Informace Na Stránce Nepředstavují Lékařskou Radu. Nic Neprodáváme. Přesnost Překladu Není Zaručena. Zřeknutí Se Odpovědnosti



Lamisil

Shrnutí drog

Co je Lamisil?

Lamisil (Terbinafin Hydrochlorid) je antimykotikum a antibiotikum používané k léčbě infekcí způsobených houbami, které ovlivňují nehty nebo nehty (onychomykóza). Orální granule se používají k léčbě plísňové infekce vlasových folikulů na hlavě u dětí, ve kterých jsou nejméně 4 roky. Lamisil je k dispozici v obecný formulář.

Jaké jsou vedlejší účinky lamisilu?

Lamisil může způsobit vážné vedlejší účinky včetně:



  • Změny ve vašem smyslu pro chuť nebo vůni
  • depresivní nálada
  • problémy se spánkem
  • Nedostatek zájmu o každodenní činnost
  • Cítím se úzkostně nebo neklidný
  • bledá kůže
  • Snadné modřiny
  • Neobvyklé krvácení (nosní ústa vagína nebo konečník)
  • fialové nebo červené skvrny pod kůží
  • otok
  • rychlý přírůstek na váze
  • malé nebo žádné močení
  • krev ve vaší moči nebo stolici
  • hubnutí v důsledku změn chuti nebo ztráty chuti k jídlu
  • nevolnost
  • Bolest horního žaludku
  • zvracení
  • únava
  • Tmavá moč
  • hliněné stoličky
  • žloutnutí kůže nebo očí ( žloutenka )
  • vředy a
  • Vyrážka kůže ve tvaru motýla na tvářích nebo nose, která se zhoršuje na slunci

Získejte lékařskou pomoc okamžitě, pokud máte výše uvedené příznaky.



Mezi běžné vedlejší účinky lamisilu patří

  • průjem
  • žaludek
  • plyn
  • nevolnost
  • bolest žaludku
  • průjem
  • bolest hlavy
  • závrať
  • pocity točení
  • Mírná vyrážka kůže
  • svědění nebo
  • Dočasná neobvyklá nebo nepříjemná chuť nebo ztráta chuti v ústech.

Dávkování pro lamisil

Pro léčbu onychomykózy o nehtu je dávka lamisilu jedna tableta 250 mg jednou denně po dobu 6 týdnů. U nohou onychomykózy vezměte jeden tablet 250 mg jednou denně po dobu 12 týdnů.



Jaké léky nebo doplňky interagují s lamisilem?

Lamisil může interagovat s cimetidinem rifampinem Ostatní antimykotiky Antibiotiky Řetící krve Řetí srdečních rytmů Antidepresivy MAO inhibitory (MAOI) nebo beta-blokátory. Řekněte svému lékaři všechny léky, které používáte.

Lamisil během těhotenství a kojení

Během těhotenství by mělo být lamisil používáno pouze tehdy, když je předepsáno. Léčba plísňové infekce nehtů může obvykle čekat, až budete mít své dítě. Tento lék prochází do mateřského mléka a může mít nežádoucí účinky na kojící dítě. Kojení se při používání tohoto léčiva nedoporučuje.

Další informace

Naše lamisil (terbinafin -hydrochlorid) vedlejší účinky lékové centrum poskytuje komplexní pohled na dostupné informace o možných vedlejších účincích při užívání tohoto léku.

Informace o drogách FDA

Popis pro Lamisil

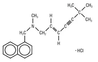
Tablety Lamisil obsahují syntetický allylaminový antifungální sloučenina terbinafinu hydrochloridu. Chemicky chemicky terbinafin hydrochlorid je (e) -n- (66-dimethyl-2-hepten-4-yyl) -n-methyl-1- naftalenemethanamin hydrochlorid. Empirický vzorec C 21 H 26 CIN s molekulovou hmotností 327,90 a následující strukturální vzorec:

Terbinafin Hydrochlorid je bílý až bílý jemný krystalický prášek. Je volně rozpustný u methanolu a methylenchloridu rozpustný v ethanolu a mírně rozpustný ve vodě.

Každý tablet obsahuje:

Aktivní složky: Terbinafin Hydrochlorid (ekvivalent s 250 mg bází)

Neaktivní ingredience: Koloidní křemíkový oxid NF hydroxypropylmethylcelulóza USP hořčík Stearát NF mikrokrystalická celulóza NF a sodný škrob glykolát NF.

Použití pro lamisil

Tablety lamisil (terbinafin hydrochlorid) jsou indikovány pro léčbu onychomykózy nehtu nebo nehtu v důsledku dermatofytů (Tinea ungium).

Před zahájením léčby by se měly být získány vhodné vzorky nehtů pro laboratorní testování [hydroxid draselný (KoH) Plísňová kultura nebo biopsie nehtů], aby se potvrdila diagnóza onychomykózy.

Dávkování pro lamisil

Nehty onychomykózy: Jeden tablet 250 mg jednou denně po dobu 6 týdnů.

Onychomykóza nehty: Jeden tablet 250 mg jednou denně po dobu 12 týdnů.

Optimální klinický účinek je pozorován několik měsíců po mykologické léčbě a zastavení léčby. Toto je související s obdobím potřebným pro růst zdravého nehtu.

Jak dodáno

Formy a silné stránky dávkování

Tablet 250 mg bílá až žlutě zbarvená bílá kruhová bi-konvexní zkosená tablety potištěná lamisilem v kruhové formě na jedné straně a kódem 250 na druhé straně.

Skladování a manipulace

Lamisil tablety jsou dodávány jako bílé až žlutě zbarvené bílé kruhové bi-konvexní zkosené tablety obsahující 250 mg terbinafinu potištěného lamisilem v kruhové formě na jedné straně a kód 250 na druhé straně.

Lahve 100 tablet NDC 0078-0179-05
Láhve 30 tablet NDC 0078-0179-15

Ukládat lamisilové tablety pod 25 ° C (77 ° F); v těsném kontejneru. Chránit před světlem.

Distribuováno od: Novartis Pharmaceuticals Corporation East Hanover New Jersey 07936. Revidováno: Feb 2015

Vedlejší účinky for Lamisil

Zkušenosti z klinických studií

Protože klinické studie se provádějí za široce měnících se podmínek, nelze nežádoucí reakce v klinických studiích léčiva, nelze přímo porovnat s mírami v klinických studiích jiného léčiva a nemusí odrážet míru pozorované v praxi.

Nejčastěji hlášené nežádoucí účinky pozorované ve 3 US/kanadských placebem kontrolovaných pokusech jsou uvedeny v níže uvedené tabulce. Nepříznivé události uváděly, že zahrnují gastrointestinální symptomy (včetně průjmu dyspepsie a bolesti břicha) jaterní testuje abnormality vyrážky v kolísách a narušení chuti. Změny v oční čočce a sítnici byly hlášeny po použití lamisilových tablet v kontrolovaných pokusech. Klinický význam těchto změn není znám. Obecně byly nežádoucí účinky mírné přechodné a nevedly k přerušení od účasti studie.

Nežádoucí událost Přerušení
Lamisil tablety (%)
n = 465
Placebo (%)
n = 137
Lamisil tablety (%)
n = 465
Placebo (%)
n = 137
Bolest hlavy 12.9 9.5 0.2 0.0
Gastrointestinální příznaky:
Průjem 5.6 2.9 0.6 0.0
Dyspepsia 4.3 2.9 0.4 0.0
Bolest břicha 2.4 1.5 0.4 0.0
Nevolnost 2.6 2.9 0.2 0.0
Nadýmání 2.2 2.2 0.0 0.0
Dermatologické příznaky:
Vyrážka 5.6 2.2 0.9 0.7
Pruritus 2.8 1.5 0.2 0.0
Urticaria 1.1 0.0 0.0 0.0
Abnormality jaterních enzymů* 3.3 1.4 0.2 0.0
Chuť narušení 2.8 0.7 0.2 0.0
Narušení vizuálního vizuálního rušení 1.1 1.5 0.9 0.0
*Abnormality jaterních enzymů ≥ 2x Horní hranice normálního rozsahu.

Zážitek z postmarketingu

Během použití lamisilových tablet byly identifikovány následující nežádoucí účinky. Protože tyto události jsou hlášeny dobrovolně z populace nejisté velikosti, není vždy možné spolehlivě odhadnout jejich frekvenci nebo vytvořit příčinný vztah k expozici léčiva.

Poruchy krve a lymfatického systému: Pancytopenia Agranulocytóza těžká neutropenie trombocytopenie anémie [viz viz Varování a OPATŘENÍ ]

Poruchy imunitního systému: Vážné reakce přecitlivělosti např. Angioedém a alergické reakce (včetně anafylaxe) srážení a exacerbace kožního a systémového lupus erythematosus [viz viz Varování a OPATŘENÍ ] Reakce podobná nemoci v séru

Psychiatrické poruchy: Při použití lamisilových tablet byly hlášeny úzkost a depresivní příznaky nezávislé na narušení chuti. V některých případech bylo hlášeno, že depresivní příznaky ustupují s přerušením terapie a opakují se s obnovením terapie [viz viz Varování a OPATŘENÍ ].

Poruchy nervového systému: Případy narušení chuti včetně ztráty chuti byly hlášeny při použití lamisilových tablet. To může být dostatečně závažné, aby mělo za následek sníženou úzkost na hmotnost potravy a depresivní příznaky. Při použití lamisil tablet byly hlášeny případy narušení vůně včetně ztráty vůně [viz Varování a OPATŘENÍ ]. Cases of paresthesia a hypoesthesia have been reported with the use of Lamisil tablety.

Poruchy očí: Vady zorného pole snížily ostrost zraku

Poruchy ucha a labyrintu: Poškození sluchu Vertigo Tinnitus

Cévní poruchy: Vaskulitida

Gastrointestinální poruchy: Zvracení pankreatitidy

Hepatobiliární poruchy: Případy selhání jater, které vedou k transplantaci jater nebo smrti [viz Varování a OPATŘENÍ ] Idiosynkratické a symptomatické poškození jater. Případy cholestázy hepatitidy a zvýšených jaterních enzymů [viz viz Varování a OPATŘENÍ ] byly vidět s použitím lamisilových tablet.

Poruchy kůže a podkožní tkáně: Vážné reakce na kůži [např. Stevens-Johnsonův syndrom Toxický epidermální nekrolýza Erythema Multiforme Exfoliativní dermatitida bulózní dermatitida a reakce léčiva s eozinofilií a syndrom symndromů (oblékání)] [Viz viz syndrom] [viz syndrom]] [Viz syndrom]] [Viz syndrom]] [viz syndrom]] [viz syndrom]] [viz syndrom]] [viz syndrom]] [viz syndrom symptomů (šaty) Varování a OPATŘENÍ ] akutní generalizovaná exanthematózní pustulosis psoriasiformní erupce nebo exacerbace psoriázy fotocitlivosti Reakce vypadávání vlasů

Poruchy muskuloskeletální a pojivové tkáně: Rhabdomyolýza Artralgia Myalgia

Obecné poruchy a podmínky správy na místě: Malářská únava chřipková nemoc podobná nemoc pyrexie

Vyšetřování: Změněné protrombinové doba (prodloužení a redukce) u pacientů byla hlášena doprovázená warfarin a zvýšená kreatin fosfokináza krevního kreatinu v krvi byla hlášena

Lékové interakce for Lamisil

Interakce léčiva

Nadarmo studies have shown that terbinafine is an inhibitor of the CYP450 2D6 isozyme. Drugs predominantly metabolized by the CYP450 2D6 isozyme include the following drug classes: tricyclic antidepressants selective serotonin reuptake inhibitors beta-blockers antiarrhythmics class 1C (e.g. flecainide and propafenone) and monoamine oxidase inhibitors Type B. Coadministration of Lamisil Tablets should be done with careful monitoring and may require a reduction in dose of the 2D6- metabolized drug. In a study to assess the effects of terbinafine on desipramine in healthy volunteers characterized as normal metabolizers the administration of terbinafine resulted in a 2-fold increase in Cmax and a 5-fold increase in area under the curve (AUC). In this study these effects were shown to persist at the last observation at 4 weeks after discontinuation of Lamisil Tablets. In studies in healthy subjects characterized as extensive metabolizers of Dextromethorphan (Antitussivní substrát léčiva a sondy CYP2D6) Terbinafin zvyšuje poměr metabolitu metabolitu dextromethorphanu/dextrorfan v moči o 16 až 97krát v průměru. Terbinafin tak může přeměnit rozsáhlé metabolizátory CYP2D6 na špatný stav metabolizátoru.

In vitro Studie s mikrozomy lidských jater ukázaly, že terbinafin neinhibuje metabolismus tolbutamidového ethinylestradiolu ethoxycoumarin cyklosporin a fluvastatin. Nadarmo Studie interakce léčiva léčiva provedené u zdravých dobrovolnických subjektů ukázaly, že terbinafin neovlivňuje clearance antipyrinu nebo digoxinu. Terbinafin snižuje clearance kofeinu o 19%. Terbinafin zvyšuje clearance cyklosporinu o 15%.

Vliv terbinafinu na farmakokinetiku flukonazol cotrimoxazolu (trimethoprim a sulfamethoxazol) zidovudin nebo theofylin nebyl považován za klinicky významný.

Souběžné podávání jedné dávky flukonazolu (100 mg) s jednou dávkou terbinafinu vedlo k 52% a 69% zvýšení terbinafinu CMAX a AUC. Flukonazol je inhibitor enzymů CYP2C9 a CYP3A. Na základě tohoto zjištění je pravděpodobné, že jiné inhibitory CYP2C9 a CYP3A4 (např. Ketoconazol amiodarone) mohou také vést k podstatnému zvýšení systémové expozice (CMAX a AUC) terbinafinu.

U pacientů došlo k spontánní zprávě o zvětšení nebo zkrácení doby protrombinu u pacientů doprovázející perorální terbinafin a warfarin, ale příčinný vztah mezi tablety lamisilu a těmito změnami nebyl stanoven.

Clearance terbinafinu je zvýšena o 100% pomocí induktoru enzymu rifampin A a inhibitoru enzymu CYP450 inhibitor inhibitoru CYP450. Cyklosporin není ovlivněna clearance terbinafinu. Neexistují žádné informace z adekvátních studií interakce léčiva léčiva s následujícími třídami léčiv: orální antikoncepční hormonální náhradní terapie hypoglykemiky fenytoiny thiazidové diuretiky a blokátory vápníkových kanálů.

Interakce potravin

Bylo provedeno vyhodnocení účinku potravy na tablety Lamisil. Když byly tablety lamisilu podávány s potravinami o méně než 20% AUC AUC Terbinafinu. Lamisil tablety lze užívat s jídlem nebo bez něj.

Varování pro Lamisil

Zahrnuto jako součást OPATŘENÍ sekce.

Opatření pro Lamisil

Hepatotoxicita

Případy selhání jater, které vedou k transplantaci jater nebo smrt jater, došlo k použití lamisilových tablet u jedinců s a bez existujícího onemocnění jater.

Ve většině případů jater hlášených ve spojení s použitím lamisilových tablet měli pacienti vážné základní systémové stavy. Závažnost jaterních příhod a/nebo jejich výsledku může být horší u pacientů s aktivním nebo chronickým onemocněním jater. Léčba tabletami lamisilů by měla být přerušena, pokud se vyvine biochemický nebo klinický důkaz o poškození jater.

Lamisil tablety are not recommended for patients with chronic or active liver disease. Before prescribing Lamisil tablety liver function tests should be performed since hepatotoxicity may occur in patients with a without pre-existing liver disease. Periodic monitoring of liver function tests is recommended. Lamisil should be immediately discontinued in case of elevation of liver function tests. Patients prescribed Lamisil tablety should be warned to report immediately to their physician any symptoms of persistent nevolnost anorexia fatigue zvracení right upper abdominal pain or žloutenka Tmavá moč or pale stools. Patients with these symptoms should discontinue taking oral terbinafine a the patient’s liver function should be immediately evaluated.

Chuť narušení Including Loss of Taste

Narušení chuti včetně ztráty chuti bylo hlášeno při použití lamisilových tablet. To může být dostatečně závažné, aby mělo za následek sníženou úzkost na hmotnost potravy a depresivní příznaky. Narušení chuti se může vyřešit během několika týdnů po přerušení léčby, ale může být prodlouženo (delší než 1 rok) nebo může být trvalé. Pokud dojde k příznakům narušení chuti, měly by být přerušeny tablety lamisil.

Narušení vůně včetně ztráty vůně

Narušení vůně včetně ztráty vůně bylo hlášeno při použití lamisilových tablet. Porucha vůně se může po přerušení léčby vyřešit, ale může být prodloužena (delší než 1 rok) nebo může být trvalá. Pokud dojde k příznakům narušení vůně, měly by být přerušeny tablety lamisil.

Depresivní příznaky

Během postmargovacího používání lamisil tabletů došlo k depresivním příznakům. Předepisující by měli být upozorněni na vývoj depresivních symptomů a pacienti by měli být instruováni, aby jejich lékaři hlásili depresivní příznaky.

Hematologické účinky

V kontrolovaných klinických studiích bylo pozorováno přechodné snížení absolutního počtu lymfocytů (ALC). V placebem kontrolovaných pokusech 8/465 subjektů přijímajících tablety lamisilů (NULL,7%) a 3/137 subjektů přijímajících placebo (NULL,2%) mělo pokles v ALC pod 1000/mm3 při 2 nebo více příležitostech. U pacientů se známým nebo podezřením na imunodeficienci by měli lékaři zvážit sledování úplného počtu krve, pokud léčba pokračuje déle než 6 týdnů. Byly hlášeny případy těžké neutropenie. Ty byly reverzibilní po přerušení lamisilových tablet s podpůrnou terapií nebo bez ní. Pokud dojde k klinickým příznakům a příznakům naznačujícím sekundární infekci, měl by být získán úplný krevní počet. Pokud je počet neutrofilů ≤ 1 000 buněk/mm³ lamisil tablety a zahájí podpůrné řízení.

Vážné reakce kůže/přecitlivělosti

Došlo k ponorkovým zprávám o závažných reakcích kůže/hypersenzitivity [např. Stevens-Johnson Syndrom Toxický epidermální nekrolýza Erythema Multiforme Exfoliativní dermatitida Bulózní dermatitida a reakce na léčiva s reakcí na drogy s reakcí eosinofilie a syndrom systémových symptomů (šaty)]. Projevy syndromu šaty mohou zahrnovat kožní reakci (jako je vyrážka nebo exfoliativní dermatitida) eozinofilie a jedna nebo více komplikací orgánů, jako je hepatitida pneumonitida nefritidy myokarditida a perikarditida. Pokud by progresivní vyrážka nebo příznaky/příznaky/příznaky výše uvedených lékových reakcí došlo k léčbě tabletami lamisilů.

Wolf Erythematosus

Během postmarketingového zážitku byly u pacientů užívajících lamisilové tablety hlášeny srážení a exacerbace kožního a systémového lupus erythematosus. Tablety Lamisil by měly být u pacientů s klinickými příznaky a symptomy naznačovány, což naznačuje lupus erythematosus.

Laboratorní monitorování

Měření sérových transamináz (ALT a AST) se doporučuje pro všechny pacienty před přijetím lamisilových tablet.

Informace o poradenství pro pacienta

Vidět Označování pacienta schváleného FDA ( Informace o pacientu )

Pacienti, kteří užívají tablety Lamisil, by měli dostávat následující informace a pokyny:

  • Poraďte se s pacienty, aby se okamžitě hlásili svému lékaři nebo získali nouzovou pomoc, pokud zažijí některý z následujících příznaků: úly ústa v ústech puchýře a loupání otoku obličeje jazyka nebo krku obtížnosti polykání nebo dýchání. Ošetření lamisil tablety by mělo být přerušeno.
  • Poraďte se pacientům, aby svému lékaři okamžitě hlásili jakékoli příznaky přetrvávající nevolnosti únavy anorexie zvracení pravé horní břišní bolesti žloutenky tmavé moči nebo bledých stolic. Ošetření lamisil tablety by mělo být přerušeno.
  • Doporučujte pacientům, aby svým lékařem podávali zprávy o narušení vůně narušení chuti a/nebo depresivních symptomů Erupce kožní erupce zvětšení lymfatických uzlin Erythema Ztráta ztráty pigmentu a neobvyklé fotocitlivosti, která může vést k vyrážce. Ošetření lamisil tablety by mělo být přerušeno.
  • Doporučují pacientům, aby minimalizovali expozici přírodnímu a umělému slunečnímu světlu (solárny nebo léčba UVA/B) při použití tablet lamisilů.
  • Doporučujte pacientům, že pokud zapomenou vzít tablety Lamisil, aby si vzali tablety, jakmile si pamatují, pokud to není méně než 4 hodiny před tím, než je splatná další dávka. Poraďte pacientům, aby zavolali svému lékaři, pokud vezmou příliš mnoho lamisilových tablet.

Neklinická toxikologie

Zhodnocení mutageneze karcinogeneze plodnosti

V 28měsíční studii orální karcinogenity u potkanů ​​bylo pozorováno zvýšení výskytu nádorů jater u mužů při nejvyšší dávce testované 69 mg/kg/den (2x MRHD na základě AUC srovnání mateřského terbinafinu); Přestože toxicita omezující dávku nebyla dosažena při nejvyšší testované dávce, vyšší dávky nebyly testovány.

Výsledky různých in vitro (mutace v E. coli a S. Typhimurium Oprava DNA v mutagenitě hepatocytů potkana u fibroblastů čínského křečka chromozomové aberace a výměny sesterské chromatidy v plicních buňkách čínského křečka) a buňky) a) a nadarmo (Chromozomová aberace u čínských křečků Microlukleus test u myší) testy genotoxicity nedaly žádný důkaz mutagenního nebo klastogenního potenciálu.

Orální reprodukční studie u potkanů ​​v dávkách až do 300 mg/kg/den (přibližně 12x MRHD na základě srovnání BSA) neodhalily žádné specifické účinky na plodnost nebo jiné reprodukční parametry. Intravaginální aplikace hydrochloridu terbinafinu při 150 mg/den u těhotných králíků nezvýšila výskyt potratů nebo předčasných dodávek ani neovlivnilo parametry plodu.

Použití v konkrétních populacích

Těhotenství

Těhotenství Category B

Neexistují žádné adekvátní a dobře kontrolované studie u těhotných žen. Protože studie reprodukce zvířat nejsou vždy prediktivní vůči reakci na člověka a protože léčba onychomykózy může být odložena až po dokončení těhotenství, doporučuje se, aby tablety lamisilu nebyly zahájeny během těhotenství.

Studie ústní reprodukce byly provedeny u králíků a potkanů ​​v dávkách až do 300 mg/kg/den [12x až 23x maximální doporučená lidská dávka (MRHD) u porovnávacích plochů (BSA) na základě porovnávání plodnosti nebo poškození MRHD) způsobené terbinafinem.

Ošetřovatelské matky

Po perorálním podání je terbinafin přítomen v mateřském mléce ošetřovatelských matek. Poměr terbinafinu v mléce k plazmě je 7: 1. Léčba tablety Lamisil se nedoporučuje u žen, které ošetřují.

Dětské použití

U pediatrických pacientů s onychomykózou nebyla stanovena bezpečnost a účinnost tablet lamisil.

Geriatrické použití

Klinické studie lamisilových tablet nezahrnuly dostatečný počet subjektů ve věku 65 let a více, aby se určilo, zda reagují odlišně od mladších subjektů. Jiné hlášené klinické zkušenosti nezjistily rozdíly v odpovědích mezi staršími a mladšími pacienty. Obecně by měl být výběr dávky pro staršího pacienta opatrný, obvykle začínající na dolním konci rozsahu dávkování, což odráží větší frekvenci snížené funkce ledvin nebo srdeční jater a souběžné onemocnění nebo jiné léčivé terapie.

Poškození ledvin

U pacientů s poškozením ledvin (clearance kreatininu menší nebo rovná 50 ml/min) nebylo použití lamisilových tablet dostatečně studováno.

Informace o předávkování Lamisil

Klinické zkušenosti týkající se předávkování perorálním terbinafinem jsou omezené. Dávky až 5 gramů (20násobek terapeutické denní dávky) byly odebrány bez indukce závažných nežádoucích účinků. Mezi příznaky předávkování patřily zvracení zvracení břicha nevolnosti časté vyrážky a bolesti hlavy.

Kontraindikace pro lamisil

Lamisil tablety are contraindicated in individuals with a history of allergic reaction to oral terbinafine because of the risk of anaphylaxis.

Klinická farmakologie for Lamisil

Mechanismus působení

Terbinafin je allylaminový antimykot [viz Mikrobiologie ].

Farmakodynamika

Farmakodynamika tablet lamisil není známa.

Farmakokinetika

Po perorálním podání je terbinafin dobře absorbován (> 70%) a biologická dostupnost lamisilových tablet v důsledku metabolismu prvního průchodu je přibližně 40%. Vrcholové plazmatické koncentrace 1 μg/ml se objevují do 2 hodin po jedné dávce 250 mg; AUC je přibližně 4,56 μg

V plazmě je terbinafin> 99% vázán na plazmatické proteiny a neexistují žádná specifická vazebná místa. V ustáleném stavu ve srovnání s jednou dávkou je maximální koncentrace terbinafinu o 25% vyšší a plazmatická AUC se zvyšuje o faktor 2,5; Zvýšení plazmové AUC je v souladu s účinným poločasem ~ 36 hodin. Terbinafin je distribuován do mazu a kůže. Terminální poločas 200-400 hodin může představovat pomalé odstranění terbinafinu z tkání, jako je kůže a tuková,. Před vylučováním je terbinafin extenzivně metabolizován nejméně 7 izoenzymy CYP s hlavními příspěvky CYP2C9 CYP1A2 CYP3A4 CYP2C8 a CYP2C19. Nebyly identifikovány žádné metabolity, které mají antimykotickou aktivitu podobnou terbinafinu. Přibližně 70% podávané dávky je eliminováno v moči.

U pacientů s poškozením ledvin (clearance kreatininu ≤ 50 ml/min) nebo jaterní cirhóza se clearance terbinafinu sníží přibližně o 50% ve srovnání s normálními dobrovolníky. V klinických studiích nebyl detekován žádný účinek pohlaví na hladinu Terbinafinu v krvi terbinafinu. Nebyly hlášeny žádné klinicky relevantní změny v plazmatických koncentracích terbinafinu v ustáleném stavu.

Mikrobiologie

Terbinafin Allylaminový antimykotik inhibuje biosyntézu ergosterolu jako základní složku membrány plísňových buněk inhibicí enzymu skvalenu epoxidázy. To má za následek smrt plísňových buněk především v důsledku zvýšené propustnosti membrány zprostředkované akumulací vysokých koncentrací skvalenu, ale ne kvůli nedostatku ergosterolu. V závislosti na koncentraci léčiva a testu druhů houbových druhů in vitro Terbinafin hydrochlorid může být fungicidní. Klinický význam však in vitro data nejsou známa.

Ukázalo se, že terbinafin je aktivní proti většině kmenů následujících mikroorganismů in vitro a in clinical infections:

Trichophyton Mentagrophytes
Trichophyton Rubrum

Následující in vitro Data jsou k dispozici, ale jejich klinický význam není znám. In vitro Terbinafin vykazuje uspokojivé MIC proti většině kmenů následujících mikroorganismů; Bezpečnost a účinnost terbinafinu při léčbě klinických infekcí způsobených těmito mikroorganismy však nebyla stanovena v přiměřených a dobře kontrolovaných klinických studiích:

Candida albicans
Epidermophyton floccosum

Cíl Brevicaulis

Toxikologie zvířat a/nebo farmakologie

Široký rozsah nadarmo Studie u myší potkanů ​​psů a opic a in vitro Studie používající opici potkany a lidské hepatocyty naznačují, že proliferace peroxisomu v játrech je nálezem specifickým pro potkana. U psů a opic však došlo k dalším účinkům, včetně zvýšených hmotností jater a APTT v dávkách, které poskytují hladinu koryta CSS rodičovského terbinafinu 2-3x, které jsou vidět u lidí na MRHD. Vyšší dávky nebyly testovány.

Klinické studie

Účinnost lamisilových tablet při léčbě onychomykózy je ilustrována reakcí subjektů s infekcemi nehtů a/nebo nehtů, které se účastnily 3 klinických studií s kontrolou placebem v USA/kanadské.

Výsledky první zkoušky na nohou, jak je hodnoceno ve 48 týdnech (12 týdnů léčby s 36 týdny sledováním po dokončení terapie) prokázaly mykologický lék definovaný jako současný výskyt negativního KOH plus negativní kultury u 70% subjektů. Padesát devět procent (59%) subjektů došlo k účinné léčbě (mykologická léčba plus 0% postižení nehtů nebo> 5 mm nového neovlivněného růstu nehtů); 38% subjektů prokázalo mykologickou léčbu plus klinický lék (0% postižení nehtů).

Ve druhém nožním studii dermatofytické onychomykózy, při které byla prokázána také nedermatofyty podobnou účinnost proti dermatofytům. Patogenní role nedermatofytů kultivovaných v přítomnosti dermatofytické onychomykózy nebyla stanovena. Klinický význam této asociace není znám.

Výsledky pokusu o nehty, jak bylo hodnoceno ve 24. týdnu (6 týdnů léčby 18 týdnů sledováním po dokončení terapie) prokázaly mykologickou léčbu u 79% subjektů účinné léčby u 75% subjektů a mykologické léčby plus klinickou léčbou u 59% subjektů.

Průměrná doba k celkovému úspěchu byla přibližně 10 měsíců pro první zkoušku na nohou a 4 měsíce pro pokus o nehty. V první nožské studii u subjektů hodnotila nejméně 6 měsíců po dosažení klinické léčby a nejméně 1 rok po dokončení terapie tabletami lamisilů, míra klinického relapsu byla přibližně 15%.

Informace o pacientovi pro lamisil

Lamisil
(Lam-i-sil)
(Terbinafin Hydrochlorid) tablety

Co jsou tablety Lamisil?

Lamisil tablety is a prescription antifungal medicine used to treat fungal infections of the fingernails a toenails (onychomycosis).

Váš lékař by měl provést testy, aby vás zkontroloval, zda vám plíslá infekce nehtů před zahájením lamisilových tablet.

Není známo, zda jsou tablety lamisilů bezpečné a účinné u dětí pro léčbu onychomykózy.

Kdo by neměl brát tablety Lamisil?

Neberte si tablety lamisilu, pokud jste alergičtí na terbinafin hydrochlorid, když jste odebrali ústy.

Co bych měl říct svému lékaři, než si vezmu tablety Lamisil?

Než si vezmete tablety Lamisil, řekněte svému lékaři, pokud:

  • mít nebo mít problémy s jatery
  • mít oslabený imunitní systém (imunokompromitováno)
  • mít lupus (autoimunitní nemoc)
  • mít jakékoli jiné zdravotní stavy
  • jsou těhotné nebo plánují otěhotnět. Není známo, zda tablety Lamisil poškodí vaše nenarozené dítě. Během těhotenství byste neměli začít brát tablety Lamisil, aniž byste mluvili s lékařem.
  • jsou kojení nebo plánují kojení. Lamisil může projít do mateřského mléka a může poškodit vaše dítě. Promluvte si se svým lékařem o nejlepším způsobu, jak nakrmit své dítě, pokud si vezmete tablety Lamisil.

Řekněte svému lékaři o všech lécích, které užíváte včetně předpisu a volně prodejných léků vitamínů a bylinných doplňků.

Lamisil tablety may affect the way other medicines work a other medicines may affect how Lamisil tablety work. Especially tell your doctor if you take:

  • lék na depresi
  • lék na vysoký krevní tlak
  • Lék pro srdeční problémy
  • Desipramin (Norpram)
  • kofein
  • Cyklosporin (Gengraf Neoral Sandimmune)
  • fluconazol (diflucan)
  • Sater (Rifateer Wasrated Rimactane Rimadine)
  • cimetidin (tagamet)

Pokud si nejste jisti, zda je váš lék na uvedený výše uvedený výše, zeptejte se svého lékaře nebo lékárníka.

Znát léky, které užíváte. Udržujte jejich seznam, abyste ukázali svého lékaře a lékárníka, když získáte nový lék.

Jak mám brát tablety Lamisil?

  • Vezměte si tablety Lamisil přesně tak, jak vám lékař řekne, abyste si to vzali.
  • Lamisil comes as a tablet that you take by mouth.
  • Lamisil tablety are usually taken:
    • 1 čas každý den po dobu 6 týdnů k léčbě plísňových infekcí vašeho nehtu nebo
    • 1 čas každý den po dobu 12 týdnů k léčbě plísňových infekcí vaší nehty
  • Lamisil tablety can be taken with or without food.
  • Pokud vám chybí dávka tablet lamisil, vezměte ji, jakmile si pamatujete. Pokud je to méně než 4 hodiny před další dávkou, přeskočte zmeškanou dávku. Jen si vezměte další dávku ve svém pravidelném čase.

Pokud si vezmete příliš mnoho tablet Lamisil, zavolejte svého lékaře. Můžete mít následující příznaky:

Jaké jsou vedlejší účinky Valsartanu
  • nevolnost
  • zvracení
  • Bolest žaludku (břicha)
  • závrať
  • vyrážka
  • časté močení
  • bolest hlavy

Co bych se měl vyhnout při užívání tablet lamisil?

  • Vyvarujte se slunečního světla. Tablety Lamisil mohou způsobit, že vaše pokožka je citlivá na slunce a světlo ze slunečních lamp a opalovacích lůžek. Můžete získat závažný spálení. Použijte opalovací krém a noste klobouk a oblečení, které zakrývají vaši pokožku, pokud musíte být na slunci. Promluvte si se svým lékařem, pokud se spálíte.

Jaké jsou možné vedlejší účinky lamisilových tablet?

Lamisil tablety may cause serious side effects including:

  • Problémy s jatery, které mohou vést k potřebě rostliny nebo smrti jater. Okamžitě řekněte svému lékaři, pokud dostanete některý z těchto příznaků problému jater:
    • nevolnost
    • Pravá horní část žaludku (břicho) bolest
    • Špatná chuť k jídlu
    • Žutání vaší kůže nebo očí (žloutenka)
    • únava
    • Tmavá (čajová) moč
    • zvracení
    • bledá nebo světle barevná stolička

Váš lékař by měl provést krevní test, aby vás zkontroloval, zda se vám podaří problémy s lamisilem.

  • Změna chuti nebo vkusu Může se to stát s lamisil tablety a může být závažné. To se může zlepšit během několika týdnů poté, co přestanete brát lamisil tablety, ale může trvat dlouho nebo může být trvalé. Sdělte svému lékaři, pokud máte:
    • Změna chuti nebo ztráty chuti
    • Špatná chuť k jídlu
    • Nežádoucí hubnutí
    • úzkost
    • Změna nálady nebo depresivních příznaků
  • Změna vůně nebo ztráty vůně Může se stát s tablety Lamisil. To se může zlepšit poté, co přestanete brát lamisil tablety, ale může trvat dlouho nebo může být trvalé.
  • depresivní příznaky. Okamžitě řekněte svému lékaři, pokud máte některé z těchto příznaků nebo příznaků:
    • cítit se smutný nebo bezcenný
    • Změna vzoru spánku
    • ztráta energie nebo zájmu o každodenní činnosti
    • neklid
    • změny nálady
  • nízký počet bílých krvinek. Lidé, kteří užívají tablety Lamisil, mohou mít snížení bílých krvinek, zejména neutrofilů. Když je počet bílých krvinek nízký, můžete mít vyšší riziko infekce.
  • Vážné kůže nebo alergické reakce. Pokud získáte některý z těchto příznaků, řekněte svému lékaři hned nebo získejte nouzovou pomoc:
    • Skin vyrážky úly v bolách v ústech nebo váš kožní puchýře a slupky
    • otok of your face eyes lips tongue or throat trouble swallowing or breathing
    • Reakce léčiva s eosinofilií a syndrom systematických symptomů (šaty) - kožní vyrážky oteklé lymfatické žlázy Zapojení vnitřních orgánů
  • Nový nebo zhoršující se lupus (autoimunitní onemocnění). Přestaňte brát tablety Lamisil a řekněte svému lékaři, pokud získáte některou z následujících:
    • Progresivní kožní vyrážka, která je šupinata červená ukazuje zjizvení nebo ztrátu pigmentu
    • neobvyklá citlivost na slunce, které může vést k vyrážce

Mezi nejčastější vedlejší účinky tablet lamisil patří:

  • bolest hlavy
  • průjem
  • vyrážka
  • rozrušit žaludek
  • Abnormální testy jaterních funkcí
  • svědění
  • Změna chuti
  • nevolnost
  • Oblast žaludku (břicha) bolest
  • plyn

Řekněte svému lékaři, pokud máte jakýkoli vedlejší účinek, který vás vadí nebo že nezmizí.

Nejedná se o všechny možné vedlejší účinky lamisilových tablet. Informace se zeptejte svého lékaře nebo lékárníka.

Zavolejte svého lékaře, kde najdete lékařskou radu ohledně vedlejších účinků. Můžete nahlásit vedlejší účinky FDA na 1-800-FDA-1088.

Jak mám ukládat tablety Lamisil?

  • Uložte tablety Lamisil pod 77 ° F (25 ° C)
  • Udržujte tablety Lamisil v pevně uzavřené kontejneru a držte se mimo světlo.

Udržujte tablety Lamisil a všechny léky mimo dosah dětí.

Obecné informace o bezpečném a efektivním používání tablet Lamisil.

Léky jsou někdy předepisovány pro jiné účely než ty, které jsou uvedeny v informacích o pacientech. Nepoužívejte tablety Lamisil pro podmínku, pro které nebylo předepsáno. Nedávejte tablety Lamisil jiným lidem, i když mají stejné příznaky, jaké máte. Může jim to poškodit.

Můžete požádat svého lékárníka nebo lékaře o informace o tabletech Lamisil, které jsou psány pro zdravotnické pracovníky.

Jaké jsou ingredience v tabletech Lamisil?

Aktivní složka: terbinafin hydrochlorid

Neaktivní ingredience: Koloidní křemíkový oxid hydroxypropylmethylcelulóza hořčík Stearát Mikrokrystalická celulóza sodný škrob glykolát

Tyto informace o pacientech byly schváleny americkou správou potravin a léčiv.