Informace Na Stránce Nepředstavují Lékařskou Radu. Nic Neprodáváme. Přesnost Překladu Není Zaručena. Zřeknutí Se Odpovědnosti
Makrolidy
Obtížný
Shrnutí drog
Co je obtížné?
Dificid (fidAxomicin) je makrolidový antibakteriální lék používaný ke snížení vývoje bakterií rezistentních na léčivo a k léčbě Clostridium difficile -Asociovaný průjem (CDAD) u dospělých starších 18 let. Difficid by měl být použit pouze k léčbě infekcí, které jsou prokázány nebo silně podezřelé, že jsou způsobeny Clostridium difficile (také volal C. obtížné ). Dificid není účinnou léčbou systémových infekcí.
Jaké jsou vedlejší účinky difritidy?
Běžné vedlejší účinky difficid jsou:
- nevolnost
- zvracení
- bolest žaludku
- průjem
- Bloating
- plyn
- vyrážka na kůži nebo
- svědění
Pokud máte následující vážné vedlejší účinky, vyhledejte lékařskou péči nebo zavolejte na číslo 911:
- Vážné příznaky očí, jako je ztráta náhlého vidění rozmazané vidění vidění Vision Vision Eye Eye Eye Eye Eye Eye Eye Eye nebo vidět halos kolem světel;
- Vážné příznaky srdce, jako je rychlé nepravidelné nebo bušení srdečního rytmu; třepování v hrudi; dušnost; a náhlé závratě lightheadness nebo omdlení;
- Těžká zmatek bolesti hlavy zkažená paže řeči nebo slabost nohou Potíže se ztrátou chůze pocitu koordinace Nestabilní velmi tuhé svaly vysoké horečky bohaté pocení nebo třes.
Tento dokument neobsahuje všechny možné vedlejší účinky a mohou dojít k jiným. Další informace o vedlejších účincích najdete u svého lékaře.
Dávkování pro obtíže
Difficid (fidaxomicin) je k dispozici pouze jako 200 mg silových tablet. Doporučená dávka je jedna 200 mg dificidová tableta orálně dvakrát denně po dobu 10 dnů s jídlem nebo bez jídla. Vážnými vedlejšími účinky jsou krvácení GI a střevní obstrukce.
Jaké léčivé látky nebo doplňky interagují s Difficid?
Je známo, že Dificid reaguje s cyklosporinem. Neexistují žádné přiměřené a dobře kontrolované studie u těhotných žen nebo u dětí mladších 18 let.
Obtížný během těhotenství nebo kojení
Tento lék by měl být použit během těhotenství, pouze pokud je to jasně potřeba. Není známo, zda je fidaxomicin vylučován v lidském mléce. Protože mnoho drog je vylučováno v lidském mléce opatrnosti by mělo být posouzeno, když je Difficid podáván ošetřovatelské ženě.
Další informace
Naše dificid (fidAxomicin) vedlejší účinky drogové centrum poskytuje komplexní pohled na dostupné informace o drogách o potenciálních vedlejších účincích při užívání tohoto léku.
Informace o drogách FDA
Popis pro Difficid
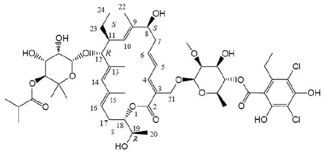
Dificid (fidaxomicin) je makrolidový antibakteriální lék pro perorální podání. Jeho chemický název CAS je Oxacyclooctadeca-3591315-Pentaen-2-One 3-[[[6-deoxy-4-do- (35-dichlor-2-ethyl-46-dihydroxybenzoyl) -2-omethyl-β-d- Mannopyranosyl] oxy] methyl] -12-[[6-deoxy-5-c-methyl-4-o-(2-methyl-1-oxopropyl) -β-d-lyxohexopyranosyl] oxy] -11-ethyl-8 -Hydroxy-18-[(1r) -1-hydroxyethyl] -91315-trimethyl- (3e5e8s9e11s12r13e15e18s)-. Strukturální vzorec fidaxomicinu je znázorněn na obrázku 1.
Obrázek 1: Strukturální vzorec fidoxomicinu
|
Dificidové tablety (200 mg) jsou potaženy filmem a obsahují následující neaktivní složky: mikrokrystalická celulóza pregelatinizovaná škrobová hydroxypropylcelulóza hydroxytoluen sodný škrob glykolát magnézního stearátu polynylalkohol titán titán titán titán alkohol itykol).
Použití pro obtížné
Průjem asociovaný s Clostridioides difficile
Dificid® je indikován u dospělých a dětských pacientů ve věku 6 měsíců a starších pro léčbu C. obtížné přidružený průjem (CDAD).
Používání
Pro snížení vývoje bakterií rezistentních na léčivo a udržení účinnosti dificidních a jiných antibakteriálních léčiv by měla být použita pouze k léčbě infekcí, které jsou prokázány nebo silně podezřelé, že jsou způsobeny tím, že jsou způsobeny tím, že jsou způsobeny tím C. obtížné . Pokud jsou k dispozici informace o kultuře a citlivosti, měly by být zváženy při výběru nebo úpravě antibakteriální terapie. Při absenci takových dat může místní epidemiologie a vzorce citlivosti přispět k empirickému výběru terapie.
Dávkování pro obtíže
Důležité pokyny pro správu
Dificid je k dispozici pro perorální podání jako 200 mg tablety a jako granule pro perorální suspenzi (40 mg/ml (200 mg/5 ml), když je rekonstituován). Dificid se podává orálně s jídlem nebo bez jídla.
Dospělí pacienti
Doporučená dávka pro dospělé je jedna 200 mg dificidová tableta orálně dvakrát denně po dobu 10 dnů.
Pediatričtí pacienti (6 měsíců až 18 let)
Tablety
Doporučená dávka pro pediatrické pacienty vážící nejméně 12,5 kg a schopné spolknout tablety je jedna 200 mg dificidová tableta podávaná perorálně dvakrát denně po dobu 10 dnů. Pokud nemohou polykat tablety, mohou být pediatričtí pacienti dávkováni s dificidovou perorální suspenzí, jak je doporučeno v tabulce 1 níže.
Orální pozastavení
Doporučená dávka pro pediatrické pacienty založené na hmotnosti je uvedeno v tabulce 1.. Správa difalů perorální suspenze orálně dvakrát denně po dobu 10 dnů pomocí perorální dávkové injekční stříkačky [viz viz Dávkování a podávání ].
Tabulka 1: Doporučené dávkování difrické perorální suspenze u pediatrických pacientů na základě hmotnosti
| Tělesná hmotnost | Dávka podávána dvakrát denně | Objem 40 mg/ml suspenze, která má být podávána orálně dvakrát denně |
| 4 kg na méně než 7 kg | 80 mg | 2 ml |
| 7 kg na méně než 9 kg | 120 mg | 3 ml |
| 9 kg na méně než 12,5 kg | 160 mg | 4 ml |
| 12,5 kg a vyšší | 200 mg | 5 ml |
Příprava a podávání dificidní perorální suspenze
Příprava
- Protřepejte skleněnou láhev, abyste se zajistili volně pohybovat se granulemi a nedošlo k žádnému potažení.
- Změřte 130 ml čištěné vody přidejte do skleněné láhve a uzávěru pevně.
- Držte láhev v vodorovné poloze a v této poloze silně protřepejte láhev po dobu nejméně 2 minut.
- Ověřte, zda je získána homogenní pozastavení. Pokud ne opakujte krok třepání.
- Jakmile je homogenní suspenze vizuálně potvrzena, protřepejte dalších 30 sekund.
- Nechte láhev stát 1 minutu.
- Ověřte, že pozastavení je stále homogenní. Pokud ne opakujte kroky 3 až 6.
- Jakmile je rekonstituovaná dificidová perorální suspenze bílá až nažloutlá bílá barva.
- Napište datum vyřazení (aktuální datum plus 12 dní) na láhvi [viz Jak dodáno / Skladování a manipulace ].
Skladování rekonstituované perorální suspenze
- Rekonstituovanou perorální suspenzi uložte v lednici [mezi 36 ° F-46 ° F (2 ° C-8 ° C)) po dobu až 12 dnů. Vyhodit po 12 dnech.
Správa
- Odstraňte láhev z chladničky 15 minut před každou podávání.
- Úměrně protřepejte, dokud nemá pozastavení rovnoměrnou konzistenci.
- Odstraňte uzávěr a potom podávejte orálně s jídlem nebo bez ní pomocí ústní dávkové stříkačky.
- Mezi dávkami nahrazujte víčko a uložte v chladničce.
Jak dodáno
Formy a silné stránky dávkování
Difalty tablety
200 mg white to off-white film-coated oblong tablets; each tablet is debossed with FDX on one side and 200 on the other side.
Obtížný pro perorální pozastavení
Bílé až nažloutlé bílé granule; Po rekonstituci každá ml bílé až nažloutlé bílé perorální suspenze obsahuje 40 mg fidaxomicinu (200 mg fidAxomicinu na 5 ml).
Skladování a manipulace
Tablety
Difalty tablety jsou bílé až off-bílé filmové podlouhlé tablety obsahující 200 mg fidAxomicinu na tablet; Každá tableta je odhlašována s FDX na jedné straně a 200 na druhé straně.
Difalty tablety jsou dodávány jako lahve 20 tablet ( NDC 52015-080-01).
Granule pro perorální pozastavení
Diferenční granule Pro perorální suspenzi jsou bílé až nažloutlé bílé.
Diferenční granule pro perorální pozastavení ( NDC 52015-700-22) se dodává jako 150 ml jantarových skleněných lahví 9,53 g granulí, které obsahují 5,45 g fidAxomicinu. Každá skleněná láhev má čepici odolnou vůči dítěti a je utěsněna v laminovaném hliníkovém fólii. Po rekonstituci je celkový objem perorální suspenze 136 ml. Po 12 dnech zlikvidujte nevyužité pozastavení. Koncentrace fidaxomicinu je 40 mg/ml (200 mg na 5 ml) v rekonstituované perorální suspenzi.
Skladování a manipulace
Tablety
Ukládat difrické tablety při 20 ° C-25 ° C (68 ° F-77 ° F); Exkurze jsou povoleny na 15 ° C-30 ° C (59 ° F-86 ° F). Vidět Teplota místnosti s kontrolou USP . Uložte v původní láhvi.
Granule pro perorální pozastavení
Ukládat dificidní granule pro perorální suspenzi při 20 ° C-25 ° C (68 ° F-77 ° F); Exkurze jsou povoleny na 15 ° C-30 ° C (59 ° F-86 ° F). Uložte v původním balíčku. Neotevírejte pouzdro až do času použití.
Po rekonstituovaném skladu dificidní perorální suspenze se chladila při 2 ° C-8 ° C (36 ° F-46 ° F) po dobu až 12 dnů. Uložení zakončené v původní láhvi.
Vyrobeno pro: Merck Sharp
Nežádoucí účinky pro odlišné
Zkušenosti z klinických studií
Protože klinické studie se provádějí za široce měnících se podmínek, nežádoucí rychlost nežádoucí reakce pozorovaná v klinických studiích léčiva nelze přímo porovnat s mírami v klinických studiích s jiným lékem a nemusí odrážet míru pozorované v praxi.
Dospělí
Bezpečnost odlišných 200 mg tablet odebraných dvakrát denně po dobu 10 dnů byla hodnocena u 564 dospělých pacientů s CDAD ve dvou aktivních kontrolovaných studiích s 86,7% pacientů, kteří dostávali celý léčbu.
Třicet tři dospělých pacientů, kteří dostávali dificid (NULL,9%), se stáhl ze studií v důsledku nežádoucích účinků (AR). Typy AR, které mají za následek stažení ze studie, se značně lišily. Zvracení bylo primární nežádoucí reakcí vedoucí k přerušení dávkování; K tomu došlo při incidenci 0,5% u pacientů s dificidními i vankomycinem ve studiích fáze 3. Nejběžnější vybrané nežádoucí účinky, které se vyskytují u ≥ 2% dospělých pacientů léčených Difficid, jsou uvedeny v tabulce 2.
Tabulka 2: Vybrané nežádoucí účinky s incidencí ≥ 2% hlášené u dospělých pacientů ošetřených dificidem v kontrolovaných studiích
| Nežádoucí reakce třídy systémových orgánů | Obtížný (N = 564) n (%) | Vankomycin (N = 583) n (%) |
| Poruchy krve a lymfatického systému | ||
| Anémie | 14 (2%) | 12 (2%) |
| Neutropenie | 14 (2%) | 6 (1%) |
| Gastrointestinální poruchy | ||
| Nevolnost | 62 (11%) | 66 (11%) |
| Zvracení | 41 (7%) | 37 (6%) |
| Bolest břicha | 33 (6%) | 23 (4%) |
| Gastrointestinální krvácení | 20 (4%) | 12 (2%) |
Následující nežádoucí účinky byly hlášeny v <2% of adult patients taking Difalty tablety in controlled trials:
Gastrointestinální poruchy: břišní distenční břišní citlivost Dyspepsia Dysfagie nadýmání střevní obstrukce megakolon
Vyšetřování: Zvýšená krevní alkalická fosfatáza snížila hydrogenuhličitan krve Zvýšené enzymy jater snížily počet destiček
Poruchy metabolismu a výživy: Metabolická acidóza hyperglykémie
Poruchy kůže a podkožní tkáně: drogová erupce Pruritus vyrážka
Pediatrie
Bezpečnost odlišných u pediatrických pacientů 6 měsíců do méně než 18 let byla hodnocena ve studii s jedním ramenem fáze 2 u 38 pacientů a ve fázi 3 randomizované aktivní kontrolované studie u 98 pacientů léčených odlišným a 44 pacienty léčených vancomycinem [viz viz vancomycin [viz viz vancomycin [viz viz vancomycin [viz viz vancomycin [viz viz vancomycin [viz viz vancomycin [viz viz vancomycin [viz viz vancomycinem [viz vancomycin [viz vancomycin [viz vancomycin [viz vancomycin [viz vancomycin [ Klinické studie ). V obou studiích pacienti dostávali dificid orálně dvakrát denně po dobu 10 dnů. Pacienti <2 years of age or weighing <12.5 kg or unable to swallow tablets received weight-based doses of Obtížný oral suspension. Patients weighing at least 12.5 kg and able to swallow tablets received the 200 mg Obtížný tablet. The age range in the Phase 2 trial was 11 months to 17 years and in the Phase 3 trial was 1 month to 17 years (one patient was less than 6 months of age).
Jedna smrt došlo v pokusu s jedním ramenem fáze 2. Ve studii fáze 3 došlo k 3 úmrtím u pacientů ošetřených obtížemi a u pacientů s vankomycinem během studijního období (40 dní) žádné úmrtí u pacientů s vankomycinem. Všechna úmrtí došlo u pacientů mladších 2 let a zdálo se, že souvisí s základními komorbidity [viz Klinické studie ].
K přerušení léčby v důsledku nežádoucích účinků došlo u 7,9% (3/38) pacientů ve studii fáze 2 a 1% (1/98) a 2,3% (1/44) pacientů léčených dificid- a vankomycinem ve studii fáze 3. Nejběžnější vybrané nežádoucí účinky, které se vyskytují u ≥ 5% pediatrických pacientů léčených dificidem ve studii fáze 3, jsou uvedeny v tabulce 3.
Tabulka 3: Vybrané nežádoucí účinky s incidencí ≥ 5% hlášených u pediatrických pacientů ošetřených dificidem v kontrolované studii
| Systémová třída orgánů Nežádoucí reakce | Obtížný (N = 98) n (%) | Vankomycin (N = 44) n (%) |
| Gastrointestinální poruchy | ||
| Bolest břicha* | 8 (8.2) | 9 (NULL,5) |
| Zvracení | 7 (7.1) | 6 (13.6) |
| Průjem | 7 (7.1) | 5 (11.4) |
| Zácpa | 5 (5.1) | 1 (2.3) |
| Obecné poruchy a správní stránky Podmínky | ||
| Pyrexia | 13 (13.3) | 10 (NULL,7) |
| Vyšetřování | ||
| Aminotransferázy se zvýšily † | 5 (5.1) | 1 (2.3) |
| Poruchy kůže a podkožní tkáně | ||
| Vyrážka‡ | 5 (5.1) | 1 (2.3) |
| * Zahrnuje bolest břicha břicha a horní bolest břicha † Zahrnuje alanin aminotransferázu zvýšené aspartát aminotransferázy zvýšené a zvýšené enzym jater ‡ Zahrnuje vyrážku folikulární vyrážky makulo-papular a exfoliativní vyrážky |
Následující nežádoucí účinky byly hlášeny v <5% of pediatric patients taking Obtížný in clinical trials:
Poruchy kůže a podkožní tkáně: Urticaria
Post Marketing zkušenosti
Následující nežádoucí účinky byly identifikovány během použití po schválení dificid. Protože tyto reakce jsou hlášeny dobrovolně z populace nejisté velikosti, není vždy možné spolehlivě odhadnout jejich frekvenci nebo vytvořit kauzální vztah k expozici léčiva.
Reakce hypersenzitivity (Dyspnea Angioedema Rash Pruritus)
Interakce léčiva pro obtíže
Fidaxomicin a jeho hlavní metabolit OP-1118 jsou substráty efluxního transportéru P-glykoproteinu (P-gp), který je exprimován v gastrointestinálním traktu.
Cyklosporin
Cyklosporin is an inhibitor of multiple transporters including P-gp. When cyclosporine was co-administered with Obtížný plasma concentrations of fidaxomicin and OP-118 were significantly increased but remained in the ng/mL range [see Klinická farmakologie ]. Concentrations of fidaxomicin and OP-118 may also be decreased at the site of action (i.e. plyntrointestinal tract) via P-gp inhibition; however concomitant P-gp inhibitor use had no attributable effect on safety or treatment outcome of fidaxomicin-treated adult patients in controlled clinical trials. Based on these results fidaxomicin may be co-administered with P-gp inhibitors and no dose adjustment is recommended.
je risperidon stejný jako risperdal
Varování pro obtíže
Zahrnuto jako součást OPATŘENÍ sekce.
Opatření pro Difficid
Reakce přecitlivělosti
Akutní hypersenzitivní reakce, včetně dušnosti vyrážky Pruritus a angioedému v krku a obličeji úst, byly hlášeny s obtížemi. Pokud dojde k závažné hypersenzitivní reakci, měla by být přerušena a měla by být zavedena vhodná terapie.
Někteří pacienti s hypersenzitivními reakcemi na dificid také uváděli anamnézu alergie na jiné makrolidy. Lékaři, kteří předepisují pacienty se známou alergií na makrolidu, by si měli být vědomi možnosti hypersenzitivních reakcí.
Ne pro použití při jiných infekcích než C. obtížné -Asociovaný průjem
Obtížný is not expected to be effective for the treatment of other types of infections due to minimal systemic absorption of fidaxomicin [see Klinická farmakologie ]. Obtížný has not been studied for the treatment of infections other than CDAD. Obtížný should only be used for the treatment of CDAD.
Vývoj bakterií odolných vůči drogám
Předepisování obtíže v nepřítomnosti prokázaného nebo silně podezřelého C. obtížné Infekce pravděpodobně neposkytne výhodu pro pacienta a zvyšuje riziko rozvoje bakterií rezistentních na léčivo.
Informace o poradenství pro pacienta
Doporučujte pacientovi, aby si přečetl značení pacienta schváleného FDA ( Informace o pacientu ).
Orální pozastavení
Odstraňte láhev z chladničky 15 minut před každou podávání.
Poskytněte pacientům nebo pečovatelům, aby používali perorální dávkovací stříkačku ke správnému měření předepsaného množství léků. Informujte pacienty nebo pečovatele, že injekční injekční injekční stříkačky mohou být získány z jejich lékárny.
Informujte pacienty nebo pečovatele, že dificidová perorální pozastavení by měla být připravena zdravotnickým pracovníkem. Doporučujte jim, aby kontaktovali zdravotnického profesionála ohledně jakýchkoli dotazů týkajících se správy difritní perorální pozastavení.
Správa With Food
Informujte pacienty a pečovatele o tom, že dificidní tablety a ústní suspenze mohou být užívány s jídlem nebo bez ní.
Antibakteriální rezistence
Pacienti by měli být informováni o tom, že antibakteriální léčiva včetně dificidu by se měla používat pouze k léčbě bakteriálních infekcí. Ne léčí virové infekce (např. Obecně nachlazení). Když je předepsán Difficid k léčbě a C. obtížný Pacienti s infekcí by měli být řečeni, že ačkoli je běžné se cítit lépe v průběhu terapie, lék by měl být užíván přesně podle pokynů. Přeskočení dávek nebo nedokončení úplného průběhu terapie může (1) snížit účinnost okamžité léčby a (2) zvýšit pravděpodobnost, že se bakterie v budoucnu vyvinou a nebudou v budoucnu léčitelné násilnými nebo jinými antibakteriálními léky.
Neklinická toxikologie
Zhodnocení mutageneze karcinogeneze plodnosti
Dlouhodobé studie karcinogenity nebyly provedeny za účelem vyhodnocení karcinogenního potenciálu fidaxomicinu.
Ani fidaxomicin ani OP-1118 nebyl v testu Ames mutagenní. Fidaxomicin byl také negativní v testu potkana mikronukleus. V buňkách vaječníků čínského křečka byl však fidaxomicin.
Fidaxomicin neovlivnil plodnost samců a samic potkanů při intravenózních dávkách 6,3 mg/kg. Expozice (AUC0-T) byla přibližně 100krát vyšší.
Použití v konkrétních populacích
Těhotenství
Shrnutí rizika
Omezené dostupné údaje o používání difalů u těhotných žen nejsou dostatečné k informování jakéhokoli rizika spojeného s drogami pro hlavní vrozené vady potrat nebo nepříznivé výsledky matky nebo plodu. Studie reprodukce embryo-fetálního reprodukce u potkanů a králíků intravenózně během organogeneze neodhalila žádný důkaz o poškození plodu u fidaxomicinu a OP-1118 (jeho hlavní metabolit) expozice 65krát nebo vyšší než klinická expozice v doporučené dávce náplně. Data ].
Odhadované riziko pozadí hlavních vrozených vad a potratu pro uvedené populace není známo. Všechna těhotenství mají na pozadí riziko ztráty vrozených vad nebo jiných nepříznivých výsledků. V americké obecné populaci je odhadované riziko na pozadí hlavních vrozených vad a potratu u klinicky uznávaných těhotenství 2 až 4% a 15 až 20%.
Data
Údaje o zvířatech
U těhotných potkanů byl fidaxomicin podáván intravenózně v dávkách 4 8 a 15 mg/kg/den od dne 6. do 17. do 17. den (během období organogeneze). V této studii nebyly zaznamenány žádné embryo/fetální účinky na expozicích (AUC) 193krát vyšší pro fidaxomicin a 65krát vyšší pro OP-1118 než klinická expozice při doporučené dávce.
U těhotných králíků byl fidaxomicin podáván intravenózně v dávkách 2 4 a 7,5 mg/kg/den od dne 6. do 18 let (během období organogeneze). V této studii nebyly zaznamenány žádné embryo/fetální účinky při expozicích 66krát vyšší pro fidaxomicin a 245krát vyšší pro OP-1118 než klinická expozice při odlišné dávce.
Laktace
Shrnutí rizika
Neexistují žádné informace o přítomnosti fidoxomicinu nebo jeho hlavního metabolitu OP-1118 v lidském mléce účinky na kojené dítě nebo účinky na produkci mléka. Vývojové a zdravotní přínosy kojení by měly být zváženy spolu s klinickou potřebou matky pro obtíže a jakékoli potenciální nepříznivé účinky na kojené dítě z diricidní nebo ze základního mateřského stavu.
Dětské použití
U pediatrických pacientů byla stanovena bezpečnost a účinnost Difficid pro léčbu CDAD 6 měsíců do méně než 18 let. Použití rozdílného v těchto věkových skupinách je podporováno důkazy z přiměřených a dobře kontrolovaných pokusů s obtížemi u dospělých s údaji o dětských pokusech s CDAD a farmakokinetickou bezpečností a účinností [viz viz Klinická farmakologie Klinické studie ]. No new safety signals associated with the use of Obtížný in pediatric patients were identified in the pediatric trials [see Nežádoucí účinky ].
U pediatrických pacientů mladších 6 měsíců věku nebyla stanovena bezpečnost a účinnost Difficid.
Geriatrické použití
Z celkového počtu pacientů v kontrolovaných studiích s odlišnými 50% bylo 65 let a více, zatímco 31% bylo 75 a více. Mezi těmito subjekty a mladšími subjekty nebyly pozorovány žádné celkové rozdíly v bezpečnosti nebo účinnosti difficidy ve srovnání s vankomycinem.
V kontrolovaných studiích měli starší pacienti (≥ 65 let) vyšší plazmatické koncentrace fidaxomicinu a jeho hlavní metabolitové OP-1118 versus neexariální pacienty (( <65 years of age) [see Klinická farmakologie ]. However greater exposures in elderly patients were not considered to be clinically significant. No dose adjustment is recommended for elderly patients.
Informace o předávkování pro obtížné
U lidí nebyly hlášeny žádné případy akutního předávkování. Nebyly pozorovány žádné nežádoucí účinky související s lékem u psů s dávkovanými tabletami fidAxomicinu při 9600 mg/den (více než 100krát větší dávka měřítka hmotnosti) po dobu 3 měsíců.
Kontraindikace pro difficid
Obtížný is contraindicated in patients who have known hypersensitivity to fidaxomicin or any other ingredient in Obtížný [see Varování a preventivní opatření ].
Klinická farmakologie for Dificid
Mechanismus působení
Fidaxomicin je antibakteriální lék [viz Mikrobiologie ].
Farmakodynamika
Fidaxomicin působí lokálně v gastrointestinálním traktu C. obtížné . V dávce rozpětí (n = 48) fidoxomicinu za použití 50 mg 100 mg a 200 mg dvakrát denně po dobu 10 dnů byl pozorován vztah dávky-reakce na účinnost.
Farmakokinetika
Farmakokinetické parametry fidoxomicinu a jeho hlavní metabolit OP-1118 po jedné dávce 200 mg u zdravých dospělých mužů (n = 14) jsou shrnuty v tabulce 4.
Tabulka 4: Průměrná (± standardní odchylka) Farmakokinetické parametry fidoxomicinu 200 mg u zdravých dospělých mužů
| Parametr | Fidaxomicin | OP-118 | ||
| N | Hodnota | N | Hodnota | |
| CMAX (ng/ml) | 14 | 5,20 ± 2,81 | 14 | 12,0 ± 6,06 |
| Tmax (h)* | 14 | 2,00 (NULL,00–5,00) | 14 | 1,02 (NULL,00–5,00) |
| AUC0-T (OF-H/ML) | 14 | 48,3 ± 18,4 | 14 | 103 ± 39,4 |
| AUC0 -∞ (OF -H/ML) | 9 | 62,9 ± 19,5 | 10 | 118 ± 43,3 |
| T½ (h) | 9 | 11,7 ± 4,80 | 10 | 11,2 ± 3,01 |
| * Tmax hlášen jako medián (rozsah). Maximální pozorovaná koncentrace CMAX; Čas TMAX do maximální pozorované koncentrace; Plocha AUC0-T pod křivkou koncentrace času od času 0 do poslední měřené koncentrace; Oblast AUC0-∞ pod křivkou koncentrace času od času 0 do nekonečna; T½ eliminace poločas |
Vstřebávání
Fidaxomicin has minimal systemic absorption following oral administration with plasma concentrations of fidaxomicin and OP-118 in the ng/mL range at the therapeutic dose. In fidaxomicin-treated patients from controlled trials plasma concentrations of fidaxomicin and OP-118 obtained within the Tmax window (1-5 hours) were approximately 2- to 6-fold higher than Cmax values in healthy adults. Following administration of Obtížný 200 mg twice daily for 10 days OP-118 plasma concentrations within the Tmax window were approximately 50%-80% higher than on Day 1 while concentrations of fidaxomicin were similar on Days 1 and 10.
Ve studii potravinového účinku zahrnující podávání difritic k zdravým dospělým (n = 28) s jídlem s vysokým obsahem tuku oproti za podmínek půstu CMAX fidAxomicinu a OP-1118 se snížil o 21,5% a 33,4%, zatímco AUC0-T zůstal nezměněn. Tento pokles CMAX se nepovažuje za klinicky významný, a proto může být podáván s potravinami nebo bez ní.
Rozdělení
Fidaxomicin is mainly confined to the plyntrointestinal tract following oral administration. In selected patients (N=8) treated with Obtížný 200 mg twice daily for 10 days from controlled trials fecal concentrations of fidaxomicin and OP-118 obtained within 24 hours of the last dose ranged from 639-2710 μg /g and 213-1210 μg /g respectively. In contrast plasma concentrations of fidaxomicin and OP-118 within the Tmax window (1-5 hours) ranged 2-179 ng/mL and 10-829 ng/mL respectively.
Odstranění
Metabolismus
Fidaxomicin is primarily transformed by hydrolysis at the isobutyryl ester to form its main and microbiologically active metabolite OP-118. Metabolismus of fidaxomicin and formation of OP-118 are not dependent on cytochrome P450 (CYP) enzymes.
V terapeutické dávce OP-1118 byla převládající cirkulující sloučenina u zdravých dospělých následovanou fidaxomicinem.
Vylučování
Fidaxomicin is mainly excreted in feces. In one trial of healthy adults (N=11) more than 92% of the dose was recovered in the stool as fidaxomicin and OP-118 following single doses of 200 mg and 300 mg. In another trial of healthy adults (N=6) 0.59% of the dose was recovered in urine as OP-118 only following a single dose of 200 mg.
Konkrétní populace
Geriatričtí pacienti
V kontrolovaných studiích u pacientů léčených rozdíly 200 mg dvakrát denně po dobu 10 dnů a střední hodnoty plazmatických koncentrací fidaxomicinu a op-1118 v okně TMAX (1-5 hodin) byly při přibližně 2 až 4krát vyšší u starších pacientů (≥ 65 let) oproti nonderder pacientům (pacienty s mimozemšťany (≥ 65 let) (≥ 65 let) (≥65 let) (≥65 let) (≥ 65 let) (≥ 65 let) (≥ 65 let) ( <65 years of age). Despite greater exposures in elderly patients fidaxomicin and OP-118 plasma concentrations remained in the ng/mL range [see Použití v konkrétních populacích ].
Pediatričtí pacienti
Podobně jako u dospělých má fidaxomicin s minimální systémovou absorpcí po perorálním podání ve všech věkových skupinách u pediatrických pacientů. Plazmatické koncentrace zůstaly v rozmezí Ng/ml v terapeutické dávce u pediatrických pacientů s průměrnou (standardní odchylkou) plazmatickými koncentracemi 39,41 (NULL,15) ng/ml fidaxomicinu a 116,64 (NULL,10) ng/ml OP-1118 při 1 až 5 hodinách po dálnici.
Pacienti s muži a ženy
Plazmatické koncentrace fidAxomicinu a OP-1118 v okně TMAX (1-5 hodin) se nelišily podle pohlaví u pacientů léčených odlišným 200 mg dvakrát denně po dobu 10 dnů od kontrolovaných studií. Na základě pohlaví se nedoporučuje žádná úprava dávky.
Pacienti s poškozením ledvin
In controlled trials of patients treated with DIFICID 200 mg twice daily for 10 days plasma concentrations of fidaxomicin and OP-1118 within the Tmax window (1-5 hours) did not vary by severity of renal impairment (based on creatinine clearance) between mild (51-79 mL/min) moderate (31-50 mL/min) and severe (≤ 30 mL/min) categories. Na základě funkce ledvin se nedoporučuje žádná úprava dávky.
Pacienti s poškozením jater
Dopad jaterního poškození na farmakokinetiku fidaxomicinu nebyl vyhodnocen. Nezdá se, že by se fidaxomicin a OP-1118 nezdály významné eliminaci jaterního metabolismu fidAxomicinu a OP-1118, že bude významně ovlivněn jaterním poškozením.
Studie interakce léčiva
Byly provedeny studie in vivo za účelem vyhodnocení interakce střevního léčiva léčiva fidaxomicinu jako inhibitoru p-gp p-gp a inhibitor hlavních enzymů CYP exprimovaných v gastrointestinálním traktu (CYP3A4 CYP2C9 a CYP2C19).
Tabulka 5 shrnuje dopad spolupracovního léčiva (inhibitor P-gp) na farmakokinetiku fidaxomicinu [viz viz Lékové interakce ].
Tabulka 5: Farmakokinetické parametry fidAxomicinu a OP-1118 v přítomnosti spolupracovního léku
| Parametr | Cyklosporin 200 mg + Fidaxomicin 200 mg* (N = 14) | Fidaxomicin 200 mg Alone (N = 14) | Průměrný poměr parametrů s/bez spolupracovního léčiva (90% CI †) Žádný účinek = 1,00 | ||
| N | Střední | N | Střední | ||
| Fidaxomicin | |||||
| CMAX (ng/ml) | 14 | 19.4 | 14 | 4.67 | 4.15 (3.23-5,32) |
| AUC0 -∞ (OF -H/ML) | 8 | 114 | 9 | 59.5 | 1.92 (1.39-2,64) |
| OP-118 | |||||
| CMAX (ng/ml) | 14 | 100 | 14 | 10.6 | 9.51 (NULL,93-13.05) |
| AUC0 -∞ (OF -H/ML) | 12 | 438 | 10 | 106 | 4.11 (3.06-5,53) |
| * Cyklosporin byl podáván 1 hodinu před fidaxomicinem. † CI - interval spolehlivosti |
Fidaxomicin had no significant impact on the pharmacokinetics of the following co-administered drugs: digoxin (P-gp substrate) midazolam (CYP3A4 substrate) warfarin (CYP2C9 substrate) and omeprazole (CYP2C19 substrate). No dose adjustment is warranted when fidaxomicin is co-administered with substrates of P-gp or CYP enzymes.
Mikrobiologie
Mechanismus působení
Fidaxomicin is a fermentation product obtained from the Actinomycete Dactylosporangium aurantiacum. Fidaxomicin is a macrolide antibacterial drug that inhibits RNA synthesis by binding to RNA polymerases. Fidaxomicin is bactericidal against C. obtížné in vitro a demonstruje post-antibiotický efekt Vs. C. obtížné 6-10 hodin.
Odpor
Fidaxomicin demonstrates no in vitro cross-resistance with other classes of antibacterial drugs. In vitro studies indicate a low frequency of spontaneous resistance to fidaxomicin in C. obtížné (v rozsahu od <1.4 × 10 -9 do 12,8 ã - 10 -9 ). A specific mutation (Val-ll43-Gly) in the beta subunit of RNA polymerase is associated with reduced susceptibility to fidaxomicin. This mutation was created in the laboratory and seen during clinical trials in a C. obtížný Izolát získaný od dospělého subjektu ošetřeného Difficidem, který měl recidivu CDAD. Minimální inhibiční koncentrace fidaxomicinu (MIC) C. obtížné Izolát z tohoto subjektu se zvýšil z výchozí hodnoty 0,06 μg/ml na 16 μg/ml v době recidivy CDAD.
Interakce s jinými antimikrobiálními látkami
Fidaxomicin and its main metabolite OP-118 do not exhibit any antagonistic interaction with other classes of antibacterial drugs. Synergistic interactions of fidaxomicin and OP-118 have been observed in vitro with rifampin and rifaximin against C. obtížné .
Antimikrobiální aktivita
Fidaxomicin has been shown to be active against most isolates of Clostridioides (formerly Clostridium) obtížný both in vitro and in clinical infections [see Indikace a použití ].
Testování citlivosti
Konkrétní informace o interpretačních kritériích a souvisejících metodách testování a standardech kontroly kvality vyznačené FDA pro tento lék naleznete na adrese: https://www.fda.gov/stic.
Klinické studie
Klinické studie Of Obtížný In Dospělí pacienti With CDAD
Ve dvou randomizovaných dvojitě zaslepených studiích byl použit návrh neinferitu k prokázání účinnosti difficidních (200 mg tablet dvakrát denně po dobu 10 dnů) ve srovnání s vankomycinem (125 mg čtyřikrát denně po dobu 10 dnů) u dospělých s CDAD.
Zapsaní pacienti byli ve věku 18 let a starší a dostali více než 24 hodin předúpravy s vankomycinem nebo metronidazolem. CDAD byl definován> 3 neformovanými pohyby střev (nebo> 200 ml neformované stolice pro subjekty, které mají rektální sběr zařízení) v 24 hodinách před randomizací a přítomností obou C.obtížný Toxin A nebo B ve stolici do 48 hodin po randomizaci. Zapsaní pacienti neměli v posledních třech měsících žádnou předchozí historii CDAD nebo pouze jednu předchozí epizodu CDAD. Vyloučeny byly vyloučeny subjekty s ohrožující/fulminační infekcí hypotenze Peritoneální znaky významné dehydratace nebo toxický megakolon.
Demografický profil a základní charakteristiky CDAD u zapsaných subjektů byly ve dvou pokusech podobné. Pacienti měli střední věk 64 let hlavně bílý (90%) samice (58%) a pacienty (63%). Střední počet pohybů střev za den byl 6 a 37% subjektů měl závažný CDAD (definovaný jako 10 nebo více neformovaných pohybů střev za den nebo WBC ≥15000/mm³). Samotný průjem byl hlášen u 45% pacientů a 84% subjektů nemělo žádnou předchozí epizodu CDAD.
Koncovým bodem primární účinnosti byla míra klinické odpovědi na konci léčby na základě zlepšení průjmu nebo jiných příznaků, takže při úsudku vyšetřovatele nebyla nutná další léčba CDAD. Další koncový bod účinnosti byl udržován klinickou odpověď 25 dní po ukončení léčby. Trvalá odpověď byla hodnocena pouze u pacientů, kteří byli klinickými úspěchy na konci léčby. Trvalá odpověď byla definována jako klinická odpověď na konci léčby a přežití bez prokázaného nebo podezření na recidivu CDAD během 25 dnů po skončení léčby.
Výsledky pro klinickou odpověď na konci léčby v obou studiích uvedených v tabulce 6 ukazují, že dificid je neinferior na vankomycin na základě 95% intervalu spolehlivosti (CI) dolní limity, než je větší marže o inferiority -10%.
Výsledky pro trvalou klinickou odpověď na konci sledovacího období také uvedené v tabulce 6 ukazují, že dificid je v tomto koncovém bodě lepší než vankomycin. Vzhledem k tomu, že klinický úspěch na konci léčby a úmrtnosti byly podobné napříč léčebnými rameny (přibližně 6% v každé skupině), byly rozdíly v trvalé klinické odpovědi způsobeny nižší mírou prokázaného nebo podezření na CDAD během sledovacího období u obtížených pacientů.
Tabulka 6: Míra klinické odpovědi při ukončení léčby a trvalá reakce po 25 dnech po léčbě u dospělých pacientů
| Klinická odpověď na konci léčby | Trvalá reakce po 25 dnech po ošetření | |||||
| Obtížný % (N) | Vankomycin % (N) | Rozdíl (95% CI)* | Obtížný % (N) | Vankomycin % (N) | Rozdíl (95% CI)* | |
| Pokus 1 | 88% | 86% | 2,6% | 70% | 57% | 12,7% |
| (N = 289) | (N = 307) | (-2,9% 8,0%) | (N = 289) | (N = 307) | (NULL,4% 20,9%) | |
| Zkouška 2 | 88% | 87% | 1,0% | 72% | 57% | 14,6% |
| (N = 253) | (N = 256) | (-4,8% 6,8%) | (N = 253) | (N = 256) | (NULL,8% 23,3%) | |
| * Interval spolehlivosti (CI) byl odvozen pomocí Wilsonovy metody skóre. Přibližně 5%-9% údajů v každé studii a léčebné rameni chyběly trvalé informace o odezvě a byly imputovány pomocí metody více imputace. |
K identifikaci byla použita analýza endonukleázy restrikcí (REA) C. obtížné Základní izoláty ve skupině BI skupiny spojené se zvyšující se mírou a závažností CDAD v USA v letech před klinickými hodnoceními. Podobné míry klinické odpovědi na konci léčby a prokázané nebo podezření na CDAD během sledovacího období byly pozorovány u pacientů léčených fidaxomicinem a vankomycinem ošetřeným infikovaným izolátem BI. Difficid však ve srovnání s vankomycinem neprokázal nadřazenost trvalé klinické odpovědi (tabulka 7).
Tabulka 7: Trvalá klinická odpověď 25 dní po léčbě C. obtížné Skupina REA na počátku u dospělých pacientů
| Pokus 1 | |||
| Počáteční C. obtížné Skupina | Obtížný N/N (%) | Vankomycin N/N (%) | Rozdíl (95% CI)* |
| BI izoláty | 44/76 (58%) | 52/82 (63%) | -5,5% (-20,3% 9,5%) |
| Izoláty non-bi | 105/126 (83%) | 87/131 (66%) | 16,9% (NULL,3% 27,0%) |
| Zkouška 2 | |||
| Počáteční C. obtížné Skupina | Obtížný N/N (%) | Vankomycin N/N (%) | Rozdíl (95% CI)* |
| BI izoláty | 42/65 (65%) | 31/60 (52%) | 12,9% (-4,2% 29,2%) |
| Izoláty non-bi | 109/131 (83%) | 77/121 (64%) | 19,6% (NULL,7% 30,0%) |
| * Test interakce mezi vlivem na míru trvalé odezvy a BI versus izoláty ne-BI pomocí logistické regrese (p-hodnoty: pokus 1: 0,009; pokus 2: 0,29). Přibližně 25% populace Mitt chybělo údaje o skupině REA. Intervaly spolehlivosti (CI) byly odvozeny pomocí Wilsonovy metody skóre. |
Klinické studie Of Obtížný In Pediatričtí pacienti With CDAD
Bezpečnost a účinnost diferenčních pacientů u pediatrických pacientů 6 měsíců do méně než 18 let byla zkoumána v multicentrickém vyšetřovateli ve fázi 3 randomizovaná srovnávací studie (NCT02218372). V této studii bylo randomizováno 148 pacientů, z nichž 142 obdrželo buď dificidní nebo vankomycin v poměru 2: 1. Randomizovaní pacienti byli stratifikováni podle věkové skupiny následovně: 30 ve věku 6 měsíců <2 years 49 aged 2 to <6 years 40 aged 6 to <12 years and 29 aged 12 to <18 years (one patient <6 months of age was enrolled in the trial). Treatment arms were balanced regarding demographics and other baseline characteristics.
Klinická odpověď pro pacienty <2 years of age was defined as the absence of watery stools for at least 2 consecutive days while on treatment and the patient remained well with no requirement for further CDAD therapy through 2 days after completing treatment as assessed by the Investigator. Klinická odpověď pro pacienty ≥2 až <18 years of age was defined as <3 unformed bowel movements for at least 2 consecutive days while on treatment and the patient remained well with no requirement for further CDAD therapy through 2 days after completing treatment as assessed by the Investigator. Sustained clinical response was defined as the proportion of treated patients with confirmed clinical response and no CDAD recurrence through 30 days after end of treatment. The clinical response and sustained clinical response overall and by age groups are presented in Table 8.
Tabulka 8: Klinická odpověď a trvalá reakce celkově a podle věkové skupiny u dětských pacientů
| Klinická odpověď | Trvalá reakce po 30 dnech po léčbě | |||||
| Obtížný N/N (%) | Vankomycin N/N (%) | Rozdíl (95% CI) | Obtížný N/N (%) | Vankomycin N/N (%) | Rozdíl (95% CI) | |
| Celkově | 76/98 (NULL,6) | 31/44 (NULL,5) | 7.5 (-7.423.9) | 67/98 (NULL,4) | 22/44 (50.0) | 18.4 (NULL,5 35.3) |
| <2 years | 13/20 (NULL,0) | 9/10 (90.0) | 11/20 (NULL,0) | 7/10 (70.0) | ||
| ≥2 až <6 years | 25/32 (78.1) | 12/16 (NULL,0) | 21/32 (NULL,6) | 8/16 (NULL,0) | ||
| ≥6 až <12 years | 23/26 (NULL,5) | 5/10 (50.0) | 22/26 (NULL,6) | 4/10 (40.0) | ||
| ≥12 až <18 years | 15/20 (NULL,0) | 5/8 (NULL,5) | 13/20 (NULL,0) | 3/8 (NULL,5) |
Informace o pacientovi pro odlišné
Žádné informace. Viz prosím Varování a preventivní opatření sekce.