Informace Na Stránce Nepředstavují Lékařskou Radu. Nic Neprodáváme. Přesnost Překladu Není Zaručena. Zřeknutí Se Odpovědnosti



AUVI-Q

Shrnutí drog

Co je AUVI-Q?

Injekce AUVI-Q (epinefrin) je sympatomimetický katecholamin používaný při pohotovostním léčbě alergických reakcí nebo anafylaxe, která může být způsobena bodnutími nebo kousky z hmyzu z hmyzu (jako jsou včely hornity žluté bundy hasiči a kosati a komáry) Diagnostická léčiva IDIOPATIKA (neznámé) nebo indukované) nebo indukované) nebo indukované) nebo indukované).

Jaké jsou vedlejší účinky AUVI-Q?

Mezi běžné vedlejší účinky injekce AUVI-Q patří:



  • úzkost
  • obava
  • nervozita
  • neklid
  • Tremor nebo Shakeness
  • slabost
  • závrať
  • pocení
  • zvýšená srdeční frekvence
  • Palpitace srdce
  • nepravidelný srdeční rytmus
  • bledá kůže (bledost)
  • nevolnost a zvracení
  • bolest hlavy
  • potíže s dýcháním a
  • Reakce místa injekce (zarudnutí modřiny krvácení zbarvení).

Řekněte svému lékaři, pokud máte vážné vedlejší účinky injekce AUVI-Q, jako jsou arytmie, včetně fatální komorové fibrilace.



Dávkování pro AUVI-Q

Pokud máte 66 liber nebo těžší, doporučená dávka AUVI-Q je 0,3 mg a 0,15 mg, pokud máte 33 až 66 liber. Kromě okamžité lékařské péče by měla být AUVI-Q používána. Nepříkňujte AUVI-Q intravenózně do hýždě nebo prstů rukou nebo nohou. Přestože AUVI-Q obsahuje sulfitem, můžete stále používat AUVI-Q, pokud jste citliví na sírany. Upozornění by mělo být použito, pokud máte srdeční onemocnění srdeční arytmie koronární tepny nebo organický srdeční onemocnění Hypertenze hypertyreózy diabetes a starší jedinci.

Jaké léčivé látky nebo doplňky interagují s AUVI-Q?

AUVI-Q může interagovat se srdečními glykosidy Diuretika Anti-arrhytmická antidepresiva monoamin oxidáza inhibitory levothyroxin sodné antihistaminiky Beta-blokátory alfa blokátory nebo ergot alkaloidy. Řekněte svému lékaři všechny léky, které používáte.



AUVI-Q během těhotenství a kojení

Pokud jste těhotná nebo kojení, měla by být také opatrná opatrnost.

Další informace

Naše AUVI-Q (epinefrin) vedlejší účinky Drug Center poskytuje komplexní pohled na dostupné informace o drogách o možných vedlejších účincích při užívání tohoto léku.

Informace o drogách FDA

Popis pro AUVI-Q

AUVI-Q (injekce epinefrinu USP) 0,3 mg 0,15 mg a 0,1 mg je auto-injektor a kombinovaný produkt obsahující komponenty léčiva a zařízení.

AUVI-Q zahrnuje zvukové (elektronické hlasové instrukce pípnutí) a viditelné (LED světla) narážky pro použití. Jehla se po dokončení injekce automaticky zatahuje.

Každá AUVI-Q 0,3 mg poskytuje jednu dávku 0,3 mg epinefrinu z injekce epinefrinu USP (NULL,3 ml) ve sterilním roztoku.

Každá AUVI-Q 0,15 mg poskytuje jednu dávku 0,15 mg epinefrinu z injekce epinefrinu USP (NULL,15 ml) ve sterilním roztoku.

Každá AUVI-Q 0,1 mg poskytuje jednu dávku 0,1 mg epinefrinu z injekce epinefrinu USP (NULL,1 ml) ve sterilním roztoku.

AUVI-Q 0,3 mg AUVI-Q 0,15 mg a AUVI-Q 0,1 mg každý obsahuje 0,76 ml epinefrinového roztoku. 0,3 ml 0,15 ml a 0,1 ml roztoku epinefrinu je vydán pro AUVI-Q 0,3 mg AUVI-Q 0,15 mg a AUVI-q 0,1 mg při aktivaci. Zbývající řešení není k dispozici pro budoucí použití a mělo by být vyřazeno.

Každý 0,3 ml v AUVI-Q 0,3 mg obsahuje 0,3 mg epinefrin 2,3 mg chloridu sodného sodného 0,5 mg sodný bisulfitový kyselina chlorochlorová pro upravení pH a vody pro injekci. Rozsah pH je 2,2–5,0.

Každý 0,15 ml v AUVI-Q 0,15 mg obsahuje 0,15 mg epinefrinu 1,2 mg chloridu sodného 0,2 mg sodný bisulfitu chlorovodíku pro upravení pH a vody pro injekci. Rozsah pH je 2,2–5,0.

Každý 0,1 ml v AUVI-Q 0,1 mg obsahuje 0,1 mg epinefrinu 0,78 mg chloridu sodného 0,15 mg sodného bisulfitu chlorovodíkové kyseliny pro upravení pH a vody pro injekci. Rozsah pH je 2,2–5,0.

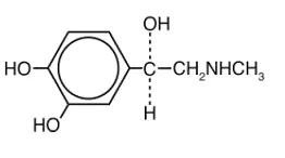
Epinefrin je sympatomimetický katecholamin. Chemicky epinefrin je (-)-34- dihydroxy-a-[(methylamino) methyl] benzylalkohol s následující strukturou:

Roztok epinefrinu se rychle zhoršuje při vystavení vzduchu nebo světlu, který se zdoknomuje z oxidace na adrenochrom a hnědý z tvorby melaninu.

AUVI-Q není vyrobena z latexu přírodního gumy.

Instruktážní a bezpečnostní systémy AUVI-Q by měly být před použitím důkladně přezkoumány s pacienty a pečovateli [Viz [Viz Informace o pacientu ].

Použití pro AUVI-Q

AUVI-Q® is indicated in the emergency treatment of allergic reactions (Type I) including anaphylaxis to stinging insects (e.g. order Hymenoptera which include bees wasps hornets yellow jackets and fire ants) and biting insects (e.g. triatoma mosquitoes) allergen immunotherapy foods drugs diagnostic testing substances (e.g. radiocontrast media) and other allergens as well as idiopatická anafylaxe nebo anafylaxe vyvolaná cvičením.

AUVI-Q je určena k okamžitému podání u pacientů u pacientů, u nichž je rozhodnuto být vystaven zvýšenému riziku anafylaxe, včetně jedinců s anafylaktickou reakcí.

Anafylaktické reakce se mohou objevit během několika minut po expozici a skládat se z propláchnutí synkopy synkopy tachykardie nitě nebo nedotknutelného impulsu spojeného s poklesem krevního tlaku zvracení průjmu a břišních křečích angiosecema.

AUVI-Q je určena k okamžitému samosprávě pouze jako nouzová podpůrná terapie a není náhradou za okamžitou lékařskou péči.

Dávkování pro AUVI-Q

Výběr vhodné pevnosti dávky (AUVI-Q 0,3 mg AUVI-Q 0,15 mg nebo AUVI-Q 0,1 mg) se stanoví podle tělesné hmotnosti pacienta.

  • Pacienti větší nebo rovnou 30 kg (přibližně 66 liber nebo více): AUVI-Q 0,3 mg
  • Pacienti 15 až 30 kg (33 až 66 liber): AUVI-Q 0,15 mg
  • Pacienti 7,5 až 15 kg (NULL,5 až 33 liber): AUVI-Q 0,1 mg

Vložte AUVI-Q intramuskulárně nebo subkutánně do anterolaterálního aspektu stehna oděvem v případě potřeby. Poučte pečovatele malých dětí a kojenců, kterým je předepsán AUVI-Q a kteří mohou být nespolupracující a kopat nebo pohybovat během injekce, aby drželi nohu dítěte pevně na místě a omezili pohyb před a během injekce [viz viz Varování a preventivní opatření ].

Každá AUVI-Q obsahuje jednu dávku epinefrinu pro injekci jednoho použití. Protože dávky epinefrinu dodávané z AUVI-Q jsou fixovány zvažte použití jiných forem injekčního epinefrinu, pokud jsou dávky nižší než 0,1 mg považovány za nezbytné.

Přední lékař by měl pečlivě posoudit každého pacienta, aby určil nejvhodnější dávku epinefrinu rozpoznávající život ohrožující povahu reakcí, pro které je tento lék označen. Při závažných přetrvávajících anafylaxech může být nutné opakovat injekce s další AUVI-Q. Více než dvě sekvenční dávky epinefrinu by měly být podávány pouze pod přímým lékařským dohledem [viz viz Varování a preventivní opatření ].

Roztok epinefrinu v okně AUVI-Q by měl být vizuálně kontrolován na částice a zbarvení. Epinefrin je citlivý na světlo a měl by být uložen ve vnějším pouzdře, který jej chrání před světlem [viz Skladování a manipulace ].

Jak dodáno

Dávkování Forms And Strengths

  • Injekce 0,3 mg/0,3 ml injekce epinefrinu předem naplněná
  • Injekce 0,15 mg/0,15 ml injekce epinefrinu předem naplněná
  • Injekce 0,1 mg/0,1 ml injekce epinefrinu předem naplněná

Karton obsahující dva auto-injektory AUVI-Q (injekce epinefrinu) 0,3 mg a jediný trenér AUVI-Q- NDC 60842-023-01

Karton obsahující dva auto-injektory AUVI-Q (injekce epinefrinu) 0,15 mg a jediný trenér AUVI-Q- NDC 60842-022-01

Karton obsahující dva AUVI-Q (epinefrin Injection USP) 0,1 mg autoinjektory a jediný trenér AUVI-Q- NDC 60842-021-01

Skladování a manipulace

Epinefrin je citlivý na světlo a měl by být uložen ve vnějším pouzdře, který je chráněn před jeho světlem. Ukládat při 20 ° až 25 ° C (68 ° až 77 ° F); Exkurze povoleny na 15 ° až 30 ° C (59 ° až 86 ° F) [viz viz Teplota místnosti s kontrolou USP ]. Ne refrigerate. Before using check to make sure the solution in the auto-injector is clear a colorless.

Vyměňte auto-injektor, pokud je roztok zbarven zataženo nebo obsahuje částice.

Vyrobeno pro: Kaleo Inc. Richmond VA 23219 USA. Revidováno: prosinec 2019

Vedlejší účinky pro AUVI-Q

Kvůli nedostatku randomizovaných kontrolovaných klinických studií epinefrinu pro léčbu anafylaxe je obtížné určit skutečný výskyt nežádoucích účinků spojených se systémovým používáním epinefrinu. Níže jsou uvedeny nežádoucí účinky hlášené v pozorovacích studiích a studiích.

Mezi běžné nežádoucí účinky na systémově podávané epinefrin patří úzkost; obavy; neklid; tremor; slabost; závrať; pocení; palpitace; bledost; nevolnost a zvracení; bolest hlavy; a/nebo respirační potíže. Tyto příznaky se vyskytují u některých osob, které dostávají terapeutické dávky epinefrinu Varování a preventivní opatření ].

Arytmie včetně fatální komorové fibrilace byly hlášeny zejména u pacientů se základní srdeční onemocnění nebo u pacientů, kteří dostávali určité léky [viz Varování a preventivní opatření a Lékové interakce ].

Rychlé zvýšení krevního tlaku způsobilo mozkové krvácení zejména u starších pacientů s kardiovaskulárním onemocněním [viz viz Varování a preventivní opatření ].

Angina se může objevit u pacientů s onemocněním koronárních tepen [viz Varování a preventivní opatření ].

U pacientů léčených epinefrinem byly hlášeny vzácné případy stresové kardiomyopatie.

Tryptofan Ostatní drogy ve stejné třídě

Náhodná injekce do rukou nebo nohou číslic může vést ke ztrátě průtoku krve do postižené oblasti [viz Varování a preventivní opatření ].

Nežádoucí účinky, které se vyskytují v důsledku náhodných injekcí, mohou zahrnovat zvýšené lokální reakce srdeční frekvence, včetně injekčního místa blesku chladu a hypoestézie nebo poranění v místě injekce, což má za následek modřiny krvácení zbarvení erytému nebo kosterního poškození.

Injekce epinefrinu do hýždě vyústila v případy plynové gangrény [viz Varování a preventivní opatření ].

V injekčním místě po injekci epinefrinu do stehna byly v místě injekce hlášeny vzácné případy vážných případů vážných kožních a měkkých tkání [viz viz nekrotizující fasciitida a myonekróza způsobená Clostridií (plynná gangréna) po injekci epinefrinu [viz viz Varování a preventivní opatření ].

Interakce léčiva pro AUVI-Q

Pacienti, kteří dostávají epinefrin, zatímco současně užívají srdeční glykosidy diuretika nebo anti-arrytmiku, by měli být pečlivě pozorováni pro vývoj srdečních arytmií [viz viz Varování a preventivní opatření ].

Účinky epinefrinu mohou být zesíleny tricyklickými antidepresivami monoamin oxidázy levothyroxin sodík a určitými antihistaminikami zejména chlorfeniramin trilennamin a difenhydraminem.

Kardiostimulační a bronchodilační účinky epinefrinu jsou antagonizovány beta-adrenergními blokovacími léky, jako je propranolol.

Vasokonstrikční a hypertenzní účinky epinefrinu jsou antagonizovány alfa-adrenergním blokováním léčiv, jako je fentolamin.

Alkaloidy ergot mohou také zvrátit tiskové účinky epinefrinu.

Varování pro AUVI-Q

Zahrnuto jako součást OPATŘENÍ sekce.

Opatření pro AUVI-Q

Nouzové ošetření

AUVI-Q není zamýšlena jako náhrada za okamžitou lékařskou péči. Ve spojení s podáváním epinefrinu by měl pacient hledat okamžitou lékařskou nebo nemocniční péči. Více než dvě sekvenční dávky epinefrinu by měly být podávány pouze pod přímým lékařským dohledem [viz viz Indikace a použití Dávkování a podávání a Informace o pacientu ].

Komplikace související s injekcí

AUVI-Q by měla být injikována pouze do anterolaterálního aspektu stehna [viz Dávkování a podávání a Informace o pacientu ].

  • Nepříkněte si intravenózně. Velké dávky nebo náhodná intravenózní injekce epinefrinu mohou vést k mozkovému krvácení v důsledku prudkého zvýšení krevního tlaku. Rychle působící vazodilatátory mohou působit proti výrazným tiskovým účinkům epinefrinu, pokud existuje takové neúmyslné podávání.
  • Nepříkňujte do hýždě. Injekce do hýždě nemusí poskytnout účinnou léčbu anafylaxe. Poraďte pacienta, aby šel okamžitě do nejbližší pohotovostní místnosti pro další ošetření anafylaxe. Navíc injekce do hýždě byla spojena s blízkovými infekcemi (plynná gangréna). Čištění alkoholem nezabíjí bakteriální spóry, a proto toto riziko nesnižuje.
  • Nepřikládejte do číslic rukou nebo nohou. Protože epinefrin je silná vazokonstrikční náhodná injekce do rukou číslic nebo nohou, může vést ke ztrátě průtoku krve do postižené oblasti. Poraďte pacienta, aby šel okamžitě do nejbližší pohotovostní místnosti a informoval poskytovatele zdravotní péče v pohotovostní místnosti umístění náhodné injekce. Léčba takového neúmyslného podávání by měla kromě dalšího zacházení s anafylaxí spočívat z vazodilatace [viz viz Nežádoucí účinky ].
  • Během injekce pevně držte nohu. Chcete-li minimalizovat riziko zranění souvisejícího s injekcí při podávání AUVI-Q malým dětem nebo kojencům, které dávají pečovatelům, aby drželi nohu dítěte pevně na místě a omezili pohyb před a během injekce.

Vážné infekce v místě injekce

V injekčním místě po injekci po injekci epinefrinu pro anafylaxi byly hlášeny vzácné případy vážných případů vážných infekcí kůže a měkkých tkání. Na kůži mohou být přítomny spory Clostridium a zavedeny do hluboké tkáně s subkutánní nebo intramuskulární injekcí. Zatímco očištění alkoholem může snížit přítomnost bakterií na čištění alkoholu kůže, nezabíjí spory Clostridium. Ke snížení potenciálního rizika vzácné, ale vážné infekce Clostridia nevedou do hýždě AUVI-Q [Viz Varování a preventivní opatření ]. Advise patients to seek medical care if they develop signs or symptoms of infection such as persistent redness warmth otok or něha at the epinephrine injection site.

Alergické reakce spojené se siřičkou

Epinefrin je preferovanou léčbou závažných alergických reakcí nebo jiných nouzových situací, i když tento produkt obsahuje bisulfitu sodný sulfitem, který může v jiných produktech způsobit alergické reakce, včetně anafylaktických symptomů nebo život ohrožujících nebo méně závažných astmatických epizod.

Přítomnost sulfitu v tomto produktu by neměla odradit podávání léčiva pro léčbu vážných alergických nebo jiných nouzových situací, i když je pacient citlivý na siřičitý.

Alternativy používání epinefrinu v život ohrožující situaci nemusí být uspokojivé.

Interakce onemocnění

Někteří pacienti mohou být po podání epinefrinu vystaveni většímu riziku rozvoje nežádoucích účinků. Navzdory těmto obavám by mělo být uznáno, že přítomnost těchto podmínek není kontraindikací pro podávání epinefrinu v akutní situaci ohrožující život. Pacienti s těmito stavy a/nebo jinou osobou, která by mohla být schopna podávat AUVI-Q pacientovi, který zažívá anafylaxi, by proto měli být pečlivě poučeni o okolnostech, za kterých by měl být používán epinefrin.

Pacienti se srdečními chorobami

Epinefrin by měl být podáván s opatrností pacientům, kteří mají srdeční onemocnění, včetně pacientů se srdeční arytmií koronární tepny nebo organické srdeční choroby nebo hypertenze. U takových pacientů nebo u pacientů, kteří jsou na drogách, kteří mohou senzibilizovat srdce na arytmií epinefrin, může vysrážit nebo zhoršit anginu pectoris a produkovat komorové arytmie [viz viz Lékové interakce a Nežádoucí účinky ].

Ostatní pacienti a nemoci

Epinefrin by měl být podáván s opatrností pacientům s hypertyreózou diabetes starší jedinci a těhotnými ženami. Pacienti s Parkinsonovou chorobou si mohou všimnout dočasného zhoršení příznaků.

Informace o poradenství pro pacienta

[vidět FDA schválená značení pacientů (informace o pacientech a pokyny pro použití) ]

Poskytovatel zdravotní péče by měl podrobně zkontrolovat pokyny pro pacienta a provoz AUVI-Q s pacientem nebo pečovatelem.

Epinefrin je nezbytný pro léčbu anafylaxe. Pacienti, kteří jsou ohroženi nebo s anamnézou závažných alergických reakcí (anafylaxe) na hmyzí bodnutí nebo kousnutí potravin a jiných alergenů, jakož i idiopatické a cvičené anafylaxe by měly být pečlivě poučeny o okolnostech, za kterých by se měl používat epinefrin.

Správa a školení

Instrujte pacienty a/nebo pečovatele při vhodném použití AUVI-Q. AUVI-Q by měla být injikována do středu vnějšího stehna (v případě potřeby skrz oblečení). Každé zařízení je injekcí s jedním použitím. Poraďte pacientům, aby ve spojení s podáváním AUVI-Q vyhledali okamžitou lékařskou péči.

Malé děti nebo kojenci mohou být během injekce nespolupracující a kopat nebo se pohybovat. Pokynujte pečovatelům, aby drželi nohu malých dětí nebo kojenců pevně na místě a omezili pohyb před injekcí a během injekce. [vidět Varování a preventivní opatření ]

V každém kartonu AUVI-Q lze nalézt úplné informace o dávkování včetně pokynů pro správu podávání a preventivní opatření. Zkontrolujte instruktážní a bezpečnostní systémy AUVI-Q s pacienty a/nebo pečovateli. Tyto systémy zahrnují tištěnou štítek na povrchu AUVI-Q zobrazující pokyny pro použití a schéma zobrazující proces injekce automatický systém zatahování jehly Vizuální vyvolává elektronické pípnutí a hlasové pokyny pro použití. Poučte pacienty a/nebo pečovatele, že jehla nebude po injekci viditelná a když k ní dojde, nemusí cítit injekci. Poskytněte pacientům, že AUVI-Q zahrnuje odpočítávání 2 sekundy poté, co je aktivováno, a poté hlasové pokyny naznačují, že je injekce kompletní a hledá pohotovostní lékařskou pomoc. Poskytněte pacientům, že černá základna AUVI-Q se zamkne na kryt zařízení a světla po dokončení injekce zamrdí červeně. Tyto ukazatele po použití pomáhají pacientům a/nebo pečovatelům vědět, že AUVI-Q byla aktivována a byla podána injekce epinefrinu.

Pokyn pacientům a/nebo pečovatelům, aby používali a cvičili s trenérem, aby se seznámili s používáním AUVI-Q v alergické nouzi. Trenér může být použit vícekrát.

Nežádoucí účinky

Epinefrin může vytvářet příznaky a příznaky, které zahrnují zvýšení srdeční frekvence Pocit silnějšího srdečního rytvače pocení nevolnosti a zvracení potíží s dýcháním bledové závratě slabost nebo chvění bolesti hlavy nervozita nebo úzkost. Tyto příznaky a příznaky obvykle rychle zmizí, zejména s klidným a ležícím prostředím. Pacienti s hypertenzí nebo hypertyreózou se mohou vyvinout závažnější nebo přetrvávající účinky a pacienti s onemocněním koronárních tepen by mohli anginu dojít. Pacienti s diabetem se mohou po podání epinefrinu vyvinout zvýšenou hladinu glukózy v krvi. Pacienti s Parkinsonovou chorobou si mohou všimnout dočasného zhoršení příznaků [viz Varování a preventivní opatření ].

Náhodná injekce

Pacienti by měli být doporučeni, aby v případě náhodné injekce vyhledali okamžitou lékařskou péči. Protože epinefrin je silným vazokonstriktem, když je vstřikován do číslic rukou nebo nohou, mělo by být nasměrováno na vazodilataci, pokud dojde k takové náhodné injekci do těchto oblastí [viz viz Varování a preventivní opatření ].

Vážné infekce v místě injekce

V injekčním místě po injekci po injekci epinefrinu pro anafylaxi byly hlášeny vzácné případy vážných případů vážných infekcí kůže a měkkých tkání. Poraďte pacientům, aby vyhledali lékařskou péči, pokud si vyvinou příznaky nebo příznaky infekce, jako je přetrvávající otok nebo něha v injekci epinefrinu [viz viz Varování a preventivní opatření ].

Skladování a manipulace

Pacienti by měli být instruováni, aby pravidelně vizuálně kontrolovali roztok epinefrinu vizuálně. AUVI-Q by měl být vyměněn, pokud se zdá, že roztok epinefrinu je zbarven (narůžovělá barva nebo tmavší než mírně žlutá) zatažená nebo obsahuje částice. Epinefrin je citlivý na světlo a měl by být uložen ve vnějším pouzdře, který je chráněn před jeho světlem. Poskytněte pacientům, že AUVI-Q musí být použita nebo správně zlikvidována, jakmile je odstraněn červená bezpečnostní stráž [viz viz Skladování a manipulace ].

V každém kartonu AUVI-Q lze nalézt úplné informace o dávkování včetně pokynů pro správu podávání a preventivní opatření.

Můžete si vzít Flexeril s Aleve

Neklinická toxikologie

Zhodnocení mutageneze karcinogeneze plodnosti

Dlouhodobé studie na vyhodnocení karcinogenního potenciálu epinefrinu nebyly provedeny.

Bylo prokázáno, že epinefrin a další katecholaminy mají mutagenní potenciál in vitro. Epinefrin byl pozitivní v testu bakteriální reverzní mutace Salmonella pozitivního v testu myšího lymfomu a negativní v testu in vivo mikronukleus. Epinefrin je oxidační mutagen založený na testu mutoxitest -reverzní mutací mutoxitest E. coli WP2. To by nemělo zabránit používání epinefrinu za podmínek zaznamenaných podle indikací a použití (1).

Potenciál pro epinefrin narušit reprodukční výkon nebyl vyhodnocen, ale bylo prokázáno, že epinefrin snižuje implantace u ženských králíků podávaných subkutánně s 1,2 mg/kg/den (40krát nejvyšší intramuskulární nebo subkutánní denní dávka) během gestativních dnů 3. až 9.

Použití v konkrétních populacích

Těhotenství

Shrnutí rizika

Neexistují žádné přiměřené a dobře kontrolované studie akutního účinku epinefrinu u těhotných žen. V reprodukčních studiích pro zvířata byl epinefrin podávaný subkutánní cestou k myším a křečkům v období organogeneze v dávkách 7krát teratogenní a vyšší než maximální doporučená intramuskulární a subkutánní dávka na základě Mg/m². Epinefrin je lék první linie pro léčbu anafylaxe během těhotenství u lidí. Epinefrin by se měl používat k léčbě anafylaxe během těhotenství stejným způsobem, jaký se používá u netěžnosti pacientů.

V americké obecné populaci je odhadované riziko na pozadí hlavních vrozených vad a potratu u klinicky uznávaných těhotenství 2 až 4% a 15 až 20%.

Klinické úvahy

Mateřské a embryo/fetální riziko spojené s nemocí

Během těhotenství může být anafylaxe katastrofická a může vést k hypoxicky ischemické encefalopatii a trvalému poškození centrálního nervového systému u matky a častěji u plodu nebo novorozence. Uvádí se, že prevalence anafylaxe vyskytující se během těhotenství je přibližně 3 případy na 100 000 dodávek.

Řízení anafylaxe během těhotenství je podobné řízení v běžné populaci. Epinefrin je první liniovou medikací volby pro léčbu anafylaxe; Měl by být používán stejným způsobem u těhotných a netěžných pacientů. Ve spojení s podáváním epinefrinu by měl pacient hledat okamžitou lékařskou nebo nemocniční péči.

Data

Údaje o zvířatech

Ve studii vývoje embryfetálního vývoje s králíky dávkovanými v období organogeneze epinefrin byl prokázán jako teratogenní (včetně gastroschisis a embryonální letality) v dávkách přibližně 40krát vyšší než maximální doporučené intramuskulární nebo subkutánní dávky (na mg/m² na základě mateřské subkutánní dávky po dobu dvou let).

Ve studii vývoje embryfetálního vývoje s dávkou myší během období organogeneze epinefrin byl prokázán jako teratogenní (včetně embryonální letality) v dávkách přibližně 8násobek maximální doporučené intramuskulární nebo subkutánní dávky po dobu 10 dnů). Tyto účinky nebyly pozorovány u myší přibližně při přibližně 4násobku maximálního doporučeného denního intramuskulárního nebo subkutánního dávky (na základě mg/m² v podkožní dávce matek 0,5 mg/kg/den po dobu 10 dnů).

Ve studii vývoje embryfetálního vývoje s křečci dávkovanými během období organogeneze z dnů gestace 7 až 10 epinefrinu byla ukázána jako teratogenní v dávkách přibližně 7krát více doporučené intramuskulární nebo subkutánní dávky (na mg/m² v mateřské dávce po dobu 4 dnů).

Laktace

Shrnutí rizika

Neexistují žádné informace o přítomnosti epinefrinu v lidském mléce účinky na kojené kojence nebo účinky na produkci mléka. Epinefrin je první linemedikací volby pro léčbu anafylaxe; Měl by být používán stejným způsobem u pacientů s kojením a neregistrací.

Dětské použití

AUVI-Q mohou být podávány pediatrickým pacientům při dávkování vhodné pro tělesnou hmotnost [viz Dávkování a podávání ]. Clinical experience with the use of epinephrine suggests that the adverse reactions seen in children are similar in nature a extent to those both expected a reported in adults. Since the doses of epinephrine delivered from AUVI-Q are fixed consider using other forms of injectable epinephrine if doses lower than 0.1 mg are deemed necessary.

Geriatrické použití

Klinické studie AUVI-Q nezahrnovaly dostatečný počet subjektů ve věku 65 let a více, aby se určilo, zda reagují odlišně od mladších subjektů. Jiné hlášené klinické zkušenosti nezjistily rozdíly v odpovědích mezi staršími a mladšími pacienty. Epinefrin by měl být podáván s opatrností u starších jedinců, kteří mohou být po podání epinefrinu vystaveni většímu riziku rozvoje nežádoucích účinků [viz viz Varování a preventivní opatření Předávkování ].

Informace o předávkování AUVI-Q

Předávkování epinefrinu může způsobit extrémně zvýšený arteriální tlak, který může vést k cerebrovaskulárnímu krvácení, zejména u starších pacientů. Předávkování může také vést k plicnímu edému kvůli periferním vaskulárnímu zúžení spolu se srdeční stimulací. Léčba sestává z rychle působících vazodilatátorů nebo alfa-adrenergních blokovacích léků a/nebo respirační podpory.

Overdosage epinefrinu může také způsobit přechodnou bradykardii následovanou tachykardií, které mohou být doprovázeny potenciálně fatálními srdečními arytmiemi. Předčasná komorová kontrakce se mohou objevit do jedné minuty po injekci a mohou následovat multifokální komorová tachykardie (prefibrilační rytmus). Po poklesu komorových účinků může následovat síňová tachykardie a občas atrioventrikulárním blokem. Léčba arytmie sestává z podávání beta-adrenergního blokujícího léku, jako je propranolol.

Předávkování někdy má za následek extrémní bledost a chlad metabolické acidózy kůže a selhání ledvin. V takových situacích musí být přijata vhodná nápravná opatření.

Kontraindikace pro AUVI-Q

Žádný.

Klinická farmakologie for Auvi-Q

Mechanismus působení

Epinefrin působí na alfa i beta-adrenergní receptory.

Farmakodynamika

Díky působení na alfa-adrenergní receptory epinefrin snižuje vazodilataci a zvýšenou vaskulární propustnost, ke které dochází během anafylaxe, což může vést ke ztrátě intravaskulární tekutiny a hypotenze.

Kolik hydrokodonu mohu vzít

Díky působení na beta-adrenergní receptory epinefrin způsobuje bronchiální relaxaci hladkého svalstva a pomáhá zmírnit bronchospasmové sípání a dušnost, ke které může dojít během anafylaxe.

Epinefrin také zmírňuje Pruritus Urticaria a Angioedema a může zmírnit gastrointestinální a genitourinární symptomy spojené s anafylaxí z důvodu jeho relaxerových účinků na hladké svalstvu střevní dělohy a močového měchýře.

Při subkutánně nebo intramuskulárně má epinefrin rychlý nástup a krátkou dobu účinku.

Informace o pacientovi pro AUVI-Q

AUVI-Q®
(injekce epinefrinu) Auto-injektor pro alergické mimořádné události (anafylaxe)

Než budete muset používat AUVI-Q a pokaždé, když dostanete doplnění, přečtěte si tento leták pro pacienta. Mohou existovat nové informace. Než budete mít alergickou nouzovou situaci používat AUVI-Q, měli byste vědět, jak používat AUVI-Q. Tyto informace nezavazují místo rozhovoru s poskytovatelem zdravotní péče o zdravotním stavu nebo ošetření.

Jaké jsou nejdůležitější informace, které bych měl vědět o AUVI-Q?

  1. Vždy s sebou noste AUVI-Q, protože nemusíte vědět, kdy může dojít k alergické reakci ohrožující životem (anafylaktická reakce). Promluvte si se svým lékařem, pokud potřebujete další jednotky, abyste udrželi pracovní školu atd. Anafylaktická reakce je život ohrožující alergická reakce, ke které může dojít během několika minut a může být způsobena bodavým a kousáním hmyzu (včelí vosy sršni a komáři) alergické výstřely léčivé příčiny nebo jinými neznámými příčinami. Postupujte podle pokynů poskytovatele zdravotní péče, kdy použít AUVI-Q, pokud máte příznaky anafylaktické reakce, která může zahrnovat níže uvedené příznaky:
    • potíže s dýcháním
    • síť
    • Chrapot (změny ve způsobu zní váš hlas)
    • úly (zvednutá zčervenalá vyrážka, která může svědění)
    • Těžké svědění
    • Otok vašich obličejových rtů ústa nebo jazyk
    • zarudnutí nebo otoky
    • Rychlý srdeční rytmus
    • slabý puls
    • Cítím se velmi úzkostně
    • zmatek
    • bolest žaludku
    • Ztráta kontroly pohybů moči nebo střev
    • závrať or fainting
  2. Řekněte svým rodinným příslušníkům a dalším, kde držíte AUVI-Q a jak ji používat, než ji budete potřebovat. Možná nebudete schopni mluvit v alergické nouzi.
  3. Získejte lékařskou pomoc bezprostředně po použití AUVI-Q. Pokud máte vážnou alergickou reakci, možná budete potřebovat více léků.

Co je AUVI-Q?

AUVI-Q je lék na předpis používaný k léčbě alergických reakcí ohrožujících život, včetně anafylaxe u lidí, kteří jsou ohroženi nebo mají anamnézu vážných alergických reakcí.

AUVI-Q je pro okamžité správy (nebo pečovatele) a nahrazuje pohotovostní lékařskou péči. Po použití AUVI-Q byste měli okamžitě získat pohotovostní lékařskou pomoc.

Není známo, zda je AUVI-Q bezpečný a účinný u dětí, které váží méně než 16,5 liber (NULL,5 kg).

Co bych měl říct svému poskytovateli zdravotní péče před použitím AUVI-Q?

Než použijete AUVI-Q, řekněte svému poskytovateli zdravotní péče, pokud:

  • mít problémy se srdcem nebo vysoký krevní tlak
  • mít cukrovku
  • mít problémy se štítnou žlázou
  • mít historii deprese
  • mít Parkinsonovu nemoc
  • mít jakékoli jiné zdravotní stavy
  • jsou těhotné nebo plánují otěhotnět. Není známo, zda AUVI-Q poškodí vaše nenarozené dítě.
  • jsou kojení nebo plánují kojení. Není známo, zda AUVI-Q prochází do mateřského mléka.

Řekněte svému poskytovateli zdravotní péče o všech lécích, které užíváte včetně vitamínů a bylinných doplňků léčivých přípravků na předpis a předpisu.

AUVI-Q a další léky se mohou navzájem ovlivnit, což způsobuje vedlejší účinky. AUVI-Q může ovlivnit způsob, jakým jiné léky fungují, a další léky mohou ovlivnit to, jak funguje AUVI-Q.

Znát léky, které užíváte. Udržujte jejich seznam, abyste ukázali svého poskytovatele zdravotní péče a lékárníka, když získáte nový lék.

Jak mám použít AUVI-Q?

  • Každá AUVI-Q obsahuje pouze 1 dávku léku.
  • AUVI-Q by měla být injikována pouze do svalu vnějšího stehna. V případě potřeby to může být vstříknuta prostřednictvím vašeho oblečení.
  • Informace o správném způsobu používání AUVI-Q si přečtěte pokyny pro použití na konci tohoto letáku pro pacienta.
  • Použijte AUVI-Q přesně tak, jak vám poskytuje váš poskytovatel zdravotní péče, abyste jej použili.
  • Trenér pro AUVI-Q se samostatným pokyny pro trenéry pro použití letáku je součástí AUVI-Q. Další zdroje školení jsou k dispozici na adrese www.auvi-Q.com.
    • Procvičujte s trenérem pro AUVI-Q předtím, než se alergická nouzová situace ujistí, že jste schopni bezpečně používat skutečnou AUVI-Q v případě nouze.
    • Trenér pro AUVI-Q neobsahuje jehlu ani lék a může být znovu použit k procvičování vaší injekce.

Jaké jsou možné vedlejší účinky AUVI-Q?

AUVI-Q může způsobit vážné vedlejší účinky.

  • AUVI-Q by měla být vstříknuta pouze do vnějšího stehna. Do svého:
    • žíly
    • hýždě
    • prsty na nohou nebo nohou
      Pokud náhodně vstříknete AUVI-Q do jakékoli jiné části vašeho těla, jděte hned do nejbližší nemocniční pohotovostní místnosti. Řekněte poskytovateli zdravotní péče, kde jste na svém těle obdrželi náhodnou injekci.
  • Zřídka pacienti, kteří používají AUVI-Q, se mohou vyvinout infekce v místě injekce během několika dnů po injekci. Některé z těchto infekcí mohou být vážné. Pokud máte některá z následujících míst, zavolejte svému poskytovateli zdravotní péče ihned:
      • zarudnutí, které nezmizí
      • otok
      • něha
      • Tato oblast se cítí teplá na dotek
    • Pokud injekci malého dítěte nebo dítěte s AUVI-Q držte nohu pevně na místě před a během injekce, aby se zabránilo zraněním. Požádejte svého poskytovatele zdravotní péče, aby vám ukázal, jak správně držet nohu malého dítěte nebo dítěte během injekce.
  • Pokud máte určité zdravotní stavy nebo užíváte určité léky, váš stav se může zhoršit nebo můžete mít více nebo déle trvající vedlejší účinky při používání AUVI-Q. Promluvte si se svým poskytovatelem zdravotní péče o všech vašich zdravotních stavech.

Mezi běžné vedlejší účinky AUVI-Q patří:

  • Rychlý nepravidelný nebo „hlasový“ srdeční rytmus
  • pocení
  • Shakakess
  • bolest hlavy
  • Bledost
  • pocity nadměrné nervozity nebo úzkosti
  • slabost
  • závrať
  • nevolnost a zvracení
  • Dýchací problémy

Sdělte svému poskytovateli zdravotní péče, pokud máte jakýkoli vedlejší účinek, který vás vadí nebo z nich nezmizí.

Nejedná se o všechny možné vedlejší účinky AUVI-Q. Pro více informací se zeptejte svého poskytovatele zdravotní péče nebo lékárníka.

Zavolejte svého lékaře, kde najdete lékařskou radu ohledně vedlejších účinků. Můžete nahlásit vedlejší účinky FDA na 1-800-FDA-1088.

Jak mám ukládat AUVI-Q?

  • Ukládejte AUVI-Q při 68 ° až 77 ° F (20 ° až 25 ° C).
  • Nevystavujte extrémní teplo nebo nachlazení. Například neukládejte do rukavice ve vozidle. Neukládejte AUVI-Q v chladničce ani zmrazení.
  • Pravidelně prozkoumejte obsah v okně prohlížení. Řešení by mělo být jasné. Pokud je roztok zbarven (narůžovělá barva nebo tmavší než mírně žlutá) zatažená nebo obsahuje pevné částice, nahraďte jednotku.
  • Vaše AUVI-Q má datum vypršení platnosti. Vyměňte jej před datem vypršení platnosti.
  • Udržujte AUVI-Q ve vnějším případě, který přichází, aby jej chránil před světlem.

Udržujte AUVI-Q a všechny léky mimo dosah dětí.

Obecné informace o bezpečném a efektivním používání AUVI-Q:

Léky jsou někdy předepsány pro jiné účely než ty, které jsou uvedeny v letáku informací o pacientech. Nepoužívejte AUVI-Q pro podmínku, pro kterou nebyl předepsán. Nedávejte AUVI-Q jiným lidem, i když mají alergickou reakci nebo stejné příznaky, jaké máte. Může jim to poškodit.

Tento informační leták s pacientem shrnuje nejdůležitější informace o AUVI-Q. Pokud byste chtěli více informací, promluvte si se svým poskytovatelem zdravotní péče. Můžete požádat svého lékárníka nebo poskytovatele zdravotní péče o informace o AUVI-Q, které jsou psány pro zdravotnické pracovníky.

Další informace a video pokyny k používání AUVI-Q najdete na www.auvi-Q.com nebo volejte na číslo 1-877-302-8847.

Jaké jsou složky v AUVI-Q?

Aktivní složka: epinefrin.

Neaktivní ingredience: Kyselina a voda chlorid sodný sodný bisulfit.

AUVI-Q neobsahuje latex.

Pokyny pro použití

Než budete muset používat AUVI-Q, přečtěte si tyto pokyny pro použití. Než použijete AUVI-Q, ujistěte se, že váš poskytovatel zdravotní péče vám ukáže správný způsob, jak jej používat. Máte -li jakékoli dotazy, zeptejte se svého poskytovatele zdravotní péče.

Pokud podáváte AUVI-Q malému dítěti nebo dítěti, držte nohu pevně na místě a omezíte pohyb před a při podávání injekce.

Automatizované hlasové pokyny

kde se ubytovat ve Vancouveru

AUVI-Q obsahuje systém elektronického hlasového instrukce, který vám pomůže provést každý krok injekce. Pokud hlasové pokyny nefungují z žádného důvodu

AUVI-Q podle pokynů v těchto pokynech pro použití. Bude stále fungovat během nouzové nouze alergické reakce.

Jak používat AUVI-Q

Obrázek a

1. Vytáhněte AUVI-Q nahoru z vnějšího pouzdra. Viz obrázek B.

Ne Přejděte na krok 2, dokud nebudete připraveni používat AUVI-Q. Pokud nejste připraveni používat AUVI-Q, vložte jej zpět do vnějšího pouzdra.

Obrázek b

2. Vytáhněte červenou bezpečnostní stráž dolů a mimo AUVI-Q. Viz obrázek C.

Abychom snížili šanci na náhodnou injekci, nedotýkejte se černé základny auto-injektoru, kde vyjde jehla. Pokud dojde k náhodnému injekci, získejte okamžitě lékařskou pomoc.

Poznámka: Červený bezpečnostní stráž je vyroben tak, aby se hodil pevně. Pevně ​​vytáhněte.

Obrázek c

3. Umístěte černý konec AUVI-Q proti středu vnějšího stehna (v případě potřeby skrz oblečení) a pevně zatlačte, dokud neslyšíte kliknutí a zvuk syčení a držte na místě 2 sekundy. Viz obrázek D.

Pouze Vstřikujte do středu vnějšího stehna. Nepřikládejte do žádné jiné části těla.

Pokud podáváte AUVI-Q malému dítěti nebo dítěti, držte nohu pevně na místě při podávání injekce Viz obrázek E.

Obrázek D: (pro AUVI-Q 0,3 mg a AUVI-Q 0,15 mg)

Obrázek E: (pro AUVI-Q 0,1 mg)

Poznámka: AUVI-Q vydává zřetelný zvuk (kliknutí a syčení), když jej tlačíte na vnější stehno. To je normální a naznačuje, že AUVI-Q funguje správně. Když uslyšíte zvuk kliknutí a syčení, nevytahujte AUVI-Q pryč.

Jehla se po dokončení injekce automaticky zatahuje, takže jehla nebude po injekci viditelná. AUVI-Q zahrnuje odpočítávání 2 sekundy poté, co je aktivována, pak hlasová instrukce naznačuje, že injekce je dokončena a hledat nouzovou lékařskou pomoc AUVI-Q zapíná a světla zamrdí červeně.

4. Okamžitě získejte pohotovostní lékařskou pomoc.

Vyměňte vnější pouzdro a promluvte si se svým poskytovatelem zdravotní péče o správném způsobu, jak vyhodit AUVI-Q.

Požádejte svého poskytovatele zdravotní péče o doplnění AUVI-Q na předpis.

Po použití AUVI-Q:

  • Černá základna se zamkne na místo.
  • Systém hlasové instrukce řekne, že hledejte nouzovou lékařskou pomoc, říkají, že tato AUVI-Q byla použita a světla zamrká červeně.
  • Red Bezpečnostní strážce nelze vyměnit.
  • Okno prohlížení již nebude jasné.
  • Je normální, že nějaký lék zůstane ve vaší AUVI-Q poté, co jste obdrželi dávku léku.
  • Promluvte si se svým poskytovatelem zdravotní péče o správném způsobu, jak vyhodit AUVI-Q.
  • AUVI-Q je auto-injektor s jedním použitím a nelze jej znovu použít.

Dokud nevyhodíte použitý použitý systém AUVI-Q, elektronický hlasový instrukční systém vám připomene, že byl použit při odstranění vnějšího pouzdra.

Pokud budete spravovat AUVI-Q malému dítěti nebo dítěti, požádejte svého poskytovatele zdravotní péče, aby vám ukázal, jak správně držet nohu na místě při podávání dávky.

Trenér pro AUVI-Q®
Pokyny pro použití

Důležité:

Trenér pro AUVI-Q neobsahuje jehlu ani lék.

V případě alergického nouzového nouze použijte skutečný auvi-Q a ne šedý trenér.

V případě alergické nouze si vždy noste svůj skutečný auvi-Q.

Důležité informace o trenérovi pro AUVI-Q:

Uvnitř vašeho trenéra pro AUVI-Q jsou:

  • baterie
  • reproduktor, který vydá zvuk pípnutí a vytváří elektronické hlasové pokyny
  • Červená a zelená blikající světla

Trenér baterií AUVI-Q je vyroben tak dlouho, aby vás každý den cvičil 1krát po dobu 2 let. Pokud váš trenér pro AUVI-Q nefunguje správně, zavolejte svému poskytovateli zdravotní péče pro nového trenéra.

Co je trenér pro AUVI-Q?

  • Trenér pro AUVI-Q neobsahuje jehlu ani lék a může být znovu použit k procvičování vaší injekce.
  • Procvičujte s trenérem pro AUVI-Q před alergickou nouzovou situací, abyste se ujistili, že jste schopni bezpečně používat skutečnou AUVI-Q v â

Váš trenér pro AUVI-Q

Obrázek a: TRAINER for AUVI-Q

AUVI-Q


AUVI-Q 0.1 mg is white a lavender

Trenér pro AUVI-Q:

Vedlejší účinky escitalopram 10 mg
  • je uvnitř a šedé vnější pouzdro
  • nemá uvnitř jehlu ani lék
  • Lze znovu použít (po použití může být červená bezpečnostní strážce umístěna zpět na základnu trenéra)
  • nemá datum vypršení platnosti
  • má reliéfní trenér na vrcholu zařízení

AUVI-Q:

  • je uvnitř an orange (NULL,3 mg) nebo modrá (NULL,15 mg) nebo vnější pouzdro bílé a levandule (NULL,1 mg)
  • Obsahuje lék na jehlu a epinefrinu
  • nelze znovu použít (Červený strážce bezpečnosti nelze po použití umístit zpět na základnu AUVI-Q)
  • má v zařízení uvedeno datum vypršení léku
  • V případě alergického nouzového nouze použijte skutečný auvi-Q a ne šedý trenér.

Kdo by měl cvičit pomocí trenéra pro AUVI-Q?

Každý, kdo vám bude muset pomoci s AUVI-Q v případě alergické nouze:

  • Vy
  • Pečovatelé
  • Rodina
  • Přátelé
  • Spolupracovníci
  • Učitelé
  • Pracovníci péče o děti nebo pracovníci v denní péči

Nechte je praktikovat pomocí trenéra a zkontrolujte leták s informacemi o pacientech zahrnutý v balení s každým předpisem AUVI-Q.

Další informace a video pokyny k používání AUVI-Q najdete na www.auvi-q.com nebo volejte na číslo 1-877-302-8847.

Cvičení s trenérem pro AUVI-Q

Procvičujte s trenérem pro AUVI-Q předtím, než se alergická nouzová situace ujistí, že jste schopni bezpečně používat skutečnou AUVI-Q v případě nouze.

  • Vy should practice daily for the first week after you receive your TRAINER for AUVI-Q to help you feel comfortable using AUVI-Q quickly a safely. Even when you are comfortable using the Trainer continue to practice using it often.

Jak používat trenéra

Jak funguje trenér pro AUVI-Q

Ačkoli trenér nemá jehlu a neobsahuje žádný lék, funguje to stejným způsobem jako skutečný AUVI-Q.

Stejně jako u skutečného AUVI-Q, trenér pro AUVI-Q obsahuje elektronický systém hlasového instrukce, který vám pomůže vést každý krok injekce. Pokud hlasové pokyny nefungují pro trenéra pro AUVI-Q z jakéhokoli důvodu, můžete trenéra pro AUVI-Q používat, jak je v tomto letáku pokyn k procvičování.

Trenér pro AUVI-Q má stejná blikající červená a zelená světla jako skutečná AUVI-Q.

Stejně jako u skutečného AUVI-Q, pokud cvičíte s malým dítětem nebo dítětem, drží nohu pevně na místě při používání trenéra pro AUVI-Q. Požádejte svého poskytovatele zdravotní péče, aby vám ukázal, jak správně přidržet nohu pro trénink, abyste byli připraveni dříve, než dojde k alergické nouzové situaci.

Postupujte podle těchto kroků

1. Vytvořte trenéra pro AUVI-Q z vnějšího pouzdra. Viz obrázek

2. Vytáhněte červenou bezpečnostní stráž dolů a mimo trenéra. Viz obrázek C.

Obrázek b

Obrázek c

Poznámka: The red safety guard is made to fit tight similar to the safety guard on the real AUVI-Q. Pevně ​​vytáhněte.

3. Umístěte černý konec proti středu vnějšího stehna (v případě potřeby skrz oděv), pak pevně zatlačte, dokud neslyšíte kliknutí a zvuk syčely a držte na místě 2 sekundy. Viz obrázek D.

Stejně jako u skutečného AUVI-Q, pokud cvičíte s malým dítětem nebo dítětem, drží nohu pevně na místě při používání trenéra pro AUVI-Q. (Viz obrázek E).

Obrázek d

Obrázek e

Poznámka: In an actual emergency after the injection you would need to seek medical help right away.

Pouze Cvičte pomocí středu vnějšího stehna. Vnější stehno je místo, kde byste se vstříknili skutečným AUVI-Q.

Poznámka: The TRAINER for AUVI-Q makes a distinct sound (click a hiss) when you push it firmly against your outer thigh. This is the same sound that is made with the real AUVI-Q. This is normal a indicates AUVI-Q is working correctly. Ne pull AUVI-Q away from your leg when you hear the click a hiss sound.

4. Po procvičování resetování trenéra pro AUVI-Q:

A. Vyměňte červenou bezpečnostní stráž. Ne hold the black base while inserting the Red safety guard. The Black base will drop down into its original location during Red safety guard insertion. See Obrázek f.

b. Posuňte trenéra pro AUVI-Q až zpět do šedého vnějšího pouzdra, abyste resetovali elektronický hlasový systém. Viz obrázek G.

Obrázek f

Obrázek g

Poznámka: Leave the TRAINER for AUVI-Q in its outer case for at least 5 seconds between each time you practice to allow the electronic voice system to reset.

Skladování

  • Uložte trenéra pro AUVI-Q při pokojové teplotě; Trenér pro AUVI-Q by se neměl používat při teplotách menších než 50 ° F (10 ° C) nebo vyšší než 104 ° F (40 ° C).
  • Uložte trenéra pro AUVI-Q ve svém vnějším pouzdře.
  • Udržujte trenéra pro AUVI-Q daleko od chemikálií a vody nečistot.

Likvidace

Trenér pro AUVI-Q obsahuje elektroniku a baterie lithium mincí a měl by být zlikvidován správným způsobem. Sledujte své státní a místní environmentální předpisy k likvidaci.

Pouze pro Kalifornii: Tento produkt používá baterie obsahující materiál na chloristan - může se vztahovat speciální manipulace. Viz www.dtsc.ca.gov/hazardouswaste/perchloristas

Tyto informace o pacientech byly schváleny americkou správou potravin a léčiv.