Informace Na Stránce Nepředstavují Lékařskou Radu. Nic Neprodáváme. Přesnost Překladu Není Zaručena. Zřeknutí Se Odpovědnosti

Halog Solution

Shrnutí drog

Co je to halog řešení?

volný Roztok (halcinonid) je aktuální kortikosteroid používaný k léčbě zánětu a svědění způsobené řadou kožních stavů, jako jsou alergické reakce ekzém a psoriáza. Řešení značky Halog je přerušeno, ale obecný mohou být k dispozici verze.

Jaké jsou vedlejší účinky halogového roztoku?

volný Solution may cause serious side effects including:

  • kopřivka
  • potíže s dýcháním
  • Otok vašeho obličeje rty jazyk nebo krk
  • Zhoršení stavu pokožky
  • Začervenání tepla otoky nebo těžké podráždění jakékoli ošetřené kůže
  • zvýšená žízeň
  • zvýšené močení
  • sucho v ústech
  • ovocný dech
  • přibývání na váze (zejména ve tváři nebo na horní části zad a trupu)
  • Pomalé hojení ran
  • Ředění kůže
  • zvýšené vlasy na těle
  • Změny v sexuální funkci
  • deprese
  • úzkostné a
  • dráždivost

Získejte lékařskou pomoc okamžitě, pokud máte výše uvedené příznaky.



Mezi běžné vedlejší účinky halogového roztoku (halcinonid) patří: l

  • svědění kůže
  • hořící
  • suchost
  • Ředění nebo změkčení kůže
  • vyrážka nebo podráždění kolem úst
  • oteklé vlasové folikuly
  • Změny barvy ošetřené kůže
  • puchýře
  • pupínky
  • Kruchnutí ošetřené kůže
  • akné nebo
  • strie

Pokud máte následující vážné vedlejší účinky, vyhledejte lékařskou péči nebo zavolejte na číslo 911:

  • Vážné příznaky očí, jako je ztráta náhlého vidění rozmazané vidění vidění Vision Vision Eye Eye Eye Eye Eye Eye Eye Eye nebo vidět halos kolem světel;
  • Vážné příznaky srdce, jako je rychlé nepravidelné nebo bušení srdečního rytmu; třepování v hrudi; dušnost; a náhlé závratě lightheadness nebo omdlení;
  • Těžká zmatek bolesti hlavy zkažená paže řeči nebo slabost nohou Potíže se ztrátou chůze pocitu koordinace Nestabilní velmi tuhé svaly vysoké horečky bohaté pocení nebo třes.

Tento dokument neobsahuje všechny možné vedlejší účinky a mohou dojít k jiným. Další informace o vedlejších účincích najdete u svého lékaře.

Dávka pro řešení halogu

Naneste halogový roztok 0,1% na postiženou oblast dvakrát až třikrát denně.

Jaké léčivé látky nebo doplňky interagují s halogovým roztokem?

volný Solution may interact with other drugs. Tell your doctor all medications and supplements you use.

volný Solution During Těhotenství or Breastfeeding

volný Solution may be harmful to a fetus. Tell your doctor if you are pregnant or plan to become pregnant during treatment. It is unknown if this drug passes into breast milk or if it could harm a nursing baby. Consult your doctor before breastfeeding.

Další informace

Náš halogový roztok (Halcinonid) Vedlejší účinky drogové centrum poskytuje komplexní pohled na dostupné informace o léčivě o potenciálních vedlejších účincích při užívání tohoto léku.

Informace o drogách FDA

Pouze pro aktuální použití.
Ne pro oftalmické použití.

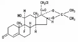
Popis řešení Halogu

The topical corticosteroids constitute a class of primarily synthetic steroids used as antiinflammatory and antipruritic agents. The steroids in this class include halcinonide. Halcinonide is designated chemically as 21-Chloro-9-fluoro-11β16α 17-trihydroxypregn-4-ene-320-dione cyclic 1617-acetal with acetone. Graphic formula:


C 24 H 32 Rána 5

Každý ML 0,1% roztoku halogu (halcinonidový topický roztok USP) obsahuje 1 mg halcinonid edetát disodium polyethylenglykol 300 a purifikovanou vodu s butylovaným hydroxytoluenem jako antioxidantem.

Použití pro halog řešení

Halogový roztok (halcinonidový topický roztok USP) 0,1% je indikován pro reliéf zánětlivých a svěžích projevů dermatóz reagujících na kortikosteroidy.

Dávka pro řešení halogu

Naneste halog roztok (halcinonidový topický roztok USP) 0,1% do postižené oblasti dvakrát až třikrát denně.

Okluzivní technika oblékání

Okluzivní obvazy mohou být použity pro správu psoriázy nebo jiných vzpomínek. Naneste roztok na kryt léze s poddajným netvolným filmem a utěsněte okraje. V případě potřeby může být poskytnuta další vlhkost zakrytím léze tlumeným čistým bavlněným hadříkem před použitím netvolného filmu nebo krátkým smáčením postižené oblasti vodou bezprostředně před nanesením léku. Frekvence měnících se obvazů je nejlépe stanovena na individuálním základě. Večer může být vhodné aplikovat halogové roztok pod okluzivním obvazem a ráno odstranit obvaz (tj. 12hodinová okluze). Při použití 12hodinového okluzního režimu by měl být použit další roztok bez okluze během dne. Při každé změně obvazu je nezbytná opětovná aplikace.

Pokud se infekce rozvine, mělo by být ukončeno použití okluzivních obvazů a zavedena vhodná antimikrobiální terapie.

Jak dodáno

volný ® ŘEŠENÍ (Halcinonid topický roztok USP) 0,1% je dodáváno v plastových stisknutích obsahujících 60 ml ( NDC 10631-095-20) a 120 ml ( NDC 10631-095-10) roztoku.

Skladování

Skladovat při pokojové teplotě; Vyvarujte se zmrazení a teplot nad 104 ° F.

Chcete-li nahlásit podezření na nežádoucí účinky, kontaktujte Sun Pharmaceutical Industries Inc. na čísle 1-800-406-7984 nebo FDA na 1-800 FDA-1088 nebo www.fda.gov/medwatch.

Distribuováno: Sun Pharmaceutical Industries Inc. Cranbury NJ 08512. Revidováno červenec 2019.

Vedlejší účinky pro řešení halogu

The following local adverse reactions are reported infrequently with topical corticosteroids but may occur more frequently with the use of occlusive dressings (reactions are listed in an approximate decreasing order of occurrence): burning itching irritation dryness folliculitis hypertrichosis acneiform eruptions hypopigmentation perioral dermatitis allergic contact dermatitis maceration of the skin secondary infection skin atrophy striae a miliaria.

Interakce léčiva pro halog řešení

Žádné informace

Varování pro řešení halogu

Žádné informace

Opatření pro řešení halogu

Generál

Systémová absorpce lokálních kortikosteroidů vyvolala reverzibilní hypothalamicpituitary-Adrenal (HPA) a u některých pacientů se u některých pacientů u některých pacientů.

Podmínky, které zvyšují systémovou absorpci, zahrnují aplikaci účinnějších steroidů využívajících při velkých povrchových plochách prodloužených používání a přidání okluzivních obvazů.

Proto pacienti, kteří dostávají velkou dávku jakéhokoli silného topického steroidu aplikovaného na velkou povrchovou plochu nebo pod okluzivním obvazem, by proto měli být pravidelně hodnoceni, aby se dokazovali o potlačení osy HPA pomocí testů stimulace volného kortizolu a ACTH a pro zhoršení tepelné homeostázy. Pokud dojde k potlačení osy HPA nebo zvýšení tělesné teploty, měl by být učiněn pokus o vyloučení léčiva, aby se snížila frekvence aplikace nahradit méně účinný steroid nebo použít sekvenční přístup při využití okluzivní techniky.

Obnovení funkce osy HPA a tepelné homeostázy je obecně rychlé a úplné po přerušení léčiva. Obavě příznaky a příznaky stažení steroidů mohou nastat vyžadující doplňkové systémové kortikosteroidy.

Občas může pacient vyvinout reakci citlivosti na konkrétní okluzivní oblékání nebo lepidlo a může být nutný náhradní materiál.

Děti mohou absorbovat úměrně větší množství topických kortikosteroidů, a proto jsou náchylnější k systémové toxicitě (viz Opatření: Pediatrické použití ).

Pokud se podráždění vyvine lokální kortikosteroidy, měly by být přerušeny a zavedena vhodná terapie.

V přítomnosti dermatologických infekcí by mělo být zavedeno použití vhodného antimykotického nebo antibakteriálního činidla. Pokud k příznivé reakci nedochází okamžitě, měl by být kortikosteroid přerušen, dokud nebude infekce přiměřeně kontrolována.

Tato příprava není pro oftalmické použití.

Laboratorní testy

Při hodnocení potlačení osy HPA může být užitečný test volného kortizolu v moči a test stimulace ACTH.

Mutageneze karcinogeneze a zhoršení plodnosti

Dlouhodobé studie na zvířatech nebyly provedeny za účelem vyhodnocení karcinogenního potenciálu nebo účinku na plodnost topických kortikosteroidů.

Studie pro stanovení mutagenity s prednisolonem a hydrokortisonem vykazovaly negativní výsledky.

Těhotenství

Teratogenní účinky

Corticosteroids are generally teratogenic in laboratory animals when administered systemically at relatively low dosage levels. The more potent corticosteroids have been shown to be teratogenic after dermal application in laboratory animals. There are no adequate and well-controlled studies in pregnant women on teratogenic effects from topically applied corticosteroids. Therefore topical corticosteroids should be used during pregnancy only if the potential benefit justifies the potential risk to the fetus. Drugs of this class should not be used extensively on pregnant patients in large amounts or for prolonged periods of time.

Ošetřovatelské matky

Není známo, zda topické podávání kortikosteroidů může vést k dostatečné systémové absorpci, aby se vytvořila detekovatelná množství v mateřském mléce. Systemicky podávané kortikosteroidy jsou vylučovány do mateřského mléka v množství, které pravděpodobně nebudou mít škodlivý účinek na dítě. Pokud jsou však ošetřovatelskou ženu podávány lokální kortikosteroidy.

Dětské použití

Pediatričtí pacienti mohou prokázat větší náchylnost k topickému kortikosteroidoidovanému potlačení osy HPA a syndromu Cushingu než dospělí pacienti z důvodu většího poměru povrchu kůže k tělesné hmotnosti.

U dětí dostávajících lokální kortikosteroidy byly hlášeny syndrom a intrakraniální hypertenze HPA Axis Suppression Cushing. Projevy potlačení nadledvin u dětí zahrnují lineární retardaci růstu zpožděné nárůst hmotnosti nízký plazmatický kortizol a absence reakce na stimulaci ACTH. Projevy intrakraniální hypertenze zahrnují vypouklé fontanely bolesti hlavy a bilaterální papiledema.

Podávání topických kortikosteroidů pro děti by mělo být omezeno na nejmenší množství kompatibilní s účinným terapeutickým režimem. Chronická kortikosteroidní terapie může narušit růst a vývoj dětí.

Geriatrické použití

Klinické studie 0,1% halogového roztoku (halcinonid topický roztok USP) nezahrnovaly dostatečný počet pacientů ve věku 65 let a více, aby se určilo, zda reagují odlišně od mladších pacientů. Jiné hlášené klinické zkušenosti nezjistily rozdíly v odpovědích mezi staršími a mladšími pacienty. Obecně by měl být výběr dávky pro staršího pacienta opatrný, obvykle začínající na dolním konci dávkovacího rozsahu.

Informace o předávkování pro řešení halogu

Topicky aplikované kortikosteroidy mohou být absorbovány v dostatečném množství k vytvoření systémových účinků (viz Opatření: Obecně ).

Kontraindikace pro řešení halogu

Lokální kortikosteroidy jsou kontraindikovány u pacientů s anamnézou přecitlivělosti na některou ze složek příprav.

Klinická farmakologie for volný Solution

Lokální kortikosteroidy sdílejí protizánětlivé antipruritické a vazokonstrikční účinky.

Mechanismus protizánětlivé aktivity topických kortikosteroidů je nejasný. K porovnání a predikci potence a/nebo klinické účinnosti topických kortikosteroidů se používají různé laboratorní metody včetně vazokonstrikčních testů. Existují důkazy, které naznačují, že existuje rozpoznatelná korelace mezi vazokonstrikční účinností a terapeutickou účinností u člověka.

Farmakokinetika

Rozsah perkutánní absorpce topických kortikosteroidů je určen mnoha faktory, včetně vehikula, integrita epidermální bariéry a použití okluzivních obvazů.

Lokální kortikosteroidy mohou být absorbovány z normální neporušené kůže. Zánět a/nebo jiné procesy onemocnění v kůži zvyšují perkutánní absorpci.

Okluzivní obvazy podstatně zvyšují perkutánní absorpci topických kortikosteroidů. Okluzivní obvazy tedy mohou být cenným terapeutickým doplňkem pro léčbu rezistentních dermatóz (viz Dávkování a podávání ).

Jakmile jsou absorbovány kůží lokální kortikosteroidy zpracovávány farmakokinetickými cestami podobnými systémově podávanými kortikosteroidy. Kortikosteroidy jsou vázány na plazmatické proteiny v různých stupních. Kortikosteroidy jsou metabolizovány primárně v játrech a poté jsou vylučovány ledvinami. Některé z aktuálních kortikosteroidů a jejich metabolitů jsou také vylučovány do dokonce .

Plánujte b pilulku, co to dělá

Informace o pacientovi pro řešení halogu

Pacienti používající lokální kortikosteroidy by měli dostávat následující informace a pokyny:

  1. Tento lék má být používán jako pokyn lékařem. Je to pouze pro dermatologické použití. Vyvarujte se kontaktu s očima.
  2. Pacienti by měli být doporučeni, aby tento lék nepoužívali pro jinou poruchu, než na kterou byla předepsána.
  3. Ošetřená oblast kůže by neměla být ovázaná nebo jinak zakrytá nebo zabalena jako okluzivní, pokud není nařízena lékařem.
  4. Pacienti by měli hlásit jakékoli známky místních nežádoucích účinků, zejména při okluzivním obvazu.
  5. Rodičům dětských pacientů by mělo být doporučeno, aby nepoužívali pevně padnoucí plenky nebo plastové kalhoty na dítě léčené v oblasti plenky, protože tyto oděvy mohou představovat okluzivní obvazy.