí účinky na Butrans 10 nebo 20 mcg/hodinu Padesát tři procent pacientů, kteří vstoupili do periody titrace s otevřenou značkou, bylo schopno titrovat na tolerovatelnou a účinnou dávku a bylo randomizováno do 12týdenního období dvojitého slepého léčby. Dvacet tři procent pacientů přerušilo v důsledku nežádoucí příhody z období titrace s otevřenou značkou a 14% přerušeno kvůli nedostatku terapeutického účinku. Zbývajících 10% pacientů bylo vypuštěno z různých administrativních důvodů.

Během prvních sedmi dnů byla povolena pacienty s dvojitou slepá léčbou až dvě tablety denně denního uvolňování oxykodonu 5 mg jako doplňkové analgezie, aby se minimalizovala symptomy abstinenčních opioidů u pacientů randomizovaných na placebo. Poté byla doplňková analgezie omezena na acetaminofen 500 mg nebo ibuprofen 200 mg při maximálně čtyřech tabletách denně. Šedesát šest procent pacientů léčených Butrans dokončilo 12týdenní léčbu ve srovnání se 70% pacientů léčených placebem. Z 256 pacientů randomizovaných na Butrans 9% přerušilo kvůli nedostatečné účinnosti a 16% v důsledku nežádoucích účinků. Z 283 pacientů randomizovaných na placebo 13% přerušilo kvůli nedostatečné účinnosti a 7% v důsledku nežádoucích účinků.

Z pacientů, kteří byli randomizovali skóre průměrné bolesti (SE) NRS, byly 7,2 (NULL,08) a 7,2 (NULL,07) při screeningu a 2,6 (NULL,08) a 2,6 (NULL,07) při předpandomizaci (začátek dvojitě slepé fáze) pro skupiny Butrans a placeba.

Skóre průměrné bolesti za posledních 24 hodin na konci studie (12. týden/včasné ukončení) bylo statisticky významně nižší u pacientů léčených Butrany ve srovnání s pacienty léčenými placebem. Podíl pacientů s různým stupněm zlepšení od screeningu do koncového bodu studie je znázorněn na obrázku 3 níže.

Obrázek 3: Procento snižování intenzity bolesti

12týdenní studie u pacientů se zkušenostmi s opioidy s chronickou bolestí dolních zad

Tisíc sto šedesát (1160) pacientů při chronické terapii opioidů (celková denní dávka 30-80 mg morfinového ekvivalentu) vstoupilo do otevřené periody titrace dávky s Butrans po dobu 3 týdnů po zúžení předchozích opioidů. Pacienti iniciovali terapii Butrans 10 mcg/hodinu po dobu tří dnů. Po třech dnech, pokud pacient toleroval nepříznivé účinky, byla dávka zvýšena na Butrans 20 mcg/hodinu po dobu až 18 dnů. Pacienti s přiměřenou analgezií a tolerovatelnými nepříznivými účinky na Butrans 20 mcg/hodinu byli randomizováni, aby zůstali na Butrans 20 mcg/hodinu nebo byli přepnut na kontrolu s nízkou dávkou (Butrans 5 mcg/hodinu) nebo na aktivní kontrolu. Padesát sedm procent pacientů, kteří vstoupili do periody titrace s otevřenou značkou, bylo schopno titrovat a tolerovat nepříznivé účinky Butrans 20 mcg/hodinu a bylo randomizováno do 12týdenní fáze dvojité slepé léčby. Dvanáct procent pacientů přerušilo v důsledku nežádoucí události a 21% přerušeno kvůli nedostatku terapeutického účinku během titračního období s otevřenou značkou.

Během dvojitého slepého období bylo pacientům povoleno užívat ibuprofen (200 mg tablety) nebo acetaminofen (500 mg tablety) každé 4 hodiny podle potřeby pro doplňkovou analgezii (až 3200 mg ibuprofenu a 4 gramy acetaminofenů denně). Šedesát sedm procent pacientů léčených Butrans 20 mcg/hodinu a 58% pacientů léčených Butrans 5 mcg/hodinu dokončilo 12týdenní léčbu. Z 219 pacientů randomizovaných na Butrans 20 mcg/hodinu 11% bylo přerušeno kvůli nedostatku účinnosti a 13% v důsledku nežádoucích účinků. Z 221 pacientů randomizovaných na Butrans 5 mcg/hodinu 24% přerušilo kvůli nedostatečné účinnosti a 6% v důsledku nežádoucích účinků.

Z pacientů, kteří byli schopni být randomizováni v období dvojitě slepého období, bylo průměrné skóre bolesti (SE) NRS 6,4 (NULL,08) a 6,5 ​​(NULL,08) při screeningu a bylo 2,8 (NULL,08) a 2,9 (NULL,08) při pre-frandomizaci (začátek období dvojitého slepého období) pro Butrans 5 Mcg/Hour a Butrans 20 mcg/hodinu.

Skóre průměrné bolesti za posledních 24 hodin ve 12. týdnu bylo statisticky významně nižší u subjektů léčených Butrans 20 mcg/hodinu ve srovnání s subjekty ošetřenými Butrans 5 mcg/hodinu. Vyšší podíl Butrans 20 MCG/hodinových pacientů (49%) měl alespoň 30%snížení skóre bolesti od screeningu na studovaný koncový bod ve srovnání s Butrans 5 MCG/hodinovou (33%). Podíl pacientů s různým stupněm zlepšení od screeningu do koncového bodu studie je znázorněn na obrázku 4 níže.

Obrázek 4: Procento snižování intenzity bolesti

Informace o pacientech pro Butrans

Butrans®
(BYOO-Trans)
(Buprenorfin) Transdermální systém

Butrans is:

  • Silná lék na bolest na předpis, který obsahuje opioid (narkotikum), který se používá k zvládnutí těžké a přetrvávající bolesti, která vyžaduje delší dobu léčby s denní léky proti bolesti opioidů, když jiné léky proti bolesti neléčí vaši bolest dostatečně dobře nebo je nemůžete tolerovat.
  • Dlouho působící (lék na prodloužený uvolňování) opioidů, který vás může vystavovat riziku předávkování a smrti. I když svou dávku vezmete správně podle předepsání, máte ohrožení zneužívání závislosti na opioidech a zneužíváním, které může vést k smrti.
  • Nesmí se brát podle potřeby.

Důležité informace o Butranse:

  • Pokud si vezmete příliš mnoho Butrans (předávkování), získejte nouzovou pomoc nebo zavolejte 911. Když poprvé začnete brát Butrans, když se vaše dávka změní nebo pokud berete příliš mnoho (předávkování) vážným nebo život ohrožujícím dýchacím problémům, které mohou vést k smrti. Promluvte si se svým poskytovatelem zdravotní péče o naloxonu a léku na nouzové zacházení s předávkováním opioidy.
  • Užívání Butrans s jinými opioidními léky benzodiazepiny a alkoholem nebo jinými depresivy centrálního nervového systému (včetně pouličních drog) může způsobit, že problémy s dýcháním povědomí a smrt snižují povědomí a smrt.
  • Nikdy nedávejte nikomu jinému svému Butransovi. Mohli zemřít na to, že to vezme. Prodej nebo rozdávání Butrans je proti zákonu.
  • Ukládejte Butrans bezpečně mimo dohled a dosah dětí a na místě, které nejsou dostupné ostatními, včetně návštěvníků domu.

Nepoužívejte Butrans, pokud máte:

  • Těžké astma problémů s dýcháním nebo jiné problémy plic.
  • blokování střeva nebo zúžení žaludku nebo střev.

Před použitím Butrans vám řekněte poskytovatele zdravotní péče, pokud máte historii:

  • Záchvaty zranění hlavy
  • Problémy se štítnou žlázou v játrech
  • problémy močení
  • Problémy s břišní nebo žlučníkem
  • Problémy s rytmem krbu (dlouhý qt syndrom)
  • Zneužívání léků na ulici nebo na předpis závislosti na předávkování opioidy nebo duševního zdraví

Sdělte svému poskytovateli zdravotní péče, pokud jste:

  • Všimněte si, že se vaše bolest zhoršuje. Pokud se vaše bolest zhoršuje poté, co si vezmete Butrans, ne více Butrans, aniž byste nejprve mluvili s poskytovatelem zdravotní péče. Promluvte si se svým poskytovatelem zdravotní péče, pokud bolest, kterou se zvyšuje, pokud se cítíte citlivější na bolest nebo pokud máte novou bolest po přijetí Butrans.
  • mít horečku
  • těhotná nebo plánování otěhotnění. Použití Butrans po delší dobu během těhotenství může u vašeho novorozeného dítěte způsobit abstinenční příznaky, které by mohly být život ohrožující, pokud by nebyly uznány a léčeny.
  • kojení. Nedoporučuje se během léčby Butrans. Může to poškodit vaše dítě.
  • žijící v domácnosti, kde jsou malé děti nebo někdo, kdo zneužil léky na ulici nebo na předpis.
  • užívají na předpis nebo volně prodejné léky vitamíny nebo bylinné doplňky. Butrans s některými dalšími léky může způsobit vážné vedlejší účinky.

Při používání Butrans:

  • Neměňte svou dávku. Použijte Butrans přesně tak, jak je předepsán poskytovatelem zdravotní péče. Použijte nejnižší efektivní dávku po nejkratší potřebnou dobu.
  • Podrobné pokyny pro použití informací o tom, jak použít Butrans Patch.
  • Pokud je těsnění váčka narušeno nebo je náplast, neaplikujte náplast Butrans nebo je jakýkoli způsob, jak je náplast poškozeno nebo změněno.
  • Neaplikujte více než 1 záplatu současně, pokud vám to neřekne váš poskytovatel zdravotní péče.
  • Měli byste nosit 1 Butrans Patch nepřetržitě po dobu 7 dnů.
  • Pokud dávka, kterou používáte, zavolejte svému poskytovateli zdravotní péče, nekontroluje vaši bolest.
  • Nepřestávejte používat Butrans, aniž byste mluvili s poskytovatelem zdravotní péče.
  • Použitím jednotky pro dispulaci záplaty vypršela nežádoucí nebo nevyužitá Butrans. Alternativně lze Butrans zlikvidovat skládáním náplasti na polovinu a okamžitě propláchnutím toalety, pokud není možné snadno dostupné možnosti zpětného odběru léčiva [viz pokyny pro použití]. Navštivte další informace o likvidaci nevyužitých léčiv.

Při používání Butrans ne:

  • Využijte horké koupelny nebo opalování používejte horké vany sauny topné podložky elektrické přikrývky vyhřívané vodní lože nebo opalovací lampy. To může způsobit předávkování, které může vést k smrti.
  • Řídit nebo provozovat těžké stroje, dokud nevíte, jak vás Butrans ovlivňuje. Butrans vás může způsobit, že ospalý závratě nebo zlehčený.
  • Pijte alkohol nebo používejte předpis nebo volně prodejné léky obsahující alkohol. Použití produktů obsahujících alkohol během léčby Butrans může způsobit předávkování a zemřít.

Možné vedlejší účinky Butrans jsou: zácpa nevolnost sleepiness zvracení tiredness headache závrať itching redness or rash where the patch is applied. Call your healthcare provider if you have any of these symptoms a they are severe.

Pokud máte:

  • potíže s dýchání dušnost rychlého srdečního rytmu na hrudi bolest na hrudi otok vašeho obličeje jazyka nebo krk extrémní ospalost při změně poloh, když se cítí slabá agitace Vysoká tělesná teplota Potíže s tuhými svaly nebo mentální změny, jako je zmatek.

Nejedná se o všechny možné vedlejší účinky Butrans. Zavolejte svému poskytovateli zdravotní péče o lékařskou pomoc o vedlejších účincích. Můžete nahlásit vedlejší účinky FDA na 1-800-FDA-1088. Pro více informací najdete na dailymymed.nlm.nih.gov distribuované: Purdue Pharma L.P. Stamford CT 06901-3431 www.purduepharma.com nebo zavolejte na číslo 1-888-726-7535

Pokyny pro použití

Butrans®
(BYOO-Trans) CIII (buprenorphine) Transdermal System

Před použitím Butrans se ujistěte, že si přečtete porozumění a postupujte podle těchto pokynů. Pokud máte nějaké dotazy, promluvte si se svým poskytovatelem zdravotní péče nebo lékárníkem.

Před použitím Butrans:

  • Do not use soap alcohol lotions oils or other products to remove any leftover adhesive from a patch because this may cause more BUTRANS to pass through the skin.
  • Každá náplast je utěsněna ve svém vlastním ochranném pouzdře. Neodstraňujte náplast z pouzdra, dokud nebudete připraveni ji použít.
  • Pokud je těsnění na ochranném sáčku rozbité nebo pokud je náplast jakýmkoli způsobem přerušena nebo změněna, nepoužívejte náplast.
  • Butrans patches are available in different strengths a patch sizes. Make sure you have the right strength patch that has been prescribed for you.

Kde použít Butrans:

  • Butrans should be applied to the Horní vnější rameno horní hrudní horní část zad nebo bok hrudníku (viz obrázek A) . Tyto 4 místa (umístěné na obou stranách těla) poskytují 8 možných aplikačních webů Butrans.

Obrázek a

  • Neaplikujte více než 1 záplatu současně, pokud vám to lékař neřekne. Pokud vám však váš poskytovatel zdravotní péče řekne, že tak učiníte, můžete použít 2 záplaty, jak jsou předepsány na stejném webu (viz obrázek A pro aplikační stránky) hned vedle sebe (viz obrázek B pro příklad polohy záplaty při aplikaci 2 záplaty). Vždy naneste a odstraňte obě náplasti dohromady současně.

Obrázek b

  • Před opětovným použitím stejného místa kůže byste měli změnit místo kůže, kde používáte Butrans každý týden a ujistit se, že nejméně 3 týdny (21 dní) projde.
  • Naneste Butrans na bezsrsté nebo téměř bezsrsté místo. V případě potřeby můžete vlasy oříznout na místě kůže (viz obrázek C). Neholte oblast. Místo kůže by nemělo být podrážděno. K vyčištění místa aplikace použijte pouze vodu. Neměli byste používat mýdla alkoholické oleje nebo abrazivní zařízení. Než aplikujete náplast, nechte pokožku zaschnout.

Obrázek c

  • Místo kůže by mělo být bez řezů a podráždění (vyrážky otoky nebo jiné kožní problémy).

Kdy použít novou opravu:

  • Když použijete novou opravu, zapište datum a čas, kdy je oprava použita. Použijte toto k zapamatování, kdy by měla být oprava odstraněna.
  • Po použitě změňte opravu ve stejnou denní dobu jeden týden (přesně 7 dní).
  • Po odstranění a likvidaci opravy zapište čas, kdy byla odstraněna a jak byla zlikvidována.

Jak aplikovat Butrans:

  • Pokud máte na sobě náplast, nezapomeňte ji před nanesením nového odstranit.
  • Každá náplast je utěsněna ve svém vlastním ochranném pouzdře.
  • Pokud používáte dvě záplaty, nezapomeňte je použít na stejném webu hned vedle sebe. Vždy naneste a odstraňte obě náplasti dohromady současně.
  • Použijte nůžky k oříznutí váčku podél tečkované čáry (viz obrázek D) a odstranění náplasti. Neodstraňujte náplast z pouzdra, dokud nebudete připraveni ji použít. Nepoužívejte záplaty, které byly nijak přerušeny nebo poškozeny.

Obrázek d

  • Držte náplast s ochrannou vložkou směřující k vám.
  • Jemně ohněte náplast (viz obrázky E a F) podél slabé čáry a pomalu loupá větší část vložky, která zakrývá lepicí povrch náplasti.

Obrázek e

Obrázek f

  • Nedotýkejte se lepivé strany náplasti prsty.
  • Použití menší části ochranné vložky jako rukojeti (viz obrázek G) naneste lepivou stranu náplasti na jednu z 8 umístěných tělesných míst popsaných výše (viz, kde použít Butrans).

Obrázek g

  • Zatímco stále drží lepivou stranu dolů, jemně složte menší část náplasti. Uchopte okraj zbývající ochranné vložky a pomalu ji odlupujte (viz obrázek H).

Obrázek h

  • Stiskněte celou záplatu pevně na místo s dlaní (viz obrázek I) vaší ruky přes náplast po dobu asi 15 sekund. Netřít náplast.

Obrázek i

  • Ujistěte se, že náplast pevně drží na pokožce.
  • Projděte okraje prsty, abyste zajistili dobrý kontakt kolem náplasti.
  • Pokud používáte dvě záplaty, postupujte podle kroků v této části a použijte je hned vedle sebe.
  • Po nanesení nebo manipulaci s náplastí si vždy umyjte ruce.
  • Poté, co je oprava aplikována, zapište datum a čas, kdy je oprava aplikována. Použijte toto k zapamatování, kdy by měla být oprava odstraněna.

Pokud náplast spadne okamžitě po nanesení toho, že ho odhodí a nasadíte novou na jiném místě kůže (viz likvidace Butrans Patch).

Pokud náplast spadne, nedotýkejte se lepivé strany náplasti prsty. Na jiné místo by měla být použita nová oprava. Záplaty, které spadnou, by neměly být znovu použity. Musí být správně vyhozeny.

Krátkodobá expozice náplasti Butrans na vodě, například při koupání nebo sprchování.

Pokud se okraje Butransovy náplasti začnou uvolňovat:

  • Naneste pásku první pomoci pouze na okraje náplasti.
  • Pokud problémy s náplastí, které nelepí, pokračujte v pokrytí náplasti speciálními lepicími dresinami (například biokluzivní nebo tegaderm).
    • Vyjměte podložku z průhledného lepicího obvazu a opatrně ji umístěte přes Butransovu náplast, která ji vyhladí přes náplast a pokožku.
  • Nikdy nepokryjte náplast Butrans žádnou jinou obvaz nebo páskou. Měl by být pokryt pouze zvláštním průhledným lepidlem. Promluvte si se svým poskytovatelem zdravotní péče nebo lékárníkem o druzích oblékání, které by měly být použity.

Pokud vaše záplata spadne později, ale před 1 týdnem (7 dní) použití ji správně vyhodíte (viz likvidaci Butrans Patch) a naneste novou náplast na jiném místě kůže. Nezapomeňte dát svému poskytovateli zdravotní péče vědět, že k tomu došlo. Novou opravu nenahrazujte až do 1 týdne (7 dní) poté, co ji nasadíte (nebo podle pokynů poskytovatele zdravotní péče).

Likvidace Butrans Patch:

Butrans patches should be disposed of by using the Patch-Disposal Unit. Alternatively the patches can be flushed down the toilet if a drug take-back option is not readily available.

Pro zlikvidování Butransových záplat v odpadcích domácnosti pomocí jednotky pro dispulaci náplasti:

Odstraňte opravu a postupujte podle pokynů vytištěných na jednotce odissosané jednotky (viz obrázek J) nebo viz kompletní pokyny níže. Pro každou opravu použijte jednu jednotku pro dispulaci záplaty.

Obrázek J.

1. Oloupejte linii likvidace jednotky, aby se ukázala lepicí povrch (viz obrázek k).

Obrázek k

2. Umístěte lepivou stranu použité nebo nepoužité záplaty do uvedené oblasti na likvidační jednotce (viz obrázek L).

Obrázek l

3. Zavřete jednotku likvidace složením lepivých stran dohromady (viz obrázek M). Pevně ​​a hladce stiskněte přes celou jednotku likvidace tak, aby byla náplast utěsněna.

Obrázek m

4. Uzavřená jednotka uzavřené likvidace s náplastí utěsněnou uvnitř může být zahozena do koše (viz obrázek n).

Obrázek n

Nepřinášejte nežádoucí nebo nevyužité skvrny do odpadků pro domácnost, aniž byste je nejprve utěsnili v náplavičkové jednotce.

Vždy odstraňte zbylé skvrny z jejich ochranného sáčku a vyjměte ochrannou vložku. Pouzdro a vložku mohou být zlikvidovány samostatně v koši a neměly by být utěsněny v jednotce disposální náplasti.

Chcete -li spláchnout své Butrans skvrny po toaletě:

Odstraňte náplast Butrans Slops lepivé strany použité náplasti dohromady a okamžitě ji propláchněte (viz obrázek O).

Obrázek o

Při likvidaci nepoužitých Butransových záplat již nepotřebujete Vyjměte zbylé skvrny z jejich ochranného sáčku a vyjměte ochrannou vložku. Složte skvrny na polovinu s lepivými stranami dohromady a propláchněte náplasti dolů na toaletu.

Neplachovejte váček ani ochrannou vložku po toaletě. Tyto položky mohou být vyhozeny do koše.

Pokud nechcete propláchnout použitý náplast po toaletě a if there is not a drug take-back option readily available you must use the Patch-Disposal Unit provided to you to discard the patch.

Nikdy vložte použité náplasti Butrans do koše, aniž byste je nejprve utěsnili v jednotce disposální náplasti.

Tyto pokyny pro použití byly schváleny americkou správou potravin a léčiv.